Spandidos Publications Logo
  • About
    • About Spandidos
    • Aims and Scopes
    • Abstracting and Indexing
    • Editorial Policies
    • Reprints and Permissions
    • Job Opportunities
    • Terms and Conditions
    • Contact
  • Journals
    • All Journals
    • Oncology Letters
      • Oncology Letters
      • Information for Authors
      • Editorial Policies
      • Editorial Board
      • Aims and Scope
      • Abstracting and Indexing
      • Bibliographic Information
      • Archive
    • International Journal of Oncology
      • International Journal of Oncology
      • Information for Authors
      • Editorial Policies
      • Editorial Board
      • Aims and Scope
      • Abstracting and Indexing
      • Bibliographic Information
      • Archive
    • Molecular and Clinical Oncology
      • Molecular and Clinical Oncology
      • Information for Authors
      • Editorial Policies
      • Editorial Board
      • Aims and Scope
      • Abstracting and Indexing
      • Bibliographic Information
      • Archive
    • Experimental and Therapeutic Medicine
      • Experimental and Therapeutic Medicine
      • Information for Authors
      • Editorial Policies
      • Editorial Board
      • Aims and Scope
      • Abstracting and Indexing
      • Bibliographic Information
      • Archive
    • International Journal of Molecular Medicine
      • International Journal of Molecular Medicine
      • Information for Authors
      • Editorial Policies
      • Editorial Board
      • Aims and Scope
      • Abstracting and Indexing
      • Bibliographic Information
      • Archive
    • Biomedical Reports
      • Biomedical Reports
      • Information for Authors
      • Editorial Policies
      • Editorial Board
      • Aims and Scope
      • Abstracting and Indexing
      • Bibliographic Information
      • Archive
    • Oncology Reports
      • Oncology Reports
      • Information for Authors
      • Editorial Policies
      • Editorial Board
      • Aims and Scope
      • Abstracting and Indexing
      • Bibliographic Information
      • Archive
    • Molecular Medicine Reports
      • Molecular Medicine Reports
      • Information for Authors
      • Editorial Policies
      • Editorial Board
      • Aims and Scope
      • Abstracting and Indexing
      • Bibliographic Information
      • Archive
    • World Academy of Sciences Journal
      • World Academy of Sciences Journal
      • Information for Authors
      • Editorial Policies
      • Editorial Board
      • Aims and Scope
      • Abstracting and Indexing
      • Bibliographic Information
      • Archive
    • International Journal of Functional Nutrition
      • International Journal of Functional Nutrition
      • Information for Authors
      • Editorial Policies
      • Editorial Board
      • Aims and Scope
      • Abstracting and Indexing
      • Bibliographic Information
      • Archive
    • International Journal of Epigenetics
      • International Journal of Epigenetics
      • Information for Authors
      • Editorial Policies
      • Editorial Board
      • Aims and Scope
      • Abstracting and Indexing
      • Bibliographic Information
      • Archive
    • Medicine International
      • Medicine International
      • Information for Authors
      • Editorial Policies
      • Editorial Board
      • Aims and Scope
      • Abstracting and Indexing
      • Bibliographic Information
      • Archive
  • Articles
  • Information
    • Information for Authors
    • Information for Reviewers
    • Information for Librarians
    • Information for Advertisers
    • Conferences
  • Language Editing
Spandidos Publications Logo
  • About
    • About Spandidos
    • Aims and Scopes
    • Abstracting and Indexing
    • Editorial Policies
    • Reprints and Permissions
    • Job Opportunities
    • Terms and Conditions
    • Contact
  • Journals
    • All Journals
    • Biomedical Reports
      • Information for Authors
      • Editorial Policies
      • Editorial Board
      • Aims and Scope
      • Abstracting and Indexing
      • Bibliographic Information
      • Archive
    • Experimental and Therapeutic Medicine
      • Information for Authors
      • Editorial Policies
      • Editorial Board
      • Aims and Scope
      • Abstracting and Indexing
      • Bibliographic Information
      • Archive
    • International Journal of Epigenetics
      • Information for Authors
      • Editorial Policies
      • Editorial Board
      • Aims and Scope
      • Abstracting and Indexing
      • Bibliographic Information
      • Archive
    • International Journal of Functional Nutrition
      • Information for Authors
      • Editorial Policies
      • Editorial Board
      • Aims and Scope
      • Abstracting and Indexing
      • Bibliographic Information
      • Archive
    • International Journal of Molecular Medicine
      • Information for Authors
      • Editorial Policies
      • Editorial Board
      • Aims and Scope
      • Abstracting and Indexing
      • Bibliographic Information
      • Archive
    • International Journal of Oncology
      • Information for Authors
      • Editorial Policies
      • Editorial Board
      • Aims and Scope
      • Abstracting and Indexing
      • Bibliographic Information
      • Archive
    • Medicine International
      • Information for Authors
      • Editorial Policies
      • Editorial Board
      • Aims and Scope
      • Abstracting and Indexing
      • Bibliographic Information
      • Archive
    • Molecular and Clinical Oncology
      • Information for Authors
      • Editorial Policies
      • Editorial Board
      • Aims and Scope
      • Abstracting and Indexing
      • Bibliographic Information
      • Archive
    • Molecular Medicine Reports
      • Information for Authors
      • Editorial Policies
      • Editorial Board
      • Aims and Scope
      • Abstracting and Indexing
      • Bibliographic Information
      • Archive
    • Oncology Letters
      • Information for Authors
      • Editorial Policies
      • Editorial Board
      • Aims and Scope
      • Abstracting and Indexing
      • Bibliographic Information
      • Archive
    • Oncology Reports
      • Information for Authors
      • Editorial Policies
      • Editorial Board
      • Aims and Scope
      • Abstracting and Indexing
      • Bibliographic Information
      • Archive
    • World Academy of Sciences Journal
      • Information for Authors
      • Editorial Policies
      • Editorial Board
      • Aims and Scope
      • Abstracting and Indexing
      • Bibliographic Information
      • Archive
  • Articles
  • Information
    • For Authors
    • For Reviewers
    • For Librarians
    • For Advertisers
    • Conferences
  • Language Editing
Login Register Submit
  • This site uses cookies
  • You can change your cookie settings at any time by following the instructions in our Cookie Policy. To find out more, you may read our Privacy Policy.

    I agree
Search articles by DOI, keyword, author or affiliation
Search
Advanced Search
presentation
Oncology Letters
Join Editorial Board Propose a Special Issue
Print ISSN: 1792-1074 Online ISSN: 1792-1082
Journal Cover
June-2023 Volume 25 Issue 6

Full Size Image

Sign up for eToc alerts
Recommend to Library

Journals

International Journal of Molecular Medicine

International Journal of Molecular Medicine

International Journal of Molecular Medicine is an international journal devoted to molecular mechanisms of human disease.

International Journal of Oncology

International Journal of Oncology

International Journal of Oncology is an international journal devoted to oncology research and cancer treatment.

Molecular Medicine Reports

Molecular Medicine Reports

Covers molecular medicine topics such as pharmacology, pathology, genetics, neuroscience, infectious diseases, molecular cardiology, and molecular surgery.

Oncology Reports

Oncology Reports

Oncology Reports is an international journal devoted to fundamental and applied research in Oncology.

Experimental and Therapeutic Medicine

Experimental and Therapeutic Medicine

Experimental and Therapeutic Medicine is an international journal devoted to laboratory and clinical medicine.

Oncology Letters

Oncology Letters

Oncology Letters is an international journal devoted to Experimental and Clinical Oncology.

Biomedical Reports

Biomedical Reports

Explores a wide range of biological and medical fields, including pharmacology, genetics, microbiology, neuroscience, and molecular cardiology.

Molecular and Clinical Oncology

Molecular and Clinical Oncology

International journal addressing all aspects of oncology research, from tumorigenesis and oncogenes to chemotherapy and metastasis.

World Academy of Sciences Journal

World Academy of Sciences Journal

Multidisciplinary open-access journal spanning biochemistry, genetics, neuroscience, environmental health, and synthetic biology.

International Journal of Functional Nutrition

International Journal of Functional Nutrition

Open-access journal combining biochemistry, pharmacology, immunology, and genetics to advance health through functional nutrition.

International Journal of Epigenetics

International Journal of Epigenetics

Publishes open-access research on using epigenetics to advance understanding and treatment of human disease.

Medicine International

Medicine International

An International Open Access Journal Devoted to General Medicine.

Journal Cover
June-2023 Volume 25 Issue 6

Full Size Image

Sign up for eToc alerts
Recommend to Library

  • Article
  • Citations
    • Cite This Article
    • Download Citation
    • Create Citation Alert
    • Remove Citation Alert
    • Cited By
  • Similar Articles
    • Related Articles (in Spandidos Publications)
    • Similar Articles (Google Scholar)
    • Similar Articles (PubMed)
  • Download PDF
  • Download XML
  • View XML

  • Supplementary Files
    • Supplementary_Data1.pdf
    • Supplementary_Data2.pdf
Article Open Access

A validation study for the utility of serum microRNA as a diagnostic and prognostic marker in patients with osteosarcoma

  • Authors:
    • Yoshihiro Araki
    • Naofumi Asano
    • Norio Yamamoto
    • Katsuhiro Hayashi
    • Akihiko Takeuchi
    • Shinji Miwa
    • Kentaro Igarashi
    • Takashi Higuchi
    • Kensaku Abe
    • Yuta Taniguchi
    • Hirotaka Yonezawa
    • Sei Morinaga
    • Yohei Asano
    • Takeshi Yoshida
    • Rikinari Hanayama
    • Juntaro Matsuzaki
    • Takahiro Ochiya
    • Akira Kawai
    • Hiroyuki Tsuchiya
  • View Affiliations / Copyright

    Affiliations: Department of Orthopedic Surgery, Graduate School of Medical Sciences, Kanazawa University, Kanazawa, Ishikawa 920‑8641, Japan, Department of Orthopedic Surgery, Keio University School of Medicine, Tokyo 160‑8582, Japan, WPI Nano Life Science Institute (NanoLSI), Kanazawa University, Kanazawa, Ishikawa 920‑1192, Japan, Division of Pharmacotherapeutics, Keio University Faculty of Pharmacy, Tokyo 105‑8512, Japan, Department of Molecular and Cellular Medicine, Tokyo Medical University, Tokyo 160‑0023, Japan, Department of Musculoskeletal Oncology, National Cancer Center Hospital, Tokyo 104‑0045, Japan
    Copyright: © Araki et al. This is an open access article distributed under the terms of Creative Commons Attribution License.
  • Article Number: 222
    |
    Published online on: April 13, 2023
       https://doi.org/10.3892/ol.2023.13808
  • Expand metrics +
Metrics: Total Views: 0 (Spandidos Publications: | PMC Statistics: )
Metrics: Total PDF Downloads: 0 (Spandidos Publications: | PMC Statistics: )
Cited By (CrossRef): 0 citations Loading Articles...

This article is mentioned in:



Abstract

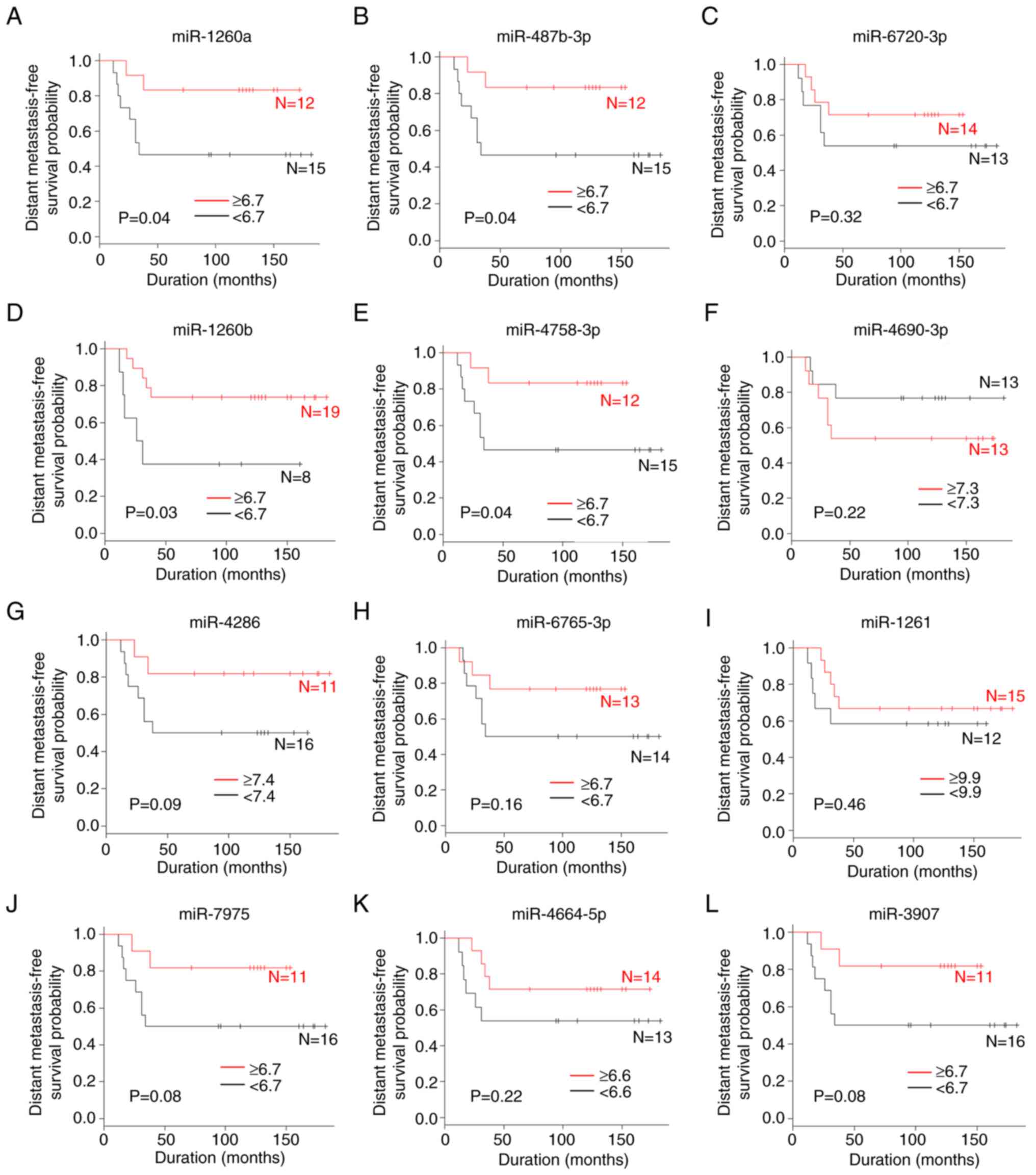
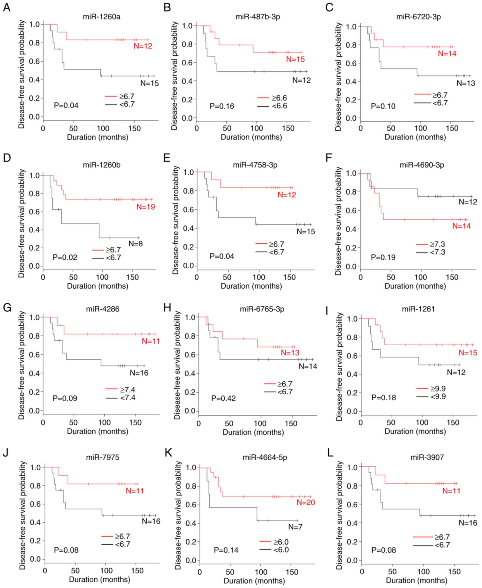
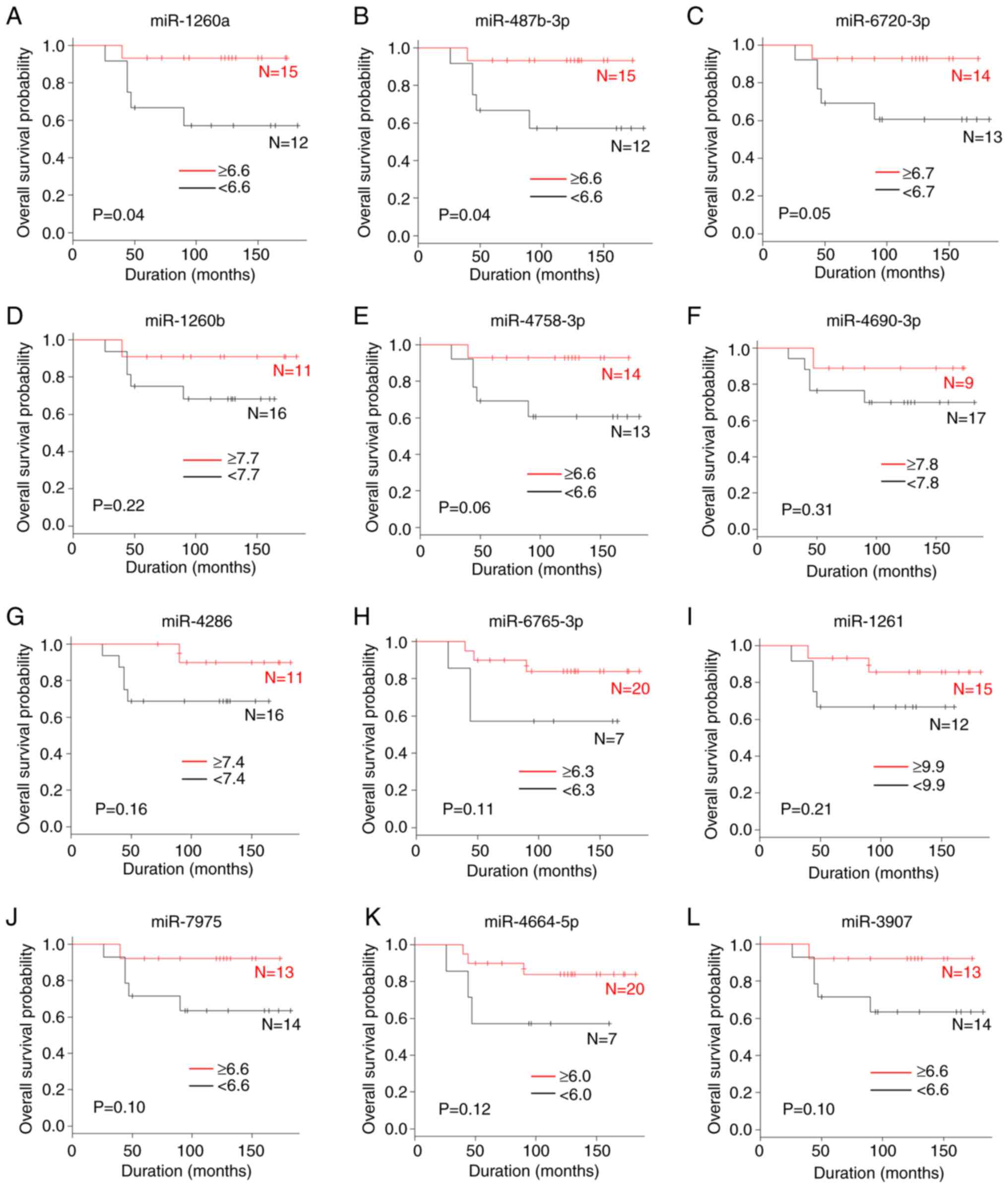
In our previous study, osteosarcoma advanced locally, and metastasis was promoted through the secretion of large number of small extracellular vesicles, followed by suppressing osteoclastogenesis via the upregulation of microRNA (miR)‑146a‑5p. An additional 12 miRNAs in small extracellular vesicles were also detected ≥6x as frequently in high‑grade malignancy with the capacity to metastasize as in those with a low metastatic potential. However, the utility of these 13 miRNAs for determining the prognosis or diagnosis of osteosarcoma has not been validated in the clinical setting. In the present study, the utility of these miRNAs as prognostic and diagnostic markers was therefore assessed. In total, 30 patients with osteosarcoma were retrospectively reviewed, and the survival rate was compared according to the serum miRNA levels in 27 patients treated with chemotherapy and surgery. In addition, to confirm diagnostic competency for osteosarcoma, the serum miRNA levels were compared with those in patients with other bone tumors (n=112) and healthy controls (n=275). The patients with osteosarcoma with high serum levels of several miRNAs (miR‑146a‑5p, miR‑1260a, miR‑487b‑3p, miR‑1260b and miR‑4758‑3p) exhibited an improved survival rate compared with those with low levels. In particular, patients with high serum levels of miR‑1260a exhibited a significantly improved overall survival rate, metastasis‑free survival rate and disease‑free survival rate compared with those with low levels. Thus, serum miR‑1260a may potentially be a prognostic marker for patients with osteosarcoma. Moreover, patients with osteosarcoma had higher serum miR‑1261 levels than those with benign or intermediate‑grade bone tumors and thus may be a potential therapeutic target, in addition to being useful for differentiating whether or not a bone tumor is high‑grade. A larger investigation is required to clarify the actual utility of these miRNAs in the clinical setting.
View Figures

Figure 1

Figure 2

Figure 3

Figure 4

Figure 5

Figure 6

Figure 7

Figure 8

View References

1 

Saliminejad K, Khorram Khorshid HR, Soleymani Fard S and Ghaffari SH: An overview of microRNAs: Biology, functions, therapeutics, and analysis methods. J Cell Physiol. 234:5451–5465. 2019. View Article : Google Scholar : PubMed/NCBI

2 

Rupaimoole R, Calin GA, Lopez-Berestein G and Sood AK: miRNA deregulation in cancer cells and the tumor microenvironment. Cancer Discov. 6:235–246. 2016. View Article : Google Scholar : PubMed/NCBI

3 

Sun Z, Shi K, Yang S, Liu J, Zhou Q, Wang G, Song J, Li Z, Zhang Z and Yuan W: Effect of exosomal miRNA on cancer biology and clinical applications. Mol Cancer. 17:1472018. View Article : Google Scholar : PubMed/NCBI

4 

Pontecorvi G, Bellenghi M, Puglisi R, Carè A and Mattia G: Tumor-derived extracellular vesicles and microRNAs: Functional roles, diagnostic, prognostic and therapeutic options. Cytokine Growth Factor Rev. 51:75–83. 2020. View Article : Google Scholar : PubMed/NCBI

5 

Tang Z, Li D, Hou S and Zhu X: The cancer exosomes: Clinical implications, applications and challenges. Int J Cancer. 146:2946–2959. 2020. View Article : Google Scholar : PubMed/NCBI

6 

Chen Q, Li Y, Liu Y, Xu W and Zhu X: Exosomal Non-coding RNAs-Mediated crosstalk in the tumor microenvironment. Front Cell Dev Biol. 9:6468642021. View Article : Google Scholar : PubMed/NCBI

7 

McGuire A, Brown JA and Kerin MJ: Metastatic breast cancer: The potential of miRNA for diagnosis and treatment monitoring. Cancer Metastasis Rev. 34:145–155. 2015. View Article : Google Scholar : PubMed/NCBI

8 

Ishikawa D, Yoshikawa K, Takasu C, Kashihara H, Nishi M, Tokunaga T, Higashijima J and Shimada M: Expression level of microRNA-449a predicts the prognosis of patients with gastric cancer. Anticancer Res. 40:239–244. 2020. View Article : Google Scholar : PubMed/NCBI

9 

Amankwah EK, Devidas M, Teachey DT, Rabin KR and Brown PA: Six candidate miRNAs associated with early relapse in pediatric B-cell acute lymphoblastic leukemia. Anticancer Res. 40:3147–3153. 2020. View Article : Google Scholar : PubMed/NCBI

10 

Yu H, Guan Z, Cuk K, Brenner H and Zhang Y: Circulating microRNA biomarkers for lung cancer detection in Western populations. Cancer Med. 7:4849–4862. 2018. View Article : Google Scholar : PubMed/NCBI

11 

Zeng Z, Li Y, Pan Y, Lan X, Song F, Sun J, Zhou K, Liu X, Ren X, Wang F, et al: Cancer-derived exosomal miR-25-3p promotes pre-metastatic niche formation by inducing vascular permeability and angiogenesis. Nat Commun. 9:53952018. View Article : Google Scholar : PubMed/NCBI

12 

WHO Classification of Tumours Editorial Board, . WHO Classification of Tumours: Soft Tissue and Bone Tumours. 5th edition. IARC; Lyon: pp. 403–409. 2020

13 

Reed DR, Hayashi M, Wagner L, Binitie O, Steppan DA, Brohl AS, Shinohara ET, Bridge JA, Loeb DM, Borinstein SC and Isakoff MS: Treatment pathway of bone sarcoma in children, adolescents, and young adults. Cancer. 123:2206–2218. 2017. View Article : Google Scholar : PubMed/NCBI

14 

Tsukamoto S, Errani C, Angelini A and Mavrogenis AF: Current treatment considerations for osteosarcoma metastatic at presentation. Orthopedics. 43:e345–e358. 2020. View Article : Google Scholar : PubMed/NCBI

15 

Araki Y, Yamamoto N, Hayashi K, Takeuchi A, Miwa S, Igarashi K, Higuchi T, Abe K, Taniguchi Y, Yonezawa H, et al: Delayed initiation of treatment is associated with metastasis of malignant bone tumor. Anticancer Res. 41:2993–2999. 2021. View Article : Google Scholar : PubMed/NCBI

16 

Hao H, Chen L, Huang D, Ge J, Qiu Y and Hao L: Meta-analysis of alkaline phosphatase and prognosis for osteosarcoma. Eur J Cancer Care (Engl). 26:e125362017. View Article : Google Scholar

17 

Araki Y, Yamamoto N, Hayashi K, Takeuchi A, Miwa S, Igarashi K, Higuchi T, Abe K, Taniguchi Y, Yonezawa H, et al: Pretreatment neutrophil count and platelet-lymphocyte ratio as predictors of metastasis in patients with osteosarcoma. Anticancer Res. 42:1081–1089. 2022. View Article : Google Scholar : PubMed/NCBI

18 

Ding WZ, Liu K, Li Z and Chen SR: A meta-analysis of prognostic factors of osteosarcoma. Eur Rev Med Pharmacol Sci. 24:4103–4112. 2020.PubMed/NCBI

19 

Araki Y, Yamamoto N, Hayashi K, Takeuchi A, Miwa S, Igarashi K, Higuchi T, Abe K, Taniguchi Y, Yonezawa H, et al: The number of osteoclasts in a biopsy specimen can predict the efficacy of neoadjuvant chemotherapy for primary osteosarcoma. Sci Rep. 11:19892021. View Article : Google Scholar : PubMed/NCBI

20 

Wang J, Liu S, Shi J, Li J, Wang S, Liu H, Zhao S, Duan K, Pan X and Yi Z: The Role of miRNA in the diagnosis, prognosis, and treatment of osteosarcoma. Cancer Biother Radiopharm. 34:605–613. 2019.PubMed/NCBI

21 

Raimondi L, De Luca A, Gallo A, Costa V, Russelli G, Cuscino N, Manno M, Raccosta S, Carina V, Bellavia D, et al: Osteosarcoma cell-derived exosomes affect tumor microenvironment by specific packaging of microRNAs. Carcinogenesis. 41:666–677. 2020. View Article : Google Scholar : PubMed/NCBI

22 

Huang C, Sun Y, Ma S, Vadamootoo AS, Wang L and Jin C: Identification of circulating miR-663a as a potential biomarker for diagnosing osteosarcoma. Pathol Res Pract. 215:1524112019. View Article : Google Scholar : PubMed/NCBI

23 

Fujiwara T, Uotani K, Yoshida A, Morita T, Nezu Y, Kobayashi E, Yoshida A, Uehara T, Omori T, Sugiu K, et al: Clinical significance of circulating miR-25-3p as a novel diagnostic and prognostic biomarker in osteosarcoma. Oncotarget. 8:33375–33392. 2017. View Article : Google Scholar : PubMed/NCBI

24 

Huang C, Wang Q, Ma S, Sun Y, Vadamootoo AS and Jin C: A four serum-miRNA panel serves as a potential diagnostic biomarker of osteosarcoma. Int J Clin Oncol. 24:976–982. 2019. View Article : Google Scholar : PubMed/NCBI

25 

Asano N, Matsuzaki J, Ichikawa M, Kawauchi J, Takizawa S, Aoki Y, Sakamoto H, Yoshida A, Kobayashi E, Tanzawa Y, et al: A serum microRNA classifier for the diagnosis of sarcomas of various histological subtypes. Nat Commun. 10:12992019. View Article : Google Scholar : PubMed/NCBI

26 

Araki Y, Aiba H, Yoshida T, Yamamoto N, Hayashi K, Takeuchi A, Miwa S, Igarashi K, Nguyen TD, Ishii K, et al: Osteosarcoma-Derived small extracellular vesicles enhance tumor metastasis and suppress osteoclastogenesis by miR-146a-5p. Front Oncol. 11:6671092021. View Article : Google Scholar : PubMed/NCBI

27 

National Comprehensive Cancer Network, . NCCN Guidelines Bone Cancer. https://www.nccn.org/guidelines/guidelines-detail?category=1&id=1418April 1–2023

28 

Amin MB, Edge SB, Greene FL, Compton CC, Gershenwald JE, Broolland RK, Meyer L, Gress DM, Byrd DR and Winchester DP: AJCC Cancer Staging Manual. 8th edition. Springer; Chicago, IL: pp. 471–486. 2017, PubMed/NCBI

29 

Livak KJ and Schmittgen TD: Analysis of relative gene expression data using real-time quantitative PCR and the 2(−Delta Delta C(T)) Method. Methods. 25:402–408. 2001. View Article : Google Scholar : PubMed/NCBI

30 

Ihaka R and Gentleman R: R: A language for data analysis and graphics. J Comput Graph Stat. 5:299–314. 1996. View Article : Google Scholar

31 

Kanda Y: Investigation of the freely available easy-to-use software ‘EZR’ for medical statistics. Bone Marrow Transplant. 48:452–458. 2013. View Article : Google Scholar : PubMed/NCBI

32 

miRDB. There are 437 predicted targets for hsa-miR-1261 in miRDB. https://mirdb.org/cgi-bin/search.cgi?searchType=miRNA&searchBox=hsa-miR-1261&full=1April 1–2023

33 

Ji Q, Xu X, Song Q, Xu Y, Tai Y, Goodman SB, Bi W, Xu M, Jiao S, Maloney WJ and Wang Y: miR-223-3p inhibits human osteosarcoma metastasis and progression by directly targeting CDH6. Mol Ther. 26:1299–1312. 2018. View Article : Google Scholar : PubMed/NCBI

34 

Pu Y, Yi Q, Zhao F, Wang H, Cai W and Cai S: MiR-20a-5p represses multi-drug resistance in osteosarcoma by targeting the KIF26B gene. Cancer Cell Int. 16:642016. View Article : Google Scholar : PubMed/NCBI

35 

Sakthikumar S, Elvers I, Kim J, Arendt ML, Thomas R, Turner-Maier J, Swofford R, Johnson J, Schumacher SE, Alföldi J, et al: SETD2 is recurrently mutated in whole-exome sequenced canine osteosarcoma. Cancer Res. 78:3421–3431. 2018. View Article : Google Scholar : PubMed/NCBI

36 

Jiang C, He C, Wu Z, Li F and Xiao J: Histone methyltransferase SETD2 regulates osteosarcoma cell growth and chemosensitivity by suppressing Wnt/β-catenin signaling. Biochem Biophys Res Commun. 502:382–388. 2018. View Article : Google Scholar : PubMed/NCBI

37 

Yurtsever A, Yoshida T, Badami Behjat A, Araki Y, Hanayama R and Fukuma T: Structural and mechanical characteristics of exosomes from osteosarcoma cells explored by 3D-atomic force microscopy. Nanoscale. 13:6661–6677. 2021. View Article : Google Scholar : PubMed/NCBI

38 

Xu X, Yu H and Xu Y: Ras-ERK1/2 signaling promotes the development of osteosarcoma by regulating H2BK12ac Through CBP. Cancer Manag Res. 11:9153–9163. 2019. View Article : Google Scholar : PubMed/NCBI

39 

Boele J, Persson H, Shin JW, Ishizu Y, Newie IS, Søkilde R, Hawkins SM, Coarfa C, Ikeda K, Takayama K, et al: PAPD5-mediated 3′ adenylation and subsequent degradation of miR-21 is disrupted in proliferative disease. Proc Natl Acad Sci USA. 111:11467–11472. 2014. View Article : Google Scholar : PubMed/NCBI

40 

Faversani A, Favero C, Dioni L, Pesatori AC, Bollati V, Montoli M, Musso V, Terrasi A, Fusco N, Nosotti M, et al: An EBC/Plasma miRNA Signature discriminates lung adenocarcinomas from pleural mesothelioma and healthy controls. Front Oncol. 11:6432802021. View Article : Google Scholar : PubMed/NCBI

41 

Chen L, Wang K, Li L, Zheng B, Zhang Q, Zhang F, Chen J and Wang S: Plasma exosomal miR-1260a, miR-7977 and miR-192-5p as diagnostic biomarkers in epithelial ovarian cancer. Future Oncol. 18:2919–2931. 2022. View Article : Google Scholar : PubMed/NCBI

42 

Mancini M, Grasso M, Muccillo L, Babbio F, Precazzini F, Castiglioni I, Zanetti V, Rizzo F, Pistore C, De Marino MG, et al: DNMT3A epigenetically regulates key microRNAs involved in epithelial-to-mesenchymal transition in prostate cancer. Carcinogenesis. 42:1449–1460. 2021. View Article : Google Scholar : PubMed/NCBI

43 

Latchana N, DiVincenzo MJ, Regan K, Abrams Z, Zhang X, Jacob NK, Gru AA, Fadda P, Markowitz J, Howard JH and Carson WE III: Alterations in patient plasma microRNA expression profiles following resection of metastatic melanoma. J Surg Oncol. 118:501–509. 2018.PubMed/NCBI

44 

Wu D, Chang X, Tian J, Kang L, Wu Y, Liu J, Wu X, Huang Y, Gao B, Wang H, et al: Bone mesenchymal stem cells stimulation by magnetic nanoparticles and a static magnetic field: Release of exosomal miR-1260a improves osteogenesis and angiogenesis. J Nanobiotechnology. 19:2092021. View Article : Google Scholar : PubMed/NCBI

45 

Li K, Rodosthenous RS, Kashanchi F, Gingeras T, Gould SJ, Kuo LS, Kurre P, Lee H, Leonard JN, Liu H, et al: Advances, challenges, and opportunities in extracellular RNA biology: Insights from the NIH exRNA Strategic Workshop. JCI Insight. 3:e989422018. View Article : Google Scholar : PubMed/NCBI

46 

Engin A: Dark-Side of Exosomes. Adv Exp Med Biol. 1275:101–131. 2021. View Article : Google Scholar : PubMed/NCBI

47 

Robbins PD and Morelli AE: Regulation of immune responses by extracellular vesicles. Nat Rev Immunol. 14:195–208. 2014. View Article : Google Scholar : PubMed/NCBI

48 

Sinkovics JG: Molecular biology of oncogenic inflammatory processes. I. Non-oncogenic and oncogenic pathogens, intrinsic inflammatory reactions without pathogens, and microRNA/DNA interactions (Review). Int J Oncol. 40:305–349. 2012.PubMed/NCBI

49 

Ye H, Hu X, Wen Y, Tu C, Hornicek F, Duan Z and Min L: Exosomes in the tumor microenvironment of sarcoma: From biological functions to clinical applications. J Nanobiotechnology. 20:4032022. View Article : Google Scholar : PubMed/NCBI

50 

Cheng M, Duan PG, Gao ZZ and Dai M: MicroRNA-487b-3p inhibits osteosarcoma chemoresistance and metastasis by targeting ALDH1A3. Oncol Rep. 44:2691–2700. 2020. View Article : Google Scholar : PubMed/NCBI

51 

John AA, Prakash R and Singh D: miR-487b-3p impairs osteoblastogenesis by targeting Notch-regulated ankyrin-repeat protein (Nrarp). J Endocrinol. 241:249–263. 2019. View Article : Google Scholar : PubMed/NCBI

52 

Yi H, Geng L, Black A, Talmon G, Berim L and Wang J: The miR-487b-3p/GRM3/TGFβ signaling axis is an important regulator of colon cancer tumorigenesis. Oncogene. 36:3477–3489. 2017. View Article : Google Scholar : PubMed/NCBI

53 

Zhang BL, Dong FL, Guo TW, Gu XH, Huang LY and Gao DS: MiRNAs Mediate GDNF-Induced proliferation and migration of glioma cells. Cell Physiol Biochem. 44:1923–1938. 2017. View Article : Google Scholar : PubMed/NCBI

54 

Daniel R, Wu Q, Williams V, Clark G, Guruli G and Zehner Z: A Panel of MicroRNAs as diagnostic biomarkers for the identification of prostate cancer. Int J Mol Sci. 18:12812017. View Article : Google Scholar : PubMed/NCBI

55 

Park S, Kim J, Cho Y, Ahn S, Kim G, Hwang D, Chang Y, Ha S, Choi Y, Lee MH, et al: Promotion of tumorigenesis by miR-1260b-targeting CASP8: Potential diagnostic and prognostic marker for breast cancer. Cancer Sci. 113:2097–2108. 2022. View Article : Google Scholar : PubMed/NCBI

56 

Xia Y, Wei K, Hu LQ, Zhou CR, Lu ZB, Zhan GS, Pan XL, Pan CF, Wang J, Wen W, et al: Exosome-mediated transfer of miR-1260b promotes cell invasion through Wnt/β-catenin signaling pathway in lung adenocarcinoma. J Cell Physiol. 235:6843–6853. 2020. View Article : Google Scholar : PubMed/NCBI

57 

Hayashi C, Fukuda T, Kawakami K, Toyoda M, Nakao Y, Watanabe Y, Shinjo T, Sano T, Iwashita M, Yotsumoto K, et al: miR-1260b inhibits periodontal bone loss by targeting ATF6β mediated regulation of ER stress. Front Cell Dev Biol. 10:10612162022. View Article : Google Scholar : PubMed/NCBI

58 

Zakrzewska M, Gruszka R, Stawiski K, Fendler W, Kordacka J, Grajkowska W, Daszkiewicz P, Liberski PP and Zakrzewski K: Expression-based decision tree model reveals distinct microRNA expression pattern in pediatric neuronal and mixed neuronal-glial tumors. BMC Cancer. 19:5442019. View Article : Google Scholar : PubMed/NCBI

59 

Omura T, Shimada Y, Nagata T, Okumura T, Fukuoka J, Yamagishi F, Tajika S, Nakajima S, Kawabe A and Tsukada K: Relapse-associated microRNA in gastric cancer patients after S-1 adjuvant chemotherapy. Oncol Rep. 31:613–618. 2014. View Article : Google Scholar : PubMed/NCBI

60 

Wu YS, Lin H, Chen D, Yi Z, Zeng B, Jiang Y and Ren G: A four-miRNA signature as a novel biomarker for predicting survival in endometrial cancer. Gene. 697:86–93. 2019. View Article : Google Scholar : PubMed/NCBI

61 

He JH, Li BX, Han ZP, Wang L, Lv YB, Zhou JB, Cao MR, Li YG and Zhang JZ: Snail-activated long non-coding RNA PCA3 up-regulates PRKD3 expression by miR-1261 sponging, thereby promotes invasion and migration of prostate cancer cells. Tumour Biol. Oct 14–2016.(Epub ahead of print). View Article : Google Scholar

62 

Lyu N, Zeng Y, Kong Y, Chen Q, Deng H, Ou S, Bai Y, Tang H, Wang X and Zhao M: Ferroptosis is involved in the progression of hepatocellular carcinoma through the circ0097009/miR-1261/SLC7A11 axis. Ann Transl Med. 9:6752021. View Article : Google Scholar : PubMed/NCBI

63 

Cao F, Liu S, Li Z, Meng L, Sang M and Shan B: Activation of circ_0072088/miR-1261/PIK3CA pathway accelerates lung adenocarcinoma progression. Thorac Cancer. 13:1548–1557. 2022. View Article : Google Scholar : PubMed/NCBI

64 

Zhu Y, Cao F, Liu F, Liu S, Meng L, Gu L, Zhao H, Sang M and Shan B: Identification of potential circular RNA biomarkers in lung adenocarcinoma: A bioinformatics analysis and retrospective clinical study. Oncol Lett. 23:1442022. View Article : Google Scholar : PubMed/NCBI

65 

Chen R, Zhao WQ, Fang C, Yang X and Ji M: Histone methyltransferase SETD2: A potential tumor suppressor in solid cancers. J Cancer. 11:3349–3356. 2020. View Article : Google Scholar : PubMed/NCBI

66 

Das S, Idate R, Regan DP, Fowles JS, Lana SE, Thamm DH, Gustafson DL and Duval DL: Immune pathways and TP53 missense mutations are associated with longer survival in canine osteosarcoma. Commun Biol. 4:11782021. View Article : Google Scholar : PubMed/NCBI

Related Articles

  • Abstract
  • View
  • Download
  • Twitter
Copy and paste a formatted citation
Spandidos Publications style
Araki Y, Asano N, Yamamoto N, Hayashi K, Takeuchi A, Miwa S, Igarashi K, Higuchi T, Abe K, Taniguchi Y, Taniguchi Y, et al: A validation study for the utility of serum microRNA as a diagnostic and prognostic marker in patients with osteosarcoma. Oncol Lett 25: 222, 2023.
APA
Araki, Y., Asano, N., Yamamoto, N., Hayashi, K., Takeuchi, A., Miwa, S. ... Tsuchiya, H. (2023). A validation study for the utility of serum microRNA as a diagnostic and prognostic marker in patients with osteosarcoma. Oncology Letters, 25, 222. https://doi.org/10.3892/ol.2023.13808
MLA
Araki, Y., Asano, N., Yamamoto, N., Hayashi, K., Takeuchi, A., Miwa, S., Igarashi, K., Higuchi, T., Abe, K., Taniguchi, Y., Yonezawa, H., Morinaga, S., Asano, Y., Yoshida, T., Hanayama, R., Matsuzaki, J., Ochiya, T., Kawai, A., Tsuchiya, H."A validation study for the utility of serum microRNA as a diagnostic and prognostic marker in patients with osteosarcoma". Oncology Letters 25.6 (2023): 222.
Chicago
Araki, Y., Asano, N., Yamamoto, N., Hayashi, K., Takeuchi, A., Miwa, S., Igarashi, K., Higuchi, T., Abe, K., Taniguchi, Y., Yonezawa, H., Morinaga, S., Asano, Y., Yoshida, T., Hanayama, R., Matsuzaki, J., Ochiya, T., Kawai, A., Tsuchiya, H."A validation study for the utility of serum microRNA as a diagnostic and prognostic marker in patients with osteosarcoma". Oncology Letters 25, no. 6 (2023): 222. https://doi.org/10.3892/ol.2023.13808
Copy and paste a formatted citation
x
Spandidos Publications style
Araki Y, Asano N, Yamamoto N, Hayashi K, Takeuchi A, Miwa S, Igarashi K, Higuchi T, Abe K, Taniguchi Y, Taniguchi Y, et al: A validation study for the utility of serum microRNA as a diagnostic and prognostic marker in patients with osteosarcoma. Oncol Lett 25: 222, 2023.
APA
Araki, Y., Asano, N., Yamamoto, N., Hayashi, K., Takeuchi, A., Miwa, S. ... Tsuchiya, H. (2023). A validation study for the utility of serum microRNA as a diagnostic and prognostic marker in patients with osteosarcoma. Oncology Letters, 25, 222. https://doi.org/10.3892/ol.2023.13808
MLA
Araki, Y., Asano, N., Yamamoto, N., Hayashi, K., Takeuchi, A., Miwa, S., Igarashi, K., Higuchi, T., Abe, K., Taniguchi, Y., Yonezawa, H., Morinaga, S., Asano, Y., Yoshida, T., Hanayama, R., Matsuzaki, J., Ochiya, T., Kawai, A., Tsuchiya, H."A validation study for the utility of serum microRNA as a diagnostic and prognostic marker in patients with osteosarcoma". Oncology Letters 25.6 (2023): 222.
Chicago
Araki, Y., Asano, N., Yamamoto, N., Hayashi, K., Takeuchi, A., Miwa, S., Igarashi, K., Higuchi, T., Abe, K., Taniguchi, Y., Yonezawa, H., Morinaga, S., Asano, Y., Yoshida, T., Hanayama, R., Matsuzaki, J., Ochiya, T., Kawai, A., Tsuchiya, H."A validation study for the utility of serum microRNA as a diagnostic and prognostic marker in patients with osteosarcoma". Oncology Letters 25, no. 6 (2023): 222. https://doi.org/10.3892/ol.2023.13808
Follow us
  • Twitter
  • LinkedIn
  • Facebook
About
  • Spandidos Publications
  • Careers
  • Cookie Policy
  • Privacy Policy
How can we help?
  • Help
  • Live Chat
  • Contact
  • Email to our Support Team