Spandidos Publications Logo
  • About
    • About Spandidos
    • Aims and Scopes
    • Abstracting and Indexing
    • Editorial Policies
    • Reprints and Permissions
    • Job Opportunities
    • Terms and Conditions
    • Contact
  • Journals
    • All Journals
    • Oncology Letters
      • Oncology Letters
      • Information for Authors
      • Editorial Policies
      • Editorial Board
      • Aims and Scope
      • Abstracting and Indexing
      • Bibliographic Information
      • Archive
    • International Journal of Oncology
      • International Journal of Oncology
      • Information for Authors
      • Editorial Policies
      • Editorial Board
      • Aims and Scope
      • Abstracting and Indexing
      • Bibliographic Information
      • Archive
    • Molecular and Clinical Oncology
      • Molecular and Clinical Oncology
      • Information for Authors
      • Editorial Policies
      • Editorial Board
      • Aims and Scope
      • Abstracting and Indexing
      • Bibliographic Information
      • Archive
    • Experimental and Therapeutic Medicine
      • Experimental and Therapeutic Medicine
      • Information for Authors
      • Editorial Policies
      • Editorial Board
      • Aims and Scope
      • Abstracting and Indexing
      • Bibliographic Information
      • Archive
    • International Journal of Molecular Medicine
      • International Journal of Molecular Medicine
      • Information for Authors
      • Editorial Policies
      • Editorial Board
      • Aims and Scope
      • Abstracting and Indexing
      • Bibliographic Information
      • Archive
    • Biomedical Reports
      • Biomedical Reports
      • Information for Authors
      • Editorial Policies
      • Editorial Board
      • Aims and Scope
      • Abstracting and Indexing
      • Bibliographic Information
      • Archive
    • Oncology Reports
      • Oncology Reports
      • Information for Authors
      • Editorial Policies
      • Editorial Board
      • Aims and Scope
      • Abstracting and Indexing
      • Bibliographic Information
      • Archive
    • Molecular Medicine Reports
      • Molecular Medicine Reports
      • Information for Authors
      • Editorial Policies
      • Editorial Board
      • Aims and Scope
      • Abstracting and Indexing
      • Bibliographic Information
      • Archive
    • World Academy of Sciences Journal
      • World Academy of Sciences Journal
      • Information for Authors
      • Editorial Policies
      • Editorial Board
      • Aims and Scope
      • Abstracting and Indexing
      • Bibliographic Information
      • Archive
    • International Journal of Functional Nutrition
      • International Journal of Functional Nutrition
      • Information for Authors
      • Editorial Policies
      • Editorial Board
      • Aims and Scope
      • Abstracting and Indexing
      • Bibliographic Information
      • Archive
    • International Journal of Epigenetics
      • International Journal of Epigenetics
      • Information for Authors
      • Editorial Policies
      • Editorial Board
      • Aims and Scope
      • Abstracting and Indexing
      • Bibliographic Information
      • Archive
    • Medicine International
      • Medicine International
      • Information for Authors
      • Editorial Policies
      • Editorial Board
      • Aims and Scope
      • Abstracting and Indexing
      • Bibliographic Information
      • Archive
  • Articles
  • Information
    • Information for Authors
    • Information for Reviewers
    • Information for Librarians
    • Information for Advertisers
    • Conferences
  • Language Editing
Spandidos Publications Logo
  • About
    • About Spandidos
    • Aims and Scopes
    • Abstracting and Indexing
    • Editorial Policies
    • Reprints and Permissions
    • Job Opportunities
    • Terms and Conditions
    • Contact
  • Journals
    • All Journals
    • Biomedical Reports
      • Information for Authors
      • Editorial Policies
      • Editorial Board
      • Aims and Scope
      • Abstracting and Indexing
      • Bibliographic Information
      • Archive
    • Experimental and Therapeutic Medicine
      • Information for Authors
      • Editorial Policies
      • Editorial Board
      • Aims and Scope
      • Abstracting and Indexing
      • Bibliographic Information
      • Archive
    • International Journal of Epigenetics
      • Information for Authors
      • Editorial Policies
      • Editorial Board
      • Aims and Scope
      • Abstracting and Indexing
      • Bibliographic Information
      • Archive
    • International Journal of Functional Nutrition
      • Information for Authors
      • Editorial Policies
      • Editorial Board
      • Aims and Scope
      • Abstracting and Indexing
      • Bibliographic Information
      • Archive
    • International Journal of Molecular Medicine
      • Information for Authors
      • Editorial Policies
      • Editorial Board
      • Aims and Scope
      • Abstracting and Indexing
      • Bibliographic Information
      • Archive
    • International Journal of Oncology
      • Information for Authors
      • Editorial Policies
      • Editorial Board
      • Aims and Scope
      • Abstracting and Indexing
      • Bibliographic Information
      • Archive
    • Medicine International
      • Information for Authors
      • Editorial Policies
      • Editorial Board
      • Aims and Scope
      • Abstracting and Indexing
      • Bibliographic Information
      • Archive
    • Molecular and Clinical Oncology
      • Information for Authors
      • Editorial Policies
      • Editorial Board
      • Aims and Scope
      • Abstracting and Indexing
      • Bibliographic Information
      • Archive
    • Molecular Medicine Reports
      • Information for Authors
      • Editorial Policies
      • Editorial Board
      • Aims and Scope
      • Abstracting and Indexing
      • Bibliographic Information
      • Archive
    • Oncology Letters
      • Information for Authors
      • Editorial Policies
      • Editorial Board
      • Aims and Scope
      • Abstracting and Indexing
      • Bibliographic Information
      • Archive
    • Oncology Reports
      • Information for Authors
      • Editorial Policies
      • Editorial Board
      • Aims and Scope
      • Abstracting and Indexing
      • Bibliographic Information
      • Archive
    • World Academy of Sciences Journal
      • Information for Authors
      • Editorial Policies
      • Editorial Board
      • Aims and Scope
      • Abstracting and Indexing
      • Bibliographic Information
      • Archive
  • Articles
  • Information
    • For Authors
    • For Reviewers
    • For Librarians
    • For Advertisers
    • Conferences
  • Language Editing
Login Register Submit
  • This site uses cookies
  • You can change your cookie settings at any time by following the instructions in our Cookie Policy. To find out more, you may read our Privacy Policy.

    I agree
Search articles by DOI, keyword, author or affiliation
Search
Advanced Search
presentation
Oncology Letters
Join Editorial Board Propose a Special Issue
Print ISSN: 1792-1074 Online ISSN: 1792-1082
Journal Cover
October-2022 Volume 24 Issue 4

Full Size Image

Sign up for eToc alerts
Recommend to Library

Journals

International Journal of Molecular Medicine

International Journal of Molecular Medicine

International Journal of Molecular Medicine is an international journal devoted to molecular mechanisms of human disease.

International Journal of Oncology

International Journal of Oncology

International Journal of Oncology is an international journal devoted to oncology research and cancer treatment.

Molecular Medicine Reports

Molecular Medicine Reports

Covers molecular medicine topics such as pharmacology, pathology, genetics, neuroscience, infectious diseases, molecular cardiology, and molecular surgery.

Oncology Reports

Oncology Reports

Oncology Reports is an international journal devoted to fundamental and applied research in Oncology.

Experimental and Therapeutic Medicine

Experimental and Therapeutic Medicine

Experimental and Therapeutic Medicine is an international journal devoted to laboratory and clinical medicine.

Oncology Letters

Oncology Letters

Oncology Letters is an international journal devoted to Experimental and Clinical Oncology.

Biomedical Reports

Biomedical Reports

Explores a wide range of biological and medical fields, including pharmacology, genetics, microbiology, neuroscience, and molecular cardiology.

Molecular and Clinical Oncology

Molecular and Clinical Oncology

International journal addressing all aspects of oncology research, from tumorigenesis and oncogenes to chemotherapy and metastasis.

World Academy of Sciences Journal

World Academy of Sciences Journal

Multidisciplinary open-access journal spanning biochemistry, genetics, neuroscience, environmental health, and synthetic biology.

International Journal of Functional Nutrition

International Journal of Functional Nutrition

Open-access journal combining biochemistry, pharmacology, immunology, and genetics to advance health through functional nutrition.

International Journal of Epigenetics

International Journal of Epigenetics

Publishes open-access research on using epigenetics to advance understanding and treatment of human disease.

Medicine International

Medicine International

An International Open Access Journal Devoted to General Medicine.

Journal Cover
October-2022 Volume 24 Issue 4

Full Size Image

Sign up for eToc alerts
Recommend to Library

  • Article
  • Citations
    • Cite This Article
    • Download Citation
    • Create Citation Alert
    • Remove Citation Alert
    • Cited By
  • Similar Articles
    • Related Articles (in Spandidos Publications)
    • Similar Articles (Google Scholar)
    • Similar Articles (PubMed)
  • Download PDF
  • Download XML
  • View XML

  • Supplementary Files
    • Supplementary_Data.pdf
Article Open Access

Effect of bacterium in the malignant wounds of soft tissue sarcoma

  • Authors:
    • Eiji Nakata
    • Tomohiro Fujiwara
    • Haruyoshi Katayama
    • Takuto Itano
    • Toshiyuki Kunisada
    • Toshifumi Ozaki
  • View Affiliations / Copyright

    Affiliations: Department of Orthopedic Surgery, Okayama University Hospital, Okayama, Okayama 700‑8558, Japan
    Copyright: © Nakata et al. This is an open access article distributed under the terms of Creative Commons Attribution License.
  • Article Number: 345
    |
    Published online on: August 17, 2022
       https://doi.org/10.3892/ol.2022.13465
  • Expand metrics +
Metrics: Total Views: 0 (Spandidos Publications: | PMC Statistics: )
Metrics: Total PDF Downloads: 0 (Spandidos Publications: | PMC Statistics: )
Cited By (CrossRef): 0 citations Loading Articles...

This article is mentioned in:



Abstract

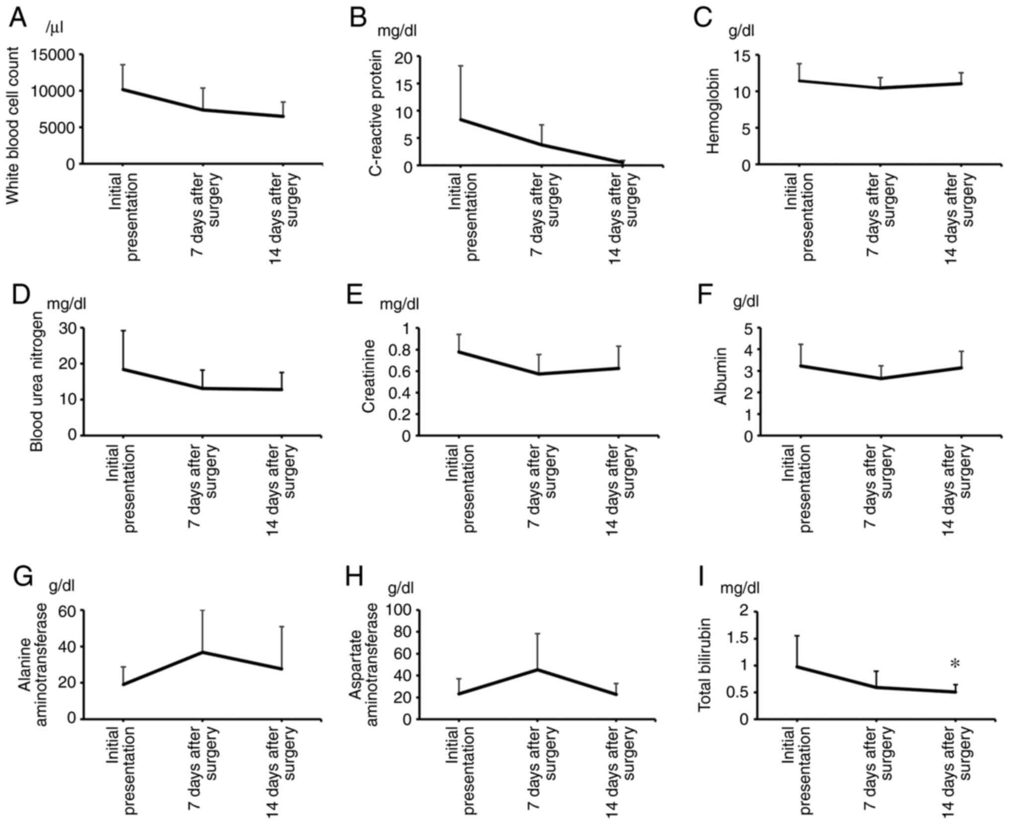
Malignant wounds (MWs) are rare skin lesions, which accompany ulceration, necrosis and infection caused by infiltration or damage by malignant tumor. The present study aimed to investigate the bacterial etiology implicated in MW in soft tissue sarcoma (STS), and the effectiveness of culture‑guided perioperative antibacterial administration. A retrospective evaluation was conducted on medical records of patients who presented with MW between 2006 and 2020. A total of seven patients were included in the present study, in whom all tumors were relatively large (>5 cm) and high‑grade. Subsequently, five patients underwent limb‑sparing surgery, and three patients had distant metastases with a 5‑year overall survival of 71%. Preoperative microbiological sampling from the wound identified 11 different bacterial strains in five patients. The infections were polymicrobial with an average of 2.6 strains isolated per patient (1 aerobic, 1.6 anaerobic bacteria). They were predominantly methicillin‑sensitive Staphylococcus aureus. Patients with MWs from STS reported symptoms, including bleeding (71%), exudation (71%) and malodorous wound (43%) at the initial presentation; these completely resolved after surgery. All but one patient reported pain at the MW site with an average numeric rating scale of 4.4 at presentation that decreased to 1.4 (P=0.14) and 0.6 (P=0.04) one and two weeks after surgery, respectively. The patients had elevated C‑reactive protein (71%), anemia (57%), low albumin (86%) and renal/liver dysfunction (14‑29%). One patient was diagnosed with sepsis. Surgical resection afforded symptomatic relief and resolution of abnormal laboratory values. Although selected antibiotics were administered in four patients based on the preoperative antibiotic sensitivity test, surgical site infection (SSI) occurred in three patients. Therefore, the effectiveness of the selected antibiotics based on the results of the preoperative culture in preventing SSI needs to be investigated in the future. In conclusion, physicians should keep in mind that although surgical resection can improve the symptoms and abnormal values in laboratory examination form MW, it is accompanied with a high rate of SSI and poor prognosis.
View Figures

Figure 1

Figure 2

Figure 3

Figure 4

View References

1 

Alexander S: Malignant fungating wounds: Epidemiology, aetiology, presentation and assessment. J Wound Care. 18:273–274. 2009. View Article : Google Scholar : PubMed/NCBI

2 

Alvarez O, Kalinski C, Nusbaum J, Hernandez L, Pappous E, Kyriannis C, Parker R, Chrzanowski G and Comfort CP: Incorporating wound healing strategies to improve palliation (symptom management) in patients with chronic wounds. J Palliat Med. 10:1161–1189. 2007. View Article : Google Scholar : PubMed/NCBI

3 

Vardhan M, Flaminio Z, Sapru S, Tilley CP, Fu MR, Comfort C, Li X and Saxena D: The microbiome, malignant fungating wounds, and palliative care. Front Cell Infect Microbiol. 9:3732019. View Article : Google Scholar : PubMed/NCBI

4 

Fromantin I, Seyer D, Watson S, Rollot F, Elard J, Escande MC, De Rycke Y, Kriegel I and Larreta Garde V: Bacterial floras and biofilms of malignant wounds associated with breast cancers. J Clin Microbiol. 51:3368–3373. 2013. View Article : Google Scholar : PubMed/NCBI

5 

Finlayson K, Teleni L and McCarthy AL: Topical opioids and antimicrobials for the management of pain, infection, and infection-related odors in malignant wounds: A systematic review. Oncol Nurs Forum. 44:626–632. 2017. View Article : Google Scholar : PubMed/NCBI

6 

Mohs FE, Sevringhaus EL and Schmidt ER: Conservative amputation of gangrenous parts by chemosurgery. Ann Surg. 114:274–282. 1941. View Article : Google Scholar : PubMed/NCBI

7 

Mohs FE: Chemosurgical treatment of cancer of the extremities and trunk; a microscopically controlled method of excision. Arch Surg (1920). 57:818–832. 1948. View Article : Google Scholar : PubMed/NCBI

8 

Nemoto K, Okamoto M, Kito M, Aoki K, Suzuki S, Takazawa A, Yoshimura Y and Kato H: Combined treatment using Mohs' paste and neoadjuvant chemotherapy for giant gluteal soft tissue sarcoma with malignant fungating wound: A case report. J Surg Case Rep. 2019:rjz1372019. View Article : Google Scholar : PubMed/NCBI

9 

Hoshi M, Iwai T, Oebisu N and Nakamura H: Successful pre-operative local control of skin exposure by sarcoma using combination of systemic chemotherapy and Mohs' chemosurgery. World J Surg Oncol. 18:362020. View Article : Google Scholar : PubMed/NCBI

10 

Bower M, Stein R, Evans TR, Hedley A, Pert P and Coombes RC: A double-blind study of the efficacy of metronidazole gel in the treatment of malodorous fungating tumours. Eur J Cance. 28A:888–889. 1992. View Article : Google Scholar : PubMed/NCBI

11 

Kalinski C, Schnepf M, Laboy D, Hernandez L, Nusbaum J, McGrinder B, Comfort C and Alvarez OM: Effectiveness of a topical formulation containing metronidazole for wound odor and exudate control. Wounds. 17:84–90. 2005.

12 

Ashford R, Plant G, Maher J and Teare L: Double-blind trial of metronidazole in malodorous ulcerating tumours. Lancet. 1:1232–1233. 1984. View Article : Google Scholar : PubMed/NCBI

13 

Lutchminarian K and Clarke DL: The microbiology of ulcerative skin cancers: Does the presence of pathogenic bacteria increase the risk of postoperative complications? S Afr J Surg. 59:25a–25e. 2021. View Article : Google Scholar : PubMed/NCBI

14 

Elfallal AH, Laimon YN and Emile SH: Giant angiolipoma of the back complicated with ulceration and sepsis: Unusual presentation of a rare benign tumour. Ann R Coll Surg Engl. 101:e91–e93. 2019. View Article : Google Scholar : PubMed/NCBI

15 

Okajima K, Kobayashi H, Okuma T, Arai S, Zhang L, Hirai T, Ishibashi Y, Ikegami M, Shinoda Y, Akiyama T, et al: Prognosis and surgical outcome of soft tissue sarcoma with malignant fungating wounds. Jpn J Clin Oncol. 51:78–84. 2021. View Article : Google Scholar : PubMed/NCBI

16 

Potter BK, Adams SC, Qadir R, Pitcher JD and Temple HT: Fungating soft-tissue sarcomas. Treatment implications and prognostic importance of malignant ulceration. J Bone Joint Surg Am. 91:567–574. 2009. View Article : Google Scholar : PubMed/NCBI

17 

Parry M, Evans S, Sugath S, Wafa H, Jeys L and Grimer R: Fungation in soft tissue sarcomas is associated with poor survival. Int Orthop. 41:2613–2618. 2017. View Article : Google Scholar : PubMed/NCBI

18 

Hoshi M, Oebisu N, Iwai T, Ieguchi M and Nakamura H: Clinical course of soft tissue sarcomas presenting as malignant wounds. J Orthop Sci. 24:1088–1093. 2019. View Article : Google Scholar : PubMed/NCBI

19 

Fletcher CD, Bridge JA, Hogendoorn P and Mertens F: WHO Classification of Tumours of soft tissue and bone. 4th edition. IARC Press; Lion: 2013

20 

Guillou L, Coindre JM, Bonichon F, Nguyen BB, Terrier P, Collin F, Vilain MO, Mandard AM, Le Doussal V, Leroux A, et al: Comparative study of the National cancer institute and french federation of cancer centers sarcoma group grading systems in a population of 410 adult patients with soft tissue sarcoma. J Clin Oncol. 15:350–362. 1997. View Article : Google Scholar : PubMed/NCBI

21 

Mangram AJ, Horan TC, Pearson ML, Silver LC and Jarvis WR: Guideline for prevention of surgical site infection, 1999. Hospital infection control practices advisory committee. Infect Control Hosp Epidemiol. 20:250–278. 1999. View Article : Google Scholar : PubMed/NCBI

22 

Egi M, Ogura H, Yatabe T, Atagi K, Inoue S, Iba T, Kakihana Y, Kawasaki T, Kushimoto S, Kuroda Y, et al: The Japanese clinical practice guidelines for management of sepsis and septic shock 2020 (J-SSCG 2020). J Intensive Care. 9:532021. View Article : Google Scholar : PubMed/NCBI

23 

Rhodes A, Evans LE, Alhazzani W, Levy MM, Antonelli M, Ferrer R, Kumar A, Sevransky JE, Sprung CL, Nunnally ME, et al: Surviving sepsis campaign: International guidelines for management of sepsis and septic shock: 2016. Crit Care Med. 45:486–552. 2017. View Article : Google Scholar : PubMed/NCBI

24 

Seymour CW, Liu VX, Iwashyna TJ, Brunkhorst FM, Rea TD, Scherag A, Rubenfeld G, Kahn JM, Shankar-Hari M, Singer M, et al: Assessment of Clinical criteria for sepsis: For the Third International consensus definitions for sepsis and septic shock (Sepsis-3). JAMA. 315:762–774. 2016. View Article : Google Scholar : PubMed/NCBI

25 

Pandharipande PP, Sanders N, Jacques P, Ely EW and Shintani A: Calculating SOFA scores when arterial blood gasses are not available: Validating SpO2/FIO2 ratios for imputing PaO2/FIO2 ratios in the SOFA scores. Crit Care Med. 34:A12006. View Article : Google Scholar

26 

Pasricha SR, Colman K, Centeno-Tablante E, Garcia-Casal MN and Peña-Rosas JP: Revisiting WHO haemoglobin thresholds to define anaemia in clinical medicine and public health. Lancet Haematol. 5:e60–e62. 2018. View Article : Google Scholar : PubMed/NCBI

27 

Wittekind C, Compton C, Quirke P, Nagtegaal I, Merkel S, Hermanek P and Sobin LH: A uniform residual tumor (R) classification: Integration of the R classification and the circumferential margin status. Cancer. 115:3483–3488. 2009. View Article : Google Scholar : PubMed/NCBI

28 

Zainul-Abidin S, Amanatullah DF, Anderson MB, Austin M, Barretto JM, Battenberg A, Bedard NA, Bell K, Blevins K, Callaghan JJ, et al: General assembly, prevention, host related general: Proceedings of International consensus on orthopedic infections. J Arthroplasty. 34:S13–S35. 2019. View Article : Google Scholar : PubMed/NCBI

29 

Chauveaux D: Preventing surgical-site infections: Measures other than antibiotics. Orthop Traumatol Surg Res. 101 (Suppl 1):S77–S83. 2015. View Article : Google Scholar : PubMed/NCBI

30 

Korol E, Johnston K, Waser N, Sifakis F, Jafri HS, Lo M and Kyaw MH: A systematic review of risk factors associated with surgical site infections among surgical patients. PLoS One. 8:e837432013. View Article : Google Scholar : PubMed/NCBI

31 

Ramasubbu DA, Smith V, Hayden F and Cronin P: Systemic antibiotics for treating malignant wounds. Cochrane Database Syst Rev. Aug 24–2017.(Epu. View Article : Google Scholar : PubMed/NCBI

32 

Schierle CF, De la Garza M, Mustoe TA and Galiano RD: Staphylococcal biofilms impair wound healing by delaying reepithelialization in a murine cutaneous wound model. Wound Repair Regen. 17:354–359. 2009. View Article : Google Scholar : PubMed/NCBI

33 

Salisbury AM, Woo K, Sarkar S, Schultz G, Malone M, Mayer DO and Percival SL: Tolerance of biofilms to antimicrobials and significance to antibiotic resistance in wounds. Surg Technol Int. 33:59–66. 2018.PubMed/NCBI

34 

Hughes G and Webber MA: Novel approaches to the treatment of bacterial biofilm infections. Br J Pharmacol. 174:2237–2246. 2017. View Article : Google Scholar : PubMed/NCBI

35 

Villela-Castro DL, Santos VLCG and Woo K: Polyhexanide versus metronidazole for odor management in malignant (fungating) wounds: A double-blinded, randomized, clinical trial. J Wound Ostomy Continence Nurs. 45:413–418. 2018. View Article : Google Scholar : PubMed/NCBI

36 

Watanabe K, Shimo A, Tsugawa K, Tokuda Y, Yamauchi H, Miyai E, Takemura K, Ikoma A and Nakamura S: Safe and effective deodorization of malodorous fungating tumors using topical metronidazole 0.75% gel (GK567): A multicenter, open-label, phase III study (RDT.07.SRE.27013). Support Care Cancer. 24:2583–2590. 2016. View Article : Google Scholar : PubMed/NCBI

Related Articles

  • Abstract
  • View
  • Download
  • Twitter
Copy and paste a formatted citation
Spandidos Publications style
Nakata E, Fujiwara T, Katayama H, Itano T, Kunisada T and Ozaki T: Effect of bacterium in the malignant wounds of soft tissue sarcoma. Oncol Lett 24: 345, 2022.
APA
Nakata, E., Fujiwara, T., Katayama, H., Itano, T., Kunisada, T., & Ozaki, T. (2022). Effect of bacterium in the malignant wounds of soft tissue sarcoma. Oncology Letters, 24, 345. https://doi.org/10.3892/ol.2022.13465
MLA
Nakata, E., Fujiwara, T., Katayama, H., Itano, T., Kunisada, T., Ozaki, T."Effect of bacterium in the malignant wounds of soft tissue sarcoma". Oncology Letters 24.4 (2022): 345.
Chicago
Nakata, E., Fujiwara, T., Katayama, H., Itano, T., Kunisada, T., Ozaki, T."Effect of bacterium in the malignant wounds of soft tissue sarcoma". Oncology Letters 24, no. 4 (2022): 345. https://doi.org/10.3892/ol.2022.13465
Copy and paste a formatted citation
x
Spandidos Publications style
Nakata E, Fujiwara T, Katayama H, Itano T, Kunisada T and Ozaki T: Effect of bacterium in the malignant wounds of soft tissue sarcoma. Oncol Lett 24: 345, 2022.
APA
Nakata, E., Fujiwara, T., Katayama, H., Itano, T., Kunisada, T., & Ozaki, T. (2022). Effect of bacterium in the malignant wounds of soft tissue sarcoma. Oncology Letters, 24, 345. https://doi.org/10.3892/ol.2022.13465
MLA
Nakata, E., Fujiwara, T., Katayama, H., Itano, T., Kunisada, T., Ozaki, T."Effect of bacterium in the malignant wounds of soft tissue sarcoma". Oncology Letters 24.4 (2022): 345.
Chicago
Nakata, E., Fujiwara, T., Katayama, H., Itano, T., Kunisada, T., Ozaki, T."Effect of bacterium in the malignant wounds of soft tissue sarcoma". Oncology Letters 24, no. 4 (2022): 345. https://doi.org/10.3892/ol.2022.13465
Follow us
  • Twitter
  • LinkedIn
  • Facebook
About
  • Spandidos Publications
  • Careers
  • Cookie Policy
  • Privacy Policy
How can we help?
  • Help
  • Live Chat
  • Contact
  • Email to our Support Team