Spandidos Publications Logo
  • About
    • About Spandidos
    • Aims and Scopes
    • Abstracting and Indexing
    • Editorial Policies
    • Reprints and Permissions
    • Job Opportunities
    • Terms and Conditions
    • Contact
  • Journals
    • All Journals
    • Oncology Letters
      • Oncology Letters
      • Information for Authors
      • Editorial Policies
      • Editorial Board
      • Aims and Scope
      • Abstracting and Indexing
      • Bibliographic Information
      • Archive
    • International Journal of Oncology
      • International Journal of Oncology
      • Information for Authors
      • Editorial Policies
      • Editorial Board
      • Aims and Scope
      • Abstracting and Indexing
      • Bibliographic Information
      • Archive
    • Molecular and Clinical Oncology
      • Molecular and Clinical Oncology
      • Information for Authors
      • Editorial Policies
      • Editorial Board
      • Aims and Scope
      • Abstracting and Indexing
      • Bibliographic Information
      • Archive
    • Experimental and Therapeutic Medicine
      • Experimental and Therapeutic Medicine
      • Information for Authors
      • Editorial Policies
      • Editorial Board
      • Aims and Scope
      • Abstracting and Indexing
      • Bibliographic Information
      • Archive
    • International Journal of Molecular Medicine
      • International Journal of Molecular Medicine
      • Information for Authors
      • Editorial Policies
      • Editorial Board
      • Aims and Scope
      • Abstracting and Indexing
      • Bibliographic Information
      • Archive
    • Biomedical Reports
      • Biomedical Reports
      • Information for Authors
      • Editorial Policies
      • Editorial Board
      • Aims and Scope
      • Abstracting and Indexing
      • Bibliographic Information
      • Archive
    • Oncology Reports
      • Oncology Reports
      • Information for Authors
      • Editorial Policies
      • Editorial Board
      • Aims and Scope
      • Abstracting and Indexing
      • Bibliographic Information
      • Archive
    • Molecular Medicine Reports
      • Molecular Medicine Reports
      • Information for Authors
      • Editorial Policies
      • Editorial Board
      • Aims and Scope
      • Abstracting and Indexing
      • Bibliographic Information
      • Archive
    • World Academy of Sciences Journal
      • World Academy of Sciences Journal
      • Information for Authors
      • Editorial Policies
      • Editorial Board
      • Aims and Scope
      • Abstracting and Indexing
      • Bibliographic Information
      • Archive
    • International Journal of Functional Nutrition
      • International Journal of Functional Nutrition
      • Information for Authors
      • Editorial Policies
      • Editorial Board
      • Aims and Scope
      • Abstracting and Indexing
      • Bibliographic Information
      • Archive
    • International Journal of Epigenetics
      • International Journal of Epigenetics
      • Information for Authors
      • Editorial Policies
      • Editorial Board
      • Aims and Scope
      • Abstracting and Indexing
      • Bibliographic Information
      • Archive
    • Medicine International
      • Medicine International
      • Information for Authors
      • Editorial Policies
      • Editorial Board
      • Aims and Scope
      • Abstracting and Indexing
      • Bibliographic Information
      • Archive
  • Articles
  • Information
    • Information for Authors
    • Information for Reviewers
    • Information for Librarians
    • Information for Advertisers
    • Conferences
  • Language Editing
Spandidos Publications Logo
  • About
    • About Spandidos
    • Aims and Scopes
    • Abstracting and Indexing
    • Editorial Policies
    • Reprints and Permissions
    • Job Opportunities
    • Terms and Conditions
    • Contact
  • Journals
    • All Journals
    • Biomedical Reports
      • Information for Authors
      • Editorial Policies
      • Editorial Board
      • Aims and Scope
      • Abstracting and Indexing
      • Bibliographic Information
      • Archive
    • Experimental and Therapeutic Medicine
      • Information for Authors
      • Editorial Policies
      • Editorial Board
      • Aims and Scope
      • Abstracting and Indexing
      • Bibliographic Information
      • Archive
    • International Journal of Epigenetics
      • Information for Authors
      • Editorial Policies
      • Editorial Board
      • Aims and Scope
      • Abstracting and Indexing
      • Bibliographic Information
      • Archive
    • International Journal of Functional Nutrition
      • Information for Authors
      • Editorial Policies
      • Editorial Board
      • Aims and Scope
      • Abstracting and Indexing
      • Bibliographic Information
      • Archive
    • International Journal of Molecular Medicine
      • Information for Authors
      • Editorial Policies
      • Editorial Board
      • Aims and Scope
      • Abstracting and Indexing
      • Bibliographic Information
      • Archive
    • International Journal of Oncology
      • Information for Authors
      • Editorial Policies
      • Editorial Board
      • Aims and Scope
      • Abstracting and Indexing
      • Bibliographic Information
      • Archive
    • Medicine International
      • Information for Authors
      • Editorial Policies
      • Editorial Board
      • Aims and Scope
      • Abstracting and Indexing
      • Bibliographic Information
      • Archive
    • Molecular and Clinical Oncology
      • Information for Authors
      • Editorial Policies
      • Editorial Board
      • Aims and Scope
      • Abstracting and Indexing
      • Bibliographic Information
      • Archive
    • Molecular Medicine Reports
      • Information for Authors
      • Editorial Policies
      • Editorial Board
      • Aims and Scope
      • Abstracting and Indexing
      • Bibliographic Information
      • Archive
    • Oncology Letters
      • Information for Authors
      • Editorial Policies
      • Editorial Board
      • Aims and Scope
      • Abstracting and Indexing
      • Bibliographic Information
      • Archive
    • Oncology Reports
      • Information for Authors
      • Editorial Policies
      • Editorial Board
      • Aims and Scope
      • Abstracting and Indexing
      • Bibliographic Information
      • Archive
    • World Academy of Sciences Journal
      • Information for Authors
      • Editorial Policies
      • Editorial Board
      • Aims and Scope
      • Abstracting and Indexing
      • Bibliographic Information
      • Archive
  • Articles
  • Information
    • For Authors
    • For Reviewers
    • For Librarians
    • For Advertisers
    • Conferences
  • Language Editing
Login Register Submit
  • This site uses cookies
  • You can change your cookie settings at any time by following the instructions in our Cookie Policy. To find out more, you may read our Privacy Policy.

    I agree
Search articles by DOI, keyword, author or affiliation
Search
Advanced Search
presentation
Oncology Letters
Join Editorial Board Propose a Special Issue
Print ISSN: 1792-1074 Online ISSN: 1792-1082
Journal Cover
October-2019 Volume 18 Issue 4

Full Size Image

Sign up for eToc alerts
Recommend to Library

Journals

International Journal of Molecular Medicine

International Journal of Molecular Medicine

International Journal of Molecular Medicine is an international journal devoted to molecular mechanisms of human disease.

International Journal of Oncology

International Journal of Oncology

International Journal of Oncology is an international journal devoted to oncology research and cancer treatment.

Molecular Medicine Reports

Molecular Medicine Reports

Covers molecular medicine topics such as pharmacology, pathology, genetics, neuroscience, infectious diseases, molecular cardiology, and molecular surgery.

Oncology Reports

Oncology Reports

Oncology Reports is an international journal devoted to fundamental and applied research in Oncology.

Experimental and Therapeutic Medicine

Experimental and Therapeutic Medicine

Experimental and Therapeutic Medicine is an international journal devoted to laboratory and clinical medicine.

Oncology Letters

Oncology Letters

Oncology Letters is an international journal devoted to Experimental and Clinical Oncology.

Biomedical Reports

Biomedical Reports

Explores a wide range of biological and medical fields, including pharmacology, genetics, microbiology, neuroscience, and molecular cardiology.

Molecular and Clinical Oncology

Molecular and Clinical Oncology

International journal addressing all aspects of oncology research, from tumorigenesis and oncogenes to chemotherapy and metastasis.

World Academy of Sciences Journal

World Academy of Sciences Journal

Multidisciplinary open-access journal spanning biochemistry, genetics, neuroscience, environmental health, and synthetic biology.

International Journal of Functional Nutrition

International Journal of Functional Nutrition

Open-access journal combining biochemistry, pharmacology, immunology, and genetics to advance health through functional nutrition.

International Journal of Epigenetics

International Journal of Epigenetics

Publishes open-access research on using epigenetics to advance understanding and treatment of human disease.

Medicine International

Medicine International

An International Open Access Journal Devoted to General Medicine.

Journal Cover
October-2019 Volume 18 Issue 4

Full Size Image

Sign up for eToc alerts
Recommend to Library

  • Article
  • Citations
    • Cite This Article
    • Download Citation
    • Create Citation Alert
    • Remove Citation Alert
    • Cited By
  • Similar Articles
    • Related Articles (in Spandidos Publications)
    • Similar Articles (Google Scholar)
    • Similar Articles (PubMed)
  • Download PDF
  • Download XML
  • View XML
Article Open Access

Suberoylanilide hydroxamic acid upregulates histone acetylation and activates endoplasmic reticulum stress to induce apoptosis in HepG2 liver cancer cells

  • Authors:
    • Lei Yu
    • Rujia Xie
    • Tian Tian
    • Lu Zheng
    • Lei Tang
    • Shuang Cai
    • Zihua Ma
    • Ting Yang
    • Bing Han
    • Qin Yang
  • View Affiliations / Copyright

    Affiliations: Department of Pathophysiology, College of Basic Medical Sciences, Guizhou Medical University, Guiyang, Guizhou 550025, P.R. China
    Copyright: © Yu et al. This is an open access article distributed under the terms of Creative Commons Attribution License.
  • Pages: 3537-3544
    |
    Published online on: August 2, 2019
       https://doi.org/10.3892/ol.2019.10705
  • Expand metrics +
Metrics: Total Views: 0 (Spandidos Publications: | PMC Statistics: )
Metrics: Total PDF Downloads: 0 (Spandidos Publications: | PMC Statistics: )
Cited By (CrossRef): 0 citations Loading Articles...

This article is mentioned in:



Abstract

Suberoylanilide hydroxamic acid (SAHA) is a histone deacetylase inhibitor that has demonstrated clinical activity against various solid tumors. The aim of the present study was to explore the effects of SAHA on the apoptosis of HepG2 liver cancer cells, as well as the potential mechanisms involved in histone acetylation and endoplasmic reticulum (ER) stress. HepG2 cells were treated with various doses of SAHA (0, 1, 6 and 12 µM), and apoptosis was measured by flow cytometry. The levels of ER stress‑associated molecules, including 78 kDa glucose‑regulated protein (GRP78), PRKR‑like endoplasmic reticulum kinase (PERK), phosphorylated (p)‑PERK, activating transcription factor 4 (ATF4) and C/EBP‑homologous protein (CHOP), were quantitated by western blot analysis and reverse transcription‑quantitative PCR assay. The expression levels of acetylated histone H4 (acH4, acH4 lysine (K)5 and acH4K12) were detected by western blot analysis. The effects of SAHA on the acetylation of H4 in the promoter regions of GRP78, ATF4 and CHOP were evaluated by chromatin immunoprecipitation assays. Following treatment with higher doses of SAHA (6 and 12 µM) for 48 h, the proliferation of HepG2 cells was significantly suppressed. SAHA induced dose‑dependent apoptosis and increased both protein and mRNA expression levels of GRP78, ATF4 and CHOP in HepG2 cells. The protein expression of PERK was markedly decreased by treatment with SAHA, whereas the p‑PERK expression level was notably increased, which resulted in increased p‑PERK/PERK ratio. Furthermore, the acetylation levels of H4 in the promoter regions of GRP78, ATF4 and CHOP were significantly increased in HepG2 cells exposed to 6 µM SAHA for 36 h. Thus, SAHA induces apoptosis in HepG2 cells by activating the ER stress‑mediated apoptotic signaling pathway, at least partially by enhancing the acetylation of histone H4 on the promoter regions of ER‑stress associated genes, including GRP78, ATF4 and CHOP.

Introduction

Liver cancer is among the most prevalent malignancies in the world (1); it has a high degree of malignancy and a poor prognosis. However, relatively limited treatment approaches are available in the clinic. Therefore, there is an urgent need to identify novel therapeutic targets and to develop effective strategies for liver cancer therapy. Emerging evidence has demonstrated a key role for epigenetics in tumorigenesis (2–4). The occurrence and development of liver cancer is also dependent on epigenetics-related disorders of various signal transduction pathways (5). Epigenetic regulation is defined as genomic modifications of heritable factors that do not involve alterations in the DNA sequence and affect the transcriptional activity of genes instead (6). Several mechanisms of epigenetic regulation, including histone modification, noncoding RNAs and DNA methylation, have been extensively studied (7). Among these mechanisms, histone modification is one of the important modes of epigenetic regulation in liver cancer (8).

Histones are well-conserved and highly alkaline proteins, which appear as an octameric core and help to package and order DNA into nucleosomes. The N-terminal tails of histones extend beyond the nucleosome and undergo a variety of post-translational modifications, such as acetylation, methylation, ubiquitination and phosphorylation (9). Acetylation of histones is mediated through histone acetylases (HATs) and histone deacetylases (HDACs) (10–12). Some studies have unveiled the importance of the balance of HATs and HDACs for the expression of several key genes, including p21, Fas, Bcl-2 and Bax (13). Once this balance is broken, an imbalance of gene transcription occurs, which may lead to tumorigenesis or abnormal cell proliferation. Moreover, the high expression of HDAC family members and the downregulation of histone acetylation in liver cancer tissues have been confirmed in certain studies (14,15). Therefore, the inhibition of HDAC activity by an HDAC inhibitor (HDACi) is expected to be an effective approach for the treatment of liver cancer.

Suberoylanilide hydroxamic acid (SAHA), the first HDACi approved for clinical use by the US Food and Drug Administration, has been widely acknowledged for its antitumor activity (16). It has been reported that SAHA decreases proliferation, induces differentiation and elicits apoptosis in many tumor cells during in vitro culturing (17–19). Additionally, SAHA has been demonstrated to be a potential inducer of endoplasmic reticulum (ER) stress that led to induction of apoptosis in lung cancer cells, mediated by the activation of the ER stress-mediated apoptotic signaling pathway (20). However, the effects of SAHA in liver cancer and the mechanism of SAHA in regulating ER stress are largely unknown.

In the present study, the effects of SAHA on apoptosis in the HepG2 liver cancer cells and the potential mechanisms involved in histone acetylation and ER stress were explored. Following treatment with various doses of SAHA, HepG2 cells were subjected to an apoptosis assay. Furthermore, the levels of the ER-stress related molecules 78 kDa glucose-regulated protein (GRP78), activating transcription factor 4 (ATF4) and C/EBP-homologous protein (CHOP), as well as the acetylation levels of the histone proteins H4 (acH4), H4-lysine 5 (H4K5) and H4-lysine 12 (H4K12) were quantitated. The effects of SAHA on acetylation of H4 in the promoter regions of GRP78, ATF4 and CHOP were evaluated by chromatin immunoprecipitation (ChIP) experiments.

Materials and methods

Cell culture

The HepG2 liver cancer cell line (cat. no. KCB 200507YJ) was purchased from the cell bank of the Type Culture Collection of the Chinese Academy of Sciences. The HepG2 cells were authenticated by short tandem repeat DNA profiling analysis and tested to be free of mycoplasma and other contaminants by the vendor. The cells were maintained in Dulbecco's modified Eagle's medium (Gibco; Thermo Fisher Scientific, Inc.) supplemented with 10% fetal bovine serum (ScienCell Research Laboratories, Inc.), 100 U/ml penicillin and 100 µg/ml streptomycin (Gibco; Thermo Fisher Scientific, Inc.) and grown in a humidified atmosphere with 5% CO2 at 37°C. The cells were treated with SAHA (Abcam) or mock-treated with DMSO (Sigma-Aldrich; Merck KGaA), as indicated.

Real-time cellular analysis

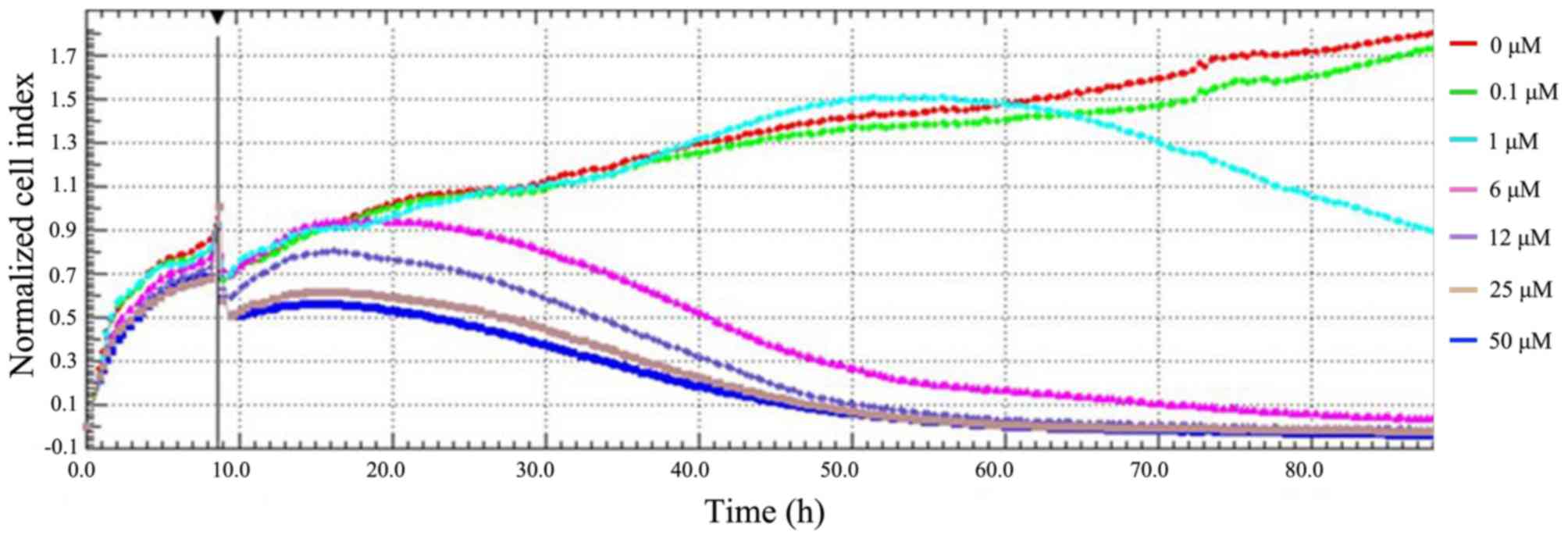
Cell proliferation was monitored using an xCELLigence Real-Time Cell Analysis instrument (xCELLigence DP System; ACEA Biosciences, Inc.), which can continuously monitor live cell proliferation, morphology and viability with a label-free assay. The experimental procedures used were as previously described (21,22). Briefly, HepG2 cells were seeded at a density of 1×104 cells/well in a 16-well µl plate (E-plate 16), cultured in complete medium supplemented with various doses of SAHA (0, 0.1, 1, 6, 12, 25, 50 and 100 µM), and placed at 37°C in a humidified incubator containing 5% CO2. The effects of the various doses of SAHA on the proliferation of HepG2 cells were continuously monitored for 90 h. The cell index is a dimensionless parameter that is translated from the electrical impedance measured to denote cell proliferation.

Apoptosis assay

HepG2 cells (1×106) were seeded onto 10-cm diameter dishes and treated with various doses of SAHA (0, 1, 6 and 12 µM) for 48 h. The cells were harvested and subjected to an apoptosis assay using an annexin V/propidium iodide (PI) cell apoptosis detection kit (Nanjing KeyGen Biotech Co., Ltd.), according to the manufacturer's instructions. Briefly, the cells were washed with cold phosphate-buffered saline (PBS). After centrifugation at 110 g for 5 min, the cell pellet was resuspended in 1 ml PBS (final concentration ~1–5×105 cells/ml). After washing with 1X annexin V binding solution, the cells were stained with 5 µl of fluorescein isothiocyanate (FITC)-conjugated annexin V and 10 µl PI staining solution at room temperature for 20 min. After washing once with the 1X annexin V binding solution, the labeled cells (1×104 cells) were detected immediately by a flow cytometer (FACSCalibur™; BD Biosciences). The data were analyzed by BD CellQuest Pro software (version 1.0; BD Biosciences). The apoptotic rate was defined as the percentage of FITC-annexin V single positive cells (early apoptotic cells) among total cells.

Western blot analysis

HepG2 cells (1×106) were seeded onto 10-cm diameter dishes and treated at various doses of SAHA (0, 1, 6 and 12 µM) for 48 h. The cells were then lysed with 0.2 ml of radioimmunoprecipitation assay buffer (Thermo Fisher Scientific, Inc.). Total protein samples (60 µg) were separated by sodium dodecyl sulfate-polyacrylamide gel electrophoresis (10% gels), transferred to a polyvinylidene difluoride membrane and blocked with 5% nonfat milk in Tris-buffered saline containing 0.1% Tween 20 (TBST) for 60 min at room temperature. The membrane was incubated overnight at 4°C with the following primary antibodies: acH4 (1:1,000), acH4K5 (1:5,000), acH4K12 (1:1,000), GRP78 (1:1,500), PERK (1:1,500), phosphorylated (p)-PERK (1:1,500), ATF4 (1:1,500) and CHOP (1:1,500). After washing with TBST buffer, the membrane was incubated with the peroxidase-conjugated anti-rabbit secondary antibody (1:4,000; Abcam; cat. no. ab205718) for 90 min at room temperature. Following treatment with enhanced chemiluminescence reagent (Thermo Fisher Scientific, Inc.), the Image Lab software (version 4.1; Bio-Rad Laboratories, Inc.) was used to quantitate the band intensities. The antibodies against β-actin (cat. no. ab8227), GRP78 (cat. no. ab21685), ATF4 (cat. no. ab184909), CHOP (cat. no. ab10444), PERK (cat. no. ab65142), acH4K5 (cat. no. ab51997) and acH4K12 (cat. no. ab46983) were purchased from Abcam. The antibody against acH4 (cat. no. 39925) was purchased from Active Motif, Inc. the antibody against p-PERK (cat. no. AF4499) was purchased from Affinity Biosciences.

Reverse transcription-quantitative (RT-q)PCR

Total RNA was isolated from HepG2 cells using a TRIzol RNA isolation kit (Thermo Fisher Scientific, Inc.) and the purity and concentration of the RNA samples were determined by a DN2000 ultramicro nucleic acid analyzer (Thermo Fisher Scientific, Inc.). The total RNA was reverse transcribed into cDNA using a First Strand cDNA Synthesis kit (Thermo Fisher Scientific, Inc), according to the manufacturer's instructions. RT-qPCR reactions were performed as follows: 25°C for 10 min, 48°C for 60 min and 95°C for 5 min. The qPCR was performed using SYBR green mix from Thermo Fisher Scientific, Inc. The reaction conditions included an initial pre-denaturation step at 95°C for 30 sec, followed by 40 cycles of thermal steps consisting of 95°C for 5 sec and 60°C for 30 sec. β-Actin was used as an internal control. The fold-change was calculated by the 2−∆∆Cq method (23). The primer sequences used for each gene are shown in Table I.

Table I.

DNA sequences of primers used for RT- and ChIP-quantitative PCR.

Table I.

DNA sequences of primers used for RT- and ChIP-quantitative PCR.

GeneForward (5′-3′)Reverse (5′-3′)
RT-qPCR
  GRP78 GCCTGTATTTCTAGACCTGCC TTCATCTTGCCAGCCAGTTG
  PERK CTCACAGGCAAAGGAAGGAG AACAACTCCAAAGCCACCAC
  ATF4 GACCGAAATGAGCTTCCTGA ACCCATGAGGTTTGAAGTGC
  CHOP CTGCTTCTCTGGCTTGGCTG GCTCTGGGAGGTGCTTGTGA
  β-actin GCACCCAGCACAATGAAGAT ACTCCTGCTTGCTGATCCAC
ChIP-qPCR
  GRP78 GGGATGGAGGAAGGGAGAAC GAGGCATTTCCGCTGGTAAC
  ATF4 GGTGGGTTCCATGGTCAAAT AACACATCCACCACTGC
  CHOP CACGACCTCAGCCTGTCAAG ACTGGAGTGGTGTGGCAATG

[i] RT, reverse transcription; ChIP, chromatin immunoprecipitation; F, forward; R, reverse; GRP78, 78 kDa glucose-regulated protein; ATF4, activating transcription factor 4; CHOP, C/EBP-homologous protein; PERK, PRKR-like endoplasmic reticulum kinase.

ChIP-qPCR

HepG2 cells (1×106) were seeded onto 10-cm diameter dishes and were mock-treated with DMSO (0 µM SAHA) or treated with 6 µM SAHA for 36 h. Following treatment, the cells were subjected to a ChIP assay using a ChIP kit (Sigma-Aldrich; Merck KGaA), according to the manufacturer's instructions. The HepG2 cells were cross-linked with 1% formaldehyde and lysed with 600 µl of radioimmunoprecipitation assay lysis buffer (Thermo Fisher Scientific, Inc.), and the lysates were sonicated to fragment the DNA into lengths between 200–1,000 base pairs. Immunoprecipitation was performed with the following antibodies: Anti-acH4 (1:50; Active Motif, Inc.; cat. no. 39925), rabbit IgG (1:50; Abcam; cat. no. ab205718) and anti-RNA Polymerase II (1:50; Abcam; cat. no. ab51462) at 4°C overnight. Protein G-sepharose beads were used for immunoprecipitation, and the immunoprecipitates were washed and eluted, according to the manufacturer's protocol. The immunoprecipitated DNA was recovered by reversing the cross-linking, and were purified and dissolved in distilled water. A corresponding sample handled without the addition of any antibody served as an input control. The ChIP DNA and input DNA were analyzed by qPCR. The abundance of the immunoprecipitated target DNA was expressed as a percentage of the input chromatin DNA. The primers used for detecting the promoter regions of the GRP78, ATF4 and CHOP genes are listed in Table I.

Statistical analysis

SPSS version 20 statistical software (IBM Corp.) was used for statistical analysis. Data were expressed as the mean ± SD. The one-way analysis of variance method was used for the multivariate comparison, and the least significant difference method was used as a post hoc test. P<0.05 was considered to indicate a statistically significant difference.

Results

SAHA inhibits the proliferation of HepG2 cells in a dose- and time-dependent manner

Firstly, the effect of SAHA on the proliferation of HepG2 cells was determined by real-time cellular analysis. This involved live monitoring of cell proliferation in a label-free manner. The electrical impedance of adherent cells was detected by the electrode at the bottom of an E-plate 16, and the cell index is a dimensionless parameter that was translated from the measured electrical impedance to denote cell proliferation. After HepG2 cells were incubated for 10 h to allow cell adhesion, SAHA was added at various doses in the culture medium to treat cells. This resulted in a rapid decrease in HepG2 cell proliferation at 10 h (Fig. 1), which was probably due to the transient effect of SAHA vehicle DMSO on cell proliferation. Compared with the mock-treated group (0 µM SAHA), treatment with SAHA at concentrations >1 µM resulted in a notable inhibitory effect on the proliferation of HepG2 cells (Fig. 1). Furthermore, SAHA at 6 µM resulted in significantly (P<0.01) decreased normalized cell index, by >70%, at 50 h after treatment. A significant (P<0.01) suppression of proliferation was observed in HepG2 cells treated with higher doses of SAHA (12, 25 and 50 µM) for longer periods of time. Thus, the antiproliferative effect of SAHA on HepG2 cells occurs in a dose- and time-dependent manner.

Figure 1.

SAHA inhibits the proliferation of HepG2 cells in a dose- and time-dependent manner. HepG2 cells were exposed to SAHA at the indicated concentrations for 90 h. Cell proliferation was measured by a real-time cellular analysis system. The normalized cell index is a parameter with no dimension that is translated from the electrical impedance and indicates cell proliferation. Data shown represent one of three experiments. SAHA, suberoylanilide hydroxamic acid.

SAHA induces apoptosis in HepG2 cells in a dose-dependent manner

The effect of SAHA on apoptosis in HepG2 cells was investigated by annexin V-FITC and PI staining. Following treatment with SAHA for 48 h, the apoptotic rates were significantly elevated in HepG2 cells treated with 1, 6 or 12 µM SAHA, compared with the untreated cells (Fig. 2). While the control group (0 µM SAHA) had an average apoptotic rate of ~1%, 12 µM SAHA led to an increased apoptotic cell population to ~10%. These results indicate that SAHA could significantly promote apoptosis in HepG2 cells in a dose-dependent manner.

Figure 2.

SAHA induces apoptosis in HepG2 cells in a dose-dependent manner. (A) Representative flow cytometry plots showing the population of apoptotic HepG2 cells treated with the specified doses of SAHA for 48 h. Cells were stained with annexin V-FITC and PI to assess apoptosis by flow cytometry. Data shown represent one of three experiments. The lower right quadrant represents the early apoptotic cells, and the upper right quadrant represents the late apoptotic and dead cells. (B) Quantification of the apoptotic rates (percentages of Annexin V-positive cells) in HepG2 cells exposed to SAHA at the indicated doses for 48 h. N=3 for each group. *P<0.05, **P<0.01. SAHA, suberoylanilide hydroxamic acid; FITC, fluorescein isothiocyanate; PI, propidium iodide; Q, quadrant.

SAHA induces ER stress-mediated apoptotic signaling pathway in HepG2 cells

Since SAHA was revealed to be a potential inducer of ER stress, the effect of SAHA on ER stress in HepG2 cells was determined by measuring the levels of ER stress-associated molecules, including GRP78, PERK, p-PERK, ATF4 and CHOP. No significant changes were observed in the expression of GRP78 at either the mRNA (Fig. 3A) or protein level (Fig. 3B and C) in cells treated with 1 µM SAHA, whereas cells treated with 6 and 12 µM SAHA had significantly increased levels of GRP78 mRNA and protein compared with control cells (0 µM SAHA). No significant changes in the level of PERK mRNA were observed following treatment with any of the tested doses of SAHA (Fig. 3A). However, the expression of PERK protein was significantly decreased in the HepG2 cells treated with different concentrations of SAHA, while the level of p-PERK protein was significantly increased (Fig. 3B and C), which resulted in an increased ratio of p-PERK/PERK following SAHA treatments (Fig. 3D). Notably, following treatment with SAHA, the mRNA and protein expression levels of ATF4 and CHOP were significantly elevated in a dose-dependent manner (Fig. 3A and C). Moreover, the protein levels of ATF4 and CHOP in the HepG2 cells were significantly upregulated by over 3-fold following treatment with 12 µM SAHA.

Figure 3.

SAHA induces ER stress in HepG2 cells. (A) HepG2 cells were treated with SAHA at the indicated concentrations for 48 h, and the mRNA levels of endoplasmic reticulum stress-associated genes (GRP78, PERK, ATF4 and CHOP) were analyzed by reverse transcription-quantitative PCR. (B and C) Representative images (one of three experiments) showing the (B) western blot analysis of GRP78, PERK, p-PERK, ATF4 and CHOP protein expression in HepG2 cells exposed to SAHA at the indicated concentrations and (C) their relative protein expression levels. (D) Relative ratio of p-PERK/PERK. N=3. *P<0.05, **P<0.01. SAHA, suberoylanilide hydroxamic acid; GRP78, 78 kDa glucose-regulated protein; ATF4, activating transcription factor 4; CHOP, C/EBP-homologous protein; PERK, PRKR-like endoplasmic reticulum kinase; p, phosphorylated.

SAHA significantly upregulates the level of acH4 in HepG2 cells

The role of SAHA, as an HDACi, in the acetylation of histone H4 was determined by western blot analysis. The protein levels of total acH4, acH4K5 and acH4K12 were detected in HepG2 cells treated at various doses of SAHA for 48 h (Fig. 4). Compared with the control group (0 µM SAHA), the levels of acH4 and acH4K12 were not significantly increased in the HepG2 cells treated with 1 µM SAHA, whereas the level of acH4K5 was significantly increased; these findings were likely due to the varied sensitivities of histone deacetylases to inhibition by SAHA. In cells treated with 6 and 12 µM SAHA, the levels of total acH4, acH4K5 and acH4K12 were all significantly higher than in those treated with 0 and 1 µM SAHA. These results suggest that 6 µM SAHA was sufficient to markedly elevate the acetylation of histone H4.

Figure 4.

SAHA increases the expression of acH4, acH4K5 and acH4K12 in HepG2 cells. (A and B) Representative western blot images (one of three experiments) showing (A) the expression of acH4, acH4K5 acH4K12 and total histone H4 in HepG2 cells treated with SAHA at the indicated concentrations (0, 1, 6 and 12 µM) for 48 h and (B) their relative protein expression levels normalized to total histone H4. Relative protein expression indicates the ratio of the target protein (acH4, acH4K5 and acH4K12) level to the protein level of total histone H4. N=3. *P<0.05. SAHA, suberoylanilide hydroxamic acid; acH4, total acetylated histone H4; acH4K5, acetylated histone H4-lysine 5; acH4K12, acetylated histone H4-lysine 12.

SAHA treatment enhances the acetylation level of histone H4 in the promoter regions of the GRP78, ATF4 and CHOP genes in HepG2 cells

In order to confirm whether the regulation of transcription of GRP78, ATF4 and CHOP genes by SAHA is mediated by the upregulation of acH4, ChIP assays were conducted. This involved determination and quantitation of the acH4-associated promoter regions of these genes in HepG2 cells (Fig. 5). Following treatment with DMSO (0 µM SAHA) or 6 µM SAHA for 36 h, the HepG2 cells were lysed and immunoprecipitated with specific anti-acH4 antibody. qPCR results demonstrated significant increase in the acH4-associated promoter regions of the GRP78, ATF4 and CHOP genes in HepG2 cells treated with 6 µM SAHA. The promoter regions of ATF4 and CHOP were increased by 2-fold and 3-fold, respectively, the promoter region of GRP78 was enriched by ~4-fold (the output to input ratio increased from ~15 to ~60%). These results confirmed that SAHA induces the expression of ER stress-associated molecules by increasing their transcription, at least partially through enhancing the acetylation of histone H4 in the promoter regions of these genes.

Figure 5.

SAHA increases the acetylation level of histone H4 in the promoter regions of the GRP78, ATF4 and CHOP genes in HepG2 cells. HepG2 cells were mock-treated (0 µM SAHA) or treated with 6 µM SAHA for 36 h, and the interactions with the promoter regions of these genes were measured by chromatin immunoprecipitation and qPCR assay. The data represent the output/input ratios of acetylated histone H4-associated DNA targets. N=3. *P<0.05, **P<0.01. SAHA, suberoylanilide hydroxamic acid; GRP78, 78 kDa glucose-regulated protein; ATF4, activating transcription factor 4; CHOP, C/EBP-homologous protein.

Discussion

Epigenetic therapy using an HDACi, alone or in combination with other treatments, has shown therapeutic potential in clinical trials for the treatment of several types of cancer, including non-small cell lung cancer and breast cancer (24,25). As an HDACi, SAHA specifically induces tumor cells to undergo apoptosis by regulating the expression of key genes involved in apoptotic signaling pathways (26). The present study revealed that SAHA induced apoptosis in HepG2 liver cancer cells by activating the ER stress-mediated apoptotic signaling pathway, at least partially through enhancing the acetylation of histone H4 on the promoter regions of ER-stress associated genes, including GRP78, ATF4 and CHOP. This suggests that ER stress-mediated apoptotic signaling may play a central role in HDACi-induced apoptosis of HepG2 cells and that SAHA alone or in combination with inducers of ER stress can potentially be applied in patients with liver cancer.

SAHA-induced apoptosis has been demonstrated to be associated with activation of the intrinsic apoptotic pathways (27). It can be concluded that in tumor cells exposed to SAHA, proapoptotic genes (such as Bax and Bim) are upregulated, whereas the expression levels of antiapoptotic genes (such as Bcl-2 and Bcl-XL) are suppressed (28). SAHA has also been shown to influence the expression of death receptors (such as Fas and TNF-related apoptosis-inducing ligand receptor) and death receptor ligands in leukemia, which are responsible for the extrinsic apoptotic pathways (29). SAHA was also demonstrated to activate the ER stress-associated apoptotic signaling pathway. Kim et al (30) demonstrated increased expression levels of p-PERK, ATF4 and CHOP in papillary thyroid cancer and anaplastic thyroid cancer cells treated with SAHA, and increased apoptotic rates of these cells. However, the mechanism of SAHA on regulating the expression of the ER stress signaling pathway-related molecules remains unclear.

Certain studies have shown the inhibitory effect of SAHA on the proliferation of liver cancer cells and the induction of apoptosis (31,32). Furthermore, another study demonstrated significant inhibition of proliferation of MHCC97L hepatocellular carcinoma cells in vitro by SAHA (Cai et al, unpublished data). In the present study, SAHA was demonstrated to suppress cell proliferation and induce apoptosis in a dose-dependent manner in HepG2 cells. Notably, the expression of GRP78 at both the mRNA and protein levels in HepG2 cells was significantly increased following treatment with 6 or 12 µM SAHA. Since GRP78 is a protein marker of ER stress (33), its increased expression suggests that SAHA may induce ER stress in HepG2 cells. In addition, it was found that the mRNA level of PERK was unaffected by SAHA treatment, indicating that SAHA does not regulate the expression of PERK at the transcriptional level. Nevertheless, treatment with SAHA resulted in significantly decreased expression of PERK and increased expression of p-PERK in HepG2 cells at protein level. This may be because SAHA-induced HepG2 cells undergo ER stress, upon which GRP78 changes its binding preference towards unfolded/misfolded proteins accumulated in the ER, resulting in the release of PERK (34). Following the release from GRP78, PERK may undergo self-phosphorylation and dimerization (35–37), which may lead to a decreased level of PERK protein and an increased level of p-PERK protein. Studies have demonstrated that p-PERK can upregulate the expression levels of ATF4 and CHOP in cells and activate the ER stress-induced apoptotic signaling pathway (38). In the present study, the increased expression of ATF4 and CHOP, at both the mRNA and protein levels, and augmented apoptosis were observed in HepG2 cells. These results suggest that induction of apoptosis in HepG2 cells by SAHA can be partially attributed to the activation of the PERK-ATF4-CHOP signaling pathway. However, it is worth noting that 12 µM SAHA resulted in significantly decreased proliferation of HepG2 cells (Fig. 1), however apoptosis was only induced in 10% of HepG2 cells treated for 48 h (Fig. 2). This suggests that SAHA may also induce cell death in other ways to inhibit tumor cell proliferation. For example, another study demonstrated that SAHA induced autophagic death of HepG2 cells in vitro (Cai et al, unpublished data).

The present study also unveiled an unappreciated mechanism of SAHA-mediated activation of the PERK-ATF4-CHOP signaling pathway in HepG2 cells. It was inferred that this may be associated with the essential role of SAHA, as an HDACi, in the upregulation of histone acetylation. Changes in histone acetylation influence chromatin condensation, and these alterations affect gene transcription (39). In previous studies, it was found that SAHA significantly upregulated the acetylation levels of histones H3K9 and H3K27 in HepG2 cells (40). In the present study, SAHA was identified to be able to upregulate the acetylation levels of histones H4, H4K5 and H4K12, at concentrations of 6 and 12 µM. In addition, it was reported that the acetylation levels of histone H3 in the promoter region of the GRP78 gene was significantly increased, following treatment with an HDACi and thereby promoting the genetic transcription of GRP78 (41). However, it was not clear whether the increased acetylation level of H4 regulates the transcription of genes associated with the ER stress-mediated apoptotic signaling pathway. The ChIP-qPCR results in the present study suggest that the acetylation levels of histone H4 in the gene promoter regions of GRP78, ATF4 and CHOP were all significantly increased, which was associated with significantly increased mRNA levels of these genes.

In conclusion, the HDACi SAHA induces apoptosis in HepG2 cells by activating the ER stress-mediated apoptotic pathway, at least partially through upregulation of the acH4 level on the promoter regions of the ER stress-associated molecules GRP78, ATF4 and CHOP. Further studies will be conducted to investigate the effect of acetylation modification at different sites of H4 on the expression of molecules associated with the ER stress-mediated apoptotic pathway. In addition, a study that aims to demonstrate whether SAHA has the same inhibitory effect in a mouse xenograft model in vivo will also be conducted. Overall, the present study underscores the critical roles of ER stress in mediating apoptosis in HepG2 cells and also suggests the potential application of SAHA and other inducers of ER stress for the treatment of patients with liver cancer.

Acknowledgements

The authors would like to thank Mrs Xue Shen (Department of Central Laboratory, The Affiliated Hospital of Guizhou Medical University) for technical help and advice on the flow cytometry experiments, the Basic Medical Science Research Center of Guizhou Medical University for providing the xCELLigence Real-Time Cell Analysis instrument, and Dr Tengxiang Chen (Department of Physiology, College of Basic Medical Sciences, Guizhou Medical University) for critical reading of the manuscript and suggestions.

Funding

The present study was supported by the National Natural Science Foundation of China (grant no. 81560105), the Foundation of the Department of Science and Technology [grant no. LH (2014) 7074] and the Natural Science Foundation of the Department of Education [grant no. KY (2014) 269].

Availability of data and materials

The datasets used and/or analyzed during the present study are available from the corresponding author on reasonable request.

Authors' contributions

LY, TT, LZ and LT performed the majority of the experiments. BH, SC, ZM and TY provided analytical tools and performed the statistical analysis. RX and QY designed the study. RX and BH provided financial support for this work and wrote the manuscript. All authors read and approved the final manuscript.

Ethics approval and consent to participate

Not applicable.

Patient consent for publication

Not applicable.

Competing interests

The authors declare that they have no competing interests.

References

1 

Buurman R, Sandbothe M, Schlegelberger B and Skawran B: HDAC inhibition activates the apoptosome via Apaf1 upregulation in hepatocellular carcinoma. Eur J Med Res. 21:262016. View Article : Google Scholar : PubMed/NCBI

2 

Chen QW, Zhu XY, Li YY and Meng ZQ: Epigenetic regulation and cancer (review). Oncol Rep. 31:523–532. 2014. View Article : Google Scholar : PubMed/NCBI

3 

Muhammad JS, Khan MR and Ghias K: DNA methylation as an epigenetic regulator of gallbladder cancer: An overview. Int J Surg. 53:178–183. 2018. View Article : Google Scholar : PubMed/NCBI

4 

Shanmugam MK, Arfuso F, Arumugam S, Chinnathambi A, Jinsong B, Warrier S, Wang LZ, Kumar AP, Ahn KS, Sethi G and Lakshmanan M: Role of novel histone modifications in cancer. Oncotarget. 9:11414–11426. 2017.PubMed/NCBI

5 

Khan FS, Ali I, Afridi UK, Ishtiaq M and Mehmood R: Epigenetic mechanisms regulating the development of hepatocellular carcinoma and their promise for therapeutics. Hepatol Int. 11:45–53. 2017. View Article : Google Scholar : PubMed/NCBI

6 

Wang Y, Yan L, Zhang Z, Prado E, Fu L, Xu X and Du L: Epigenetic regulation and its therapeutic potential in pulmonary hypertension. Front Pharmacol. 9:2412018. View Article : Google Scholar : PubMed/NCBI

7 

Peng L and Zhong X: Epigenetic regulation of drug metabolism and transport. Acta Pharm Sin B. 5:106–112. 2015. View Article : Google Scholar : PubMed/NCBI

8 

Liu KY, Wang LT and Hsu SH: Modification of epigenetic histone acetylation in hepatocellular Carcinoma. Cancers (Basel). 10(pii): E82018. View Article : Google Scholar : PubMed/NCBI

9 

Reddy D, Khade B, Pandya R and Gupta S: A novel method for isolation of histones from serum and its implications in therapeutics and prognosis of solid tumours. Clin Epigenetics. 9:302017. View Article : Google Scholar : PubMed/NCBI

10 

Vahid F, Zand H, Nosrat-Mirshekarlou E, Najafi R and Hekmatdoost A: The role dietary of bioactive compounds on the regulation of histone acetylases and deacetylases: A review. Gene. 562:8–15. 2015. View Article : Google Scholar : PubMed/NCBI

11 

Schneider A, Chatterjee S, Bousiges O, Selvi BR, Swaminathan A, Cassel R, Blanc F, Kundu TK and Boutillier AL: Acetyltransferases (HATs) as targets for neurological therapeutics. Neurotherapeutics. 10:568–588. 2013. View Article : Google Scholar : PubMed/NCBI

12 

Zhou Y, Peng J and Jiang S: Role of histone acetyltransferases and histone deacetylases in adipocyte differentiation and adipogenesis. Eur J Cell Biol. 93:170–177. 2014. View Article : Google Scholar : PubMed/NCBI

13 

Chrun ES, Modolo F and Daniel FI: Histone modifications: A review about the presence of this epigenetic phenomenon in carcinogenesis. Pathol Res Pract. 213:1329–1339. 2017. View Article : Google Scholar : PubMed/NCBI

14 

Kanno K, Kanno S, Nitta H, Uesugi N, Sugai T, Masuda T, Wakabayashi G and Maesawa C: Overexpression of histone deacetylase 6 contributes to accelerated migration and invasion activity of hepatocellular carcinoma cells. Oncol Rep. 28:867–873. 2012. View Article : Google Scholar : PubMed/NCBI

15 

Liu W, Xiao J, Lan J, et al: The effects of histone acetylation on the migration and invasion of hepatocellular carcinoma cells. J Guizhou Med Univ. 42:1365–1369. 2017.(In Chinese).

16 

Mrakovcic M, Kleinheinz J and Fröhlich LF: Histone deacetylase inhibitor-induced autophagy in tumor cells: Implications for p53. Int J Mol Sci. 18(pii): E18832017. View Article : Google Scholar : PubMed/NCBI

17 

Wu Z, Jing S, Li Y, Gao Y, Yu S, Li Z, Zhao Y, Piao J, Ma S and Chen X: The effects of SAHA on radiosensitivity in pancreatic cancer cells by inducing apoptosis and targeting RAD51. Biomed Pharmacother. 89:705–710. 2017. View Article : Google Scholar : PubMed/NCBI

18 

Lu H, Yang XF, Tian XQ, Tang SL, Li LQ, Zhao S and Zheng HC: The in vitro and vivo anti-tumor effects and molecular mechanisms of suberoylanilide hydroxamic acid (SAHA) and MG132 on the aggressive phenotypes of gastric cancer cells. Oncotarget. 7:56508–56525. 2016.PubMed/NCBI

19 

Xue K, Gu JJ, Zhang Q, Mavis C, Hernandez-Ilizaliturri FJ, Czuczman MS and Guo Y: Vorinostat, a histone deacetylase (HDAC) inhibitor, promotes cell cycle arrest and re-sensitizes rituximab- and chemo-resistant lymphoma cells to chemotherapy agents. J Cancer Res Clin Oncol. 142:379–387. 2016. View Article : Google Scholar : PubMed/NCBI

20 

Hanke NT, Garland LL and Baker AF: Carfilzomib combined with suberanilohydroxamic acid (SAHA) synergistically promotes endoplasmic reticulum stress in non-small cell lung cancer cell lines. J Cancer Res Clin Oncol. 142:549–560. 2016. View Article : Google Scholar : PubMed/NCBI

21 

Teng Z, Kuang X, Wang J and Zhang X: Real-time cell analysis-a new method for dynamic, quantitative measurement of infectious viruses and antiserum neutralizing activity. J Virol Methods. 193:364–370. 2013. View Article : Google Scholar : PubMed/NCBI

22 

Zandi K: A real-time cell analyzing assay for identification of novel antiviral compounds against chikungunya virus. Methods Mol Biol 1426. 255–262. 2016. View Article : Google Scholar

23 

Livak KJ and Schmittgen TD: Analysis of relative gene expression data using real-time quantitative PCR and the 2(-Delta Delta C(T)) method. Methods. 25:402–408. 2001. View Article : Google Scholar : PubMed/NCBI

24 

Lakshmaiah KC, Jacob LA, Aparna S, Lokanatha D and Saldanha SC: Epigenetic therapy of cancer with histone deacetylase inhibitors. J Cancer Res Ther. 10:469–478. 2014.PubMed/NCBI

25 

Ahuja N, Sharma AR and Baylin SB: Epigenetic therapeutics: A new weapon in the war against cancer. Annu Rev Med. 67:73–89. 2016. View Article : Google Scholar : PubMed/NCBI

26 

Hurwitz JL, Stasik I, Kerr EM, Holohan C, Redmond KM, McLaughlin KM, Busacca S, Barbone D, Broaddus VC, Gray SG, et al: Vorinostat/SAHA-induced apoptosis in malignant mesothelioma is FLIP/caspase 8-dependent and HR23B-independent. Eur J Cancer. 48:1096–1107. 2012. View Article : Google Scholar : PubMed/NCBI

27 

Yamamoto S, Tanaka K, Sakimura R, Okada T, Nakamura T, Li Y, Takasaki M, Nakabeppu Y and Iwamoto Y: Suberoylanilide hydroxamic acid (SAHA) induces apoptosis or autophagy-associated cell death in chondrosarcoma cell lines. Anticancer Res. 28:1585–1591. 2008.PubMed/NCBI

28 

Hrabeta J, Stiborova M, Adam V, Kizek R and Eckschlager T: Histone deacetylase inhibitors in cancer therapy. A review. Biomed Pap Med Fac Univ Palacky Olomouc Czech Repub. 158:161–169. 2014. View Article : Google Scholar : PubMed/NCBI

29 

Arhoma A, Chantry AD, Haywood-Small SL and Cross NA: SAHA-induced TRAIL-sensitisation of multiple myeloma cells is enhanced in 3D cell culture. Exp Cell Res. 360:226–235. 2017. View Article : Google Scholar : PubMed/NCBI

30 

Kim SM, Park KC, Jeon JY, Kim BW, Kim HK, Chang HJ, Choi SH, Park CS and Chang HS: Potential anti-cancer effect of N-hydroxy-7-(2-naphthylthio) heptanomide (HNHA), a novel histone deacetylase inhibitor, for the treatment of thyroid cancer. BMC Cancer. 15:10032015. View Article : Google Scholar : PubMed/NCBI

31 

Li YL, Zhang NY, Hu X, Chen JL, Rao MJ, Wu LW, Li QY, Zhang B, Yan W and Zhang C: Evodiamine induces apoptosis and promotes hepatocellular carcinoma cell death induced by vorinostat via downregulating HIF-1α under hypoxia. Biochem Biophys Res Commun. 498:481–486. 2018. View Article : Google Scholar : PubMed/NCBI

32 

Kunnimalaiyaan S, Sokolowski K, Gamblin TC and Kunnimalaiyaan M: Suberoylanilide hydroxamic Acid, a histone deacetylase inhibitor, alters multiple signaling pathways in hepatocellular carcinoma cell lines. Am J Surg. 213:645–651. 2017. View Article : Google Scholar : PubMed/NCBI

33 

Matsuo K, Gray MJ, Yang DY, Srivastava SA, Tripathi PB, Sonoda LA, Yoo EJ, Dubeau L, Lee AS and Lin YG: The endoplasmic reticulum stress marker, glucose-regulated protein-78 (GRP78) in visceral adipocytes predicts endometrial cancer progression and patient survival. Gynecol Oncol. 128:552–559. 2013. View Article : Google Scholar : PubMed/NCBI

34 

Shi-Chen Ou D, Lee SB, Chu CS, Chang LH, Chung BC and Juan LJ: Transcriptional activation of endoplasmic reticulum chaperone GRP78 by HCMV IE1-72 protein. Cell Res. 21:642–653. 2011. View Article : Google Scholar : PubMed/NCBI

35 

Wang M, Law ME, Castellano RK and Law BK: The unfolded protein response as a target for anticancer therapeutics. Crit Rev Oncol Hematol. 127:66–79. 2018. View Article : Google Scholar : PubMed/NCBI

36 

Yoo YS, Han HG and Jeon YJ: Unfolded protein response of the endoplasmic reticulum in tumor progression and immunogenicity. Oxid Med Cell Longev 2017. 29692712017.

37 

Nakka VP, Prakash-Babu P and Vemuganti R: Crosstalk between endoplasmic reticulum stress, oxidative stress, and autophagy: Potential therapeutic targets for acute CNS injuries. Mol Neurobiol. 53:532–544. 2016. View Article : Google Scholar : PubMed/NCBI

38 

Chen Y, Gui D, Chen J, He D, Luo Y and Wang N: Down-regulation of PERK-ATF4-CHOP pathway by Astragaloside IV is associated with the inhibition of endoplasmic reticulum stress-induced podocyte apoptosis in diabetic rats. Cell Physiol Biochem. 33:1975–1987. 2014. View Article : Google Scholar : PubMed/NCBI

39 

Ketchum CC, Larsen CD, McNeil A, Meyer-Ficca ML and Meyer RG: Early histone H4 acetylation during chromatin remodeling in equine spermatogenesis. Biol Reprod. 98:115–129. 2018. View Article : Google Scholar : PubMed/NCBI

40 

Lei YU, Han B, Tian T, Zheng L, Yang T, Liu X, Tang L, Luo X, Yang Q and Xie JR: Suberoylanilide hydroxamic acid induces apoptosis of HepG2 cells by endoplasmic reticulum stress apoptotic pathway. Chin J Pathophysiol. 33:2151–2156. 2017.

41 

Chen M, Liu Q, Chen L, Zhang L and Gu E: Remifentanil postconditioning ameliorates histone H3 acetylation modification in H9c2 cardiomyoblasts after hypoxia/reoxygenation via attenuating endoplasmic reticulum stress. Apoptosis. 22:662–671. 2017. View Article : Google Scholar : PubMed/NCBI

Related Articles

  • Abstract
  • View
  • Download
  • Twitter
Copy and paste a formatted citation
Spandidos Publications style
Yu L, Xie R, Tian T, Zheng L, Tang L, Cai S, Ma Z, Yang T, Han B, Yang Q, Yang Q, et al: Suberoylanilide hydroxamic acid upregulates histone acetylation and activates endoplasmic reticulum stress to induce apoptosis in HepG2 liver cancer cells. Oncol Lett 18: 3537-3544, 2019.
APA
Yu, L., Xie, R., Tian, T., Zheng, L., Tang, L., Cai, S. ... Yang, Q. (2019). Suberoylanilide hydroxamic acid upregulates histone acetylation and activates endoplasmic reticulum stress to induce apoptosis in HepG2 liver cancer cells. Oncology Letters, 18, 3537-3544. https://doi.org/10.3892/ol.2019.10705
MLA
Yu, L., Xie, R., Tian, T., Zheng, L., Tang, L., Cai, S., Ma, Z., Yang, T., Han, B., Yang, Q."Suberoylanilide hydroxamic acid upregulates histone acetylation and activates endoplasmic reticulum stress to induce apoptosis in HepG2 liver cancer cells". Oncology Letters 18.4 (2019): 3537-3544.
Chicago
Yu, L., Xie, R., Tian, T., Zheng, L., Tang, L., Cai, S., Ma, Z., Yang, T., Han, B., Yang, Q."Suberoylanilide hydroxamic acid upregulates histone acetylation and activates endoplasmic reticulum stress to induce apoptosis in HepG2 liver cancer cells". Oncology Letters 18, no. 4 (2019): 3537-3544. https://doi.org/10.3892/ol.2019.10705
Copy and paste a formatted citation
x
Spandidos Publications style
Yu L, Xie R, Tian T, Zheng L, Tang L, Cai S, Ma Z, Yang T, Han B, Yang Q, Yang Q, et al: Suberoylanilide hydroxamic acid upregulates histone acetylation and activates endoplasmic reticulum stress to induce apoptosis in HepG2 liver cancer cells. Oncol Lett 18: 3537-3544, 2019.
APA
Yu, L., Xie, R., Tian, T., Zheng, L., Tang, L., Cai, S. ... Yang, Q. (2019). Suberoylanilide hydroxamic acid upregulates histone acetylation and activates endoplasmic reticulum stress to induce apoptosis in HepG2 liver cancer cells. Oncology Letters, 18, 3537-3544. https://doi.org/10.3892/ol.2019.10705
MLA
Yu, L., Xie, R., Tian, T., Zheng, L., Tang, L., Cai, S., Ma, Z., Yang, T., Han, B., Yang, Q."Suberoylanilide hydroxamic acid upregulates histone acetylation and activates endoplasmic reticulum stress to induce apoptosis in HepG2 liver cancer cells". Oncology Letters 18.4 (2019): 3537-3544.
Chicago
Yu, L., Xie, R., Tian, T., Zheng, L., Tang, L., Cai, S., Ma, Z., Yang, T., Han, B., Yang, Q."Suberoylanilide hydroxamic acid upregulates histone acetylation and activates endoplasmic reticulum stress to induce apoptosis in HepG2 liver cancer cells". Oncology Letters 18, no. 4 (2019): 3537-3544. https://doi.org/10.3892/ol.2019.10705
Follow us
  • Twitter
  • LinkedIn
  • Facebook
About
  • Spandidos Publications
  • Careers
  • Cookie Policy
  • Privacy Policy
How can we help?
  • Help
  • Live Chat
  • Contact
  • Email to our Support Team