Spandidos Publications Logo
  • About
    • About Spandidos
    • Aims and Scopes
    • Abstracting and Indexing
    • Editorial Policies
    • Reprints and Permissions
    • Job Opportunities
    • Terms and Conditions
    • Contact
  • Journals
    • All Journals
    • Oncology Letters
      • Oncology Letters
      • Information for Authors
      • Editorial Policies
      • Editorial Board
      • Aims and Scope
      • Abstracting and Indexing
      • Bibliographic Information
      • Archive
    • International Journal of Oncology
      • International Journal of Oncology
      • Information for Authors
      • Editorial Policies
      • Editorial Board
      • Aims and Scope
      • Abstracting and Indexing
      • Bibliographic Information
      • Archive
    • Molecular and Clinical Oncology
      • Molecular and Clinical Oncology
      • Information for Authors
      • Editorial Policies
      • Editorial Board
      • Aims and Scope
      • Abstracting and Indexing
      • Bibliographic Information
      • Archive
    • Experimental and Therapeutic Medicine
      • Experimental and Therapeutic Medicine
      • Information for Authors
      • Editorial Policies
      • Editorial Board
      • Aims and Scope
      • Abstracting and Indexing
      • Bibliographic Information
      • Archive
    • International Journal of Molecular Medicine
      • International Journal of Molecular Medicine
      • Information for Authors
      • Editorial Policies
      • Editorial Board
      • Aims and Scope
      • Abstracting and Indexing
      • Bibliographic Information
      • Archive
    • Biomedical Reports
      • Biomedical Reports
      • Information for Authors
      • Editorial Policies
      • Editorial Board
      • Aims and Scope
      • Abstracting and Indexing
      • Bibliographic Information
      • Archive
    • Oncology Reports
      • Oncology Reports
      • Information for Authors
      • Editorial Policies
      • Editorial Board
      • Aims and Scope
      • Abstracting and Indexing
      • Bibliographic Information
      • Archive
    • Molecular Medicine Reports
      • Molecular Medicine Reports
      • Information for Authors
      • Editorial Policies
      • Editorial Board
      • Aims and Scope
      • Abstracting and Indexing
      • Bibliographic Information
      • Archive
    • World Academy of Sciences Journal
      • World Academy of Sciences Journal
      • Information for Authors
      • Editorial Policies
      • Editorial Board
      • Aims and Scope
      • Abstracting and Indexing
      • Bibliographic Information
      • Archive
    • International Journal of Functional Nutrition
      • International Journal of Functional Nutrition
      • Information for Authors
      • Editorial Policies
      • Editorial Board
      • Aims and Scope
      • Abstracting and Indexing
      • Bibliographic Information
      • Archive
    • International Journal of Epigenetics
      • International Journal of Epigenetics
      • Information for Authors
      • Editorial Policies
      • Editorial Board
      • Aims and Scope
      • Abstracting and Indexing
      • Bibliographic Information
      • Archive
    • Medicine International
      • Medicine International
      • Information for Authors
      • Editorial Policies
      • Editorial Board
      • Aims and Scope
      • Abstracting and Indexing
      • Bibliographic Information
      • Archive
  • Articles
  • Information
    • Information for Authors
    • Information for Reviewers
    • Information for Librarians
    • Information for Advertisers
    • Conferences
  • Language Editing
Spandidos Publications Logo
  • About
    • About Spandidos
    • Aims and Scopes
    • Abstracting and Indexing
    • Editorial Policies
    • Reprints and Permissions
    • Job Opportunities
    • Terms and Conditions
    • Contact
  • Journals
    • All Journals
    • Biomedical Reports
      • Information for Authors
      • Editorial Policies
      • Editorial Board
      • Aims and Scope
      • Abstracting and Indexing
      • Bibliographic Information
      • Archive
    • Experimental and Therapeutic Medicine
      • Information for Authors
      • Editorial Policies
      • Editorial Board
      • Aims and Scope
      • Abstracting and Indexing
      • Bibliographic Information
      • Archive
    • International Journal of Epigenetics
      • Information for Authors
      • Editorial Policies
      • Editorial Board
      • Aims and Scope
      • Abstracting and Indexing
      • Bibliographic Information
      • Archive
    • International Journal of Functional Nutrition
      • Information for Authors
      • Editorial Policies
      • Editorial Board
      • Aims and Scope
      • Abstracting and Indexing
      • Bibliographic Information
      • Archive
    • International Journal of Molecular Medicine
      • Information for Authors
      • Editorial Policies
      • Editorial Board
      • Aims and Scope
      • Abstracting and Indexing
      • Bibliographic Information
      • Archive
    • International Journal of Oncology
      • Information for Authors
      • Editorial Policies
      • Editorial Board
      • Aims and Scope
      • Abstracting and Indexing
      • Bibliographic Information
      • Archive
    • Medicine International
      • Information for Authors
      • Editorial Policies
      • Editorial Board
      • Aims and Scope
      • Abstracting and Indexing
      • Bibliographic Information
      • Archive
    • Molecular and Clinical Oncology
      • Information for Authors
      • Editorial Policies
      • Editorial Board
      • Aims and Scope
      • Abstracting and Indexing
      • Bibliographic Information
      • Archive
    • Molecular Medicine Reports
      • Information for Authors
      • Editorial Policies
      • Editorial Board
      • Aims and Scope
      • Abstracting and Indexing
      • Bibliographic Information
      • Archive
    • Oncology Letters
      • Information for Authors
      • Editorial Policies
      • Editorial Board
      • Aims and Scope
      • Abstracting and Indexing
      • Bibliographic Information
      • Archive
    • Oncology Reports
      • Information for Authors
      • Editorial Policies
      • Editorial Board
      • Aims and Scope
      • Abstracting and Indexing
      • Bibliographic Information
      • Archive
    • World Academy of Sciences Journal
      • Information for Authors
      • Editorial Policies
      • Editorial Board
      • Aims and Scope
      • Abstracting and Indexing
      • Bibliographic Information
      • Archive
  • Articles
  • Information
    • For Authors
    • For Reviewers
    • For Librarians
    • For Advertisers
    • Conferences
  • Language Editing
Login Register Submit
  • This site uses cookies
  • You can change your cookie settings at any time by following the instructions in our Cookie Policy. To find out more, you may read our Privacy Policy.

    I agree
Search articles by DOI, keyword, author or affiliation
Search
Advanced Search
presentation
Oncology Letters
Join Editorial Board Propose a Special Issue
Print ISSN: 1792-1074 Online ISSN: 1792-1082
Journal Cover
January-2020 Volume 19 Issue 1

Full Size Image

Sign up for eToc alerts
Recommend to Library

Journals

International Journal of Molecular Medicine

International Journal of Molecular Medicine

International Journal of Molecular Medicine is an international journal devoted to molecular mechanisms of human disease.

International Journal of Oncology

International Journal of Oncology

International Journal of Oncology is an international journal devoted to oncology research and cancer treatment.

Molecular Medicine Reports

Molecular Medicine Reports

Covers molecular medicine topics such as pharmacology, pathology, genetics, neuroscience, infectious diseases, molecular cardiology, and molecular surgery.

Oncology Reports

Oncology Reports

Oncology Reports is an international journal devoted to fundamental and applied research in Oncology.

Experimental and Therapeutic Medicine

Experimental and Therapeutic Medicine

Experimental and Therapeutic Medicine is an international journal devoted to laboratory and clinical medicine.

Oncology Letters

Oncology Letters

Oncology Letters is an international journal devoted to Experimental and Clinical Oncology.

Biomedical Reports

Biomedical Reports

Explores a wide range of biological and medical fields, including pharmacology, genetics, microbiology, neuroscience, and molecular cardiology.

Molecular and Clinical Oncology

Molecular and Clinical Oncology

International journal addressing all aspects of oncology research, from tumorigenesis and oncogenes to chemotherapy and metastasis.

World Academy of Sciences Journal

World Academy of Sciences Journal

Multidisciplinary open-access journal spanning biochemistry, genetics, neuroscience, environmental health, and synthetic biology.

International Journal of Functional Nutrition

International Journal of Functional Nutrition

Open-access journal combining biochemistry, pharmacology, immunology, and genetics to advance health through functional nutrition.

International Journal of Epigenetics

International Journal of Epigenetics

Publishes open-access research on using epigenetics to advance understanding and treatment of human disease.

Medicine International

Medicine International

An International Open Access Journal Devoted to General Medicine.

Journal Cover
January-2020 Volume 19 Issue 1

Full Size Image

Sign up for eToc alerts
Recommend to Library

  • Article
  • Citations
    • Cite This Article
    • Download Citation
    • Create Citation Alert
    • Remove Citation Alert
    • Cited By
  • Similar Articles
    • Related Articles (in Spandidos Publications)
    • Similar Articles (Google Scholar)
    • Similar Articles (PubMed)
  • Download PDF
  • Download XML
  • View XML
Article

Plasma aromatase as a sensitive and selective potential biomarker of bladder cancer and its role in tumorigenesis

  • Authors:
    • Tomasz Guszcz
    • Beata Szymańska
    • Robert Kozlowski
    • Zenon Lukaszewski
    • Pawel Laskowski
    • Ewa Gorodkiewicz
  • View Affiliations / Copyright

    Affiliations: Department of Urology, J. Sniadecki Provincial Hospital of Białystok, 15‑950 Białystok, Poland, Institute of Chemistry, University of Białystok, 15‑245 Białystok, Poland, Faculty of Chemical Technology, Poznan University of Technology, 60‑965 Poznan, Poland, Department of Human Anatomy, Medical University of Białystok, 15‑230 Białystok, Poland
  • Pages: 562-568
    |
    Published online on: November 11, 2019
       https://doi.org/10.3892/ol.2019.11080
  • Expand metrics +
Metrics: Total Views: 0 (Spandidos Publications: | PMC Statistics: )
Metrics: Total PDF Downloads: 0 (Spandidos Publications: | PMC Statistics: )
Cited By (CrossRef): 0 citations Loading Articles...

This article is mentioned in:



Abstract

Bladder cancer (BCa) is the ninth most common cancer in the world and its early detection is crucial for successful therapy. Unfortunately, there are no satisfactory tools to detect BCa at early stages and BCa's confirmation muscle‑invasive. The search for a suitable biomarker is therefore necessary and aromatase is a potential candidate. The purpose of the current study was to determine if aromatase serves as a biomarker of BCa. A Surface Plasmon Resonance Imaging biosensor was applied for the quantification and determination of aromatase. A total of 3 µl blood plasma was used for a single measurement. The results revealed that the aromatase concentration in the plasma of patients with BCa (n=78) ranged from 17.41‑57.44 ng/ml. The range determined in healthy donors (n=18) was 2.59‑7.74 ng/ml. Additionally, it was revealed that muscle invasive BCa samples exhibited elevated, statistically significant (P=0.01) average aromatase concentrations in blood plasma (38.64 ng/ml) when compared with non‑muscle invasive samples (29.83 ng/ml). The results demonstrated that plasma aromatase may serve as an excellent bimarker of BCa with 100% sensitivity, 100% selectivity and an area under the curve value of the reciever operating characteristic curve equal to 1.0. Furthermore, the marker differenciated between muscle‑invasive and non muscle‑invasive BCa with a sensitivity of 60% and a specificity of 81%. In conclusion, aromatase may serve a role in bladder tumorigenesis.

Introduction

Urinary bladder cancer (BCa) is the ninth most common cancer worldwide. It is the fifth most common malignancy in males and seventeenth most common in females with the global standardized incidence rate being 9/100,000 in males and 2/100,000 in females (1) Transitional cell carcinoma (TCC) is the predominant histologic type of BCa in the United States and Europe accounting for 90% of cases (2). Approximately 75% of BCas are diagnosed as superficial, confined to mucosa (Ta, TIS) and submucosa (T1) while 25% are muscle-invasive (T2-T4) (3). BCa remains a highly prevalent and lethal malignancy. The optimal treatment selection depends on early diagnosis as well as accurate staging and grading. Gender differences in BCa have been proposed to result from the influence of sex hormones (4–7). The search for cancer biomarkers in blood and urine is worthy of intense attention due to patients' comfort and ease of sampling. In general the expectation in respect to biomarkers is for their sensitivity and specificity to be as high as possible. Biomarkers have come to play an important role in routine clinical practice. They are seen as potential tools for the detection of and for the prediction of recurrence and progression of bladder carcinoma. Currently there is a need for new prognostic molecular biomarkers that can help clinicians to identify patients requiring early, aggressive treatment.

There are a dozen urinary biomarkers for BCa including the BCa stem-cell marker CD44 (8), the nuclear matrix protein 22 (NMP22) (9), the fibroblast growth factor receptor 3 (FGFR3) (9), the BCa-Specific Antigen-1 (BLCA-1) (10), cathepsin D (11), podoplanin (12), Cystatin C (13), BLCA-4, CYFRA 21-1 and Survivin (14). Several of them such as BLCA-1 (10), podoplanin (12) and Cystatin C (13) were also tested as blood serum biomarkers for BCa. Until now, however, none of the known urinary or serum biosensors exhibit satisfactory sensitivity and selectivity for successful diagnosis of BCa. The serum BLCA-1 marker is characterized by 74% sensitivity and 69% selectivity (10), the podoplanin serum biosensor shows 72% sensitivity and 69% selectivity (12) while Cystatin C displays 87% sensitivity and 92% selectivity (13). That is the reason that further research into finding new biomarkers for BCa is required. A recent publication of Wu et al (15) shows a high expression of aromatase in stroma associated with BCa and preliminary investigations confirmed that aromatase deserves our attention as a potential BCa biomarker.

Aromatase (known also as CYP19A1) is a key enzyme in the process of catalysis of androgens to estrogens. Raised levels of aromatase may result in an intramural microenvironment with increased estrogen production (15). Nguyen has reported that aromatase expression is correlated with bladder tumor pathological stage as well as poor survivability and has shown that the estrogen receptor may have a promoting role during tumorigenesis (16).

Aromatase is an enzymatic complex responsible for the biosynthesis of estrogens from androgens occurring in all speleids. This complex contains two different proteins: NADPH-cytochrome P450 reductase and cytochrome P450arom and is bound to the membrane of the endoplasmic reticulum of estrogen-producing cells via the N-terminal of the short, hydrophobic transmembrane domain (17). In humans aromatase is expressed in a number of cells such as the ovarian granular cells, the placental syncytiotrophoblast cells, Leydig cells, in skin fibroblasts and in many areas of the brain, including the hypothalamus, the hippocampus or the amygdala. Aromatase is also expressed in human adipose tissue. Increased expression of aromatase is critical in the pathology of such diseases as breast cancer, endometriosis or hypogonadism (18) while lack of or reduced activity of aromatase may cause reduced functioning of brain neurons and support the development of such diseases as Alzheimer's disease or Parkinson's disease. It has been scientifically proven that aromatase inhibitors (anastrozole, letrozole or exemestane) can be successfully used as drugs for hormone receptor breast cancer (19).

Aromatase activity can be measured through several methods. The enzyme-linked immunosorbent assay (ELISA) (20) has so far only been applied in tests for potential aromatase inhibitors. Other methods which deserve a mention include the mammalian cell bioassay and fluorescence substrate assay. Frequently the semi-quantitative immunohistochemical analysis is used, a method which additionally shows the location of aromatase in the tissue being investigated.

The concentration of aromatase in biological samples can also be measured using biosensors with surface plasmon resonance imaging (SPRi) detection with specific antibodies and inhibitors sensitive to Cytochrom P450arom used as receptors (11). Surface Plasmon Resonance Imaging (SPRi) is a sensitive, ‘label-free’ technique that can measure interactions between enzyme and inhibitor or antibody-antigen, which, in turn, can become a basis for the development of sensitive sensors for the determination of biologically active species (21,22). SPRI biosensors can be used to study interactions in various biological systems containing proteins, oligonucleotides, oligosaccharides, lipids, phages, particles and virus cells (23) as well as for quantitative analysis (24,25). Recently this technique has gained significance in the resolution of various clinical problems.

The aim of this work was to investigate aromatase as a potential plasma BCa biomarker. The recently developed SPRi biosensor (11) selective for aromatase was applied. The method exhibits a linear response range of 0.3–5 ng/ml, an LOD of 0.09 ng/l and an LOQ of 0.3 ng/ml. The precision (RSD) is 1%, and the recoveries of spikes in natural samples are within the range 98–103%. Plasma samples corresponding to different stages of BCa were collected. Healthy donors' plasma samples were used as controls. There is no information concerning aromatase concentration in human blood but two other papers reported aromatase activity in human serum (26,27).

Materials and methods

Reagents

Aromatase peptide and rabbit polyclonal antibody specific for aromatase (Lucerna-Chem AG, www.lucerna-chem.ch), cysteamine hydrochloride, N-ethyl-N′-(3-dimethylaminopropyl) carbodiimide (EDC; Sigma Steinheim), N-Hydroxysuccinimide (NHS) (Aldrich) were used. HBS-ES solution pH=7.4 (0.01 M HEPES, 0.15 M sodium chloride, 0.005% Tween 20, 3 mM EDTA), photopolimer ELPEMER SD 2054, hydrophobic protective paint SD 2368 UV SG-DG (Peters), Phosphate Buffered Saline (PBS) pH=7.4, carbonate buffer pH=8.5 (BIOMED) were used as received. Aqueous solutions were prepared with MilliQ water (Simplicity®MILLIPORE).

Patients

The samples were obtained from patients with TCC seeking treatment at the J. Sniadecki Provincial Hospital of Białystok (Białystok, Poland). The subjects were divided into two groups: malignant and control. Plasma samples of patients with initial (after cystoscopy) or confirmed (prior transurethral resection of bladder tumor-TURBT) diagnosis of BCa were obtained. Individuals diagnosed with additional malignant disease or endometriosis were excluded.

The control group included 18 healthy volunteers from the Blood Donor Centre of Białystok, Poland.

Cancer diagnosis was determined through a histological examination of tumor specimens obtained from transurethral resection or cystectomy. In the end the malignant group consisted of 78 patients with confirmed TCC. The clinical parameters including stage, grade, size, tendency to reoccur, pattern of growth and multifocal nature were determined. Patient clinical characteristics have been presented in Table I.

Table I.

Demographic and clinicopathological characteristics of patients.

Table I.

Demographic and clinicopathological characteristics of patients.

VariableRangeNo. of patients
Age (years)≤6534
>6544
SexFemale23
Male55
Tumor stageSuperficial (Ta+T1)34
Invasive (T2+T3+T4)44
Tumor gradeLow grade37
High grade41
Tumor size (mm)≤3038
>3040
RecurrencePrimary41
Recurrent29
MultiplicitySingle44
Multiply34

Approval (R-I-002/409/2014) for this study was obtained from the Bioethics Committee of the Medical University of Białystok (Białystok, Poland) with a written informed consent obtained from all the patients and donors.

Preparation of biological samples

Blood samples were obtained from patients' cubital vein. Plasma was prepared according to standard procedures. Plasma samples were frozen immediately and kept at −80°C. For the determination of aromatase concentration the prepared plasma samples were diluted tenfold with phosphate buffered saline (PBS).

Procedure determination of concentrations with SPRi biosensor
Chip preparation

Gold chips were manufactured as described in a previous paper (28,29). The gold surface of the chip was covered with a photopolymer and hydrophobic paint, a procedure described in a previous paper (28,29). 9×12 free gold surfaces were obtained. Through the use of this chip, nine different solutions can be simultaneously measured without mixing the tested solutions. Twelve single SPRi measurements can be performed from one solution.

Antibody immobilization

Chips were rinsed with ethanol and water and dried under a stream of argon. They were then immersed in 20 mM cysteamine ethanolic solution for at least 2 h after which they were again rinsed with ethanol and water and dried under a stream of argon. The next step was the immobilization of the receptor. Antibody solution in a PBS buffer (20 ng/ml) was activated with NHS (50 mM) and EDC (200 mM) in a carbonate buffer (pH=8.5) environment. Then the activated receptor was placed on thiol (cysteamine) modified surface and incubated at 37°C for 1 h.

SPRi measurements

SPRI measurements for the protein biosensor array were performed as described previously (29). The signal was measured twice on the basis of registered images, after the immobilization of the antibody and then after the interaction with aromatase. Plasma samples were placed directly on the prepared biosensor for 10 min to allow an interaction with the receptor. The volume of the sample applied to each measuring field was 3 µl. After this time the biosensor was washed with water to remove unbound molecules from the surface. The SPRi technique used during the study measured the signal at a constant angle of light. Two images were recorded: The first image reflects the immobilization of the antibody and the second image shows the interaction of aromatase with the sample containing the analyte. The SPRI signal, which is proportional to the conjugated biomolecules, was obtained through the subtraction of the signal before and after the interaction with the biomolecule for each site separately.

Statistical analysis

All results are given as the mean ± standard error of the mean (SEM), calculated on the basis of 12 repeated measurements. Statistical analyses were performed using Student's t-test and P<0.05 was considered to indicate a statistically significant difference. The receiver operating characteristic (ROC) curves with optimal cut-off points were calculated. Sensitivity, specificity, positive and negative predictive values were specified for cut-off points. All statistical analyses were performed using PQStat 1.6.4 Software.

Results

Changes in aromatase concentration

A significant difference in plasma concentration of aromatase was observed between patients with BCa and healthy subjects. The aromatase concentration in plasma of BCa patients and healthy donors ranged from 17.41–57.44 and 2.59–7.74 ng/ml respectively. The median value for healthy individuals reached 3.99 (an average of 4.3) while that of BCa patients amounted to 33.82 (an average of 33.98) (Fig. 1). This difference is highly statistically significant, with a P-value lower than 0.0001.

Figure 1.

Box plots of aromatase blood plasma concentration in healthy individuals and patients with BCa tumors. BCa, bladder cancer.

Aromatase in terms of clinicopathological parameters of BCa

The aromatase concentration results were analyzed in terms of different cancer parameters with the following factors being considered: recurrence of the tumor, tumor stage, tumor grade, size and multiply of the tumor. Table II shows the plasma concentration of the aromatase in correlation to clinicopathological characteristics.

Table II.

Diagnostic characteristics of plasma aromatase concentration ratios compared with various clinocopathological parameters.

Table II.

Diagnostic characteristics of plasma aromatase concentration ratios compared with various clinocopathological parameters.

Concentration of aromatase [ng/ml]

ParametersRangeMedianP-value
Primary/recurrent
  Primary (n=41)19.62–57.4434.060.14
  Recurrent (n=29)17.41–56.8133.17
Multiplicity
  Single (n=44)20.64–57.4435.550.11
  Multiply (n=34)17.41–46.7830.05
Stage
  Non-muscle invasive (n=34) (Ta+T1)17.41–46.7829.830.01
  Muscle invasive (n=44) (T2+T3=T4)20.64–57.4438.64
Grade
  Low-grade (37)19.62–57.4430.80.20
  High-grade (41)17.41–56.8134.01
Size (mm)
  ≤30 (n=38)20.64–46.7535.710.17
  >30 (n=40)17.41–57.4432.53

The aromatase concentration in plasma of non muscle-invasive and muscle-invasive patients fit within the range of 17.41–46.78 and 20.64–57.44 ng/ml, respectively (Fig. 2). The median for non muscle-invasive patients was 29.83 ng/ml (an average of 31.19) and that of muscle-invasive BCa patients was calculated at 38.64 ng/ml (an average of 37.53). This difference is statistically significant, with a P-value of 0.01.

Figure 2.

Box plots of aromatase blood plasma concentration in non muscle-invasive and muscle-invasive tumors.

ROC analysis

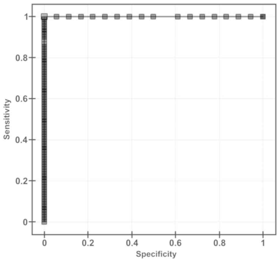
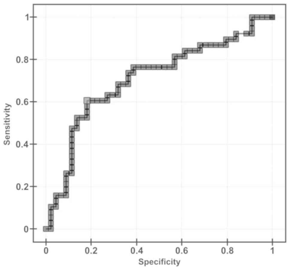
ROC curve analysis was performed and demonstrated that blood plasma aromatase levels could be used to distinguish patients with bladder tumor from healthy individuals through the area under the curve of 1 (P=0.0001). Specificity, sensitivity, positive predictive value (PPV) and negative predictive value (NPV) was estimated at 100% (Fig. 3). Furthermore, the level of plasma aromatase was able to distinguish patients with muscle invasive tumors from patients with non muscle–invasive tumors through the area under the curve of 0.7 (P=0.0012). Other parameter values were as follows: sensitivity-60%, specificity 81%, PPV 74% and NPV 70% (Fig. 4).

Figure 3.

Receiver operating characteristic curve of blood plasma aromatase concentrations for healthy individuals and patients with BCa. Cut-off value, 17.41 ng/ml. BCa, bladder cancer.

Figure 4.

Receiver operating characteristic curve of plasma aromatase concentrations for patients with muscle-invasive and non muscle-invasive BCa. Cut-off value, 37.32 ng/ml. BCa, bladder cancer.

Discussion

The obtained results are surprisingly good. The values for the average and the median for aromatase plasma concentration for patients with BCa are almost 10 times higher than the corresponding values for healthy individuals. The gap between the lowest result for BCa patients (17.41 ng/ml) and the highest result from the set of results for healthy individuals (7.74 ng/ml) is almost 10 ng/ml and there are no overlapping results within these two groups (Fig. 1). The difference is highly statistically significant, with a P-value lower than 0.0001. Thus, plasma aromatase as the BCa marker exhibits 100% sensitivity and 100% selectivity and the AUC of the ROC curve is 1.0 (Fig. 3). The cut-off value concentration calculated from the ROC curves is equal to 17.41 ng/ml. Results above this value should be considered as positive for TCC. This type of result is rare not only for BCa markers but also in general. The other studied potential blood BCa markers (BLCA-1, podoplanin, cystatin C) exhibited 72–87% sensitivity and 69–92% specificity (10,12,13). In terms of sensitivity and selectivity plasma aromatase also produces better results than urinary BCa markers.

It is certainly true that further studies into aromatase as a BCa marker may discover problems with the use of this substance as a marker. Particularly the range of aromatase blood concentration for individuals not suffering from BCa may vary due to different factors such as the difference in aromatase activity due to coronary arterial disease (27).

Certainly, significantly more non-cancer blood samples are needed to test the real potential of aromatase as a marker, including a decision curve analysis. This is a limitation to the present study. The authors hope that this paper will encourage other groups to carry out such investigations. However, the obtained results are a very good starting point for the recommendation of aromatase as a BCa marker. An introduction of plasma aromatase as a BCa marker may significantly improve early diagnosis of this disease. It is worth mentioning that the use of the level of aromatase concentration in blood (plasma) for this purpose presented in this paper is the first such data ever published.

The plasma aromatase concentration may also be useful in the determination of muscle-invasiveness of BCa. Statistically, muscle-invasive tumors have significantly higher concentrations of aromatase (P-value=0.01) in comparison to non-muscle invasive cancers with their sensitivity reaching 60% and their specificity being 81%. Thus, the results for non-muscle and for muscle invasive cancer partly overlap (Fig. 2) but the higher the aromatase concentration the higher the probability of muscle invasiveness of BCa. The cut-off value concentration calculated from the ROC curve is equal to 37.31 ng/ml. Patients with aromatase concentrations above this value should be considered as having bladder invasive TCC, subject to a sensitivity of 60% and a specificity of 81%.

Aromatase expression was found to be high in epithelial and stroma tissue of BCa and was associated with worse overall survival rate (15). These results are consistent with those reported in this paper. High aromatase expression was found in endometrial cancer but conflicting findings were presented for prostate cancer where aromatase overexpression demonstrates a protective effect (30). This suggests that sex hormones have a different influence on particular cancers' biology (31).

Generally, hormones may play an important role in BCa. Epidemiological differences between males and females (3) suggest potential involvement of sex hormones in tumorigenesis and progression of BCa (32). Men are 3 to 4 times more often afflicted by BCa (2) even after chemical influence and cigarette smoking are taken into consideration (33). Females are diagnosed more frequently with a more progressive stage of the disease and display poorer treatment results after cystectomy and a higher risk of disease reoccurrence in comparison to males, a fact that may be explained by earlier invasion and progression. Moreover, it has been proven that estrogen, estrogen receptor, testosterone and dihydrotestosteron (34–36) as well as androgen receptor (37) are involved in BCa development. It has been reported that loss of androgen receptor expression was correlated with the progression of BCa stage (5). Interdependence between hormone receptors and aromatase observed in case of breast cancer (38,39) may also be a significant factor in BCa development.

According to Kirma et al (39) aromatase may directly contribute to tumorigenesis by paracrine elevation of estrogen what leads to the induction of genes involved in cell cycle and down-regulation of tumor suppressor genes altering their mutual relationships and increasing cellular proliferation. This is consistent with the findings of Tekmal and Santen (40) who observed that local estrogen synthesis via aromatase in breast tissue could be important in the initiation of breast cancer as well as for its progression.

Thus, apart from advancing the proposal of a new BCa biomarker our results may also introduce a new factor in understanding BCa biology. It should be pointed out that this paper provides initial data concerning aromatase concentration in blood plasma, although the enzyme may be present in various tissues, including adipose.

Finally, it is worth stressing the significance of the introduction of the SPRi technique into the set of tools used in the investigation of cancer biomarkers. A limited number of reliable methods available for the determination of cancer biomarkers in body fluids is a significant barrier in the faster development of so called liquid biopsy. The SPRi technique is label-free, relatively inexpensive, operationally simple, sufficiently accurate and precise and the results of this paper have confirmed its potential within this area.

In conclusion, plasma aromatase may serve as an excellent biomarker of BCa with 100% sensitivity, 100% selectivity and an AUC value of the ROC curve equal to 1.0. Additionally, levels of plasma aromatase distinguish between muscle-invasive and non muscle-invasive BCa with a sensitivity of 60% and a specificity of 81%. The present study also determined the concentration of aromatase present in the plasma of healthy individuals and patients with BCa.

Acknowledgements

Not applicable.

Funding

The present study received financial support from the Polish Ministry of Science and Higher Education under subsidy for maintaining the research potential of the Faculty of Biol-Chem, University of Białystok (grant no. 162/2018).

Availability of data and materials

The datasets used and/or analysed during the present study are available from the corresponding author on reasonable request.

Authors' contributions

TG, EG, ZL conceived the current study. TG, EG and BS designed the current study. BS performed the experiments. TG collected plasma samples. TG, EG, BS, RK, PL and ZL acquired, analyzed and interpreted the data, drafted the manuscript and approved the final manuscript for publication. TG, EG, RK, ZL, BS and PL agree to be accountable for all aspects of the work in ensuring that questions related to the accuracy or integrity of any part of the work are appropriately investigated and resolved.

Ethics approval and consent to participate

Ethical approval for the current study was obtained from the Bioethics Committee of the Medical University of Białystok (Białystok, Poland; approval no. R-I-002/409/2014). Written informed consent was obtained from all patients and donors.

Patient consent for publication

Not applicable.

Competing interests

The authors declare that they have no competing interests.

References

1 

Ferlay J, Soerjomataram I, Dikshit R, Eser S, Mathers C, Rebelo M, Parkin DM, Forman D and Bray F: Cancer incidence and mortality worldwide: Sources, methods and major patterns in GLOBOCAN 2012. Int J Cancer. 136:E359–E386. 2015. View Article : Google Scholar : PubMed/NCBI

2 

Siegel R, Ma J and Zou Z: Cancer statistics, 2014. Cancer J Clinic. 64:9–29. 2014. View Article : Google Scholar

3 

Burger M, Catto JW, Dalbagni G, Grossman HB, Herr H, Karakiewicz P, Kassouf W, Kiemeney LA, La Vecchia C, Shariat S and Lotan Y: Epidemiology and risk factors of urothelial bladder cancer. Eur Urol. 63:234–241. 2013. View Article : Google Scholar : PubMed/NCBI

4 

Imada S, Akaza H, Ami Y, Koiso K, Ideyama Y and Takenaka T: Promoting effects and mechanisms of action of androgen in bladder carcinogenesis in male rats. Eur Urol. 31:360–364. 1997. View Article : Google Scholar : PubMed/NCBI

5 

Boorjian S, Ugras S, Mongan NP, Gudas LJ, You X, Tickoo SK and Scherr DS: Androgen receptor expression is inversely correlated with pathologic tumor stage in bladder cancer. Urology. 64:383–388. 2004. View Article : Google Scholar : PubMed/NCBI

6 

Miyamoto H, Yao JL, Chaux A, Zheng Y, Hsu I, Izumi K, Chang C, Messing EM, Netto GJ and Yeh S: Expression of androgen and oestrogen receptors and its prognostic significance in urothelial neoplasm of the urinary bladder. BJU Int. 109:1716–1726. 2012. View Article : Google Scholar : PubMed/NCBI

7 

Kauffman EC, Robinson BD, Downes M, Marcinkiewicz K, Vourganti S, Scherr DS, Gudas LJ and Mongan NP: Estrogen receptor-β expression and pharmacological targeting in bladder cancer. Oncol Rep. 30:131–138. 2013. View Article : Google Scholar : PubMed/NCBI

8 

Azevedo R, Soares J, Gaiteiro C, Peixoto A, Lima L, Ferreira D, Relvas-Santos M, Fernandes E, Tavares A, Cotton S, et al: Glycan affinity magnetic nanoplatforms for urinary glycobiomarkers discovery in bladder cancer. Talanta. 184:347–355. 2018. View Article : Google Scholar : PubMed/NCBI

9 

Bangma CH, Loeb S, Busstra M, Zhu X, El Bouazzaoui S, Refos J, Van Der Keur KA, Tjin S, Franken CG, Van Leenders GJ, et al: Outcomes of a bladder cancer screening program using home hematuria testing and molecular markers. Eur Urol. 64:41–47. 2013. View Article : Google Scholar : PubMed/NCBI

10 

Wang Z, Li H, Chi Q, Qui Y, Li X and Xin L: Clinical significance of serological and urological levels of bladder cancer-specific antigen-1 (BLCA-1) in bladder cancer. Med Sci Monit. 24:3882–3887. 2018. View Article : Google Scholar : PubMed/NCBI

11 

Gorodkiewicz E, Sankiewicz A and Laudanski P: Surface plasmon resonance imaging biosensors for aromatase based on a potent inhibitor and a specific antibody: Sensor development and application for biological material. Cent Eur J Chem. 12:557–567. 2014. View Article : Google Scholar

12 

Sankiewicz A, Guszcz T, Mena-Hortelano R, Zukowski K and Gorodkiewicz E: Podoplanin serum and urine concentration in transitional bladder cancer. Cancer Biomark. 16:343–350. 2016. View Article : Google Scholar : PubMed/NCBI

13 

Tokarzewicz A, Guszcz T, Onopiuk A, Kozlowski R and Gorodkiewicz E: Utility of cystatin C as a potential bladder tumour biomarker confirmed by surface plasmon resonance technique. Indian J Med Res. 21:846–850. 2018.

14 

Vrooman OP and Witjes JA: Urinary markers in bladder cancer. Eur Urol. 53:909–916. 2008. View Article : Google Scholar : PubMed/NCBI

15 

Wu S, Ye J, Wang Z, Lin SX, Lu M, Liang Y, Zhu X, Olumi AF, Zhong W and Wu CL: Expression of aromatase in tumor related stroma is associated with human bladder cancer progression. Cancer Biol Ther. 19:175–180. 2018. View Article : Google Scholar : PubMed/NCBI

16 

Nguyen DP, O'Malley P, Al Hussein Al Awamlh B, Furrer MA, Mongan NP, Robinson BD, Wang GJ and Scherr DS: Association of aromatase with bladder cancer stage and long-term survival: New insights into the hormonal paradigm in bladder cancer. Clin Genitourin Canc. 15:256–262.e1. 2017. View Article : Google Scholar

17 

Carreau S, Lambard S, Delaland C, Denis-Galeraud I, Bilinska B and Bourguiba S: Aromatase expression and role of estrogens in male gonad: A review. Reprod Biol Endocrin. 1:352003. View Article : Google Scholar

18 

Miedlich SU, Karamooz N and Hammes SR: Aromatase deficiency in a male patient-case report and review of the literature. Bone. 93:181–186. 2016. View Article : Google Scholar : PubMed/NCBI

19 

Miller WR: Aromatase inhibitors: Mechanism of action and role in the treatment of breast cancer. Semin Oncol. 30 (4 Suppl 14):S3–S11. 2003. View Article : Google Scholar

20 

Satoh K, Nonaka R, Ishikawa F, Ogata A and Nagai F: In vitro screening assay for detecting aromatase activity using rat ovarian microsomes and estrone ELISA. Biol Pharm Bull. 31:357–362. 2008. View Article : Google Scholar : PubMed/NCBI

21 

Gorodkiewicz E: The surface plasmon resonance imaging sensor for papain based on immobilized cystatin. Protein Pept Lett. 14:443–445. 2007. View Article : Google Scholar : PubMed/NCBI

22 

Gorodkiewicz E, Guszcz T, Roszkowska-Jakimiec W and Kozlowski R: Cathepsin D serum and urine concentration in superficial and invasive transitional bladder cancer as determined by surface plasmon resonance imaging. Oncol Let. 8:1323–1327. 2014. View Article : Google Scholar

23 

Thevenot DR, Toth K, Durst RA and Wilson GS: Electrochemical biosensors: Recommended definition and classification. Pure Appl Chem. 71:2333–2348. 1999. View Article : Google Scholar

24 

Laudanski P, Gorodkiewicz E, Ramotowska B, Charkiewicz R, Kuzmicki M and Szamotowicz J: Determination of cathepsins B, D and G concentration in eutopic proliferative endometrium of women with endometriosis by the surface plasmon resonance imaging (SPRI) technique. Eur J Obstet Gynecol Reprod Bio. 169:80–83. 2013. View Article : Google Scholar

25 

Gorodkiewicz E and Luszczyn J: Surface plasmon resonance imaging (SPRI) sensor for cystatin determination based on immobilized papain. Protein Pept Lett. 18:23–29. 2011. View Article : Google Scholar : PubMed/NCBI

26 

Dhefer IH, Abbas SAR and Ahmed NSH: Polymorphism of cytochrome p450, superfamily19, polypeptide 1 gene and related to aromatase enzyme activity in acromegaly Iraqi patients. Asian J Pharm Clin Res. 10:228–232. 2017. View Article : Google Scholar

27 

Meng Y, Adi D, Wu Y, Wang Y, Abudoukelimu M, Huang D, Ma X, Liu C, Wang T, Liu F, et al: CYP19A1 polymorphisms associated with coronary artery disease and circulating sex hormone levels in a Chinese population. Oncotarget. 8:97101–97113. 2017. View Article : Google Scholar : PubMed/NCBI

28 

Gorodkiewicz E: Surface plasmon resonance imaging sensor for cathepsin determination based on immobilized cystatin. Protein Pept Lett. 16:1379–1385. 2009. View Article : Google Scholar : PubMed/NCBI

29 

Gorodkiewicz E, Regulska E and Roszkowska-Jakimiec W: Determination of the active form concentration of cathepsins D and B by SPRI biosensors. J Lab Diagn. 46:107–109. 2010.

30 

Grindstad T, Skjefstad K, Andersen S, Ness N, Nordby Y, Al-Saad S, Fismen S, Donnem T, Khanehkenari MR, Busund LT, et al: Estrogen receptors α and β and aromatase as independent predictors for prostate cancer outcome. Sci Rep. 6:331142016. View Article : Google Scholar : PubMed/NCBI

31 

Chang C, Lee SO, Yeh S and Chang TM: Androgen receptor (AR) differential roles in hormone-related tumors including prostate, bladder, kidney, lung, breast and liver. Oncogene. 33:3225–3234. 2014. View Article : Google Scholar : PubMed/NCBI

32 

Guilherme G, Gakis G, Smith CL and Fahmy O: Effects of androgen and estrogen receptor signaling pathways on bladder cancer initiation and progression. Bladder Cancer. 2:127–137. 2016. View Article : Google Scholar : PubMed/NCBI

33 

Castelao JE, Yuan JM, Skipper PL, Tannenbaum SR, Dado-Dominguez M, Crowder JS, Ross RK and Yu MC: Gender-and smoking-related bladder cancer risk. J Natl Cancer Inst. 93:538–545. 2001. View Article : Google Scholar : PubMed/NCBI

34 

Shen SS, Smith CL, Hsieh JT, Yu J, Kim IY, Jian W, Sonpavde G, Ayala GE, Younes M and Lerner SP: Expression of estrogen receptors-alpha and -beta in bladder cancer cell lines and human bladder tumor tissue. Cancer. 106:2610–2616. 2006. View Article : Google Scholar : PubMed/NCBI

35 

Kawahara T, Ide H, Kashiwagi E, El-Shishtawy KA, Li Y, Reis LO, Zheng Y and Miyamoto H: Enzalutamide inhibits androgen receptor-positive bladder cancer cell growth. Urol Oncol. 34:432.e15–e23. 2016. View Article : Google Scholar

36 

Liu X, Cheng X, Liu X, He L, Zhang W, Wang Y, Sun W and Ji Z: Investigation of the urinary metabolic variations and the application in bladder cancer biomarker discovery. Int J Cancer. 143:408–418. 2018. View Article : Google Scholar : PubMed/NCBI

37 

Miyamoto H, Yang Z, Chen YT, Ishiguro H, Uemura H, Kubota Y, Nagashima Y, Chang YJ, Hu YC, Tsai MY, et al: Promotion of bladder cancer development and progression by androgen receptor signals. J Natl Cancer Inst. 99:558–568. 2007. View Article : Google Scholar : PubMed/NCBI

38 

Kinoshita Y and Chen S: Induction of aromatase (CYP19) expression in breast cancer cells through a nongenomic action of estrogen receptor alpha. Cancer Res. 63:3546–3555. 2003.PubMed/NCBI

39 

Kirma N, Gill K, Mandava U and Tekmal RR: Overexpression of aromatase leads to hyperplasia and changes in the expression of genes involved in apoptosis, cell cycle, growth, and tumor suppressor functions in the mammary glands of transgenic mice. Cancer Res. 61:1910–1918. 2001.PubMed/NCBI

40 

Tekmal RR and Santen RJ: ‘Local estrogen production: Is aromatase an oncogene?’Manni A: Contemporary Endocrinology: Endocrinology of Breast Cancer. Humana Press; Totowa, NY: pp. 79–89. 1999

Related Articles

  • Abstract
  • View
  • Download
  • Twitter
Copy and paste a formatted citation
Spandidos Publications style
Guszcz T, Szymańska B, Kozlowski R, Lukaszewski Z, Laskowski P and Gorodkiewicz E: Plasma aromatase as a sensitive and selective potential biomarker of bladder cancer and its role in tumorigenesis. Oncol Lett 19: 562-568, 2020.
APA
Guszcz, T., Szymańska, B., Kozlowski, R., Lukaszewski, Z., Laskowski, P., & Gorodkiewicz, E. (2020). Plasma aromatase as a sensitive and selective potential biomarker of bladder cancer and its role in tumorigenesis. Oncology Letters, 19, 562-568. https://doi.org/10.3892/ol.2019.11080
MLA
Guszcz, T., Szymańska, B., Kozlowski, R., Lukaszewski, Z., Laskowski, P., Gorodkiewicz, E."Plasma aromatase as a sensitive and selective potential biomarker of bladder cancer and its role in tumorigenesis". Oncology Letters 19.1 (2020): 562-568.
Chicago
Guszcz, T., Szymańska, B., Kozlowski, R., Lukaszewski, Z., Laskowski, P., Gorodkiewicz, E."Plasma aromatase as a sensitive and selective potential biomarker of bladder cancer and its role in tumorigenesis". Oncology Letters 19, no. 1 (2020): 562-568. https://doi.org/10.3892/ol.2019.11080
Copy and paste a formatted citation
x
Spandidos Publications style
Guszcz T, Szymańska B, Kozlowski R, Lukaszewski Z, Laskowski P and Gorodkiewicz E: Plasma aromatase as a sensitive and selective potential biomarker of bladder cancer and its role in tumorigenesis. Oncol Lett 19: 562-568, 2020.
APA
Guszcz, T., Szymańska, B., Kozlowski, R., Lukaszewski, Z., Laskowski, P., & Gorodkiewicz, E. (2020). Plasma aromatase as a sensitive and selective potential biomarker of bladder cancer and its role in tumorigenesis. Oncology Letters, 19, 562-568. https://doi.org/10.3892/ol.2019.11080
MLA
Guszcz, T., Szymańska, B., Kozlowski, R., Lukaszewski, Z., Laskowski, P., Gorodkiewicz, E."Plasma aromatase as a sensitive and selective potential biomarker of bladder cancer and its role in tumorigenesis". Oncology Letters 19.1 (2020): 562-568.
Chicago
Guszcz, T., Szymańska, B., Kozlowski, R., Lukaszewski, Z., Laskowski, P., Gorodkiewicz, E."Plasma aromatase as a sensitive and selective potential biomarker of bladder cancer and its role in tumorigenesis". Oncology Letters 19, no. 1 (2020): 562-568. https://doi.org/10.3892/ol.2019.11080
Follow us
  • Twitter
  • LinkedIn
  • Facebook
About
  • Spandidos Publications
  • Careers
  • Cookie Policy
  • Privacy Policy
How can we help?
  • Help
  • Live Chat
  • Contact
  • Email to our Support Team