Spandidos Publications Logo
  • About
    • About Spandidos
    • Aims and Scopes
    • Abstracting and Indexing
    • Editorial Policies
    • Reprints and Permissions
    • Job Opportunities
    • Terms and Conditions
    • Contact
  • Journals
    • All Journals
    • Oncology Letters
      • Oncology Letters
      • Information for Authors
      • Editorial Policies
      • Editorial Board
      • Aims and Scope
      • Abstracting and Indexing
      • Bibliographic Information
      • Archive
    • International Journal of Oncology
      • International Journal of Oncology
      • Information for Authors
      • Editorial Policies
      • Editorial Board
      • Aims and Scope
      • Abstracting and Indexing
      • Bibliographic Information
      • Archive
    • Molecular and Clinical Oncology
      • Molecular and Clinical Oncology
      • Information for Authors
      • Editorial Policies
      • Editorial Board
      • Aims and Scope
      • Abstracting and Indexing
      • Bibliographic Information
      • Archive
    • Experimental and Therapeutic Medicine
      • Experimental and Therapeutic Medicine
      • Information for Authors
      • Editorial Policies
      • Editorial Board
      • Aims and Scope
      • Abstracting and Indexing
      • Bibliographic Information
      • Archive
    • International Journal of Molecular Medicine
      • International Journal of Molecular Medicine
      • Information for Authors
      • Editorial Policies
      • Editorial Board
      • Aims and Scope
      • Abstracting and Indexing
      • Bibliographic Information
      • Archive
    • Biomedical Reports
      • Biomedical Reports
      • Information for Authors
      • Editorial Policies
      • Editorial Board
      • Aims and Scope
      • Abstracting and Indexing
      • Bibliographic Information
      • Archive
    • Oncology Reports
      • Oncology Reports
      • Information for Authors
      • Editorial Policies
      • Editorial Board
      • Aims and Scope
      • Abstracting and Indexing
      • Bibliographic Information
      • Archive
    • Molecular Medicine Reports
      • Molecular Medicine Reports
      • Information for Authors
      • Editorial Policies
      • Editorial Board
      • Aims and Scope
      • Abstracting and Indexing
      • Bibliographic Information
      • Archive
    • World Academy of Sciences Journal
      • World Academy of Sciences Journal
      • Information for Authors
      • Editorial Policies
      • Editorial Board
      • Aims and Scope
      • Abstracting and Indexing
      • Bibliographic Information
      • Archive
    • International Journal of Functional Nutrition
      • International Journal of Functional Nutrition
      • Information for Authors
      • Editorial Policies
      • Editorial Board
      • Aims and Scope
      • Abstracting and Indexing
      • Bibliographic Information
      • Archive
    • International Journal of Epigenetics
      • International Journal of Epigenetics
      • Information for Authors
      • Editorial Policies
      • Editorial Board
      • Aims and Scope
      • Abstracting and Indexing
      • Bibliographic Information
      • Archive
    • Medicine International
      • Medicine International
      • Information for Authors
      • Editorial Policies
      • Editorial Board
      • Aims and Scope
      • Abstracting and Indexing
      • Bibliographic Information
      • Archive
  • Articles
  • Information
    • Information for Authors
    • Information for Reviewers
    • Information for Librarians
    • Information for Advertisers
    • Conferences
  • Language Editing
Spandidos Publications Logo
  • About
    • About Spandidos
    • Aims and Scopes
    • Abstracting and Indexing
    • Editorial Policies
    • Reprints and Permissions
    • Job Opportunities
    • Terms and Conditions
    • Contact
  • Journals
    • All Journals
    • Biomedical Reports
      • Information for Authors
      • Editorial Policies
      • Editorial Board
      • Aims and Scope
      • Abstracting and Indexing
      • Bibliographic Information
      • Archive
    • Experimental and Therapeutic Medicine
      • Information for Authors
      • Editorial Policies
      • Editorial Board
      • Aims and Scope
      • Abstracting and Indexing
      • Bibliographic Information
      • Archive
    • International Journal of Epigenetics
      • Information for Authors
      • Editorial Policies
      • Editorial Board
      • Aims and Scope
      • Abstracting and Indexing
      • Bibliographic Information
      • Archive
    • International Journal of Functional Nutrition
      • Information for Authors
      • Editorial Policies
      • Editorial Board
      • Aims and Scope
      • Abstracting and Indexing
      • Bibliographic Information
      • Archive
    • International Journal of Molecular Medicine
      • Information for Authors
      • Editorial Policies
      • Editorial Board
      • Aims and Scope
      • Abstracting and Indexing
      • Bibliographic Information
      • Archive
    • International Journal of Oncology
      • Information for Authors
      • Editorial Policies
      • Editorial Board
      • Aims and Scope
      • Abstracting and Indexing
      • Bibliographic Information
      • Archive
    • Medicine International
      • Information for Authors
      • Editorial Policies
      • Editorial Board
      • Aims and Scope
      • Abstracting and Indexing
      • Bibliographic Information
      • Archive
    • Molecular and Clinical Oncology
      • Information for Authors
      • Editorial Policies
      • Editorial Board
      • Aims and Scope
      • Abstracting and Indexing
      • Bibliographic Information
      • Archive
    • Molecular Medicine Reports
      • Information for Authors
      • Editorial Policies
      • Editorial Board
      • Aims and Scope
      • Abstracting and Indexing
      • Bibliographic Information
      • Archive
    • Oncology Letters
      • Information for Authors
      • Editorial Policies
      • Editorial Board
      • Aims and Scope
      • Abstracting and Indexing
      • Bibliographic Information
      • Archive
    • Oncology Reports
      • Information for Authors
      • Editorial Policies
      • Editorial Board
      • Aims and Scope
      • Abstracting and Indexing
      • Bibliographic Information
      • Archive
    • World Academy of Sciences Journal
      • Information for Authors
      • Editorial Policies
      • Editorial Board
      • Aims and Scope
      • Abstracting and Indexing
      • Bibliographic Information
      • Archive
  • Articles
  • Information
    • For Authors
    • For Reviewers
    • For Librarians
    • For Advertisers
    • Conferences
  • Language Editing
Login Register Submit
  • This site uses cookies
  • You can change your cookie settings at any time by following the instructions in our Cookie Policy. To find out more, you may read our Privacy Policy.

    I agree
Search articles by DOI, keyword, author or affiliation
Search
Advanced Search
presentation
International Journal of Oncology
Join Editorial Board Propose a Special Issue
Print ISSN: 1019-6439 Online ISSN: 1791-2423
Journal Cover
2014-March Volume 44 Issue 3

Full Size Image

Cover Legend PDF

Sign up for eToc alerts
Recommend to Library

Journals

International Journal of Molecular Medicine

International Journal of Molecular Medicine

International Journal of Molecular Medicine is an international journal devoted to molecular mechanisms of human disease.

International Journal of Oncology

International Journal of Oncology

International Journal of Oncology is an international journal devoted to oncology research and cancer treatment.

Molecular Medicine Reports

Molecular Medicine Reports

Covers molecular medicine topics such as pharmacology, pathology, genetics, neuroscience, infectious diseases, molecular cardiology, and molecular surgery.

Oncology Reports

Oncology Reports

Oncology Reports is an international journal devoted to fundamental and applied research in Oncology.

Experimental and Therapeutic Medicine

Experimental and Therapeutic Medicine

Experimental and Therapeutic Medicine is an international journal devoted to laboratory and clinical medicine.

Oncology Letters

Oncology Letters

Oncology Letters is an international journal devoted to Experimental and Clinical Oncology.

Biomedical Reports

Biomedical Reports

Explores a wide range of biological and medical fields, including pharmacology, genetics, microbiology, neuroscience, and molecular cardiology.

Molecular and Clinical Oncology

Molecular and Clinical Oncology

International journal addressing all aspects of oncology research, from tumorigenesis and oncogenes to chemotherapy and metastasis.

World Academy of Sciences Journal

World Academy of Sciences Journal

Multidisciplinary open-access journal spanning biochemistry, genetics, neuroscience, environmental health, and synthetic biology.

International Journal of Functional Nutrition

International Journal of Functional Nutrition

Open-access journal combining biochemistry, pharmacology, immunology, and genetics to advance health through functional nutrition.

International Journal of Epigenetics

International Journal of Epigenetics

Publishes open-access research on using epigenetics to advance understanding and treatment of human disease.

Medicine International

Medicine International

An International Open Access Journal Devoted to General Medicine.

Journal Cover
2014-March Volume 44 Issue 3

Full Size Image

Cover Legend PDF

Sign up for eToc alerts
Recommend to Library

  • Article
  • Citations
    • Cite This Article
    • Download Citation
    • Create Citation Alert
    • Remove Citation Alert
    • Cited By
  • Similar Articles
    • Related Articles (in Spandidos Publications)
    • Similar Articles (Google Scholar)
    • Similar Articles (PubMed)
  • Download PDF
  • Download XML
  • View XML
Article

Hypoxia differentially upregulates the expression of embryonic, fetal and adult hemoglobin in human glioblastoma cells

  • Authors:
    • Marwan Emara
    • A. Robert Turner
    • Joan Allalunis-Turner
  • View Affiliations / Copyright

    Affiliations: Department of Oncology, University of Alberta and Alberta Health Services, Cross Cancer Institute, Edmonton, AΒ T6G 1Z2, Canada
  • Pages: 950-958
    |
    Published online on: December 31, 2013
       https://doi.org/10.3892/ijo.2013.2239
  • Expand metrics +
Metrics: Total Views: 0 (Spandidos Publications: | PMC Statistics: )
Metrics: Total PDF Downloads: 0 (Spandidos Publications: | PMC Statistics: )
Cited By (CrossRef): 0 citations Loading Articles...

This article is mentioned in:



Abstract

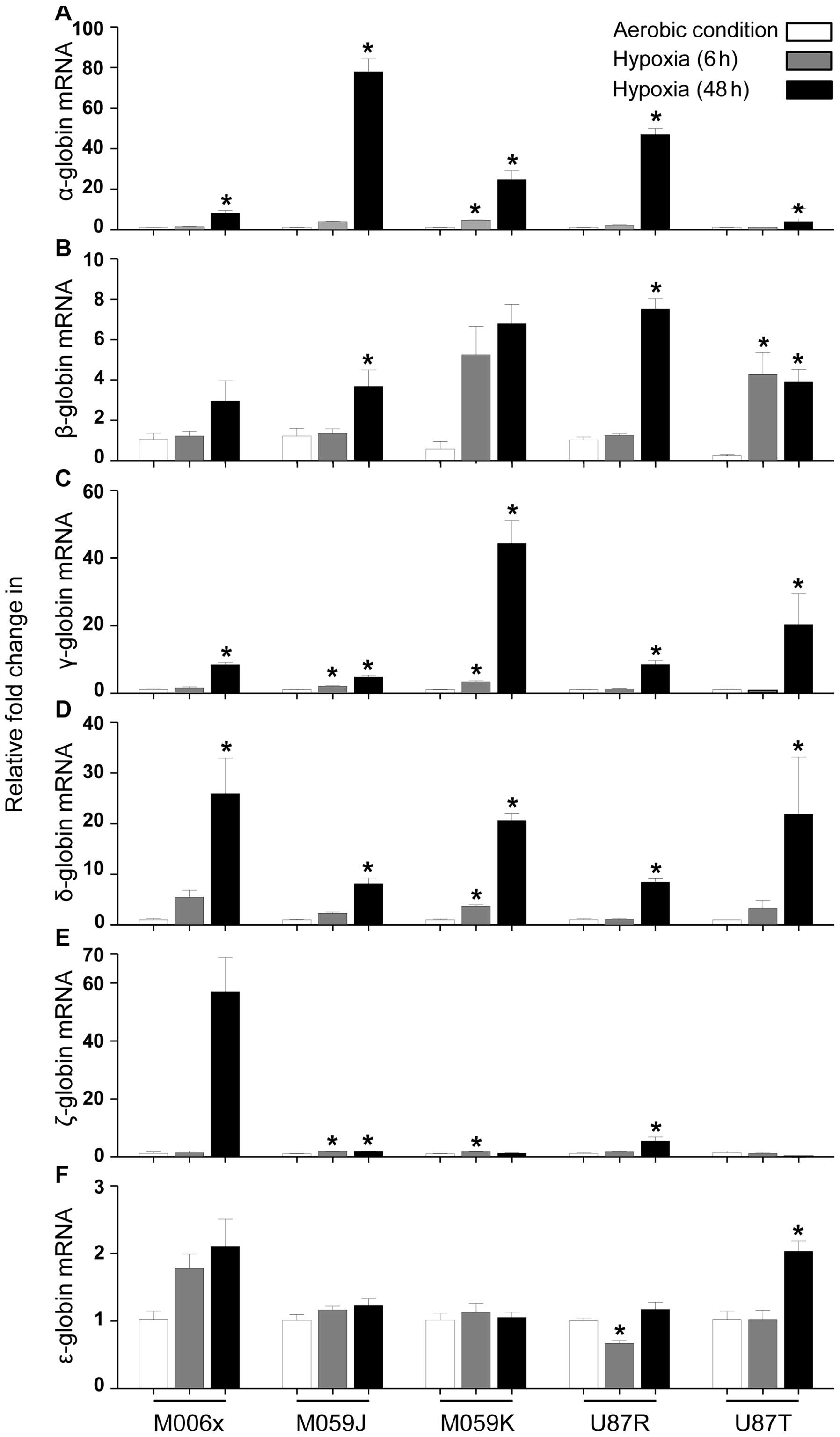
Hemoglobin is produced mainly in erythroid cells. However, it has been reported in non-erythroid cells of human and rodents. We have shown previously that neuroglobin, cytoglobin and hemoglobin are expressed in human glioblastoma multiforme (GBM) cells. We sought to determine whether hemoglobin expression is upregulated by hypoxia, and whether its expression is restricted to the cancer stem cell populations in different GBM cell lines or GBM brain tumor initiating cells (BTICs). Flow cytometry, magnetic cell sorting and qRT-PCR were used to examine the hypoxic upregulation of hemoglobins as well as erythropoietin (EPO) and erythropoietin receptor (EPOR) in GBM cell lines (M006x, M059J, M059K, U87R and U87T) and GBM-BTICs. The data showed significantly increased expression in globins (α, β, γ, δ, ζ and ε), EPO and EPOR mRNA levels under hypoxia. Globin expression is not limited to the stem cell populations or GBM-BTICs but is a property of the entire GBM population. We assumed that the total expression of mRNA of different normalized globins (α, β, γ, δ, ζ and ε) at different time‑points for the same cell line is 100%. Under aerobic conditions, ε globin was predominantly expressed, and then decreased gradually with increasing time in hypoxia. This was coupled to a concomitant increase in α and γ globins. Our findings suggest that hypoxic upregulation of hemoglobin expression in GBM cells may be a part of a repertoire of active defence and adaptation mechanisms enabling these cells to acquire resistance to aggressive multimodality treatments of chemotherapy and radiotherapy. New therapeutic strategies to interfere with hemoglobin expression or function in GBM cells are required.
View Figures

Figure 1

Figure 2

Figure 3

Figure 4

Figure 5

View References

1. 

Egawa T and Yeh SR: Structural and functional properties of hemoglobins from unicellular organisms as revealed by resonance Raman spectroscopy. J Inorg Biochem. 99:72–96. 2005. View Article : Google Scholar : PubMed/NCBI

2. 

Wajcman H, Kiger L and Marden MC: Structure and function evolution in the superfamily of globins. C R Biol. 332:273–282. 2009. View Article : Google Scholar : PubMed/NCBI

3. 

Pesce A, Bolognesi M, Bocedi A, et al: Neuroglobin and cytoglobin Fresh blood for the vertebrate globin family. EMBO Rep. 3:1146–1151. 2002. View Article : Google Scholar : PubMed/NCBI

4. 

Schelshorn DW, Schneider A, Kuschinsky W, et al: Expression of hemoglobin in rodent neurons. J Cereb Blood Flow Metab. 29:585–595. 2009. View Article : Google Scholar : PubMed/NCBI

5. 

Ohyagi Y, Yamada T and Goto I: Hemoglobin as a novel protein developmentally regulated in neurons. Brain Res. 635:323–327. 1994. View Article : Google Scholar : PubMed/NCBI

6. 

Biagioli M, Pinto M, Cesselli D, et al: Unexpected expression of alpha- and beta-globin in mesencephalic dopaminergic neurons and glial cells. Proc Natl Acad Sci USA. 106:15454–15459. 2009. View Article : Google Scholar : PubMed/NCBI

7. 

Dassen H, Kamps R, Punyadeera C, et al: Haemoglobin expression in human endometrium. Hum Reprod. 23:635–641. 2008. View Article : Google Scholar

8. 

Liu L, Zeng M and Stamler JS: Hemoglobin induction in mouse macrophages. Proc Natl Acad Sci USA. 96:6643–6647. 1999. View Article : Google Scholar : PubMed/NCBI

9. 

Wride MA, Mansergh FC, Adams S, et al: Expression profiling and gene discovery in the mouse lens. Mol Vis. 9:360–396. 2003.PubMed/NCBI

10. 

Nishi H, Inagi R, Kato H, et al: Hemoglobin is expressed by mesangial cells and reduces oxidant stress. J Am Soc Nephrol. 19:1500–1508. 2008. View Article : Google Scholar : PubMed/NCBI

11. 

Bhaskaran M, Chen H, Chen Z and Liu L: Hemoglobin is expressed in alveolar epithelial type II cells. Biochem Biophys Res Commun. 333:1348–1352. 2005. View Article : Google Scholar : PubMed/NCBI

12. 

Newton DA, Rao KM, Dluhy RA and Baatz JE: Hemoglobin is expressed by alveolar epithelial cells. J Biol Chem. 281:5668–5676. 2006. View Article : Google Scholar : PubMed/NCBI

13. 

Gorr TA, Wichmann D, Pilarsky C, et al: Old proteins - new locations: myoglobin, haemoglobin, neuroglobin and cytoglobin in solid tumours and cancer cells. Acta Physiol (Oxf). 202:563–581. 2011. View Article : Google Scholar : PubMed/NCBI

14. 

Hardison RC: Globin genes on the move. J Biol. 7:352008. View Article : Google Scholar : PubMed/NCBI

15. 

Bunn HF and Forget BG: Hemoglobin: Molecular, Genetic and Clinical Aspects. W.B. Saunders Co; Philadelphia, PA: 1986

16. 

Cosby K, Partovi KS, Crawford JH, et al: Nitrite reduction to nitric oxide by deoxyhemoglobin vasodilates the human circulation. Nat Med. 9:1498–1505. 2003. View Article : Google Scholar : PubMed/NCBI

17. 

Huang Z, Shiva S, Kim-Shapiro DB, et al: Enzymatic function of hemoglobin as a nitrite reductase that produces NO under allosteric control. J Clin Invest. 115:2099–2107. 2005. View Article : Google Scholar : PubMed/NCBI

18. 

Masuoka N, Kodama H, Abe T, Wang DH and Nakano T: Characterization of hydrogen peroxide removal reaction by hemoglobin in the presence of reduced pyridine nucleotides. Biochim Biophys Acta. 1637:46–54. 2003. View Article : Google Scholar : PubMed/NCBI

19. 

Gross SS and Lane P: Physiological reactions of nitric oxide and hemoglobin: a radical rethink. Proc Natl Acad Sci USA. 96:9967–9969. 1999. View Article : Google Scholar : PubMed/NCBI

20. 

Tsiftsoglou AS, Vizirianakis IS and Strouboulis J: Erythropoiesis: model systems, molecular regulators, and developmental programs. IUBMB Life. 61:800–830. 2009. View Article : Google Scholar : PubMed/NCBI

21. 

Rogers HM, Yu X, Wen J, Smith R, Fibach E and Noguchi CT: Hypoxia alters progression of the erythroid program. Exp Hematol. 36:17–27. 2008. View Article : Google Scholar : PubMed/NCBI

22. 

Sakanaka M, Wen TC, Matsuda S, et al: In vivo evidence that erythropoietin protects neurons from ischemic damage. Proc Natl Acad Sci USA. 95:4635–4640. 1998. View Article : Google Scholar : PubMed/NCBI

23. 

Tan CC, Eckardt KU, Firth JD and Ratcliffe PJ: Feedback modulation of renal and hepatic erythropoietin mRNA in response to graded anemia and hypoxia. Am J Physiol. 263:F474–F481. 1992.PubMed/NCBI

24. 

Tezel G, Yang X, Luo C, et al: Hemoglobin expression and regulation in glaucoma: insights into retinal ganglion cell oxygenation. Invest Ophthalmol Vis Sci. 51:907–919. 2010. View Article : Google Scholar : PubMed/NCBI

25. 

Lim SK, Llaguno SR, McKay RM and Parada LF: Glioblastoma multiforme: a perspective on recent findings in human cancer and mouse models. BMB Rep. 44:158–164. 2011. View Article : Google Scholar : PubMed/NCBI

26. 

Chaudhry NS, Shah AH, Ferraro N, et al: Predictors of long-term survival in patients with glioblastoma multiforme: advancements from the last quarter century. Cancer Invest. 31:287–308. 2013. View Article : Google Scholar : PubMed/NCBI

27. 

Bar EE: Glioblastoma, cancer stem cells and hypoxia. Brain Pathol. 21:119–129. 2011. View Article : Google Scholar : PubMed/NCBI

28. 

Sathornsumetee S, Cao Y, Marcello JE, et al: Tumor angiogenic and hypoxic profiles predict radiographic response and survival in malignant astrocytoma patients treated with bevacizumab and irinotecan. J Clin Oncol. 26:271–278. 2008. View Article : Google Scholar

29. 

Bertout JA, Patel SA and Simon MC: The impact of O2 availability on human cancer. Nat Rev Cancer. 8:967–975. 2008.

30. 

Alves TR, Lima FR, Kahn SA, et al: Glioblastoma cells: A heterogeneous and fatal tumor interacting with the parenchyma. Life Sci. 89:532–539. 2011. View Article : Google Scholar : PubMed/NCBI

31. 

Emara M, Salloum N and Allalunis-Turner J: Expression and hypoxic up-regulation of neuroglobin in human glioblastoma cells. Mol Oncol. 3:45–53. 2009. View Article : Google Scholar : PubMed/NCBI

32. 

Emara M, Turner AR and Allalunis-Turner J: Hypoxic regulation of cytoglobin and neuroglobin expression in human normal and tumor tissues. Cancer Cell Int. 10:332010. View Article : Google Scholar : PubMed/NCBI

33. 

Fang J, Ma I and Allalunis-Turner J: Knockdown of cytoglobin expression sensitizes human glioma cells to radiation and oxidative stress. Radiat Res. 176:198–207. 2011. View Article : Google Scholar : PubMed/NCBI

34. 

Emara M, Turner AR and Allalunis-Turner J: Adult, embryonic, and fetal hemoglobin are expressed in human glioblastoma cells. Int J Oncol. 44:514–520. 2014.PubMed/NCBI

35. 

Allalunis-Turner MJ, Barron GM, Day RS III, Dobler KD and Mirzayans R: Isolation of two cell lines from a human malignant glioma specimen differing in sensitivity to radiation and chemotherapeutic drugs. Radiat Res. 134:349–354. 1993. View Article : Google Scholar : PubMed/NCBI

36. 

Allalunis-Turner MJ, Barron GM, Day RS III, Fulton DS and Urtasun RC: Radiosensitivity testing of human primary brain tumor specimens. Int J Radiat Oncol Biol Phys. 23:339–343. 1992. View Article : Google Scholar : PubMed/NCBI

37. 

Allalunis-Turner MJ, Franko AJ and Parliament MB: Modulation of oxygen consumption rate and vascular endothelial growth factor mRNA expression in human malignant glioma cells by hypoxia. Br J Cancer. 80:104–109. 1999. View Article : Google Scholar : PubMed/NCBI

38. 

Parliament MB, Allalunis-Turner MJ, Franko AJ, et al: Vascular endothelial growth factor expression is independent of hypoxia in human malignant glioma spheroids and tumours. Br J Cancer. 82:635–641. 2000.PubMed/NCBI

39. 

Johnston AL, Lun X, Rahn JJ, et al: The p75 neurotrophin receptor is a central regulator of glioma invasion. PLoS Biol. 5:e2122007. View Article : Google Scholar : PubMed/NCBI

40. 

Koch CJ, Howell RL and Biaglow JE: Ascorbate anion potentiates cytotoxicity of nitro-aromatic compounds under hypoxic and anoxic conditions. Br J Cancer. 39:321–329. 1979. View Article : Google Scholar : PubMed/NCBI

41. 

Kelly JJ, Stechishin O, Chojnacki A, et al: Proliferation of human glioblastoma stem cells occurs independently of exogenous mitogens. Stem Cells. 27:1722–1733. 2009. View Article : Google Scholar : PubMed/NCBI

42. 

Mohyeldin A, Dalgard CL, Lu H, et al: Survival and invasiveness of astrocytomas promoted by erythropoietin. J Neurosurg. 106:338–350. 2007. View Article : Google Scholar : PubMed/NCBI

43. 

Said HM, Hagemann C, Staab A, et al: Expression patterns of the hypoxia-related genes osteopontin, CA9, erythropoietin, VEGF and HIF-1alpha in human glioma in vitro and in vivo. Radiother Oncol. 83:398–405. 2007. View Article : Google Scholar : PubMed/NCBI

44. 

Brescia P, Ortensi B, Fornasari L, Levi D, Broggi G and Pelicci G: CD133 is essential for glioblastoma stem cell maintenance. Stem Cells. 31:857–869. 2013. View Article : Google Scholar : PubMed/NCBI

45. 

Singh SK, Clarke ID, Terasaki M, et al: Identification of a cancer stem cell in human brain tumors. Cancer Res. 63:5821–5828. 2003.PubMed/NCBI

46. 

Liu G, Yuan X, Zeng Z, et al: Analysis of gene expression and chemoresistance of CD133+ cancer stem cells in glioblastoma. Mol Cancer. 5:672006. View Article : Google Scholar : PubMed/NCBI

47. 

Pallini R, Ricci-Vitiani L, Montano N, et al: Expression of the stem cell marker CD133 in recurrent glioblastoma and its value for prognosis. Cancer. 117:162–174. 2011. View Article : Google Scholar : PubMed/NCBI

48. 

He Y, Hua Y, Liu W, Hu H, Keep RF and Xi G: Effects of cerebral ischemia on neuronal hemoglobin. J Cereb Blood Flow Metab. 29:596–605. 2009. View Article : Google Scholar : PubMed/NCBI

49. 

Rebetz J, Tian D, Persson A, et al: Glial progenitor-like phenotype in low-grade glioma and enhanced CD133-expression and neuronal lineage differentiation potential in high-grade glioma. PLoS One. 3:e19362008. View Article : Google Scholar : PubMed/NCBI

50. 

Valtz NL, Hayes TE, Norregaard T, Liu SM and McKay RD: An embryonic origin for medulloblastoma. New Biol. 3:364–371. 1991.PubMed/NCBI

51. 

Schechter AN: Hemoglobin research and the origins of molecular medicine. Blood. 112:3927–3938. 2008. View Article : Google Scholar : PubMed/NCBI

52. 

Crawford MJ and Goldberg DE: Regulation of the Salmonella typhimurium flavohemoglobin gene. A new pathway for bacterial gene expression in response to nitric oxide. J Biol Chem. 273:34028–34032. 1998.

53. 

Richter F, Meurers BH, Zhu C, Medvedeva VP and Chesselet MF: Neurons express hemoglobin alpha- and beta-chains in rat and human brains. J Comp Neurol. 515:538–547. 2009. View Article : Google Scholar : PubMed/NCBI

54. 

Acs G, Acs P, Beckwith SM, et al: Erythropoietin and erythropoietin receptor expression in human cancer. Cancer Res. 61:3561–3565. 2001.PubMed/NCBI

55. 

Batra S, Perelman N, Luck LR, Shimada H and Malik P: Pediatric tumor cells express erythropoietin and a functional erythropoietin receptor that promotes angiogenesis and tumor cell survival. Lab Invest. 83:1477–1487. 2003. View Article : Google Scholar : PubMed/NCBI

56. 

Marti HH, Wenger RH, Rivas LA, et al: Erythropoietin gene expression in human, monkey and murine brain. Eur J Neurosci. 8:666–676. 1996. View Article : Google Scholar : PubMed/NCBI

57. 

Olive PL, Trotter T, Banath JP, Jackson SM and Le Riche J: Heterogeneity in human tumour hypoxic fraction using the comet assay. Br J Cancer (Suppl). 27:S191–S195. 1996.PubMed/NCBI

58. 

Vaupel P, Schlenger K, Knoop C and Hockel M: Oxygenation of human tumors: evaluation of tissue oxygen distribution in breast cancers by computerized O2 tension measurements. Cancer Res. 51:3316–3322. 1991.PubMed/NCBI

59. 

Foley RN: Erythropoietin: physiology and molecular mechanisms. Heart Fail Rev. 13:405–414. 2008. View Article : Google Scholar : PubMed/NCBI

60. 

Jelkmann W, Bohlius J, Hallek M and Sytkowski AJ: The erythropoietin receptor in normal and cancer tissues. Crit Rev Oncol Hematol. 67:39–61. 2008. View Article : Google Scholar : PubMed/NCBI

61. 

Milano M and Collomp R: Erythropoietin and neuroprotection: a therapeutic perspective. J Oncol Pharm Pract. 11:145–149. 2005. View Article : Google Scholar : PubMed/NCBI

62. 

Yasuda Y, Fujita Y, Matsuo T, et al: Erythropoietin regulates tumour growth of human malignancies. Carcinogenesis. 24:1021–1029. 2003. View Article : Google Scholar : PubMed/NCBI

63. 

Yin D, Kawabata H, Tcherniamtchouk O, Huynh T, Black KL and Koeffler HP: Glioblastoma multiforme cells: expression of erythropoietin receptor and response to erythropoietin. Int J Oncol. 31:1193–1198. 2007.PubMed/NCBI

64. 

Hassouna I, Sperling S, Kim E, et al: Erythropoietin augments survival of glioma cells after radiation and temozolomide. Int J Radiat Oncol Biol Phys. 72:927–934. 2008. View Article : Google Scholar : PubMed/NCBI

65. 

Wood WG: Haemoglobin synthesis during human fetal development. Br Med Bull. 32:282–287. 1976.PubMed/NCBI

66. 

Allen DW and Jandl JH: Factors influencing relative rates of synthesis of adult and fetal hemoglobin in vitro. J Clin Invest. 39:1107–1113. 1960. View Article : Google Scholar : PubMed/NCBI

67. 

Thomas ED, Lochte HL Jr, Greenough WB III and Wales M: In vitro synthesis of foetal and adult haemoglobin by foetal haematopoietic tissues. Nature. 185:396–397. 1960. View Article : Google Scholar : PubMed/NCBI

68. 

Seidel S, Garvalov BK, Wirta V, et al: A hypoxic niche regulates glioblastoma stem cells through hypoxia inducible factor 2 alpha. Brain. 133:983–995. 2010. View Article : Google Scholar : PubMed/NCBI

69. 

Soeda A, Park M, Lee D, et al: Hypoxia promotes expansion of the CD133-positive glioma stem cells through activation of HIF-1alpha. Oncogene. 28:3949–3959. 2009. View Article : Google Scholar : PubMed/NCBI

70. 

Bao S, Wu Q, McLendon RE, et al: Glioma stem cells promote radioresistance by preferential activation of the DNA damage response. Nature. 444:756–760. 2006. View Article : Google Scholar : PubMed/NCBI

71. 

Tamura K, Aoyagi M, Wakimoto H, et al: Accumulation of CD133-positive glioma cells after high-dose irradiation by Gamma Knife surgery plus external beam radiation. J Neurosurg. 113:310–318. 2010. View Article : Google Scholar : PubMed/NCBI

72. 

Ma YH, Mentlein R, Knerlich F, Kruse ML, Mehdorn HM and Held-Feindt J: Expression of stem cell markers in human astrocytomas of different WHO grades. J Neurooncol. 86:31–45. 2008. View Article : Google Scholar : PubMed/NCBI

73. 

Sankaran VG: Targeted therapeutic strategies for fetal hemoglobin induction. Hematology Am Soc Hematol Educ Program. 2011:459–465. 2011. View Article : Google Scholar : PubMed/NCBI

74. 

Witt O, Monkemeyer S, Ronndahl G, et al: Induction of fetal hemoglobin expression by the histone deacetylase inhibitor apicidin. Blood. 101:2001–2007. 2003. View Article : Google Scholar : PubMed/NCBI

Related Articles

  • Abstract
  • View
  • Download
  • Twitter
Copy and paste a formatted citation
Spandidos Publications style
Emara M, Turner AR and Allalunis-Turner J: Hypoxia differentially upregulates the expression of embryonic, fetal and adult hemoglobin in human glioblastoma cells. Int J Oncol 44: 950-958, 2014.
APA
Emara, M., Turner, A.R., & Allalunis-Turner, J. (2014). Hypoxia differentially upregulates the expression of embryonic, fetal and adult hemoglobin in human glioblastoma cells. International Journal of Oncology, 44, 950-958. https://doi.org/10.3892/ijo.2013.2239
MLA
Emara, M., Turner, A. R., Allalunis-Turner, J."Hypoxia differentially upregulates the expression of embryonic, fetal and adult hemoglobin in human glioblastoma cells". International Journal of Oncology 44.3 (2014): 950-958.
Chicago
Emara, M., Turner, A. R., Allalunis-Turner, J."Hypoxia differentially upregulates the expression of embryonic, fetal and adult hemoglobin in human glioblastoma cells". International Journal of Oncology 44, no. 3 (2014): 950-958. https://doi.org/10.3892/ijo.2013.2239
Copy and paste a formatted citation
x
Spandidos Publications style
Emara M, Turner AR and Allalunis-Turner J: Hypoxia differentially upregulates the expression of embryonic, fetal and adult hemoglobin in human glioblastoma cells. Int J Oncol 44: 950-958, 2014.
APA
Emara, M., Turner, A.R., & Allalunis-Turner, J. (2014). Hypoxia differentially upregulates the expression of embryonic, fetal and adult hemoglobin in human glioblastoma cells. International Journal of Oncology, 44, 950-958. https://doi.org/10.3892/ijo.2013.2239
MLA
Emara, M., Turner, A. R., Allalunis-Turner, J."Hypoxia differentially upregulates the expression of embryonic, fetal and adult hemoglobin in human glioblastoma cells". International Journal of Oncology 44.3 (2014): 950-958.
Chicago
Emara, M., Turner, A. R., Allalunis-Turner, J."Hypoxia differentially upregulates the expression of embryonic, fetal and adult hemoglobin in human glioblastoma cells". International Journal of Oncology 44, no. 3 (2014): 950-958. https://doi.org/10.3892/ijo.2013.2239
Follow us
  • Twitter
  • LinkedIn
  • Facebook
About
  • Spandidos Publications
  • Careers
  • Cookie Policy
  • Privacy Policy
How can we help?
  • Help
  • Live Chat
  • Contact
  • Email to our Support Team