Spandidos Publications Logo
  • About
    • About Spandidos
    • Aims and Scopes
    • Abstracting and Indexing
    • Editorial Policies
    • Reprints and Permissions
    • Job Opportunities
    • Terms and Conditions
    • Contact
  • Journals
    • All Journals
    • Oncology Letters
      • Oncology Letters
      • Information for Authors
      • Editorial Policies
      • Editorial Board
      • Aims and Scope
      • Abstracting and Indexing
      • Bibliographic Information
      • Archive
    • International Journal of Oncology
      • International Journal of Oncology
      • Information for Authors
      • Editorial Policies
      • Editorial Board
      • Aims and Scope
      • Abstracting and Indexing
      • Bibliographic Information
      • Archive
    • Molecular and Clinical Oncology
      • Molecular and Clinical Oncology
      • Information for Authors
      • Editorial Policies
      • Editorial Board
      • Aims and Scope
      • Abstracting and Indexing
      • Bibliographic Information
      • Archive
    • Experimental and Therapeutic Medicine
      • Experimental and Therapeutic Medicine
      • Information for Authors
      • Editorial Policies
      • Editorial Board
      • Aims and Scope
      • Abstracting and Indexing
      • Bibliographic Information
      • Archive
    • International Journal of Molecular Medicine
      • International Journal of Molecular Medicine
      • Information for Authors
      • Editorial Policies
      • Editorial Board
      • Aims and Scope
      • Abstracting and Indexing
      • Bibliographic Information
      • Archive
    • Biomedical Reports
      • Biomedical Reports
      • Information for Authors
      • Editorial Policies
      • Editorial Board
      • Aims and Scope
      • Abstracting and Indexing
      • Bibliographic Information
      • Archive
    • Oncology Reports
      • Oncology Reports
      • Information for Authors
      • Editorial Policies
      • Editorial Board
      • Aims and Scope
      • Abstracting and Indexing
      • Bibliographic Information
      • Archive
    • Molecular Medicine Reports
      • Molecular Medicine Reports
      • Information for Authors
      • Editorial Policies
      • Editorial Board
      • Aims and Scope
      • Abstracting and Indexing
      • Bibliographic Information
      • Archive
    • World Academy of Sciences Journal
      • World Academy of Sciences Journal
      • Information for Authors
      • Editorial Policies
      • Editorial Board
      • Aims and Scope
      • Abstracting and Indexing
      • Bibliographic Information
      • Archive
    • International Journal of Functional Nutrition
      • International Journal of Functional Nutrition
      • Information for Authors
      • Editorial Policies
      • Editorial Board
      • Aims and Scope
      • Abstracting and Indexing
      • Bibliographic Information
      • Archive
    • International Journal of Epigenetics
      • International Journal of Epigenetics
      • Information for Authors
      • Editorial Policies
      • Editorial Board
      • Aims and Scope
      • Abstracting and Indexing
      • Bibliographic Information
      • Archive
    • Medicine International
      • Medicine International
      • Information for Authors
      • Editorial Policies
      • Editorial Board
      • Aims and Scope
      • Abstracting and Indexing
      • Bibliographic Information
      • Archive
  • Articles
  • Information
    • Information for Authors
    • Information for Reviewers
    • Information for Librarians
    • Information for Advertisers
    • Conferences
  • Language Editing
Spandidos Publications Logo
  • About
    • About Spandidos
    • Aims and Scopes
    • Abstracting and Indexing
    • Editorial Policies
    • Reprints and Permissions
    • Job Opportunities
    • Terms and Conditions
    • Contact
  • Journals
    • All Journals
    • Biomedical Reports
      • Information for Authors
      • Editorial Policies
      • Editorial Board
      • Aims and Scope
      • Abstracting and Indexing
      • Bibliographic Information
      • Archive
    • Experimental and Therapeutic Medicine
      • Information for Authors
      • Editorial Policies
      • Editorial Board
      • Aims and Scope
      • Abstracting and Indexing
      • Bibliographic Information
      • Archive
    • International Journal of Epigenetics
      • Information for Authors
      • Editorial Policies
      • Editorial Board
      • Aims and Scope
      • Abstracting and Indexing
      • Bibliographic Information
      • Archive
    • International Journal of Functional Nutrition
      • Information for Authors
      • Editorial Policies
      • Editorial Board
      • Aims and Scope
      • Abstracting and Indexing
      • Bibliographic Information
      • Archive
    • International Journal of Molecular Medicine
      • Information for Authors
      • Editorial Policies
      • Editorial Board
      • Aims and Scope
      • Abstracting and Indexing
      • Bibliographic Information
      • Archive
    • International Journal of Oncology
      • Information for Authors
      • Editorial Policies
      • Editorial Board
      • Aims and Scope
      • Abstracting and Indexing
      • Bibliographic Information
      • Archive
    • Medicine International
      • Information for Authors
      • Editorial Policies
      • Editorial Board
      • Aims and Scope
      • Abstracting and Indexing
      • Bibliographic Information
      • Archive
    • Molecular and Clinical Oncology
      • Information for Authors
      • Editorial Policies
      • Editorial Board
      • Aims and Scope
      • Abstracting and Indexing
      • Bibliographic Information
      • Archive
    • Molecular Medicine Reports
      • Information for Authors
      • Editorial Policies
      • Editorial Board
      • Aims and Scope
      • Abstracting and Indexing
      • Bibliographic Information
      • Archive
    • Oncology Letters
      • Information for Authors
      • Editorial Policies
      • Editorial Board
      • Aims and Scope
      • Abstracting and Indexing
      • Bibliographic Information
      • Archive
    • Oncology Reports
      • Information for Authors
      • Editorial Policies
      • Editorial Board
      • Aims and Scope
      • Abstracting and Indexing
      • Bibliographic Information
      • Archive
    • World Academy of Sciences Journal
      • Information for Authors
      • Editorial Policies
      • Editorial Board
      • Aims and Scope
      • Abstracting and Indexing
      • Bibliographic Information
      • Archive
  • Articles
  • Information
    • For Authors
    • For Reviewers
    • For Librarians
    • For Advertisers
    • Conferences
  • Language Editing
Login Register Submit
  • This site uses cookies
  • You can change your cookie settings at any time by following the instructions in our Cookie Policy. To find out more, you may read our Privacy Policy.

    I agree
Search articles by DOI, keyword, author or affiliation
Search
Advanced Search
presentation
Oncology Letters
Join Editorial Board Propose a Special Issue
Print ISSN: 1792-1074 Online ISSN: 1792-1082
Journal Cover
August-2021 Volume 22 Issue 2

Full Size Image

Sign up for eToc alerts
Recommend to Library

Journals

International Journal of Molecular Medicine

International Journal of Molecular Medicine

International Journal of Molecular Medicine is an international journal devoted to molecular mechanisms of human disease.

International Journal of Oncology

International Journal of Oncology

International Journal of Oncology is an international journal devoted to oncology research and cancer treatment.

Molecular Medicine Reports

Molecular Medicine Reports

Covers molecular medicine topics such as pharmacology, pathology, genetics, neuroscience, infectious diseases, molecular cardiology, and molecular surgery.

Oncology Reports

Oncology Reports

Oncology Reports is an international journal devoted to fundamental and applied research in Oncology.

Experimental and Therapeutic Medicine

Experimental and Therapeutic Medicine

Experimental and Therapeutic Medicine is an international journal devoted to laboratory and clinical medicine.

Oncology Letters

Oncology Letters

Oncology Letters is an international journal devoted to Experimental and Clinical Oncology.

Biomedical Reports

Biomedical Reports

Explores a wide range of biological and medical fields, including pharmacology, genetics, microbiology, neuroscience, and molecular cardiology.

Molecular and Clinical Oncology

Molecular and Clinical Oncology

International journal addressing all aspects of oncology research, from tumorigenesis and oncogenes to chemotherapy and metastasis.

World Academy of Sciences Journal

World Academy of Sciences Journal

Multidisciplinary open-access journal spanning biochemistry, genetics, neuroscience, environmental health, and synthetic biology.

International Journal of Functional Nutrition

International Journal of Functional Nutrition

Open-access journal combining biochemistry, pharmacology, immunology, and genetics to advance health through functional nutrition.

International Journal of Epigenetics

International Journal of Epigenetics

Publishes open-access research on using epigenetics to advance understanding and treatment of human disease.

Medicine International

Medicine International

An International Open Access Journal Devoted to General Medicine.

Journal Cover
August-2021 Volume 22 Issue 2

Full Size Image

Sign up for eToc alerts
Recommend to Library

  • Article
  • Citations
    • Cite This Article
    • Download Citation
    • Create Citation Alert
    • Remove Citation Alert
    • Cited By
  • Similar Articles
    • Related Articles (in Spandidos Publications)
    • Similar Articles (Google Scholar)
    • Similar Articles (PubMed)
  • Download PDF
  • Download XML
  • View XML

  • Supplementary Files
    • Supplementary_Data.pdf
Article Open Access

Gene expression of cytokinesis regulators PRC1, KIF14 and CIT has no prognostic role in colorectal and pancreatic cancer

  • Authors:
    • Vojtech Hanicinec
    • Veronika Brynychova
    • Jachym Rosendorf
    • Richard Palek
    • Vaclav Liska
    • Martin Oliverius
    • Zdenek Kala
    • Beatrice Mohelnikova‑Duchonova
    • Ivona Krus
    • Pavel Soucek
  • View Affiliations / Copyright

    Affiliations: Biomedical Centre, Faculty of Medicine in Pilsen, Charles University, 32300 Pilsen, Czech Republic, Department of Surgery, Faculty Hospital Kralovske Vinohrady and Third Faculty of Medicine, Charles University, 10000 Prague, Czech Republic, Department of Surgery, University Hospital Brno and Faculty of Medicine, Masaryk University, 62500 Brno, Czech Republic, Department of Oncology and Institute of Molecular and Translational Medicine, Faculty of Medicine and Dentistry, Palacky University, 77900 Olomouc, Czech Republic, Department of Toxicogenomics, National Institute of Public Health, Prague 10042, Czech Republic
    Copyright: © Hanicinec et al. This is an open access article distributed under the terms of Creative Commons Attribution License.
  • Article Number: 598
    |
    Published online on: June 9, 2021
       https://doi.org/10.3892/ol.2021.12859
  • Expand metrics +
Metrics: Total Views: 0 (Spandidos Publications: | PMC Statistics: )
Metrics: Total PDF Downloads: 0 (Spandidos Publications: | PMC Statistics: )
Cited By (CrossRef): 0 citations Loading Articles...

This article is mentioned in:



Abstract

Colorectal cancer is one of the most common cancers and pancreatic cancer is among the most fatal and difficult to treat. New prognostic biomarkers are urgently needed to improve the treatment of colorectal and pancreatic cancer. Protein regulating cytokinesis 1 (PRC1), kinesin family member 14 (KIF14) and citron Rho‑interacting serine/threonine kinase (CIT) serve important roles in cytokinesis, are strongly associated with cancer progression and have prognostic potential. The present study aimed to investigate the prognostic relevance of the PRC1, KIF14 and CIT genes in colorectal and pancreatic cancer. PRC1, KIF14 and CIT transcript expression was assessed by reverse transcription‑quantitative PCR in tumors and paired distant unaffected mucosa from 67 patients with colorectal cancer and tumors and paired non‑neoplastic control tissues from 48 patients with pancreatic cancer. The extent of transcript dysregulation between tumor and control tissues and between groups of patients divided by main clinical characteristics, namely patients' age and sex, disease stage, localization and grade, was determined. Finally, the associations of transcript levels in tumors with disease‑free interval and overall survival time were evaluated. PRC1, KIF14 and CIT transcripts were upregulated in tumors compared with control tissues. PRC1, KIF14 and CIT levels strongly correlated to each other in both colorectal and pancreatic tumor and control tissues after correction for multiple testing. However, no significant associations were found among the transcript levels of PRC1, KIF14 and CIT and disease‑free interval or overall survival time. In summary, the present study demonstrated mutual correlation of PRC1, KIF14 and CIT cytokinesis regulators with no clear prognostic value in pancreatic and colorectal cancers. Hence, according to the results of the present study, transcript levels of these genes cannot be clinically exploited as prognostic biomarkers in colorectal or pancreatic cancer patients.

Introduction

Colorectal cancer (CRC) is the second most frequent cancer in women and third most common in men worldwide (1) with more >1.9 million new cases reported in 2020 (2). CRC mortality rates are higher in developed countries and it was ranked second globally in the mortality ratings with >935,000 deaths caused by it in 2020 (2). CRC is usually diagnosed in later stages (regional or distant) which complicates the treatment and results in worse outcomes for patients (3).

Pancreatic ductal adenocarcinoma (PDAC) has a lower global incidence rate >495,000 compared with CRC (2), but with >466,000 deaths in 2020 worldwide (2) and the projected dramatic increase in incidence in the USA by 2030 (4), it remains one of the deadliest cancers. Late diagnosis, due to delayed manifestation of symptoms and generally very poor long-term response to systemic chemotherapy have complicated the treatment and resulted in worse outcomes for patients, hence these are now subject to state-of-the-art studies in the precision medicine field (5). Hence, the search for new diagnostic, prognostic and predictive biomarkers which will facilitate treatment at less advanced stages when outcomes are more favorable is necessary (6).

Cytokinesis is a key event that occurs at the end of cell division and is important for successful tissue proliferation (7). One of its essential components is the constitution of a central mitotic spindle in which protein regulating cytokinesis 1 (PRC1), kinesin family member 14 (KIF14) and citron Rho-interacting serine/threonine kinase (CIT) proteins serve an important role (8). Mutations, defects and overall failures in cytokinesis may influence tumorigenesis in multiple tissues, e.g., breast, gut, lung, pancreas and ovary (9).

One of the most important components of cell division is PRC1, a substrate of several cyclin-dependent kinases, e.g., CDK1, CDK2 and CDK6, which helps to regulate their levels during the cell cycle (10). During interphase, PRC1 localizes almost exclusively to the cell nucleus (10), but when mitosis commences it redistributes and binds to microtubules maintaining the spindle midzone in early stages and to the midbody during cell cleavage (11). Reduction of PRC1 activity in cells prevents completion of cellular cleavage, but not nuclear division (11).

Multiple proteins of the kinesin-motor family depend on PRC1 and amongst others, KIF14, is one of them (12–14). KIF14 is a member of the kinesin-3 subfamily which exists in the cell as a dimer (15) and has ATPase activity (16). KIF14 localizes to the cytoplasm during interphase, but after the start of mitosis it accumulates at spindle poles (17). Later in anaphase, KIF14 becomes concentrated at the spindle midzone and midbody (17). Cells with depleted KIF14 fail to complete cytokinesis (17). KIF14 interacts with both PRC1 and the RhoA kinase regulator CIT (18,19). CIT is necessary for localization of KIF14 and important for cell division (7) and orientation of the mitotic spindle during metaphase (20).

It has been already reported in our earlier studies that expression levels of PRC1, KIF14 and CIT are significantly elevated in tumor tissues, such as breast (21) and ovarian (22) carcinomas. In addition, patients with breast cancer with high PRC1 expression level in tumors had significantly worse disease-free survival time compared with the rest of patients (21), and low CIT level was associated with worse time to progression in patients with ovarian cancer (22). In fact, the prognostic role of these regulators of cytokinesis was recently suggested by others in hepatocellular, prostate and bladder cancer (23–25).

The present study aimed to assess the prognostic relevance of the cytokinesis regulators in PRC1, KIF14 and CIT in patients with CRC and PDAC. PRC1, KIF14 and CIT were selected based on previous functional evidence and putative prognostic roles reported in other carcinomas (21–25).

Materials and methods

Experimental subjects

Tissue samples of primary tumors of human colorectal carcinoma and paired distant unaffected mucosa, where possible at least 20 cm from the primary tumor site, were collected from 67 patients (age range, 39–79 years old) with CRC diagnosed and treated at the Department of Surgery, Teaching Hospital in Pilsen (Pilsen, Czech Republic) during the period February 2008-August 2010 as described before (26). The following inclusion criteria were applied to the recruitment of patients into the study: i) Patients who were subject to surgery for CRC; ii) no prior chemotherapy before surgery (in order to eliminate its influence on transcript levels); iii) patients who received only first-line chemotherapy in either a palliative or adjuvant setting; and iv) patients who received adjuvant regimens based on 5-fluorouracil, leucovorin (de Gramont or FUFA), ftorafur, capecitabine and/or oxaliplatin (FOLFOX) or palliative chemotherapy based on FOLFOX regimen in combination with or without Avastin (n=3 untreated). Native tissue samples were taken during resection surgery, macrodissected, snap-frozen in liquid nitrogen and stored at −80°C until total RNA isolation. The control mucosa samples were taken from the macroscopically unaffected resection margins of colon tissues. The resection margins were microscopically evaluated and only samples free of malignant cells were further analyzed. Corresponding tumor tissue samples were verified by an independent experienced pathologist (Teaching Hospital in Pilsen, Pilsen, Czech Republic). Only histologically-verified samples were included in this study. The following data on patients were retrieved from medical records during regular hospital-based follow-up: Age, sex, date of diagnosis, tumor localization, pathological tumor node metastasis (TNM stage) according to The Union for International Cancer Control (UICC) 6th Edition (27), histological type and grade of the tumor, adjuvant (group A) or first line of palliative (group B) chemotherapy, treatment response in group B patients and disease-free interval (DFI) and overall survival time (OS) in all patients (Table I). Patients were followed by imaging techniques and assessment of circulating tumor markers (CEA and CA 19-9) every 3 months during the first two years after adjuvant chemotherapy and then every 6 months for the next 3 years. Response to the treatment was evaluated by the Response Evaluation Criteria In Solid Tumors (RECIST) criteria version 1.0 (28) based on routinely used imaging techniques (by computer tomography, with or without positron emission tomography, magnetic resonance or ultrasonography) for assessment of tumor mass. Response to the treatment was defined as a decrease of the number or volume of metastases or stabilization of the disease. In patients treated with adjuvant therapy after radical surgical resection R0 (group A), DFI served as the treatment outcome for analyses. DFI was defined as the time elapsed between radical surgical R0 resection and disease recurrence.

Table I.

Clinical characteristics of patients with CRC (n=67).

Table I.

Clinical characteristics of patients with CRC (n=67).

CharacteristicsValue
Age at diagnosis mean ± SD, years63.6±8.8
Sex, n (%)
  Female  23 (34)
  Male  44 (66)
Primary tumor localization, n (%)
  Colon or sigma  42 (73)
  Rectum or rectosigmoid junction  25 (27)
Primary tumor size, location and invasive
depth (pT), n (%)
  pT2  5 (7)
  pT3  53 (79)
  pT4  9 (13)
Lymph node metastasis (pN), n (%)
  pN0  22 (33)
  pN1  27 (40)
  pN2  18 (27)
Distant metastasis (cM), n (%)
  cM0  34 (51)
  cM1  33 (49)
Pathological stage (S), n (%)
  SII  14 (21)
  SIII  20 (30)
  SIV  33 (49)
Pathological grade (G), n (%)
  G1  10 (15)
  G2  46 (69)
  G3  11 (16)
Response to palliative chemotherapy in
SIV patientsa
  Regression or stabilization  15 (50)
  Stable disease or progression  15 (50)
  Not evaluated  3 (−)
Adjuvant chemotherapy in SII and SIII patients
  De Gramont or FUFA regimens  13 (38)
  FOLFOX regimen  12 (35)
  Capecitabine  8 (24)
  Ftorafur  1 (3)

a Patients were treated with palliative chemotherapy based on FOLFOX regimen in combination with Avastin (n=16) or without (n=12). A total of 3 patients received de Gramont regimen and 2 received no palliative chemotherapy. CRC, colorectal cancer.

A cohort of 48 patients (age range, 46–80 years old) with PDAC who underwent curative intent surgery between August 2009 and January 2012 were recruited from the Institute of Clinical and Experimental Medicine, Prague and the University Hospital (Brno, Czech Republic) as described before (29). The following inclusion criteria were applied to the recruitment of patients into the study: i) Patients who were subject to surgery for PDAC; ii) had no prior chemotherapy before surgery (in order to eliminate its influence on transcript levels); and iii) pathologically confirmed PDAC diagnosis. Patients treated with preoperative chemo (radio) therapy were excluded from the study. The resection specimens from these patients were immediately transferred from the operating theater to the Pathology Department, macrodissected to differentiate tumor and paired non-neoplastic (control) tissues and then snap-frozen in liquid nitrogen. The histologically verified samples of tumors and control tissues were then stored at −80°C until RNA extraction. Histological diagnosis of PDAC was performed according to the standard classification. The clinical data including age, sex, date of diagnosis, tumor localization, pTNM stage, the histological type and grade of the tumor, resection margin status, lymphatic, vascular and perineural invasion, adjuvant chemotherapy based on gemcitabine or 5-fluorouracil (n=17 untreated) and OS were all obtained from medical records during regular hospital-based follow-up (Table II).

Table II.

Clinical characteristics of patients with PDAC (n=48).

Table II.

Clinical characteristics of patients with PDAC (n=48).

CharacteristicsValue
Age at diagnosis mean ± SD, years62.6±7.5
Sex, n (%)
  Female  26 (54)
  Male  22 (46)
Primary tumor localization, n (%)
  Head  40 (83)
  Body or tail  8 (17)
Primary tumor size, location, and invasive
depth (pT), n (%)
  pT1  1 (2)
  pT2  5 (10)
  pT3  41 (86)
  pT4  1 (2)
Lymph node metastasis (pN), n (%)
  pN0  19 (40)
  pN1  29 (60)
Pathological stage (S), n (%)
  SI  3 (6)
  SII  43 (90)
  SIII  2 (4)
Pathological grade (G), n (%)
  G1  2 (4)
  G2  29 (61)
  G3  15 (31)
  G4  2 (4)
Angioinvasion (pA), n (%)
  pA0  28 (58)
  pA1  20 (42)
Perineural invasion (pP), n (%)
  pP0  11 (23)
  pP1  37 (77)
Resection margins (R), n (%)
  R0  44 (92)
  R1  4 (8)
Adjuvant chemotherapy, n (%)
  None  17 (35)
  Gemcitabine or 5-fluorouracil based  31 (65)

[i] PDAC, pancreatic adenocarcinoma.

Study protocol was approved by the Ethical Commission of the Medical Faculty and Teaching Hospital in Pilsen (Pilsen, Czech Republic) (approval no. IGA 10230-3, 2nd September 2008) and the Institutional Review Boards of the Institute of Clinical and Experimental Medicine (Prague, Czech Republic) and the University Hospital Brno (Brno, Czech Republic) (approval received in the process of application of research project. no. GA CR P304/10/0338, 4th May 2009). Written informed consent was obtained from all individual participants included in the study.

RNA isolation and cDNA preparation

Total RNA was isolated according to the procedure published elsewhere (30). Briefly, fresh frozen tumor and control tissues (~2×2×2 mm blocks) were first homogenized by mechanical disruption using a Precellys instrument (Bertin Technologies SAS; CNIM Group) at a speed of 6,500 rpm for 15 sec at room temperature. Total RNA was isolated from all samples using Trizol® (Invitrogen; Thermo Fisher Scientific Inc.) according to the manufacturer's instructions and stored in 20 µl aliquots at −80°C. The RNA quantity was assessed in duplicates by Quant-iT RiboGreen RNA Assay kit (Invitrogen; Thermo Fisher Scientific Inc.) using the Infinite M200 multimode reader (Tecan Group, Ltd.). The quality was assessed by measurement of RNA Integrity Number (RIN) using Agilent 2100 Bioanalyzer and Agilent RNA 6000 Nano Assay Kit (Agilent Technologies, Inc.) and samples with RIN ≥3 were used for analysis. For cDNA synthesis, 0.5 µg of the isolated RNA was used with the RevertAid™ First Strand cDNA Synthesis kit (Thermo Fisher Scientific Inc.). The reaction was incubated 60 min at 42°C and terminated by heating at 70°C for 5 min. PCR amplification of ubiquitin C discriminating between product from cDNA (190 bp) and from genomic DNA (1,009 bp) was used for the cDNA quality check in terms of DNA contamination as described before (31). All cDNA samples that were free of DNA contamination (absence of 1,009 bp band in sample incubated without reverse transcriptase) were further analyzed.

Reverse transcription-quantitative PCR (RT-qPCR)

RT-qPCR was performed using the LightCycler® 96 System (Roche Diagnostics GmbH). The reaction contained 2.5 µl of cDNA samples (diluted 10-times) and 7.5 µl of kit composed of 0.5 µl of TaqMan™ Gene Expression Assay (20X), 2 µl of 5X Hot FirePol Probe qPCR Mix Plus (ROX) and 5 µl of RNAse free water (all Thermo Fisher Scientific Inc.). The thermocycling conditions used were as follows: 50°C for 2 min, denaturation at 95°C for 10 min followed by 55 cycles of denaturation at 95°C for 15 sec and annealing/extension at 60°C for 1 min. Mitochondrial ribosomal protein L19 (MRPL19), Polymerase II RNA subunit A (POLR2A) and Proteasome 26S subunit ATPase 4 (PSMC4) were used as reference genes specific for studies of human CRC and Eukaryotic translation initiation factor 2B (EIF2B1), Eukaryotic translation initiation factor 1 (ELF1), MRPL19 and POP4 homolog, ribonuclease P/MRP subunit (POP4) for PDAC based on our previously published data (26,30). Primers and probes for RT-qPCR were part of commercially provided TaqMan™ Gene Expression Assays (Thermo Fisher Scientific Inc.). The list of genes and TaqMan™ Gene Expression Assays used in the study were listed in Table SI. The non-template control contained water instead of cDNA. Negative cDNA synthesis controls (RNA transcribed without reverse transcriptase) were also employed to demonstrate possible carry-over contamination. Each sample was assayed in duplicate and the mean value used for calculations. Samples with a variation >0.5 Ct (cycle threshold) were reanalyzed. The efficiencies of all assays were between 90 and 100% and calibration curves had R2≥0.998. Transcript levels were analyzed by Roche LightCycler® 96 System Software. Ratio of Ct of an arithmetic mean of Ct of all reference genes to a particular target gene was calculated for each sample and used for statistical evaluation (32). The qPCR study adhered to the MIQE Guidelines (Minimum Information for Publication of Quantitative Real-Time PCR Experiments) (33).

Statistical analysis

Each sample was assayed in duplicate and the mean values were used for statistics. Ct ratio which was an arithmetic mean of Ct for all reference genes to a particular target gene was calculated for each sample. Gene expression levels are presented as mean ± SD (standard deviation) of this ratio (Fig. 1). Statistical analysis was performed using SPSS v.16.0 (SPSS, Inc.) as previously described (21,22). Briefly, distribution of gene expression data was evaluated by the Kolmogorov-Smirnov test. Gene expression data did not follow a normal distribution, and hence, non-parametric tests (the Wilcoxon signed-rank test, the Mann-Whitney test and the Kruskal-Wallis test) were used for evaluation of differences between groups of patients divided by the clinical data. Differences of gene expression levels in patients divided by sex, tumor localization and size, lymph node and distant metastasis, pathological stage and grade, resection margins and response to therapy were evaluated by Mann-Whitney and Kruskal-Wallis tests. The Spearman's rank correlation test was used for assessment of correlations between continuous variables as patient age and gene expression levels. Differences in gene expression levels between tumor and control samples were evaluated by the Wilcoxon signed-rank test. Receiver operator curve (ROC) analysis was performed for evaluation of the power of expression biomarkers to discriminate the patients with different survival functions. To divide the patients into low and high expressing groups, gene expression levels were divided by the median and cutoff values calculated using the ROC analysis performed using ROC Plotter (34). Median cutoff values were the following: 0.990, 1.160 and 1.020 for PRC1, KIF14 and CIT DFI analysis in CRC tumors, respectively; 0.990, 1.157 and 1.015 for PRC1, KIF14 and CIT OS analysis in CRC tumors, respectively and 1.083, 1.221 and 1.052 for PRC1, KIF14 and CIT OS analysis in PDAC tumors, respectively. Cutoff values based on the ROC analysis were the following: 1.000, 1.170 and 1.020 for PRC1, KIF14 and CIT OS analysis in CRC tumors, respectively and 1.084, 1.204 and 1.044 for PRC1, KIF14 and CIT OS analysis in PDAC tumors, respectively. Survival function was plotted by the Kaplan-Meier method and the log rank test used for survival comparisons between groups of patients. To provide better estimates of survival probabilities and cumulative hazard, multivariate analysis was performed using Cox regression adjusted to stage. The correction for false discovery rate (FDR) was applied according to Benjamini and Hochberg (35). All P-values are from two-sided tests. P<0.05 was considered to indicate a statistically significant difference. Basic data about protein expression of PRC1, KIF14 and CIT in CRC and PDAC were extracted from The Human Protein Atlas (https://www.proteinatlas.org).

Figure 1.

Box plot of gene expression distribution between tumor and control tissues of patients with (A) CRC (n=67) and (B) PDAC (n=48). Ct ratio which was an arithmetic mean of Ct for all reference genes to a particular target gene was calculated for each sample. Outliers are displayed as circles. PRC1, protein regulating cytokinesis 1; KIF 14, kinesin family member 14; CIT, citron Rho-interacting serine/threonine kinase; CRC, colorectal cancer; PDAC, pancreatic adenocarcinoma.

Results

Gene expression levels in tumor and control tissues of colorectal cancer patients

First, transcript expression levels of cytokinesis genes were assessed in tumor and control tissues from patients with CRC by RT-qPCR. PRC1, KIF14 and CIT were significantly upregulated in tumors compared with paired control tissue samples (PRC1, P=2.4×10−10; KIF14, P=3.6×10−10; CIT, P=2.4×10−10; Wilcoxon signed-rank test; Fig. 1A). KIF14 and CIT expression was highly significantly correlated in tumor tissues (P=3.0×10−09, correlation coefficient ρ=0.708; Spearman correlation test) while correlations between PRC1 and KIF14 and PRC1 and CIT were weaker (P=4.2×E−05, ρ=0.532 and P=3.2×E−05, ρ=0.538, respectively; Spearman correlation test). In control tissues, correlation between PRC1 and KIF14 was stronger (P=3.7×10−07, ρ=0.633; Spearman correlation test) compared with the rest of the correlations (P=0.005, ρ=0.378 for PRC1 with CIT and P=2.1×E−04; ρ=0.487 for KIF14 with CIT; Spearman correlation test). All associations passed the FDR test for multiple testing (q=0.016). Data about protein expression from The Human Protein Atlas demonstrated that in general, PRC1 and KIF14 are overexpressed in colon or rectal carcinomas compared to normal tissues. On the other hand, CIT was downregulated in tumors (Table SII). The above results suggested that all cytokinesis genes were significantly upregulated in colorectal carcinomas compared to control tissues and that their levels mutually correlated.

Associations between gene expression levels in tumors and clinical data of patients with colorectal cancer

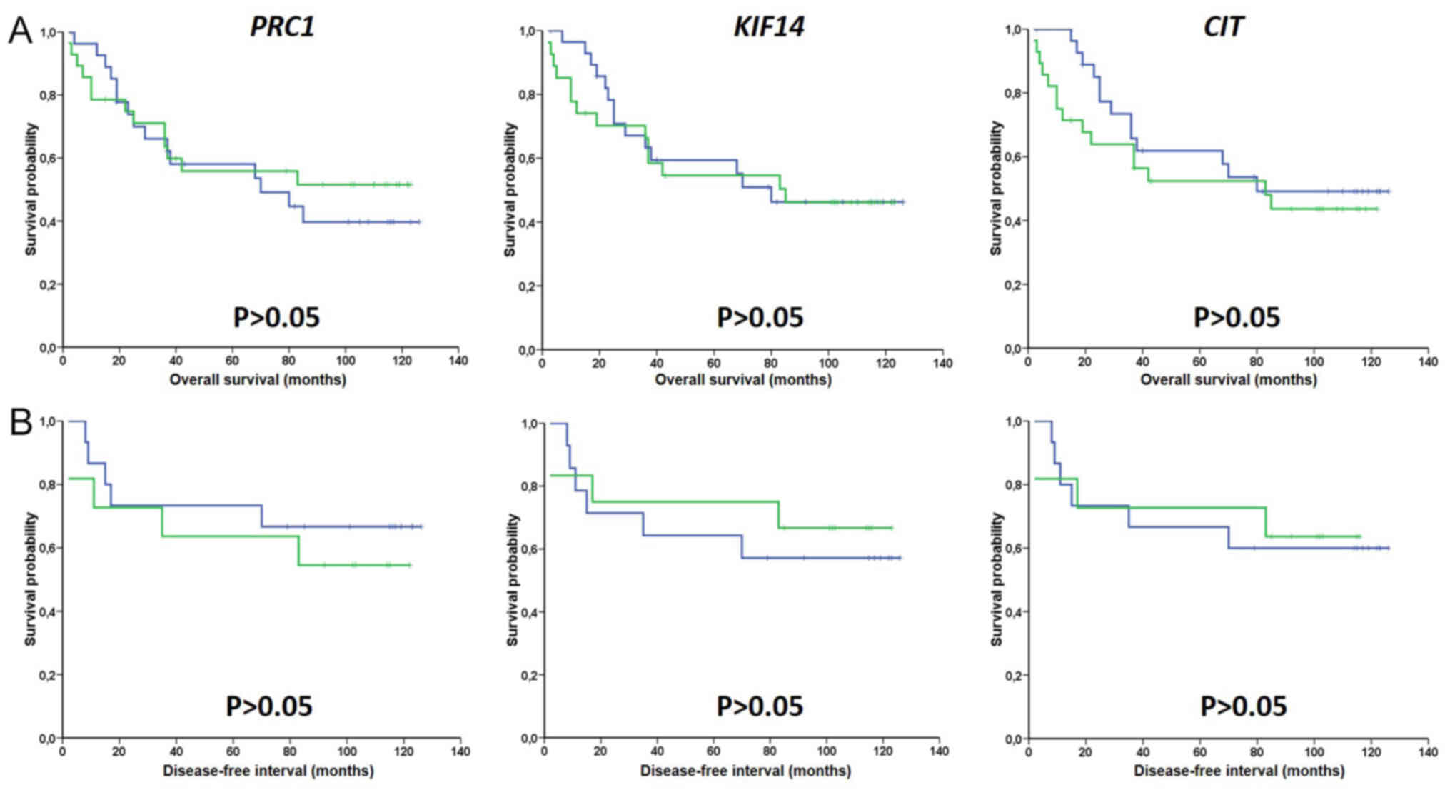
Then, PRC1, KIF14 and CIT levels in tumor samples were compared in groups of patients stratified by clinical data and survival functions. No significant associations between intra-tumoral expression of PRC1, KIF14 and CIT and age, sex, primary tumor size, location and invasive depth (pT), regional lymph node involvement (pN), distant metastasis (cM), grade or localization of tumor (colon, sigma, or rectum) were observed (Table III). KIF14 expression significantly differed between patients stratified by the disease stage (P=0.020; Kruskal-Wallis test; Table III). However, the lack of trend between all the compared stages suggested that this association was not clinically relevant (Table III). In addition, it did not pass the FDR correction for multiple testing (q=0.002). No association between gene expression and response of patients to palliative therapy (progressive disease vs partial response or stable disease, group B, n=30) was found (Table III). Similarly, transcript expression levels of PRC1, KIF14 and CIT did not associate with DFI of subgroup of patients treated with adjuvant chemotherapy (group A, n=34) or with OS of all patients (both groups together) as evaluated by the gene expression median (Fig. 2) or cutoff using the ROC analysis (Fig. S1, for OS only). Multivariate analysis by Cox regression adjusted to disease stage also failed to show significant associations between intra-tumoral expression levels of PRC1, KIF14 and CIT and survival of patients with CRC (Table IV). Hence, gene expression levels were not associated with survival time in both univariate and multivariate analyses. Taken together, these analyses suggested a lack of significant associations between intra-tumoral expression of cytokinesis genes and clinical data of patients with CRC. Transcript expression of these genes was not associated with prognosis of patients assessed by DFI and OS.

Figure 2.

Associations between target gene expression and survival of patients with CRC. Kaplan-Meier survival curves were plotted for patients divided into groups above and below the median expression of PRC1, KIF14 and CIT. The blue line represents the group with lower and green line the group with higher expression levels than median. (A) Overall survival time and (B) disease-free interval were presented. PRC1, protein regulating cytokinesis 1; KIF 14, kinesin family member 14; CIT, citron Rho-interacting serine/threonine kinase; CRC, colorectal cancer; PDAC, pancreatic adenocarcinoma.

Table III.

Clinical characteristics of patients with CRC (n=67) and expression of target genes (PRC1, KIF14 and CIT).

Table III.

Clinical characteristics of patients with CRC (n=67) and expression of target genes (PRC1, KIF14 and CIT).

PRC1KIF14CIT

Characteristicsn P-valuea (ρ value)
Age670.484b (0.095)0.125b (−0.207)0.711b (0.051)
Sex 0.4300.3290.063
  Female23
  Male44
Primary tumor localization 0.2800.2750.370
  Colon28
  Sigma13
  Rectum15
Primary tumor size, location, and invasive depth (pT) 0.5540.2730.308
  pT2  5
  pT353
  pT4  9
Lymph node metastasis (pN) 0.7690.3570.913
  pN022
  pN1-245
Distant metastasis (cM) 0.8220.8820.722
  cM034
  cM133
Pathological stage (S) 0.1760.020c0.066
  SII14
  SIII20
  SIV33
Pathological grade (G) 0.8100.4530.452
  G110
  G246
  G311
Response to palliative chemotherapy 0.6580.8770.913
  Regression or stable15
  Progression15

a The Kruskal-Wallis test

b the Spearman correlation test, ρ=correlation coefficient

c the Jonckheere-Terpstra trend test non-significant. PRC1, protein regulating cytokinesis 1; KIF 14, kinesin family member 14; CIT, citron Rho-interacting serine/threonine kinase; CRC, colorectal cancer.

Table IV.

Stage adjusted (A) overall survival and (B) disease-free interval of patients with CRC evaluated by Cox regression.

Table IV.

Stage adjusted (A) overall survival and (B) disease-free interval of patients with CRC evaluated by Cox regression.

A, Overall survival of all patients (n=67)

TranscriptP-valueHazard ratioa95% confidence interval
PRC10.6501.190.56-2.52
KIF140.8891.060.49-2.28
CIT0.9200.960.42-2.17

B, Disease-free interval of patients treated with adjuvant chemotherapy (n=34)

TranscriptP-valueHazard ratioa95% confidence interval

PRC10.4920.650.18-2.25
KIF140.7291.260.34-4.70
CIT0.8980.910.20-4.03

a Hazard ratio, characterizing the chance for disease relapse or patient's death, for low expression level. CRC, colorectal cancer; PRC1, protein regulating cytokinesis 1; KIF 14, kinesin family member 14; CIT, citron Rho-interacting serine/threonine kinase; CRC, colorectal cancer.

Gene expression levels in tumors and control tissues of patients with pancreatic cancer

Expression levels of cytokinesis genes were assessed in tumor and control tissues from patients with PDAC by RT-qPCR. PRC1, KIF14 and CIT were significantly upregulated in tumors compared with paired control tissue samples (PRC1, P=3.1×10−05; KIF14, P=3.4×10−06; CIT, P=5.2×10−05; Wilcoxon signed-rank test; Fig. 1B). PRC1 and KIF14 expression was highly significantly correlated in tumor tissues (P=1.1×10−11, ρ=0.852; Spearman correlation test) while correlations between KIF14 and CIT and PRC1 and CIT were weaker (P=0.004, ρ=0.456 and P=0.001, ρ=0.513, respectively; Spearman correlation test). All genes correlated together in the same way in control tissues. However, correlations were of lower significance (P=8.5×10−04, ρ=0.519 for PRC1 with KIF14; P=0.004, ρ=0.461, for PRC1 with CIT and P=0.046, ρ=0.326, for KIF14 with CIT; Spearman correlation test) compared with tumors. All associations except correlation of KIF14 with CIT in control tissues passed the FDR test for multiple testing (q=0.016). Data about protein expression from The Human Protein Atlas demonstrated that in general, PRC1, KIF14 and CIT were overexpressed in pancreatic carcinomas compared to normal tissues (Table SII). The above analyses suggested that all cytokinesis genes were significantly upregulated in pancreatic carcinomas compared with control tissues and that their levels mutually correlated.

Associations between gene expression levels in tumors and clinical data of patients with pancreatic cancer

PRC1, KIF14 and CIT levels in tumor samples were compared in groups of patients stratified by clinical data and survival functions. No significant associations between intra-tumoral expression of PRC1, KIF14 and CIT and individual clinical data of patients age, sex, tumor localization (head versus body or tail), pT, pN, stage, grade, angioinvasion and perineural invasion or resection margins (R0 versus R1) were observed (Table V). Expression of PRC1 or KIF14 did not associate with OS of all patients as evaluated by the gene expression median (Fig. S2A) or cutoff using the ROC analysis (Fig. S3). Notably, patients with lower expression of CIT had significantly worse OS compared with patients with higher expression level (P<0.05 for median and P<0.05 for the ROC analysis cut offs; log rank test; Fig. 3), but this result did not pass the FDR test (q=0.016). The OS of the subgroup of patients with PDAC treated with adjuvant chemotherapy (n=31) was not significantly associated with expression of PRC1, KIF14 and CIT (Fig. S2B). No significant association of expression levels with OS was observed in multivariate analyses using the Cox regression adjusted to stage (Table VI). Hence, gene expression levels were not associated with survival time in both univariate and multivariate analyses. Taken together, these analyses suggested a lack of significant associations between intra-tumoral expression of cytokinesis genes and clinical data of patients with PDAC. Transcript expression of these genes were not associated with prognosis of patients assessed by OS.

Figure 3.

Association between expression of CIT and overall survival of patients with PDAC. Kaplan-Meier survival curves were plotted for the overall survival time of patients divided into the groups above and below (A) median expression of CIT or (B) according to the ROC analysis. Dashed line represents the group with lower expression and solid line the group with higher expression levels than median. CIT, citron Rho-interacting serine/threonine kinase; PDAC, pancreatic adenocarcinoma; ROC, receiver operating curve.

Table V.

Clinical characteristics of patients with PDAC (n=48) and expression of target genes (PRC1, KIF14 and CIT).

Table V.

Clinical characteristics of patients with PDAC (n=48) and expression of target genes (PRC1, KIF14 and CIT).

PRC1KIF14CIT

Characteristicsn P-valuea (ρ value)
Age at diagnosis480.605b (0.076)0.673b (0.063)0.282b (0.158)
Sex 0.2510.2140.796
  Female26
  Male22
Primary tumor localization 0.4630.3540.154
  Head40
  Body or tail  8
Primary tumor size, location, and invasive depth (pT) 0.8520.7430.105
  pT1 or pT2  6
  pT3 or pT442
Lymph node metastasis (pN) 0.4800.6500.704
  pN019
  pN129
Pathological stage (S) 0.1800.4180.120
  SI  3
  SII or SIII45
Pathological grade (G) 0.6900.7140.126
  G1 or G231
  G3 or G417
Angioinvasion (pA) 0.9170.8420.975
  pA028
  pA120
Perineural invasion (pP) 0.0560.0790.084
  pP011
  pP137
Resection margins (R) 0.4010.7940.867
  R044
  R1  4

a The Kruskal-Wallis test

b the Spearman correlation test, ρ=correlation coefficient. PRC1, protein regulating cytokinesis 1; KIF 14, kinesin family member 14; CIT, citron Rho-interacting serine/threonine kinase; PDAC, pancreatic adenocarcinoma.

Table VI.

Stage adjusted overall survival of patients with PDAC (n=48) evaluated by Cox regression.

Table VI.

Stage adjusted overall survival of patients with PDAC (n=48) evaluated by Cox regression.

TranscriptP-valueHazard ratioa95% confidence interval
PRC10.2231.480.79-2.77
KIF140.5071.240.66-2.31
CIT0.1261.660.87-3.15

a Hazard ratio, characterizing the chance for patient's death, for low expression level. PRC1, protein regulating cytokinesis 1; KIF 14, kinesin family member 14; CIT, citron Rho-interacting serine/threonine kinase; PDAC, pancreatic adenocarcinoma.

Discussion

The present study focused on exploring whether transcript expression levels of PRC1, KIF14 and CIT correlate with prognosis of patients with colorectal and pancreatic carcinomas. Although significantly increased gene expression levels of all 3 genes in both types of carcinomas compared with control tissues was observed in the present study, no association of PRC1, KIF14 and CIT levels with DFI or OS in any of the patient groups studied was observed.

PRC1, KIF14 and CIT transcript expression is dysregulated, mainly upregulated, in several malignancies, e.g., breast, hepatocellular, bladder, prostate and ovarian cancers (21–25) and therefore, the relevance of these cytokinesis regulators for tumor initiation and progression is being intensively studied currently (36–38). Transcript levels of all 3 genes strongly correlated together in the present study further demonstrating their importance for cancer progression and potential as potential therapeutic targets.

Prognostic significance of PRC1, KIF14 and CIT has been so far reported in lung, ovarian, breast, cervical, gastric, hepatocellular, bladder and prostate cancers (21–25,39–45), however, the present study demonstrated no prognostic significance of PRC1, KIF14 and CIT for CRC and PDAC.

Strong upregulation of KIF14 transcript in tumors compared with control tissues has been previously observed in CRC in accordance with the results of the present study, however survival analysis was not investigated (46). Another study on CRC reported that CIT protein was upregulated in tumors compared with control tissues and disease-free and overall survival time were significantly poorer in patients with positive CIT protein staining in tumor tissues compared with patients with negative staining (47). In contrast, the present study observed poorer OS in patients with CRC with low intra-tumoral CIT transcript levels compared with patients with high levels, although this association did not pass the FDR test. Similarly, our earlier work demonstrated that low CIT transcript level is a negative prognostic factor in patients with ovarian carcinoma (22). According to in vitro studies, CIT functions in the late phase of cell division, early stage of mitosis and is responsible for DNA damage control (36–38). Dysregulation of CIT in several types of in vitro tumor models, e.g., breast, colorectal or cervical ones, leads to aneuploidy and chromosomal instability (CIN) (37). CIN may have various effects on the prognosis of patients, especially depending on the type of cancer and treatment, involving, e.g., genomic plasticity, inflammatory signaling, distant metastasis, immune evasion or resistance to therapy (48,49). The association of the degree of CIN and the expression of cytokinesis regulators with the clinical outcome of patients could be among the reasons for the observed discrepancies in patients with cancer. The difference between biological meaning of transcript levels and protein expression intensity represents other factor potentially explaining inconsistencies. For comparison the present study provided basic data about protein expression of PRC1, KIF14 and CIT in CRC and PDAC extracted from The Human Protein Atlas (https://www.proteinatlas.org). These data demonstrated that most of the investigated cytokinesis genes (except CIT in CRC) were upregulated in CRC and PDAC compared with normal tissues also on the protein level.

Besides a few rather small-scale experimental studies in various cancer types, e.g., breast (21), ovarian (22,40), cervical (41) and prostate (25) carcinomas, Big Data mining, from the Gene Expression Omnibus (GEO) or the Cancer Genome Atlas (TCGA) databases, using various in silico bioinformatics have demonstrated that some cytokinesis regulators may have prognostic value alone or as a part of a specific gene sets (50–52). For example, KIF14 is one of 10 genes whose low transcript expression in the GSE62452 microarray dataset, composed of 69 PDAC tumors predicted significantly poorer OS time of patients with PDAC and this was also observed in the TCGA RNASeq dataset (50). More recently, KIF14 was reported among 7 metastasis-related genes with prognostic potential based on OS time in PDAC based on 141 patients from the TCGA dataset validated with the GSE62452 dataset (51). Additionally, PRC1 is among 10 other genes whose signature predicts OS time and 12 genes predicting disease-free survival time of patients with PDAC based on in silico analysis of data of 77 patients with PDAC from 3 GEO datasets (52). High intra-tumoral CIT transcript level alone was recently identified as poor prognosis predictor (both OS and disease-free survival time) in PDAC through analysis of 178 patients from the TCGA dataset using the Gene Expression Profiling Interactive Analysis online tool (53). In light of a recent study that almost 20% of samples in the TCGA dataset corresponded to normal or other than PDAC tissues and mainly that vast majority of genes lost prognostic significance after cohort curation (54), caution in performing in silico studies and mainly continuous verification of data in well characterized sample sets is necessary. The present study provided results acquired by analyzing cohorts of patients recruited in single center setting, hence reducing heterogeneity in clinical data reporting. Sample collection proceeded using long-term established logistics with minimum time-lapse between surgical specimen removal and processing including storage at low temperature in the present study. Sample processing, RT-qPCR analysis and evaluation of results are also standardized and maintained over long period (26,29,30). The control of these conditions in multicenter settings is very difficult if at all possible (55) suggesting that the exploitation of prognostic information in future precision medicine will rely on both single center and multicenter approaches.

The present study had several limitations. Modest sample size of the present study was a limitation. This was unavoidable considering 15–20% resection rate of PDAC (56). Additionally, archival formalin fixed paraffin embedded tissue samples are not suitable for analysis due to the poor RNA integrity. The study of transcript levels rather than protein expression is another limitation of the present study. The clinical relevance of protein analysis is obvious, i.e., it is routinely used for assessment of receptors or markers of proliferation. On the other hand, semi-quantitative immunohistochemistry reflects just protein level and not enzymatic activity (57). The issue of availability, specificity and selectivity of antibodies, variations in normalization of results and complexity of gene expression regulation frequently cause a lack of association between mRNA and protein levels and hence, they should be considered as independent markers (58). Therefore, separate future studies should investigate the roles of protein levels and potentially functional aspects of cytokinesis in PDAC and CRC.

In conclusion, the present study demonstrated upregulation and strong association of transcript levels of major cytokinesis regulators PRC1, KIF14 and CIT in tumors from patients with CRC and PDAC without relevant prognostic significance. Hence according to the results of the present study, transcript levels of these genes cannot be clinically exploited as prognostic biomarkers in patients with colorectal or pancreatic cancer.

Supplementary Material

Supporting Data

Acknowledgements

The authors would like to thank Associate Professor Eva Honsova from the Department of Clinical and Transplantation Pathology, Institute for Clinical and Experimental Medicine, Prague, Czech Republic and Dr Jan Mazanec from the Department of Pathology, Hospital Brno and Faculty of Medicine, Masaryk University, Brno, Czech Republic for help with sample preparation and tumor cell content assessment in pancreatic cancer specimens.

Funding

This work was supported by the Czech Medical Council (grant. no. NV19-08-00113 to PS), the Grant Agency of Charles University (grant. no. UNCE/MED/006 to VL), and by the Ministry of Education, Youth and Sports of the Czech Republic (grant. no. CZ.02.1.01/0.0/0.0/16_019/000 787 awarded by the MEYS CR, financed from EFRR to VB).

Availability of data and materials

The datasets used and/or analyzed during the current study are available from the corresponding author on reasonable request.

Authors' contributions

PS, VL, MO and ZK were responsible for the general supervision of the study. PS and VB were responsible for study conceptualization. PS, VH, IK, and VB were responsible for experimental data analysis and interpretation. JR, RP, VL, MO, ZK, and BD were responsible for acquisition of clinical data. PS and VB drafted the manuscript. VH, VB, JR, RP, VL, MO, ZK, BD, IK and PS revised the manuscript for important intellectual content. PS and VL confirmed the authenticity of all the raw data. All authors have read and approved the manuscript and agreed to be accountable for all aspects of the work.

Ethics approval and consent to participate

The present study conformed with the Code of Ethics of the World Medical Association (Declaration of Helsinki, 1964). Study protocol was approved by the Ethical Commission of the Medical Faculty and Teaching Hospital in Pilsen (Pilsen, Czech Republic) (approval. no. IGA 10230-3, 2nd September 2008), the Institutional Review Boards of the Institute of Clinical and Experimental Medicine (Prague, Czech Republic) and the University Hospital Brno (Brno, Czech Republic) (approval received in the process of application of research project. no. GA CR P304/10/0338, 4th May 2009). Written informed consent was obtained from all individual participants included in the study.

Patient consent for publication

Not applicable.

Competing interests

The authors declare that they have no competing interests.

References

1 

Dekker E, Tanis PJ, Vleugels JLA, Kasi PM and Wallace MB: Colorectal cancer. Lancet. 394:1467–1480. 2019. View Article : Google Scholar : PubMed/NCBI

2 

World Health Organization (WHO), . Cancer fact sheets. WHO; Geneva: 2021, https://gco.iarc.fr/today/fact-sheets-cancersApril 12–2021

3 

National Cancer Institute (NCI), . Cancer Stat Facts: Colorectal Cancer. NCI; Bethesda, MD: 2021, https://seer.cancer.gov/statfacts/html/colorect.htmlOctober 10–2020

4 

Rahib L, Smith BD, Aizenberg R, Rosenzweig AB, Fleshman JM and Matrisian LM: Projecting cancer incidence and deaths to 2030: The unexpected burden of thyroid, liver, and pancreas cancers in the United States. Cancer Res. 74:2913–2921. 2014. View Article : Google Scholar : PubMed/NCBI

5 

Conroy T, Hammel P, Hebbar M, Ben Abdelghani M, Wei AC, Raoul JL, Choné L, Francois E, Artru P, Biagi JJ, et al: FOLFIRINOX or gemcitabine as adjuvant therapy for pancreatic cancer. N Engl J Med. 379:2395–2406. 2018. View Article : Google Scholar : PubMed/NCBI

6 

De Dosso S, Siebenhüner AR, Winder T, Meisel A, Fritsch R, Astaras C, Szturz P and Borner M: Treatment landscape of metastatic pancreatic cancer. Cancer Treat Rev. 96:1021802021. View Article : Google Scholar : PubMed/NCBI

7 

Fededa JP and Gerlich DW: Molecular control of animal cell cytokinesis. Nat Cell Biol. 14:440–447. 2012. View Article : Google Scholar : PubMed/NCBI

8 

Gruneberg U, Neef R, Li X, Chan EH, Chalamalasetty RB, Nigg EA and Barr FA: KIF14 and citron kinase act together to promote efficient cytokinesis. J Cell Biol. 172:363–372. 2006. View Article : Google Scholar : PubMed/NCBI

9 

Lens SMA and Medema RH: Cytokinesis defects and cancer. Nat Rev Cancer. 19:32–45. 2019. View Article : Google Scholar : PubMed/NCBI

10 

Jiang W, Jimenez G, Wells NJ, Hope TJ, Wahl GM, Hunter T and Fukunaga R: PRC1: A human mitotic spindle-associated CDK substrate protein required for cytokinesis. Mol Cell. 2:877–885. 1998. View Article : Google Scholar : PubMed/NCBI

11 

Mollinari C, Kleman JP, Jiang W, Schoehn G, Hunter T and Margolis RL: PRC1 is a microtubule binding and bundling protein essential to maintain the mitotic spindle midzone. J Cell Biol. 1570:1175–1186. 2002. View Article : Google Scholar : PubMed/NCBI

12 

Miki H, Okada Y and Hirokawa N: Analysis of the kinesin superfamily: Insights into structure and function. Trends Cell Biol. 15:467–476. 2005. View Article : Google Scholar : PubMed/NCBI

13 

Kurasawa Y, Earnshaw WC, Mochizuki Y, Dohmae N and Todokoro K: Essential roles of KIF4 and its binding partner PRC1 in organized central spindle midzone formation. EMBO J. 23:3237–3248. 2004. View Article : Google Scholar : PubMed/NCBI

14 

Wordeman L: How kinesin motor proteins drive mitotic spindle function: Lessons from molecular assays. Semin Cell Dev Biol. 21:260–268. 2010. View Article : Google Scholar : PubMed/NCBI

15 

Hammond JW, Cai D, Blasius TL, Li Z, Jiang Y, Jih GT, Meyhofer E and Verhey KJ: Mammalian Kinesin-3 motors are dimeric in vivo and move by processive motility upon release of autoinhibition. PLoS Biol. 7:e722009. View Article : Google Scholar : PubMed/NCBI

16 

Singel SM, Cornelius C, Zaganjor E, Batten K, Sarode VR, Buckley DL, Peng Y, John GB, Li HC, Sadeghi N, et al: KIF14 promotes AKT phosphorylation and contributes to chemoresistance in triple-negative breast cancer. Neoplasia. 16:247–256. 2014. View Article : Google Scholar : PubMed/NCBI

17 

Carleton M, Mao M, Biery M, Warrener P, Kim S, Buser C, Marshall CG, Fernandes C, Annis J and Linsley PS: RNA interference-mediated silencing of mitotic kinesin KIF14 disrupts cell cycle progression and induces cytokinesis failure. Mol Cell Biol. 26:3853–3863. 2006. View Article : Google Scholar : PubMed/NCBI

18 

Gai M, Camera P, Dema A, Bianchi F, Berto G, Scarpa E, Germena G and Di Cunto F: Citron kinase controls abscission through RhoA and anillin. Mol Biol Cell. 22:3768–3778. 2011. View Article : Google Scholar : PubMed/NCBI

19 

Bassi ZI, Audusseau M, Riparbelli MG, Callaini G and D'Avino PP: Citron kinase controls a molecular network required for midbody formation in cytokinesis. Proc Natl Acad Sci USA. 110:9782–9787. 2013. View Article : Google Scholar : PubMed/NCBI

20 

Gai M, Bianchi FT, Vagnoni C, Vernì F, Bonaccorsi S, Pasquero S, Berto GE, Sgrò F, Chiotto AA, Annaratone L, et al: ASPM and CITK regulate spindle orientation by affecting the dynamics of astral microtubules. EMBO Rep. 18:18702017. View Article : Google Scholar : PubMed/NCBI

21 

Brynychova V, Ehrlichova M, Hlavac V, Nemcova-Furstova V, Pecha V, Leva J, Trnkova M, Mrhalova M, Kodet R, Vrana D, et al: Genetic and functional analyses do not explain the association of high PRC1 expression with poor survival of breast carcinoma patients. Biomed Pharmacother. 83:857–864. 2016. View Article : Google Scholar : PubMed/NCBI

22 

Ehrlichova M, Mohelnikova-Duchonova B, Hrdy J, Brynychova V, Mrhalova M, Kodet R, Rob L, Pluta M, Gut I, Soucek P and Vaclavikova R: The association of taxane resistance genes with the clinical course of ovarian carcinoma. Genomics. 102:96–101. 2013. View Article : Google Scholar : PubMed/NCBI

23 

Li X, Huang W, Huang W, Wei T, Zhu W, Chen G and Zhang J: Kinesin family members KIF2C/4A/10/11/14/18B/20A/23 predict poor prognosis and promote cell proliferation in hepatocellular carcinoma. Am J Transl Res. 12:1614–1639. 2020.PubMed/NCBI

24 

Shou J, Yu C, Zhang D and Zhang Q: Overexpression of citron rho-interacting serine/threonine kinase associated with poor outcome in bladder cancer. J Cancer. 11:4173–4180. 2020. View Article : Google Scholar : PubMed/NCBI

25 

Liu J, Dou J, Wang W, Liu H, Qin Y, Yang Q, Jiang W, Liang Y, Liu Y, He J, et al: High expression of citron kinase predicts poor prognosis of prostate cancer. Oncol Lett. 19:1815–1823. 2020.PubMed/NCBI

26 

Hlavata I, Mohelnikova-Duchonova B, Vaclavikova R, Liska V, Pitule P, Novak P, Bruha J, Vycital O, Holubec L, Treska V, et al: The role of ABC transporters in progression and clinical outcome of colorectal cancer. Mutagenesis. 27:187–196. 2012. View Article : Google Scholar : PubMed/NCBI

27 

Sobin LH and Wittekind C: TNM Classification of Malignant Tumors. 6th edition. Wiley-Liss; New York, NY: 2002

28 

Therasse P, Eisenhauer EA and Verweij J: RECIST revisited: A review of validation studies on tumour assessment. Eur J Cancer. 42:1031–1039. 2006. View Article : Google Scholar : PubMed/NCBI

29 

Mohelnikova-Duchonova B, Kocik M, Duchonova B, Brynychova V, Oliverius M, Hlavsa J, Honsova E, Mazanec J, Kala Z, Ojima I, et al: Hedgehog pathway overexpression in pancreatic cancer is abrogated by new-generation taxoid SB-T-1216. Pharmacogenomics J. 17:452–460. 2017. View Article : Google Scholar : PubMed/NCBI

30 

Mohelnikova-Duchonova B, Oliverius M, Honsova E and Soucek P: Evaluation of reference genes and normalization strategy for quantitative real-time PCR in human pancreatic carcinoma. Dis Markers. 32:203–210. 2012. View Article : Google Scholar : PubMed/NCBI

31 

Soucek P, Anzenbacher P, Skoumalová I and Dvorák M: Expression of cytochrome P450 genes in CD34+ hematopoietic stem and progenitor cells. Stem Cells. 23:1417–1422. 2005. View Article : Google Scholar : PubMed/NCBI

32 

Livak KJ and Schmittgen TD: Analysis of relative gene expression data using real-time quantitative PCR and the 2(-Delta Delta C(T)) method. Methods. 25:402–408. 2001. View Article : Google Scholar : PubMed/NCBI

33 

Bustin SA, Benes V, Garson JA, Hellemans J, Huggett J, Kubista M, Mueller R, Nolan T, Pfaffl MW, Shipley GL, et al: The MIQE guidelines: minimum information for publication of quantitative real-time PCR experiments. Clin Chem. 55:611–622. 2009. View Article : Google Scholar : PubMed/NCBI

34 

Fekete J and Gyorffy B: ROCplot.org: Validating predictive biomarkers of chemotherapy/hormonal therapy/anti-HER2 therapy using transcriptomic data of 3,104 breast cancer patients. Int J Cancer. 145:3140–3151. 2019. View Article : Google Scholar : PubMed/NCBI

35 

Benjamini Y and Hochberg Y: Controlling the false discovery rate: A practical and powerful approach to multiple testing. J R Stat Soc Series B Stat Methodol. 57:289–300. 1995.

36 

Li J, Dallmayer M, Kirchner T, Musa J and Grünewald TGP: PRC1: Linking cytokinesis, chromosomal instability, and cancer evolution. Trends Cancer. 2018:59–73. 2018. View Article : Google Scholar : PubMed/NCBI

37 

D'Avino PP: Citron kinase-renaissance of a neglected mitotic kinase. J Cell Sci. 130:1701–1708. 2017.

38 

Bianchi FT, Tocco C, Pallavicini G, Liu Y, Vernì F, Merigliano C, Bonaccorsi S, El-Assawy N, Priano L, Gai M, et al: Citron kinase deficiency leads to chromosomal instability and TP53-sensitive microcephaly. Cell Rep. 18:1674–1686. 2017. View Article : Google Scholar : PubMed/NCBI

39 

Corson TW, Zhu CQ, Lau SK, Shepherd FA, Tsao MS and Gallie BL: KIF14 messenger RNA expression is independently prognostic for outcome in lung cancer. Clin Cancer Res. 13:3229–3234. 2007. View Article : Google Scholar : PubMed/NCBI

40 

Thériault BL, Pajovic S, Bernardini MQ, Shaw PA and Gallie BL: Kinesin family member 14: An independent prognostic marker and potential therapeutic target for ovarian cancer. Int J Cancer. 130:1844–1854. 2012. View Article : Google Scholar

41 

Wang W, Shi Y, Li J, Cui W and Yang B: Up-regulation of KIF14 is a predictor of poor survival and a novel prognostic biomarker of chemoresistance to paclitaxel treatment in cervical cancer. Biosci Rep. 36:e003152016. View Article : Google Scholar : PubMed/NCBI

42 

Yang Z, Li C, Yan C, Li J, Yan M, Liu B, Zhu Z, Wu Y and Gu Q: KIF14 promotes tumor progression and metastasis and is an independent predictor of poor prognosis in human gastric cancer. Biochim Biophys Acta Mol Basis Dis. 1865:181–192. 2019. View Article : Google Scholar : PubMed/NCBI

43 

Chen J, Rajasekaran M, Xia H, Zhang X, Kong SN, Sekar K, Seshachalam VP, Deivasigamani A, Goh BK, Ooi LL, et al: The microtubule-associated protein PRC1 promotes early recurrence of hepatocellular carcinoma in association with the Wnt/β-catenin signalling pathway. Gut. 65:1522–1534. 2016. View Article : Google Scholar : PubMed/NCBI

44 

Wang Y, Shi F, Xing GH, Xie P, Zhao N, Yin YF, Sun SY, He J, Wang Y and Xuan SY: Protein regulator of cytokinesis PRC1 confers chemoresistance and predicts an unfavorable postoperative survival of hepatocellular carcinoma patients. J Cancer. 8:801–808. 2017. View Article : Google Scholar : PubMed/NCBI

45 

Bu H, Li Y, Jin C, Yu H, Wang X, Chen J, Wang Y, Ma Y, Zhang Y and Kong B: Overexpression of PRC1 indicates a poor prognosis in ovarian cancer. Int J Oncol. 56:685–696. 2020.PubMed/NCBI

46 

Wang ZZ, Yang J, Jiang BH, Di JB, Gao P, Peng L and Su XQ: KIF14 promotes cell proliferation via activation of Akt and is directly targeted by miR-200c in colorectal cancer. Int J Oncol. 53:1939–1952. 2018.PubMed/NCBI

47 

Wu Z, Zhu X, Xu W, Zhang Y, Chen L, Qiu F, Zhang B, Wu L, Peng Z and Tang H: Up-regulation of CIT promotes the growth of colon cancer cells. Oncotarget. 8:71954–71964. 2017. View Article : Google Scholar : PubMed/NCBI

48 

Birkbak NJ, Eklund AC, Li Q, McClelland SE, Endesfelder D, Tan P, Tan IB, Richardson AL, Szallasi Z and Swanton C: Paradoxical relationship between chromosomal instability and survival outcome in cancer. Cancer Res. 71:3447–3452. 2011. View Article : Google Scholar : PubMed/NCBI

49 

Bakhoum SF and Cantley LC: The multifaceted role of chromosomal instability in cancer and its microenvironment. Cell. 174:1347–1360. 2018. View Article : Google Scholar : PubMed/NCBI

50 

Zhou Z, Cheng Y, Jiang Y, Liu S, Zhang M, Liu J and Zhao Q: Ten hub genes associated with progression and prognosis of pancreatic carcinoma identified by co-expression analysis. Int J Biol Sci. 14:124–136. 2018. View Article : Google Scholar : PubMed/NCBI

51 

Wu M, Li X, Liu R, Yuan H, Liu W and Liu Z: Development and validation of a metastasis-related gene signature for predicting the overall survival in patients with pancreatic ductal adenocarcinoma. J Cancer. 11:6299–6318. 2020. View Article : Google Scholar : PubMed/NCBI

52 

Jin D, Jiao Y, Ji J, Jiang W, Ni W, Wu Y, Ni R, Lu C, Qu L, Ni H, et al: Identification of prognostic risk factors for pancreatic cancer using bioinformatics analysis. PeerJ. 8:e93012020. View Article : Google Scholar : PubMed/NCBI

53 

Cong L, Bai Z, Du Y and Cheng Y: Citron rho-interacting serine/threonine kinase promotes HIF1a-CypA signaling and growth of human pancreatic adenocarcinoma. Biomed Res Int. 2020:92108912020. View Article : Google Scholar : PubMed/NCBI

54 

Nicolle R, Raffenne J, Paradis V, Couvelard A, de Reynies A, Blum Y and Cros J: Prognostic biomarkers in pancreatic cancer: Avoiding errata when using the TCGA dataset. Cancers (Basel). 11:1262019. View Article : Google Scholar : PubMed/NCBI

55 

Wittel UA, Lubgan D, Ghadimi M, Belyaev O, Uhl W, Bechstein WO, Grützmann R, Hohenberger WM, Schmid A, Jacobasch L, et al: Consensus in determining the resectability of locally progressed pancreatic ductal adenocarcinoma-results of the Conko-007 multicenter trial. BMC Cancer. 19:9792019. View Article : Google Scholar : PubMed/NCBI

56 

Rush A, Spring K and Byrne JA: A critical analysis of cancer biobank practices in relation to biospecimen quality. Biophys Rev. 7:369–378. 2015. View Article : Google Scholar : PubMed/NCBI

57 

Wittel UA, Lubgan D, Ghadimi M, Belyaev O, Uhl W, Bechstein WO, Grützmann R, Hohenberger WM, Schmid A, Jacobasch L, et al: Consensus in determining the resectability of locally progressed pancreatic ductal adenocarcinoma-results of the Conko-007 multicenter trial. BMC Cancer. 19:9792019. View Article : Google Scholar : PubMed/NCBI

58 

O'Hurley G, Sjöstedt E, Rahman A, Li B, Kampf C, Pontén F, Gallagher WM and Lindskog C: Garbage in, garbage out: A critical evaluation of strategies used for validation of immunohistochemical biomarkers. Mol Oncol. 8:783–798. 2014. View Article : Google Scholar

59 

Maier T, Guell M and Serrano L: Correlation of mRNA and protein in complex biological samples. FEBS Lett. 583:3966–3973. 2009. View Article : Google Scholar : PubMed/NCBI

Related Articles

  • Abstract
  • View
  • Download
  • Twitter
Copy and paste a formatted citation
Spandidos Publications style
Hanicinec V, Brynychova V, Rosendorf J, Palek R, Liska V, Oliverius M, Kala Z, Mohelnikova‑Duchonova B, Krus I, Soucek P, Soucek P, et al: Gene expression of cytokinesis regulators <em>PRC1</em>, <em>KIF14</em> and <em>CIT</em> has no prognostic role in colorectal and pancreatic cancer. Oncol Lett 22: 598, 2021.
APA
Hanicinec, V., Brynychova, V., Rosendorf, J., Palek, R., Liska, V., Oliverius, M. ... Soucek, P. (2021). Gene expression of cytokinesis regulators <em>PRC1</em>, <em>KIF14</em> and <em>CIT</em> has no prognostic role in colorectal and pancreatic cancer. Oncology Letters, 22, 598. https://doi.org/10.3892/ol.2021.12859
MLA
Hanicinec, V., Brynychova, V., Rosendorf, J., Palek, R., Liska, V., Oliverius, M., Kala, Z., Mohelnikova‑Duchonova, B., Krus, I., Soucek, P."Gene expression of cytokinesis regulators <em>PRC1</em>, <em>KIF14</em> and <em>CIT</em> has no prognostic role in colorectal and pancreatic cancer". Oncology Letters 22.2 (2021): 598.
Chicago
Hanicinec, V., Brynychova, V., Rosendorf, J., Palek, R., Liska, V., Oliverius, M., Kala, Z., Mohelnikova‑Duchonova, B., Krus, I., Soucek, P."Gene expression of cytokinesis regulators <em>PRC1</em>, <em>KIF14</em> and <em>CIT</em> has no prognostic role in colorectal and pancreatic cancer". Oncology Letters 22, no. 2 (2021): 598. https://doi.org/10.3892/ol.2021.12859
Copy and paste a formatted citation
x
Spandidos Publications style
Hanicinec V, Brynychova V, Rosendorf J, Palek R, Liska V, Oliverius M, Kala Z, Mohelnikova‑Duchonova B, Krus I, Soucek P, Soucek P, et al: Gene expression of cytokinesis regulators <em>PRC1</em>, <em>KIF14</em> and <em>CIT</em> has no prognostic role in colorectal and pancreatic cancer. Oncol Lett 22: 598, 2021.
APA
Hanicinec, V., Brynychova, V., Rosendorf, J., Palek, R., Liska, V., Oliverius, M. ... Soucek, P. (2021). Gene expression of cytokinesis regulators <em>PRC1</em>, <em>KIF14</em> and <em>CIT</em> has no prognostic role in colorectal and pancreatic cancer. Oncology Letters, 22, 598. https://doi.org/10.3892/ol.2021.12859
MLA
Hanicinec, V., Brynychova, V., Rosendorf, J., Palek, R., Liska, V., Oliverius, M., Kala, Z., Mohelnikova‑Duchonova, B., Krus, I., Soucek, P."Gene expression of cytokinesis regulators <em>PRC1</em>, <em>KIF14</em> and <em>CIT</em> has no prognostic role in colorectal and pancreatic cancer". Oncology Letters 22.2 (2021): 598.
Chicago
Hanicinec, V., Brynychova, V., Rosendorf, J., Palek, R., Liska, V., Oliverius, M., Kala, Z., Mohelnikova‑Duchonova, B., Krus, I., Soucek, P."Gene expression of cytokinesis regulators <em>PRC1</em>, <em>KIF14</em> and <em>CIT</em> has no prognostic role in colorectal and pancreatic cancer". Oncology Letters 22, no. 2 (2021): 598. https://doi.org/10.3892/ol.2021.12859
Follow us
  • Twitter
  • LinkedIn
  • Facebook
About
  • Spandidos Publications
  • Careers
  • Cookie Policy
  • Privacy Policy
How can we help?
  • Help
  • Live Chat
  • Contact
  • Email to our Support Team