Spandidos Publications Logo
  • About
    • About Spandidos
    • Aims and Scopes
    • Abstracting and Indexing
    • Editorial Policies
    • Reprints and Permissions
    • Job Opportunities
    • Terms and Conditions
    • Contact
  • Journals
    • All Journals
    • Oncology Letters
      • Oncology Letters
      • Information for Authors
      • Editorial Policies
      • Editorial Board
      • Aims and Scope
      • Abstracting and Indexing
      • Bibliographic Information
      • Archive
    • International Journal of Oncology
      • International Journal of Oncology
      • Information for Authors
      • Editorial Policies
      • Editorial Board
      • Aims and Scope
      • Abstracting and Indexing
      • Bibliographic Information
      • Archive
    • Molecular and Clinical Oncology
      • Molecular and Clinical Oncology
      • Information for Authors
      • Editorial Policies
      • Editorial Board
      • Aims and Scope
      • Abstracting and Indexing
      • Bibliographic Information
      • Archive
    • Experimental and Therapeutic Medicine
      • Experimental and Therapeutic Medicine
      • Information for Authors
      • Editorial Policies
      • Editorial Board
      • Aims and Scope
      • Abstracting and Indexing
      • Bibliographic Information
      • Archive
    • International Journal of Molecular Medicine
      • International Journal of Molecular Medicine
      • Information for Authors
      • Editorial Policies
      • Editorial Board
      • Aims and Scope
      • Abstracting and Indexing
      • Bibliographic Information
      • Archive
    • Biomedical Reports
      • Biomedical Reports
      • Information for Authors
      • Editorial Policies
      • Editorial Board
      • Aims and Scope
      • Abstracting and Indexing
      • Bibliographic Information
      • Archive
    • Oncology Reports
      • Oncology Reports
      • Information for Authors
      • Editorial Policies
      • Editorial Board
      • Aims and Scope
      • Abstracting and Indexing
      • Bibliographic Information
      • Archive
    • Molecular Medicine Reports
      • Molecular Medicine Reports
      • Information for Authors
      • Editorial Policies
      • Editorial Board
      • Aims and Scope
      • Abstracting and Indexing
      • Bibliographic Information
      • Archive
    • World Academy of Sciences Journal
      • World Academy of Sciences Journal
      • Information for Authors
      • Editorial Policies
      • Editorial Board
      • Aims and Scope
      • Abstracting and Indexing
      • Bibliographic Information
      • Archive
    • International Journal of Functional Nutrition
      • International Journal of Functional Nutrition
      • Information for Authors
      • Editorial Policies
      • Editorial Board
      • Aims and Scope
      • Abstracting and Indexing
      • Bibliographic Information
      • Archive
    • International Journal of Epigenetics
      • International Journal of Epigenetics
      • Information for Authors
      • Editorial Policies
      • Editorial Board
      • Aims and Scope
      • Abstracting and Indexing
      • Bibliographic Information
      • Archive
    • Medicine International
      • Medicine International
      • Information for Authors
      • Editorial Policies
      • Editorial Board
      • Aims and Scope
      • Abstracting and Indexing
      • Bibliographic Information
      • Archive
  • Articles
  • Information
    • Information for Authors
    • Information for Reviewers
    • Information for Librarians
    • Information for Advertisers
    • Conferences
  • Language Editing
Spandidos Publications Logo
  • About
    • About Spandidos
    • Aims and Scopes
    • Abstracting and Indexing
    • Editorial Policies
    • Reprints and Permissions
    • Job Opportunities
    • Terms and Conditions
    • Contact
  • Journals
    • All Journals
    • Biomedical Reports
      • Information for Authors
      • Editorial Policies
      • Editorial Board
      • Aims and Scope
      • Abstracting and Indexing
      • Bibliographic Information
      • Archive
    • Experimental and Therapeutic Medicine
      • Information for Authors
      • Editorial Policies
      • Editorial Board
      • Aims and Scope
      • Abstracting and Indexing
      • Bibliographic Information
      • Archive
    • International Journal of Epigenetics
      • Information for Authors
      • Editorial Policies
      • Editorial Board
      • Aims and Scope
      • Abstracting and Indexing
      • Bibliographic Information
      • Archive
    • International Journal of Functional Nutrition
      • Information for Authors
      • Editorial Policies
      • Editorial Board
      • Aims and Scope
      • Abstracting and Indexing
      • Bibliographic Information
      • Archive
    • International Journal of Molecular Medicine
      • Information for Authors
      • Editorial Policies
      • Editorial Board
      • Aims and Scope
      • Abstracting and Indexing
      • Bibliographic Information
      • Archive
    • International Journal of Oncology
      • Information for Authors
      • Editorial Policies
      • Editorial Board
      • Aims and Scope
      • Abstracting and Indexing
      • Bibliographic Information
      • Archive
    • Medicine International
      • Information for Authors
      • Editorial Policies
      • Editorial Board
      • Aims and Scope
      • Abstracting and Indexing
      • Bibliographic Information
      • Archive
    • Molecular and Clinical Oncology
      • Information for Authors
      • Editorial Policies
      • Editorial Board
      • Aims and Scope
      • Abstracting and Indexing
      • Bibliographic Information
      • Archive
    • Molecular Medicine Reports
      • Information for Authors
      • Editorial Policies
      • Editorial Board
      • Aims and Scope
      • Abstracting and Indexing
      • Bibliographic Information
      • Archive
    • Oncology Letters
      • Information for Authors
      • Editorial Policies
      • Editorial Board
      • Aims and Scope
      • Abstracting and Indexing
      • Bibliographic Information
      • Archive
    • Oncology Reports
      • Information for Authors
      • Editorial Policies
      • Editorial Board
      • Aims and Scope
      • Abstracting and Indexing
      • Bibliographic Information
      • Archive
    • World Academy of Sciences Journal
      • Information for Authors
      • Editorial Policies
      • Editorial Board
      • Aims and Scope
      • Abstracting and Indexing
      • Bibliographic Information
      • Archive
  • Articles
  • Information
    • For Authors
    • For Reviewers
    • For Librarians
    • For Advertisers
    • Conferences
  • Language Editing
Login Register Submit
  • This site uses cookies
  • You can change your cookie settings at any time by following the instructions in our Cookie Policy. To find out more, you may read our Privacy Policy.

    I agree
Search articles by DOI, keyword, author or affiliation
Search
Advanced Search
presentation
Molecular Medicine Reports
Join Editorial Board Propose a Special Issue
Print ISSN: 1791-2997 Online ISSN: 1791-3004
Journal Cover
December-2019 Volume 20 Issue 6

Full Size Image

Sign up for eToc alerts
Recommend to Library

Journals

International Journal of Molecular Medicine

International Journal of Molecular Medicine

International Journal of Molecular Medicine is an international journal devoted to molecular mechanisms of human disease.

International Journal of Oncology

International Journal of Oncology

International Journal of Oncology is an international journal devoted to oncology research and cancer treatment.

Molecular Medicine Reports

Molecular Medicine Reports

Covers molecular medicine topics such as pharmacology, pathology, genetics, neuroscience, infectious diseases, molecular cardiology, and molecular surgery.

Oncology Reports

Oncology Reports

Oncology Reports is an international journal devoted to fundamental and applied research in Oncology.

Experimental and Therapeutic Medicine

Experimental and Therapeutic Medicine

Experimental and Therapeutic Medicine is an international journal devoted to laboratory and clinical medicine.

Oncology Letters

Oncology Letters

Oncology Letters is an international journal devoted to Experimental and Clinical Oncology.

Biomedical Reports

Biomedical Reports

Explores a wide range of biological and medical fields, including pharmacology, genetics, microbiology, neuroscience, and molecular cardiology.

Molecular and Clinical Oncology

Molecular and Clinical Oncology

International journal addressing all aspects of oncology research, from tumorigenesis and oncogenes to chemotherapy and metastasis.

World Academy of Sciences Journal

World Academy of Sciences Journal

Multidisciplinary open-access journal spanning biochemistry, genetics, neuroscience, environmental health, and synthetic biology.

International Journal of Functional Nutrition

International Journal of Functional Nutrition

Open-access journal combining biochemistry, pharmacology, immunology, and genetics to advance health through functional nutrition.

International Journal of Epigenetics

International Journal of Epigenetics

Publishes open-access research on using epigenetics to advance understanding and treatment of human disease.

Medicine International

Medicine International

An International Open Access Journal Devoted to General Medicine.

Journal Cover
December-2019 Volume 20 Issue 6

Full Size Image

Sign up for eToc alerts
Recommend to Library

  • Article
  • Citations
    • Cite This Article
    • Download Citation
    • Create Citation Alert
    • Remove Citation Alert
    • Cited By
  • Similar Articles
    • Related Articles (in Spandidos Publications)
    • Similar Articles (Google Scholar)
    • Similar Articles (PubMed)
  • Download PDF
  • Download XML
  • View XML
Article

Potential function of microRNAs in thoracic aortic aneurysm and thoracic aortic dissection pathogenesis

  • Authors:
    • Tugce Senturk
    • Arzu Antal
    • Tuba Gunel
  • View Affiliations / Copyright

    Affiliations: Department of Molecular Biology and Genetics, Istanbul University, Istanbul 34134, Turkey, Cardiovascular Surgery Clinic, Kartal Kosuyolu Training and Research Hospital, Istanbul 34865, Turkey
  • Pages: 5353-5362
    |
    Published online on: October 22, 2019
       https://doi.org/10.3892/mmr.2019.10761
  • Expand metrics +
Metrics: Total Views: 0 (Spandidos Publications: | PMC Statistics: )
Metrics: Total PDF Downloads: 0 (Spandidos Publications: | PMC Statistics: )
Cited By (CrossRef): 0 citations Loading Articles...

This article is mentioned in:



Abstract

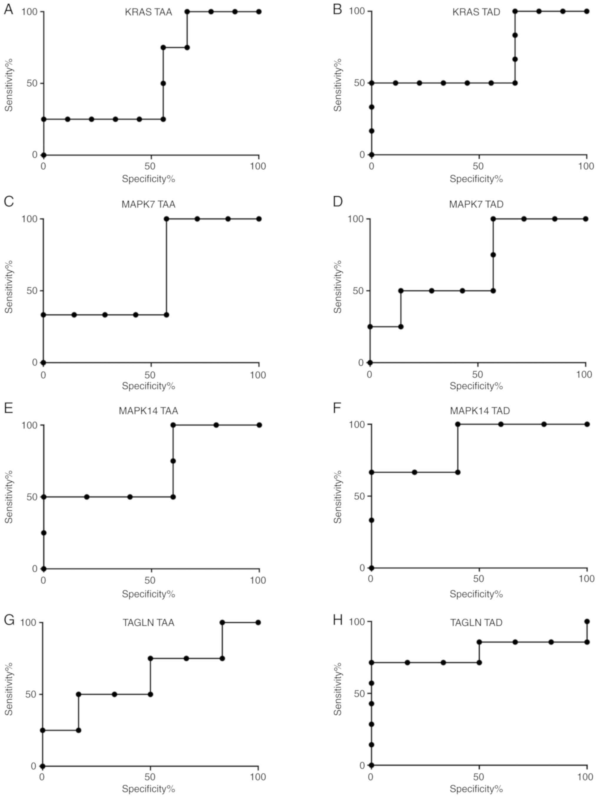
Thoracic aortic aneurysm (TAA) and thoracic aortic dissection (TAD) are aortic diseases known as ‘silent killers’. While TAA is characterized by an enlargement of at least half of the normal aortic diameter, TAD is characterized by progressive pseudo‑lumen formation, which results in the gradual separation of the aortic wall layers. In the present study, a total of 28 serum samples from nine patients with TAA, nine patients with TAD and ten healthy individuals were studied. The aim of the present study was to investigate the expression profiles of hsa‑microRNA(miR)‑143‑3p and hsa‑miR‑22‑3p in TAA and TAD in order to identify candidate miRNAs that are responsible for the pathogenesis of the diseases. Following the detection of target mRNAs from candidate miRNAs by bioinformatic tools, the expression profiles of target mRNAs were analyzed. A quantitative polymerase chain reaction was performed to detect Kirsten rat sarcoma viral oncogene homolog (KRAS), mitogen‑activated protein kinase (MAPK) 7, MAPK14 and transgelin (TAGLN) mRNA expression profiles. The results of the comparison with control group demonstrated that the increase in the expression levels of hsa‑miR‑143‑3p (P=0.017) and hsa‑miR‑22 (P=0.03) candidate miRNAs were statistically significant in the TAA group, but not in the TAD group. The expression of KRAS and MAPK7 mRNAs decreased in the two groups compared with the control group. The level of expression of MAPK14 decreased in the TAD group, but increased in the TAA group compared with the control group. TAGLN mRNA expression level increased in the two groups. The statistically significant difference in the expression of hsa‑miR‑143‑3p suggests that hsa‑miR‑143‑3p may be a potential biomarker for TAA, as the expression of the target mRNAs KRAS and MAPK7 decreased and the miRNA‑mRNA association was negatively correlated. These miRNAs and their associated genes may serve important functions in TAA formation, the altered expression of which may be important in the pathogenesis of TAA.
View Figures

Figure 1

Figure 2

Figure 3

Figure 4

Figure 5

Figure 6

Figure 7

View References

1 

Milewicz DM, Prakash SK and Ramirez F: Therapeutics targeting drivers of thoracic aortic aneurysms and acute aortic dissections: Insights from predisposing genes and mouse models. Annu Rev Med. 68:51–67. 2017. View Article : Google Scholar : PubMed/NCBI

2 

Howard DP, Banerjee A, Fairhead JF, Perkins J, Silver LE and Rothwell PM; Oxford Vascular Study, : Population-based study of incidence and outcome of acute aortic dissection and premorbid risk factor control: 10-year results from the Oxford Vascular Study. Circulation. 127:2031–2037. 2013. View Article : Google Scholar : PubMed/NCBI

3 

Martufi G, Gasser TC, Appoo JJ and Di Martino ES: Mechano-biology in the thoracic aortic aneurysm: A review and case study. Biomech Model Mechanobiol. 13:917–928. 2014. View Article : Google Scholar : PubMed/NCBI

4 

Liao M, Zou S, Weng J, Hou L, Yang L, Zhao Z, Bao J and Jing Z: A microRNA profile comparison between thoracic aortic dissection and normal thoracic aorta indicates the potential role of microRNAs in contributing to thoracic aortic dissection pathogenesis. J Vasc Surg. 53:1341–1349.e3. 2011. View Article : Google Scholar : PubMed/NCBI

5 

Ikonomidis JS, Ivey CR, Wheeler JB, Akerman AW, Rice A, Patel RK, Stroud RE, Shah AA, Hughes CG, Ferrari G, et al: Plasma biomarkers for distinguishing etiologic subtypes of thoracic aortic aneurysm disease. J Thorac Cardiovasc Surg. 145:1326–1333. 2013. View Article : Google Scholar : PubMed/NCBI

6 

Liu R, Lo L, Lay AJ, Zhao Y, Ting KK, Robertson EN, Sherrah AG, Jarrah S, Li H, Zhou Z, et al: ARHGAP18 protects against thoracic aortic aneurysm formation by mitigating the synthetic and proinflammatory smooth muscle cell phenotype. Circ Res. 121:512–524. 2017. View Article : Google Scholar : PubMed/NCBI

7 

Boon RA, Seeger T, Heydt S, Fischer A, Hergenreider E, Horrevoets AJ, Vinciguerra M, Rosenthal N, Sciacca S, Pilato M, et al: MicroRNA-29 in aortic dilation: Implications for aneurysm formation. Circ Res. 109:1115–1119. 2011. View Article : Google Scholar : PubMed/NCBI

8 

Moushi A, Michailidou K, Soteriou M, Cariolou M and Bashiardes E: MicroRNAs as possible biomarkers for screening of aortic aneurysms: A systematic review and validation study. Biomarkers. 23:253–264. 2018. View Article : Google Scholar : PubMed/NCBI

9 

Wang Y, Wu B, Dong L, Wang C, Wang X and Shu X: Circulating matrix metalloproteinase patterns in association with aortic dilatation in bicuspid aortic valve patients with isolated severe aortic stenosis. Heart Vessels. 31:189–197. 2016. View Article : Google Scholar : PubMed/NCBI

10 

Osaki M, Takeshita F, Sugimoto Y, Kosaka N, Yamamoto Y, Yoshioka Y, Kobayashi E, Yamada T, Kawai A, Inoue T, et al: MicroRNA-143 regulates human osteosarcoma metastasis by regulating matrix metalloprotease-13 expression. Mol Ther. 19:1123–1130. 2011. View Article : Google Scholar : PubMed/NCBI

11 

Kim HW and Stansfield BK: Genetic and epigenetic regulation of aortic aneurysms. Biomed Res Int. 2017:72685212017.PubMed/NCBI

12 

Jancík S, Drábek J, Radzioch D and Hajdúch M: Clinical relevance of KRAS in human cancers. J Biomed Biotechnol. 2010:1509602010. View Article : Google Scholar : PubMed/NCBI

13 

Li Y and Maegdefessel L: Non-coding RNA contribution to thoracic and abdominal aortic aneurysm disease development and progression. Front Physiol. 8:4292017. View Article : Google Scholar : PubMed/NCBI

14 

Ignatieva E, Kostina D, Irtyuga O, Uspensky V, Golovkin A, Gavriliuk N, Moiseeva O, Kostareva A and Malashicheva A: Mechanisms of smooth muscle cell differentiation are distinctly altered in thoracic aortic aneurysms associated with bicuspid or tricuspid aortic valves. Front Physiol. 8:5362017. View Article : Google Scholar : PubMed/NCBI

15 

Livak KJ and Schmittgen TD: Analysis of relative gene expression data using real-time quantitative PCR and the 2(-Delta Delta C(T)) method. Methods. 25:402–408. 2001. View Article : Google Scholar : PubMed/NCBI

16 

Erbel R, Aboyans V, Boileau C, Bossone E, Bartolomeo RD, Eggebrecht H, Evangelista A, Falk V, Frank H, Gaemperli O, et al: 2014 ESC Guidelines on the diagnosis and treatment of aortic diseases: Document covering acute and chronic aortic diseases of the thoracic and abdominal aorta of the adult. The Task Force for the Diagnosis and Treatment of Aortic Diseases of the European Society of Cardiology (ESC). Eur Heart J. 35:2873–2926. 2014. View Article : Google Scholar : PubMed/NCBI

17 

Kent KC: Clinical practice. Abdominal aortic aneurysms. N Engl J Med. 371:2101–2108. 2014. View Article : Google Scholar : PubMed/NCBI

18 

Burillo E, Lindholt JS, Molina-Sánchez P, Jorge I, Martinez-Pinna R, Blanco-Colio LM, Tarin C, Torres-Fonseca MM, Esteban M, Laustsen J, et al: ApoA-I/HDL-C levels are inversely associated with abdominal aortic aneurysm progression. Thromb Haemost. 113:1335–1346. 2015. View Article : Google Scholar : PubMed/NCBI

19 

Gawinecka J, Schönrath F and von Eckardstein A: Acute aortic dissection: Pathogenesis, risk factors and diagnosis. Swiss Med Wkly. 147:w144892017.PubMed/NCBI

20 

Turchinovich A, Weiz L, Langheinz A and Burwinkel B: Characterization of extracellular circulating microRNA. Nucleic Acids Res. 39:7223–7233. 2011. View Article : Google Scholar : PubMed/NCBI

21 

Patuzzo C, Pasquali A, Malerba G, Trabetti E, Pignatti P, Tessari M and Faggian G: Preliminary microRNA analysis of non syndromic thoracic aortic aneurysms. Balkan J Med Genet. 15 (Suppl):S51–S55. 2012. View Article : Google Scholar

22 

Licholai S, Blaż M, Kapelak B and Sanak M: Unbiased profile of MicroRNA expression in ascending aortic aneurysm tissue appoints molecular pathways contributing to the pathology. Ann Thorac Surg. 102:1245–1252. 2016. View Article : Google Scholar : PubMed/NCBI

23 

Rangrez AY, Massy ZA, Metzinger-Le Meuth V and Metzinger L: miR-143 and miR-145: Molecular keys to switch the phenotype of vascular smooth muscle cells. Circ Cardiovasc Genet. 4:197–205. 2011. View Article : Google Scholar : PubMed/NCBI

24 

Cordes KR, Sheehy NT, White MP, Berry EC, Morton SU, Muth AN, Lee TH, Miano JM, Ivey KN and Srivastava D: miR-145 and miR-143 regulate smooth muscle cell fate and plasticity. Nature. 460:705–710. 2009. View Article : Google Scholar : PubMed/NCBI

25 

Climent M, Quintavalle M, Miragoli M, Chen J, Condorelli G and Elia L: TGFβ triggers miR-143/145 transfer from smooth muscle cells to endothelial cells, thereby modulating vessel stabilization. Circ Res. 116:1753–1764. 2015. View Article : Google Scholar : PubMed/NCBI

26 

Song B and Ju J: Impact of miRNAs in gastrointestinal cancer diagnosis and prognosis. Expert Rev Mol Med. 12:e332010. View Article : Google Scholar : PubMed/NCBI

27 

Wang J, Lu L and Huang K: miR-143 inhibits osteosarcoma cell proliferation by downregulating K-ras expression. Int J Clin Exp Pathol. 9:3436–3441. 2016.

28 

Yu ML, Wang JF, Wang GK, You XH, Zhao XX, Jing Q and Qin YW: Vascular smooth muscle cell proliferation is influenced by let-7d microRNA and its interaction with KRAS. Circ J. 75:703–709. 2011. View Article : Google Scholar : PubMed/NCBI

29 

Inoue T and Node K: Molecular basis of restenosis and novel issues of drug-eluting stents. Circ J. 73:615–621. 2009. View Article : Google Scholar : PubMed/NCBI

30 

Roberts OL, Holmes K, Müller J, Cross DA and Cross MJ: ERK5 is required for VEGF-mediated survival and tubular morphogenesis of primary human microvascular endothelial cells. J Cell Sci. 123:3189–3200. 2010. View Article : Google Scholar : PubMed/NCBI

31 

Yang F, Chen Q, He S, Yang M, Maguire EM, An W, Afzal TA, Luong LA, Zhang L and Xiao Q: miR-22 is a novel mediator of vascular smooth muscle cell phenotypic modulation and neointima formation. Circulation. 137:1824–1841. 2018. View Article : Google Scholar : PubMed/NCBI

32 

Long X, Cowan SL and Miano JM: Mitogen-activated protein kinase 14 is a novel negative regulatory switch for the vascular smooth muscle cell contractile gene program. Arterioscler Thromb Vasc Biol. 33:378–386. 2013. View Article : Google Scholar : PubMed/NCBI

33 

Zhao H, Wen G, Huang Y, Yu X, Chen Q, Afzal TA, Luong le A, Zhu J, Ye S, Zhang L and Xiao Q: MicroRNA-22 regulates smooth muscle cell differentiation from stem cells by targeting methyl CpG-binding protein 2. Arterioscler Thromb Vasc Biol. 35:918–929. 2015. View Article : Google Scholar : PubMed/NCBI

34 

Dhingra R and Vasan RS: Age as a risk factor. Med Clin North Am. 96:87–91. 2012. View Article : Google Scholar : PubMed/NCBI

Related Articles

  • Abstract
  • View
  • Download
  • Twitter
Copy and paste a formatted citation
Spandidos Publications style
Senturk T, Antal A and Gunel T: Potential function of microRNAs in thoracic aortic aneurysm and thoracic aortic dissection pathogenesis. Mol Med Rep 20: 5353-5362, 2019.
APA
Senturk, T., Antal, A., & Gunel, T. (2019). Potential function of microRNAs in thoracic aortic aneurysm and thoracic aortic dissection pathogenesis. Molecular Medicine Reports, 20, 5353-5362. https://doi.org/10.3892/mmr.2019.10761
MLA
Senturk, T., Antal, A., Gunel, T."Potential function of microRNAs in thoracic aortic aneurysm and thoracic aortic dissection pathogenesis". Molecular Medicine Reports 20.6 (2019): 5353-5362.
Chicago
Senturk, T., Antal, A., Gunel, T."Potential function of microRNAs in thoracic aortic aneurysm and thoracic aortic dissection pathogenesis". Molecular Medicine Reports 20, no. 6 (2019): 5353-5362. https://doi.org/10.3892/mmr.2019.10761
Copy and paste a formatted citation
x
Spandidos Publications style
Senturk T, Antal A and Gunel T: Potential function of microRNAs in thoracic aortic aneurysm and thoracic aortic dissection pathogenesis. Mol Med Rep 20: 5353-5362, 2019.
APA
Senturk, T., Antal, A., & Gunel, T. (2019). Potential function of microRNAs in thoracic aortic aneurysm and thoracic aortic dissection pathogenesis. Molecular Medicine Reports, 20, 5353-5362. https://doi.org/10.3892/mmr.2019.10761
MLA
Senturk, T., Antal, A., Gunel, T."Potential function of microRNAs in thoracic aortic aneurysm and thoracic aortic dissection pathogenesis". Molecular Medicine Reports 20.6 (2019): 5353-5362.
Chicago
Senturk, T., Antal, A., Gunel, T."Potential function of microRNAs in thoracic aortic aneurysm and thoracic aortic dissection pathogenesis". Molecular Medicine Reports 20, no. 6 (2019): 5353-5362. https://doi.org/10.3892/mmr.2019.10761
Follow us
  • Twitter
  • LinkedIn
  • Facebook
About
  • Spandidos Publications
  • Careers
  • Cookie Policy
  • Privacy Policy
How can we help?
  • Help
  • Live Chat
  • Contact
  • Email to our Support Team