Spandidos Publications Logo
  • About
    • About Spandidos
    • Aims and Scopes
    • Abstracting and Indexing
    • Editorial Policies
    • Reprints and Permissions
    • Job Opportunities
    • Terms and Conditions
    • Contact
  • Journals
    • All Journals
    • Oncology Letters
      • Oncology Letters
      • Information for Authors
      • Editorial Policies
      • Editorial Board
      • Aims and Scope
      • Abstracting and Indexing
      • Bibliographic Information
      • Archive
    • International Journal of Oncology
      • International Journal of Oncology
      • Information for Authors
      • Editorial Policies
      • Editorial Board
      • Aims and Scope
      • Abstracting and Indexing
      • Bibliographic Information
      • Archive
    • Molecular and Clinical Oncology
      • Molecular and Clinical Oncology
      • Information for Authors
      • Editorial Policies
      • Editorial Board
      • Aims and Scope
      • Abstracting and Indexing
      • Bibliographic Information
      • Archive
    • Experimental and Therapeutic Medicine
      • Experimental and Therapeutic Medicine
      • Information for Authors
      • Editorial Policies
      • Editorial Board
      • Aims and Scope
      • Abstracting and Indexing
      • Bibliographic Information
      • Archive
    • International Journal of Molecular Medicine
      • International Journal of Molecular Medicine
      • Information for Authors
      • Editorial Policies
      • Editorial Board
      • Aims and Scope
      • Abstracting and Indexing
      • Bibliographic Information
      • Archive
    • Biomedical Reports
      • Biomedical Reports
      • Information for Authors
      • Editorial Policies
      • Editorial Board
      • Aims and Scope
      • Abstracting and Indexing
      • Bibliographic Information
      • Archive
    • Oncology Reports
      • Oncology Reports
      • Information for Authors
      • Editorial Policies
      • Editorial Board
      • Aims and Scope
      • Abstracting and Indexing
      • Bibliographic Information
      • Archive
    • Molecular Medicine Reports
      • Molecular Medicine Reports
      • Information for Authors
      • Editorial Policies
      • Editorial Board
      • Aims and Scope
      • Abstracting and Indexing
      • Bibliographic Information
      • Archive
    • World Academy of Sciences Journal
      • World Academy of Sciences Journal
      • Information for Authors
      • Editorial Policies
      • Editorial Board
      • Aims and Scope
      • Abstracting and Indexing
      • Bibliographic Information
      • Archive
    • International Journal of Functional Nutrition
      • International Journal of Functional Nutrition
      • Information for Authors
      • Editorial Policies
      • Editorial Board
      • Aims and Scope
      • Abstracting and Indexing
      • Bibliographic Information
      • Archive
    • International Journal of Epigenetics
      • International Journal of Epigenetics
      • Information for Authors
      • Editorial Policies
      • Editorial Board
      • Aims and Scope
      • Abstracting and Indexing
      • Bibliographic Information
      • Archive
    • Medicine International
      • Medicine International
      • Information for Authors
      • Editorial Policies
      • Editorial Board
      • Aims and Scope
      • Abstracting and Indexing
      • Bibliographic Information
      • Archive
  • Articles
  • Information
    • Information for Authors
    • Information for Reviewers
    • Information for Librarians
    • Information for Advertisers
    • Conferences
  • Language Editing
Spandidos Publications Logo
  • About
    • About Spandidos
    • Aims and Scopes
    • Abstracting and Indexing
    • Editorial Policies
    • Reprints and Permissions
    • Job Opportunities
    • Terms and Conditions
    • Contact
  • Journals
    • All Journals
    • Biomedical Reports
      • Information for Authors
      • Editorial Policies
      • Editorial Board
      • Aims and Scope
      • Abstracting and Indexing
      • Bibliographic Information
      • Archive
    • Experimental and Therapeutic Medicine
      • Information for Authors
      • Editorial Policies
      • Editorial Board
      • Aims and Scope
      • Abstracting and Indexing
      • Bibliographic Information
      • Archive
    • International Journal of Epigenetics
      • Information for Authors
      • Editorial Policies
      • Editorial Board
      • Aims and Scope
      • Abstracting and Indexing
      • Bibliographic Information
      • Archive
    • International Journal of Functional Nutrition
      • Information for Authors
      • Editorial Policies
      • Editorial Board
      • Aims and Scope
      • Abstracting and Indexing
      • Bibliographic Information
      • Archive
    • International Journal of Molecular Medicine
      • Information for Authors
      • Editorial Policies
      • Editorial Board
      • Aims and Scope
      • Abstracting and Indexing
      • Bibliographic Information
      • Archive
    • International Journal of Oncology
      • Information for Authors
      • Editorial Policies
      • Editorial Board
      • Aims and Scope
      • Abstracting and Indexing
      • Bibliographic Information
      • Archive
    • Medicine International
      • Information for Authors
      • Editorial Policies
      • Editorial Board
      • Aims and Scope
      • Abstracting and Indexing
      • Bibliographic Information
      • Archive
    • Molecular and Clinical Oncology
      • Information for Authors
      • Editorial Policies
      • Editorial Board
      • Aims and Scope
      • Abstracting and Indexing
      • Bibliographic Information
      • Archive
    • Molecular Medicine Reports
      • Information for Authors
      • Editorial Policies
      • Editorial Board
      • Aims and Scope
      • Abstracting and Indexing
      • Bibliographic Information
      • Archive
    • Oncology Letters
      • Information for Authors
      • Editorial Policies
      • Editorial Board
      • Aims and Scope
      • Abstracting and Indexing
      • Bibliographic Information
      • Archive
    • Oncology Reports
      • Information for Authors
      • Editorial Policies
      • Editorial Board
      • Aims and Scope
      • Abstracting and Indexing
      • Bibliographic Information
      • Archive
    • World Academy of Sciences Journal
      • Information for Authors
      • Editorial Policies
      • Editorial Board
      • Aims and Scope
      • Abstracting and Indexing
      • Bibliographic Information
      • Archive
  • Articles
  • Information
    • For Authors
    • For Reviewers
    • For Librarians
    • For Advertisers
    • Conferences
  • Language Editing
Login Register Submit
  • This site uses cookies
  • You can change your cookie settings at any time by following the instructions in our Cookie Policy. To find out more, you may read our Privacy Policy.

    I agree
Search articles by DOI, keyword, author or affiliation
Search
Advanced Search
presentation
Oncology Letters
Join Editorial Board Propose a Special Issue
Print ISSN: 1792-1074 Online ISSN: 1792-1082
Journal Cover
December 2013 Volume 6 Issue 6

Full Size Image

Sign up for eToc alerts
Recommend to Library

Journals

International Journal of Molecular Medicine

International Journal of Molecular Medicine

International Journal of Molecular Medicine is an international journal devoted to molecular mechanisms of human disease.

International Journal of Oncology

International Journal of Oncology

International Journal of Oncology is an international journal devoted to oncology research and cancer treatment.

Molecular Medicine Reports

Molecular Medicine Reports

Covers molecular medicine topics such as pharmacology, pathology, genetics, neuroscience, infectious diseases, molecular cardiology, and molecular surgery.

Oncology Reports

Oncology Reports

Oncology Reports is an international journal devoted to fundamental and applied research in Oncology.

Experimental and Therapeutic Medicine

Experimental and Therapeutic Medicine

Experimental and Therapeutic Medicine is an international journal devoted to laboratory and clinical medicine.

Oncology Letters

Oncology Letters

Oncology Letters is an international journal devoted to Experimental and Clinical Oncology.

Biomedical Reports

Biomedical Reports

Explores a wide range of biological and medical fields, including pharmacology, genetics, microbiology, neuroscience, and molecular cardiology.

Molecular and Clinical Oncology

Molecular and Clinical Oncology

International journal addressing all aspects of oncology research, from tumorigenesis and oncogenes to chemotherapy and metastasis.

World Academy of Sciences Journal

World Academy of Sciences Journal

Multidisciplinary open-access journal spanning biochemistry, genetics, neuroscience, environmental health, and synthetic biology.

International Journal of Functional Nutrition

International Journal of Functional Nutrition

Open-access journal combining biochemistry, pharmacology, immunology, and genetics to advance health through functional nutrition.

International Journal of Epigenetics

International Journal of Epigenetics

Publishes open-access research on using epigenetics to advance understanding and treatment of human disease.

Medicine International

Medicine International

An International Open Access Journal Devoted to General Medicine.

Journal Cover
December 2013 Volume 6 Issue 6

Full Size Image

Sign up for eToc alerts
Recommend to Library

  • Article
  • Citations
    • Cite This Article
    • Download Citation
    • Create Citation Alert
    • Remove Citation Alert
    • Cited By
  • Similar Articles
    • Related Articles (in Spandidos Publications)
    • Similar Articles (Google Scholar)
    • Similar Articles (PubMed)
  • Download PDF
  • Download XML
  • View XML
Article

Choi criteria are superior in evaluating tumor response in patients treated with transarterial radioembolization for hepatocellular carcinoma

  • Authors:
    • Zhihong Weng
    • Judith Ertle
    • Shaoping Zheng
    • Thomas Lauenstein
    • Stefan Mueller
    • Andreas Bockisch
    • Guido Gerken
    • Dongliang Yang
    • Joerg F. Schlaak
  • View Affiliations / Copyright

    Affiliations: Department of Gastroenterology and Hepatology, University Hospital of Essen, Essen D‑45122, Germany, Department of Ultrasonography, Union Hospital, Tongji Medical College, Huazhong University of Science and Technology, Wuhan, Hubei 430022, P.R. China, Institute of Diagnostic and Interventional Radiology and Neuroradiology, University Hospital of Essen, Essen D‑45122, Germany, Institute of Nuclear Medicine, University Hospital of Essen, Essen D‑45122, Germany, Department of Infectious Disease, Union Hospital, Tongji Medical College, Huazhong University of Science and Technology, Wuhan, Hubei 430022, P.R. China
  • Pages: 1707-1712
    |
    Published online on: October 10, 2013
       https://doi.org/10.3892/ol.2013.1612
  • Expand metrics +
Metrics: Total Views: 0 (Spandidos Publications: | PMC Statistics: )
Metrics: Total PDF Downloads: 0 (Spandidos Publications: | PMC Statistics: )
Cited By (CrossRef): 0 citations Loading Articles...

This article is mentioned in:



Abstract

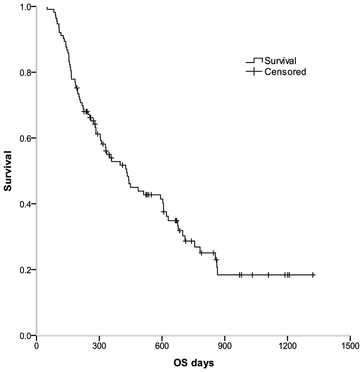
In this study, Response Evaluation Criteria in Solid Tumors (RECIST), modified RECIST (mRECIST), Choi and modified Choi criteria were compared to determine which method is optimal for response evaluation in hepatocellular carcinoma (HCC) patients treated with transarterial radioembolization (TARE) with yttrium‑90 microspheres. Responses were evaluated by RECIST, mRECIST, Choi and modified Choi criteria in 113 patients with HCC undergoing TARE. Results were compared at 12 weeks after therapy. Kaplan‑Meier survival analyses and Cox regression were used to assess differences in time to progression (TTP) and overall survival (OS) between the responders and non‑responders defined by each method. The results demonstrated that the responders and non‑responders defined by mRECIST and Choi criteria successfully identified patients with a long TTP (400 and 280 days) or short TTP (188 and 166 days) (P=0.004 and 0.002, respectively). Neither RECIST nor modified Choi criteria discriminated between patients who had a short or long clinical benefit. Cox regression analysis revealed that Choi response was a prognostic factor of OS (P=0.004) and was associated with a 53% risk reduction. There was no significant association between survival and RECIST, mRECIST and modified Choi responses. In conclusion, tumor response according to Choi criteria may be helpful to define early HCC patients who benefit from TARE. RECIST, mRECIST and modified Choi appeared inferior.
View Figures

Figure 1

Figure 2

View References

1 

Bruix J and Sherman M: Management of hepatocellular carcinoma: an update. Hepatology. 53:1020–1022. 2011. View Article : Google Scholar : PubMed/NCBI

2 

Jelic S and Sotiropoulos GC; ESMO Guidelines Working Group. Hepatocellular carcinoma: ESMO Clinical Practice Guidelines for diagnosis, treatment and follow-up. Ann Oncol. 21(Suppl 5): v59–v64. 2010. View Article : Google Scholar : PubMed/NCBI

3 

Kennedy A, Coldwell D, Sangro B, Wasan H and Salem R: Integrating radioembolization ((90)Y microspheres) into current treatment options for liver tumors: introduction to the international working group report. Am J Clin Oncol. 35:81–90. 2012. View Article : Google Scholar : PubMed/NCBI

4 

Sangro B, Iñarrairaegui M and Bilbao JI: Radioembolization for hepatocellular carcinoma. J Hepatol. 56:464–473. 2012. View Article : Google Scholar : PubMed/NCBI

5 

Therasse P, Arbuck SG, Eisenhauer EA, et al: New guidelines to evaluate the response to treatment in solid tumors. European Organization for Research and Treatment of Cancer, National Cancer Institute of the United States, National Cancer Institute of Canada. J Natl Cancer Inst. 92:205–216. 2000. View Article : Google Scholar : PubMed/NCBI

6 

Lencioni R and Llovet JM: Modified RECIST (mRECIST) assessment for hepatocellular carcinoma. Semin Liver Dis. 30:52–60. 2010. View Article : Google Scholar : PubMed/NCBI

7 

Choi H, Charnsangavej C, Faria SC, et al: Correlation of computed tomography and positron emission tomography in patients with metastatic gastrointestinal stromal tumor treated at a single institution with imatinib mesylate: proposal of new computed tomography response criteria. J Clin Oncol. 25:1753–1759. 2007. View Article : Google Scholar

8 

Hamami ME, Poeppel TD, Müller S, Heusner T, Bockisch A, Hilgard P and Antoch G: SPECT/CT with 99mTc-MAA in radioembolization with 90Y microspheres in patients with hepatocellular cancer. J Nucl Med. 50:688–692. 2009. View Article : Google Scholar : PubMed/NCBI

9 

Nathan PD, Vinayan A, Stott D, Juttla J and Goh V: CT response assessment combining reduction in both size and arterial phase density correlates with time to progression in metastatic renal cancer patients treated with targeted therapies. Cancer Biol Ther. 9:15–19. 2010. View Article : Google Scholar

10 

Smith AD, Lieber ML and Shah SN: Assessing tumor response and detecting recurrence in metastatic renal cell carcinoma on targeted therapy: importance of size and attenuation on contrast-enhanced CT. AJR Am J Roentgenol. 194:157–165. 2010. View Article : Google Scholar : PubMed/NCBI

11 

Llovet JM, Di Bisceglie AM, Bruix J, et al: Design and endpoints of clinical trials in hepatocellular carcinoma. J Natl Cancer Inst. 100:698–711. 2008. View Article : Google Scholar

12 

Merine D, Takayasu K and Wakao F: Detection of hepatocellular carcinoma: comparison of CT during arterial portography with CT after intraarterial injection of iodized oil. Radiology. 175:707–710. 1990. View Article : Google Scholar

13 

Fujita M, Kuroda C, Kumatani T, et al: Comparison between conventional and spiral CT in patients with hypervascular hepatocellular carcinoma. Eur J Radiol. 18:134–136. 1994. View Article : Google Scholar : PubMed/NCBI

14 

Llovet JM, Real MI, Montana X, et al: Arterial embolisation or chemoembolisation versus symptomatic treatment in patients with unresectable hepatocellular carcinoma: a randomised controlled trial. Lancet. 359:1734–1739. 2002. View Article : Google Scholar

15 

Riaz A, Miller FH, Kulik LM, et al: Imaging response in the primary index lesion and clinical outcomes following transarterial locoregional therapy for hepatocellular carcinoma. JAMA. 303:1062–1069. 2010. View Article : Google Scholar

16 

Goh V, Halligan S, Gharpuray A, Wellsted D, Sundin J and Bartram CI: Quantitative assessment of colorectal cancer tumor vascular parameters by using perfusion CT: influence of tumor region of interest. Radiology. 247:726–732. 2008. View Article : Google Scholar : PubMed/NCBI

17 

van der Veldt AA, Meijerink MR, van den Eertwegh AJ, Haanen JB and Boven E: Choi response criteria for early prediction of clinical outcome in patients with metastatic renal cell cancer treated with sunitinib. Br J Cancer. 102:803–809. 2010.PubMed/NCBI

Related Articles

  • Abstract
  • View
  • Download
  • Twitter
Copy and paste a formatted citation
Spandidos Publications style
Weng Z, Ertle J, Zheng S, Lauenstein T, Mueller S, Bockisch A, Gerken G, Yang D and Schlaak JF: Choi criteria are superior in evaluating tumor response in patients treated with transarterial radioembolization for hepatocellular carcinoma. Oncol Lett 6: 1707-1712, 2013.
APA
Weng, Z., Ertle, J., Zheng, S., Lauenstein, T., Mueller, S., Bockisch, A. ... Schlaak, J.F. (2013). Choi criteria are superior in evaluating tumor response in patients treated with transarterial radioembolization for hepatocellular carcinoma. Oncology Letters, 6, 1707-1712. https://doi.org/10.3892/ol.2013.1612
MLA
Weng, Z., Ertle, J., Zheng, S., Lauenstein, T., Mueller, S., Bockisch, A., Gerken, G., Yang, D., Schlaak, J. F."Choi criteria are superior in evaluating tumor response in patients treated with transarterial radioembolization for hepatocellular carcinoma". Oncology Letters 6.6 (2013): 1707-1712.
Chicago
Weng, Z., Ertle, J., Zheng, S., Lauenstein, T., Mueller, S., Bockisch, A., Gerken, G., Yang, D., Schlaak, J. F."Choi criteria are superior in evaluating tumor response in patients treated with transarterial radioembolization for hepatocellular carcinoma". Oncology Letters 6, no. 6 (2013): 1707-1712. https://doi.org/10.3892/ol.2013.1612
Copy and paste a formatted citation
x
Spandidos Publications style
Weng Z, Ertle J, Zheng S, Lauenstein T, Mueller S, Bockisch A, Gerken G, Yang D and Schlaak JF: Choi criteria are superior in evaluating tumor response in patients treated with transarterial radioembolization for hepatocellular carcinoma. Oncol Lett 6: 1707-1712, 2013.
APA
Weng, Z., Ertle, J., Zheng, S., Lauenstein, T., Mueller, S., Bockisch, A. ... Schlaak, J.F. (2013). Choi criteria are superior in evaluating tumor response in patients treated with transarterial radioembolization for hepatocellular carcinoma. Oncology Letters, 6, 1707-1712. https://doi.org/10.3892/ol.2013.1612
MLA
Weng, Z., Ertle, J., Zheng, S., Lauenstein, T., Mueller, S., Bockisch, A., Gerken, G., Yang, D., Schlaak, J. F."Choi criteria are superior in evaluating tumor response in patients treated with transarterial radioembolization for hepatocellular carcinoma". Oncology Letters 6.6 (2013): 1707-1712.
Chicago
Weng, Z., Ertle, J., Zheng, S., Lauenstein, T., Mueller, S., Bockisch, A., Gerken, G., Yang, D., Schlaak, J. F."Choi criteria are superior in evaluating tumor response in patients treated with transarterial radioembolization for hepatocellular carcinoma". Oncology Letters 6, no. 6 (2013): 1707-1712. https://doi.org/10.3892/ol.2013.1612
Follow us
  • Twitter
  • LinkedIn
  • Facebook
About
  • Spandidos Publications
  • Careers
  • Cookie Policy
  • Privacy Policy
How can we help?
  • Help
  • Live Chat
  • Contact
  • Email to our Support Team