Spandidos Publications Logo
  • About
    • About Spandidos
    • Aims and Scopes
    • Abstracting and Indexing
    • Editorial Policies
    • Reprints and Permissions
    • Job Opportunities
    • Terms and Conditions
    • Contact
  • Journals
    • All Journals
    • Oncology Letters
      • Oncology Letters
      • Information for Authors
      • Editorial Policies
      • Editorial Board
      • Aims and Scope
      • Abstracting and Indexing
      • Bibliographic Information
      • Archive
    • International Journal of Oncology
      • International Journal of Oncology
      • Information for Authors
      • Editorial Policies
      • Editorial Board
      • Aims and Scope
      • Abstracting and Indexing
      • Bibliographic Information
      • Archive
    • Molecular and Clinical Oncology
      • Molecular and Clinical Oncology
      • Information for Authors
      • Editorial Policies
      • Editorial Board
      • Aims and Scope
      • Abstracting and Indexing
      • Bibliographic Information
      • Archive
    • Experimental and Therapeutic Medicine
      • Experimental and Therapeutic Medicine
      • Information for Authors
      • Editorial Policies
      • Editorial Board
      • Aims and Scope
      • Abstracting and Indexing
      • Bibliographic Information
      • Archive
    • International Journal of Molecular Medicine
      • International Journal of Molecular Medicine
      • Information for Authors
      • Editorial Policies
      • Editorial Board
      • Aims and Scope
      • Abstracting and Indexing
      • Bibliographic Information
      • Archive
    • Biomedical Reports
      • Biomedical Reports
      • Information for Authors
      • Editorial Policies
      • Editorial Board
      • Aims and Scope
      • Abstracting and Indexing
      • Bibliographic Information
      • Archive
    • Oncology Reports
      • Oncology Reports
      • Information for Authors
      • Editorial Policies
      • Editorial Board
      • Aims and Scope
      • Abstracting and Indexing
      • Bibliographic Information
      • Archive
    • Molecular Medicine Reports
      • Molecular Medicine Reports
      • Information for Authors
      • Editorial Policies
      • Editorial Board
      • Aims and Scope
      • Abstracting and Indexing
      • Bibliographic Information
      • Archive
    • World Academy of Sciences Journal
      • World Academy of Sciences Journal
      • Information for Authors
      • Editorial Policies
      • Editorial Board
      • Aims and Scope
      • Abstracting and Indexing
      • Bibliographic Information
      • Archive
    • International Journal of Functional Nutrition
      • International Journal of Functional Nutrition
      • Information for Authors
      • Editorial Policies
      • Editorial Board
      • Aims and Scope
      • Abstracting and Indexing
      • Bibliographic Information
      • Archive
    • International Journal of Epigenetics
      • International Journal of Epigenetics
      • Information for Authors
      • Editorial Policies
      • Editorial Board
      • Aims and Scope
      • Abstracting and Indexing
      • Bibliographic Information
      • Archive
    • Medicine International
      • Medicine International
      • Information for Authors
      • Editorial Policies
      • Editorial Board
      • Aims and Scope
      • Abstracting and Indexing
      • Bibliographic Information
      • Archive
  • Articles
  • Information
    • Information for Authors
    • Information for Reviewers
    • Information for Librarians
    • Information for Advertisers
    • Conferences
  • Language Editing
Spandidos Publications Logo
  • About
    • About Spandidos
    • Aims and Scopes
    • Abstracting and Indexing
    • Editorial Policies
    • Reprints and Permissions
    • Job Opportunities
    • Terms and Conditions
    • Contact
  • Journals
    • All Journals
    • Biomedical Reports
      • Information for Authors
      • Editorial Policies
      • Editorial Board
      • Aims and Scope
      • Abstracting and Indexing
      • Bibliographic Information
      • Archive
    • Experimental and Therapeutic Medicine
      • Information for Authors
      • Editorial Policies
      • Editorial Board
      • Aims and Scope
      • Abstracting and Indexing
      • Bibliographic Information
      • Archive
    • International Journal of Epigenetics
      • Information for Authors
      • Editorial Policies
      • Editorial Board
      • Aims and Scope
      • Abstracting and Indexing
      • Bibliographic Information
      • Archive
    • International Journal of Functional Nutrition
      • Information for Authors
      • Editorial Policies
      • Editorial Board
      • Aims and Scope
      • Abstracting and Indexing
      • Bibliographic Information
      • Archive
    • International Journal of Molecular Medicine
      • Information for Authors
      • Editorial Policies
      • Editorial Board
      • Aims and Scope
      • Abstracting and Indexing
      • Bibliographic Information
      • Archive
    • International Journal of Oncology
      • Information for Authors
      • Editorial Policies
      • Editorial Board
      • Aims and Scope
      • Abstracting and Indexing
      • Bibliographic Information
      • Archive
    • Medicine International
      • Information for Authors
      • Editorial Policies
      • Editorial Board
      • Aims and Scope
      • Abstracting and Indexing
      • Bibliographic Information
      • Archive
    • Molecular and Clinical Oncology
      • Information for Authors
      • Editorial Policies
      • Editorial Board
      • Aims and Scope
      • Abstracting and Indexing
      • Bibliographic Information
      • Archive
    • Molecular Medicine Reports
      • Information for Authors
      • Editorial Policies
      • Editorial Board
      • Aims and Scope
      • Abstracting and Indexing
      • Bibliographic Information
      • Archive
    • Oncology Letters
      • Information for Authors
      • Editorial Policies
      • Editorial Board
      • Aims and Scope
      • Abstracting and Indexing
      • Bibliographic Information
      • Archive
    • Oncology Reports
      • Information for Authors
      • Editorial Policies
      • Editorial Board
      • Aims and Scope
      • Abstracting and Indexing
      • Bibliographic Information
      • Archive
    • World Academy of Sciences Journal
      • Information for Authors
      • Editorial Policies
      • Editorial Board
      • Aims and Scope
      • Abstracting and Indexing
      • Bibliographic Information
      • Archive
  • Articles
  • Information
    • For Authors
    • For Reviewers
    • For Librarians
    • For Advertisers
    • Conferences
  • Language Editing
Login Register Submit
  • This site uses cookies
  • You can change your cookie settings at any time by following the instructions in our Cookie Policy. To find out more, you may read our Privacy Policy.

    I agree
Search articles by DOI, keyword, author or affiliation
Search
Advanced Search
presentation
Oncology Letters
Join Editorial Board Propose a Special Issue
Print ISSN: 1792-1074 Online ISSN: 1792-1082
Journal Cover
June-2023 Volume 25 Issue 6

Full Size Image

Sign up for eToc alerts
Recommend to Library

Journals

International Journal of Molecular Medicine

International Journal of Molecular Medicine

International Journal of Molecular Medicine is an international journal devoted to molecular mechanisms of human disease.

International Journal of Oncology

International Journal of Oncology

International Journal of Oncology is an international journal devoted to oncology research and cancer treatment.

Molecular Medicine Reports

Molecular Medicine Reports

Covers molecular medicine topics such as pharmacology, pathology, genetics, neuroscience, infectious diseases, molecular cardiology, and molecular surgery.

Oncology Reports

Oncology Reports

Oncology Reports is an international journal devoted to fundamental and applied research in Oncology.

Experimental and Therapeutic Medicine

Experimental and Therapeutic Medicine

Experimental and Therapeutic Medicine is an international journal devoted to laboratory and clinical medicine.

Oncology Letters

Oncology Letters

Oncology Letters is an international journal devoted to Experimental and Clinical Oncology.

Biomedical Reports

Biomedical Reports

Explores a wide range of biological and medical fields, including pharmacology, genetics, microbiology, neuroscience, and molecular cardiology.

Molecular and Clinical Oncology

Molecular and Clinical Oncology

International journal addressing all aspects of oncology research, from tumorigenesis and oncogenes to chemotherapy and metastasis.

World Academy of Sciences Journal

World Academy of Sciences Journal

Multidisciplinary open-access journal spanning biochemistry, genetics, neuroscience, environmental health, and synthetic biology.

International Journal of Functional Nutrition

International Journal of Functional Nutrition

Open-access journal combining biochemistry, pharmacology, immunology, and genetics to advance health through functional nutrition.

International Journal of Epigenetics

International Journal of Epigenetics

Publishes open-access research on using epigenetics to advance understanding and treatment of human disease.

Medicine International

Medicine International

An International Open Access Journal Devoted to General Medicine.

Journal Cover
June-2023 Volume 25 Issue 6

Full Size Image

Sign up for eToc alerts
Recommend to Library

  • Article
  • Citations
    • Cite This Article
    • Download Citation
    • Create Citation Alert
    • Remove Citation Alert
    • Cited By
  • Similar Articles
    • Related Articles (in Spandidos Publications)
    • Similar Articles (Google Scholar)
    • Similar Articles (PubMed)
  • Download PDF
  • Download XML
  • View XML
Article Open Access

Antitumor effects of NK cells expanded by activation pre‑processing of autologous feeder cells before irradiation in colorectal cancer

  • Authors:
    • Eun-Kyoung Koh
    • Hong-Rae Lee
    • Woo-Chang Son
    • Ga-Young Park
    • Jaeho Bae
    • You-Soo Park
  • View Affiliations / Copyright

    Affiliations: Department of Research Center, Dongnam Institute of Radiological & Medical Sciences, Gijang‑gun, Busan 46033, Republic of Korea, Department of Biochemistry, Pusan National University School of Medicine, Yangsan, Gyeongsangnam‑do 50612, Republic of Korea
    Copyright: © Koh et al. This is an open access article distributed under the terms of Creative Commons Attribution License.
  • Article Number: 232
    |
    Published online on: April 18, 2023
       https://doi.org/10.3892/ol.2023.13818
  • Expand metrics +
Metrics: Total Views: 0 (Spandidos Publications: | PMC Statistics: )
Metrics: Total PDF Downloads: 0 (Spandidos Publications: | PMC Statistics: )
Cited By (CrossRef): 0 citations Loading Articles...

This article is mentioned in:



Abstract

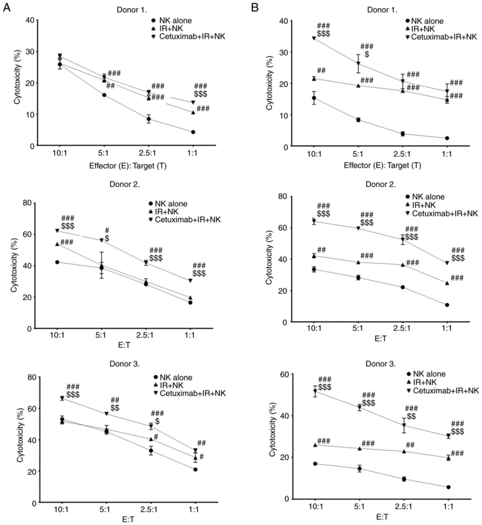
Natural killer (NK) cells play a crucial role in early immune defenses against transformed cells and are used in the therapeutic management of cancer. However, it is difficult to sufficiently obtain high purity activated NK cells for clinical application. The function of NK cells is dependent on the balance of activating and inhibitory signals. Strong and diverse stimuli are required to increase the function of NK cells. Radiotherapy modulates the expression of various immunomodulatory molecules that recruit and activate NK cells. NK cell‑mediated antibody‑dependent cellular cytotoxicity is one of the most potent cytotoxic effects of NK cells against target cancer cells. To generate activated and irradiated autologous peripheral blood mononuclear cells (PBMCs), cytokine and monoclonal antibody stimulation followed by ionizing radiation was performed in the present study. The expanded NK cells were cultured for 21 days using activated/irradiated autologous PBMCs. Colorectal cancer cells (SW480 and HT‑29) were used to analyze the expression of NK group 2D ligands and EGFR by radiation. The cytotoxicity of radiation plus NK cell‑based targeted therapy against colorectal cancer cell lines was analyzed using flow cytometry. Activated and irradiated PBMCs exhibited significantly increased expression of various activating ligands that stimulated NK cells. In total, >10,000‑fold high‑purity activated NK cells were obtained, with negligible T‑cell contamination. To confirm the antitumor activity of the NK cells expanded by this method, the expanded NK cells were treated with cetuximab, radiotherapy, or a combination of cetuximab and radiotherapy in the presence of human colorectal cancer cells. Expanded NK cells were effective at targeting human colorectal cancer cells, particularly when combined with cetuximab and radiotherapy. Thus, in the present study, a novel method for high‑purity activated NK cell expansion was developed using activated and irradiated PBMCs. In addition, combined radiotherapy and antibody‑based immunotherapy with expanded NK cells may be an effective strategy to enhance the efficiency of treatment against colorectal cancer.
View Figures

Figure 1

Figure 2

Figure 3

Figure 4

View References

1 

Trinchieri G: Biology of natural killer cells. Adv Immunol. 47:187–376. 1989. View Article : Google Scholar : PubMed/NCBI

2 

Lanier LL: NK cell recognition. Annu Rev Immunol. 23:225–274. 2005. View Article : Google Scholar : PubMed/NCBI

3 

Caligiuri MA: Human natural killer cells. Blood. 112:461–469. 2008. View Article : Google Scholar : PubMed/NCBI

4 

Long EO: Regulation of immune responses through inhibitory receptors. Annu Rev Immunol. 17:875–904. 1999. View Article : Google Scholar : PubMed/NCBI

5 

Formenti SC and Demaria S: Systemic effects of local radiotherapy. Lancet Oncol. 10:718–726. 2009. View Article : Google Scholar : PubMed/NCBI

6 

Park B, Yee C and Lee KM: The effect of radiation on the immune response to cancers. Int J Mol Sci. 15:927–943. 2014. View Article : Google Scholar : PubMed/NCBI

7 

Friedman EJ: Immune modulation by ionizing radiation and its implications for cancer immunotherapy. Curr Pharm Des. 8:1765–1780. 2002. View Article : Google Scholar : PubMed/NCBI

8 

Demaria S and Formenti SC: Role of T lymphocytes in tumor response to radiotherapy. Front Oncol. 2:952012. View Article : Google Scholar : PubMed/NCBI

9 

Kim JY, Son YO, Park SW, Bae JH, Chung JS, Kim HH, Chung BS, Kim SH and Kang CD: Increase of NKG2D ligands and sensitivity to NK cell-mediated cytotoxicity of tumor cells by heat shock and ionizing radiation. Exp Mol Med. 38:474–484. 2006. View Article : Google Scholar : PubMed/NCBI

10 

González S, López-Soto A, Suarez-Alvarez B, López-Vázquez A and López-Larrea C: NKG2D ligands: key targets of the immune response. Trends Immunol. 29:397–403. 2008. View Article : Google Scholar : PubMed/NCBI

11 

Ames E, Canter RJ, Grossenbacher SK, Mac S, Smith RC, Monjazeb AM, Chen M and Murphy WJ: Enhanced targeting of stem-like solid tumor cells with radiation and natural killer cells. Oncoimmunology. 4:e10362122015. View Article : Google Scholar : PubMed/NCBI

12 

Sulica A, Morel P, Metes D and Herberman RB: Ig-binding receptors on human NK cells as effector and regulatory surface molecules. Int Rev Immunol. 20:371–414. 2001. View Article : Google Scholar : PubMed/NCBI

13 

Schlessinger J: Cell signaling by receptor tyrosine kinases. Cell. 103:211–225. 2000. View Article : Google Scholar : PubMed/NCBI

14 

Mendelsohn J and Baselga J: The EGF receptor family as targets for cancer therapy. Oncogene. 19:6550–6565. 2000. View Article : Google Scholar : PubMed/NCBI

15 

Hynes NE and Lane HA: ERBB receptors and cancer: The complexity of targeted inhibitors. Nat Rev Cancer. 5:341–354. 2005. View Article : Google Scholar : PubMed/NCBI

16 

Nicholson RI, Gee JM and Harper ME: EGFR and cancer prognosis. Eur J Cancer. 37 (Suppl 4):S9–S15. 2001. View Article : Google Scholar : PubMed/NCBI

17 

Graham J, Muhsin M and Kirkpatrick P: Cetuximab. Nat Rev Drug Discov. 3:549–550. 2004. View Article : Google Scholar : PubMed/NCBI

18 

Sotelo Lezama MJ, Sastre Valera J and Diaz-Rubio Garcia E: Impact of cetuximab in current treatment of metastatic colorectal cancer. Expert Opin Biol Ther. 14:387–399. 2014. View Article : Google Scholar : PubMed/NCBI

19 

Fang F, Xiao W and Tian Z: NK cell-based immunotherapy for cancer. Semin Immunol. 31:37–54. 2017. View Article : Google Scholar : PubMed/NCBI

20 

Cheng M, Chen Y, Xiao W, Sun R and Tian Z: NK cell-based immunotherapy for malignant diseases. Cell Mol Immunol. 10:230–252. 2013. View Article : Google Scholar : PubMed/NCBI

21 

Lim SA, Kim TJ, Lee JE, Sonn CH, Kim K, Kim J, Choi JG, Choi IK, Yun CO, Kim JH, et al: Ex vivo expansion of highly cytotoxic human NK cells by cocultivation with irradiated tumor cells for adoptive immunotherapy. Cancer Res. 73:2598–2607. 2013. View Article : Google Scholar : PubMed/NCBI

22 

Gong W, Xiao W, Hu M, Weng X, Qian L, Pan X and Ji M: Ex vivo expansion of natural killer cells with high cytotoxicity by K562 cells modified to co-express major histocompatibility complex class I chain-related protein A, 4-1BB ligand, and interleukin-15. Tissue Antigens. 76:467–475. 2010. View Article : Google Scholar : PubMed/NCBI

23 

Fujisaki H, Kakuda H, Shimasaki N, Imai C, Ma J, Lockey T, Eldridge P, Leung WH and Campana D: Expansion of highly cytotoxic human natural killer cells for cancer cell therapy. Cancer Res. 69:4010–4017. 2009. View Article : Google Scholar : PubMed/NCBI

24 

Denman CJ, Senyukov VV, Somanchi SS, Phatarpekar PV, Kopp LM, Johnson JL, Singh H, Hurton L, Maiti SN, Huls MH, et al: Membrane-bound IL-21 promotes sustained ex vivo proliferation of human natural killer cells. PLoS One. 7:e302642012. View Article : Google Scholar : PubMed/NCBI

25 

Berg M, Lundqvist A, McCoy P Jr, Samsel L, Fan Y, Tawab A and Childs R: Clinical-grade ex vivo-expanded human natural killer cells up-regulate activating receptors and death receptor ligands and have enhanced cytolytic activity against tumor cells. Cytotherapy. 11:341–355. 2009. View Article : Google Scholar : PubMed/NCBI

26 

Lee HR, Son CH, Koh EK, Bae JH, Kang CD, Yang K and Park YS: Expansion of cytotoxic natural killer cells using irradiated autologous peripheral blood mononuclear cells and anti-CD16 antibody. Sci Rep. 7:110752017. View Article : Google Scholar : PubMed/NCBI

27 

Beano A, Signorino E, Evangelista A, Brusa D, Mistrangelo M, Polimeni MA, Spadi R, Donadio M, Ciuffreda L and Matera L: Correlation between NK function and response to trastuzumab in metastatic breast cancer patients. J Transl Med. 6:252008. View Article : Google Scholar : PubMed/NCBI

28 

Cartron G, Dacheux L, Salles G, Solal-Celigny P, Bardos P, Colombat P and Watier H: Therapeutic activity of humanized anti-CD20 monoclonal antibody and polymorphism in IgG Fc receptor FcgammaRIIIa gene. Blood. 99:754–758. 2002. View Article : Google Scholar : PubMed/NCBI

29 

Veluchamy JP, Spanholtz J, Tordoir M, Thijssen VL, Heideman DA, Verheul HM, de Gruijl TD and van der Vliet HJ: Combination of NK cells and cetuximab to enhance anti-tumor responses in RAS mutant metastatic colorectal cancer. PLoS One. 11:e01578302016. View Article : Google Scholar : PubMed/NCBI

30 

Cerboni C, Zingoni A, Cippitelli M, Piccoli M, Frati L and Santoni A: Antigen-activated human T lymphocytes express cell-surface NKG2D ligands via an ATM/ATR-dependent mechanism and become susceptible to autologous NK-cell lysis. Blood. 110:606–615. 2007. View Article : Google Scholar : PubMed/NCBI

31 

Wang H, Ruan Z, Wang Y, Han J, Fu X, Zhao T, Yang D, Xu W, Yang Z, Wang L, et al: MHC class I chain-related molecules induced on monocytes by IFN-gamma promote NK cell activation. Mol Immunol. 45:1548–1556. 2008. View Article : Google Scholar : PubMed/NCBI

32 

Sung H, Ferlay J, Siegel RL, Laversanne M, Soerjomataram I, Jemal A and Bray F: Global cancer statistics 2020: GLOBOCAN estimates of incidence and mortality worldwide for 36 cancers in 185 countries. CA Cancer J Clin. 71:209–249. 2021. View Article : Google Scholar : PubMed/NCBI

33 

Veluchamy JP, Lopez-Lastra S, Spanholtz J, Bohme F, Kok N, Heideman DA, Verheul HM, Di Santo JP, de Gruijl TD and van der Vliet HJ: In vivo efficacy of umbilical cord blood stem cell-derived NK cells in the treatment of metastatic colorectal cancer. Front Immunol. 8:872017. View Article : Google Scholar : PubMed/NCBI

34 

Canter RJ, Grossenbacher SK, Foltz JA, Sturgill IR, Park JS, Luna JI, Kent MS, Culp WTN, Chen M, Modiano JF, et al: Radiotherapy enhances natural killer cell cytotoxicity and localization in pre-clinical canine sarcomas and first-in-dog clinical trial. J Immunother Cancer. 5:982017. View Article : Google Scholar : PubMed/NCBI

35 

Gasser S, Orsulic S, Brown EJ and Raulet DH: The DNA damage pathway regulates innate immune system ligands of the NKG2D receptor. Nature. 436:1186–1190. 2005. View Article : Google Scholar : PubMed/NCBI

36 

Cerboni C, Fionda C, Soriani A, Zingoni A, Doria M, Cippitelli M and Santoni A: The DNA damage response: A common pathway in the regulation of NKG2D and DNAM-1 ligand expression in normal, infected, and cancer cells. Front Immunol. 4:5082014. View Article : Google Scholar : PubMed/NCBI

37 

Kute TE, Savage L, Stehle JR Jr, Kim-Shapiro JW, Blanks MJ, Wood J and Vaughn JP: Breast tumor cells isolated from in vitro resistance to trastuzumab remain sensitive to trastuzumab anti-tumor effects in vivo and to ADCC killing. Cancer Immunol Immunother. 58:1887–1896. 2009. View Article : Google Scholar : PubMed/NCBI

38 

Malmberg KJ, Carlsten M, Björklund A, Sohlberg E, Bryceson YT and Ljunggren HG: Natural killer cell-mediated immunosurveillance of human cancer. Semin Immunol. 31:20–29. 2017. View Article : Google Scholar : PubMed/NCBI

39 

Yang Y, Lim O, Kim TM, Ahn YO, Choi H, Chung H, Min B, Her JH, Cho SY, Keam B, et al: Phase I study of random healthy donor-derived allogeneic natural killer cell therapy in patients with malignant lymphoma or advanced solid tumors. Cancer Immunol Res. 4:215–224. 2016. View Article : Google Scholar : PubMed/NCBI

40 

Ishikawa E, Tsuboi K, Saijo K, Harada H, Takano S, Nose T and Ohno T: Autologous natural killer cell therapy for human recurrent malignant glioma. Anticancer Res. 24:1861–1871. 2004.PubMed/NCBI

41 

Sakamoto N, Ishikawa T, Kokura S, Okayama T, Oka K, Ideno M, Sakai F, Kato A, Tanabe M, Enoki T, et al: Phase I clinical trial of autologous NK cell therapy using novel expansion method in patients with advanced digestive cancer. J Transl Med. 13:2772015. View Article : Google Scholar : PubMed/NCBI

42 

Masuyama J, Murakami T, Iwamoto S and Fujita S: Ex vivo expansion of natural killer cells from human peripheral blood mononuclear cells co-stimulated with anti-CD3 and anti-CD52 monoclonal antibodies. Cytotherapy. 18:80–90. 2016. View Article : Google Scholar : PubMed/NCBI

43 

Ishikawa T, Okayama T, Sakamoto N, Ideno M, Oka K, Enoki T, Mineno J, Yoshida N, Katada K, Kamada K, et al: Phase I clinical trial of adoptive transfer of expanded natural killer cells in combination with IgG1 antibody in patients with gastric or colorectal cancer. Int J Cancer. 142:2599–2609. 2018. View Article : Google Scholar : PubMed/NCBI

44 

Hashimoto K, Nishimura S, Ito T, Kakinoki R and Akagi M: Immunohistochemical expression and clinicopathological assessment of PD-1, PD-L1, NY-ESO-1, and MAGE-A4 expression in highly aggressive soft tissue sarcomas. Eur J Histochem. 66:33932022. View Article : Google Scholar : PubMed/NCBI

45 

Liu Y, Cheng Y, Xu Y, Wang Z, Du X, Li C, Peng J, Gao L, Liang X and Ma C: Increased expression of programmed cell death protein 1 on NK cells inhibits NK-cell-mediated anti-tumor function and indicates poor prognosis in digestive cancers. Oncogene. 36:6143–6153. 2017. View Article : Google Scholar : PubMed/NCBI

46 

Boerman GH, van Ostaijen-ten Dam MM, Kraal KC, Santos SJ, Ball LM, Lankester AC, Schilham MW, Egeler RM and van Tol MJ: Role of NKG2D, DNAM-1 and natural cytotoxicity receptors in cytotoxicity toward rhabdomyosarcoma cell lines mediated by resting and IL-15-activated human natural killer cells. Cancer Immunol Immunother. 64:573–583. 2015. View Article : Google Scholar : PubMed/NCBI

Related Articles

  • Abstract
  • View
  • Download
  • Twitter
Copy and paste a formatted citation
Spandidos Publications style
Koh E, Lee H, Son W, Park G, Bae J and Park Y: Antitumor effects of NK cells expanded by activation pre‑processing of autologous feeder cells before irradiation in colorectal cancer. Oncol Lett 25: 232, 2023.
APA
Koh, E., Lee, H., Son, W., Park, G., Bae, J., & Park, Y. (2023). Antitumor effects of NK cells expanded by activation pre‑processing of autologous feeder cells before irradiation in colorectal cancer. Oncology Letters, 25, 232. https://doi.org/10.3892/ol.2023.13818
MLA
Koh, E., Lee, H., Son, W., Park, G., Bae, J., Park, Y."Antitumor effects of NK cells expanded by activation pre‑processing of autologous feeder cells before irradiation in colorectal cancer". Oncology Letters 25.6 (2023): 232.
Chicago
Koh, E., Lee, H., Son, W., Park, G., Bae, J., Park, Y."Antitumor effects of NK cells expanded by activation pre‑processing of autologous feeder cells before irradiation in colorectal cancer". Oncology Letters 25, no. 6 (2023): 232. https://doi.org/10.3892/ol.2023.13818
Copy and paste a formatted citation
x
Spandidos Publications style
Koh E, Lee H, Son W, Park G, Bae J and Park Y: Antitumor effects of NK cells expanded by activation pre‑processing of autologous feeder cells before irradiation in colorectal cancer. Oncol Lett 25: 232, 2023.
APA
Koh, E., Lee, H., Son, W., Park, G., Bae, J., & Park, Y. (2023). Antitumor effects of NK cells expanded by activation pre‑processing of autologous feeder cells before irradiation in colorectal cancer. Oncology Letters, 25, 232. https://doi.org/10.3892/ol.2023.13818
MLA
Koh, E., Lee, H., Son, W., Park, G., Bae, J., Park, Y."Antitumor effects of NK cells expanded by activation pre‑processing of autologous feeder cells before irradiation in colorectal cancer". Oncology Letters 25.6 (2023): 232.
Chicago
Koh, E., Lee, H., Son, W., Park, G., Bae, J., Park, Y."Antitumor effects of NK cells expanded by activation pre‑processing of autologous feeder cells before irradiation in colorectal cancer". Oncology Letters 25, no. 6 (2023): 232. https://doi.org/10.3892/ol.2023.13818
Follow us
  • Twitter
  • LinkedIn
  • Facebook
About
  • Spandidos Publications
  • Careers
  • Cookie Policy
  • Privacy Policy
How can we help?
  • Help
  • Live Chat
  • Contact
  • Email to our Support Team