Spandidos Publications Logo
  • About
    • About Spandidos
    • Aims and Scopes
    • Abstracting and Indexing
    • Editorial Policies
    • Reprints and Permissions
    • Job Opportunities
    • Terms and Conditions
    • Contact
  • Journals
    • All Journals
    • Oncology Letters
      • Oncology Letters
      • Information for Authors
      • Editorial Policies
      • Editorial Board
      • Aims and Scope
      • Abstracting and Indexing
      • Bibliographic Information
      • Archive
    • International Journal of Oncology
      • International Journal of Oncology
      • Information for Authors
      • Editorial Policies
      • Editorial Board
      • Aims and Scope
      • Abstracting and Indexing
      • Bibliographic Information
      • Archive
    • Molecular and Clinical Oncology
      • Molecular and Clinical Oncology
      • Information for Authors
      • Editorial Policies
      • Editorial Board
      • Aims and Scope
      • Abstracting and Indexing
      • Bibliographic Information
      • Archive
    • Experimental and Therapeutic Medicine
      • Experimental and Therapeutic Medicine
      • Information for Authors
      • Editorial Policies
      • Editorial Board
      • Aims and Scope
      • Abstracting and Indexing
      • Bibliographic Information
      • Archive
    • International Journal of Molecular Medicine
      • International Journal of Molecular Medicine
      • Information for Authors
      • Editorial Policies
      • Editorial Board
      • Aims and Scope
      • Abstracting and Indexing
      • Bibliographic Information
      • Archive
    • Biomedical Reports
      • Biomedical Reports
      • Information for Authors
      • Editorial Policies
      • Editorial Board
      • Aims and Scope
      • Abstracting and Indexing
      • Bibliographic Information
      • Archive
    • Oncology Reports
      • Oncology Reports
      • Information for Authors
      • Editorial Policies
      • Editorial Board
      • Aims and Scope
      • Abstracting and Indexing
      • Bibliographic Information
      • Archive
    • Molecular Medicine Reports
      • Molecular Medicine Reports
      • Information for Authors
      • Editorial Policies
      • Editorial Board
      • Aims and Scope
      • Abstracting and Indexing
      • Bibliographic Information
      • Archive
    • World Academy of Sciences Journal
      • World Academy of Sciences Journal
      • Information for Authors
      • Editorial Policies
      • Editorial Board
      • Aims and Scope
      • Abstracting and Indexing
      • Bibliographic Information
      • Archive
    • International Journal of Functional Nutrition
      • International Journal of Functional Nutrition
      • Information for Authors
      • Editorial Policies
      • Editorial Board
      • Aims and Scope
      • Abstracting and Indexing
      • Bibliographic Information
      • Archive
    • International Journal of Epigenetics
      • International Journal of Epigenetics
      • Information for Authors
      • Editorial Policies
      • Editorial Board
      • Aims and Scope
      • Abstracting and Indexing
      • Bibliographic Information
      • Archive
    • Medicine International
      • Medicine International
      • Information for Authors
      • Editorial Policies
      • Editorial Board
      • Aims and Scope
      • Abstracting and Indexing
      • Bibliographic Information
      • Archive
  • Articles
  • Information
    • Information for Authors
    • Information for Reviewers
    • Information for Librarians
    • Information for Advertisers
    • Conferences
  • Language Editing
Spandidos Publications Logo
  • About
    • About Spandidos
    • Aims and Scopes
    • Abstracting and Indexing
    • Editorial Policies
    • Reprints and Permissions
    • Job Opportunities
    • Terms and Conditions
    • Contact
  • Journals
    • All Journals
    • Biomedical Reports
      • Information for Authors
      • Editorial Policies
      • Editorial Board
      • Aims and Scope
      • Abstracting and Indexing
      • Bibliographic Information
      • Archive
    • Experimental and Therapeutic Medicine
      • Information for Authors
      • Editorial Policies
      • Editorial Board
      • Aims and Scope
      • Abstracting and Indexing
      • Bibliographic Information
      • Archive
    • International Journal of Epigenetics
      • Information for Authors
      • Editorial Policies
      • Editorial Board
      • Aims and Scope
      • Abstracting and Indexing
      • Bibliographic Information
      • Archive
    • International Journal of Functional Nutrition
      • Information for Authors
      • Editorial Policies
      • Editorial Board
      • Aims and Scope
      • Abstracting and Indexing
      • Bibliographic Information
      • Archive
    • International Journal of Molecular Medicine
      • Information for Authors
      • Editorial Policies
      • Editorial Board
      • Aims and Scope
      • Abstracting and Indexing
      • Bibliographic Information
      • Archive
    • International Journal of Oncology
      • Information for Authors
      • Editorial Policies
      • Editorial Board
      • Aims and Scope
      • Abstracting and Indexing
      • Bibliographic Information
      • Archive
    • Medicine International
      • Information for Authors
      • Editorial Policies
      • Editorial Board
      • Aims and Scope
      • Abstracting and Indexing
      • Bibliographic Information
      • Archive
    • Molecular and Clinical Oncology
      • Information for Authors
      • Editorial Policies
      • Editorial Board
      • Aims and Scope
      • Abstracting and Indexing
      • Bibliographic Information
      • Archive
    • Molecular Medicine Reports
      • Information for Authors
      • Editorial Policies
      • Editorial Board
      • Aims and Scope
      • Abstracting and Indexing
      • Bibliographic Information
      • Archive
    • Oncology Letters
      • Information for Authors
      • Editorial Policies
      • Editorial Board
      • Aims and Scope
      • Abstracting and Indexing
      • Bibliographic Information
      • Archive
    • Oncology Reports
      • Information for Authors
      • Editorial Policies
      • Editorial Board
      • Aims and Scope
      • Abstracting and Indexing
      • Bibliographic Information
      • Archive
    • World Academy of Sciences Journal
      • Information for Authors
      • Editorial Policies
      • Editorial Board
      • Aims and Scope
      • Abstracting and Indexing
      • Bibliographic Information
      • Archive
  • Articles
  • Information
    • For Authors
    • For Reviewers
    • For Librarians
    • For Advertisers
    • Conferences
  • Language Editing
Login Register Submit
  • This site uses cookies
  • You can change your cookie settings at any time by following the instructions in our Cookie Policy. To find out more, you may read our Privacy Policy.

    I agree
Search articles by DOI, keyword, author or affiliation
Search
Advanced Search
presentation
Oncology Letters
Join Editorial Board Propose a Special Issue
Print ISSN: 1792-1074 Online ISSN: 1792-1082
Journal Cover
October-2022 Volume 24 Issue 4

Full Size Image

Sign up for eToc alerts
Recommend to Library

Journals

International Journal of Molecular Medicine

International Journal of Molecular Medicine

International Journal of Molecular Medicine is an international journal devoted to molecular mechanisms of human disease.

International Journal of Oncology

International Journal of Oncology

International Journal of Oncology is an international journal devoted to oncology research and cancer treatment.

Molecular Medicine Reports

Molecular Medicine Reports

Covers molecular medicine topics such as pharmacology, pathology, genetics, neuroscience, infectious diseases, molecular cardiology, and molecular surgery.

Oncology Reports

Oncology Reports

Oncology Reports is an international journal devoted to fundamental and applied research in Oncology.

Experimental and Therapeutic Medicine

Experimental and Therapeutic Medicine

Experimental and Therapeutic Medicine is an international journal devoted to laboratory and clinical medicine.

Oncology Letters

Oncology Letters

Oncology Letters is an international journal devoted to Experimental and Clinical Oncology.

Biomedical Reports

Biomedical Reports

Explores a wide range of biological and medical fields, including pharmacology, genetics, microbiology, neuroscience, and molecular cardiology.

Molecular and Clinical Oncology

Molecular and Clinical Oncology

International journal addressing all aspects of oncology research, from tumorigenesis and oncogenes to chemotherapy and metastasis.

World Academy of Sciences Journal

World Academy of Sciences Journal

Multidisciplinary open-access journal spanning biochemistry, genetics, neuroscience, environmental health, and synthetic biology.

International Journal of Functional Nutrition

International Journal of Functional Nutrition

Open-access journal combining biochemistry, pharmacology, immunology, and genetics to advance health through functional nutrition.

International Journal of Epigenetics

International Journal of Epigenetics

Publishes open-access research on using epigenetics to advance understanding and treatment of human disease.

Medicine International

Medicine International

An International Open Access Journal Devoted to General Medicine.

Journal Cover
October-2022 Volume 24 Issue 4

Full Size Image

Sign up for eToc alerts
Recommend to Library

  • Article
  • Citations
    • Cite This Article
    • Download Citation
    • Create Citation Alert
    • Remove Citation Alert
    • Cited By
  • Similar Articles
    • Related Articles (in Spandidos Publications)
    • Similar Articles (Google Scholar)
    • Similar Articles (PubMed)
  • Download PDF
  • Download XML
  • View XML

  • Supplementary Files
    • Supplementary_Data.pdf
Article Open Access

Six autoantibodies as potential differential biomarkers of hepatocellular carcinoma vs. liver cirrhosis and chronic hepatitis: A prospective multi‑institutional study

  • Authors:
    • Rei Okada
    • Yuichiro Otsuka
    • Osamu Yokosuka
    • Naoya Kato
    • Fumio Imazaki
    • Isamu Hoshino
    • Nobuyuki Sugiura
    • Hideaki Mizumoto
    • Ryousaku Azemoto
    • Kazuki Kato
    • Hideaki Shimada
  • View Affiliations / Copyright

    Affiliations: Department of Surgery, School of Medicine, Toho University, Tokyo 143‑8541, Japan, Department of Gastroenterology, Graduate School of Medicine, Chiba University, Chiba‑shi, Chiba 260‑8677, Japan, Department of Surgery, Chiba Cancer Center, Chiba‑shi, Chiba 260‑8717, Japan, Department of Gastroenterology, Japan Community Health Care Organization Chiba Hospital, Chiba‑shi, Chiba 260‑8710, Japan, Department of Gastroenterology, Funabashi Municipal Medical Center, Funabashi, Chiba 273‑8588, Japan, Department of Gastroenterology, Kimitsu Chuo Hospital, Kimitsu, Chiba 292‑8535, Japan, Department of Gastroenterology, Japan Community Health Care Organization Funabashi Central Hospital, Funabashi, Chiba 273‑8556, Japan
    Copyright: © Okada et al. This is an open access article distributed under the terms of Creative Commons Attribution License.
  • Article Number: 367
    |
    Published online on: August 31, 2022
       https://doi.org/10.3892/ol.2022.13487
  • Expand metrics +
Metrics: Total Views: 0 (Spandidos Publications: | PMC Statistics: )
Metrics: Total PDF Downloads: 0 (Spandidos Publications: | PMC Statistics: )
Cited By (CrossRef): 0 citations Loading Articles...

This article is mentioned in:



Abstract

Serum autoantibodies respond not only to tumor‑associated antigens of hepatocellular carcinoma (HCC) but also to those of liver cirrhosis (LC) and chronic hepatitis (CH). The present prospective multi‑institutional study evaluated the diagnostic properties of six autoantibodies in distinguishing HCC from LC and CH. A total of 416 participants were enrolled: 149 With HCC, 76 with LC, 103 with CH and 88 healthy controls. Titers of serum autoantibodies to Sui1, RalA, p62, p53, c‑myc and NY‑ESO‑1 were determined using enzyme‑linked immunosorbent assays. All six antibodies were positive for HCC: s‑Sui1‑Abs (44%), s‑RalA‑Abs (23%), s‑p62‑Abs (21%), s‑p53‑Abs (13%), s‑c‑myc‑Abs (11%) and s‑NY‑ESO‑1‑Abs (6%). The positivity rates of all six antibodies combined were 5% for healthy controls, 52% for CH, 58% for LC and 66% for HCC. The positivity rates of s‑Sui1‑Abs, s‑RalA‑Abs and s‑p53‑Abs were higher for HCC compared with those of LC and CH. However, the positivity rates of s‑p62‑Abs, s‑c‑myc‑Abs and s‑NY‑ESO‑1‑Abs for HCC were not higher compared with those for LC and CH. Overall, autoantibodies were useful in differentiating patients with HCC from healthy individuals. However, they were not specific to HCC and were also present in the sera of individuals with CH and LC. These autoantibodies may be induced during the development of HCC. Clinical trial registration number: UMIN000014530 (date of registration 2011/07/11).

Introduction

Depending on various disease environments, the presence of abnormal proteins may lead to antigenicity, which can drive the humoral immune response to produce serum autoantibodies. Several recent studies have demonstrated that serum autoantibodies may be useful for detecting various cancers at early stages (1–5). There are various subtype classifications and treatments for HCC, and alternative immunocombined approaches from a molecular pathological point of view have been implemented, but their effects remain unclear (6). Our research group has also evaluated the usefulness of autoantibodies in detecting surgically treatable hepatocellular carcinoma (HCC). Owing to their enhanced signals, autoantibodies may be more useful as immunodiagnostic markers for cancer detection than tumor-associated antigens (TAAs) (7,8). The presence of autoantibodies has been observed not only in cancer but also in autoimmune, inflammatory, and fibrotic diseases (9–12).

Several studies, including those by our research group, have demonstrated potential TAAs in HCC using enzyme-linked immunosorbent assay (ELISA). In a test cohort, Okada et al the showed potential benefits of using autoantibodies to detect diseases (1). Moreover, in a previous study of patients with surgically resected HCC, autoantibodies against TAAs, including Sui1, RalA, p62, p53, c-myc, and NY-ESO-1, had an additive effect with α-fetoprotein (AFP) on the detection of stage I and II HCC (2). However, the clinical significance of autoantibodies in liver cirrhosis (LC) or chronic hepatitis (CH) has not been studied extensively. A single-institutional retrospective study demonstrated the significance of autoantibodies in distinguishing among HCC, LC, and CH; however, no prospective multi-institutional study has been undertaken on this topic (13,14). Patients with CH are at a high risk of progression to LC and HCC, and an early diagnosis of LC is essential for an early diagnosis of HCC.

This prospective multi-institutional study aimed to cross-sectionally validate the positivity rates of six autoantibodies to HCC. We also compared the positivity rates of these six autoantibodies to LC and CH to evaluate whether the three diseases could be differentiated through the measurement of these autoantibodies.

Materials and methods

Patients

Patients enrolled in this study had primary HCC, histologically proven, or either LC or CH according to ultrasound findings. Eligible patients with LC had an aspartate aminotransferase-to-platelet ratio index (APRI) of ≥1.0 or a fibrosis-4 (FIB-4) score of ≥3.25, and eligible patients with CH had an APRI of <1.0 and/or a FIB-4 score of <3.25 (15,16). Patients with active co-cancers (co-cancers or metachronous cancers within 5 years) were excluded to ensure that the previous cancer had no effect on their antibody levels. Each research center conducted central monitoring to confirm data submission, patient eligibility, protocol compliance, safety, and on-schedule research progress. We compared patients' clinicopathological variables, demographic data, and tumor characteristics (positivity and negativity for any of the six autoantibodies). The AFP cutoff value was 10.0 ng/ml. Before enrollment, all participants provided written informed consent to future analyses of their blood samples for research purposes. The protocol for this prospective study was approved by the ethics committee of Toho University, Tokyo, Japan (approval numbers M19213, A18103, A17052, A16035, A16001, 26095, 25024, 24038, and 22047); the Chiba Cancer Center, Chiba, Japan (H30-220, 21–26, and 20-1); and the institutional review boards of each participating hospital (listed in the next section). The study was conducted according to the guidelines of the Declaration of Helsinki and the Japanese Ethical Guidelines for Clinical Research.

Sample collection

Serum samples were obtained from 149 patients with HCC, 76 patients with LC, and 103 patients with CH at the six participating institutions (Chiba University School of Medicine, Chiba Cancer Center, Japan Community Health care Organization Chiba Hospital, Funabashi Municipal Medical Center, Kimitsu Chuo Hospital, and Japan Community Health care Organization Funabashi Central Hospital). Serum samples of 88 healthy controls who had no previous malignant disease and no hepatitis B or hepatitis C infection were also obtained from Biobank Japan. The average age of the healthy control group was 48 years, and the male-to-female ratio was 5:3. All serum samples were stored at −80°C until analysis.

Patient variables

The HCC stage in each affected patient at the time of the study was pathologically determined according to the TNM Classification of Malignant Tumours, 8th edition (17). Preoperative resectability and local or distant tumor enlargement were determined via computed tomography. Tumors associated with distant metastasis, including peritoneal dissemination, were considered nonresectable. The hepatectomy procedure was performed according to the treatment method described in the Japanese guidelines (18,19).

Isolation, purification, and amplification of TAAs followed by ELISA of serum antibodies

Full-length complementary DNA of the TAAs Sui1 (GenBank accession number: JN545747), RalA (BM 560822), p62 (AF057352), p53 (AB082923), c-myc (K02276), and NY-ESO-1 (NM 001327) were amplified through polymerase chain reaction as previously described (1,2). The recombinant proteins were expressed in Escherichia coli BL21-CodonPlus (DE3)-RIL cells (Agilent Technologies). Each TAA extract was added to Ni Sepharose 6 Fast Flow (GE Healthcare UK), and the column was washed with 50 mmol/L imidazole in phosphate-buffered saline. Purified TAA recombinant proteins were eluted with 200 mmol/L imidazole in PBS. DNA sequencing confirmed that the correct gene was inserted into the constructed plasmid. Serum samples collected from patients and controls were analyzed through ELISA as previously described (2). Serum AFP was measured through enzyme-linked fluorescent assay as previously described (20).

Titration of autoantibodies

Using the serum from the patients with HCC, LC, and CH and from the healthy controls, we measured the titers (means ± standard deviations) of autoantibodies against the six TAAs. The cutoff value for positive reactivity of each autoantibody was an optical density greater than the mean plus three standard deviations observed in the controls. We calculated the specificity of the assay as the percentage of the controls in whom the reactivity was negative. We also assessed the significance of differences in each of the six autoantibody titers. Various serum markers, clinicopathological characteristics, and AFP concentrations were included in the analysis. Additionally, we estimated the clinical utility of the combination of the six autoantibodies in diagnosing HCC, LC, and CH.

Statistical analysis

Statistical analyses were performed using the JMP statistical software (version 12; SAS Institute). We used Fisher's exact test to determine whether the proportions of positive results differed significantly between the patients with cancer and the healthy controls and to determine associations between individual and combined antibody assay results and clinical parameters. For all tests, a P value of <0.05 (two-tailed) was considered statistically significant.

Results

Serum anti-TAA antibody titers

The serum titers of the autoantibodies against TAAs were higher in patients with HCC, LC, and CH than in healthy controls (P<0.05 for all). The cutoff titers were 8.0, 15.0, 6.0, 8.0, 4.0, and 10.0 U/ml for s-Sui1-Abs, s-RalA-Abs, s-p62-Abs, s-p53-Abs, s-c-myc-Abs, and s-NY-ESO-1-Abs, respectively (Fig. 1).

Figure 1.

Autoantibody titers for tumor-associated antigens in individual patients and healthy controls as determined using enzyme-linked immunosorbent assay. Box plots of OD values of autoantibodies in serum from 149 patients with HCC, 76 patients with LC, 103 patients with CH and 88 healthy cnts. OD, optical density; HCC, hepatocellular carcinoma; LC, liver cirrhosis; CH, chronic hepatitis; Cnt, control.

Clinical characteristics and autoantibody status of patients with HCC

Table I lists the clinical characteristics of patients with HCC. Gender, age, hepatitis virus infection type, liver disease type (CH vs. LC), tumor size, tumor number, and TNM classification were not significantly associated with autoantibody status. Autoantibody status was also not associated with AFP status.

Table I.

Patients' clinical characteristics and serum tumor markers according to status of autoantibody panel in 149 patients with HCC.

Table I.

Patients' clinical characteristics and serum tumor markers according to status of autoantibody panel in 149 patients with HCC.

PanelTotalAutoantibody panel (+)Autoantibody panel (−) P-valuea
Number1499851
Sex, n (%)
  Male10567 (68)38 (75)0.432
  Female4431 (32)13 (25)
Age, n (%)
  <652816 (16)12 (24)0.291
  ≥6512182 (84)39 (76)
Hepatitis B virus infection, n (%)
  Negative13388 (90)45 (88)0.771
  Positive1610 (10)6 (12)
Hepatitis C virus infection, n (%)
  Negative5030 (31)20 (39)0.293
  Positive9968 (69)31 (61)
Liver disease, n (%)
  Chronic hepatitis2920 (20)9 (18)0.686
  Liver cirrhosis12078 (80)42 (82)
Tumor size, n (%)
  <36 mm10970 (71)39 (76)0.500
  ≥36 mm4028 (29)12 (24)
Tumor number, n (%)
  15233 (34)19 (37)0.664
  ≥29765 (66)32 (63)
TNM stage, n (%)
  I5033 (34)17 (33)0.967
  II, III, IV9965 (66)34 (67)
AFP, n (%)
  <10 ng/ml7952 (53)27 (53)0.989
  ≥10 ng/ml7046 (47)24 (47)

a Fisher's exact test. AFP, α-fetoprotein; TNM, tumor node metastasis.

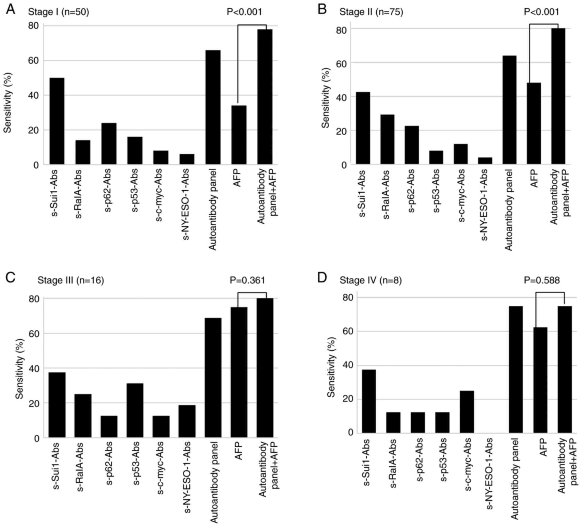
Positivity rates of each autoantibody and AFP in patients with HCC at different TNM stages

The overall positivity rate of the serum autoantibodies against the TAA panel (66%) was higher than that of AFP (48%, P<0.05). Fig. 2 shows the positivity rates of each autoantibody and AFP in patients with HCC at different TNM stages. The corresponding positivity rates for the autoantibody panel and AFP were 66 and 34%, respectively (P=0.001), for TNM stage I disease; 64 and 48%, respectively (P=0.047), for stage II; 69 and 75%, respectively (P=0.694), for stage III; and 75 and 63%, respectively (P=0.588), for stage IV. The combination of the positivity rates of the autoantibody panel and AFP was significantly greater than the positivity rate of AFP alone (P<0.001). The positivity rates of AFP and AFP + serum autoantibodies were 34 and 78%, respectively (P<0.001), for stage I disease; 48 and 84%, respectively (P<0.001), for stage II; 75 and 88%, respectively (P=0.361), for stage III; and 63 and 75%, respectively (P=0.588), for stage IV.

Figure 2.

Sensitivity of each autoantibody according to tumor stages: (A) stage I, (B) stage II, (C) stage III and (D) stage IV. AFP, α-fetoprotein.

Ability of autoantibody response to TAAs to diagnose HCC

Table II lists the positivity rates, specificities, positive predictive values, negative predictive values, and accuracy of serum autoantibodies in detecting HCC. Of the 149 patients with HCC, 66 (44%) had s-Sui1-Abs; 34 (23%) had s-RalA-Abs; 32 (21%) had s-p62-Abs; 20 (13%) had s-p53-Abs; 17 (11%) had s-c-myc-Abs; and 9 (6%) had s-NY-ESO-1-Abs. All autoantibodies had a specificity of >95%. When the assay results for all six autoantibodies were combined, the sensitivity, specificity, positive predictive value, negative predictive value, and accuracy increased to 66% (95% confidence interval [CI], 62–67%), 96% (95% CI, 90–98%), 96% (95% CI, 91–98%), 62% (95% CI, 58–64%), and 77% (95% CI, 73–79%), respectively.

Table II.

Autoantibody responses to tumor-associated antigens in 149 patients with hepatocellular carcinoma.

Table II.

Autoantibody responses to tumor-associated antigens in 149 patients with hepatocellular carcinoma.

Groups-Sui1-Abss-RalA-Abss-p62-Abss-p53-Abss-c-myc-Abss-NY-ESO-1-AbsAutoantibody panel
Sensitivity44 (42–45)23 (20–23)22 (20–23)14 (11–14)11 (9–13)6 (4–6)66 (62–67)
Specificity99 (94–100)99 (94–100)99 (94–100)99 (94–100)97 (92–99)99 (94–100)96 (90–98)
PPV99 (93–100)97 (86–100)97 (86–100)95 (78–99)85 (65–95)90 (60–98)96 (91–98)
NPV51 (49–52)43 (41–44)43 (41–44)40 (38–41)39 (37–40)38 (37–39)62 (58–64)
Accuracy65 (62–66)51 (48–52)50 (47–51)45 (42–46)43 (40–45)40 (38–41)77 (73–79)

[i] All values are given in percentages of positivity (95% confidence intervals in parentheses) in each group. PPV, positive predictive value; NPV, negative predictive value; Autoantibody panel, autoantibody positivity to any one of the six antigens.

Clinical characteristics and autoantibody status in patients with HCC, LC, and CH

Table III lists the clinical characteristics of patients with HCC, LC, and CH. Male sex, age of ≥65, APRI of ≥1.0, FIB-4 of ≥3.25, hepatitis virus infection, and autoantibody positivity rates were significantly associated with HCC. Autoantibody positivity rates in patients with HCC were significantly higher than those in patients with CH (P=0.033).

Table III.

Clinical characteristics according to status of autoantibody panel in patients with HCC, LC and CH.

Table III.

Clinical characteristics according to status of autoantibody panel in patients with HCC, LC and CH.

PanelHCC (n=149)LC (n=76) P-valueaCH (n=103) P-valueb
Gender, n (%)
  Male105 (70)41 (54)0.01550 (49)<0.001
  Female44 (30)35 (46) 53 (51)
Age, n (%)
  <6528 (19)32 (42)<0.00159 (57)<0.001
  ≥65121 (81)44 (58) 44 (43)
APRI, n (%)
  <1.055 (37)21 (28)0.160103 (100)<0.001
  ≥1.094 (63)55 (72) 0 (0)
FIB-4, n (%)
  <3.2530 (20)5 (7)0.005103 (100)<0.001
  ≥3.25119 (80)71 (93) 0 (0)
Hepatitis B virus infection, n (%)
  Negative133 (89)74 (97)0.02167 (65)<0.001
  Positive16 (11)2 (3) 36 (35)
Hepatitis C virus infection, n (%)
  Negative50 (34)28 (37)0.62551 (50)0.011
  Positive99 (66)48 (63) 52 (50)
Autoantibody panel
  Negative51 (34)32 (42)0.24849 (48)0.033
  Positive98 (62)44 (58) 54 (52)

a Fisher's exact test, HCC vs. LC;

b Fisher's exact test, HCC vs. CH. APRI, aspartate aminotransferase to platelet ratio index; CH, chronic hepatitis; FIB-4, fibrosis-4; HCC, hepatocellular carcinoma; LC, liver cirrhosis.

Positivity of autoantibodies in patients with HCC, LC, and CH and in healthy controls

Table IV and Fig. 3 present the autoantibody positivity rates in patients with HCC, LC, and CH and in healthy controls. Among the 149 patients with HCC, autoantibodies against Sui1 were most common in 66 patients (44%); among the 76 patients with LC, autoantibodies against p62 were most common in 23 patients (30%); and among the 103 patients with CH, autoantibodies against p62 were most common in 26 patients (25%). The positivity rates of autoantibodies in patients with HCC, LC, and CH and in healthy controls were 66, 58, 52, and 5%, respectively. Among patients with HCC, LC, and CH, the autoantibodies s-Sui1-Abs, s-RalA-Abs, and s-p53-Abs were more common than other autoantibodies.

Figure 3.

Sensitivity of each serum autoantibody in patients with HCC, LC and CH and in healthy controls. (A) s-Sui1-Abs, (B) s-RalA-Abs, (C) s-p62-Abs, (D) s-p53-Abs, (E) s-c-myc-Abs, (F) s-NY-ESO-1-Abs and (G) autoantibody panel. *P≤0.05 and **P>0.05. HCC, hepatocellular carcinoma; LC, liver cirrhosis; CH, chronic hepatitis.

Table IV.

Positivity of autoantibodies to tumor-associated antigens in patients with HCC, LC, and CH and in controls.

Table IV.

Positivity of autoantibodies to tumor-associated antigens in patients with HCC, LC, and CH and in controls.

Groups-Sui1-Abss-RalA-Abss-p62-Abss-p53-Abss-c-myc-Abss-NY-ESO-1-AbsAutoantibody panel
Control (n=88) (%)2 (2)1 (1)1 (1)1 (1)3 (3)1 (1)4 (5)
CH (n=103) (%)18 (17)17 (17)26 (25)7 (7)8 (8)8 (8)54 (52)
LC (n=76) (%)13 (17)12 (16)23 (30)7 (9)11 (15)5 (7)44 (58)
HCC (n=149) (%)66 (44)34 (23)32 (21)20 (13)17 (11)9 (6)98 (66)

[i] CH, chronic hepatitis; HCC, hepatocellular carcinoma; LC, liver cirrhosis.

Association between hepatitis virus infection and s-Sui1-autoantibody

Table SI presents the association between hepatitis virus infection and s-Sui1-Abs positivity in patients with HCC, LC, and CH. There was no association between hepatitis B virus infection and s-Sui1-Abs. In patients with hepatitis C virus, the s-Sui1-Abs positivity rate gradually increased in CH, LC, and HCC. Patients with hepatitis C HCC were significantly more positive for s-Sui1-Abs than those with not hepatitis C HCC.

Discussion

The combination of positivity rates of autoantibodies against the whole TAA panel and AFP was significantly higher than that of AFP alone in stage I and II disease. The positivity rates of the autoantibodies against the whole TAA panel were significantly higher than those of AFP in stage I and II disease. The positivity rates of the autoantibodies against the whole TAA panel gradually increased (in order) in patients with CH, LC, and HCC.

The fact that autoantibodies were effective in identifying HCC in two different prospective studies indicates that HCC induced serum immunoglobulin G autoantibodies against TAAs from an early stage (2). However, unlike other types of cancer, HCC comprises multistage carcinogenic states that include CH and LC, and previous reports did not reveal at what stage serum autoantibodies would appear. Zheng et al reported that serum anti-SMP30 autoantibody titers were significantly higher in patients with HCC than in healthy controls or in patients with CH or LC (14). Furthermore, He et al reported that serum anti-ACY1 autoantibody titers were significantly higher in patients with LC than in healthy controls or in patients with CH (13). In this study, we found that serum autoantibody titers were elevated not only in patients with HCC but also in those with CH and LC.

Sui1 may be a potential biomarker for HCC according to Zhou et al, who reported that the positivity rate of s-Sui1-Abs in patients with HCC was 15.5%, which was higher than that in patients with LC (3.3%), those with CH (0%), and healthy participants (0%) (21). Our findings of relatively high positivity rates in patients with HCC, LC, and CH confirmed their data. The differences may be explained partly by the difference in the proportions of patients with hepatitis B virus- or hepatitis C virus-related carcinogenesis. Compared with other serum antibodies, only s-Sui1-Abs exhibited significantly higher positivity rates in patients with HCC than in patients with LC and CH. Moreover, the Suil positivity rate in this study differed from that in previous studies (2). This may be partially explained by the difference in the cutoff values calculated from two cohorts of healthy subjects (8.0 U/ml vs. 4.4 U/ml) and the difference in the proportion of early-stage cancer in this study.

RalA has also been reported to be a potential biomarker for HCC as well as for esophageal, gastric, colorectal, breast, and ovarian carcinomas (2,5,22–25). This TAA has not been reported to be associated with fibrosis or chronic inflammation. Because guanosine triphosphatase is aberrantly induced during tumorigenesis by oncogenic Ras, s-RalA-Abs positivity may indicate HCC development in patients with LC and CH.

Previous studies have reported that s-p62-Abs are positive not only for cancers such as HCC, colorectal cancer, and breast cancer but also for conditions characterized by chronic inflammation and fibrosis, such as primary biliary cholangitis (2,5,26,27). Even in our study, the positivity rate of s-p62-Abs was not significantly higher in patients with HCC than in those with LC and CH. Thus, s-p62-Abs is not a tumor-specific autoantibody.

NY-ESO-1 has been reported to be effective in identifying cancers such as gastric cancer, esophageal cancer, rectal cancer, HCC, and lung cancer; however, the identification of inflammation and fibrosis has not been reported (2,4,5,28). Because there are few reports on the positivity rate of s-NY-ESO-1-Abs in precancerous conditions including LC and CH, the mechanism of positive conversion during the carcinogenic process remains unclear. However, considering that there is a report of s-NY-ESO-1-Abs positivity in CH, s-NY-ESO-1-Abs positivity in chronic liver disease may indicate the presence of microcancer that is not represented in the image or the presence of precancerous conditions (29). In addition, it has been reported that p53 antibody is associated with autoimmune hepatitis; therefore, the possibility that s-NY-ESO-1-Abs positivity occurs as a result of concomitant autoimmune hepatitis cannot be denied (30,31). It may be necessary to carefully search for tumors if s-NY-ESO-1-Abs is positive in patients with LC or CH.

Our study had some limitations. First, we did not analyze the prognosis of the patients or changes in their autoantibody titers. A previous study showed that only s-NY-ESO-1-Abs was associated with poor overall survival in patients with HCC after radical resection. Second, we could not assess the risk of carcinogenesis in patients with autoantibody-positive CH or LC. Third, the cases in this study were not surgically resected, so we could not analyze tumor tissues immunohistochemically. Serum autoantibodies are usually associated with TAA expression in tumor tissue (32,33). Similar to serum autoantibodies, Sui1, RalA, and p53 are reported to have higher expression rates in HCC than in normal liver, CH, or LC, as revealed through immunohistochemical studies (21,34,35). Fourth, no pathological data were available for this study. The diagnoses of CH and LC were based on ultrasound and hematological findings. Finally, we were unable to investigate the genetic mutations analysis of the cases in this study, including HCC. A correlation between the protein expression of p53 and genetic mutations of p53 has been demonstrated in human solid tumors, including HCC (36–39). We could not clarify the association between s-p53-Abs and p53 mutation, but we speculate that the two are strongly correlated.

In conclusion, serum autoantibodies, including s-Sui1-Abs, s-RalA-Abs, s-p62-Abs, s-p53-Abs, s-c-myc-Abs, and s-NY-ESO-1-Abs, may be useful in differentiating patients with HCC from healthy individuals. They are, however, not specific to HCC and were also found to be positive in patients with CH and LC. Possibly, the production of these autoantibodies is induced during the development of HCC.

Supplementary Material

Supporting Data

Acknowledgements

The authors would like to thank Ms. Akiko Kuwajima (Medical & Biological Laboratories Co., Ltd., Nagoya, Japan) for her assistance in preparing targeting peptides for the ELISA system.

Funding

Hideaki Shimada received grants from Risk-Taking Fund for Technology Development and Medical & Biological Laboratories Co., Ltd., Nagoya, Japan.

Availability of data and materials

All data generated or analyzed during the present study are included in this published article.

Authors' contributions

RO and HS designed and performed the experiments. YO collected clinicopathological data. RO, OY, NK, FI, IH, NS, HM, RA and KK analyzed the results. RO and YO generated the data, prepared the panels and assembled the figures and tables. RO and HS wrote the manuscript. RO and HS confirm the authenticity of all the raw data. All authors have read and approved the final version of the manuscript.

Ethics approval and consent to participate

The protocol of the present study, involving human clinical samples, was approved by the Ethics Committee of Toho University of Medicine, Tokyo, Japan (approval nos. M19213, A18103, A17052, A16035, A16001, 26095, 25024, 24038 and 22047); the Chiba Cancer Center, Chiba, Japan (approval nos. H30-220, 21–26 and 20-1); and the institutional review boards of each participating hospital. Written informed consent was obtained from all patients.

Patient consent for publication

Not applicable.

Competing interests

The authors declare that they have no competing interests.

Glossary

Abbreviations

Abbreviations:

AFP

α-fetoprotein

CH

chronic hepatitis

ELISA

enzyme-linked immunosorbent assay

HCC

hepatocellular carcinoma

LC

liver cirrhosis

TAA

tumor-associated antigen

References

1 

Okada R, Shimada H, Tagawa M, Matsushita K, Otsuka Y, Kuwajima A and Kaneko H: Profiling of serum autoantibodies in Japanese patients with hepatocellular carcinoma. Toho J Med. 3:84–92. 2017.

2 

Okada R, Otsuka Y, Wakabayashi T, Shinoda M, Aoki T, Murakami M, Arizumi S, Yamamoto M, Aramaki O, Takayama T, et al: Six autoantibodies as potential serum biomarkers of hepatocellular carcinoma: A prospective multicenter study. Int J Cancer. 147:2578–2586. 2020. View Article : Google Scholar : PubMed/NCBI

3 

Hoshino I, Nagata M, Takiguchi N, Nabeya Y, Ikeda A, Yokoi S, Kuwajima A, Tagawa M, Matsushita K, Satoshi Y and Hideaki S: Panel of autoantibodies against multiple tumor-associated antigens for detecting gastric cancer. Cancer Sci. 108:308–315. 2017. View Article : Google Scholar : PubMed/NCBI

4 

Hoshino I, Nabeya Y, Takiguchi N, Gunji H, Ishige F, Iwatate Y, Shiratori F, Yajima S, Okada R and Shimada H: Prognostic impact of p53 and/or NY-ESO-1 autoantibody induction in patients with gastroenterological cancers. Ann Gastroenterol Surg. 4:275–282. 2020. View Article : Google Scholar : PubMed/NCBI

5 

Ushigome M, Nabeya Y, Soda H, Takiguchi N, Kuwajima A, Tagawa M, Matsushita K, Koike J, Funahashi K and Shimada H: Multi-panel assay of serum autoantibodies in colorectal cancer. Int J Clin Oncol. 23:917–923. 2018. View Article : Google Scholar : PubMed/NCBI

6 

Kabashima A, Shimada S, Shimokawa M, Akiyama Y, Tanabe M and Tanaka S: Molecular and immunological paradigms of hepatocellular carcinoma: Special reference to therapeutic approaches. J Hepatobiliary Pancreat Sci. 28:62–75. 2021. View Article : Google Scholar : PubMed/NCBI

7 

Tan HT, Low J, Lim SG and Chung MC: Serum autoantibodies as biomarkers for early cancer detection. FEBS J. 276:6880–6904. 2009. View Article : Google Scholar : PubMed/NCBI

8 

Lacombe J, Mangé A and Solassol J: Use of autoantibodies to detect the onset of breast cancer. J Immunol Res. 2014:5749812014. View Article : Google Scholar : PubMed/NCBI

9 

Di Sabatino A, Biagi F, Lenzi M, Frulloni L, Lenti MV, Giuffrida P and Corazza GR: Clinical usefulness of serum antibodies as biomarkers of gastrointestinal and liver diseases. Dig Liver Dis. 49:947–956. 2017. View Article : Google Scholar : PubMed/NCBI

10 

Pongratz G, Frieser R, Brinks R, Schneider M, Hartung W, Fleck M and Ehrenstein B: Association between autoantibody level and disease activity in rheumatoid arthritis is dependent on baseline inflammation. Clin Exp Rheumatol. 38:691–698. 2020.PubMed/NCBI

11 

Jodeleit H, Milchram L, Soldo R, Beikircher G, Schönthaler S, Al-Amodi O, Wolf E, Beigel F, Weinhäusel A, Siebeck M and Gropp R: Autoantibodies as diagnostic markers and potential drivers of inflammation in ulcerative colitis. PLoS One. 15:e02286152020. View Article : Google Scholar : PubMed/NCBI

12 

Peng B, Huang X, Nakayasu ES, Petersen JR, Qiu S, Almeida IC and Zhang JY: Using immunoproteomics to identify alpha-enolase as an autoantigen in liver fibrosis. J Proteome Res. 12:1789–1796. 2013. View Article : Google Scholar : PubMed/NCBI

13 

He X, Hong Y, Wang X, Zhang X, Long J, Li H, Zhang B, Chen S, Liu Q, Li H, et al: Identification and clinical significance of an elevated level of serum aminoacylase-1 autoantibody in patients with hepatitis B virus-related liver cirrhosis. Mol Med Rep. 14:4255–4262. 2016. View Article : Google Scholar : PubMed/NCBI

14 

Zheng SX, Xiang BD, Long JM, Qu C, Mo ZJ, Li K, Zhuang Y, Lv ZL and Zhou SF: Diagnostic value of serum SMP30 and Anti-SMP30 antibody in hepatocellular carcinoma. Lab Med. 49:203–210. 2018.PubMed/NCBI

15 

Kruger FC, Daniels CR, Kidd M, Swart G, Brundyn K, van Rensburg C and Kotze M: APRI: A simple bedside marker for advanced fibrosis that can avoid liver biopsy in patients with NAFLD/NASH. S Afr Med J. 101:477–480. 2011.PubMed/NCBI

16 

Sumida Y, Yoneda M, Hyogo H, Itoh Y, Ono M, Fujii H, Eguchi Y, Suzuki Y, Aoki N, Kanemasa K, et al: Validation of the FIB4 index in a Japanese nonalcoholic fatty liver disease population. BMC Gastroenterol. 12:22012. View Article : Google Scholar : PubMed/NCBI

17 

Brierley JD, Gospodarowicz MK and Wittekind CH: TNM classification of malignant tumors. UICC International Union Against Cancer; 8th edition. New York, USA: pp. 90–93. 2016

18 

Makuuchi M and Kokudo N: Clinical practice guidelines for hepatocellular carcinoma: The first evidence based guidelines from Japan. World J Gastroenterol. 12:828–829. 2006. View Article : Google Scholar : PubMed/NCBI

19 

Kubota K, Makuuchi M, Kusaka K, Kobayashi T, Miki K, Hasegawa K, Harihara Y and Takayama T: Measurement of liver volume and hepatic functional reserve as a guide to decision-making in resectional surgery for hepatic tumors. Hepatology. 26:1176–1181. 1997. View Article : Google Scholar : PubMed/NCBI

20 

Jang ES, Jeong SH, Kim JW, Hoi YS, Leissner P and Brechot C: Diagnostic performance of alpha-fetoprotein, protein induced by vitamin K absence, osteopontin, Dickkopf-1 and Its combinations for hepatocellular carcinoma. PLoS One. 11:e01510692016. View Article : Google Scholar : PubMed/NCBI

21 

Zhou JW, Li Y, Yue LX, Luo CL, Chen Y and Zhang JY: Autoantibody response to Sui1 and its tissue-specific expression in hepatocellular carcinoma. Tumour Biol. 37:2547–2553. 2016. View Article : Google Scholar : PubMed/NCBI

22 

Nanami T, Hoshino I, Ito M, Yajima S, Oshima Y, Suzuki T, Shiratori F, Nabeya Y, Funahashi K and Shimada H: Prevalence of autoantibodies against Ras-like GTPases, RalA, in patients with gastric cancer. Mol Clin Oncol. 13:282020.PubMed/NCBI

23 

Nanami T, Shimada H, Yajima S, Oshima Y, Matsushita K, Nomura F, Nagata M, Tagawa M, Otsuka S, Kuwajima A and Kaneko H: Clinical significance of serum autoantibodies against Ras-like GTPases, RalA, in patients with esophageal squamous cell carcinoma. Esophagus. 13:167–172. 2016. View Article : Google Scholar

24 

Kubota Y, Ogata H, Otsuka S, Kuwajima A, Saito F and Shimada H: Presence of autoantibodies against Ras-like GTPases in Serum-in stage I/II breast cancer. Toho J Med. 3:125–130. 2017.

25 

Sun H, Shi JX, Zhang HF, Xing MT, Li P, Dai LP, Luo CL, Wang X, Wang P, Ye H, et al: Serum autoantibodies against a panel of 15 tumor-associated antigens in the detection of ovarian cancer. Tumour Biol. 39:10104283176991322017. View Article : Google Scholar : PubMed/NCBI

26 

Liu W, Li Y, Wang B, Dai L, Qian W and Zhang JY: Autoimmune response to IGF2 mRNA-binding protein 2 (IMP2/p62) in breast cancer. Scand J Immunol. 81:502–507. 2015. View Article : Google Scholar : PubMed/NCBI

27 

Bauer A and Habior A: Detection of autoantibodies against nucleoporin p62 in Sera of patients with primary biliary cholangitis. Ann Lab Med. 39:291–298. 2019. View Article : Google Scholar : PubMed/NCBI

28 

Yang J, Jiao S, Kang J, Li R and Zhang G: Application of serum NY-ESO-1 antibody assay for early SCLC diagnosis. Int J Clin Exp Pathol. 8:14959–14964. 2015.PubMed/NCBI

29 

Zhang Z, Li FF, Lu MD, Zhang SX and Li YX: Anti-NY-ESO-1 autoantibody may be a tumor marker for intrahepatic cholangiocarcinoma. Oncotarget. 8:103283–103289. 2017. View Article : Google Scholar : PubMed/NCBI

30 

Herkel J, Modrow JP, Bamberger S, Kanzler S, Rotter V, Cohen IR and Lohse AW: Prevalence of autoantibodies to the p53 protein in autoimmune hepatitis. Autoimmunity. 35:493–496. 2002. View Article : Google Scholar : PubMed/NCBI

31 

Himoto T, Yoneyama H, Kurokohchi K, Inukai M, Masugata H, Goda F, Haba R, Watanabe S, Senda S and Masaki T: Clinical significance of autoantibodies to p53 protein in patients with autoimmune liver diseases. Can J Gastroenterol. 26:125–129. 2012. View Article : Google Scholar : PubMed/NCBI

32 

Okada R, Shimada H, Otsuka Y, Tsuchiya M, Ishii J, Katagiri T, Maeda T, Kubota Y, Nemoto T and Kaneko H: Serum p53 antibody as a potential tumor marker in extrahepatic cholangiocarcinoma. Surg Today. 47:1492–1499. 2017. View Article : Google Scholar : PubMed/NCBI

33 

Ito M, Hiwasa T, Oshima Y, Yajima S, Suzuki T, Nanami T, Sumazaki M, Shiratori F, Funahashi K, Li SY, et al: Association of serum anti-PCSK9 antibody levels with favorable postoperative prognosis in esophageal cancer. Front Oncol. 11:7080392021. View Article : Google Scholar : PubMed/NCBI

34 

Wang Z, Gou W, Liu M, Sang W, Chu H and Zhang W: Expression of P53 and HSP70 in chronic hepatitis, liver cirrhosis, and early and advanced hepatocellular carcinoma tissues and their diagnostic value in hepatocellular carcinoma: An immunohistochemical study. Med Sci Monit. 21:3209–3215. 2015. View Article : Google Scholar : PubMed/NCBI

35 

Wang K, Chen Y, Liu S, Qiu S, Gao S, Huang X, Zhang J, Peng X, Qiani W and Zhang JY: Immunogenicity of Ra1A and its tissue-specific expression in hepatocellular carcinoma. Int J Immunopathol Pharmacol. 22:735–743. 2009. View Article : Google Scholar : PubMed/NCBI

36 

Liu J, Li W, Deng M, Liu D, Ma Q and Feng X: Immunohistochemical determination of p53 protein overexpression for predicting p53 gene mutations in hepatocellular carcinoma: A meta-analysis. PLoS One. 11:e01596362016. View Article : Google Scholar : PubMed/NCBI

37 

Chen L, Liu Y, Zhang Q, Zhang M, Han X, Li Q, Xie T, Wu Q and Sui X: p53/PCDH17/Beclin-1 proteins as prognostic predictors for urinary bladder cancer. J Cancer. 10:6207–6216. 2019. View Article : Google Scholar : PubMed/NCBI

38 

Bian C, Li Z, Xu Y, Wang J, Xu L and Shen H: Clinical outcome and expression of mutant P53, P16, and Smad4 in lung adenocarcinoma: A prospective study. World J Surg Oncol. 13:1282015. View Article : Google Scholar : PubMed/NCBI

39 

Kashofer K and Regauer S: Analysis of full coding sequence of the TP53 gene in invasive vulvar cancers: Implications for therapy. Gynecol Oncol. 146:314–318. 2017. View Article : Google Scholar : PubMed/NCBI

Related Articles

  • Abstract
  • View
  • Download
  • Twitter
Copy and paste a formatted citation
Spandidos Publications style
Okada R, Otsuka Y, Yokosuka O, Kato N, Imazaki F, Hoshino I, Sugiura N, Mizumoto H, Azemoto R, Kato K, Kato K, et al: Six autoantibodies as potential differential biomarkers of hepatocellular carcinoma vs. liver cirrhosis and chronic hepatitis: A prospective multi‑institutional study. Oncol Lett 24: 367, 2022.
APA
Okada, R., Otsuka, Y., Yokosuka, O., Kato, N., Imazaki, F., Hoshino, I. ... Shimada, H. (2022). Six autoantibodies as potential differential biomarkers of hepatocellular carcinoma vs. liver cirrhosis and chronic hepatitis: A prospective multi‑institutional study. Oncology Letters, 24, 367. https://doi.org/10.3892/ol.2022.13487
MLA
Okada, R., Otsuka, Y., Yokosuka, O., Kato, N., Imazaki, F., Hoshino, I., Sugiura, N., Mizumoto, H., Azemoto, R., Kato, K., Shimada, H."Six autoantibodies as potential differential biomarkers of hepatocellular carcinoma vs. liver cirrhosis and chronic hepatitis: A prospective multi‑institutional study". Oncology Letters 24.4 (2022): 367.
Chicago
Okada, R., Otsuka, Y., Yokosuka, O., Kato, N., Imazaki, F., Hoshino, I., Sugiura, N., Mizumoto, H., Azemoto, R., Kato, K., Shimada, H."Six autoantibodies as potential differential biomarkers of hepatocellular carcinoma vs. liver cirrhosis and chronic hepatitis: A prospective multi‑institutional study". Oncology Letters 24, no. 4 (2022): 367. https://doi.org/10.3892/ol.2022.13487
Copy and paste a formatted citation
x
Spandidos Publications style
Okada R, Otsuka Y, Yokosuka O, Kato N, Imazaki F, Hoshino I, Sugiura N, Mizumoto H, Azemoto R, Kato K, Kato K, et al: Six autoantibodies as potential differential biomarkers of hepatocellular carcinoma vs. liver cirrhosis and chronic hepatitis: A prospective multi‑institutional study. Oncol Lett 24: 367, 2022.
APA
Okada, R., Otsuka, Y., Yokosuka, O., Kato, N., Imazaki, F., Hoshino, I. ... Shimada, H. (2022). Six autoantibodies as potential differential biomarkers of hepatocellular carcinoma vs. liver cirrhosis and chronic hepatitis: A prospective multi‑institutional study. Oncology Letters, 24, 367. https://doi.org/10.3892/ol.2022.13487
MLA
Okada, R., Otsuka, Y., Yokosuka, O., Kato, N., Imazaki, F., Hoshino, I., Sugiura, N., Mizumoto, H., Azemoto, R., Kato, K., Shimada, H."Six autoantibodies as potential differential biomarkers of hepatocellular carcinoma vs. liver cirrhosis and chronic hepatitis: A prospective multi‑institutional study". Oncology Letters 24.4 (2022): 367.
Chicago
Okada, R., Otsuka, Y., Yokosuka, O., Kato, N., Imazaki, F., Hoshino, I., Sugiura, N., Mizumoto, H., Azemoto, R., Kato, K., Shimada, H."Six autoantibodies as potential differential biomarkers of hepatocellular carcinoma vs. liver cirrhosis and chronic hepatitis: A prospective multi‑institutional study". Oncology Letters 24, no. 4 (2022): 367. https://doi.org/10.3892/ol.2022.13487
Follow us
  • Twitter
  • LinkedIn
  • Facebook
About
  • Spandidos Publications
  • Careers
  • Cookie Policy
  • Privacy Policy
How can we help?
  • Help
  • Live Chat
  • Contact
  • Email to our Support Team