Spandidos Publications Logo
  • About
    • About Spandidos
    • Aims and Scopes
    • Abstracting and Indexing
    • Editorial Policies
    • Reprints and Permissions
    • Job Opportunities
    • Terms and Conditions
    • Contact
  • Journals
    • All Journals
    • Oncology Letters
      • Oncology Letters
      • Information for Authors
      • Editorial Policies
      • Editorial Board
      • Aims and Scope
      • Abstracting and Indexing
      • Bibliographic Information
      • Archive
    • International Journal of Oncology
      • International Journal of Oncology
      • Information for Authors
      • Editorial Policies
      • Editorial Board
      • Aims and Scope
      • Abstracting and Indexing
      • Bibliographic Information
      • Archive
    • Molecular and Clinical Oncology
      • Molecular and Clinical Oncology
      • Information for Authors
      • Editorial Policies
      • Editorial Board
      • Aims and Scope
      • Abstracting and Indexing
      • Bibliographic Information
      • Archive
    • Experimental and Therapeutic Medicine
      • Experimental and Therapeutic Medicine
      • Information for Authors
      • Editorial Policies
      • Editorial Board
      • Aims and Scope
      • Abstracting and Indexing
      • Bibliographic Information
      • Archive
    • International Journal of Molecular Medicine
      • International Journal of Molecular Medicine
      • Information for Authors
      • Editorial Policies
      • Editorial Board
      • Aims and Scope
      • Abstracting and Indexing
      • Bibliographic Information
      • Archive
    • Biomedical Reports
      • Biomedical Reports
      • Information for Authors
      • Editorial Policies
      • Editorial Board
      • Aims and Scope
      • Abstracting and Indexing
      • Bibliographic Information
      • Archive
    • Oncology Reports
      • Oncology Reports
      • Information for Authors
      • Editorial Policies
      • Editorial Board
      • Aims and Scope
      • Abstracting and Indexing
      • Bibliographic Information
      • Archive
    • Molecular Medicine Reports
      • Molecular Medicine Reports
      • Information for Authors
      • Editorial Policies
      • Editorial Board
      • Aims and Scope
      • Abstracting and Indexing
      • Bibliographic Information
      • Archive
    • World Academy of Sciences Journal
      • World Academy of Sciences Journal
      • Information for Authors
      • Editorial Policies
      • Editorial Board
      • Aims and Scope
      • Abstracting and Indexing
      • Bibliographic Information
      • Archive
    • International Journal of Functional Nutrition
      • International Journal of Functional Nutrition
      • Information for Authors
      • Editorial Policies
      • Editorial Board
      • Aims and Scope
      • Abstracting and Indexing
      • Bibliographic Information
      • Archive
    • International Journal of Epigenetics
      • International Journal of Epigenetics
      • Information for Authors
      • Editorial Policies
      • Editorial Board
      • Aims and Scope
      • Abstracting and Indexing
      • Bibliographic Information
      • Archive
    • Medicine International
      • Medicine International
      • Information for Authors
      • Editorial Policies
      • Editorial Board
      • Aims and Scope
      • Abstracting and Indexing
      • Bibliographic Information
      • Archive
  • Articles
  • Information
    • Information for Authors
    • Information for Reviewers
    • Information for Librarians
    • Information for Advertisers
    • Conferences
  • Language Editing
Spandidos Publications Logo
  • About
    • About Spandidos
    • Aims and Scopes
    • Abstracting and Indexing
    • Editorial Policies
    • Reprints and Permissions
    • Job Opportunities
    • Terms and Conditions
    • Contact
  • Journals
    • All Journals
    • Biomedical Reports
      • Information for Authors
      • Editorial Policies
      • Editorial Board
      • Aims and Scope
      • Abstracting and Indexing
      • Bibliographic Information
      • Archive
    • Experimental and Therapeutic Medicine
      • Information for Authors
      • Editorial Policies
      • Editorial Board
      • Aims and Scope
      • Abstracting and Indexing
      • Bibliographic Information
      • Archive
    • International Journal of Epigenetics
      • Information for Authors
      • Editorial Policies
      • Editorial Board
      • Aims and Scope
      • Abstracting and Indexing
      • Bibliographic Information
      • Archive
    • International Journal of Functional Nutrition
      • Information for Authors
      • Editorial Policies
      • Editorial Board
      • Aims and Scope
      • Abstracting and Indexing
      • Bibliographic Information
      • Archive
    • International Journal of Molecular Medicine
      • Information for Authors
      • Editorial Policies
      • Editorial Board
      • Aims and Scope
      • Abstracting and Indexing
      • Bibliographic Information
      • Archive
    • International Journal of Oncology
      • Information for Authors
      • Editorial Policies
      • Editorial Board
      • Aims and Scope
      • Abstracting and Indexing
      • Bibliographic Information
      • Archive
    • Medicine International
      • Information for Authors
      • Editorial Policies
      • Editorial Board
      • Aims and Scope
      • Abstracting and Indexing
      • Bibliographic Information
      • Archive
    • Molecular and Clinical Oncology
      • Information for Authors
      • Editorial Policies
      • Editorial Board
      • Aims and Scope
      • Abstracting and Indexing
      • Bibliographic Information
      • Archive
    • Molecular Medicine Reports
      • Information for Authors
      • Editorial Policies
      • Editorial Board
      • Aims and Scope
      • Abstracting and Indexing
      • Bibliographic Information
      • Archive
    • Oncology Letters
      • Information for Authors
      • Editorial Policies
      • Editorial Board
      • Aims and Scope
      • Abstracting and Indexing
      • Bibliographic Information
      • Archive
    • Oncology Reports
      • Information for Authors
      • Editorial Policies
      • Editorial Board
      • Aims and Scope
      • Abstracting and Indexing
      • Bibliographic Information
      • Archive
    • World Academy of Sciences Journal
      • Information for Authors
      • Editorial Policies
      • Editorial Board
      • Aims and Scope
      • Abstracting and Indexing
      • Bibliographic Information
      • Archive
  • Articles
  • Information
    • For Authors
    • For Reviewers
    • For Librarians
    • For Advertisers
    • Conferences
  • Language Editing
Login Register Submit
  • This site uses cookies
  • You can change your cookie settings at any time by following the instructions in our Cookie Policy. To find out more, you may read our Privacy Policy.

    I agree
Search articles by DOI, keyword, author or affiliation
Search
Advanced Search
presentation
Oncology Letters
Join Editorial Board Propose a Special Issue
Print ISSN: 1792-1074 Online ISSN: 1792-1082
Journal Cover
April-2018 Volume 15 Issue 4

Full Size Image

Sign up for eToc alerts
Recommend to Library

Journals

International Journal of Molecular Medicine

International Journal of Molecular Medicine

International Journal of Molecular Medicine is an international journal devoted to molecular mechanisms of human disease.

International Journal of Oncology

International Journal of Oncology

International Journal of Oncology is an international journal devoted to oncology research and cancer treatment.

Molecular Medicine Reports

Molecular Medicine Reports

Covers molecular medicine topics such as pharmacology, pathology, genetics, neuroscience, infectious diseases, molecular cardiology, and molecular surgery.

Oncology Reports

Oncology Reports

Oncology Reports is an international journal devoted to fundamental and applied research in Oncology.

Experimental and Therapeutic Medicine

Experimental and Therapeutic Medicine

Experimental and Therapeutic Medicine is an international journal devoted to laboratory and clinical medicine.

Oncology Letters

Oncology Letters

Oncology Letters is an international journal devoted to Experimental and Clinical Oncology.

Biomedical Reports

Biomedical Reports

Explores a wide range of biological and medical fields, including pharmacology, genetics, microbiology, neuroscience, and molecular cardiology.

Molecular and Clinical Oncology

Molecular and Clinical Oncology

International journal addressing all aspects of oncology research, from tumorigenesis and oncogenes to chemotherapy and metastasis.

World Academy of Sciences Journal

World Academy of Sciences Journal

Multidisciplinary open-access journal spanning biochemistry, genetics, neuroscience, environmental health, and synthetic biology.

International Journal of Functional Nutrition

International Journal of Functional Nutrition

Open-access journal combining biochemistry, pharmacology, immunology, and genetics to advance health through functional nutrition.

International Journal of Epigenetics

International Journal of Epigenetics

Publishes open-access research on using epigenetics to advance understanding and treatment of human disease.

Medicine International

Medicine International

An International Open Access Journal Devoted to General Medicine.

Journal Cover
April-2018 Volume 15 Issue 4

Full Size Image

Sign up for eToc alerts
Recommend to Library

  • Article
  • Citations
    • Cite This Article
    • Download Citation
    • Create Citation Alert
    • Remove Citation Alert
    • Cited By
  • Similar Articles
    • Related Articles (in Spandidos Publications)
    • Similar Articles (Google Scholar)
    • Similar Articles (PubMed)
  • Download PDF
  • Download XML
  • View XML
Article Open Access

Interstitial fibrosis in papillary thyroid microcarcinoma and its association with biological behavior

  • Authors:
    • Xun Liu
    • Shuai Zhang
    • Qinwei Gang
    • Shikai Shen
    • Jian Zhang
    • Yu Lun
    • Dongdong Xu
    • Zhiquan Duan
    • Shijie Xin
  • View Affiliations / Copyright

    Affiliations: Department of Vascular and Thyroid Surgery, The First Hospital of China Medical University, Shenyang, Liaoning 110001, P.R. China, Department of General Surgery, The People's Hospital of Liaoning, Shenyang, Liaoning 110016, P.R. China
    Copyright: © Liu et al. This is an open access article distributed under the terms of Creative Commons Attribution License.
  • Pages: 4937-4943
    |
    Published online on: February 2, 2018
       https://doi.org/10.3892/ol.2018.7928
  • Expand metrics +
Metrics: Total Views: 0 (Spandidos Publications: | PMC Statistics: )
Metrics: Total PDF Downloads: 0 (Spandidos Publications: | PMC Statistics: )
Cited By (CrossRef): 0 citations Loading Articles...

This article is mentioned in:



Abstract

Previous studies have revealed that fibrosis may affect the biological behavior of tumors, however associated research on papillary thyroid microcarcinoma (PTMC) is rare. The aim of the present study was to explore the association between interstitial fibrosis (IF) and the biological behavior of PTMC. In the present study, a total of 511 consecutive cases of PTMC were evaluated for the presence of IF and its association with clinical parameters and pathologic biomarkers. IF was identified in 340 of the 511 consecutive cases and it was significantly associated with the age (P=0.033), tumor diameter (P=0.017) and lymphocytic metastasis (P<0.001) of the patient. There were significantly more female in the fibrosis group than in fibrosis‑absent group (P=0.024). In the analysis of clinical biomarkers using immunohistochemistical staining, IF was significantly associated with cytokeratin 19 (P=0.008) and galectin‑3 (P=0.022). Analysis of patient outcomes indicated that IF was an independent prognostic factor of recurrence (hazard ratio = 2.181; 95% confidence interval = 1.163‑4.090; P=0.015). These findings suggest that the combined effect of a patient's age, sex and tumor size may potentially contribute to fibrotic lesions and IF was a factor contributing to poor prognosis in patients with PTMC.

Introduction

Papillary thyroid carcinoma (PTC) represents ~90% of differentiated thyroid carcinomas in Japan (2004), which are the most common malignant tumors of the endocrine system (1). Papillary thyroid microcarcinoma (PTMC) is defined as PTCs with a diameter of <10 mm, and account for 39.5% of all PTCs in Italy (between 1993 and 2002) (2). Certain factors including radiation exposure, iodine deficiency and a family history of PTCs are associated with tumorigenesis and prognosis; however, the expression status of specific biomarkers, including galectin-3 and cytokeratin 19 (CK19) may also be used to predict tumor progression (3,4).

PTMC grows slowly without obvious symptoms, however due to the increased ultrasound detection rate, the incidence rate of PTMC has been rising gradually in recent years (5). The majority of PTMCs are identified by accident or are combined with other thyroid diseases (6). PTMCs may be standardly diagnosed by removing thyroid lesions and observing their pathological features and by immunohistochemistry staining of biomarkers (for example galectin-3, CK-19 and TTF-1) (7–9). Surgical treatment may lead to a favorable prognosis for PTMC; however, due to the low risk of papillary thyroid cancer, various postoperative treatments have little effect on prognostic outcome, and to the best of our knowledge no previous studies have identified which therapeutic method is the best option (10). Certain PTMCs are more malignant compared with others and have a poor prognosis with early-stage lymphocytic metastasis (11,12). These highly malignant tumors may be associated with multilocus-tumors, tumor size and dilation of a thyroid cyst (2,13–15).

Interstitial fibrosis (IF), which is composed of fibroblasts and a variable number of collagen fibers, has been observed in numerous malignant cancers (16–20). This suggests that IF may be a factor associated with tumor prognosis. In previous studies (21–23), fibrosis appears to be associated with an increased cancer recurrence rate and mortality. Previous observations have suggested that dense fibrosis may be another vital indicator for the diagnosis of PTC (24), however, few studies have focused on the associations between IF and PTC. Therefore, the aim of the present study is to perform a retrospective analysis of the clinical parameters and biomarkers of PTC and to determine the association and interactions between IF and PTMC.

Materials and methods

Patients

A total of 511 patients were recruited into the present study from the First Hospital of China Medical University (Shenyang, China), between January 2009 and December 2013; 340 patients were diagnosed with PTMC with IF and 171 patients were diagnosed with PTMC without IF. In total, 78.86% (304) of patients were female, 21.14% were male. The age range was 20–75 years, with an mean age of 46.83±10.69. All patients underwent a thyroidectomy and met the following criteria: i) Diagnosed with PTMC according to pathological standards (25); ii) did not receive steroids or drugs that may induce fibrosis; and iii) did not present with any other disease than PTMC. Patients who had PTMC combined with thyroid inflammation or systemic diseases were excluded from the study. The present study was approved by the Institutional Review Board of China Medical University and by the First Hospital of China Medical University Medical Research Ethics Committee (Shenyang, China). Written informed consent was obtained from all patients prior to their inclusion within the present study.

All patients were divided into 2 groups. The experimental group was composed of patients with IF (n=340) and the control group was composed of patients without IF (n=171). Patients with IF were defined as having a fibrotic area composed of fibroblasts and collagen fibers within the tumor, which occupied the central part of the tumor and formed a radially expanding fibrosclerotic core. The patient's baseline characteristics, including age, sex, calcification, serum thyroid-stimulating hormone (TSH) level, tumor size, tumor node and metastasis stage, tumor multiplicity, bilaterality, extrathyroidal extension (ETE), subtype of papillary microcarcinoma and lymphocytic metastasis, were evaluated. The thyroid tumor stage was classified in accordance with the American Joint Committee on Cancer (26). Postoperative follow-up ended on 1st September 2016.

Histopathology

Each specimen slice was stained with hematoxylin and eosin for observing the pathological form of the cancer tissue. Freshly resected specimens, ~1 cm in thickness, were fixed in 10% neutral formaldehyde for 12 h and then dehydrated using graded series of analytical pure ethanol at room temperature as follows: 60% (1 h), 75% (30 min), 80% (15 min), 95% (10 min), 100% (5 min), then the specimens were placed in xylene at room temperature (10 min × 2), and immersed in paraffin (efficient slice paraffin, melting point 56–58°C) at 59°C for 1 h, embedded in paraffin and cooled at room temperature. Paraffin specimens were then cut into 4 µm slices, dewaxed using xylene (15 min × 2) and hydrated using graded series of analytical pure ethanol at room temperature as follows: 100% (5 min × 2), 95, 85 and 75% ethanol (3 min each). Specimens were then stained with hematoxylin for 8 min at room temperature, followed by washing with 1% hydrochloric acid alcohol for a few seconds and then washed with tap water for 10 min. Specimens were then stained with eosin for 5 min at room temperature, and then specimens were dehydrated using a graded series of ethanol at room temperature as follows: 75, 85 and 95% (2 min each), 100% (1 min × 2); transparent in xylene at room temperature (5 min × 2); neutral gum (cat no., G8590; Solarbio, Beijing, China) sealed slice. Light microscopy was used to observe specimens (magnification, ×100). The immunohistochemistry of all slices was performed by a minimum of 2 pathologists from the Pathology Department of the First Hospital of China Medical University and each experiment was repeated 3 times to confirm results. All cases were classified according to multiple clinical biomarkers, including cellular tumor antigen p53, proliferation marker protein Ki-67 (Ki-67), CK19, thyroglobulin (Tg), thyroid transcription factor I (TTF-1) and galectin-3. These biomarkers are used for the common diagnosis of PTMC, p53 and Ki67 positive samples may exhibit the proliferation of tumor cells, while CK19, TTF-1, Tg and galectin-3 positive samples may predict that the origin of the malignant cells is the thyroid epithelium.

Immunohistochemistry

Paraffin embedded sections (4 µm-thick) were dewaxed and hydrated as aforementioned. Specimens were then washed with phosphate-buffered saline (PBS), citric acid heat antigen repair for 2 min, incubated with 3% hydrogen peroxide for blocking endogenous peroxidase for 10 min at room temperature, washed with PBS, then incubated with primary antibodies at room temperature for 60 min. Negative control specimens were incubated with PBS instead of the primary antibody. All antibodies were produced by Fuzhou Maixin Biotech Co., Ltd. (Fujian, China), and were supplied at ready-to-use dilutions. The primary antibodies (100 µl) used were as follows: Galectin-3 (cat. no. MAB-0572), CK19 (cat. no. Kit-0030), TTF-1 (cat. no. MAB-0599), Ki-67 (cat. no. Kit-0005), p53 (cat. no. Kit-0010) and Tg (cat. no. MAB-0161). Sections were then washed with PBS 3 times and incubated with enzyme-labeled goat anti-mouse/rabbit immunoglobulin G polymer at room temperature (cat. no. KIT-5030) for 15 min, and then washed with PBS. Following this, DAB (cat. no. DAB-1031; Fuzhou Maixin Biotech Co., Ltd.) was added for 3–5 min at room temperature for color development to assist in light microscopy analysis (magnification, ×100), and then washed with tap water for 10 min. Finally, specimens were stained with hematoxylin for 8 min at room temperature, washed with tap water, and the procedure of dehydration and transparency was the same as aforementioned. Neutral gum was used to seal the slice. Specimens were observed using light microscopy. IF was determined using 2 pathologists who were blinded to the study aims. Each experiment was repeated three times.

Statistical analysis

Data analysis was performed using SPSS (version 20; IBM Corp., Armonk, NY, USA). Continuous data were presented as the mean ± standard deviation. Dichotomous variables were compared using the χ2 test or Fisher's exact test, while the Student's t-test was used to compare continuous variables. The survival data were analyzed using Kaplan-Meier curves and the log-rank test and Cox proportional hazard models. P<0.05 was considered to indicate a statistically significant difference.

Results

Differences between PTMC with IF and without IF

There were 511 cases of PTMC examined in the present study. Patients with IF accounted for 66.54% (340 cases), while patients without IF accounted for 33.46% (171 cases) of the cases. The differences between PTMC and normal thyroid tissue in a fibrotic formation may be observed in Fig. 1. In Fig. 1A, the normal follicular structure interrupted by squashed cancer cells, accompanied by the proliferation of fibroblasts and collagen fibers. Fig. 1B demonstrates the complete thyroid follicular structure in the nodular goiter tissue with IF, collagen fibers are positioned next to the follicles. Diffuse collagen fibers appear next to the nodular goiter and there is almost no fibroblast proliferation.

Figure 1.

Stained images of PTMC and nodular goiter with IF. (A) A PTMC tissue section was stained with H&E. There are numerous fibroblasts in the tissue and they are spindle like and adjacent to the papillary carcinoma cells as demonstrated by the asterisks. In the lower right of the image, the asterisk area is enlarged and the arrows indicate the fibroblasts. The pink fiber with few nucleuses is collagen as indicated by the area of the letter C. (B) H&E staining of nodular goiter with IF for comparison with the PTMC tissue. Diffuse collagen fibers appear next to the nodular goiter and there is almost no fibroblast proliferation. The letter C indicates the area of collagen fiber. Magnification, ×100. PTMC, papillary thyroid microcarcinoma; IF, interstitial fibrosis; H&E, hematoxylin and eosin.

Association of IF with clinical parameters

The details and clinical characteristics of all patients included in the present study are presented in Table I. Older patients (≥45 years) had a significantly increased incidence of IF (P=0.012) compared with patients <45 years. In addition, significantly more females presented with IF (P=0.024) compared with males that presented with IF. The median tumor size was 5.0 mm (range, 1.0–10 mm). Using the median size as the cut-off point, a tumor ≥5.0 mm was revealed to be associated with a significantly increased possibility of fibrotic formation compared with PTMC without IF (P=0.017). Fibrosis was revealed to be significantly associated with lymph node metastasis (P=0.0003). However, there was no significant association between calcification, serum TSH levels, tumor multiplicity, bilaterality, ETE or subtype of PTMC and IF.

Table I.

Characteristics of patients with PTMC with or without IF.

Table I.

Characteristics of patients with PTMC with or without IF.

CharacteristicPTMC with IF (%)PTMC without IF (%)Total (%)P-value
Age (years) 0.0331
  Mean ± SD47.81±10.4444.88±10.9446.83±10.69
Range21–7520–6820–75
  <45120 (35.29)80 (46.78)200 (39.13)
  ≥45220 (64.71)91 (53.22)311 (60.87)0.012
Sex
  Female278 (81.77)125 (73.10)403 (78.86)0.0236
  Male62 (18.23)46 (26.9)108 (21.14)
Calcification 511 (80.44)0.3889
  Present261 (76.76)137 (80.12)398 (77.89)
  Absent79 (23.24)34 (19.88)113 (22.11)
TSH (mmol/l) 0.863
  Mean ± SD1.76±1.491.78±1.3431.77±1.44
  Range0.002–10.430.0020–7.610.002–10.44
Tumor size (mm) 0.0136
  Mean ± SD4.93±2.464.21±2.274.69±2.42
  Range0.5–100.6–90.5–10
Diameter ≥5 mm201 (59.12)82 (47.95)283 (55.38)0.0166
Diameter <5 mm139 (40.88)89 (52.05)228 (44.62)
Multiplicity 0.2595
  Absent262 (77.06)124 (72.51)386 (75.54)
  Present78 (22.94)  47 (27.49)125 (24.46)
Bilaterality 0.6463
  Absent301 (88.53)149 (87.13)450 (88.06)
  Present39 (11.47)22 (12.87)61 (11.94)
ETE 0.1322
  Absent290 (85.29)154 (90.06)444 (86.89)
  Present50 (14.71)17 (9.94)  67 (39.18)
Subtype 0.7377
  classic papillary326 (95.88)165 (96.49)491 (96.07)
  follicular14 (4.12)6 (3.51)20 (3.93)
Lymph metastasis 0.0003
  LM present116 (34.18)32 (18.71)148 (28.96)
  LM absent224 (65.72)139 (81.29)363 (65.17)
Lymph node status 0.0058
  N0226 (66.47)137 (80.12)363 (71.04)
  N1a74 (21.76)22 (12.87)96 (18.78)
  N1b40 (11.77)12 (7.02)52 (30.41)
TNM stage 0.0067
  I278 (81.76)159 (92.98)437 (85.52)
  III37 (10.88)  8 (4.68)45 (8.81)
  IV21 (3.53)4 (2.34)25 (4.89)

[i] PTMC, papillary thyroid microcarcinoma; TSH, thyroid-stimulating hormone; ETE, extrathyroidal extension; TNM, tumor-node-metastasis; SD, standard deviation.

Association of IF with pathological biomarkers

Common biomarkers were observed and analyzed to determine whether they were associated with the presence of IF in tumors. Galectin-3 and CK19 revealed a significant association with IF (P=0.022 and P=0.008, respectively; Table II). There were no other significant associations observed between the presence of Tg, TTF-1, p53or Ki67 and the cases of IF.

Table II.

Association between interstitial fibrosis and common biomarkers using the χ2 text.

Table II.

Association between interstitial fibrosis and common biomarkers using the χ2 text.

BiomarkersFibrosis-present (%)Fibrosis-absent (%)TotalP-value
p53
  Positive161 (63.39)105 (63.64)2660.9587
  Negative93 (36.61)60 (36.36)153
  Total254165419
Ki67
  Positive184 (54.12)107 (62.57)2910.0685
  Negative156 (45.88)  64 (37.43)220
  Total340171511
CK19
  Positive316 (93.49)145 (86.31)4610.0075
  Negative22 (6.51)23 (13.69)45
  Total338168506
Tg
  Positive268 (82.72)133 (82.10)4010.8658
  Negative56 (17.28)29 (17.90)85
  Total324162486
TTF-1
  Positive296 (88.36)137 (83.54)4330.8659
  Negative39 (11.44)27 (16.59)66
  Total335164499
Galectin-3
  Positive293 (88.25)159 (94.08)4520.0220
  Negative39 (11.75)9 (5.33)48
  Total332168500

[i] CK, cytokeratin; TTF-1, thyroid transcription factor I; Tg, thyroglobulin; p53, cellular tumor antigen p53; Ki-67, proliferation marker protein Ki-67.

Results of survival data

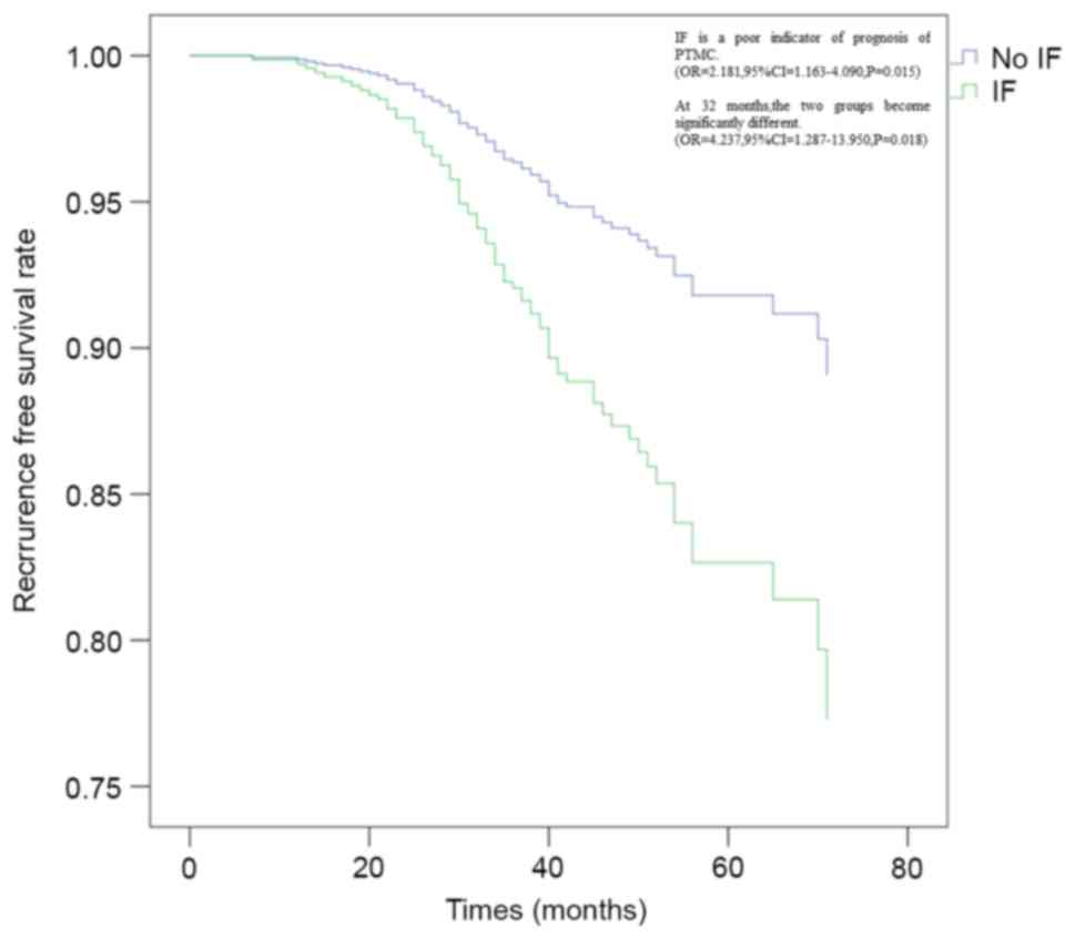
Due to the decreased mortality rate of patients with PTMC, and since only 4 patients suffered mortality during the follow-up period, recurrence-free survival was used as the outcome of interest. A lack of recurrence outcome due to a lack of follow-up, loss to the follow-up period and non-thyroid-cancer mortality was defined as censored data. The censoring rate was 93.0 and 81.2% in the IF and no IF groups, respectively. The number of loss to follow-up period patients was 33 in the IF group and 52 in the no IF group. Each group had 1 patient who suffered from non-thyroid-cancer mortality. The median follow-up time was 46 months (range, 5.0–90 months) and the total recurrence rate was 14.87% (76 cases). The fibrosis group demonstrated an 18.82% (64 cases) recurrence rate and the no-fibrosis group had a 7.02% (12 cases) recurrence rate. Multivariate analysis by Cox's proportional hazard model revealed that the presence of IF (hazard ratio = 2.18195%; confidence interval = 1.163–4.090; P=0.015) was an independent factor for the prediction of a poor prognosis in patients with PTMC (Fig. 2).

Figure 2.

Cox survival rate. The recurrence-free survival rate of PTMC with IF is increased compared with that of PTMC without IF (hazard ratio = 2.181; 95% confidence interval = 1.163–4.090; P=0.015). At 32 months, the 2 groups begin to become significantly different (hazard ratio = 4.237; 95% confidence interval = 1.287–13.950; P=0.018). PTMC, papillary thyroid microcarcinoma; IF, interstitial fibrosis.

Kaplan-Meier survival curves revealed the same outcome (log rank, P=0.002) (Fig. 3). At 32 months, the two groups become significantly different as analyzed by Cox's proportional hazard model (hazard ratio = 4.23795%; confidence interval = 1.287–13.950; P=0.018). Other poor prognostic indicators as presented in Table III were age (>45 years; P=0.49), extrathyroidal extension (P<0.001) and lymphocytic metastasis (P<0.001). Therefore, IF is a poor indicator of prognosis of PTMC.

Figure 3.

Kaplan-Meier curve of survival rate. The curves describe the recurrence-free survival rates of papillary thyroid microcarcinoma with and without interstitial fibrosis. Calculated using the log-rank test (P=0.0002).

Table III.

Risk factors of PTMC recurrence by Cox's proportional hazard model.

Table III.

Risk factors of PTMC recurrence by Cox's proportional hazard model.

VariableOdds ratio95% confidence intervalP-value
Sex1.6561.001–2.7390.049
Age (>45 years)0.4830.198–1.1800.110
Multiplicity1.7580.628–4.9220.283
Bilaterality3.7352.261–6.169<0.001
ETE1.2890.793–2.0940.305
IF2.2271.186–4.1810.013
Lymph metastasis3.5602.164–5.858<0.001

[i] PTMC, papillary thyroid microcarcinoma; ETE, extrathyroidal extension; IF, interstitial fibrosis.

Discussion

Cancer-associated fibroblasts have been described in multiple types of cancer; they appear primarily as abnormal IF and have been extensively studied (27–30). Fibrotic density, when there are no superior clear parameters, may be considered as a vital index of prognosis (24), however, few previous studies have focused on the correlation between IF and PTMC (31) and to the best of our knowledge the association between fibrosis and specific biomarkers has not been previously reported.

IF has not been clearly defined within the medical community. In general, IF is considered to occupy the central section of the tumor and often consists of radiating and expanding fibrous bands (32). Rebecchini et al (33) revealed that a characteristic feature of PTC was that interstitial fibers occupied 40–60% of the central section of the tumors. In a study performed by Isarangkul (24), 33 of 37 PTC specimens presented interstitial changes consisting of dense collagen and fibroblasts. It was suggested that PTC was significantly associated with fibrosis when compared with the follicular subtype (odds ratio = 37.95; P<0.01). It is clear that there are correlations between tumorigenesis and fibrosis in many tumors, including breast, ovarian, esophageal, colorectal, pancreatic and prostate cancers (16–20). Interstitial changes influence tumor infiltration, metastasis, prognosis and neovascularization (34). In the present study observations under a light microscope demonstrated that the majority of IF cases were accompanied by an incomplete fibrotic boundary of the tumor, as with the fibrosis from the central section of the tumor, which disturbs the formation of the fiber encapsulation on the tumor. It was also revealed that IF is a poor indicator of prognosis; therefore, the formation of fibrotic lesions may be referred to as a more aggressive behavior of the tumor.

In the present study, tumors with fibrosis were significantly associated with a patient's age (P=0.0331) and tumor size (P=0.0166), as previously reported (35). Female patients were more likely to have fibrotic changes compared with male patients. Whether an estrogen receptor (ER) wound contributed to this change requires further study. It has been previously reported that fibrotic focus has an association with ERs in breast cancer (34).

Although certain previous studies have considered that the grade of IF may predict tumor recurrence and metastasis (34), there is little evidence for this in thyroid carcinoma. However, De Matos et al (36) detected the expression of galectin-3 in three types of thyroid tissue, the results of which revealed that the expression ratios in 84 cases of PTC and 38 follicular carcinoma cases were 72.6 and 21.0%, respectively, whereas it was nearly zero in non-tumor cases. Additionally, galection-3 is considered as serving a key role in cellular adhesion and interactions between cells and their matrix, which may reflect tumor metastasis conditions (37). Certain previous studies have reported that galectin-3 may be viewed as a potential tumor marker of metastasis and poor prognosis (3). In the present study, it was revealed that a higher expression level of galectin-3 was significantly associated with fibrosis formation. Therefore, patients who are galectin-3 positive with PTMC with IF may be considered as evidence that the formation of IF predicts prognosis, alternatively IF formation may be as a result of the expression of galectin-3. Given the difficulties of diagnosing thyroid tumors, specimens stained to determine IF and the expression of galectin-3 may increase the sensitivity and specificity of a diagnosis and the prediction of a prognosis, particularly when PTMC is determined.

It was previously reported that the expression of CK19 was decreased in normal thyroid tissue; however, CK19 may be viewed as a vital biomarker for cancer when carcinoma cells of PTMC are positive, compared with normal thyroid tissue (38). Although there has been no evidence that CK-19 is a predictor of prognosis, the association between IF and CK19 is positive in the present study, it also can be speculated that the IF has an effect on the PTMC, additional studies are required to determine the association between IF and CK19.

To conclude, it was revealed that there is an association between IF and PTMC, how the underlying mechanism behind this association remains unclear. The present study demonstrated that IF combined with specific biomarkers may be an important diagnostic tool for PTMC. Additional studies are required to determine the course of the development of IF and whether it is associated with tumorigenesis and prognosis.

Acknowledgements

The authors would like to thank the staff, particularly Professor Yuchen Han at the Institute of Pathology of China Medical University for advice and support.

References

1 

Kammori M, Fukumori T, Sugishita Y, Hoshi M and Yamada T: Therapeutic strategy for low-risk thyroid cancer in Kanaji Thyroid Hospital. Endocr J. 61:1–12. 2014. View Article : Google Scholar : PubMed/NCBI

2 

Roti E, Rossi R, Trasforini G, Bertelli F, Ambrosio MR, Busutti L, Pearce EN, Braverman LE and Degli Uberti EC: Clinical and histological characteristics of papillary thyroid microcarcinoma: Results of a retrospective study in 243 patients. J Clin Endocrinol Metab. 91:2171–2178. 2006. View Article : Google Scholar : PubMed/NCBI

3 

Tang W, Huang C, Tang C, Xu J and Wang H: Galectin-3 may serve as a potential marker for diagnosis and prognosis in papillary thyroid carcinoma: A meta-analysis. Onco Targets Ther. 9:455–460. 2016. View Article : Google Scholar : PubMed/NCBI

4 

Isic Dencic T, Cvejic D, Paunovic I, Tatic S, Havelka M and Savin S: Cytokeratin19 expression discriminates papillary thyroid carcinoma from other thyroid lesions and predicts its aggressive behavior. Med Oncol. 30:3622013. View Article : Google Scholar : PubMed/NCBI

5 

Haugen BR, Alexander EK, Bible KC, Doherty GM, Mandel SJ, Nikiforov YE, Pacini F, Randolph GW, Sawka AM, Schlumberger M, et al: 2015 American thyroid association management guidelines for adult patients with thyroid nodules and differentiated thyroid cancer: The American Thyroid association guidelines task force on thyroid nodules and differentiated thyroid cancer. Thyroid. 26:1–133. 2016. View Article : Google Scholar : PubMed/NCBI

6 

Pacini F: Thyroid microcarcinoma. Best Pract Res Clin Endocrinol Metab. 26:421–429. 2012. View Article : Google Scholar : PubMed/NCBI

7 

Giannini R, Faviana P, Cavinato T, Elisei R, Pacini F, Berti P, Fontanini G, Ugolini C, Camacci T, De Ieso K, et al: Galectin-3 and oncofetal-fibronectin expression in thyroid neoplasia as assessed by reverse ranscription-polymerase chain reaction and immunochemistry in cytologic and pathologic specimens. Thyroid. 13:765–770. 2003. View Article : Google Scholar : PubMed/NCBI

8 

Cheung CC, Ezzat S, Freeman JL, Rosen IB and Asa SL: Immunohistochemical diagnosis of papillary thyroid carcinoma. Mod Pathol. 14:338–342. 2001. View Article : Google Scholar : PubMed/NCBI

9 

Kreft A, Hansen T and Kirkpatrick CJ: Thyroid transcription factor 1 expression in cystic lesions of the neck: An immunohistochemical investigation of thyroglossal duct cysts, branchial cleft cysts and metastatic papillary thyroid cancer. Virchows Arch. 447:9–11. 2005. View Article : Google Scholar : PubMed/NCBI

10 

McLeod DS, Sawka AM and Cooper DS: Controversies in primary treatment of low-risk papillary thyroid cancer. Lancet. 381:1046–1057. 2013. View Article : Google Scholar : PubMed/NCBI

11 

Patron V, Bedfert C, Le Clech G, Aubry K and Jegoux F: Pattern of lateral neck metastases in N0 papillary thyroid carcinoma. BMC Cancer. 11:82011. View Article : Google Scholar : PubMed/NCBI

12 

Hartl DM, Leboulleux S, Al Ghuzlan A, Baudin E, Chami L, Schlumberger M and Travagli JP: Optimization of staging of the neck with prophylactic central and lateral neck dissection for papillary thyroid carcinoma. Ann Surg. 255:777–783. 2012. View Article : Google Scholar : PubMed/NCBI

13 

Pazaitou-Panayiotou K, Capezzone M and Pacini F: Clinical features and therapeutic implication of papillary thyroid microcarcinoma. Thyroid. 17:1085–1092. 2007. View Article : Google Scholar : PubMed/NCBI

14 

Chow SM, Law SC, Chan JK, Au SK, Yau S and Lau WH: Papillary microcarcinoma of the thyroid-prognostic significance of lymph node met astasis and multifocality. Cancer. 98:31–40. 2003. View Article : Google Scholar : PubMed/NCBI

15 

Kim TY, Hong SJ, Kim JM, Kim WG, Gong G, Ryu JS, Kim WB, Yun SC and Shong YK: Prognostic parameters for recurrence of papillary thyroid microcarcinoma. BMC Cancer. 8:2962008. View Article : Google Scholar : PubMed/NCBI

16 

Fisher ER, Palekar AS, Sass R and Fisher B: Scar cancers: Pathologic findings from the national surgical adjuvant breast project (protocol no. 4)-IX. Breast Cancer Res Treat. 3:39–59. 1983. View Article : Google Scholar : PubMed/NCBI

17 

Zhang C, Fu L, Fu J, Hu L, Yang H, Rong TH, Li Y, Liu H, Fu SB, Zeng YX and Guan XY: Fibroblast growth factor receptor 2-positive fibroblasts provide a suitable microenvironment for tumor development and progression in esophageal carcinoma. Clin Cancer Res. 15:4017–4027. 2009. View Article : Google Scholar : PubMed/NCBI

18 

Hwang RF, Moore T, Arumugam T, Ramachandran V, Amos KD, Rivera A, Ji B, Evans DB and Logsdon CD: Cancer-associated stromal fibroblasts promote pancreatic tumor progression. Cancer Res. 68:918–926. 2008. View Article : Google Scholar : PubMed/NCBI

19 

Kozel PJ, Friedman RA, Erway LC, Yamoah EN, Liu LH, Riddle T, Duffy JJ, Doetschman T, Miller ML, Cardell EL and Shull GE: Balance and hearing deficits in mice with a null mutation in the gene encoding plasma membrane Ca2+-ATPase isoform. J Bio Chem. 273:18693–18696. 1998. View Article : Google Scholar

20 

Nazareth MR, Broderick L, Simpson-Abelson MR, Kelleher RJ Jr, Yokota SJ and Bankert RB: Characterization of human lung tumor-associated fibroblasts and their ability to modulate the activation of tumor-associated T cells. J Immunol. 178:5552–5562. 2007. View Article : Google Scholar : PubMed/NCBI

21 

Kondo T, Okabayashi K, Hasegawa H, Tsuruta M, Shigeta K and Kitagawa Y: The impact of hepatic fibrosis on the incidence of liver metastasis from colorectal cancer. Br J Cancer. 115:34–39. 2016. View Article : Google Scholar : PubMed/NCBI

22 

Chen X, Xiao W, Chen W, Liu X, Wu M, Bo Q, Luo Y, Ye S, Cao Y and Liu Y: MicroRNA-26a and −26b inhibit lens fibrosis and cataract by negatively regulating Jagged-1/Notch signaling pathway. Cell Death Differ. 24:1431–1442. 2017. View Article : Google Scholar : PubMed/NCBI

23 

Miura K, Hamanaka K, Koizumi T, Kitaguchi Y, Terada Y, Nakamura D, Kumeda H, Agatsuma H, Hyogotani A, Kawakami S, et al: Clinical significance of preoperative serum albumin level for prognosis in surgically resected patients with non-small cell lung cancer: Comparative study of normal lung, emphysema, and pulmonary fibrosis. Lung Cancer. 111:88–95. 2017. View Article : Google Scholar : PubMed/NCBI

24 

Isarangkul W: Dense fibrosis. Another diagnostic criterion for papillary thyroid carcinoma. Arch Pathol Lab Med. 117:645–666. 1993.PubMed/NCBI

25 

Livolsi VA and Saavedra JA: Papillary carcinoma. DeLellis RA, Lloyd RV, Heitz PU and Eng C: World Health Organization Classification of Tumours: Pathology and Genetics of Tumours of Endocrine Organs. 8. IARC Press; Lyon, France: pp. 57–66. 2004

26 

Edge SB and Compton CC: The American Joint Committee on Cancer: The 7th edition of the AJCC cancer staging manual andthe future of TNM. Ann Surg Oncol. 17:1471–1474. 2010. View Article : Google Scholar : PubMed/NCBI

27 

Kumar V, Donthireddy L, Marvel D, Condamine T, Wang F, Lavilla-Alonso S, Hashimoto A, Vonteddu P, Behera R, Goins MA, et al: Cancer-associated fibroblasts neutralize the anti-tumor effect of CSF1 receptor blockade by inducing PMN-MDSC infiltration of tumors. Cancer Cell. 32:654–668.e5. 2017. View Article : Google Scholar : PubMed/NCBI

28 

Sewell-Loftin MK, Bayer SVH, Crist E, Hughes T, Joison SM, Longmore GD and George SC: Cancer-associated fibroblasts support vascular growth through mechanical force. Sci Rep. 7:125742017. View Article : Google Scholar : PubMed/NCBI

29 

Pang T, Wang X, Gao J, Chen W, Shen XJ, Nie MM, Luo T, Yin K, Fang G, Wang KX and Xue XC: Fiber-modified hexon-chimeric oncolytic adenovirus targeting cancer associated fibroblasts inhibits tumor growth in gastric carcinoma. Oncotarget. 8:76468–76478. 2017. View Article : Google Scholar : PubMed/NCBI

30 

Tao L, Huang G, Song H, Chen Y and Chen L: Cancer associated fibroblasts: An essential role in the tumor microenvironment. Oncol Lett. 14:2611–2620. 2017. View Article : Google Scholar : PubMed/NCBI

31 

Zhang J, Wang Y, Li D and Jing S: Notch and TGF-β/Smad3 pathways are involved in the interaction between cancer cells and cancer-associated fibroblasts in papillary thyroid carcinoma. Tumour Biol. 35:379–385. 2014. View Article : Google Scholar : PubMed/NCBI

32 

Van den Eynden GG, Colpaert CG, Couvelard A, Pezzella F, Dirix LY, Vermeulen PB, Van Marck EA and Hasebe T: A fibrotic focus is a prognostic factor and a surrogate marker for hypoxia and (lymph)angiogenesis in breast cancer: Review of the literature and proposal on the criteria of evaluation. Histopathology. 51:440–451. 2007. View Article : Google Scholar : PubMed/NCBI

33 

Rebecchini C, Nobile A, Piana S, Sarro R, Bisig B, Gerasimos SP, Saglietti C, Matter M, Marino L and Bongiovanni M: Papillary thyroid carcinoma with fibromatosis-like stroma: Are port of two cases. Endocr Pathol. 13:219–221. 2002. View Article : Google Scholar : PubMed/NCBI

34 

Mujtaba SS, Ni YB, Tsang JY, Chan SK, Yamaguchi R, Tanaka M, Tan PH and Tse GM: Fibrotic focus in breast carcinomas: Relationship with prognostic parameters and biomarkers. Ann Surg Oncol. 20:2842–2849. 2013. View Article : Google Scholar : PubMed/NCBI

35 

Zhou H, Kimura K, Orita T, Nishida T and Sonoda KH: Inhibition by female sex hormones of collagen degradation by corneal fibroblasts. Mol Vis. 17:3415–422. 2011.PubMed/NCBI

36 

De Matos PS, Ferreira AP, de Oliveira Facuri F, Assumpção LV, Metze K and Ward LS: Usefulness of HBME-1, cytokeratin 19 and galectin-3 immunostainingin the diagnosis of thyroid malignancy. Histopathology. 47:391–401. 2005. View Article : Google Scholar : PubMed/NCBI

37 

Htwe TT, Karim N, Wong J, Jahanfar S and Mansur MA: Differential expression of galectin-3 in advancing thyroid cancer cells: A clue toward understanding tumour progression and metastasis. Singapore Med J. 51:856–859. 2010.PubMed/NCBI

38 

Erkılıç S, Aydın A and Koçer NE: Diagnostic utility of cytokeratin 19 expression in multinodular goiter with papillary areas and papillary carcinoma of thyroid. Endocr Pathol. 13:207–211. 2002. View Article : Google Scholar : PubMed/NCBI

Related Articles

  • Abstract
  • View
  • Download
  • Twitter
Copy and paste a formatted citation
Spandidos Publications style
Liu X, Zhang S, Gang Q, Shen S, Zhang J, Lun Y, Xu D, Duan Z and Xin S: Interstitial fibrosis in papillary thyroid microcarcinoma and its association with biological behavior. Oncol Lett 15: 4937-4943, 2018.
APA
Liu, X., Zhang, S., Gang, Q., Shen, S., Zhang, J., Lun, Y. ... Xin, S. (2018). Interstitial fibrosis in papillary thyroid microcarcinoma and its association with biological behavior. Oncology Letters, 15, 4937-4943. https://doi.org/10.3892/ol.2018.7928
MLA
Liu, X., Zhang, S., Gang, Q., Shen, S., Zhang, J., Lun, Y., Xu, D., Duan, Z., Xin, S."Interstitial fibrosis in papillary thyroid microcarcinoma and its association with biological behavior". Oncology Letters 15.4 (2018): 4937-4943.
Chicago
Liu, X., Zhang, S., Gang, Q., Shen, S., Zhang, J., Lun, Y., Xu, D., Duan, Z., Xin, S."Interstitial fibrosis in papillary thyroid microcarcinoma and its association with biological behavior". Oncology Letters 15, no. 4 (2018): 4937-4943. https://doi.org/10.3892/ol.2018.7928
Copy and paste a formatted citation
x
Spandidos Publications style
Liu X, Zhang S, Gang Q, Shen S, Zhang J, Lun Y, Xu D, Duan Z and Xin S: Interstitial fibrosis in papillary thyroid microcarcinoma and its association with biological behavior. Oncol Lett 15: 4937-4943, 2018.
APA
Liu, X., Zhang, S., Gang, Q., Shen, S., Zhang, J., Lun, Y. ... Xin, S. (2018). Interstitial fibrosis in papillary thyroid microcarcinoma and its association with biological behavior. Oncology Letters, 15, 4937-4943. https://doi.org/10.3892/ol.2018.7928
MLA
Liu, X., Zhang, S., Gang, Q., Shen, S., Zhang, J., Lun, Y., Xu, D., Duan, Z., Xin, S."Interstitial fibrosis in papillary thyroid microcarcinoma and its association with biological behavior". Oncology Letters 15.4 (2018): 4937-4943.
Chicago
Liu, X., Zhang, S., Gang, Q., Shen, S., Zhang, J., Lun, Y., Xu, D., Duan, Z., Xin, S."Interstitial fibrosis in papillary thyroid microcarcinoma and its association with biological behavior". Oncology Letters 15, no. 4 (2018): 4937-4943. https://doi.org/10.3892/ol.2018.7928
Follow us
  • Twitter
  • LinkedIn
  • Facebook
About
  • Spandidos Publications
  • Careers
  • Cookie Policy
  • Privacy Policy
How can we help?
  • Help
  • Live Chat
  • Contact
  • Email to our Support Team