Spandidos Publications Logo
  • About
    • About Spandidos
    • Aims and Scopes
    • Abstracting and Indexing
    • Editorial Policies
    • Reprints and Permissions
    • Job Opportunities
    • Terms and Conditions
    • Contact
  • Journals
    • All Journals
    • Oncology Letters
      • Oncology Letters
      • Information for Authors
      • Editorial Policies
      • Editorial Board
      • Aims and Scope
      • Abstracting and Indexing
      • Bibliographic Information
      • Archive
    • International Journal of Oncology
      • International Journal of Oncology
      • Information for Authors
      • Editorial Policies
      • Editorial Board
      • Aims and Scope
      • Abstracting and Indexing
      • Bibliographic Information
      • Archive
    • Molecular and Clinical Oncology
      • Molecular and Clinical Oncology
      • Information for Authors
      • Editorial Policies
      • Editorial Board
      • Aims and Scope
      • Abstracting and Indexing
      • Bibliographic Information
      • Archive
    • Experimental and Therapeutic Medicine
      • Experimental and Therapeutic Medicine
      • Information for Authors
      • Editorial Policies
      • Editorial Board
      • Aims and Scope
      • Abstracting and Indexing
      • Bibliographic Information
      • Archive
    • International Journal of Molecular Medicine
      • International Journal of Molecular Medicine
      • Information for Authors
      • Editorial Policies
      • Editorial Board
      • Aims and Scope
      • Abstracting and Indexing
      • Bibliographic Information
      • Archive
    • Biomedical Reports
      • Biomedical Reports
      • Information for Authors
      • Editorial Policies
      • Editorial Board
      • Aims and Scope
      • Abstracting and Indexing
      • Bibliographic Information
      • Archive
    • Oncology Reports
      • Oncology Reports
      • Information for Authors
      • Editorial Policies
      • Editorial Board
      • Aims and Scope
      • Abstracting and Indexing
      • Bibliographic Information
      • Archive
    • Molecular Medicine Reports
      • Molecular Medicine Reports
      • Information for Authors
      • Editorial Policies
      • Editorial Board
      • Aims and Scope
      • Abstracting and Indexing
      • Bibliographic Information
      • Archive
    • World Academy of Sciences Journal
      • World Academy of Sciences Journal
      • Information for Authors
      • Editorial Policies
      • Editorial Board
      • Aims and Scope
      • Abstracting and Indexing
      • Bibliographic Information
      • Archive
    • International Journal of Functional Nutrition
      • International Journal of Functional Nutrition
      • Information for Authors
      • Editorial Policies
      • Editorial Board
      • Aims and Scope
      • Abstracting and Indexing
      • Bibliographic Information
      • Archive
    • International Journal of Epigenetics
      • International Journal of Epigenetics
      • Information for Authors
      • Editorial Policies
      • Editorial Board
      • Aims and Scope
      • Abstracting and Indexing
      • Bibliographic Information
      • Archive
    • Medicine International
      • Medicine International
      • Information for Authors
      • Editorial Policies
      • Editorial Board
      • Aims and Scope
      • Abstracting and Indexing
      • Bibliographic Information
      • Archive
  • Articles
  • Information
    • Information for Authors
    • Information for Reviewers
    • Information for Librarians
    • Information for Advertisers
    • Conferences
  • Language Editing
Spandidos Publications Logo
  • About
    • About Spandidos
    • Aims and Scopes
    • Abstracting and Indexing
    • Editorial Policies
    • Reprints and Permissions
    • Job Opportunities
    • Terms and Conditions
    • Contact
  • Journals
    • All Journals
    • Biomedical Reports
      • Information for Authors
      • Editorial Policies
      • Editorial Board
      • Aims and Scope
      • Abstracting and Indexing
      • Bibliographic Information
      • Archive
    • Experimental and Therapeutic Medicine
      • Information for Authors
      • Editorial Policies
      • Editorial Board
      • Aims and Scope
      • Abstracting and Indexing
      • Bibliographic Information
      • Archive
    • International Journal of Epigenetics
      • Information for Authors
      • Editorial Policies
      • Editorial Board
      • Aims and Scope
      • Abstracting and Indexing
      • Bibliographic Information
      • Archive
    • International Journal of Functional Nutrition
      • Information for Authors
      • Editorial Policies
      • Editorial Board
      • Aims and Scope
      • Abstracting and Indexing
      • Bibliographic Information
      • Archive
    • International Journal of Molecular Medicine
      • Information for Authors
      • Editorial Policies
      • Editorial Board
      • Aims and Scope
      • Abstracting and Indexing
      • Bibliographic Information
      • Archive
    • International Journal of Oncology
      • Information for Authors
      • Editorial Policies
      • Editorial Board
      • Aims and Scope
      • Abstracting and Indexing
      • Bibliographic Information
      • Archive
    • Medicine International
      • Information for Authors
      • Editorial Policies
      • Editorial Board
      • Aims and Scope
      • Abstracting and Indexing
      • Bibliographic Information
      • Archive
    • Molecular and Clinical Oncology
      • Information for Authors
      • Editorial Policies
      • Editorial Board
      • Aims and Scope
      • Abstracting and Indexing
      • Bibliographic Information
      • Archive
    • Molecular Medicine Reports
      • Information for Authors
      • Editorial Policies
      • Editorial Board
      • Aims and Scope
      • Abstracting and Indexing
      • Bibliographic Information
      • Archive
    • Oncology Letters
      • Information for Authors
      • Editorial Policies
      • Editorial Board
      • Aims and Scope
      • Abstracting and Indexing
      • Bibliographic Information
      • Archive
    • Oncology Reports
      • Information for Authors
      • Editorial Policies
      • Editorial Board
      • Aims and Scope
      • Abstracting and Indexing
      • Bibliographic Information
      • Archive
    • World Academy of Sciences Journal
      • Information for Authors
      • Editorial Policies
      • Editorial Board
      • Aims and Scope
      • Abstracting and Indexing
      • Bibliographic Information
      • Archive
  • Articles
  • Information
    • For Authors
    • For Reviewers
    • For Librarians
    • For Advertisers
    • Conferences
  • Language Editing
Login Register Submit
  • This site uses cookies
  • You can change your cookie settings at any time by following the instructions in our Cookie Policy. To find out more, you may read our Privacy Policy.

    I agree
Search articles by DOI, keyword, author or affiliation
Search
Advanced Search
presentation
Oncology Letters
Join Editorial Board Propose a Special Issue
Print ISSN: 1792-1074 Online ISSN: 1792-1082
Journal Cover
June-2020 Volume 19 Issue 6

Full Size Image

Sign up for eToc alerts
Recommend to Library

Journals

International Journal of Molecular Medicine

International Journal of Molecular Medicine

International Journal of Molecular Medicine is an international journal devoted to molecular mechanisms of human disease.

International Journal of Oncology

International Journal of Oncology

International Journal of Oncology is an international journal devoted to oncology research and cancer treatment.

Molecular Medicine Reports

Molecular Medicine Reports

Covers molecular medicine topics such as pharmacology, pathology, genetics, neuroscience, infectious diseases, molecular cardiology, and molecular surgery.

Oncology Reports

Oncology Reports

Oncology Reports is an international journal devoted to fundamental and applied research in Oncology.

Experimental and Therapeutic Medicine

Experimental and Therapeutic Medicine

Experimental and Therapeutic Medicine is an international journal devoted to laboratory and clinical medicine.

Oncology Letters

Oncology Letters

Oncology Letters is an international journal devoted to Experimental and Clinical Oncology.

Biomedical Reports

Biomedical Reports

Explores a wide range of biological and medical fields, including pharmacology, genetics, microbiology, neuroscience, and molecular cardiology.

Molecular and Clinical Oncology

Molecular and Clinical Oncology

International journal addressing all aspects of oncology research, from tumorigenesis and oncogenes to chemotherapy and metastasis.

World Academy of Sciences Journal

World Academy of Sciences Journal

Multidisciplinary open-access journal spanning biochemistry, genetics, neuroscience, environmental health, and synthetic biology.

International Journal of Functional Nutrition

International Journal of Functional Nutrition

Open-access journal combining biochemistry, pharmacology, immunology, and genetics to advance health through functional nutrition.

International Journal of Epigenetics

International Journal of Epigenetics

Publishes open-access research on using epigenetics to advance understanding and treatment of human disease.

Medicine International

Medicine International

An International Open Access Journal Devoted to General Medicine.

Journal Cover
June-2020 Volume 19 Issue 6

Full Size Image

Sign up for eToc alerts
Recommend to Library

  • Article
  • Citations
    • Cite This Article
    • Download Citation
    • Create Citation Alert
    • Remove Citation Alert
    • Cited By
  • Similar Articles
    • Related Articles (in Spandidos Publications)
    • Similar Articles (Google Scholar)
    • Similar Articles (PubMed)
  • Download PDF
  • Download XML
  • View XML

  • Supplementary Files
    • Supplementary_Data.pdf
Article Open Access

Advantages of gross total resection in patients with astrocytoma: A population‑based study

  • Authors:
    • Hua Mao
    • Xianguo Li
    • Weipu Mao
  • View Affiliations / Copyright

    Affiliations: Department of Neurosurgery, Jingzhou Central Hospital, The Second Clinical Medical College of Yangtze University, Jingzhou, Hubei 434020, P.R. China, Department of General Practice, Shanghai Tenth People's Hospital, Tongji University School of Medicine, Shanghai 200072, P.R. China
    Copyright: © Mao et al. This is an open access article distributed under the terms of Creative Commons Attribution License.
  • Pages: 3761-3774
    |
    Published online on: April 6, 2020
       https://doi.org/10.3892/ol.2020.11514
  • Expand metrics +
Metrics: Total Views: 0 (Spandidos Publications: | PMC Statistics: )
Metrics: Total PDF Downloads: 0 (Spandidos Publications: | PMC Statistics: )
Cited By (CrossRef): 0 citations Loading Articles...

This article is mentioned in:



Abstract

The present study aimed to investigate the association between surgical methods and survival outcomes in patients with astrocytoma. Patients diagnosed with astrocytoma between January 2004 and December 2015 were identified using the Surveillance, Epidemiology and End Results database. Kaplan‑Meier curves and Cox regression were used to analyze the effects of surgical methods on overall survival (OS) and cancer‑specific survival (CSS). Among 42,224 eligible patients with astrocytoma, 11,427 (27.1%) patients did not receive surgery, 7,661 (18.1%) received excisional biopsy (EB), 5,520 (13.1%) received a subtotal resection (STR), 6,037 (14.3%) received a gross resection (GR), 5,314 (12.6%) received a partial resection (PR) and 6,265 (14.8%) received a gross total resection (GTR). Patients who underwent GR had the longest survival time (17.00 months). However, over time, the proportion of patients who underwent STR or GR increased, whereas the proportion of patients who did not undergo surgery, PR or GTR decreased. Furthermore, surgical method was an independent prognostic factor for OS and CSS for the patients with astrocytoma. Multivariate Cox regression showed that GTR was associated with the more favorable OS [hazard ratio (HR), 0.80; 95% confidence interval (CI), 0.77‑0.83; P<0.001] and CSS (HR, 0.80; 95% CI, 0.77‑0.83; P<0.001) times compared with EB. Moreover, similar results were observed in subgroup analyses based on summary stage and grade. In the present study, it was demonstrated that GTR was one of the effective surgical methods for improved OS and CSS time in patients with astrocytoma. However, among the American astrocytoma population, the proportion of patients who underwent GTR decreased. It is necessary to further advocate for the efficacy of GTR.

Introduction

A glioma is a tumour produced by glial cells and is the most common primary malignant tumour in the central nervous system, accounting for ~30% of the tumours in this region (1,2). Astrocytoma is one of the most aggressive gliomas, with a poor prognosis (3,4). Astrocytomas can be found in various parts of the central nervous system and are a common neuroepithelial tumour that can occur in individuals of all ages (5). The average survival time ranges from 17 weeks to 3 years (6). The tumours develop slowly and progressively, and epilepsy is often the first symptom. Approximately 50% of patients experience the onset of epilepsy and the majority of patients experience headaches, psychomotor muscle weakness, vomiting and an obvious disturbance of consciousness (7).

According to the 2016 World Health Organization (WHO) classification, astrocytoma can be divided into four grades (I–IV) based on its histological and morphological characteristics (8): Low-grade astrocytomas are classified as grades I and II, and high-grade astrocytomas are classified as grades III and IV. The prognosis of high-grade astrocytoma is very poor and the average survival time is only 0.6–0.7 years (9).

The growth pattern of astrocytomas in the brain consists of invasive or local invasive growth, and as the invasiveness increases, the tumour grade increases and the survival rate decreases (10). At present, the conventional treatment is primarily surgical resection supplemented by radiotherapy and chemotherapy (11). There are a number of surgical methods for astrocytoma, including excisional biopsy (EB), subtotal resection (STR), gross resection (GR), partial resection (PR) and gross total resection (GTR). Although the efficacy of conventional treatment has made some progress in recent years, the prognosis for astrocytoma patients is still poor, which is primarily associated with incomplete resection, recurrence and radiotherapy and chemotherapy resistance after surgical resection (12–14). Therefore, it is important to find an optimal treatment for patients with astrocytoma.

The purpose of the present study was to use the Surveillance, Epidemiology and End Results (SEER) database to characterize the different therapies for patients with astrocytoma at a population level and the recommendations for treatment use.

Patients and methods

Data source and patients

The SEER database includes ~28% of the US population and collects demographic information, primary tumour location, tumour grade, tumour stage, treatment method and survival time data for patients with cancer (15). The National Cancer Institute SEER*Stat software [version 8.3.5; SEER 18 Regs Custom Data (with additional treatment field), Nov 2017 Sub (1973–2015 varying) database] was used to identify 46,717 patients diagnosed with astrocytoma between January 2004 and December 2015. Histological ICD-O-3 codes (The 3rd edition of The International Classification of Diseases for Oncology) (16) were used to select the following subtypes: Subependymal giant cell astrocytoma, malignant (ICD-O-3 code 9384/3); astrocytoma, NOS (ICD-O-3 code 9400/3); astrocytoma, anaplastic (ICD-O-3 code 9401/3); protoplasmic astrocytoma (ICD-O-3 code 9410/3); gemistocytic astrocytoma (ICD-O-3 code 9411/3); fibrillary astrocytoma (ICD-O-3 code 9420/3); pilocytic astrocytoma, malignant (ICD-O-3 code 9421/3); pleomorphic xanthoastrocytoma (ICD-O-3 code 9424/3); glioblastoma, NOS (ICD-O-3 code 9440/3); giant cell glioblastoma (ICD-O-3 code 9441/3); and gliosarcoma (ICD-O-3 code 9442/3).

The exclusion criteria in the present study were: i) Unknown survival time (n=206); ii) unknown household income (n=2); iii) age <18 years (n=3,597); and surgical code not 00, 20, 21, 30, 40 or 55 (n=688; http://seer.cancer.gov/manuals/2018/AppendixC/Surgery_Codes_Brain_2018.pdf). Ultimately, a total of 42,224 eligible patients diagnosed with astrocytoma.

There were several methods used to confirm the diagnosis of patients in the SEER database, such as histological diagnosis and radiography. Overall, 90.7% of patients were confirmed by positive histological diagnosis and 7.8% by radiography (Fig. S1).

Study variables

The study variables in the present study included age at diagnosis, year of diagnosis, sex, ethnicity, marital status, urban-rural residence, household income, summary stage, and surgical, radiotherapy and chemotherapy information. According to the surgical code, patients were divided into four groups: No surgery (code 00), EB (code 20), STR (code 21), GR (code 30), PR (code 40) and GTR (code 55) (17). Astrocytomas were divided into four groups according to the 2016 WHO classification: Grade I, grade II, grade III and grade IV (8). Demographic and clinicopathological characteristics included age at diagnosis (18–40, 41–60, 61–80 and >80 years), sex (male and female), ethnicity (white, black and other), marital status (married, unmarried and unknown), urban-rural residence (metropolitan and non-metropolitan), summary stage (localized, regional, distant and unstaged/unknown), radiotherapy (yes or no) and chemotherapy (yes or no). Household income was divided into three groups: Low-income group (<4,219), middle-income group (4,219–5,191) and high-income group (>5,191). Overall survival (OS) and cancer-specific survival (CSS) were the primary endpoints of the present study.

Statistical analysis

The OS time corresponded to the length of time from the date of diagnosis to the death from any cause or the date on which data were censored. When analyzing CSS, mortality cases associated with other causes were excluded. SPSS version 20.0 (IBM Corp.) was used for all statistical analyses. χ2 tests were used to analyze factors associated with the surgical methods. Kaplan-Meier curve analyses and the log-rank test were used to analyze the OS and CSS times of patients with regard to different surgical methods and other variables. Multivariate Cox regression was used to analyze factors associated with OS and CSS. P<0.05 was considered to indicate a statistically significant difference

Results

Demographic and clinicopathological characteristics of the astrocytoma

A total of 42,224 eligible astrocytoma patients from between January 2004 and 2015 December were included in the present study cohort. Among them, 11,427 (27.1%) patients did not receive surgery, 7,661 (18.1%) received EB, 5,520 (13.1%) received STR, 6,037 (14.3%) received GR, 5,314 (12.6%) received PR and 6,265 (14.8%) received GTR (Fig. 1A). Table I shows the demographic and clinicopathological characteristics of patients with astrocytoma and the association between surgical method and each variable as analyzed by the χ2 test. χ2 tests showed that age of diagnosis, year of diagnosis, sex, ethnicity, marital status, urban-rural residence, household income, summary stage, radiotherapy and chemotherapy information were all associated factors (all P<0.001). Among all 42,224 patients, over time, the number of patients diagnosed with astrocytoma increased. The majority of patients were white [37,462 (88.7%); Table I], between 41–80 years old [33,344 (79.0%)], had localized disease [33,090 (78.4%); Fig. 2A] and were WHO grade IV [32,876 (77.9%); Fig. 2B].

Figure 1.

Number and proportion of surgical methods performed on patients with astrocytoma with different summary statuses between 2004 and 2015. (A) All patients, n=42,224. (B) Localized patients, n=33,090. (C) Regional patients, n=7,375. (D) Distant patients, n=594. (E) WHO grade I (7) patients, n=1,010. (F) WHO grade II patients, n=4,695. (G) WHO grade III patients, n=3,643. (H) WHO grade IV patients, n=32,876. WHO, World Health Organization; EB, excision biopsy; STR, subtotal resection; GR, gross resection; PR, partial resection; GTR, gross total resection.

Figure 2.

Number and proportion of different summary stages and WHO grades (7) between 2004 and 2015. (A) Different summary stages, n=42,224. (B) Different WHO grades, n=42,224. WHO, World Health Organization.

Table I.

Characteristics of patients with astrocytoma stratified by surgical method.

Table I.

Characteristics of patients with astrocytoma stratified by surgical method.

Characteristicn (%)No surgery, n (%)EB, n (%)STR, n (%)GR, n (%)PR, n (%)GTR, n (%)P-valuea
Total patients42,22411,427 (27.1)7,661 (18.1)5,520 (13.1)6,037 (14.3)5,314 (12.6)6,265 (14.8)
Age at diagnosis <0.001
  18–404,991 (11.8)924 (18.5)947 (19.0)701 (14.0)886 (17.8)623 (12.5)910 (18.2)
  41–6014,445 (34.2)3,028 (21.0)2,736 (18.9)2,035 (14.1)2,198 (15.2)2,043 (14.1)2,405 (16.6)
  61–8018,899 (44.8)5,269 (27.9)3,454 (18.3)2,497 (13.2)2,691 (14.2)2,358 (12.5)2,630 (13.9)
  >803,889 (9.2)2,206 (56.7)524 (13.5)287 (7.4)162 (6.7)290 (7.5)320 (8.2)
Year of diagnosis <0.001
  20043,281 (7.8)1,000 (30.5)390 (11.9)43 (1.3)50 (1.5)778 (23.7)1,020 (31.1)
  20053,182 (7.5)1,003 (31.5)321 (10.1)39 (1.2)54 (1.7)788 (24.8)977 (30.7)
  20063,180 (7.5)961 (30.2)388 (12.2)26 (0.8)50 (1.6)724 (22.8)1,031 (32.4)
  20073,432 (8.1)997 (29.1)544 (15.9)30 (0.9)54 (1.6)846 (24.7)961 (28.0)
  20083,408 (8.1)1,039 (30.5)919 (27.0)16 (0.5)46 (1.3)751 (22.0)637 (18.7)
  20093,462 (8.2)1,008 (29.1)1,055 (30.5)99 (2.9)97 (2.8)625 (18.1)578 (16.7)
  20103,504 (8.3)890 (25.4)876 (25.0)570 (16.3)473 (13.5)363 (10.4)332 (9.5)
  20113,581 (8.5)949 (26.5)678 (18.9)840 (23.5)805 (22.5)114 (3.2)195 (5.4)
  20123,764 (8.9)894 (23.8)627 (16.7)913 (24.3)1,065 (28.3)105 (2.8)160 (4.3)
  20133,783 (9.0)912 (24.1)652 (17.2)980 (25.9)1,027 (27.1)74 (2.0)138 (3.6)
  20143,776 (8.9)842 (22.3)604 (16.0)1,007 (26.7)1,102 (29.2)89 (2.4)132 (3.5)
  20153,871 (9.2)932 (24.1)607 (15.7)957 (24.7)1,214 (31.4)57 (1.5)104 (2.7)
Sex <0.001
  Male2,4209 (57.3)6,254 (25.8)4,431 (18.3)3,264 (13.95)3,493 (14.4)3,125 (12.9)3,642 (15.0)
  Female18,015 (42.7)5,173 (28.7)3,230 (17.9)2,256 (12.5)2,544 (14.1)2,189 (12.2)2,623 (14.6)
Ethnicity <0.001
  White3,7462 (88.7)10,080 (26.9)6,766 (18.1)4,859 (13.0)5,391 (14.4)4,733 (17.4)5,633 (15.0)
  Black2,467 (5.8)656 (26.6)510 (20.7)332 (13.5)355 (14.4)292 (16.4)322 (13.1)
  Other2,295 (5.4)691 (30.1)385 (16.8)329 (14.3)291 (12.7)289 (17.3)310 (13.5)
Marital status <0.001
  Married2,5825 (61.2)6,536 (25.3)4,627 (17.9)3,418 (13.2)3,790 (14.7)3,395 (13.1)4,059 (15.7)
  Unmarried14,824 (35.1)4,454 (30.0)2,690 (18.1)1,854 (12.5)1,978 (13.3)1,797 (12.1)2,051 (13.8)
  Unknown1,575 (3.7)437 (27.7)344 (21.8)248 (15.7)269 (17.1)122 (7.7)155 (9.8)
Urban-rural residence 0.002
  Metropolitan37,086 (87.8)9,963 (26.9)6,662 (18.0)4,863 (13.1)5,362 (14.5)4,690 (12.6)5,546 (15.0)
  Non-metropolitan5,138 (12.2)1,464 (28.5)999 (19.4)657 (12.8)675 (13.1)624 (12.1)719 (14.0)
Income <0.001
  Lower13,219 (31.3)3,767 (28.5)2,479 (18.8)1,696 (12.8)1,942 (14.7)1,571 (11.9)1,764 (13.3)
  Middle14,937 (35.4)4,142 (27.1)2,648 (17.0)1,931 (12.9)2,170 (14.5)2,007 (13.1)2,341 (15.4)
  Upper14,068 (33.3)3,518 (25.7)2,534 (18.8)1,893 (13.5)1,925 (13.7)1,736 (12.7)2,160 (15.7)
Summary stage <0.001
  Localized33,090 (78.4)7,363 (22.3)6,169 (18.6)4,379 (13.2)5,376 (16.2)4,197 (12.7)5,606 (16.9)
  Regional7,375 (17.5)3,100 (42.0)1,222 (16.6)979 (13.3)547 (7.4)974 (13.2)553 (7.5)
  Distant594 (1.4)225 (37.9)112 (18.9)94 (15.8)51 (8.6)63 (10.6)49 (8.2)
  Unstaged/unknown1,165 (2.8)739 (63.4)158 (13.6)68 (5.8)63 (5.4)80 (6.9)57 (4.9)
WHO gradeb <0.001
  I1,010 (2.4)136 (13.5)197 (19.5)134 (13.3)191 (18.9)115 (11.4)237 (23.5)
  II4,695 (11.1)1,770 (37.7)868 (18.5)407 (8.7)520 (11.1)564 (12.0)566 (12.1)
  III3,643 (8.6)1,264 (34.7)755 (20.7)442 (12.1)459 (12.6)361 (9.9)362 (9.9)
  IV3,2876 (77.9)8,257 (25.1)5,841 (17.8)4,537 (13.8)4,867 (14.8)4,274 (13.0)5,100 (15.5)
Radiotherapy <0.001
  Yes28,429 (67.3)5,844 (20.6)5,296 (18.6)4,177 (14.7)4,629 (16.3)3,858 (13.6)46,25 (16.3)
  No13,795 (32.7)5,583 (40.5)2,365 (17.1)1,343 (9.7)1,408 (10.2)1,456 (10.6)1,640 (11.9)
Chemotherapy <0.001
  Yes24,910 (59.0)4,601 (18.5)4,708 (18.9)3,869 (15.5)4,311 (17.3)3,280 (13.2)4,141 (16.6)
  No17,314 (41.0)6,826 (39.4)2,953 (17.1)1,651 (9.5)1,726 (10.0)2,034 (11.7)2,124 (12.3)

a Comparison between different surgical methods

b (7). EB, excision biopsy; STR, subtotal resection; GR, gross resection; PR, partial resection; GTR, gross total resection.

Among all 42,224 patients, the proportion of patients who underwent STR or GR increased between 2004 and 2015 [43/3,281 patients (1.3%) vs. 957/3,871 (24.7%), P<0.001; and 50/3,281 patients (1.5%) vs. 1,214/3,871 (31.4%), P<0.001, respectively]. However, the proportion of patients who did not undergo surgery, PR or GTR decreased between 2004 and 2015 [1,000/3,281 patients (30.5%) vs. 932/3,871 (24.1%), P<0.001; 778/3,281 patients (23.7%) vs. 57/3,871 (1.5%), P<0.001; and 1,020/3,281 patients (31.1%) vs. 104/3,871 (2.7%), P<0.001] (Fig. 3).

Figure 3.

Annual change in the proportion of different surgical methods performed on patients with astrocytoma between 2004 and 2015. EB, excision biopsy; STR, subtotal resection; GR, gross resection; PR, partial resection; GTR, gross total resection.

Subgroup analysis for evaluating the proportion of different surgical methods based on SEER stage and grade

The proportion of different surgical methods based on summary stage and grade were evaluated. As shown in Table I and Fig. 1B-D, compared with patients with regional and distant astrocytoma, patients with localized astrocytoma were more likely to undergo GR (16.2 vs. 7.4 or 8.6%) and GTR (16.9 vs. 7.5 or 8.2%). In addition, patients with WHO grade I and IV were more likely to undergo GR (18.9 and 14.8 vs. 11.1 and 12.6%; P<0.001) and GTR (23.5 and 15.5 vs. 12.1 and 9.9%; P<0.001) compared with WHO grade II and III (Table I; Fig. 1E-H).

Effects of different variables on OS and CSS in patients with astrocytoma

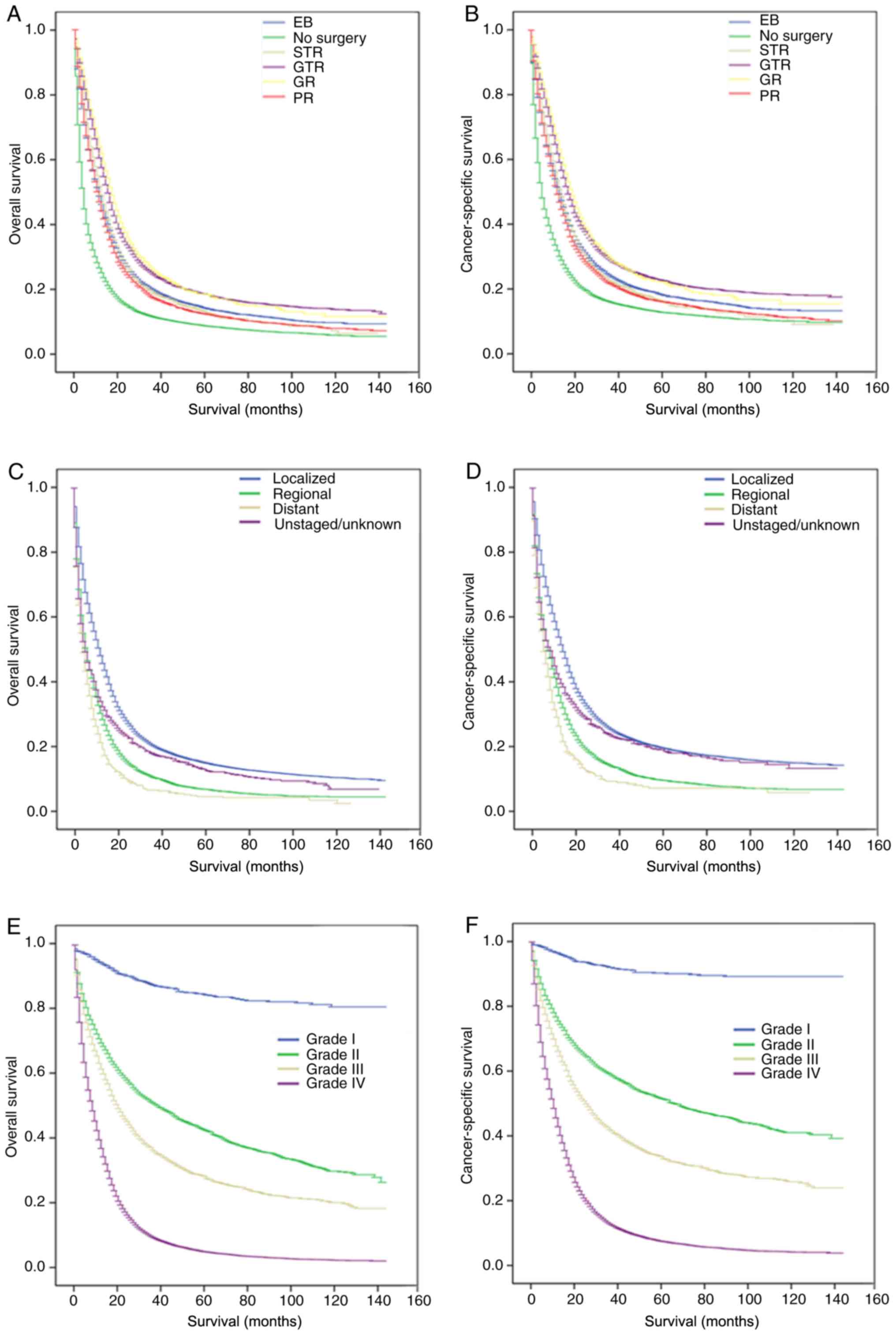
Kaplan-Meier curves were constructed to analyze the influence of clinical factors on the OS and CSS of patients with astrocytoma (Table II). Kaplan-Meier analysis showed that age at diagnosis, ethnicity, marital status, urban-rural residence, household income, summary stage, WHO grade, and surgical, radiotherapy and chemotherapy information were significantly associated with OS and CSS (all P<0.05). Patients who underwent GR or GTR had longer OS median survival times (MSTs) (17.00 and 15.00 months) and higher CSS MST (19.00 and 17.00 months) compared with those in the other surgical groups (Fig. 4A and B).

Figure 4.

Kaplan-Meier survival curves according to surgical method, summary stage and WHO grade (7) in patients with astrocytoma. (A and B) Overall survival (left) and cancer-specific survival (right) based on surgical method. (C and D) Overall survival (left) and cancer-specific survival (right) based on summary stage. (E and F) Overall survival (left) and cancer-specific survival (right) based on WHO grade. EB, excision biopsy; STR, subtotal resection; GR, gross resection; PR, partial resection; GTR, gross total resection; WHO, World Health Organization.

Table II.

Kaplan-Meier analysis overall survival and cancer-specific survival for patients with astrocytoma.

Table II.

Kaplan-Meier analysis overall survival and cancer-specific survival for patients with astrocytoma.

Kaplan-Meier Kaplan-Meier


CharacteristicOS MST, monthsLog-rank testP-valueCSS MST, monthsLog-rank testP-value
Age at diagnosis, years 12,929.451<0.001 10,171.401<0.001
  18–4077.00 112.00
  41–6015.00 17.00
  61–806.00 8.00
  >602.00 3.00
Sex 2.2090.137 4.1250.042
  Male10.00 13.00
  Female10.00 12.00
Ethnicity 116.719<0.001 143.124<0.001
  White10.00 12.00
  Black11.00 15.00
  Other14.00 18.00
Marital status 7.8930.019 6.1710.046
  Married11.00 13.00
  Unmarried8.00 11.00
  Unknown10.00 13.00
Urban-rural residence 87.138<0.001 72.102<0.001
  Metropolitan11.00 8.00
  Non-metropolitan8.00 6.00
Income 122.487<0.001 82.768<0.001
  Lower9.00 11.00
  Middle10.00 12.00
  Upper11.00 14.00
Summary stage 1,208.088<0.001 1,097.821<0.001
  Localized12.00 14.00
  Regional6.00 7.00
  Distant4.00 5.00
  Unstaged/unknown5.00 8.00
WHO grade 6,264.594<0.001 5,846.311<0.001
  I– –
  II39.00 66.00
  III20.00 25.00
  IV8.00 10.00
Surgery 3212.688<0.001 2,281.789<0.001
  No surgery4.00 5.00
  EB11.00 13.00
  STR12.00 14.00
  GR17.00 19.00
  PR10.00 12.00
  GTR15.00 17.00
Radiotherapy 1,377.534<0.001 712.575<0.001
  Yes13.00 15.00
  No3.00 4.00
Chemotherapy 1,392.837<0.001 697.593<0.001
  Yes14.00 16.00
  No3.00 5.00

[i] MST, median survival time; OS, overall survival; CSS, cause-specific survival; EB, excision biopsy; STR, subtotal resection; GR, gross resection; PR, partial resection; GTR, gross total resection.

Identification of prognostic factors for patients with astrocytoma

Multivariate Cox regression was used to analyze the factors associated with OS and CSS in patients with astrocytoma (Table III). After adjusting for age at diagnosis, ethnicity, marital status, urban-rural residence, household income, summary stage, WHO grade, and surgical, radiotherapy and chemotherapy information, Cox regression indicated that compared with EB patients, the non-surgical patients [hazard ratio (HR), 1.45; 95% confidence interval (CI), 1.41–1.50; P<0.001) and patients with PR (HR, 1.04; 95% CI, 1.00–1.08; P=0.038) had less favorable OS, whereas patients with GR (HR, 0.72; 95% CI, 0.69–0.75; P<0.001) and GTR (HR, 0.80; 95% CI, 0.77–0.83; P<0.001) had more favorable OS. In terms of CSS, compared with other patients, the non-surgical patients (vs. EB; HR, 1.43; 95% CI, 1.38–1.49; P<0.001) had significantly lower odds of CSS, whereas GR patients (vs. EB; HR, 0.72; 95% CI, 0.69–0.76; P<0.001) and GTR patients (vs. EB; HR, 0.80; 95% CI, 0.77–0.83; P<0.001) had significantly greater odds of CSS. Surgical method was an independent prognostic factor for OS and CSS in patients with astrocytoma.

Table III.

Risk factors for overall survival and cancer-specific survival for patients with astrocytoma.

Table III.

Risk factors for overall survival and cancer-specific survival for patients with astrocytoma.

OSCSS


CharacteristicHR (95% CI)P-valueHR (95% CI)P-value
Age at diagnosis, years
  18–40Reference Reference
  41–602.29 (2.18–2.41)<0.0012.24 (2.12–2.36)<0.001
  61–803.85 (3.66–4.05)<0.0013.66 (3.47–3.86)<0.001
  >605.85 (5.51–6.20)<0.0015.47 (5.13–5.84)<0.001
Ethnicity
  WhiteReference Reference
  Black0.92 (0.88–0.97)0.0010.87 (0.82–0.91)<0.001
  Other0.84 (0.80–0.88)<0.0010.82 (0.77–0.86)<0.001
Marital status
  MarriedReference Reference
  Unmarried1.10 (1.07–1.12)<0.0011.08 (1.05–1.10)<0.001
  Unknown0.96 (0.91–1.02)0.1790.92 (0.86–0.98)0.009
Urban-rural residence
  MetropolitanReference Reference
  Non-metropolitan1.05 (1.01–1.09)0.0151.06 (1.02–1.11)0.003
Income
  LowerReference Reference
  Middle0.94 (0.92–0.97)<0.0010.97 (0.94–1.00)0.055
  Upper0.88 (0.85–0.91)<0.0010.89 (0.86–0.92)<0.001
Summary stage
  LocalizedReference Reference
  Regional1.43 (1.39–1.47)<0.0011.46 (1.41–1.50)<0.001
  Distant1.49 (1.36–1.62)<0.0011.53 (1.40–1.69)<0.001
  Unstaged/unknown0.75 (0.70–0.80)<0.0010.75 (0.70–0.81)<0.001
WHO grade
  IReference Reference
  II5.01 (4.23–5.95)<0.0016.49 (5.21–8.09)<0.001
  III10.09 (8.50–11.98)<0.00114.23 (11.40–17.75)<0.001
  IV18.34 (15.50–21.70)<0.00126.39 (21.22–32.82)<0.001
Surgery
  No surgery1.45 (1.41–1.50)<0.0011.43 (1.38–1.49)<0.001
  EBReference Reference
  STR0.95 (0.92–0.99)0.0220.96 (0.92–1.00)0.068
  GR0.72 (0.69–0.75)<0.0010.72 (0.69–0.76)<0.001
  PR1.04 (1.00–1.08)0.0381.04 (1.00–1.08)0.069
  GTR0.80 (0.77–0.83)<0.0010.80 (0.77–0.83)<0.001
Radiotherapy
  YesReference Reference
  No1.61 (1.56–1.67)<0.0011.58 (1.52–1.64)<0.001
Chemotherapy
  YesReference Reference
  No1.55 (1.50–1.60)<0.0011.49 (1.45–1.55)<0.001

[i] HR, hazard ratio; CI, confidence interval; OS, overall survival; CSS, cause-specific survival; EB, excision biopsy; GR, gross resection; PR, partial resection; STR, subtotal resection; GTR, gross total resection.

Subgroup analysis for evaluating the effect of surgical method on OS and CSS based on summary stage and WHO grade

Based on summary stage and WHO grade, the difference between surgical method and prognosis among the subgroups of astrocytoma patients was further examined (Table IV). It was found that for OS and CSS, surgical method was still an independent prognostic factor for patients with localized, regional, distant, grade II, grade III and grade IV. Compared with patients with EB, patients with GTR in the localized group (OS: HR, 0.82; 95% CI, 0.79–0.86; P<0.001; CSS: HR, 0.82, 95% CI, 0.79–0.86; P<0.001), regional group (OS: HR, 0.68; 95% CI, 0.61–0.76; P<0.001; CSS: HR, 0.67; 95% CI, 0.59–0.75; P<0.001), distant group (OS: HR, 0.75; 95% CI, 0.53–1.06; P<0.001; CSS: H, R0.69; 95% CI, 0.47–1.00; P=0.051), grade II group (OS: HR, 0.77; 95% CI, 0.66–0.90; P<0.001; CSS: HR, 0.78; 95% CI, 0.66–0.92; P<0.001), grade III group (OS: HR, 0.57; 95% CI, 0.48–0.68; P<0.001; CSS: HR, 0.57; 95% CI, 0.48–0.69; P<0.001) and grade IV group (OS: HR, 0.82; 95% CI, 0.79–0.87; P<0.001; CSS: HR, 0.83; 95% CI, 0.79–0.86; P<0.001) had higher relative survival rates. Moreover, in the grade II and III subgroups, GTR was associated with the highest OS and CSS MST for patients. However, for patients in the grade I subgroup, the multivariate Cox regression showed that the surgical method had no significant effect on OS or CSS (P>0.05). The subtype stratification based on summary stage and WHO grade is graphically displayed in Figs. 5 and 6, respectively.

Figure 5.

OS and CSS curves of patients with astrocytoma according to the surgical method undergone at different summary stages. (A and B) OS (left) and CSS (right) in patients with localized summary stage. (C and D) OS (left) and CSS (right) in patients with regional summary stage. (E and F) OS (left) and CSS (right) in patients with distant summary stage. EB, excision biopsy; STR, subtotal resection; GR, gross resection; PR, partial resection; GTR, gross total resection; OS, overall survival; CSS, cancer-specific survival.

Figure 6.

Overall survival and cancer-specific survival curves of patients with astrocytoma patients according to the surgical method undergone in different World Health organization grades (7). (A and B) OS (left) and CSS (right) in patients with grade I. (C and D) OS (left) and CSS (right) in patients with grade II. (E and F) OS (left) and CSS (right) in patients with grade III. (G and H) OS (left) and CSS (right) in patients with grade IV. EB, excision biopsy; STR, subtotal resection; GR, gross resection; PR, partial resection; GTR, gross total resection; OS, overall survival; CSS, cancer-specific survival.

Table IV.

Subgroup analyses stratified by summary stage and grade for overall survival and cancer-specific survival for patients with.

Table IV.

Subgroup analyses stratified by summary stage and grade for overall survival and cancer-specific survival for patients with.

OS CSS


CharacteristicOS MST, monthsHR (95% CI)P-valueCSS MST, monthsHR (95% CI)P-value
Localized
  No surgery4.001.54 (1.48–1.60)<0.0016.001.51 (1.44–1.57)<0.001
  EB12.00Reference–15.00Reference–
  STR13.000.99 (0.94–1.04)0.61115.001.00 (0.96–1.05)0.879
  GR17.000.73 (0.70–0.77)<0.00119.000.74 (0.70–0.77)<0.001
  PR11.001.07 (1.02–1.12)0.00213.001.07 (1.02–1.12)0.007
  GTR16.000.82 (0.79–0.86)<0.00114.000.82 (0.79–0.86)<0.001
Regional
  No surgery3.001.31 (1.22–1.41)<0.0014.001.30 (1.20–1.40)<0.001
  EB7.00Reference–8.00Reference–
  STR10.000.85 (0.78–0.94)0.00111.000.83 (0.75–0.92)<0.001
  GR12.000.70 (0.63–0.79)<0.00113.000.71 (0.62–0.80)<0.001
  PR8.000.94 (0.86–1.03)0.1759.000.95 (0.86–1.04)0.277
  GTR11.000.68 (0.61–0.76)<0.00113.000.67 (0.59–0.75)<0.001
Distant
  No surgery2.001.21 (0.94–1.55)0.13323001.20 (0.92–1.56)0.177
  EB5.00Reference–5.00Reference–
  STR8.000.79 (0.58–1.07)0.13110.000.72 (0.52–1.01)0.056
  GR9.000.65 (0.45–0.94)0.02313.000.58 (0.39–0.88)0.010
  PR5.000.68 (0.49–0.94)0.0217.000.63 (0.44–0.90)0.012
  GTR6.000.75 (0.53–1.06)0.0997.000.69 (0.47–1.00)0.051
Grade I
  No surgery NA0.112 NA0.169
  EB–Reference– Reference–
  STR–NA0.564 NA0.388
  GR–NA0.823 NA0.706
  PR–NA0.724 NA0.356
  GTR–NA0.885 NA0.310
Grade II
  No surgery18.001.26 (1.13–1.40)<0.00131.001.17 (1.04–1.32)0.012
  EB44.00Reference–69.00Reference–
  STR49.000.88 (0.73–1.06)0.06363.000.86 (0.70–1.05)0.138
  GR96.000.71 (0.58–0.86)<0.001–0.71 (0.57–0.88)0.002
  PR39.001.14 (0.99–1.31)0.06264.001.05 (0.90–1.23)0.516
  GTR104.000.77 (0.66–0.90)0.001–0.78 (0.66–0.92)0.004
Grade III
  No surgery8.001.45 (1.30–1.62)<0.00110.001.51 (1.34–1.69)<0.001
  EB20.00Reference–24.00Reference–
  STR35.000.85 (0.72–1.01)0.06447.000.83 (0.69–1.00)0.050
  GR72.000.55 (0.45–0.67)<0.00175.000.55 (0.45–0.68)<0.001
  PR29.001.02 (0.87–1.18)0.83633.001.02 (0.87–1.20)0.809
  GTR78.000.57 (0.48–0.68)<0.001119.000.57 (0.48–0.69)<0.001
Grade IV
  No surgery3.001.45 (1.40–1.51)<0.0014.001.42 (1.37–1.48)<0.001
  EB9.00Reference–10.00Reference–
  STR10.000.98 (0.94–1.02)0.33911.000.99 (0.95–1.04)0.703
  GR14.000.74 (0.71–0.77)<0.00116.000.75 (0.710.78)<0.001
  PR9.001.03 (0.99–1.08)0.13810.001.04 (0.99–1.08)0.116
  GTR13.000.82 (0.79–0.87)<0.00114.000.83 (0.79–0.86)<0.001

[i] HR, hazard ratio; CI, confidence interval; OS, overall survival; CSS, cause-specific survival; EB, excision biopsy; STR, subtotal resection; GR, gross resection; PR, partial resection; GTR, gross total resection.

Discussion

The present study used a large, population-based database to quantitatively compare the impact of four different surgical methods on survival in patients with astrocytoma. The effect of surgical method on OS and CSS rate in patients with astrocytoma was analyzed and it was found that surgical method was an independent prognostic factor for patients with astrocytoma. Patients in the GR and GTR groups had higher OS and CSS time MST compared with those in the non-surgical, EB and PR groups and similar results were obtained in subgroup analyses based on summary stage and grade. However, although GR and GTR had higher OS and CSS time, it was observed that the percentage of patients who underwent GTR decreased between 2004 and 2015.

Surgical resection serves a key role in the management of patients with grade I, II and III astrocytoma (18). For patients with grade I astrocytoma, surgical resection is usually effective and these patients rarely receive radiotherapy and chemotherapy (19). Johnson et al (20) retrospectively analyzed 865 adult patients with pilocytic astrocytoma aged 20 years and older, and reported that GTR was a significant predictor of survival compared with STR or biopsy. Several studies have shown that the extent of resection can affect the OS of patients with grade II and III astrocytoma (21–23). Fouladi et al (24) found that for patients with pleomorphic xanthoastrocytoma, GTR without adjuvant therapy prolonged disease control. Moreover, for patients with glioblastoma (GBM), there is evidence to support the benefit of GTR with regard to survival (25,26). A large single-center study based on 1,229 patients with GBM showed that GTR significantly prolonged MST compared with incomplete resection (27).

In the present study, statistical analysis of all patients with astrocytoma was performed, demonstrating that GTR and GR were beneficial for the survival of astrocytoma patients and could reduce the risk of death. Subsequently, a stratified analysis based on the summary stage and WHO grade was conducted and showed that GTR was beneficial for OS and CSS. For patients with localized, regional and distant astrocytoma, GR was associated with the longest OS and CSS time MST, whereas GTR was associated with similar survival times and benefits. In the stratified analysis according to WHO stage, the benefits of GTR were more prominent compared with other analyses, and GTR could lead to the longest OS and CSS time MST in patients with grade II and III.

Maximizing the benefit of resection is a core principle of neurosurgical oncology and every effort should be made to achieve GTR during the initial surgery. The present study observed that the proportion of patients who received STR increased from 2004 to 2015. This may be since studies have shown that patients who underwent STR of thalamic and brain stem gliomas had a relatively good prognosis (28,29). Minehan et al (30) studied 136 patients with spinal astrocytoma and found that 11 patients with GTR had the shortest median survival time, which may be the reason for the decrease in the proportion of patients with GTR.

In the present study of patients with astrocytoma, the mortality rate of patients treated with PR was higher compared with that of patients receiving EB, STR, GR or GTR. After further stratified analysis of the summary stage, it was observed that this effect gradually weakened with increased stage. For patients with distant summary stage, PR was more beneficial compared with GTR. This phenomenon was further analyzed and it was indicated that this may be associated with the fact that PR produces a smaller residual tumour volume compared with EB, which can slow the tumour growth rate. In addition, GTR is more traumatic for the patient compared with PR (31). Total surgical resection should be considered with caution by the surgeon, as it is strictly dependent on the anatomical location of the tumour, as well as the presence of patient comorbidities (17). Therefore, for different patients with astrocytoma, different and individual treatments are necessary.

There are limitations to the present study. Firstly, the SEER database is a retrospective dataset with its own retrospective study limitations. Secondly, the patients' physical conditions were unclear and patients with several comorbidities may pursue more conservative treatment. Thirdly, there may be selection bias with patients receiving GTR compared with STR. This may be due to the surgeons who would consider the postoperative complications of GTR surgery for astrocytoma patients. In addition, for chemotherapy and radiotherapy, the present study does not distinguish whether adjuvant or neoadjuvant therapy was used and there is no information on the specific radiotherapy technique, including dose, fractionation and beam energy, or chemotherapy regimen used.

In the present study, it was demonstrated that the survival benefit of GTR was higher compared with unsuccessful or not attempted GTR, therefore more patients need to be encouraged to undergo GTR to improve OS and CSS times.

Supplementary Material

Supporting Data

Acknowledgements

Not applicable.

Funding

No funding was received.

Availability of data and material

The datasets generated and/or analyzed during the present study are available in the Surveillance, Epidemiology, and End Results Program repository (seer.cancer.gov/).

Authors' contributions

HM and XL were involved in the study conception and design. HM collected and assembled data. HM and WM were involved in data analysis and interpretation. HM and XL wrote the manuscript. All authors read and approved the final manuscript.

Ethics approval and consent to participate

No applicable.

Patient consent for publication

No applicable.

Competing interests

The authors declare that they have no competing interests.

References

1 

Teng YD, Abd-El-Barr M, Wang L, Hajiali H, Wu L and Zafonte RD: Spinal cord astrocytomas: Progresses in experimental and clinical investigations for developing recovery neurobiology-based novel therapies. Exp Neurol. 311:135–147. 2019. View Article : Google Scholar : PubMed/NCBI

2 

Iida T, Tomogane Y, Takagi T, Miyaji Y, Sakamoto D, Yoshida Y, Ishikura R, Ando K, Nakagomi N, Hirota S and Yoshimura S: Grading of astrocytomas using the PRESTO (principles of echo-shifting with a train of observations) magnetic resonance imaging sequence. Clin Neurol Neurosurg. 173:91–95. 2018. View Article : Google Scholar : PubMed/NCBI

3 

Xie JC, Yang S, Liu XY and Zhao YX: Marital status is associated with survival of patients with astrocytoma. J Clin Neurosci. 56:79–87. 2018. View Article : Google Scholar : PubMed/NCBI

4 

Wen PY and Kesari S: Malignant gliomas in adults. N Engl J Med. 359:492–507. 2008. View Article : Google Scholar : PubMed/NCBI

5 

Ostrom QT, Cioffi G, Gittleman H, Patil N, Waite K, Kruchko C and Barnholtz-Sloan JS: CBTRUS statistical report: Primary brain and other central nervous system tumors diagnosed in the United States in 2012–2016. Neuro Oncol. 21 (Suppl 5):v1–v100. 2019. View Article : Google Scholar : PubMed/NCBI

6 

Walker DG and Kaye AH: Diagnosis and management of astrocytomas, oligodendrogliomas and mixed gliomas: A review. Australas Radiol. 45:472–482. 2001. View Article : Google Scholar : PubMed/NCBI

7 

Donofrio CA, Gagliardi F, Callea M, da Passano CF, Terreni MR, Cavalli A, Spina A, Acerno S, Bailo M, Elbabaa SK and Mortini P: Pediatric cerebellar pilocytic astrocytoma presenting with spontaneous intratumoral hemorrhage. Neurosurg Rev. 2018.(Epub ahead of print). PubMed/NCBI

8 

Louis DN, Perry A, Reifenberger G, von Deimling A, Figarella-Branger D, Cavenee WK, Ohgaki H, Wiestler OD, Kleihues P and Ellison DW: The 2016 world health organization classification of tumors of the central nervous system: A summary. Acta Neuropathol. 131:803–820. 2016. View Article : Google Scholar : PubMed/NCBI

9 

Weidmann MJ: Neurosurgery. Med J Aust. 161:392–394. 1994. View Article : Google Scholar : PubMed/NCBI

10 

Tavares CB, Gomes-Braga FDCS, Sousa EB, Borges US, Escórcio-Dourado CS, Silva-Sampaio JPD and Silva BBD: Evaluation of estrogen receptor expression in low-grade and high-grade astrocytomas. Rev Assoc Med Bras (1992). 64:1129–1133. 2018. View Article : Google Scholar : PubMed/NCBI

11 

Guastella AR, Michelhaugh SK, Klinger NV, Fadel HA, Kiousis S, Ali-Fehmi R, Kupsky WJ, Juhász C and Mittal S: Investigation of the aryl hydrocarbon receptor and the intrinsic tumoral component of the kynurenine pathway of tryptophan metabolism in primary brain tumors. J Neurooncol. 139:239–249. 2018. View Article : Google Scholar : PubMed/NCBI

12 

Delgado-Lopez PD, Corrales-Garcia EM, Martino J, Lastra-Aras E and Duenas-Polo MT: Diffuse low-grade glioma: A review on the new molecular classification, natural history and current management strategies. Clin Transl Oncol. 19:931–944. 2017. View Article : Google Scholar : PubMed/NCBI

13 

Patel S, DiBiase S, Meisenberg B, Flannery T, Patel A, Dhople A, Cheston S and Amin P: Phase I clinical trial assessing temozolomide and tamoxifen with concomitant radiotherapy for treatment of high-grade glioma. Int J Radiat Oncol Biol Phys. 82:739–742. 2012. View Article : Google Scholar : PubMed/NCBI

14 

Ghotme KA, Barreto GE, Echeverria V, Gonzalez J, Bustos RH, Sanchez M, Leszek J, Yarla NS, Gomez RM, Tarasov VV, et al: Gliomas: New perspectives in diagnosis, treatment and prognosis. Curr Top Med Chem. 17:1438–1447. 2017. View Article : Google Scholar : PubMed/NCBI

15 

Mao W, Huang X, Kong M, Fan J and Geng J: More lymph node dissection improves survival in patients with newly diagnosed lymph node-positive penile cancer. Int Urol Nephrol. 51:641–654. 2019. View Article : Google Scholar : PubMed/NCBI

16 

Mao W, Kong M, Yu H, Wang D, Huang X, Yao X, Fan J and Geng J: Prognosis and treatment differences between initial and second primary chondrosarcoma. Oncol Lett. 18:207–218. 2019.PubMed/NCBI

17 

Alattar AA, Brandel MG, Hirshman BR, Dong X, Carroll KT, Ali MA, Carter BS and Chen CC: Oligodendroglioma resection: A surveillance, epidemiology, and end results (SEER) analysis. J Neurosurg. 128:1076–1083. 2018. View Article : Google Scholar : PubMed/NCBI

18 

Dong X, Noorbakhsh A, Hirshman BR, Zhou T, Tang JA, Chang DC, Carter BS and Chen CC: Survival trends of grade I, II, and III astrocytoma patients and associated clinical practice patterns between 1999 and 2010: A SEER-based analysis. Neurooncol Pract. 3:29–38. 2016.PubMed/NCBI

19 

Karajannis M, Allen JC and Newcomb EW: Treatment of pediatric brain tumors. J Cell Physiol. 217:584–589. 2008. View Article : Google Scholar : PubMed/NCBI

20 

Johnson DR, Brown PD, Galanis E and Hammack JE: Pilocytic astrocytoma survival in adults: Analysis of the surveillance, epidemiology, and end results program of the national cancer institute. J Neurooncol. 108:187–193. 2012. View Article : Google Scholar : PubMed/NCBI

21 

Keles GE, Chang EF, Lamborn KR, Tihan T, Chang CJ, Chang SM and Berger MS: Volumetric extent of resection and residual contrast enhancement on initial surgery as predictors of outcome in adult patients with hemispheric anaplastic astrocytoma. J Neurosurg. 105:34–40. 2006. View Article : Google Scholar : PubMed/NCBI

22 

Smith JS, Chang EF, Lamborn KR, Chang SM, Prados MD, Cha S, Tihan T, Vandenberg S, McDermott MW and Berger MS: Role of extent of resection in the long-term outcome of low-grade hemispheric gliomas. J Clin Oncol. 26:1338–1345. 2008. View Article : Google Scholar : PubMed/NCBI

23 

McGirt MJ, Chaichana KL, Attenello FJ, Weingart JD, Than K, Burger PC, Olivi A, Brem H and Quinoñes-Hinojosa A: Extent of surgical resection is independently associated with survival in patients with hemispheric infiltrating low-grade gliomas. Neurosurgery. 63:700–707. 2008. View Article : Google Scholar : PubMed/NCBI

24 

Fouladi M, Jenkins J, Burger P, Langston J, Merchant T, Heideman R, Thompson S, Sanford A, Kun L and Gajjar A: Pleomorphic xanthoastrocytoma: Favorable outcome after complete surgical resection. Neuro Oncol. 3:184–192. 2001. View Article : Google Scholar : PubMed/NCBI

25 

Lacroix M, Abi-Said D, Fourney DR, Gokaslan ZL, Shi W, DeMonte F, Lang FF, McCutcheon IE, Hassenbusch SJ, Holland E, et al: A multivariate analysis of 416 patients with glioblastoma multiforme: Prognosis, extent of resection, and survival. J Neurosurg. 95:190–198. 2001. View Article : Google Scholar : PubMed/NCBI

26 

Sanai N and Berger MS: Glioma extent of resection and its impact on patient outcome. Neurosurgery. 62:753–764; discussion 264–756. 2008. View Article : Google Scholar : PubMed/NCBI

27 

Li YM, Suki D, Hess K and Sawaya R: The influence of maximum safe resection of glioblastoma on survival in 1229 patients: Can we do better than gross-total resection? J Neurosurg. 124:977–988. 2016. View Article : Google Scholar : PubMed/NCBI

28 

Freeman CR and Suissa S: Brain stem tumors in children: Results of a survey of 62 patients treated with radiotherapy. Int J Radiat Oncol Biol Phys. 12:1823–1828. 1986. View Article : Google Scholar : PubMed/NCBI

29 

Grigsby PW, Thomas PR, Schwartz HG and Fineberg BB: Multivariate analysis of prognostic factors in pediatric and adult thalamic and brainstem tumors. Int J Radiat Oncol Biol Phys. 16:649–655. 1989. View Article : Google Scholar : PubMed/NCBI

30 

Minehan KJ, Brown PD, Scheithauer BW, Krauss WE and Wright MP: Prognosis and treatment of spinal cord astrocytoma. Int J Radiat Oncol Biol Phys. 73:727–733. 2009. View Article : Google Scholar : PubMed/NCBI

31 

Hongo H, Takai K, Komori T and Taniguchi M: Intramedullary spinal cord ependymoma and astrocytoma: Intraoperative frozen-section diagnosis, extent of resection, and outcomes. J Neurosurg Spine. 30:133–139. 2019. View Article : Google Scholar

Related Articles

  • Abstract
  • View
  • Download
  • Twitter
Copy and paste a formatted citation
Spandidos Publications style
Mao H, Li X and Mao W: Advantages of gross total resection in patients with astrocytoma: A population‑based study. Oncol Lett 19: 3761-3774, 2020.
APA
Mao, H., Li, X., & Mao, W. (2020). Advantages of gross total resection in patients with astrocytoma: A population‑based study. Oncology Letters, 19, 3761-3774. https://doi.org/10.3892/ol.2020.11514
MLA
Mao, H., Li, X., Mao, W."Advantages of gross total resection in patients with astrocytoma: A population‑based study". Oncology Letters 19.6 (2020): 3761-3774.
Chicago
Mao, H., Li, X., Mao, W."Advantages of gross total resection in patients with astrocytoma: A population‑based study". Oncology Letters 19, no. 6 (2020): 3761-3774. https://doi.org/10.3892/ol.2020.11514
Copy and paste a formatted citation
x
Spandidos Publications style
Mao H, Li X and Mao W: Advantages of gross total resection in patients with astrocytoma: A population‑based study. Oncol Lett 19: 3761-3774, 2020.
APA
Mao, H., Li, X., & Mao, W. (2020). Advantages of gross total resection in patients with astrocytoma: A population‑based study. Oncology Letters, 19, 3761-3774. https://doi.org/10.3892/ol.2020.11514
MLA
Mao, H., Li, X., Mao, W."Advantages of gross total resection in patients with astrocytoma: A population‑based study". Oncology Letters 19.6 (2020): 3761-3774.
Chicago
Mao, H., Li, X., Mao, W."Advantages of gross total resection in patients with astrocytoma: A population‑based study". Oncology Letters 19, no. 6 (2020): 3761-3774. https://doi.org/10.3892/ol.2020.11514
Follow us
  • Twitter
  • LinkedIn
  • Facebook
About
  • Spandidos Publications
  • Careers
  • Cookie Policy
  • Privacy Policy
How can we help?
  • Help
  • Live Chat
  • Contact
  • Email to our Support Team