Spandidos Publications Logo
  • About
    • About Spandidos
    • Aims and Scopes
    • Abstracting and Indexing
    • Editorial Policies
    • Reprints and Permissions
    • Job Opportunities
    • Terms and Conditions
    • Contact
  • Journals
    • All Journals
    • Oncology Letters
      • Oncology Letters
      • Information for Authors
      • Editorial Policies
      • Editorial Board
      • Aims and Scope
      • Abstracting and Indexing
      • Bibliographic Information
      • Archive
    • International Journal of Oncology
      • International Journal of Oncology
      • Information for Authors
      • Editorial Policies
      • Editorial Board
      • Aims and Scope
      • Abstracting and Indexing
      • Bibliographic Information
      • Archive
    • Molecular and Clinical Oncology
      • Molecular and Clinical Oncology
      • Information for Authors
      • Editorial Policies
      • Editorial Board
      • Aims and Scope
      • Abstracting and Indexing
      • Bibliographic Information
      • Archive
    • Experimental and Therapeutic Medicine
      • Experimental and Therapeutic Medicine
      • Information for Authors
      • Editorial Policies
      • Editorial Board
      • Aims and Scope
      • Abstracting and Indexing
      • Bibliographic Information
      • Archive
    • International Journal of Molecular Medicine
      • International Journal of Molecular Medicine
      • Information for Authors
      • Editorial Policies
      • Editorial Board
      • Aims and Scope
      • Abstracting and Indexing
      • Bibliographic Information
      • Archive
    • Biomedical Reports
      • Biomedical Reports
      • Information for Authors
      • Editorial Policies
      • Editorial Board
      • Aims and Scope
      • Abstracting and Indexing
      • Bibliographic Information
      • Archive
    • Oncology Reports
      • Oncology Reports
      • Information for Authors
      • Editorial Policies
      • Editorial Board
      • Aims and Scope
      • Abstracting and Indexing
      • Bibliographic Information
      • Archive
    • Molecular Medicine Reports
      • Molecular Medicine Reports
      • Information for Authors
      • Editorial Policies
      • Editorial Board
      • Aims and Scope
      • Abstracting and Indexing
      • Bibliographic Information
      • Archive
    • World Academy of Sciences Journal
      • World Academy of Sciences Journal
      • Information for Authors
      • Editorial Policies
      • Editorial Board
      • Aims and Scope
      • Abstracting and Indexing
      • Bibliographic Information
      • Archive
    • International Journal of Functional Nutrition
      • International Journal of Functional Nutrition
      • Information for Authors
      • Editorial Policies
      • Editorial Board
      • Aims and Scope
      • Abstracting and Indexing
      • Bibliographic Information
      • Archive
    • International Journal of Epigenetics
      • International Journal of Epigenetics
      • Information for Authors
      • Editorial Policies
      • Editorial Board
      • Aims and Scope
      • Abstracting and Indexing
      • Bibliographic Information
      • Archive
    • Medicine International
      • Medicine International
      • Information for Authors
      • Editorial Policies
      • Editorial Board
      • Aims and Scope
      • Abstracting and Indexing
      • Bibliographic Information
      • Archive
  • Articles
  • Information
    • Information for Authors
    • Information for Reviewers
    • Information for Librarians
    • Information for Advertisers
    • Conferences
  • Language Editing
Spandidos Publications Logo
  • About
    • About Spandidos
    • Aims and Scopes
    • Abstracting and Indexing
    • Editorial Policies
    • Reprints and Permissions
    • Job Opportunities
    • Terms and Conditions
    • Contact
  • Journals
    • All Journals
    • Biomedical Reports
      • Information for Authors
      • Editorial Policies
      • Editorial Board
      • Aims and Scope
      • Abstracting and Indexing
      • Bibliographic Information
      • Archive
    • Experimental and Therapeutic Medicine
      • Information for Authors
      • Editorial Policies
      • Editorial Board
      • Aims and Scope
      • Abstracting and Indexing
      • Bibliographic Information
      • Archive
    • International Journal of Epigenetics
      • Information for Authors
      • Editorial Policies
      • Editorial Board
      • Aims and Scope
      • Abstracting and Indexing
      • Bibliographic Information
      • Archive
    • International Journal of Functional Nutrition
      • Information for Authors
      • Editorial Policies
      • Editorial Board
      • Aims and Scope
      • Abstracting and Indexing
      • Bibliographic Information
      • Archive
    • International Journal of Molecular Medicine
      • Information for Authors
      • Editorial Policies
      • Editorial Board
      • Aims and Scope
      • Abstracting and Indexing
      • Bibliographic Information
      • Archive
    • International Journal of Oncology
      • Information for Authors
      • Editorial Policies
      • Editorial Board
      • Aims and Scope
      • Abstracting and Indexing
      • Bibliographic Information
      • Archive
    • Medicine International
      • Information for Authors
      • Editorial Policies
      • Editorial Board
      • Aims and Scope
      • Abstracting and Indexing
      • Bibliographic Information
      • Archive
    • Molecular and Clinical Oncology
      • Information for Authors
      • Editorial Policies
      • Editorial Board
      • Aims and Scope
      • Abstracting and Indexing
      • Bibliographic Information
      • Archive
    • Molecular Medicine Reports
      • Information for Authors
      • Editorial Policies
      • Editorial Board
      • Aims and Scope
      • Abstracting and Indexing
      • Bibliographic Information
      • Archive
    • Oncology Letters
      • Information for Authors
      • Editorial Policies
      • Editorial Board
      • Aims and Scope
      • Abstracting and Indexing
      • Bibliographic Information
      • Archive
    • Oncology Reports
      • Information for Authors
      • Editorial Policies
      • Editorial Board
      • Aims and Scope
      • Abstracting and Indexing
      • Bibliographic Information
      • Archive
    • World Academy of Sciences Journal
      • Information for Authors
      • Editorial Policies
      • Editorial Board
      • Aims and Scope
      • Abstracting and Indexing
      • Bibliographic Information
      • Archive
  • Articles
  • Information
    • For Authors
    • For Reviewers
    • For Librarians
    • For Advertisers
    • Conferences
  • Language Editing
Login Register Submit
  • This site uses cookies
  • You can change your cookie settings at any time by following the instructions in our Cookie Policy. To find out more, you may read our Privacy Policy.

    I agree
Search articles by DOI, keyword, author or affiliation
Search
Advanced Search
presentation
Oncology Letters
Join Editorial Board Propose a Special Issue
Print ISSN: 1792-1074 Online ISSN: 1792-1082
Journal Cover
September-2018 Volume 16 Issue 3

Full Size Image

Sign up for eToc alerts
Recommend to Library

Journals

International Journal of Molecular Medicine

International Journal of Molecular Medicine

International Journal of Molecular Medicine is an international journal devoted to molecular mechanisms of human disease.

International Journal of Oncology

International Journal of Oncology

International Journal of Oncology is an international journal devoted to oncology research and cancer treatment.

Molecular Medicine Reports

Molecular Medicine Reports

Covers molecular medicine topics such as pharmacology, pathology, genetics, neuroscience, infectious diseases, molecular cardiology, and molecular surgery.

Oncology Reports

Oncology Reports

Oncology Reports is an international journal devoted to fundamental and applied research in Oncology.

Experimental and Therapeutic Medicine

Experimental and Therapeutic Medicine

Experimental and Therapeutic Medicine is an international journal devoted to laboratory and clinical medicine.

Oncology Letters

Oncology Letters

Oncology Letters is an international journal devoted to Experimental and Clinical Oncology.

Biomedical Reports

Biomedical Reports

Explores a wide range of biological and medical fields, including pharmacology, genetics, microbiology, neuroscience, and molecular cardiology.

Molecular and Clinical Oncology

Molecular and Clinical Oncology

International journal addressing all aspects of oncology research, from tumorigenesis and oncogenes to chemotherapy and metastasis.

World Academy of Sciences Journal

World Academy of Sciences Journal

Multidisciplinary open-access journal spanning biochemistry, genetics, neuroscience, environmental health, and synthetic biology.

International Journal of Functional Nutrition

International Journal of Functional Nutrition

Open-access journal combining biochemistry, pharmacology, immunology, and genetics to advance health through functional nutrition.

International Journal of Epigenetics

International Journal of Epigenetics

Publishes open-access research on using epigenetics to advance understanding and treatment of human disease.

Medicine International

Medicine International

An International Open Access Journal Devoted to General Medicine.

Journal Cover
September-2018 Volume 16 Issue 3

Full Size Image

Sign up for eToc alerts
Recommend to Library

  • Article
  • Citations
    • Cite This Article
    • Download Citation
    • Create Citation Alert
    • Remove Citation Alert
    • Cited By
  • Similar Articles
    • Related Articles (in Spandidos Publications)
    • Similar Articles (Google Scholar)
    • Similar Articles (PubMed)
  • Download PDF
  • Download XML
  • View XML
Case Report

Identification of a novel breast cancer‑causing mutation in the BRCA1 gene by targeted next generation sequencing: A case report

  • Authors:
    • Yanyan Wang
    • Da Jiang
    • Qiang Zhao
    • Hui Huang
    • Xue Zhang
    • Yanzhi Cui
    • Jiayin Liu
    • Jing Wu
    • Keke Lin
    • Weixi Chen
    • Jiale Xiang
    • Hui Jin
    • Zhiyu Peng
    • Santasree Banerjee
  • View Affiliations / Copyright

    Affiliations: BGI Genomics, BGI‑Shenzhen, Shenzhen, Guangdong 518083, P.R. China, Department of Internal Medicine, The Fourth Hospital of Hebei Medical University, Shijiazhuang, Hebei 050000, P.R. China, Department of Obstetrics and Gynecology, Jiangmen Central Hospital, Affiliated Jiangmen Hospital of Sun Yat‑Sen University, Jiangmen, Guangdong 529030, P.R. China
  • Pages: 3913-3916
    |
    Published online on: July 12, 2018
       https://doi.org/10.3892/ol.2018.9139
  • Expand metrics +
Metrics: Total Views: 0 (Spandidos Publications: | PMC Statistics: )
Metrics: Total PDF Downloads: 0 (Spandidos Publications: | PMC Statistics: )
Cited By (CrossRef): 0 citations Loading Articles...

This article is mentioned in:



Abstract

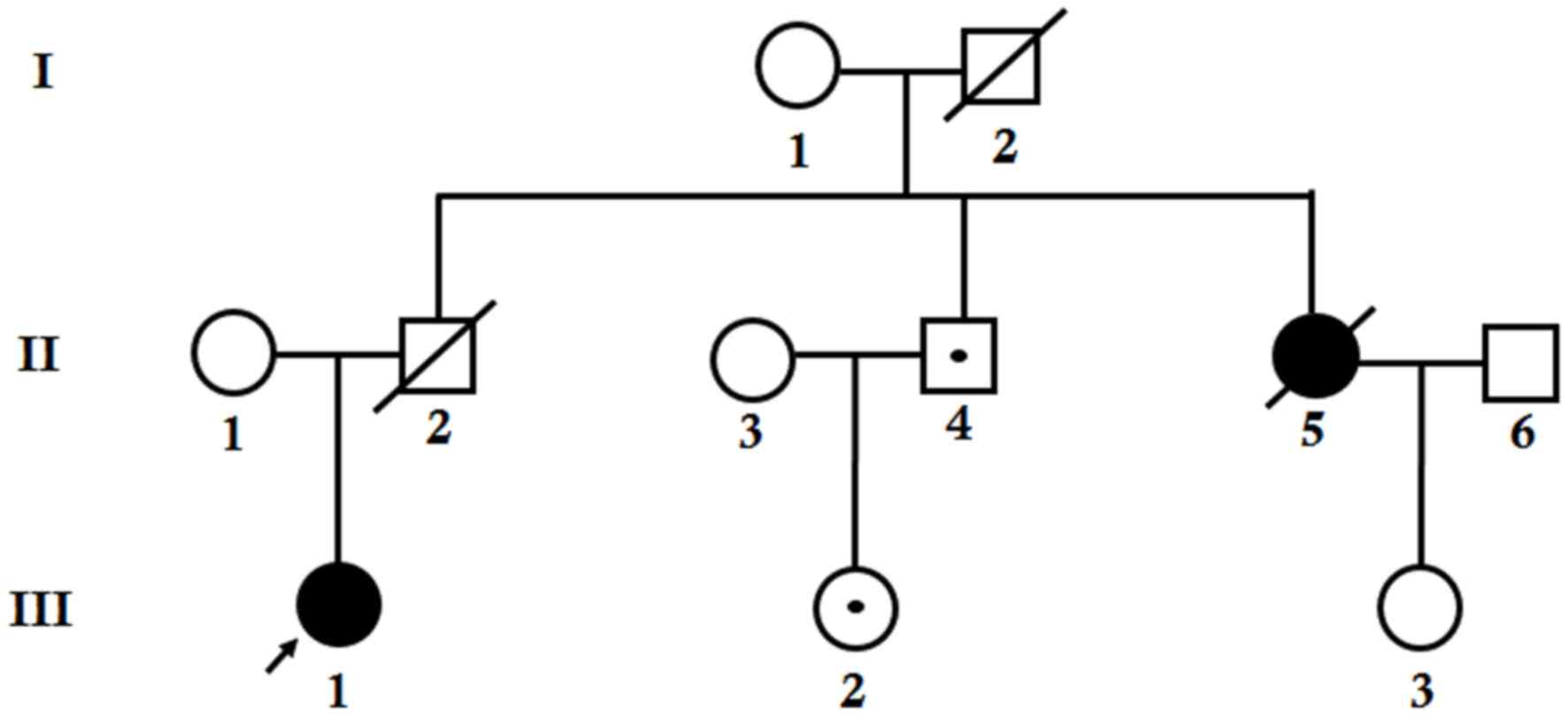
Hereditary breast cancer is an autosomal dominant syndrome caused by germ‑line mutations in the human breast cancer genes, BRCA1 and BRCA2. Mutations in either BRCA1 or BRCA2 are the major causes of familial and early‑onset breast cancer. The present study investigated a 33‑year‑old Chinese female patient with breast cancer using targeted next generation sequencing. A novel heterozygous deletion‑insertion was also identified in the BRCA1 gene, c.311_312delinsAGGTTTGCA, which causes the formation of a truncated BRCA1 protein of 109 amino acids instead of a wild‑type BRCA1 protein of 1,863 amino acids. These results could potentially expand the mutational spectra of BRCA1‑associated breast cancer. In addition, these findings may be valuable for the mutation‑based screening and genetic diagnosis of breast cancer.
View Figures

Figure 1

Figure 2

Figure 3

View References

1 

Narod SA and Foulkes WD: BRCA1 and BRCA2: 1994 and beyond. Nat Rev Cancer. 4:665–676. 2004. View Article : Google Scholar : PubMed/NCBI

2 

Carlson RW, Goldstein LJ, Gradishar WJ, Lichter AS, McCormick B, Moe RE and Theriault RL: NCCN breast cancer practice guidelines. The National comprehensive cancer network. Oncology (Williston Park). 10 11 Suppl:S47–S75. 1996.

3 

Schwarz JM, Cooper DN, Schuelke M and Seelow D: MutationTaster2: Mutation prediction for the deep-sequencing age. Nat Methods. 11:361–362. 2014. View Article : Google Scholar : PubMed/NCBI

4 

Richter S, Haroun I, Graham TC, Eisen A, Kiss A and Warner E: Variants of unknown significance in BRCA testing: Impact on risk perception, worry, prevention and counseling. Ann Oncol. 24 Suppl 8:viii69–viii74. 2013. View Article : Google Scholar : PubMed/NCBI

5 

Ward AJ and Cooper TA: The pathobiology of splicing. J Pathol. 220:152–163. 2010.PubMed/NCBI

6 

Ayub SG, Rasool S, Ayub T, Khan SN, Wani KA and Andrabi KI: Mutational analysis of the BRCA2 gene in breast carcinoma patients of Kashmiri descent. Mol Med Rep. 9:749–753. 2014. View Article : Google Scholar : PubMed/NCBI

7 

Musolino A, Naldi N, Michiara M, Bella MA, Zanelli P, Bortesi B, Capelletti M, Savi M, Neri TM and Ardizzoni A: A breast cancer patient from Italy with germline mutations in both the BRCA1 and BRCA2 genes. Breast Cancer Res Treat. 91:203–205. 2005. View Article : Google Scholar : PubMed/NCBI

8 

Chen W, Pan K, Ouyang T, Li J, Wang T, Fan Z, Fan T, Lin B, Lu Y, You W and Xie Y: BRCA1 germline mutations and tumor characteristics in Chinese women with familial or early-onset breast cancer. Breast Cancer Res Treat. 117:55–60. 2009. View Article : Google Scholar : PubMed/NCBI

9 

Lakhani SR, Van De Vijver MJ, Jacquemier J, Anderson TJ, Osin PP, McGuffog L and Easton DF: The pathology of familial breast cancer: Predictive value of immunohistochemical markers estrogen receptor, progesterone receptor, HER-2, and p53 in patients with mutations in BRCA1 and BRCA2. J Clin Oncol. 20:2310–2318. 2002. View Article : Google Scholar : PubMed/NCBI

10 

Phillips KA: Immunophenotypic and pathologic differences between BRCA1 and BRCA2 hereditary breast cancers. J Clin Oncol. 18 21 Suppl:107S–112S. 2000.PubMed/NCBI

11 

Jancárková N, Zikán M, Pohlreich P, Freitag P, Matous B and Zivný J: Detection and occurrence of BRCA 1 gene mutation in patients with carcinoma of the breast and ovary. Ceska Gynekol. 68:11–16. 2003.(In Czech). PubMed/NCBI

12 

Dutil J, Colon-Colon JL, Matta JL, Sutphen R and Echenique M: Identification of the prevalent BRCA1 and BRCA2 mutations in the female population of Puerto Rico. Cancer Genet. 205:242–248. 2012. View Article : Google Scholar : PubMed/NCBI

13 

Pohlreich P, Zikan M, Stribrna J, Kleibl Z, Janatova M, Kotlas J, Zidovska J, Novotny J, Petruzelka L, Szabo C and Matous B: High proportion of recurrent germline mutations in the BRCA1 gene in breast and ovarian cancer patients from the Prague area. Breast Cancer Res. 7:R728–R736. 2005. View Article : Google Scholar : PubMed/NCBI

Related Articles

  • Abstract
  • View
  • Download
  • Twitter
Copy and paste a formatted citation
Spandidos Publications style
Wang Y, Jiang D, Zhao Q, Huang H, Zhang X, Cui Y, Liu J, Wu J, Lin K, Chen W, Chen W, et al: Identification of a novel breast cancer‑causing mutation in the BRCA1 gene by targeted next generation sequencing: A case report. Oncol Lett 16: 3913-3916, 2018.
APA
Wang, Y., Jiang, D., Zhao, Q., Huang, H., Zhang, X., Cui, Y. ... Banerjee, S. (2018). Identification of a novel breast cancer‑causing mutation in the BRCA1 gene by targeted next generation sequencing: A case report. Oncology Letters, 16, 3913-3916. https://doi.org/10.3892/ol.2018.9139
MLA
Wang, Y., Jiang, D., Zhao, Q., Huang, H., Zhang, X., Cui, Y., Liu, J., Wu, J., Lin, K., Chen, W., Xiang, J., Jin, H., Peng, Z., Banerjee, S."Identification of a novel breast cancer‑causing mutation in the BRCA1 gene by targeted next generation sequencing: A case report". Oncology Letters 16.3 (2018): 3913-3916.
Chicago
Wang, Y., Jiang, D., Zhao, Q., Huang, H., Zhang, X., Cui, Y., Liu, J., Wu, J., Lin, K., Chen, W., Xiang, J., Jin, H., Peng, Z., Banerjee, S."Identification of a novel breast cancer‑causing mutation in the BRCA1 gene by targeted next generation sequencing: A case report". Oncology Letters 16, no. 3 (2018): 3913-3916. https://doi.org/10.3892/ol.2018.9139
Copy and paste a formatted citation
x
Spandidos Publications style
Wang Y, Jiang D, Zhao Q, Huang H, Zhang X, Cui Y, Liu J, Wu J, Lin K, Chen W, Chen W, et al: Identification of a novel breast cancer‑causing mutation in the BRCA1 gene by targeted next generation sequencing: A case report. Oncol Lett 16: 3913-3916, 2018.
APA
Wang, Y., Jiang, D., Zhao, Q., Huang, H., Zhang, X., Cui, Y. ... Banerjee, S. (2018). Identification of a novel breast cancer‑causing mutation in the BRCA1 gene by targeted next generation sequencing: A case report. Oncology Letters, 16, 3913-3916. https://doi.org/10.3892/ol.2018.9139
MLA
Wang, Y., Jiang, D., Zhao, Q., Huang, H., Zhang, X., Cui, Y., Liu, J., Wu, J., Lin, K., Chen, W., Xiang, J., Jin, H., Peng, Z., Banerjee, S."Identification of a novel breast cancer‑causing mutation in the BRCA1 gene by targeted next generation sequencing: A case report". Oncology Letters 16.3 (2018): 3913-3916.
Chicago
Wang, Y., Jiang, D., Zhao, Q., Huang, H., Zhang, X., Cui, Y., Liu, J., Wu, J., Lin, K., Chen, W., Xiang, J., Jin, H., Peng, Z., Banerjee, S."Identification of a novel breast cancer‑causing mutation in the BRCA1 gene by targeted next generation sequencing: A case report". Oncology Letters 16, no. 3 (2018): 3913-3916. https://doi.org/10.3892/ol.2018.9139
Follow us
  • Twitter
  • LinkedIn
  • Facebook
About
  • Spandidos Publications
  • Careers
  • Cookie Policy
  • Privacy Policy
How can we help?
  • Help
  • Live Chat
  • Contact
  • Email to our Support Team