Spandidos Publications Logo
  • About
    • About Spandidos
    • Aims and Scopes
    • Abstracting and Indexing
    • Editorial Policies
    • Reprints and Permissions
    • Job Opportunities
    • Terms and Conditions
    • Contact
  • Journals
    • All Journals
    • Oncology Letters
      • Oncology Letters
      • Information for Authors
      • Editorial Policies
      • Editorial Board
      • Aims and Scope
      • Abstracting and Indexing
      • Bibliographic Information
      • Archive
    • International Journal of Oncology
      • International Journal of Oncology
      • Information for Authors
      • Editorial Policies
      • Editorial Board
      • Aims and Scope
      • Abstracting and Indexing
      • Bibliographic Information
      • Archive
    • Molecular and Clinical Oncology
      • Molecular and Clinical Oncology
      • Information for Authors
      • Editorial Policies
      • Editorial Board
      • Aims and Scope
      • Abstracting and Indexing
      • Bibliographic Information
      • Archive
    • Experimental and Therapeutic Medicine
      • Experimental and Therapeutic Medicine
      • Information for Authors
      • Editorial Policies
      • Editorial Board
      • Aims and Scope
      • Abstracting and Indexing
      • Bibliographic Information
      • Archive
    • International Journal of Molecular Medicine
      • International Journal of Molecular Medicine
      • Information for Authors
      • Editorial Policies
      • Editorial Board
      • Aims and Scope
      • Abstracting and Indexing
      • Bibliographic Information
      • Archive
    • Biomedical Reports
      • Biomedical Reports
      • Information for Authors
      • Editorial Policies
      • Editorial Board
      • Aims and Scope
      • Abstracting and Indexing
      • Bibliographic Information
      • Archive
    • Oncology Reports
      • Oncology Reports
      • Information for Authors
      • Editorial Policies
      • Editorial Board
      • Aims and Scope
      • Abstracting and Indexing
      • Bibliographic Information
      • Archive
    • Molecular Medicine Reports
      • Molecular Medicine Reports
      • Information for Authors
      • Editorial Policies
      • Editorial Board
      • Aims and Scope
      • Abstracting and Indexing
      • Bibliographic Information
      • Archive
    • World Academy of Sciences Journal
      • World Academy of Sciences Journal
      • Information for Authors
      • Editorial Policies
      • Editorial Board
      • Aims and Scope
      • Abstracting and Indexing
      • Bibliographic Information
      • Archive
    • International Journal of Functional Nutrition
      • International Journal of Functional Nutrition
      • Information for Authors
      • Editorial Policies
      • Editorial Board
      • Aims and Scope
      • Abstracting and Indexing
      • Bibliographic Information
      • Archive
    • International Journal of Epigenetics
      • International Journal of Epigenetics
      • Information for Authors
      • Editorial Policies
      • Editorial Board
      • Aims and Scope
      • Abstracting and Indexing
      • Bibliographic Information
      • Archive
    • Medicine International
      • Medicine International
      • Information for Authors
      • Editorial Policies
      • Editorial Board
      • Aims and Scope
      • Abstracting and Indexing
      • Bibliographic Information
      • Archive
  • Articles
  • Information
    • Information for Authors
    • Information for Reviewers
    • Information for Librarians
    • Information for Advertisers
    • Conferences
  • Language Editing
Spandidos Publications Logo
  • About
    • About Spandidos
    • Aims and Scopes
    • Abstracting and Indexing
    • Editorial Policies
    • Reprints and Permissions
    • Job Opportunities
    • Terms and Conditions
    • Contact
  • Journals
    • All Journals
    • Biomedical Reports
      • Information for Authors
      • Editorial Policies
      • Editorial Board
      • Aims and Scope
      • Abstracting and Indexing
      • Bibliographic Information
      • Archive
    • Experimental and Therapeutic Medicine
      • Information for Authors
      • Editorial Policies
      • Editorial Board
      • Aims and Scope
      • Abstracting and Indexing
      • Bibliographic Information
      • Archive
    • International Journal of Epigenetics
      • Information for Authors
      • Editorial Policies
      • Editorial Board
      • Aims and Scope
      • Abstracting and Indexing
      • Bibliographic Information
      • Archive
    • International Journal of Functional Nutrition
      • Information for Authors
      • Editorial Policies
      • Editorial Board
      • Aims and Scope
      • Abstracting and Indexing
      • Bibliographic Information
      • Archive
    • International Journal of Molecular Medicine
      • Information for Authors
      • Editorial Policies
      • Editorial Board
      • Aims and Scope
      • Abstracting and Indexing
      • Bibliographic Information
      • Archive
    • International Journal of Oncology
      • Information for Authors
      • Editorial Policies
      • Editorial Board
      • Aims and Scope
      • Abstracting and Indexing
      • Bibliographic Information
      • Archive
    • Medicine International
      • Information for Authors
      • Editorial Policies
      • Editorial Board
      • Aims and Scope
      • Abstracting and Indexing
      • Bibliographic Information
      • Archive
    • Molecular and Clinical Oncology
      • Information for Authors
      • Editorial Policies
      • Editorial Board
      • Aims and Scope
      • Abstracting and Indexing
      • Bibliographic Information
      • Archive
    • Molecular Medicine Reports
      • Information for Authors
      • Editorial Policies
      • Editorial Board
      • Aims and Scope
      • Abstracting and Indexing
      • Bibliographic Information
      • Archive
    • Oncology Letters
      • Information for Authors
      • Editorial Policies
      • Editorial Board
      • Aims and Scope
      • Abstracting and Indexing
      • Bibliographic Information
      • Archive
    • Oncology Reports
      • Information for Authors
      • Editorial Policies
      • Editorial Board
      • Aims and Scope
      • Abstracting and Indexing
      • Bibliographic Information
      • Archive
    • World Academy of Sciences Journal
      • Information for Authors
      • Editorial Policies
      • Editorial Board
      • Aims and Scope
      • Abstracting and Indexing
      • Bibliographic Information
      • Archive
  • Articles
  • Information
    • For Authors
    • For Reviewers
    • For Librarians
    • For Advertisers
    • Conferences
  • Language Editing
Login Register Submit
  • This site uses cookies
  • You can change your cookie settings at any time by following the instructions in our Cookie Policy. To find out more, you may read our Privacy Policy.

    I agree
Search articles by DOI, keyword, author or affiliation
Search
Advanced Search
presentation
Oncology Letters
Join Editorial Board Propose a Special Issue
Print ISSN: 1792-1074 Online ISSN: 1792-1082
Journal Cover
January-2023 Volume 25 Issue 1

Full Size Image

Sign up for eToc alerts
Recommend to Library

Journals

International Journal of Molecular Medicine

International Journal of Molecular Medicine

International Journal of Molecular Medicine is an international journal devoted to molecular mechanisms of human disease.

International Journal of Oncology

International Journal of Oncology

International Journal of Oncology is an international journal devoted to oncology research and cancer treatment.

Molecular Medicine Reports

Molecular Medicine Reports

Covers molecular medicine topics such as pharmacology, pathology, genetics, neuroscience, infectious diseases, molecular cardiology, and molecular surgery.

Oncology Reports

Oncology Reports

Oncology Reports is an international journal devoted to fundamental and applied research in Oncology.

Experimental and Therapeutic Medicine

Experimental and Therapeutic Medicine

Experimental and Therapeutic Medicine is an international journal devoted to laboratory and clinical medicine.

Oncology Letters

Oncology Letters

Oncology Letters is an international journal devoted to Experimental and Clinical Oncology.

Biomedical Reports

Biomedical Reports

Explores a wide range of biological and medical fields, including pharmacology, genetics, microbiology, neuroscience, and molecular cardiology.

Molecular and Clinical Oncology

Molecular and Clinical Oncology

International journal addressing all aspects of oncology research, from tumorigenesis and oncogenes to chemotherapy and metastasis.

World Academy of Sciences Journal

World Academy of Sciences Journal

Multidisciplinary open-access journal spanning biochemistry, genetics, neuroscience, environmental health, and synthetic biology.

International Journal of Functional Nutrition

International Journal of Functional Nutrition

Open-access journal combining biochemistry, pharmacology, immunology, and genetics to advance health through functional nutrition.

International Journal of Epigenetics

International Journal of Epigenetics

Publishes open-access research on using epigenetics to advance understanding and treatment of human disease.

Medicine International

Medicine International

An International Open Access Journal Devoted to General Medicine.

Journal Cover
January-2023 Volume 25 Issue 1

Full Size Image

Sign up for eToc alerts
Recommend to Library

  • Article
  • Citations
    • Cite This Article
    • Download Citation
    • Create Citation Alert
    • Remove Citation Alert
    • Cited By
  • Similar Articles
    • Related Articles (in Spandidos Publications)
    • Similar Articles (Google Scholar)
    • Similar Articles (PubMed)
  • Download PDF
  • Download XML
  • View XML

  • Supplementary Files
    • Supplementary_Data.pdf
Article Open Access

Safety and preliminary activity of pembrolizumab‑carboplatin‑paclitaxel in heavily pretreated and/or fragile patients with PDL1‑positive recurrent/metastatic head and neck cancer

  • Authors:
    • Santiago Cabezas-Camarero
    • Salomé Merino-Menéndez
    • María Nieves Cabrera-Martín
    • Miguel J. Sotelo
    • José Carlos Plaza-Hernández
    • Farzin Falahat
    • María Cruz Iglesias-Moreno
    • Pedro Pérez-Segura
  • View Affiliations / Copyright

    Affiliations: Head and Neck Cancer, Neuro‑Oncology and Genetic Counseling Unit, Medical Oncology Department, Instituto de Investigación Sanitaria San Carlos, Madrid 28040, Spain, Radiology Department, Clinico San Carlos University Hospital, Madrid 28040, Spain, Nuclear Medicine Department, Clinico San Carlos University Hospital, Madrid 28040, Spain, Medical Oncology Department, Aliada Cancer Center, San Isidro 15036, Peru, Pathology Department, Clinico San Carlos University Hospital, Madrid 28040, Spain, Department of Craniomaxilofacial Surgery, Clinico San Carlos University Hospital, Madrid 28040, Spain, 9Otolaryngology‑Head and Neck Surgery, Clinico San Carlos University Hospital, Madrid 28040, Spain
    Copyright: © Cabezas-Camarero et al. This is an open access article distributed under the terms of Creative Commons Attribution License.
  • Article Number: 37
    |
    Published online on: December 7, 2022
       https://doi.org/10.3892/ol.2022.13623
  • Expand metrics +
Metrics: Total Views: 0 (Spandidos Publications: | PMC Statistics: )
Metrics: Total PDF Downloads: 0 (Spandidos Publications: | PMC Statistics: )
Cited By (CrossRef): 0 citations Loading Articles...

This article is mentioned in:



Abstract

Novel chemo‑immunotherapy (chemo‑IO) combinations should be evaluated, which may be suitable for cisplatin‑unfit or fluoropyrimide‑ineligible patients with recurrent or metastatic squamous cell carcinoma of head and neck (R/M SCCHN) to guarantee higher and deeper responses than IO alone. The aim of the present study was to review our experience using pembrolizumab‑carboplatin‑paclitaxel (pembro + CP) in patients with R/M SCCHN. This was a retrospective study of patients with R/M SCCHN who received pembro + CP in any‑line via a compassionate‑use program. The present study evaluated safety using Common Terminology Criteria for Adverse Events v4.0, compliance, overall response rate (ORR) and disease control rate (DCR) using Response Evaluation Criteria in Solid Tumors 1.1, duration of treatment, progression‑free survival (PFS) and overall survival (OS). Between March 2020 and August 2021, 10 patients were identified (median age, 64 years; female, 60%; Eastern Cooperative Oncology Group 2, 80%). A total of 8 patients received pembro + 3‑weekly carboplatin‑paclitaxel (3wkCP). A total of 2 patients received pembro + weekly carboplatin‑paclitaxel (wkCP). Patients received a median of 3 lines (range, 0‑6) of systemic therapy prior to pembro + CP and 80% received IO in previous lines. Grade 1‑2 adverse events (AEs) occurred in 100% of patients. Grade 3‑5 AEs occurred in 30% of patients [all grade 3 (anemia, neutropenia, thrombopenia, hypertension)]. The mean numbers of pembro + wkCP and pembro + 3wkCP cycles were 2.5 and 6. The ORR (n=7) was 14% (1/7) with one complete response. The DCR was 43% (3/7). The median PFS (n=7) and OS (n=10) times since pembro + CP were 5 months (95% CI, 1‑9) and 6 months (95% CI, 0.5‑14), respectively. In this small retrospective series of heavily pretreated patients, pembro + CP was well tolerated, and compliance was high. Studies should be conducted to prospectively evaluate the safety and efficacy of this combination in patients with R/M SCCHN.

Introduction

Immune checkpoint inhibitors (ICIs) have shown to improve overall survival in the recurrent/metastatic (R/M) setting of squamous cell cancer of the head and neck (SCCHN). Nivolumab is approved in second line after progression to platinum or in first-line platinum-refractory disease (1). Pembrolizumab alone or combined with chemotherapy is approved in the first-line platinum-sensitive setting. However, objective response rates (ORR) with single-agent PD(L)1 inhibitors in R/M SCCHN fall below 25% and are usually slower than those observed with chemotherapy (2). In addition, chemotherapy aids in promoting a more efficient neoantigen presentation and modifies the tumor microenvironment (TME) reducing the immunosuppressive component, thereby potentially synergizing with ICIs (3,4). While pembrolizumab combined with three-weekly platinum and 5-FU achieves ORR ranging from 36 to 42% depending on the combined positive score (CPS) value, it is estimated, depending on the population studied, that up to 40% R/M SCCHN patients are unfit for high-dose cisplatin or for fluoropyrimidines (5,6). Taxane-based chemo-immunotherapy (chemo-IO) combinations have been tested in the locally-advanced neoadjuvant setting demonstrating promising efficacy and safety profiles (7–10). Recently, results of the Keynote-B10 trial with pembrolizumab and three-weekly carboplatin and paclitaxel in first-line R/M SCCHN were reported, demonstrating a notable ORR of 43%, a median progression-free survival (PFS) of 5.6 months and a median overall survival (OS) of 12.1 months (11). In addition, the same combination is FDA- and EMA-approved in other squamous histologies such as CPS ≥1 first-line metastatic squamous cell non-small cell lung cancer (sqNSCLC) (12). In addition, taxane-based dose-adapted chemo-IO combinations are promising alternatives for highly comorbid or ECOG ≥2 patients with R/M SCCHN who need a high and deep response rate (NCT04282109) (11,13). In the present series we aimed to retrospectively evaluate the safety and preliminary activity of pembrolizumab-carboplatin-paclitaxel (pembro + CP) in heavily pretreated R/M SCCHN.

Materials and methods

Study design and patients

Retrospective study of R/M SCCHN patients that were treated with pembrolizumab-carboplatin-paclitaxel as first- or subsequent lines of therapy, via a compassionate use program for cisplatin-unfit or fluoropyrimidine ineligible patients. Criteria of cisplatin ineligibility were i) ECOG performance status (PS) of 2 and/or ii) creatinine-clearance (ClCr) <60 ml/min and/or iii) CTCAE Gr ≥2 hearing loss and/or iv) CTCAE Gr ≥2 neuropathy and/or v) history of ischemic heart disease and/or vi) history of heart failure. Criteria of fluoropyrimidines ineligibility were i) history of ischemic heart disease and/or ii) history of heart failure and/or iii) complete dihydropyrimidine dehydrogenase (DPD) deficiency and/or iv) severe hepatic insufficiency and/or v) unavailable central venous catheter placement (6,14). In addition, all patients treated with pembro + CP had to have a CPS ≥1.

Other inclusion criteria were: i) ≥18 years of age; ii) confirmed R/M SCCHN of the oropharynx, oral cavity, hypopharynx or larynx progressing on or after a previous line of systemic therapy and not eligible for a curative-intent therapy; iii) Cisplatin-unfit and/or ineligible for fluoropyrimidines as per the above definitions; iv) WHO/ECOG Performance status of 0, 1 or 2 at the time of starting pembro + CP; v) Adequate organ function as defined by: hemoglobin ≥9.0 g/dl, absolute neutrophil count ≥1,500/mm3, platelets ≥75,000/mm3, total bilirubin ≤1.5× upper level of normal (ULN), AST and AST ≤2.5 ULN, CrCl ≥30 ml/min as per the Cockcroft-Gault formula; vi) Body weight >30 kg; vii) a minimum life expectancy of 12 weeks

Exclusion criteria were: i) a histologically confirmed head and neck cancer of any other primary anatomic site, an unknown primary site SCCHN or a non-squamous histology; ii) any unresolved toxicity of CTCAE ≥ grade 2 except alopecia, vitiligo and laboratory values defined in the inclusion criteria; iii) a history or organ transplantation or active or previously documented autoimmune disorders with the exception of vitiligo, alopecia, stable and treated hypothyroidism; iv) active infection including tuberculosis, hepatitis B, hepatitis C or human immunodeficiency virus; v) an uncontrolled intercurrent illness such as ongoing or active infection, congestive heart failure, uncontrolled hypertension, unstable angina pectoris, uncontrolled cardiac arrhythmia, chronic gastrointestinal conditions associated with diarrhea or psychiatric illness or social conditions that would limit the compliance with treatment.

A descriptive study of baseline characteristics was performed. Three different geriatric and comorbidity scores were used: the modified Charlson Comorbidity Index (mCCI) and the Adult Comorbidity Evaluation-27 (ACE-27) with a mCCI ≥2 and ACE-27 ≥3 indicating moderate-to-severe comorbidity. The third scoring system was the Generalized Competing Event Composite Omega Score (GCE-COS) which encompasses different comorbidity scores to predict relative cancer vs. noncancer risk and may be accessed through an online tool, with a GCE-COS ≥0.6 indicating a higher overall survival with oncological treatment (15).

Adverse events (AEs) were recorded using the National Cancer Institute Common Terminology Criteria for Adverse Events, version 4.0. ORR according to Response Evaluation Criteria in Solid Tumors (RECIST) 1.1, disease control rate (DCR), percentage of tumor change from baseline in target lesions (PCTL), progression-free survival (PFS), duration of treatment (DOT), and OS from the start of pembro + CP and from the start of first-line therapy were studied (16). Dose intensity for each agent and treatment compliance were also recorded.

The primary endpoint was safety. Secondary endpoints were, treatment compliance, ORR, DCR, PCTL, DOT, PFS and OS since pembro + CP (defined as the time from the start of pembro + CP until disease progression or death due to any cause, respectively), and OS since the first line of treatment (defined as the time from the start of first-line therapy until death from any cause). Considering that this is a heterogenous series, with patients receiving pembro + CP at different lines of therapy, efficacy results are presented using a swimmers plot depicting the treatment history from the start of pembro + CP and from the start of first-line therapy following the Trial Reporting in Immuno-Oncology (TRIO) guidelines (17).

Dosing of pembrolimab-carboplatin-paclitaxel

Chemotherapy within the Pembro + CP regimen could be administered as a weekly or a three-weekly schedule, as follows: a) Pembrolizumab (200 mg/q3wk IV) plus three-weekly carboplatin (AUC 3–5) and paclitaxel (125–175 mg/m2); b) Pembrolizumab (200 mg/q3wk IV) day 1 plus weekly carboplatin (AUC 1.5-2) and paclitaxel (60–80 mg/m2) days 1, 8 and 15.

The final dosing of chemotherapy was allowed to be modified (within the ranges detailed above) in the first or subsequent cycles according to the ECOG performance status, comorbidities, or previous toxicities, as per the investigator's discretion.

Evaluation of response

RECIST 1.1 criteria were used for response evaluation, with CT scans performed every 8 to 12 weeks, according to the local protocol. Two expert radiologists in head and neck cancer evaluated each case independently. A consensus was achieved in case of discordant cases between the two.

A ≥30% decrease in the sum of the diameters of target lesions (TL) and a ≥20% increase in the sum of diameters of TL or the appearance of new metastatic lesions, defined a partial response (PR) and progressive disease (PD), respectively. Stable disease (SD) was defined as a change in the size of TL ranging between a 30% decrease and a 20% increase in the sum of their diameters (16).

DCR was defined as the percentage of patients achieving CR, PR and SD. Confirmed responses or SD had to be confirmed in at least two consecutive CT scans. Both confirmed and unconfirmed responses, SD and DCR were reported.

PD-L1 expression

PD-L1 membrane expression was measured in tumor cells using an immunohistochemistry assay. The PDL1 IHC 22C3 pharmDx (Dako North America, Carpinteria, CA) immunohistochemistry assay, was used to measure PD-L1 expression in tumor and mononuclear stromal cells. At least a partial membrane staining in ≥1% of cells had to be present to consider a positive expression. The expression of PD-L1 in tumor cells only was used to calculate the tumor proportion score (TPS), as previously described (1). The expression of PD-L1 in tumor cells and mononuclear stromal cells were measured to calculate the CPS value, as previously described (18).

Statistical analysis and sample size justification

Dose-adapted pembro + CP was hypothesized to be less toxic than the combination of pembrolizumab + three-weekly platinum + 5FU (PF) tested in the Keynote-048 trial (2). The combination of pembrolizumab plus three-weekly platinum + 5FU is associated with a composite 94% of grade ≥3 AEs (summatory of incidence of hematological, gastrointestinal, and respiratory AEs). Dose-adjusted pembro + CP was expected to account for a 45% composite rate of grade ≥3 AEs. With an 80% power and a 95% CI (unilateral test), a total of 10 patients would have to be enrolled to demonstrate a 45% composite rate of grade ≥3 AEs with pembro + CP.

A descriptive analysis of demographic and clinicopathological data was performed. The Kaplan-Meier method was used to estimate PFS and OS, and the Fisher's Exact Test and Pearson's and Kendall's Correlations Tests were used to evaluate any association or correlations, respectively. The software SPSS Statistics for MacOS, version 23.0 (IBM SPSS Statistics for McOS, Version 23.0, Armonk, NY) was used for all statistical analyses.

Ethical considerations

All patients signed and informed consent form before starting pembro + CP as part of a compassionate use program, approved by the Compassionate Use Therapy Commission of Hospital Clínico Universitario San Carlos. The present study was approved by the Institutional Review Board of Hospital Clínico Universitario San Carlos and was conducted in accordance with the principles of the Declaration of Helsinki. The requirement of informed consent was waived as the study was based on a retrospective analysis of existing administrative and clinical data.

Results

Baseline characteristics

Between March 2020 and August 2021, ten patients were included, that were followed until March 31st, 2022. Baseline characteristics of the patients are summarized in Table I.

Table I.

Patient (n=10) and tumor characteristics.

Table I.

Patient (n=10) and tumor characteristics.

CharacteristicsValue
Age at pembro + CP, years
  Median (min-max)64 (36–89)
  ≥70, n (%)4 (40)
  <70, n (%)6 (60)
ECOG at pembro + CP, n (%)
  00 (0)
  12 (20)
  28 (80)
Median mCCI (range, min-max)9 (7–13)
Median ACE-27 (range, min-max)3 (3–3)
GCE-COS
  Median (range, min-max)0.812 (0.714-0.867)
  COS <0.6, n (%)0 (0)
  COS ≥0.6, n (%)10 (100)
Smoking history, n (%)10 (100)
Sex, n (%)
  Male4 (40)
  Female6 (60)
Anatomic subsite, n (%)
  Oral cavity7 (70)
  Oropharynx3 (1 HPV+; 2 HPV-) (30)
Stage, n (%)
  IVA7 (70)
  IVB2 (20)
  IVC1 (10)
Treatment at initial diagnosis, n (%)
  Surgery6 (60)
  Adjuvant CRT6 (60)
  wkCDDP2
  Cetuximab4
  Radical CRT4 (40)
  3wkCDDP1
  wkCDDP1
  Cetuximab2
  Induction CT4 (40)
  wkP-Cetuximab1
  TPF3
  Upfront TX for R/M1 (10)
  Pembro1 (10)
R/M disease at pembro + CP
  Locoregional only, n (%)7 (70)
  Distant only, n (%)1 (10)
  Locoregional + distant, n (%)2 (20)
  Median prior lines of TX (range, min-max)3 (1–5)
  Prior platinum-based TX, n (%)6 (60%)
  Prior ICIs, n (%)8 (80%)
Median no. of lines for R/M disease (range, min-max)4 (2–7)

[i] 3wk, 3-weekly; ACE-27, Adult Comorbidity Evaluation-27; CDDP, cisplatin; CRT, chemoradiotherapy; CT, chemotherapy; ECOG, Eastern Cooperative Oncology Group; GCE-COS, Generalized Competing Event Composite Omega Score; HPV, human papillomavirus; ICIs, immune checkpoint inhibitors; mCCI, modified Charlson comorbidity index; pembro, pembrolizumab; pembro + CP, pembrolizumab-carboplatin-paclitaxel; R/M, recurrent/metastatic; TPF, 3-weekly docetaxel-platinum-5FU; TX, therapy; wk, weekly; wkP-Cetuximab, weekly paclitaxel + cetuximab.

The most common primary tumor location was the oral cavity (70%). Seventy percent were stage IVA, 20% stage IVB and 10% stage IVC at initial diagnosis. Seventy percent had been treated with surgery, 80% with adjuvant radiotherapy (RT) or radical chemoradiotherapy (CRT), and 40% had received induction chemotherapy. In the R/M setting, 90% of the patients had received at least one line of therapy prior to pembro + CP, with a median of 3 prior lines (range: 0–6), and up to 60 and 80% had received prior platinum and prior ICIs in the R/M setting, respectively.

Sixty percent of patients were female, median age was 64 years old, and 40% were ≥70 years old. At the start of pembro + CP 20% of patients had ECOG 1 and 80% had ECOG 2. All patients were cisplatin-unfit, and, in addition, 2 patients were not eligible for fluoropyrimidines. Median mCCI score was 9 (range: 7–13), ACE-27 was 3 (range: 3–3) and GCE-COS was 0.812 (range: 0.714-0.867).

Pembro + CP regimens used were as follows: a) Pembrolizumab (200 mg/q3wk IV) plus three-weekly carboplatin (AUC5) and paclitaxel (150 mg/m2): n=1; b) Pembrolizumab (200 mg/q3wk IV) plus three-weekly carboplatin (AUC4) and paclitaxel (150 mg/m2): n=2; c) Pembrolizumab (200 mg/q3wk IV) plus three-weekly carboplatin (AUC3) and paclitaxel (150 mg/m2): n=5; d) Pembrolizumab (200 mg/q3wk IV) plus weekly carboplatin (AUC2) and paclitaxel (80 mg/m2) days 1, 8 and 15: n=2.

Toxicity during pembro + CP

In the whole series of 10 patients, grade 1 or 2 AEs occurred in 100% all of them during the combination phase of pembro + CP. Grade 3–5 AEs developed in 30% of patients (Tables II and SI), being grade 3 in all of them and all of them occurring during the combination phase of pembro + CP as well. There were no treatment-related deaths.

Table II.

Summary of toxicity during treatment with pembrolizumab + carboplatin-paclitaxel in 10 patients.

Table II.

Summary of toxicity during treatment with pembrolizumab + carboplatin-paclitaxel in 10 patients.

Event grade (CTCAE v4.0)

ToxicityG1-2, n (%)G1, n (%)G2, n (%)G3-5, n (%)G3, n (%)G4, n (%)G5, n (%)
General
  Asthenia10/10 (100)1/10 (10)9/10 (90)----
Nutrition and metabolic disorders
  Decreased appetite8/10 (80)-8/10 (80)----
  Hypomagnesemia2/10 (20)2/10 (20)-1/10 (10)1/10 (10)--
Gastrointestinal
  Nausea1/10 (10)-1/10 (10)----
Skin
  Alopecia8/10 (80)-8/10 (80)----
Infections
  URT4/10 (40)-4/10 (40)----
  Otitis1/10 (10)1/10 (10)-----
  Soft tissue1/10 (10)1/10 (10)-----
Blood and lymphatic system disorders
  Anemia6/10 (60)1/10 (10)5/10 (50)----
  Neutropenia1/10 (10)-1/10 (10)2/10 (20)2/10 (20)--
  Thrombopenia5/10 (50)1/10 (10)4/10 (40)1/10 (10)1/10 (10)--
Nervous system disorders
  Peripheral neuropathy8/10 (80)7/10 (70)1/10 (10)----
Vascular system disorders
  Hypertension- -1/10 (10)1/10 (10)--

[i] Event grading according to CTCAE version 4.0. -, not applicable; CTCAE, Common Terminology Criteria for Adverse Events; URT, upper respiratory infection.

Among patients treated with three-weekly pembro + CP (n=8), AEs of grades 1 or 2 occurred in 100% of the patients, the most common being asthenia, decreased appetite, anemia, peripheral neuropathy, hypomagnesemia, and alopecia. Grade 3–5 AEs occurred in 3 patients (37.5%), with 2 patients suffering grade 3 neutropenia, 1 grade 3 thrombopenia, 1 grade 3 hypomagnesemia, and 1 patient with grade 3 hypertension, the latter considered unrelated to pembro + CP (Tables II and SI).

Among patients treated with pembrolizumab combined with weekly CP (n=2) both patients suffered from AEs of grades 1 or 2 while no grade 3–5 AEs occurred. Tables II and SI summarize adverse events during pembro + CP in the whole population and in each individual patient, respectively.

Among the 8 patients treated with anti-PD(L)1 agents in previous lines in the R/M setting, three patients had suffered from irAEs: Patient 5 suffered from hyperprogressive disease after 3 doses of first-line nivolumab that was successfully rescued with cetuximab-based chemotherapy, Patient 6 suffered from grade 3 pneumonitis after 5 doses of fifth-line nivolumab, and Patient 9 developed grade 2 hypothirodism after 6 doses of first-line nivolumab. None of them, suffered from these or any other irAEs during treatment with pembro + CP.

Treatment compliance during pembro + CP

Median DOT with pembro + CP was 4.5 months (Min-Max: 0.5-24). Median number of combination pembro + CP cycles was 3 (range: 1–11). Five patients also received maintenance pembrolizumab [median 1 cycle (range: 1–25)].

Among patients who received pembro + 3wkCP (n=8) median number of pembrolizumab, carboplatin and paclitaxel cycles 6 (range-1-11). Only three patients suffered delayed administration of pembro + 3wkCP due to toxicity, with a median of 1 cycle delayed (range: 1–2) and a median delay of 7 days (range: 7–14).

Among patients who received pembro + wkCP (n=2) one patient received 3 cycles of three-weekly pembrolizumab and the other patient received 2 cycles. Number of weekly carboplatin and paclitaxel doses were 2 in one patient and 3 the other patient, respectively. None of the patients suffered delays in treatment administration.

All patients discontinued pembro + CP due to radiological and/or clinical progression.

Detailed dosages of each agent received by each patient are summarized in Tables III and SII.

Table III.

Summary of treatment compliance during treatment with pembrolizumab + carboplatin-paclitaxel.

Table III.

Summary of treatment compliance during treatment with pembrolizumab + carboplatin-paclitaxel.

Pembro + CPMaintenance pembrolizumab


RegimenAgentMean/median no. of cyclesaMean dose per cycleaMean/median no. of cyclesaMean dose per cycle, mga
Pembro + wkCPPembrolizumab2.5 (mean)200 mg      2 (n=1)200
(n=2)Carboplatin2.5 (mean)142 mg/m2--
Paclitaxel2.5 (mean)     70 mg/m2--
Pembro + 3wkCPPembrolizumab       6 (median)200 mg  1 (1–25) (n=4)200
(n=8)Carboplatin       6 (median)203 mg/m2--
Paclitaxel       6 (median)103 mg/m2--

a Number of cycles and dose per cycle for patients treated with pembro + wkCP are presented as the mean. For patients treated with pembro + 3wkCP, the median and range (min-max) are shown for the number of cycles and the mean is presented for the dose per cycle. -, not applicable; 3wkCP, 3-weekly carboplatin-paclitaxel; pembro + CP, pembrolizumab-carboplatin-paclitaxel; wkCP, weekly carboplatin-paclitaxel.

Response during pembro + CP

Among 7 evaluable patients, ORR was 14% (1/7), with 1 complete response (CR) in a patient that received pembro + 3wkCP as second line therapy. Three patients showed stable disease (SD) and 3 progressive disease (PD) as best responses during pembro + CP. DCR after the first CT scan evaluation was 43%. Confirmed DCR (after at least 2 consecutive CT scan evaluations) was 14%. The patient achieving a CR to pembro + CP was the only one where ORR was confirmed with at least two consecutive CT scans. Therefore, the confirmed ORR was 14%. Median PCTL was 10% (range: −100% to +80%) (Tables IV and V).

Table IV.

Response rate, best percentage change from baseline in target lesions and Kaplan-Meier estimates of PFS and OS.

Table IV.

Response rate, best percentage change from baseline in target lesions and Kaplan-Meier estimates of PFS and OS.

VariableValue
Tumor response (n=7)
  ORRa, % (fraction)14 (1/7)
  Type of responsea, % (fraction)
  CR14 (1/7)
  PR0 (0/7)
  SD29 (2/7)
  PD57 (4/7)
  Best PCTL among objective responders,+10 (range,
  % (range)−100 to +80)
  DCRa, % (fraction)43 (3/7)
Median survival (range) (n=10)b,c
  Follow-upb since pembro + CP, months6.5 (0.5-24.0)
  PFS since pembro + CP, months5 (1.0-9.0)
  OS since pembro + CP, months6 (0.5-14.0)
  PFS since pembro + 3wkCP, months (n=8)3 (1.1-4.8)
  OS since pembro + 3wkCP, months (n=8)11 (1.4-20.6)
  Follow-upb since 1st line, months25.5 (7.0-63.0)
  OS since 1st line, months30 (18.0-42.0)

a ORR (14%) and DCR (43%) refers to the first CT scan evaluation. Confirmed DCR after at least two CT scans was 14% (1/7).

b Follow-up times are presented as the median (range, min-max).

c PFS and OS were calculated with the Kaplan-Meier method and are presented as the median (95% CI). -, not applicable; CR, complete response; DCR, disease control rate; N, no. of patients; ORR, objective response rate; OS, overall survival; PCTL, best percentage change from baseline in target lesions; PD, progressive disease; pembro + CP, pembrolizumab + carboplatin-paclitaxel; pembro + 3wkCP, pembrolizumab + 3-weekly carboplatin-paclitaxel; PFS, progression-free survival; PR, partial response; SD, stable disease; TL, target lesions.

Table V.

Clinical history and lines of treatment received before, during and after salvage pembrolizumab + carboplatin-paclitaxel for each individual patient.

Table V.

Clinical history and lines of treatment received before, during and after salvage pembrolizumab + carboplatin-paclitaxel for each individual patient.

Patient order No.Age, years/primary tumor/AJCC 8th Ed stage/HPV/CPS/ treatment at initial DXAge, years/CU or FI/CrCl/PR/ECOG/mCCI/ACE-27/GCE-COS/at pembro + CPLocation of disease at 1st SCAI1st line (DOT)2nd line (DOT)3rd line (DOT)4th line (DOT)5th line (DOT)6th line (DOT)7th line (DOT)OS Pembro + CP (m); OS 1st line (m); Status
  1 75/OC/pT2N2bM0/78/CU/66 ml/min/M (Pleuro-wkP-CetuxNivowkCDDP-NivowkCDDP-Pembro +-OS PCT, 2 m;
IVA/HPV(−)/CPS=Non-PRf/ECOG 2/pulmonary)(5 m)(12 m)Cetux (3 m)(6 m)Cetux (2 m)wkCP (2 m, OS 1st L, 30 m;
80 TPS=80%/SXmCCI=9/ACE-27= PD; +30%) DOD
followed by Adj BRT 3/GCE-COS=0.778
  2 82/OC/pT4aN2bM0/83/CU + FI/95 ml/LRwkP-CetuxNivowkP-CetuxNivowkPC-Pembro +-OS PCT, 4 m;
IVA/HPV(−)/CPS=min/Non-PRf/ (2.5 m)(4 m)(2.5 m)(2 m)Cetux3wkCP OS 1st L, 18 m;
70 TPS=50%/SXECOG 2/mCCI=13/ (1.5 m)(2 m) DOD
followed by Adj BRTACE-27=3/GCE-
COS=0.714
  3 50/OPC/pT4N2cM0/53/CU/104 ml/min/L + RNivowkP-CetuxPembroPembro +(−)(−)(−)OS PCT, 12 m;
III/HPV(+)/CPS=PRf/ECOG 2/ (5 m)(14 m)(6 m)3wkCP (9 m, OS 1st L, 41 m;
10 TPS=2%/TPF ×3mCCI=7/ACE-27= PD; −13%) DOD
followed by Radical 3/GCE-COS=0.812
RT + 3wkCDDP
  4 52/OC/pT4bN2cM0/55/CU/100 ml/min/LwkP-CetuxPembro +(−)(−)(−)(−)(−)OS PCT, 24 m;
IVB/HPV(−)/CPS=Non-PRf/ECOG 2/ (3 m)3wkCP OS 1st L,
100 TPS=100%/mCCI=7/ACE-27= (24 m); CR; AWOD
TPF × 3 followed 3/GCE-COS=0.867 −100%)
by Radical RT +
3wkCDDP
  5 62/OPC/pT4aN0M0/64/CU + FI/114 ml/L + RNivowkP-CetuxwkCDDP-NivowkP-CetuxPembro +(−)OS PCT, 2.5 m;
IVA/HPV(−)/CPS=min/Non-PRf/(1 m)(3 m)Cetux(4 m)(6 m)wkCP (2 m) OS 1st L, 30 m;
60 TPS=60%/SXECOG 2/mCCI=9/ followed DOD
followed by Adj BRTACE-27=3/GCE- by Cetux
COS=0.844 (13 m)
  6 64/OPC/pT2N2bM0/71/CU/97 ml/min/LAnti-PDL1wkP-CetuxNivowkCDDP-Pembro +wkP-CetuxPembro-OS PCT, 9.5 m;
IVA/HPV(−)/CPS=20Non-PRf/ECOG 2/ (CT)(14 m)(15 m)Cetux (4 m)3wkCP(1 m)Cetux (3 m)OS 1st L, 64 m;
TPS=10%/TPF ×3mCCI=9/ACE-27= (4.5 m; DOD
followed by Radical 3/GCE-COS=0.757 SD; +10%)
RT + wkCDDP
  7 70/OC/pT3N2bM0/72/CU/89 ml/min/L + RAnti-PDL1wkP-CetuxPembro +Pembro-(−)(−)(−)OS PCT, 6.5 m;
IVA/HPV(−)/CPS=1Non-PRf/ECOG 2/ (CT)(9 m)3wkCP (2 m;Cetux (4 m) OS 1st L, 19 m;
TPS=0/SX followedmCCI=9/ACE-27= PD; +80%) DOD
by Adj BRT 3/GCE-COS=0.748
  8a 59/OC/pT4aN0M1/59/CU/102 ml/min/L + MPembrowkPC-CetuxNivo-CetuxPembro +(−)(−)(−)OS PCT, 0.5 m;
IVC/HPV(−)/CPS=Non-PRf/ECOG 2/(lung,(1 m)(6 m)(1 m)3wkCP OS 1st L, 11 m;
60 TPS=50%mCCI=9/ACE-27=bone) (0.5 m)a DWDa
3/GCE-COS=0.841
  9 59/OC/cT4bN0M0/59/CU/111 ml/min/RNivoTPExPembro +wkP-Cetux(−)(−)(−)OS PCT, 11 m;
IVB/HPV(−)/CPS=Non-PRf/ECOG 2/ (5 m)(8 m)3wkCP (6.5 m;(5 m) OS 1st L, 25 m;
60 TPS=60%/TPF ×3mCCI=7/ACE-27= SD; +10%) AWD
followed by Radical 3/GCE-COS=0.855
BRT
10 64/OC/pT4aN0M0/64/CU/71 ml/min/L + MPembro +Cetux +(−)(−)(−)(−)(−)OS PCT, 8 m;
IVA/HPV(−)/CPS=PRf/ECOG 1/(lung)3wkCP (5 m,Mona/Pbo OS 1st L, 8 m;
60 TPS=40%/SXmCCI=9/ACE-27= PD; −20%)(CT) AWD
followed by Adj 3/GCE-COS=0.820
RT + wkCDDP

a Died due to COVID19 pneumonia. DOT is indicated for each individual patient and treatment line. ORR, PCTL and DOT are indicated only for patients treated with pembro + CP. Data on efficacy occurring during treatment within a clinical trial are not given. In those cases, it is indicated as ‘(CT)’. (−), not applicable; ACE-27, Adult Comorbidity Evaluation-27; AWD, alive with disease; AWOD, alive without disease; BRT, bioradiotherapy (radiotherapy combined with cetuximab); CPS, combined positive score; CR, complete response; CrCl, creatinine clearance; CDDP, cisplatin; Cetux, cetuximab; CT, clinical trial; CU, cisplatin-unfit; DOD, dead of disease; DOT, duration of treatment; DWD, dead with disease; FI, fluropyrimidine ineligible; GCE-COS, Generalized Competing Event Composite Omega Score; L, local; 1st L, first line; m, months; M, metastatic disease; M1, metastatic stage; mCCI, modified Charlson Comorbidity Index; Mona/Placebo, monalizumab vs. placebo; N, no. of patients; Nivo, nivolumab; Non-PRf, non-platinum-refractory; OC, oral cavity; OPC, oropharyngeal cancer; ORR, overall response rate in target and non-target lesions; OS, overall survival; wkP, weekly paclitaxel; wkPC, weekly paclitaxel-carboplatin; PCTL, best percentage change from baseline in target lesions; PD, progressive disease; Pembro, pembrolizumab; PFS, progression-free survival; PR, partial response; PRf, platinum-refractory; R, regional; RT, radiotherapy; SD, stable disease; SX, surgery; TPEx, 3-weekly docetaxel-platinum-cetuximab; TPF, 3-weekly docetaxel-platinum-5FU; wk, weekly.

Progression-free survival and overall survival

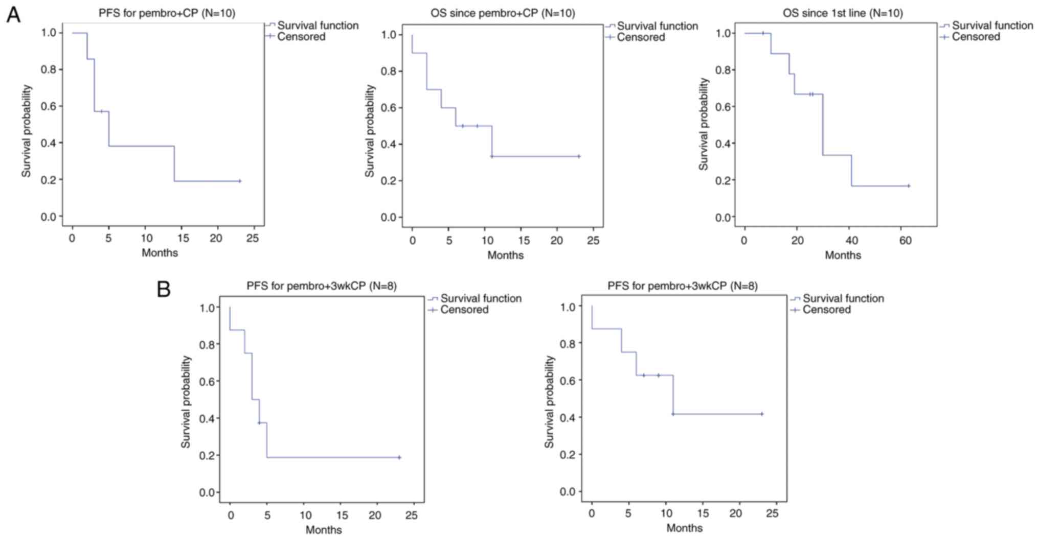
In the whole population, after a median follow-up of 6.5 months (range: 0.5-24), median OS since pembro + CP was 6 months (95% CI 0.5-14) and PFS was 5 months (95% CI 1–9). After a median follow-up of 25.5 m (range: 7–63), median OS since first line was 30 months (95% CI 18–42). Median PFS and OS in the 8 patients treated with pembro + 3wkCP were and 3 months (95% CI 1.1-4.8) and 11 months (95% CI 1.4-20.6), respectively (Tables IV and V, and Fig. 1, Fig. 2, Fig. 3, Fig. 4).

Figure 1.

(A) OS (blue) and DOT (orange) since the start of pembro + CP for each individual patient. (B) OS since the start of first-line treatment for each individual patient. Time is shown in months. Patient 8 died from COVID19 pneumonia 2 weeks after starting pembro + CP. DOT, duration of treatment; OS, overall survival; pembro + CP, pembrolizumab-carboplatin-paclitaxel.

Figure 2.

Treatment history since the start of pembro + CP in 2 patients. (A) Patient 3 and (B) patient 10 (see Table V for more information on each of the cases). Yellow arrows indicate the tumor lesions in each patient. AWD, alive with disease; CT, computed tomography; pembro + CP, pembrolizumab-carboplatin-paclitaxel; PET, positron emission tomography.

Figure 3.

(A) Kaplan-Meier curves for PFS and OS in the whole population for pembro + CP and OS since first-line of therapy. (B) Kaplan-Meier curves for PFS and OS in the 8 patients treated with pembro + 3wkCP. 3wkCP, 3-weekly carboplatin-paclitaxel; OS, overall survival; pembro + CP, pembrolizumab-carboplatin-paclitaxel; PFS, progression-free survival.

Figure 4.

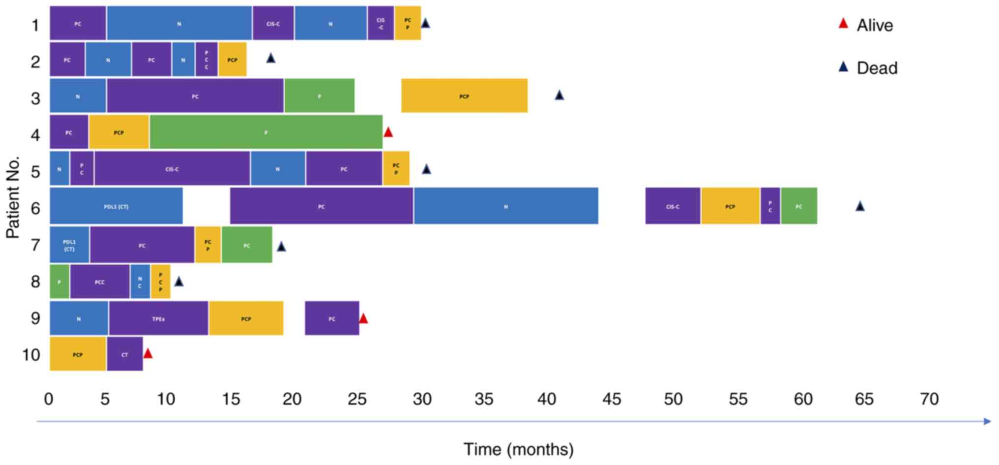
Treatment history since the start of first-line therapy in the 10 patients treated with pembro + CP. Segmented bars show different colors that correspond to the different therapeutic regimens used during the treatment journey of each patient. The colors are as follows: Violet, cetuximab-based chemotherapy; blue, nivolumab-based treatment; yellow, pembrolizumab + CP; and green, pembrolizumab alone. Time is shown in months. Patient 4 received 6 cycles of pembro + 3-weekly carboplatin-paclitaxel (appears in yellow) followed by maintenance therapy with pembrolizumab (appears in green; still ongoing), which has been described in a previous publication (19). Patient 8 died from COVID19 pneumonia 2 weeks after starting pembro + CP. CIS-C, weekly cisplatin + weekly cetuximab; CT, clinical trial; N, nivolumab; NC, nivolumab + weekly cetuximab; P (green), pembrolizumab; PC (violet), weekly paclitaxel and cetuximab; PC (green), pembrolizumab + weekly cetuximab; PCC (violet), weekly carboplatin, paclitaxel and cetuximab; PCP, pembro + CP; PDL1, anti-PDL1 agent; pembro + CP, pembrolizumab-carboplatin-paclitaxel; TPEx, 3-weekly docetaxel + 3-weekly platinum + weekly cetuximab.

Fig. 4 summarizes the treatment journey since the first line of therapy in each of the 10 patients included in the study.

Association of PDL1 expression with response and survival

All patients had a CPS 31, and 8 patients harbored a CPS ≥20. Patient 3 (CPS=10) and patient 7 (CPS=1) had a CPS <20. In all patients CPS was performed in an archived tumor sample obtained at initial diagnosis, and therefore in all cases other therapies-either in the early or R/M settings-had been administered between the time of biopsy collection and the start of pembro + CP. No statistically significant associations nor correlations were found between PDL1 expression measured through the TPS or CPS and ORR, PFS and OS in the whole series as well as in the 8 patients treated with pembro + 3wkCP (Table SIII).

Discussion

In this hypothesis-generating retrospective study of 10 patients with R/M SCCHN treated with pembro + CP, the regimen was well tolerated with no new safety signals attributable to any of the three systemic agents. Among the 8 patients treated with three-weekly pembro + CP, there were 37.5% grade 3 AEs and there were no grade 4 or 5 AEs. Among the 2 patients treated with three-weekly pembrolizumab combined with weekly CP, there were no grade 3–5 AEs. While our patients had a lower toxicity with pembro + CP than previously reported with a similar combination in the Keynote-B10 trial in first-line R/M SCCHN patients-71% suffered grade ≥3 AEs- and in patients with sqNSCLC in the first-line setting-69.8% suffered grade ≥3 AEs-, it must be noted that dosing of carboplatin and paclitaxel in our series was considerably lower due to the heavily pre-treated status of the patients and their poor ECOG (11,12). Probably for the same reasons, toxicity in our series was lower than taxane-and-cisplatin-based chemo-IO combinations previously used in the neoadjuvant setting in patients with LA SCCHN (7–12). Of note, the three patients who suffered from grade ≥3 AEs, all received pembro + 3wkCP and treatment lasted for a minimum of 5 months. In addition, these three patients, received pembro + 3wkCP in the first-, second- and fourth-line settings, and thus were less pre-treated than most of the other patients in the current study. Therefore, higher doses of pembro + 3wkCP and longer treatment periods possibly explain the higher rates of toxicity in these three patients compared to the rest of the patients in the study.

Interestingly, none of the patients in our series suffered from immune-related AEs other than grade 1–2 asthenia, which could also be attributable to chemotherapy. Interestingly, none of the three patients who suffered irAEs under a prior ICI-therapy, developed irAEs during or after treatment with pembro + CP. Although probably explained by the small sample size of our series, this is in contrast with results from Keynote-B10 in patients treated with first-line pembro + CP in R/M SCCHN where irAEs occurred in 26.1%, of which 4.3% where grade ≥3, as well as in contrast with data from patients with sqNSCLC treated with pembro + CP where a 28.8% rate of irAEs was reported, of which 10.8% where grade ≥3 (11,12).

In addition, treatment compliance was high for patients treated with pembro + CP in our series. Only three patients suffered delayed administration of pembro + CP due to toxicity, with a median of 1 cycle delayed and a median delay of 7 days.

In the present series, only 1 complete response to pembro + CP was achieved in an ICI-naïve and platinum-naïve patient after suffering a bulky progression to weekly cetuximab + paclitaxel - which can be found in a previous publication (19) - thereby reaching an ORR of 14% among 7 patients evaluable for response. However, the unconfirmed DCR (i.e. at first CT evaluation) was 43% and median DOT reached 4.5 months, which is notable considering that our patients were fragile and heavily pretreated, which may indicate a potential synergy of the combination of pembro + CP. Among 7 evaluable patients, median PFS for pembro + CP was 5 months (95% CI 1–9) and median OS was 6 months (95% CI 0.5-14). In the Keynote-B10 trial, patients received pembrolizumab (200 mg/21d) + three-weekly carboplatin (AUC5) and paclitaxel (175 mg/m2 d1 or 100 mg/m2 d1,8) in the first-line setting of R/M SCCHN. Among 92 enrolled patients, ORR reached 43%, median PFS was 5.6 months and median OS achieved 12.1 months (12). In Checkmate-141, in an ICI-naïve population, nivolumab compared to second-line standard-of-care (SOC) chemotherapy achieved a median PFS of 2.0 months (vs. 2.3 months) and a median OS of 7.7 months (vs. 5.1 months) (20). Likewise, in Keynote-040, pembrolizumab compared to second-line SOC chemotherapy in patients with a TPS ≥50%, achieved a median OS of 11.6 months vs. 6.6 months, respectively (21). However, it should be noted that in our series, patients had received a median of three prior lines before pembro + CP and that 80% of the patients received pembro + CP as a third or further line of therapy. Indeed, only two patients received pembro + CP as first- or second line, respectively. In addition, 80% of the patients had received treatment with anti-PD(L)1 agents before pembro + CP. Although all the patients were also PDL1 positive with 80% harboring a CPS ≥20, and this may explain the notable PFS and OS achieved, the low ORR compared to other chemo-IO combinations such as pembro + PF in the Keynote-048 where ORR ranged from 35 to 42%, may be explained by the heavily pre-treated nature and reduced chemotherapy dosing in our series (2).

Median OS since the first line achieved 30 months (95% CI 18–42) in our series. In Keynote-048, pembrolizumab combined with platinum-5FU administered for 6 cycles and then followed by maintenance pembrolizumab up to a maximum of 35 cycles, achieved a median OS of 14.7 months in patients with a CPS ≥20 (2). Although our results cannot be compared to those from a large phase III trial, the fact that only half of the patients in Keynote-048 received second-line therapy after IO, while in the current study the median number of treatment lines before pembro + CP was 3, with up to 80% of our patients receiving prior therapy with anti-PD(L)1 agents, may explain the prolonged survival times achieved (2). Indeed, prospective, and retrospective evidence suggests sequential treatment with ICIs followed by salvage chemotherapy associates with longer survival (22–27). In addition, the use of ICI rechallenge may also allow to improve outcomes in patients with R/M SCCHN and in other entities such as NSCLC (25,28–30). In a recently published series of 23 patients treated with ICIs followed by cetuximab-based salvage chemotherapy, our group reported a median OS of 28 months since the start of first-line therapy. Up to 14 patients in that series had received rechallenge with ICIs probably explaining this survival times (25). Wakasugi et al (30), in a recently published retrospective series of 29 patients, reported that OS was significantly longer in patients treated with ICI rechallenge compared to those not receiving ICI rechallenge (17.5 vs. 5.8 months, P=0.034).

In our study 80% of the patients received pembro + three-weekly CP and only 2 patients were treated with pembro + wkCP, with the latter suffering from only grade 1–2 AEs although treatment duration was only 2 months in both patients due to progressive disease. While the limited sample does not allow to make useful comparisons between the two regimens, dosing of chemotherapy may be relevant in R/M SCCHN as has been shown in other entities such as ovarian cancer, where taxane-based dose-dense weekly regimens achieve longer PFS and OS than three-weekly regimens with a better toxicity profile (31). In R/M SCCHN the combination of weekly cetuximab + paclitaxel (wkPCx) has been shown to achieve notable response and survival rates both in the first- and second-line settings. Hitt et al (32), in a phase II non-randomized trial demonstrated an ORR of 54% and a median PFS and OS of 4.2 months and 8.1 months, respectively, in patients treated with first-line wkPCx. In the second-line setting, Chevalier et al (33), reported an ORR of 16.4% and a 5.5-month median OS with wkPCx. In the Keynote-B10 study mentioned before, there were no differences between using three-weekly paclitaxel (175 mg/m2 d1) and weekly paclitaxel (100 mg/m2 d1,8), suggesting that weekly paclitaxel may be similar in terms of efficacy with a potentially more favourable toxicity profile (11). Interestingly, taxane-based weekly chemotherapy combined with cetuximab after progression to ICIs has been reported to achieve higher responses with a favorable impact in survival compared to historical data from the pre-ICI era (22–27). For all these reasons, weekly taxane-based chemotherapy should be further evaluated -and compared with three-weekly taxane-based regimens (either in combination or sequentially with anti-PD(L)1 agents in R/M SCCHN).

The main limitations of the present study are its small sample size, and that it is a heterogenous sample where patients received pembro + CP at different dose-intensities and in different lines of therapy being, therefore, variably pre-treated. As initially planned, only 10 patients were enrolled since it was a single-center study of a novel chemoimmunotherapy combination in R/M SCCHN. Therefore, these results can only be considered hypothesis-generating. Although 8 of the 10 patients enrolled had received prior therapy with ICIs, it was considered ethical to offer pembro + CP to ICI-pretreated patients since they had no other treatment options, the combination had been evaluated in a phase III trial of patients with sqNSCLC and the study allowed to use weekly instead of three-weekly doses of chemotherapy to reduce toxicity and favor treatment compliance (12). Besides our own experience with ICI rechallenge-reported in a previous publication (25), other authors have reported on the feasibility, favorable toxicity profile and potential positive impact in survival of ICI rechallenge in R/M SCCHN (25,28–30). In summary, although our series is limited by its reduced sample size and its heterogeneity and therefore the main conclusions that can be drawn are related to safety, the preliminary activity results are relevant considering that the median duration of treatment reached 4.5 months and median OS since the start of Pembro + CP achieved 6 months as a median 4th line of therapy. To our knowledge this is the second reported evidence of a taxane-based chemo-IO combination in the R/M setting. Finally, it would have been of interest to have biopsies for biomarker and immune-related studies prior to the start of pembro + CP that could aid in understanding the role of this chemo-IO combination. Currently ongoing trials combining anti-PD(L)1 agents with a taxane-based chemotherapy backbone (NCT04282109, NCT04858269, NCT04857164, NCT04943445, NCT03944915, NCT03829722, NCT03723967, NCT03174275, NCT02658214) will provide more data on the safety and potential benefit of such combinations for patients with head and neck cancer (Table VI).

Table VI.

Currently ongoing studies evaluating the role of taxane-based chemo-immunotherapy combinations in head and neck cancer.

Table VI.

Currently ongoing studies evaluating the role of taxane-based chemo-immunotherapy combinations in head and neck cancer.

ClinicalTrials.gov (other study IDs)Study designNo.Design detailsPrimary endpointSecondary endpointsStatus
NCT04282109 (NIVOTAX)Randomized phase II (1st line)141Exp. Arm, Nivo + wkPaclitaxel; Control arm: Cetux + wkPaclitaxel2-year OSPFS, ORR, DCR, DoR, safetyActive. Recruitment completed
NCT04858269Non-randomized phase II (1st line)35Pembro + CBDCA (AUC1.5) d1,8,15 + Paclitaxel (45 mg/m2 d1,8,15)ORRPFS, OS, safetyRecruiting
NCT04857164Non-randomized phase II (1st line)20Pembro + Platinum +Nab-paclitaxelORRPFS, OS, safetyDCR, DoR,Recruiting
NCT04943445 (SMART KEY)Non-randomized phase II (LA)42Pembro + CBDCA(AUC6) + Paclitaxel (175 mg/m2) followed by RT + Pembro2-year LFS2-year LDFSRecruiting
NCT03944915 (DEPEND)Non-randomized phase II (LA HPV-)36Arm 1, Nivo + 3wkCBDCA + wkPaclitaxel; Arm 2, Radical CRTDRRPFS, OS, LRFS, DMFSRecruiting
NCT03829722Non-randomized phase II (LA HPV+)40Nivo + CBDCA + Paclitaxel + RT followed by Adj Nivo2-year PFS2-year OS, safetyRecruiting
NCT03723967 (GORTEC 2018-03/FRAIL-IMMUNE)Non-randomized phase II (1st line)102Durva + CBDCA + Paclitaxel1-year OSPFS, TTF, ORR, BOR, DoR, QoLRecruiting
NCT03174275Non-randomized phase II (LA)39Low-risk, Durva + followed by SX wkNab-paclitaxel followed by SX followed by Adj Durva; Medium risk, Durva + wkCBDCA + wkNab-paclitaxel followed by SX followed by wkCDDP + RT followed by Adj Durva; High risk, Durva + wkCBDCA + wkNab-paclitaxel followed by SX followed by wkCDDP + RT followed by Adj DurvapCR after iCT-IOcCRR, CRL, PFS, OS, safetyActive. Not recruiting
NCT02658214Non-randomized phase Ib (1st line)32 (various solid tumors)Durva + Treme + CBDCA + PaclitaxelSafety and tolerability-Recruitment completed

[i] Adj, adjuvant; AEs, adverse events; AUC, area under the concentration curve; BOR, best overall response; CBDCA, carboplatin; cCRR, clinical complete response rate; cetux, cetuximab; CRL, change in risk level; CRT, chemoradiotherapy; DCR, disease control rate; DMFS, distant metastasis-free survival; DoR, duration of response; DRR, deep response rate; Durva, durvalumab; Exp. Arm, experimental arm; HPV, human papillomavirus; iCT-IO, induction chemo-immunotherapy; LA, locally-advanced disease; LDFS, laryngeal dysfunction free survival; LFS, laringectomy-free survival; LRDFS, locoregional disease-free survival; Nivo, nivolumab; ORR, objective response rate; OS, overall survival; PFS, progression-free survival; pCR, pathological complete response; R/M, recurrent/metastatic disease; RT, radiotherapy; SX, surgery; Treme, tremelimumab; TTF, time to treatment failure; wk, weekly; wkCDDP, weekly cisplatin.

In conclusion, in this small retrospective series of heavily pretreated and/or fragile patients with R/M SCCHN, the combination of pembrolizumab plus carboplatin and paclitaxel associated with a manageable toxicity profile and preliminary signs of activity in terms of progression-free and overall-survival. Data from ongoing and future studies using platinum-and-taxane-based chemoimmunotherapy combinations are eagerly awaited to better understand their role in head and neck cancer.

Supplementary Material

Supporting Data

Acknowledgements

Not applicable.

Funding

Funding: No funding was received.

Availability of data and materials

The datasets used and/or analyzed during the current study are available from the corresponding author on reasonable request.

Authors' contributions

SCC conceptualized, supervised and administered the study and designed the methodology, performed the investigations, obtained the resources and conducted the formal analysis and curation of the data, and prepared the original draft of the manuscript and was responsible for the writing of the manuscript as well as its review and editing. SMM, MNCM, MJS, JCPH, FF and MCIM performed the investigations, obtained the resources and conducted the formal analysis and curation of the data. PPS supervised the study and performed the investigations, obtained the resources and conducted the formal analysis and curation of the data. SCC and MJS confirm the authenticity of all the raw data. All authors read and approved the final manuscript.

Ethics approval and consent to participate

The present study was approved by the Institutional Review Board of Hospital Clínico Universitario San Carlos (IRB code 19/157-E; Madrid, Spain) and was conducted in accordance with the principles of the Declaration of Helsinki. All patients signed an informed consent form before starting pembro + CP as part of a compassionate use program, approved by the Compassionate Use Therapy Commission of Hospital Clínico Universitario San Carlos (Madrid, Spain). The requirement of informed consent for conducting this research was waived as the study was based on a retrospective analysis of existing administrative and clinical data.

Patient consent for publication

Not applicable.

Competing interests

SCC has worked as a consultant and as a Speaker's Bureau representative for Bristol-Myers Squibb, Merck and MSD, and has received grant/research support from clinical trials with AstraZeneca, MSD and Merck. PPS has also worked as a consultant and as a Speaker's Bureau representative for Bristol-Myers Squibb, Merck and MSD, and received grant/research support from clinical trials with Bristol-Myers Squibb, AstraZeneca and MSD. The remainder of the authors declare that they have no competing interests.

References

1 

Ferris RL, Blumenschein G Jr, Fayette J, Guigay J, Colevas AD, Licitra L, Harrington K, Kasper S, Vokes EE, Even C, et al: Nivolumab for recurrent squamous-cell carcinoma of the head and neck. N Engl J Med. 375:1856–1867. 2016. View Article : Google Scholar : PubMed/NCBI

2 

Burtness B, Harrington KJ, Greil R, Soulières D, Tahara M, de Castro G Jr, Psyrri A, Basté N, Neupane P, Bratland Å, et al: Pembrolizumab alone or with chemotherapy versus cetuximab with chemotherapy for recurrent or metastatic squamous cell carcinoma of the head and neck (KENOTE-048): A randomised, open-label, phase 3 study. Lancet. 394:1915–1928. 2019. View Article : Google Scholar : PubMed/NCBI

3 

Galluzzi L, Senovilla L, Zitvogel L and Kroemer G: The secret ally: Immunostimulation by anticancer drugs. Nat Rev Drug Discov. 11:215–233. 2012. View Article : Google Scholar : PubMed/NCBI

4 

Allen CT, Clavijo PE, Van Waes C and Chen Z: Anti-tumor immunity in head and neck cancer: Understanding the evidence, how tumors escape and immunotherapeutic approaches. Cancers (Basel). 7:2397–2414. 2015. View Article : Google Scholar : PubMed/NCBI

5 

Szturz P, Cristina V, Gómez RGH, Bourhis J, Simon C and Vermorken JB: Cisplatin eligibility issues and alternative regimens in locoregionally advanced head and neck cancer: Recommendations for clinical practice. Front Oncol. 9:4642019. View Article : Google Scholar : PubMed/NCBI

6 

Ahn MJ, D'Cruz A, Vermorken JB, Chen JP, Chitapanarux I, Dang HQT, Guminski A, Kannarunimit D, Lin TY, Ng WT, et al: Clinical recommendations for defining platinum unsuitable head and neck cancer patient populations on chemoradiotherapy: A literature review. Oral Oncol. 53:10–16. 2016. View Article : Google Scholar : PubMed/NCBI

7 

Rosenberg AJ, Agrawal N, Pearson A, Gooi Z, Blair E, Cursio J, Juloori A, Ginat D, Howard A, Chin J, et al: Risk and response adapted de-intensified treatment for HPV-associated oropharyngeal cancer: Optima paradigm expanded experience. Oral Oncol. 122:1055662021. View Article : Google Scholar : PubMed/NCBI

8 

Hecht M, Gostian AO, Eckstein M, Rutzner S, Von Der Grün J, Illmer T, Hautmann MG, Klautke G, Laban S, Brunner T, et al: Safety and efficacy of single cycle induction treatment with cisplatin/docetaxel/durvalumab/tremelimumab in locally advanced HNSCC: First results of CheckRad-CD8. J Immunother Cancer. 8:e0013782020. View Article : Google Scholar : PubMed/NCBI

9 

Semrau S, Gostian AO, Traxdorf M, Eckstein M, Rutzner S, von der Grün J, Illmer T, Hautmann M, Klautke G, Laban S, et al: Implementation of double immune checkpoint blockade increases response rate to induction chemotherapy in head and neck cancer. Cancers (Basel). 13:19592021. View Article : Google Scholar : PubMed/NCBI

10 

Hecht M, Eckstein M, Rutzner S, Von Der Grün J, Illmer T, Klautke G, Laban S, Hautmann MG, Brunner TB, Tamaskovics B, et al: Induction chemoimmunotherapy followed by CD8+ immune cell-based patient selection for chemotherapy-free radioimmunotherapy in locally advanced head and neck cancer. J Immunother Cancer. 10:e0037472022. View Article : Google Scholar : PubMed/NCBI

11 

Dzienis MR, Cundom JE, Fuentes CS, Hansen AR, Nordlinger MJ, Pastor AV, Oppelt P, Neki A, Gregg RW, Lima PF, et al: 651O-Pembrolizumab (pembro) + carboplatin (carbo) + paclitaxel (pacli) as first-line (1L) therapy in recurrent/metastatic (R/M) head and neck squamous cell carcinoma (HNSCC): Phase VI KEYNOTE-B10 study. Ann Oncol. 33 (Suppl 7):S295–S322. 2022. View Article : Google Scholar

12 

Paz-Ares L, Luft A, Vicente D, Tafreshi A, Gümüş M, Mazières J, Hermes B, Çay Şenler F, Csőszi T, Fülöp A, et al: Pembrolizumab plus chemotherapy for squamous non-small-cell lung cancer. N Engl J Med. 379:2040–2051. 2018. View Article : Google Scholar : PubMed/NCBI

13 

Cabezas-Camarero S, Alonso-Ovies A, Merino-Menéndez S, Cabrera-Martín MN, Plaza-Hernández JC and Pérez-Segura P: Major pathological response and durable locoregional control after neoadjuvant pembrolizumab-carboplatin-paclitaxel in head and neck cancer. Oral Oncol. 123:1055892021. View Article : Google Scholar : PubMed/NCBI

14 

Guigay J, Aupérin A, Fayette J, Saada-Bouzid E, Lafond C, Taberna M, Geoffrois L, Martin L, Capitain O, Cupissol D, et al: Cetuximab, docetaxel, and cisplatin versus platinum, fluorouracil, and cetuximab as first-line treatment in patients with recurrent or metastatic head and neck squamous-cell carcinoma (GORTEC 2014-01 TPExtreme): A multicentre, open-label, randomised, phase 2 trial. Lancet Oncol. 22:463–475. 2021. View Article : Google Scholar : PubMed/NCBI

15 

Vitzthum LK, Feng CH, Noticewala S, Hines PJ, Nguyen C, Zakeri K, Sojourner EJ, Shen H and Mell LK: Comparison of comorbidity and frailty indices in patients with head and neck cancer using an online tool. JCO Clin Cancer Inform. 2:1–9. 2018. View Article : Google Scholar

16 

Eisenhauer EA, Therasse P, Bogaerts J, Schwartz LH, Sargent D, Ford R, Dancey J, Arbuck S, Gwyther S, Mooney M, et al: New response evaluation criteria in solid tumours: Revised RECIST guideline (version 1.1). Eur J Cancer. 45:228–247. 2009. View Article : Google Scholar : PubMed/NCBI

17 

Tsimberidou AM, Levit LA, Schilsky RL, Averbuch SD, Chen D, Kirkwood JM, McShane LM, Sharon E, Mileham KF and Postow MA: Trial reporting in immuno-oncology (TRIO): An American society of clinical oncology-society for immunotherapy of cancer statement. J Clin Oncol. 37:72–80. 2019. View Article : Google Scholar : PubMed/NCBI

18 

de Ruiter EJ, Mulder FJ, Koomen BM, Speel EJ, van den Hout MFCM, de Roest RH, Bloemena E, Devriese LA and Willems SM: Comparison of three PD-L1 immunohistochemical assays in head and neck squamous cell carcinoma (HNSCC). Mod Pathol. 34:1125–1132. 2021. View Article : Google Scholar : PubMed/NCBI

19 

Cabezas-Camarero S, Cabrera-Martin MN, Saiz-Pardo Sanz M and Perez-Segura P: Major and durable response to second-line pembrolizumab-carboplatin-paclitaxel in an oral cavity cancer patient. Anticancer Drugs. 32:580–584. 2021. View Article : Google Scholar : PubMed/NCBI

20 

Ferris RL, Blumenschein G Jr, Fayette J, Guigay J, Colevas AD, Licitra L, Harrington KJ, Kasper S, Vokes EE, Even C, et al: Nivolumab vs investigator's choice in recurrent or metastatic squamous cell carcinoma of the head and neck: 2-Year long-term survival update of CheckMate 141 with analyses by tumor PD-L1 expression. Oral Oncol. 81:45–51. 2018. View Article : Google Scholar : PubMed/NCBI

21 

Cohen EEW, Soulières D, Le Tourneau C, Dinis J, Licitra L, Ahn MJ, Soria A, Machiels JP, Mach N, Mehra R, et al: Pembrolizumab versus methotrexate, docetaxel, or cetuximab for recurrent or metastatic head-and-neck squamous cell carcinoma (KEYNOTE-040): A randomised, open-label, phase 3 study. Lancet. 393:156–167. 2019. View Article : Google Scholar : PubMed/NCBI

22 

Harrington KJ, Burtness B, Greil R, Soulières D, Tahara M, de Castro G Jr, Psyrri A, Brana I, Basté N, Neupane P, et al: Pembrolizumab with or without chemotherapy in recurrent or metastatic head and neck squamous cell carcinoma: Updated results of the phase III KEYNOTE-048 study. J Clin Oncol. Oct 11–2022.(Epub ahead of print). View Article : Google Scholar

23 

Saleh K, Daste A, Martin N, Pons-Tostivint E, Auperin A, Herrera-Gomez RG, Baste-Rotllan N, Bidault F, Guigay J, Le Tourneau C, et al: Response to salvage chemotherapy after progression on immune checkpoint inhibitors in patients with recurrent and/or metastatic squamous cell carcinoma of the head and neck. Eur J Cancer. 121:123–129. 2019. View Article : Google Scholar : PubMed/NCBI

24 

Pestana RC, Becnel M, Rubin ML, Torman DK, Crespo J, Phan J, Hanna E, Bell D, Glisson BS, Johnson JM, et al: Response rates and survival to systemic therapy after immune checkpoint inhibitor failure in recurrent/metastatic head and neck squamous cell carcinoma. Oral Oncol. 101:1045232020. View Article : Google Scholar : PubMed/NCBI

25 

Cabezas-Camarero S, Cabrera-Martín MN, Merino-Menéndez S, Paz-Cabezas M, García-Barberán V, Sáiz-Pardo Sanz M, Iglesias-Moreno M, Alonso-Ovies A and Pérez-Segura P: Safety and efficacy of cetuximab-based salvage chemotherapy after checkpoint inhibitors in head and neck cancer. Oncologist. 26:e1018–e1035. 2021. View Article : Google Scholar : PubMed/NCBI

26 

Suzuki S, Toyoma S, Kawasaki Y, Koizumi K, Iikawa N, Shiina K, Endo T, Abe T, Kouga T and Yamada T: Clinical outcomes of cetuximab and paclitaxel after progression on immune checkpoint inhibitors in recurrent or metastatic head and neck squamous cell carcinoma. Medicina (Kaunas). 57:11512021. View Article : Google Scholar : PubMed/NCBI

27 

Fushimi C, Okamoto I, Matsuki T, Masubuchi T, Okada T, Sato H, Tsukahara K, Kondo T, Yamashita T, Hanyu K, et al: Salvage chemotherapy after nivolumab for recurrent or metastatic head and neck carcinoma. Anticancer Res. 40:5277–5283. 2020. View Article : Google Scholar : PubMed/NCBI

28 

Katayama Y, Shimamoto T, Yamada T, Takeda T, Yamada T, Shiotsu S, Chihara Y, Hiranuma O, Iwasaku M, Kaneko Y, et al: Retrospective efficacy analysis of immune checkpoint inhibitor rechallenge in patients with non-small cell lung cancer. J Clin Med. 9:1022019. View Article : Google Scholar : PubMed/NCBI

29 

Gobbini E, Toffart AC, Pérol M, Assié JB, Duruisseaux M, Coupez D, Dubos C, Westeel V, Delaunay M, Guisier F, et al: Immune checkpoint inhibitors rechallenge efficacy in non-small-cell lung cancer patients. Clin Lung Cancer. 21:e3497–e510. 2020. View Article : Google Scholar : PubMed/NCBI

30 

Wakasugi T, Takeuchi S, Ohkubo JI and Suzuki H: Retreatment with nivolumab for patients with recurrent and/or metastatic head and neck cancer. Acta Otolaryngol. 142:206–212. 2022. View Article : Google Scholar : PubMed/NCBI

31 

Katsumata N, Yasuda M, Isonishi S, Takahashi F, Michimae H, Kimura E, Aoki D, Jobo T, Kodama S, Terauchi F, et al: Long-term results of dose-dense paclitaxel and carboplatin versus conventional paclitaxel and carboplatin for treatment of advanced epithelial ovarian, fallopian tube, or primary peritoneal cancer (JCOG 3016): A randomised, controlled, open-label trial. Lancet Oncol. 14:1020–1026. 2013. View Article : Google Scholar : PubMed/NCBI

32 

Hitt R, Irigoyen A, Cortes-Funes H, Grau JJ, García-Sáenz JA and Cruz-Hernández JJ; Spanish Head and Neck Cancer Cooperative Group (TTCC), : Phase II study of the combination of cetuximab and weekly paclitaxel in the first-line treatment of patients with recurrent and/or metastatic squamous cell carcinoma of the head and neck. Ann Oncol. 23:1016–1022. 2012. View Article : Google Scholar : PubMed/NCBI

33 

Chevalier T, Daste A, Saada-Bouzid E, Loundou A, Peyraud F, Lambert T, Le Tourneau C, Peyrade F, Dupuis C, Alfonsi M, et al: Cetuximab combined with paclitaxel or paclitaxel alone for patients with recurrent or metastatic head and neck squamous cell carcinoma progressing after EXTREME. Cancer Med. 10:3952–3963. 2021. View Article : Google Scholar : PubMed/NCBI

Related Articles

  • Abstract
  • View
  • Download
  • Twitter
Copy and paste a formatted citation
Spandidos Publications style
Cabezas-Camarero S, Merino-Menéndez S, Cabrera-Martín MN, Sotelo MJ, Plaza-Hernández JC, Falahat F, Iglesias-Moreno MC and Pérez-Segura P: Safety and preliminary activity of pembrolizumab‑carboplatin‑paclitaxel in heavily pretreated and/or fragile patients with PDL1‑positive recurrent/metastatic head and neck cancer. Oncol Lett 25: 37, 2023.
APA
Cabezas-Camarero, S., Merino-Menéndez, S., Cabrera-Martín, M.N., Sotelo, M.J., Plaza-Hernández, J.C., Falahat, F. ... Pérez-Segura, P. (2023). Safety and preliminary activity of pembrolizumab‑carboplatin‑paclitaxel in heavily pretreated and/or fragile patients with PDL1‑positive recurrent/metastatic head and neck cancer. Oncology Letters, 25, 37. https://doi.org/10.3892/ol.2022.13623
MLA
Cabezas-Camarero, S., Merino-Menéndez, S., Cabrera-Martín, M. N., Sotelo, M. J., Plaza-Hernández, J. C., Falahat, F., Iglesias-Moreno, M. C., Pérez-Segura, P."Safety and preliminary activity of pembrolizumab‑carboplatin‑paclitaxel in heavily pretreated and/or fragile patients with PDL1‑positive recurrent/metastatic head and neck cancer". Oncology Letters 25.1 (2023): 37.
Chicago
Cabezas-Camarero, S., Merino-Menéndez, S., Cabrera-Martín, M. N., Sotelo, M. J., Plaza-Hernández, J. C., Falahat, F., Iglesias-Moreno, M. C., Pérez-Segura, P."Safety and preliminary activity of pembrolizumab‑carboplatin‑paclitaxel in heavily pretreated and/or fragile patients with PDL1‑positive recurrent/metastatic head and neck cancer". Oncology Letters 25, no. 1 (2023): 37. https://doi.org/10.3892/ol.2022.13623
Copy and paste a formatted citation
x
Spandidos Publications style
Cabezas-Camarero S, Merino-Menéndez S, Cabrera-Martín MN, Sotelo MJ, Plaza-Hernández JC, Falahat F, Iglesias-Moreno MC and Pérez-Segura P: Safety and preliminary activity of pembrolizumab‑carboplatin‑paclitaxel in heavily pretreated and/or fragile patients with PDL1‑positive recurrent/metastatic head and neck cancer. Oncol Lett 25: 37, 2023.
APA
Cabezas-Camarero, S., Merino-Menéndez, S., Cabrera-Martín, M.N., Sotelo, M.J., Plaza-Hernández, J.C., Falahat, F. ... Pérez-Segura, P. (2023). Safety and preliminary activity of pembrolizumab‑carboplatin‑paclitaxel in heavily pretreated and/or fragile patients with PDL1‑positive recurrent/metastatic head and neck cancer. Oncology Letters, 25, 37. https://doi.org/10.3892/ol.2022.13623
MLA
Cabezas-Camarero, S., Merino-Menéndez, S., Cabrera-Martín, M. N., Sotelo, M. J., Plaza-Hernández, J. C., Falahat, F., Iglesias-Moreno, M. C., Pérez-Segura, P."Safety and preliminary activity of pembrolizumab‑carboplatin‑paclitaxel in heavily pretreated and/or fragile patients with PDL1‑positive recurrent/metastatic head and neck cancer". Oncology Letters 25.1 (2023): 37.
Chicago
Cabezas-Camarero, S., Merino-Menéndez, S., Cabrera-Martín, M. N., Sotelo, M. J., Plaza-Hernández, J. C., Falahat, F., Iglesias-Moreno, M. C., Pérez-Segura, P."Safety and preliminary activity of pembrolizumab‑carboplatin‑paclitaxel in heavily pretreated and/or fragile patients with PDL1‑positive recurrent/metastatic head and neck cancer". Oncology Letters 25, no. 1 (2023): 37. https://doi.org/10.3892/ol.2022.13623
Follow us
  • Twitter
  • LinkedIn
  • Facebook
About
  • Spandidos Publications
  • Careers
  • Cookie Policy
  • Privacy Policy
How can we help?
  • Help
  • Live Chat
  • Contact
  • Email to our Support Team