Spandidos Publications Logo
  • About
    • About Spandidos
    • Aims and Scopes
    • Abstracting and Indexing
    • Editorial Policies
    • Reprints and Permissions
    • Job Opportunities
    • Terms and Conditions
    • Contact
  • Journals
    • All Journals
    • Oncology Letters
      • Oncology Letters
      • Information for Authors
      • Editorial Policies
      • Editorial Board
      • Aims and Scope
      • Abstracting and Indexing
      • Bibliographic Information
      • Archive
    • International Journal of Oncology
      • International Journal of Oncology
      • Information for Authors
      • Editorial Policies
      • Editorial Board
      • Aims and Scope
      • Abstracting and Indexing
      • Bibliographic Information
      • Archive
    • Molecular and Clinical Oncology
      • Molecular and Clinical Oncology
      • Information for Authors
      • Editorial Policies
      • Editorial Board
      • Aims and Scope
      • Abstracting and Indexing
      • Bibliographic Information
      • Archive
    • Experimental and Therapeutic Medicine
      • Experimental and Therapeutic Medicine
      • Information for Authors
      • Editorial Policies
      • Editorial Board
      • Aims and Scope
      • Abstracting and Indexing
      • Bibliographic Information
      • Archive
    • International Journal of Molecular Medicine
      • International Journal of Molecular Medicine
      • Information for Authors
      • Editorial Policies
      • Editorial Board
      • Aims and Scope
      • Abstracting and Indexing
      • Bibliographic Information
      • Archive
    • Biomedical Reports
      • Biomedical Reports
      • Information for Authors
      • Editorial Policies
      • Editorial Board
      • Aims and Scope
      • Abstracting and Indexing
      • Bibliographic Information
      • Archive
    • Oncology Reports
      • Oncology Reports
      • Information for Authors
      • Editorial Policies
      • Editorial Board
      • Aims and Scope
      • Abstracting and Indexing
      • Bibliographic Information
      • Archive
    • Molecular Medicine Reports
      • Molecular Medicine Reports
      • Information for Authors
      • Editorial Policies
      • Editorial Board
      • Aims and Scope
      • Abstracting and Indexing
      • Bibliographic Information
      • Archive
    • World Academy of Sciences Journal
      • World Academy of Sciences Journal
      • Information for Authors
      • Editorial Policies
      • Editorial Board
      • Aims and Scope
      • Abstracting and Indexing
      • Bibliographic Information
      • Archive
    • International Journal of Functional Nutrition
      • International Journal of Functional Nutrition
      • Information for Authors
      • Editorial Policies
      • Editorial Board
      • Aims and Scope
      • Abstracting and Indexing
      • Bibliographic Information
      • Archive
    • International Journal of Epigenetics
      • International Journal of Epigenetics
      • Information for Authors
      • Editorial Policies
      • Editorial Board
      • Aims and Scope
      • Abstracting and Indexing
      • Bibliographic Information
      • Archive
    • Medicine International
      • Medicine International
      • Information for Authors
      • Editorial Policies
      • Editorial Board
      • Aims and Scope
      • Abstracting and Indexing
      • Bibliographic Information
      • Archive
  • Articles
  • Information
    • Information for Authors
    • Information for Reviewers
    • Information for Librarians
    • Information for Advertisers
    • Conferences
  • Language Editing
Spandidos Publications Logo
  • About
    • About Spandidos
    • Aims and Scopes
    • Abstracting and Indexing
    • Editorial Policies
    • Reprints and Permissions
    • Job Opportunities
    • Terms and Conditions
    • Contact
  • Journals
    • All Journals
    • Biomedical Reports
      • Information for Authors
      • Editorial Policies
      • Editorial Board
      • Aims and Scope
      • Abstracting and Indexing
      • Bibliographic Information
      • Archive
    • Experimental and Therapeutic Medicine
      • Information for Authors
      • Editorial Policies
      • Editorial Board
      • Aims and Scope
      • Abstracting and Indexing
      • Bibliographic Information
      • Archive
    • International Journal of Epigenetics
      • Information for Authors
      • Editorial Policies
      • Editorial Board
      • Aims and Scope
      • Abstracting and Indexing
      • Bibliographic Information
      • Archive
    • International Journal of Functional Nutrition
      • Information for Authors
      • Editorial Policies
      • Editorial Board
      • Aims and Scope
      • Abstracting and Indexing
      • Bibliographic Information
      • Archive
    • International Journal of Molecular Medicine
      • Information for Authors
      • Editorial Policies
      • Editorial Board
      • Aims and Scope
      • Abstracting and Indexing
      • Bibliographic Information
      • Archive
    • International Journal of Oncology
      • Information for Authors
      • Editorial Policies
      • Editorial Board
      • Aims and Scope
      • Abstracting and Indexing
      • Bibliographic Information
      • Archive
    • Medicine International
      • Information for Authors
      • Editorial Policies
      • Editorial Board
      • Aims and Scope
      • Abstracting and Indexing
      • Bibliographic Information
      • Archive
    • Molecular and Clinical Oncology
      • Information for Authors
      • Editorial Policies
      • Editorial Board
      • Aims and Scope
      • Abstracting and Indexing
      • Bibliographic Information
      • Archive
    • Molecular Medicine Reports
      • Information for Authors
      • Editorial Policies
      • Editorial Board
      • Aims and Scope
      • Abstracting and Indexing
      • Bibliographic Information
      • Archive
    • Oncology Letters
      • Information for Authors
      • Editorial Policies
      • Editorial Board
      • Aims and Scope
      • Abstracting and Indexing
      • Bibliographic Information
      • Archive
    • Oncology Reports
      • Information for Authors
      • Editorial Policies
      • Editorial Board
      • Aims and Scope
      • Abstracting and Indexing
      • Bibliographic Information
      • Archive
    • World Academy of Sciences Journal
      • Information for Authors
      • Editorial Policies
      • Editorial Board
      • Aims and Scope
      • Abstracting and Indexing
      • Bibliographic Information
      • Archive
  • Articles
  • Information
    • For Authors
    • For Reviewers
    • For Librarians
    • For Advertisers
    • Conferences
  • Language Editing
Login Register Submit
  • This site uses cookies
  • You can change your cookie settings at any time by following the instructions in our Cookie Policy. To find out more, you may read our Privacy Policy.

    I agree
Search articles by DOI, keyword, author or affiliation
Search
Advanced Search
presentation
Oncology Letters
Join Editorial Board Propose a Special Issue
Print ISSN: 1792-1074 Online ISSN: 1792-1082
Journal Cover
February-2021 Volume 21 Issue 2

Full Size Image

Sign up for eToc alerts
Recommend to Library

Journals

International Journal of Molecular Medicine

International Journal of Molecular Medicine

International Journal of Molecular Medicine is an international journal devoted to molecular mechanisms of human disease.

International Journal of Oncology

International Journal of Oncology

International Journal of Oncology is an international journal devoted to oncology research and cancer treatment.

Molecular Medicine Reports

Molecular Medicine Reports

Covers molecular medicine topics such as pharmacology, pathology, genetics, neuroscience, infectious diseases, molecular cardiology, and molecular surgery.

Oncology Reports

Oncology Reports

Oncology Reports is an international journal devoted to fundamental and applied research in Oncology.

Experimental and Therapeutic Medicine

Experimental and Therapeutic Medicine

Experimental and Therapeutic Medicine is an international journal devoted to laboratory and clinical medicine.

Oncology Letters

Oncology Letters

Oncology Letters is an international journal devoted to Experimental and Clinical Oncology.

Biomedical Reports

Biomedical Reports

Explores a wide range of biological and medical fields, including pharmacology, genetics, microbiology, neuroscience, and molecular cardiology.

Molecular and Clinical Oncology

Molecular and Clinical Oncology

International journal addressing all aspects of oncology research, from tumorigenesis and oncogenes to chemotherapy and metastasis.

World Academy of Sciences Journal

World Academy of Sciences Journal

Multidisciplinary open-access journal spanning biochemistry, genetics, neuroscience, environmental health, and synthetic biology.

International Journal of Functional Nutrition

International Journal of Functional Nutrition

Open-access journal combining biochemistry, pharmacology, immunology, and genetics to advance health through functional nutrition.

International Journal of Epigenetics

International Journal of Epigenetics

Publishes open-access research on using epigenetics to advance understanding and treatment of human disease.

Medicine International

Medicine International

An International Open Access Journal Devoted to General Medicine.

Journal Cover
February-2021 Volume 21 Issue 2

Full Size Image

Sign up for eToc alerts
Recommend to Library

  • Article
  • Citations
    • Cite This Article
    • Download Citation
    • Create Citation Alert
    • Remove Citation Alert
    • Cited By
  • Similar Articles
    • Related Articles (in Spandidos Publications)
    • Similar Articles (Google Scholar)
    • Similar Articles (PubMed)
  • Download PDF
  • Download XML
  • View XML
Article Open Access

B3GNT3: A prognostic biomarker associated with immune cell infiltration in pancreatic adenocarcinoma

  • Authors:
    • Kaiwen Kong
    • Yuanyu Zhao
    • Leilei Xia
    • Hui Jiang
    • Mingjuan Xu
    • Jianming Zheng
  • View Affiliations / Copyright

    Affiliations: Department of Pathology, Changhai Hospital, Navy Medical University, Shanghai 200433, P.R. China, Department of Organ Transplantation, Changzheng Hospital, Navy Medical University, Shanghai 200433, P.R. China, Department of Obstetrics and Gynecology, Changhai Hospital, Navy Medical University, Shanghai 200433, P.R. China
    Copyright: © Kong et al. This is an open access article distributed under the terms of Creative Commons Attribution License.
  • Article Number: 159
    |
    Published online on: December 31, 2020
       https://doi.org/10.3892/ol.2020.12420
  • Expand metrics +
Metrics: Total Views: 0 (Spandidos Publications: | PMC Statistics: )
Metrics: Total PDF Downloads: 0 (Spandidos Publications: | PMC Statistics: )
Cited By (CrossRef): 0 citations Loading Articles...

This article is mentioned in:



Abstract

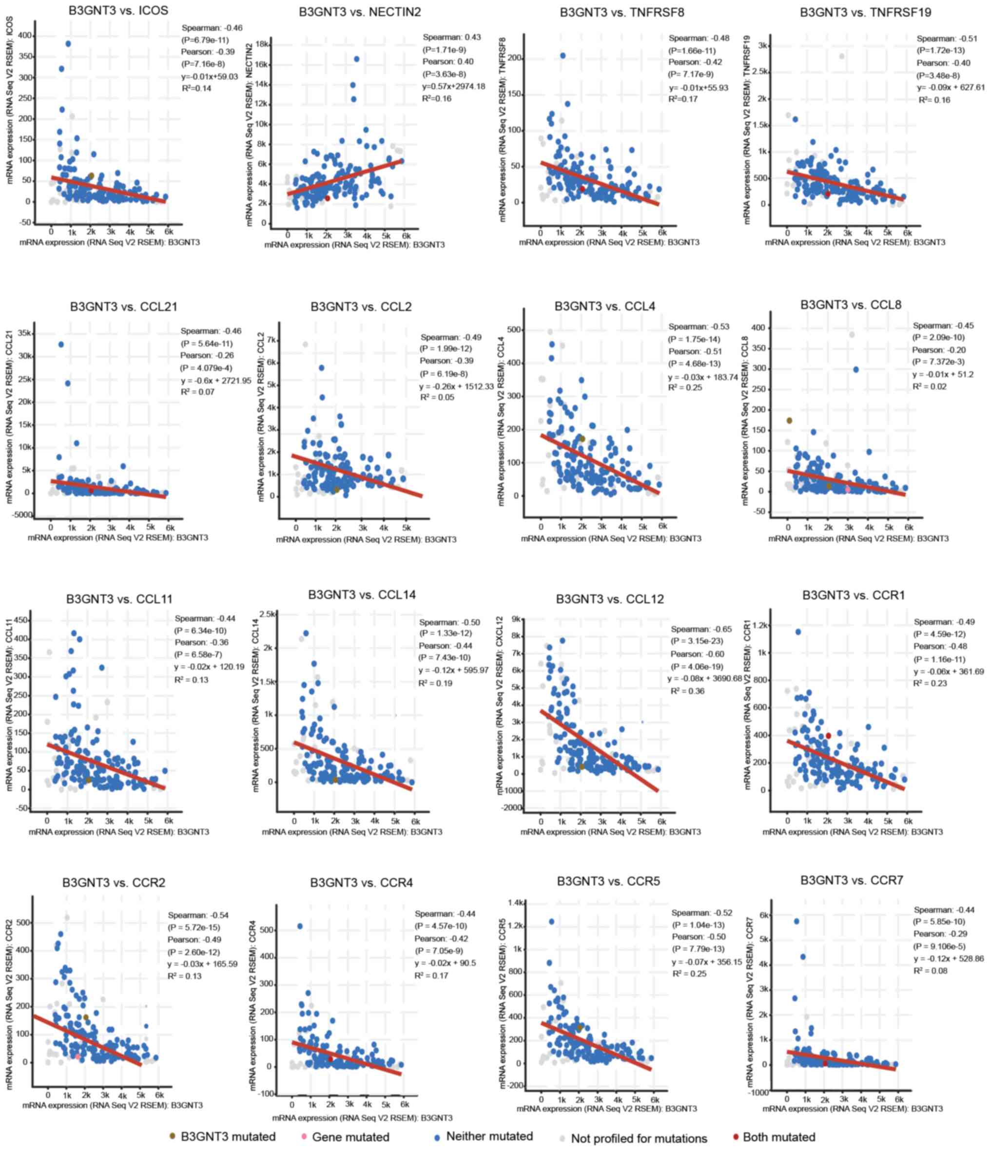
Pancreatic cancer, one of the most malignant gastrointestinal tumors, is prone to liver metastasis. However, due to the lack of appropriate and comprehensive diagnostic methods, it is difficult to accurately predict the survival outcomes. Therefore, there is a need to identify effective biomarkers, such as UDP‑GlcNAc: βGal β‑1,3‑N‑acetylglucosaminyltransferase 3 (B3GNT3), that predict the survival outcome of patients with pancreatic cancer. In the present study, based on data from 171 cases of pancreatic cancer obtained from The Cancer Genome Atlas portal, the differential expression of mRNAs was screened by comparing cancerous tissues with adjacent tissues. Univariate Cox regression analysis demonstrated that B3GNT3 had prognostic capability and could be an independent prognostic factor for pancreatic adenocarcinoma (PAAD). Using the Tumor Immune Estimation Resource tool and Tumor‑Immune System Interaction Database, a potential relationship between B3GNT3 expression and immune cell infiltration was identified in pancreatic carcinoma. Furthermore, 177 samples of pancreatic carcinoma were collected and the association of CD68 expression with B3GNT3 was assessed by immunohistochemical staining. B3GNT3 expression was associated with clinical outcomes in pancreatic carcinoma and related to infiltrating levels of immune cells, which indicated that B3GNT3 could be used as an immunotherapy target for PAAD.
View Figures

Figure 1

Figure 2

Figure 3

Figure 4

Figure 5

Figure 6

Figure 7

Figure 8

View References

1 

Mizrahi J, Surana R, Valle J and Shroff R: Pancreatic cancer. Lancet. 395:2008–2020. 2020. View Article : Google Scholar : PubMed/NCBI

2 

National Cancer Institute, ; Bethesda M: SEER cancer stat facts: Pancreatic cancer. Journal. simplehttps://seer.cancer.gov/statfacts/html/pancreas.htmlDecember 17–2020PubMed/NCBI

3 

Ngo P, Shanshal M and Rojan A: Immunotherapy in pancreatic cancer and the importance of tumour testing. BMJ Case Rep. 13:e2357742020. View Article : Google Scholar : PubMed/NCBI

4 

Wang S, Li Y, Xing C, Ding C, Zhang H, Chen L, You L, Dai M and Zhao Y: Tumor microenvironment in chemoresistance, metastasis and immunotherapy of pancreatic cancer. Am J Cancer Res. 10:1937–1953. 2020.PubMed/NCBI

5 

Christenson E, Jaffee E and Azad N: Current and emerging therapies for patients with advanced pancreatic ductal adenocarcinoma: A bright future. Lancet Oncol. 21:e135–e145. 2020. View Article : Google Scholar : PubMed/NCBI

6 

Hennet T, Dinter A, Kuhnert P, Mattu TS, Rudd PM and Berger EG: Genomic cloning and expression of three murine UDP-galactose: Beta-N-acetylglucosamine beta1,3-galactosyltransferase genes. J Biol Chem. 273:58–65. 1998. View Article : Google Scholar : PubMed/NCBI

7 

Cerhan JR, Ansell SM, Fredericksen ZS, Kay NE, Liebow M, Call TG, Dogan A, Cunningham JM, Wang AH, Liu-Mares W, et al: Genetic variation in 1253 immune and inflammation genes and risk of non-Hodgkin lymphoma. Blood. 110:4455–4463. 2007. View Article : Google Scholar : PubMed/NCBI

8 

Yeh JC, Hiraoka N, Petryniak B, Nakayama J, Ellies LG, Rabuka D, Hindsgaul O, Marth JD, Lowe JB and Fukuda M: Novel sulfated lymphocyte homing receptors and their control by a Core1 extension beta 1,3-N-acetylglucosaminyltransferase. Cell. 105:957–969. 2001. View Article : Google Scholar : PubMed/NCBI

9 

Shiraishi N, Natsume A, Togayachi A, Endo T, Akashima T, Yamada Y, Imai N, Nakagawa S, Koizumi S, Sekine S, et al: Identification and characterization of three novel beta 1,3-N-acetylglucosaminyltransferases structurally related to the beta 1,3-galactosyltransferase family. J Biol Chem. 276:3498–3507. 2001. View Article : Google Scholar : PubMed/NCBI

10 

Haider S, Wang J, Nagano A, Desai A, Arumugam P, Dumartin L, Fitzgibbon J, Hagemann T, Marshall JF, Kocher HM, et al: A multi-gene signature predicts outcome in patients with pancreatic ductal adenocarcinoma. Genome Med. 6:1052014. View Article : Google Scholar : PubMed/NCBI

11 

Ho WL, Che MI, Chou CH, Chang HH, Jeng YM, Hsu WM, Lin KH and Huang MC: B3GNT3 expression suppresses cell migration and invasion and predicts favorable outcomes in neuroblastoma. Cancer Sci. 104:1600–1608. 2013. View Article : Google Scholar : PubMed/NCBI

12 

Zhang W, Hou T, Niu C, Song L and Zhang Y: B3GNT3 expression is a novel marker correlated with pelvic lymph node metastasis and poor clinical outcome in early-stage cervical cancer. PLoS One. 10:e01443602015. View Article : Google Scholar : PubMed/NCBI

13 

Gao L, Zhang H, Zhang B, Zhu J, Chen C and Liu W: B3GNT3 overexpression is associated with unfavourable survival in non-small cell lung cancer. J Clin Pathol. 71:642–647. 2018. View Article : Google Scholar : PubMed/NCBI

14 

Li CW, Lim SO, Chung EM, Kim YS, Park AH, Yao J, Cha JH, Xia W, Chan LC, Kim T, et al: Eradication of triple-negative breast cancer cells by targeting glycosylated PD-L1. Cancer Cell. 33:187–201 e110. 2018. View Article : Google Scholar : PubMed/NCBI

15 

Wester K, Wahlund E, Sundstrom C, Ranefall P, Bengtsson E, Russell PJ, Ow KT, Malmström PU and Busch C: Paraffin section storage and immunohistochemistry. Effects of time, temperature, fixation, and retrieval protocol with emphasis on p53 protein and MIB1 antigen. Appl Immunohistochem Mol Morphol. 8:61–70. 2000. View Article : Google Scholar : PubMed/NCBI

16 

Lucca LE, Lerner BA, Park C, DeBartolo D, Harnett B, Kumar VP, Ponath G, Raddassi K, Huttner A, Hafler DA and Pitt D: Differential expression of the T-cell inhibitor TIGIT in glioblastoma and MS. Neurol Neuroimmunol Neuroinflamm. 7:e7122020. View Article : Google Scholar : PubMed/NCBI

17 

Ru B, Wong CN, Tong Y, Zhong JY, Zhong SSW, Wu WC, Chu KC, Wong CY, Lau CY, Chen I, et al: TISIDB: An integrated repository portal for tumor-immune system interactions. Bioinformatics. 35:4200–4202. 2019. View Article : Google Scholar : PubMed/NCBI

18 

van Roessel S, Kasumova G, Verheij J, Najarian RM, Maggino L, de Pastena M, Malleo G, Marchegiani G, Salvia R, Ng SC, et al: International validation of the eighth edition of the american joint committee on cancer (AJCC) TNM staging system in patients with resected pancreatic cancer. JAMA Surg. 153:e1836172018. View Article : Google Scholar : PubMed/NCBI

19 

Chen H, Fu T, Suh WK, Tsavachidou D, Wen S, Gao J, Tang DN, He Q, Sun J and Sharma P: CD4 T cells require ICOS-mediated PI3K signaling to increase T-Bet expression in the setting of anti-CTLA-4 therapy. Cancer Immunol Res. 2:167–176. 2014. View Article : Google Scholar : PubMed/NCBI

20 

Hong MH, Shin SJ, Shin SK, Kim DJ, Zo JI, Shim YM, Lee SE, Cho BC, Park SY, Choi YL and Kim HR: High CD3 and ICOS and low TIM-3 expression predict favourable survival in resected oesophageal squamous cell carcinoma. Sci Rep. 9:201972019. View Article : Google Scholar : PubMed/NCBI

21 

Wang J, He M, Shi W, Sha H, Feng J, Wang S and Wang Y: Inducible costimulator (ICOS) enhances the cytolytic activity of cytokine-induced killer cells against gallbladder cancer in vitro and in vivo. Cancer Invest. 27:244–250. 2009. View Article : Google Scholar : PubMed/NCBI

22 

Yang J, Liu J, Chen Y, Tang W, Bo K, Sun Y and Chen J: Investigation of ICOS, CD28 and CD80 polymorphisms with the risk of hepatocellular carcinoma: A case-control study in eastern Chinese population. Biosci Rep. 39:BSR201818242019. View Article : Google Scholar : PubMed/NCBI

23 

Whelan S, Ophir E, Kotturi MF, Levy O, Ganguly S, Leung L, Vaknin I, Kumar S, Dassa L, Hansen K, et al: PVRIG and PVRL2 are induced in cancer and inhibit CD8+ T-cell function. Cancer Immunol Res. 7:257–268. 2019. View Article : Google Scholar : PubMed/NCBI

24 

Liang S, Yang Z, Li D, Miao X, Yang L, Zou Q and Yuan Y: The clinical and pathological significance of nectin-2 and DDX3 expression in pancreatic ductal adenocarcinomas. Dis Markers. 2015:3795682015. View Article : Google Scholar : PubMed/NCBI

25 

Oshima T, Sato S, Kato J, Ito Y, Watanabe T, Tsuji I, Hori A, Kurokawa T and Kokubo T: Nectin-2 is a potential target for antibody therapy of breast and ovarian cancers. Molecular Cancer. 12:602013. View Article : Google Scholar : PubMed/NCBI

26 

Yang H, Zhang Q, Xu M, Wang L, Chen X, Feng Y, Li Y, Zhang X, Cui W and Jia X: CCL2-CCR2 axis recruits tumor associated macrophages to induce immune evasion through PD-1 signaling in esophageal carcinogenesis. Mol Cancer. 19:412020. View Article : Google Scholar : PubMed/NCBI

27 

Liu Q, Song J, Pan Y, Shi D, Yang C, Wang S and Xiong B: Wnt5a/CaMKII/ERK/CCL2 axis is required for tumor-associated macrophages to promote colorectal cancer progression. Int J Biol Sci. 16:1023–1034. 2020. View Article : Google Scholar : PubMed/NCBI

28 

He M, Yu W, Chang C, Miyamoto H, Liu X, Jiang K and Yeh S: Estrogen receptor α promotes lung cancer cell invasion via increase of and cross-talk with infiltrated macrophages through the CCL2/CCR2/MMP9 and CXCL12/CXCR4 signaling pathways. Mol Oncol. 14:1779–1799. 2020. View Article : Google Scholar : PubMed/NCBI

29 

Romero JM, Grunwald B, Jang GH, Bavi PP, Jhaveri A, Masoomian M, Fischer SE, Zhang A, Denroche RE, Lungu IM, et al: A four-chemokine signature is associated with a T-cell-inflamed phenotype in primary and metastatic pancreatic cancer. Clin Cancer Res. 26:1997–2010. 2020. View Article : Google Scholar : PubMed/NCBI

30 

Ko HJ and Kim YJ: Signal transducer and activator of transcription proteins: Regulators of myeloid-derived suppressor cell-mediated immunosuppression in cancer. Arch Pharm Res. 39:1597–1608. 2016. View Article : Google Scholar : PubMed/NCBI

31 

Kim BH, Yi EH and Ye SK: Signal transducer and activator of transcription 3 as a therapeutic target for cancer and the tumor microenvironment. Arch Pharm Res. 39:1085–1099. 2016. View Article : Google Scholar : PubMed/NCBI

32 

Wei D, Le X, Zheng L, Wang L, Frey JA, Gao AC, Peng Z, Huang S, Xiong HQ, Abbruzzese JL and Xie K: Stat3 activation regulates the expression of vascular endothelial growth factor and human pancreatic cancer angiogenesis and metastasis. Oncogene. 22:319–329. 2003. View Article : Google Scholar : PubMed/NCBI

33 

Scholz A, Heinze S, Detjen KM, Peters M, Welzel M, Hauff P, Schirner M, Wiedenmann B and Rosewicz S: Activated signal transducer and activator of transcription 3 (STAT3) supports the malignant phenotype of human pancreatic cancer. Gastroenterology. 125:891–905. 2003. View Article : Google Scholar : PubMed/NCBI

Related Articles

  • Abstract
  • View
  • Download
  • Twitter
Copy and paste a formatted citation
Spandidos Publications style
Kong K, Zhao Y, Xia L, Jiang H, Xu M and Zheng J: B3GNT3: A prognostic biomarker associated with immune cell infiltration in pancreatic adenocarcinoma. Oncol Lett 21: 159, 2021.
APA
Kong, K., Zhao, Y., Xia, L., Jiang, H., Xu, M., & Zheng, J. (2021). B3GNT3: A prognostic biomarker associated with immune cell infiltration in pancreatic adenocarcinoma. Oncology Letters, 21, 159. https://doi.org/10.3892/ol.2020.12420
MLA
Kong, K., Zhao, Y., Xia, L., Jiang, H., Xu, M., Zheng, J."B3GNT3: A prognostic biomarker associated with immune cell infiltration in pancreatic adenocarcinoma". Oncology Letters 21.2 (2021): 159.
Chicago
Kong, K., Zhao, Y., Xia, L., Jiang, H., Xu, M., Zheng, J."B3GNT3: A prognostic biomarker associated with immune cell infiltration in pancreatic adenocarcinoma". Oncology Letters 21, no. 2 (2021): 159. https://doi.org/10.3892/ol.2020.12420
Copy and paste a formatted citation
x
Spandidos Publications style
Kong K, Zhao Y, Xia L, Jiang H, Xu M and Zheng J: B3GNT3: A prognostic biomarker associated with immune cell infiltration in pancreatic adenocarcinoma. Oncol Lett 21: 159, 2021.
APA
Kong, K., Zhao, Y., Xia, L., Jiang, H., Xu, M., & Zheng, J. (2021). B3GNT3: A prognostic biomarker associated with immune cell infiltration in pancreatic adenocarcinoma. Oncology Letters, 21, 159. https://doi.org/10.3892/ol.2020.12420
MLA
Kong, K., Zhao, Y., Xia, L., Jiang, H., Xu, M., Zheng, J."B3GNT3: A prognostic biomarker associated with immune cell infiltration in pancreatic adenocarcinoma". Oncology Letters 21.2 (2021): 159.
Chicago
Kong, K., Zhao, Y., Xia, L., Jiang, H., Xu, M., Zheng, J."B3GNT3: A prognostic biomarker associated with immune cell infiltration in pancreatic adenocarcinoma". Oncology Letters 21, no. 2 (2021): 159. https://doi.org/10.3892/ol.2020.12420
Follow us
  • Twitter
  • LinkedIn
  • Facebook
About
  • Spandidos Publications
  • Careers
  • Cookie Policy
  • Privacy Policy
How can we help?
  • Help
  • Live Chat
  • Contact
  • Email to our Support Team