Spandidos Publications Logo
  • About
    • About Spandidos
    • Aims and Scopes
    • Abstracting and Indexing
    • Editorial Policies
    • Reprints and Permissions
    • Job Opportunities
    • Terms and Conditions
    • Contact
  • Journals
    • All Journals
    • Oncology Letters
      • Oncology Letters
      • Information for Authors
      • Editorial Policies
      • Editorial Board
      • Aims and Scope
      • Abstracting and Indexing
      • Bibliographic Information
      • Archive
    • International Journal of Oncology
      • International Journal of Oncology
      • Information for Authors
      • Editorial Policies
      • Editorial Board
      • Aims and Scope
      • Abstracting and Indexing
      • Bibliographic Information
      • Archive
    • Molecular and Clinical Oncology
      • Molecular and Clinical Oncology
      • Information for Authors
      • Editorial Policies
      • Editorial Board
      • Aims and Scope
      • Abstracting and Indexing
      • Bibliographic Information
      • Archive
    • Experimental and Therapeutic Medicine
      • Experimental and Therapeutic Medicine
      • Information for Authors
      • Editorial Policies
      • Editorial Board
      • Aims and Scope
      • Abstracting and Indexing
      • Bibliographic Information
      • Archive
    • International Journal of Molecular Medicine
      • International Journal of Molecular Medicine
      • Information for Authors
      • Editorial Policies
      • Editorial Board
      • Aims and Scope
      • Abstracting and Indexing
      • Bibliographic Information
      • Archive
    • Biomedical Reports
      • Biomedical Reports
      • Information for Authors
      • Editorial Policies
      • Editorial Board
      • Aims and Scope
      • Abstracting and Indexing
      • Bibliographic Information
      • Archive
    • Oncology Reports
      • Oncology Reports
      • Information for Authors
      • Editorial Policies
      • Editorial Board
      • Aims and Scope
      • Abstracting and Indexing
      • Bibliographic Information
      • Archive
    • Molecular Medicine Reports
      • Molecular Medicine Reports
      • Information for Authors
      • Editorial Policies
      • Editorial Board
      • Aims and Scope
      • Abstracting and Indexing
      • Bibliographic Information
      • Archive
    • World Academy of Sciences Journal
      • World Academy of Sciences Journal
      • Information for Authors
      • Editorial Policies
      • Editorial Board
      • Aims and Scope
      • Abstracting and Indexing
      • Bibliographic Information
      • Archive
    • International Journal of Functional Nutrition
      • International Journal of Functional Nutrition
      • Information for Authors
      • Editorial Policies
      • Editorial Board
      • Aims and Scope
      • Abstracting and Indexing
      • Bibliographic Information
      • Archive
    • International Journal of Epigenetics
      • International Journal of Epigenetics
      • Information for Authors
      • Editorial Policies
      • Editorial Board
      • Aims and Scope
      • Abstracting and Indexing
      • Bibliographic Information
      • Archive
    • Medicine International
      • Medicine International
      • Information for Authors
      • Editorial Policies
      • Editorial Board
      • Aims and Scope
      • Abstracting and Indexing
      • Bibliographic Information
      • Archive
  • Articles
  • Information
    • Information for Authors
    • Information for Reviewers
    • Information for Librarians
    • Information for Advertisers
    • Conferences
  • Language Editing
Spandidos Publications Logo
  • About
    • About Spandidos
    • Aims and Scopes
    • Abstracting and Indexing
    • Editorial Policies
    • Reprints and Permissions
    • Job Opportunities
    • Terms and Conditions
    • Contact
  • Journals
    • All Journals
    • Biomedical Reports
      • Information for Authors
      • Editorial Policies
      • Editorial Board
      • Aims and Scope
      • Abstracting and Indexing
      • Bibliographic Information
      • Archive
    • Experimental and Therapeutic Medicine
      • Information for Authors
      • Editorial Policies
      • Editorial Board
      • Aims and Scope
      • Abstracting and Indexing
      • Bibliographic Information
      • Archive
    • International Journal of Epigenetics
      • Information for Authors
      • Editorial Policies
      • Editorial Board
      • Aims and Scope
      • Abstracting and Indexing
      • Bibliographic Information
      • Archive
    • International Journal of Functional Nutrition
      • Information for Authors
      • Editorial Policies
      • Editorial Board
      • Aims and Scope
      • Abstracting and Indexing
      • Bibliographic Information
      • Archive
    • International Journal of Molecular Medicine
      • Information for Authors
      • Editorial Policies
      • Editorial Board
      • Aims and Scope
      • Abstracting and Indexing
      • Bibliographic Information
      • Archive
    • International Journal of Oncology
      • Information for Authors
      • Editorial Policies
      • Editorial Board
      • Aims and Scope
      • Abstracting and Indexing
      • Bibliographic Information
      • Archive
    • Medicine International
      • Information for Authors
      • Editorial Policies
      • Editorial Board
      • Aims and Scope
      • Abstracting and Indexing
      • Bibliographic Information
      • Archive
    • Molecular and Clinical Oncology
      • Information for Authors
      • Editorial Policies
      • Editorial Board
      • Aims and Scope
      • Abstracting and Indexing
      • Bibliographic Information
      • Archive
    • Molecular Medicine Reports
      • Information for Authors
      • Editorial Policies
      • Editorial Board
      • Aims and Scope
      • Abstracting and Indexing
      • Bibliographic Information
      • Archive
    • Oncology Letters
      • Information for Authors
      • Editorial Policies
      • Editorial Board
      • Aims and Scope
      • Abstracting and Indexing
      • Bibliographic Information
      • Archive
    • Oncology Reports
      • Information for Authors
      • Editorial Policies
      • Editorial Board
      • Aims and Scope
      • Abstracting and Indexing
      • Bibliographic Information
      • Archive
    • World Academy of Sciences Journal
      • Information for Authors
      • Editorial Policies
      • Editorial Board
      • Aims and Scope
      • Abstracting and Indexing
      • Bibliographic Information
      • Archive
  • Articles
  • Information
    • For Authors
    • For Reviewers
    • For Librarians
    • For Advertisers
    • Conferences
  • Language Editing
Login Register Submit
  • This site uses cookies
  • You can change your cookie settings at any time by following the instructions in our Cookie Policy. To find out more, you may read our Privacy Policy.

    I agree
Search articles by DOI, keyword, author or affiliation
Search
Advanced Search
presentation
Oncology Letters
Join Editorial Board Propose a Special Issue
Print ISSN: 1792-1074 Online ISSN: 1792-1082
Journal Cover
June-2023 Volume 25 Issue 6

Full Size Image

Sign up for eToc alerts
Recommend to Library

Journals

International Journal of Molecular Medicine

International Journal of Molecular Medicine

International Journal of Molecular Medicine is an international journal devoted to molecular mechanisms of human disease.

International Journal of Oncology

International Journal of Oncology

International Journal of Oncology is an international journal devoted to oncology research and cancer treatment.

Molecular Medicine Reports

Molecular Medicine Reports

Covers molecular medicine topics such as pharmacology, pathology, genetics, neuroscience, infectious diseases, molecular cardiology, and molecular surgery.

Oncology Reports

Oncology Reports

Oncology Reports is an international journal devoted to fundamental and applied research in Oncology.

Experimental and Therapeutic Medicine

Experimental and Therapeutic Medicine

Experimental and Therapeutic Medicine is an international journal devoted to laboratory and clinical medicine.

Oncology Letters

Oncology Letters

Oncology Letters is an international journal devoted to Experimental and Clinical Oncology.

Biomedical Reports

Biomedical Reports

Explores a wide range of biological and medical fields, including pharmacology, genetics, microbiology, neuroscience, and molecular cardiology.

Molecular and Clinical Oncology

Molecular and Clinical Oncology

International journal addressing all aspects of oncology research, from tumorigenesis and oncogenes to chemotherapy and metastasis.

World Academy of Sciences Journal

World Academy of Sciences Journal

Multidisciplinary open-access journal spanning biochemistry, genetics, neuroscience, environmental health, and synthetic biology.

International Journal of Functional Nutrition

International Journal of Functional Nutrition

Open-access journal combining biochemistry, pharmacology, immunology, and genetics to advance health through functional nutrition.

International Journal of Epigenetics

International Journal of Epigenetics

Publishes open-access research on using epigenetics to advance understanding and treatment of human disease.

Medicine International

Medicine International

An International Open Access Journal Devoted to General Medicine.

Journal Cover
June-2023 Volume 25 Issue 6

Full Size Image

Sign up for eToc alerts
Recommend to Library

  • Article
  • Citations
    • Cite This Article
    • Download Citation
    • Create Citation Alert
    • Remove Citation Alert
    • Cited By
  • Similar Articles
    • Related Articles (in Spandidos Publications)
    • Similar Articles (Google Scholar)
    • Similar Articles (PubMed)
  • Download PDF
  • Download XML
  • View XML
Article Open Access

AURKA, TOP2A and MELK are the key genes identified by WGCNA for the pathogenesis of lung adenocarcinoma

  • Authors:
    • Yunqing Xu
    • Sen Wang
    • Bin Xu
    • Huiqing Lin
    • Na Zhan
    • Jiacai Ren
    • Wenling Song
    • Rong Han
    • Liping Cheng
    • Man Zhang
    • Xiuyun Zhang
  • View Affiliations / Copyright

    Affiliations: Department of Oncology, People's Hospital of Huangpi District, Wuhan, Hubei 430000, P.R. China, Department of Forensic Medicine, Guangxi Medical University, Nanning, Guanxi 530021, P.R. China, Department of Thoracic Surgery, Renmin Hospital of Wuhan University, Wuhan, Hubei 430060, P.R. China, Department of Pathology, Renmin Hospital of Wuhan University, Wuhan, Hubei 430060, P.R. China
    Copyright: © Xu et al. This is an open access article distributed under the terms of Creative Commons Attribution License.
  • Article Number: 238
    |
    Published online on: April 19, 2023
       https://doi.org/10.3892/ol.2023.13824
  • Expand metrics +
Metrics: Total Views: 0 (Spandidos Publications: | PMC Statistics: )
Metrics: Total PDF Downloads: 0 (Spandidos Publications: | PMC Statistics: )
Cited By (CrossRef): 0 citations Loading Articles...

This article is mentioned in:



Abstract

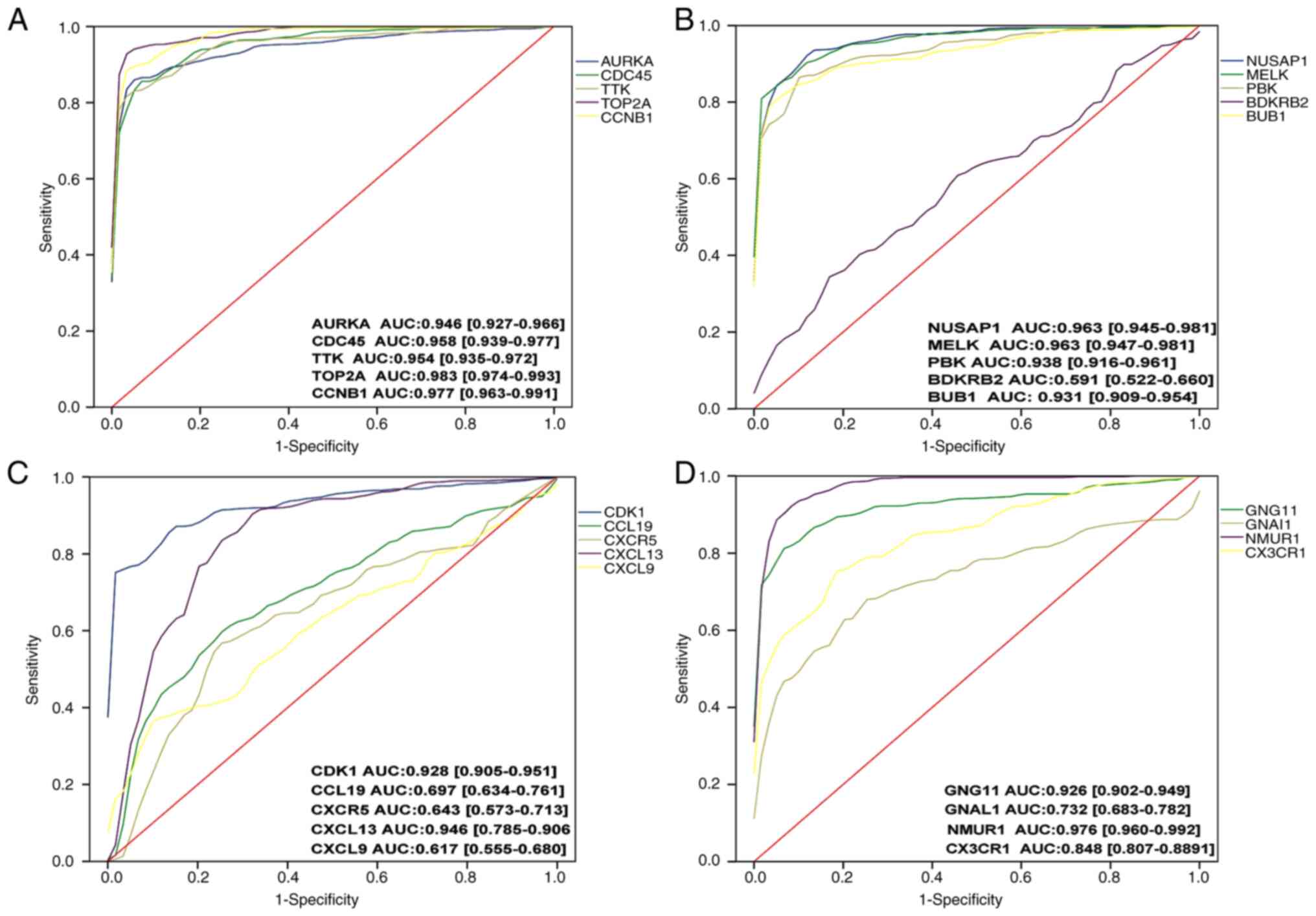
The comprehensive analysis of single or multiple microarray datasets is currently available in Gene Expression Omnibus (GEO) databases, with several studies having identified genes strongly associated with the development of lung adenocarcinoma (LUAD). However, the mechanisms of LUAD development remain largely unknown and has not yet been systematically studied; thus, further studies are required in this field. In the present study, weighted gene co‑expression network analysis (WGCNA) was used for the evaluation of key genes with potential high risk of LUAD, and to provide more reliable evidence concerning its pathogenesis. The GSE140797 dataset from the high‑throughput GEO database was downloaded and was first analyzed using the Limma package in the R language in order to determine the differentially expressed genes. The dataset was then analyzed using the WGCNA package to analyze the co‑expressed genes, and the modular genes with the highest correlation with the clinical phenotype were identified. Subsequently, the pathogenic genes shared in common between the result of the two analyses were imported into the STRING database for protein‑protein interaction network analysis. The hub genes were screened out using Cytoscape, and then The Cancer Genome Atlas analysis, receiver operating characteristic analysis and survival analysis were subsequently performed. Finally, the key genes were evaluated using reverse transcription‑quantitative PCR and western blot analysis. Bioinformatics analysis of the GSE140797 dataset revealed eight key genes: AURKA, BUB1, CCNB1, CDK1, MELK, NUSAP1, TOP2A and PBK. Finally, the AURKA, TOP2A and MELK genes were evaluated in samples from patients with lung cancer using WGCNA and RT‑qPCR, western blot analysis experiments, providing basis for further research on the mechanisms of LUAD development and targeted therapy.
View Figures

Figure 1

Figure 2

Figure 3

Figure 4

Figure 5

Figure 6

Figure 7

Figure 8

Figure 9

Figure 10

View References

1 

Sung H, Ferlay J, Siegel RL, Laversanne M, Soerjomataram I, Jemal A and Bray F: Global Cancer Statistics 2020: GLOBOCAN estimates of incidence and mortality worldwide for 36 cancers in 185 countries. CA Cancer J Clin. 71:209–249. 2021. View Article : Google Scholar : PubMed/NCBI

2 

Denisenko TV, Budkevich IN and Zhivotovsky B: Cell death-based treatment of lung adenocarcinoma. Cell Death Dis. 9:1172018. View Article : Google Scholar : PubMed/NCBI

3 

Yu Y, Wang Z, Zheng Q and Li J: FAM72 serves as a biomarker of poor prognosis in human lung adenocarcinoma. Aging (Albany NY). 13:8155–8176. 2021. View Article : Google Scholar : PubMed/NCBI

4 

Wang C, Tan S, Liu WR, Lei Q, Qiao W, Wu Y, Liu X, Cheng W, Wei YQ, Peng Y and Li W: RNA-Seq profiling of circular RNA in human lung adenocarcinoma and squamous cell carcinoma. Mol Cancer. 18:1342019. View Article : Google Scholar : PubMed/NCBI

5 

Li Y, Yu X, Zhang Y, Wang X, Zhao L, Liu D, Zhao G, Gao X, Fu J, Zang A and Jia Y: Identification of a novel prognosis-associated ceRNA network in lung adenocarcinoma via bioinformatics analysis. Biomed Eng Online. 20:1172021. View Article : Google Scholar : PubMed/NCBI

6 

Li H, Guo L and Cai Z: TCN1 is a potential prognostic biomarker and correlates with immune infiltrates in lung adenocarcinoma. World J Surg Oncol. 20:832022. View Article : Google Scholar : PubMed/NCBI

7 

Yuanhua L, Pudong Q, Wei Z, Yuan W, Delin L, Yan Z, Geyu L and Bo S: TFAP2A Induced KRT16 as an Oncogene in Lung Adenocarcinoma via EMT. Int J Biol Sci. 15:1419–1428. 2019. View Article : Google Scholar : PubMed/NCBI

8 

Liu ZP: Reverse engineering of genome-wide gene regulatory networks from gene expression data. Curr Genomics. 16:3–22. 2015. View Article : Google Scholar : PubMed/NCBI

9 

Langfelder P and Horvath S: WGCNA: An R package for weighted correlation network analysis. BMC Bioinformatics. 9:5592008. View Article : Google Scholar : PubMed/NCBI

10 

Liu Z, Li M, Fang X, Shen L, Yao W, Fang Z, Chen J, Feng X, Hu L, Zeng Z, et al: Identification of surrogate prognostic biomarkers for allergic asthma in nasal epithelial brushing samples by WGCNA. J Cell Biochemi. 120:5137–5150. 2019. View Article : Google Scholar : PubMed/NCBI

11 

Dong S, Men W, Yang S and Xu S: Identification of lung adenocarcinoma biomarkers based on bioinformatic analysis and human samples. Oncol Rep. 43:1437–1450. 2020.PubMed/NCBI

12 

Zhang L, He M, Zhu W, Lv X, Zhao Y, Yan Y, Li X, Jiang L, Zhao L, Fan Y, et al: Identification of a panel of mitotic spindle-related genes as a signature predicting survival in lung adenocarcinoma. J Cell Physiol. 235:4361–4375. 2020. View Article : Google Scholar : PubMed/NCBI

13 

Wang L, Li S, Wang Y, Tang Z, Liu C, Jiao W and Liu J: Identification of differentially expressed protein-coding genes in lung adenocarcinomas. Exp Ther Med. 19:1103–1111. 2020.PubMed/NCBI

14 

Li J, Liu X, Cui Z and Han G: Comprehensive analysis of candidate diagnostic and prognostic biomarkers associated with lung adenocarcinoma. Med Sci Monit. 26:e9220702020.PubMed/NCBI

15 

Wang Y, Zhou Z, Chen L, Li Y, Zhou Z and Chu X: Identification of key genes and biological pathways in lung adenocarcinoma via bioinformatics analysis. Mol Cell Biochem. 476:931–939. 2021. View Article : Google Scholar : PubMed/NCBI

16 

Chen C, Tang Y, Qu WD, Han X, Zuo JB, Cai QY, Xu G, Song YX and Ke XX: Evaluation of clinical value and potential mechanism of MTFR2 in lung adenocarcinoma via bioinformatics. BMC Cancer. 21:6192021. View Article : Google Scholar : PubMed/NCBI

17 

Fan X, Wang Y and Tang XQ: Extracting predictors for lung adenocarcinoma based on Granger causality test and stepwise character selection. BMC Bioinformatics. 20 (Suppl 7):S1972019. View Article : Google Scholar

18 

Guo W, Sun S, Guo L, Song P, Xue X, Zhang H, Zhang G, Wang Z, Qiu B, Tan F, et al: Elevated TOP2A and UBE2C expressions correlate with poor prognosis in patients with surgically resected lung adenocarcinoma: A study based on immunohistochemical analysis and bioinformatics. J Cancer Res Clin Oncol. 146:821–841. 2020. View Article : Google Scholar : PubMed/NCBI

19 

Du R, Huang C, Liu K, Li X and Dong Z: Targeting AURKA in Cancer: Molecular mechanisms and opportunities for Cancer therapy. Mol Cancer. 20:152021. View Article : Google Scholar : PubMed/NCBI

20 

Meng J, Wei Y, Deng Q, Li L and Li X: Study on the expression of TOP2A in hepatocellular carcinoma and its relationship with patient prognosis. Cancer Cell Int. 22:292022. View Article : Google Scholar : PubMed/NCBI

21 

Zhang Y, Yang H, Wang L, Zhou H, Zhang G, Xiao Z and Xue X: TOP2A correlates with poor prognosis and affects radioresistance of medulloblastoma. Front Oncol. 12:9189592022. View Article : Google Scholar : PubMed/NCBI

22 

Zhang F and Wu H: MiR-599 targeting TOP2A inhibits the malignancy of bladder cancer cells. Biochem Biophys Res Commun. 570:154–161. 2021. View Article : Google Scholar : PubMed/NCBI

23 

Gao Y, Zhao H, Ren M, Chen Q, Li J, Li Z, Yin C and Yue W: TOP2A promotes tumorigenesis of high-grade serous ovarian cancer by regulating the TGF-β/Smad pathway. J Cancer. 11:4181–4192. 2020. View Article : Google Scholar : PubMed/NCBI

24 

Wang B, Shen Y, Zou Y, Qi Z, Huang G, Xia S, Gao R, Li F and Huang Z: TOP2A promotes cell migration, invasion and epithelial-mesenchymal transition in cervical cancer via activating the PI3K/AKT signaling. Cancer Manag Res. 12:3807–3814. 2020. View Article : Google Scholar : PubMed/NCBI

25 

Pei YF, Yin XM and Liu XQ: TOP2A induces malignant character of pancreatic cancer through activating β-catenin signaling pathway. Biochim Biophys Acta Mol Basis Dis. 1864:197–207. 2018. View Article : Google Scholar : PubMed/NCBI

26 

Chen YU, Yu Y, Lv M, Shi Q and Li X: E2F1-mediated up-regulation of TOP2A promotes viability, migration, and invasion, and inhibits apoptosis of gastric cancer cells. J Biosci. 47:842022. View Article : Google Scholar : PubMed/NCBI

27 

Du X, Xue Z, Lv J and Wang H: Expression of the topoisomerase II alpha (TOP2A) gene in lung adenocarcinoma cells and the association with patient outcomes. Med Sci Monit. 26:e9291202020. View Article : Google Scholar : PubMed/NCBI

28 

Chen C, Guo Q, Song Y, Xu G and Liu L: SKA1/2/3 serves as a biomarker for poor prognosis in human lung adenocarcinoma. Transl Lung Cancer Res. 9:218–231. 2020. View Article : Google Scholar : PubMed/NCBI

29 

Gray D, Jubb AM, Hogue D, Dowd P, Kljavin N, Yi S, Bai W, Frantz G, Zhang Z, Koeppen H, et al: Maternal embryonic leucine zipper kinase/murine protein serine-threonine kinase 38 is a promising therapeutic target for multiple cancers. Cancer Res. 65:9751–9761. 2005. View Article : Google Scholar : PubMed/NCBI

30 

Li Y, Li Y, Chen Y, Xie Q, Dong N, Gao Y, Deng H, Lu C and Wang S: MicroRNA-214-3p inhibits proliferation and cell cycle progression by targeting MELK in hepatocellular carcinoma and correlates cancer prognosis. Cancer Cell Int. 17:1022017. View Article : Google Scholar : PubMed/NCBI

31 

Chen S, Zhou Q, Guo Z, Wang Y, Wang L, Liu X, Lu M, Ju L, Xiao Y and Wang X: Inhibition of MELK produces potential anti-tumour effects in bladder cancer by inducing G1/S cell cycle arrest via the ATM/CHK2/p53 pathway. J Cell Mol Med. 24:1804–1821. 2020. View Article : Google Scholar : PubMed/NCBI

32 

Tang Z, Li C, Kang B, Gao G, Li C and Zhang Z: GEPIA: A web server for cancer and normal gene expression profiling and interactive analyses. Nucleic Acids Res. 45:W98–W102. 2017. View Article : Google Scholar : PubMed/NCBI

33 

Cancer Genome Atlas Research Network, . Weinstein JN, Collisson EA, Mills GB, Shaw KR, Ozenberger BA, Ellrott K, Shmulevich I, Sander C and Stuart JM: The Cancer Genome Atlas Pan-Cancer analysis project. Nat Genet. 45:1113–1120. 2013. View Article : Google Scholar : PubMed/NCBI

34 

Livak KJ and Schmittgen TD: Analysis of relative gene expression data using real-time quantitative PCR and the 2(−Delta Delta C(T)) method. Methods. 25:402–408. 2001. View Article : Google Scholar : PubMed/NCBI

35 

Allemani C, Matsuda T, Di Carlo V, Harewood R, Matz M, Nikšić M, Bonaventure A, Valkov M, Johnson CJ, Estève J, et al: Global surveillance of trends in cancer survival 2000–14 (CONCORD-3): Analysis of individual records for 37 513 025 patients diagnosed with one of 18 cancers from 322 population-based registries in 71 countries. Lancet. 391:1023–1075. 2018. View Article : Google Scholar : PubMed/NCBI

36 

Zhao X, Zhang L, Wang J, Zhang M, Song Z, Ni B and You Y: Identification of key biomarkers and immune infiltration in systemic lupus erythematosus by integrated bioinformatics analysis. J Transl Med. 19:352021. View Article : Google Scholar : PubMed/NCBI

37 

Hu X, Bao M, Huang J, Zhou L and Zheng S: Identification and validation of novel biomarkers for diagnosis and prognosis of hepatocellular carcinoma. Front Oncol. 10:5414792020. View Article : Google Scholar : PubMed/NCBI

38 

Yang Q, Wang R, Wei B, Peng C, Wang L, Hu G, Kong D and Du C: Candidate biomarkers and molecular mechanism investigation for glioblastoma multiforme utilizing WGCNA. Biomed Res Int. 2018:42467032018. View Article : Google Scholar : PubMed/NCBI

39 

Vernocchi P, Gili T, Conte F, Del Chierico F, Conta G, Miccheli A, Botticelli A, Paci P, Caldarelli G, Nuti M, et al: Network analysis of gut microbiome and metabolome to discover microbiota-linked biomarkers in patients affected by non-small cell lung cancer. Int J Mol Sci. 21:87302020. View Article : Google Scholar : PubMed/NCBI

40 

Otto T and Sicinski P: Cell cycle proteins as promising targets in cancer therapy. Nat Rev Cancer. 17:93–115. 2017. View Article : Google Scholar : PubMed/NCBI

41 

Li Z, Zhang Y, Zhou Y, Wang F, Yin C, Ding L and Zhang S: Tanshinone IIA suppresses the progression of lung adenocarcinoma through regulating CCNA2-CDK2 complex and AURKA/PLK1 pathway. Sci Rep. 11:236812021. View Article : Google Scholar : PubMed/NCBI

42 

Zhong N, Shi S, Wang H, Wu G, Wang Y, Ma Q, Wang H, Liu Y and Wang J: Silencing Aurora-A with siRNA inhibits cell proliferation in human lung adenocarcinoma cells. Int J Oncol. 49:1028–1038. 2016. View Article : Google Scholar : PubMed/NCBI

43 

Zhang MY, Liu XX, Li H, Li R, Liu X and Qu YQ: Elevated mRNA Levels of AURKA, CDC20 and TPX2 are associated with poor prognosis of smoking related lung adenocarcinoma using bioinformatics analysis. Int J Med Sci. 15:1676–1685. 2018. View Article : Google Scholar : PubMed/NCBI

44 

Yang PJ, Hsieh MJ, Lee CI, Yen CH, Wang HL, Chiang WL, Liu TC, Tsao TC, Lee CY and Yang SF: Impact of aurora kinase a polymorphism and epithelial growth factor receptor mutations on the clinicopathological characteristics of lung adenocarcinoma. Int J Environ Res Public Health. 17:73502020. View Article : Google Scholar : PubMed/NCBI

45 

Zheng X, Chi J, Zhi J, Zhang H, Yue D, Zhao J, Li D, Li Y, Gao M and Guo J: Aurora-A-mediated phosphorylation of LKB1 compromises LKB1/AMPK signaling axis to facilitate NSCLC growth and migration. Oncogene. 37:502–511. 2018. View Article : Google Scholar : PubMed/NCBI

46 

Shah KN, Bhatt R, Rotow J, Rohrberg J, Olivas V, Wang VE, Hemmati G, Martins MM, Maynard A, Kuhn J, et al: Aurora kinase A drives the evolution of resistance to third-generation EGFR inhibitors in lung cancer. Nat Med. 25:111–118. 2019. View Article : Google Scholar : PubMed/NCBI

47 

Gao J, Lu F, Yan J, Wang R, Xia Y, Wang L, Li L, Chang L and Li W: The role of radiotherapy-related autophagy genes in the prognosis and immune infiltration in lung adenocarcinoma. Front Immunol. 13:9926262022. View Article : Google Scholar : PubMed/NCBI

48 

Grenda A, Błach J, Szczyrek M, Krawczyk P, Nicoś M, Kuźnar Kamińska B, Jakimiec M, Balicka G, Chmielewska I, Batura-Gun H, et al: Promoter polymorphisms of TOP2A and ERCC1 genes as predictive factors for chemotherapy in non-small cell lung cancer patients. Cancer Med. 9:605–614. 2020. View Article : Google Scholar : PubMed/NCBI

49 

Kou F, Sun H, Wu L, Li B, Zhang B, Wang X and Yang L: TOP2A promotes lung adenocarcinoma cells' malignant progression and predicts poor prognosis in lung adenocarcinoma. J Cancer. 11:2496–2508. 2020. View Article : Google Scholar : PubMed/NCBI

50 

Zeng H, Ji J, Song X, Huang Y, Li H, Huang J and Ma X: Stemness related genes revealed by network analysis associated with tumor immune microenvironment and the clinical outcome in lung adenocarcinoma. Front Genet. 11:5492132020. View Article : Google Scholar : PubMed/NCBI

51 

Song Y, Tang W and Li H: Identification of KIF4A and its effect on the progression of lung adenocarcinoma based on the bioinformatics analysis. Biosci Rep. 41:BSR202039732021. View Article : Google Scholar : PubMed/NCBI

52 

Dai JJ, Zhou WB and Wang B: Identification of crucial genes associated with lung adenocarcinoma by bioinformatic analysis. Medicine (Baltimore). 99:e230522020. View Article : Google Scholar : PubMed/NCBI

53 

Zhang S, Pang K, Feng X and Zeng Y: Transcriptomic data exploration of consensus genes and molecular mechanisms between chronic obstructive pulmonary disease and lung adenocarcinoma. Sci Rep. 12:132142022. View Article : Google Scholar : PubMed/NCBI

54 

Deng Y, Chen X, Huang C, Song J, Feng S, Chen X and Zhou R: Screening and validation of significant genes with poor prognosis in pathologic Stage-I lung adenocarcinoma. J Oncol. 2022:37940212022. View Article : Google Scholar : PubMed/NCBI

55 

Yin J, Che G, Jiang K, Zhou Z, Wu L, Xu M, Liu J and Yan S: Ciclopirox olamine exerts tumor-suppressor effects via topoisomerase II alpha in lung adenocarcinoma. Front Oncol. 12:7919162022. View Article : Google Scholar : PubMed/NCBI

56 

Zhang YQ, Li K, Guo Q and Li D: A new risk model based on 7 quercetin-related target genes for predicting the prognosis of patients with lung adenocarcinoma. Front Genet. 13:8900792022. View Article : Google Scholar : PubMed/NCBI

57 

Du T, Qu Y, Li J, Li H, Su L, Zhou Q, Yan M, Li C, Zhu Z and Liu B: Maternal embryonic leucine zipper kinase enhances gastric cancer progression via the FAK/Paxillin pathway. Mol Cancer. 13:1002014. View Article : Google Scholar : PubMed/NCBI

58 

McDonald IM and Graves LM: Enigmatic MELK: The controversy surrounding its complex role in cancer. J Biol Chem. 295:8195–8203. 2020. View Article : Google Scholar : PubMed/NCBI

Related Articles

  • Abstract
  • View
  • Download
  • Twitter
Copy and paste a formatted citation
Spandidos Publications style
Xu Y, Wang S, Xu B, Lin H, Zhan N, Ren J, Song W, Han R, Cheng L, Zhang M, Zhang M, et al: AURKA, TOP2A and MELK are the key genes identified by WGCNA for the pathogenesis of lung adenocarcinoma. Oncol Lett 25: 238, 2023.
APA
Xu, Y., Wang, S., Xu, B., Lin, H., Zhan, N., Ren, J. ... Zhang, X. (2023). AURKA, TOP2A and MELK are the key genes identified by WGCNA for the pathogenesis of lung adenocarcinoma. Oncology Letters, 25, 238. https://doi.org/10.3892/ol.2023.13824
MLA
Xu, Y., Wang, S., Xu, B., Lin, H., Zhan, N., Ren, J., Song, W., Han, R., Cheng, L., Zhang, M., Zhang, X."AURKA, TOP2A and MELK are the key genes identified by WGCNA for the pathogenesis of lung adenocarcinoma". Oncology Letters 25.6 (2023): 238.
Chicago
Xu, Y., Wang, S., Xu, B., Lin, H., Zhan, N., Ren, J., Song, W., Han, R., Cheng, L., Zhang, M., Zhang, X."AURKA, TOP2A and MELK are the key genes identified by WGCNA for the pathogenesis of lung adenocarcinoma". Oncology Letters 25, no. 6 (2023): 238. https://doi.org/10.3892/ol.2023.13824
Copy and paste a formatted citation
x
Spandidos Publications style
Xu Y, Wang S, Xu B, Lin H, Zhan N, Ren J, Song W, Han R, Cheng L, Zhang M, Zhang M, et al: AURKA, TOP2A and MELK are the key genes identified by WGCNA for the pathogenesis of lung adenocarcinoma. Oncol Lett 25: 238, 2023.
APA
Xu, Y., Wang, S., Xu, B., Lin, H., Zhan, N., Ren, J. ... Zhang, X. (2023). AURKA, TOP2A and MELK are the key genes identified by WGCNA for the pathogenesis of lung adenocarcinoma. Oncology Letters, 25, 238. https://doi.org/10.3892/ol.2023.13824
MLA
Xu, Y., Wang, S., Xu, B., Lin, H., Zhan, N., Ren, J., Song, W., Han, R., Cheng, L., Zhang, M., Zhang, X."AURKA, TOP2A and MELK are the key genes identified by WGCNA for the pathogenesis of lung adenocarcinoma". Oncology Letters 25.6 (2023): 238.
Chicago
Xu, Y., Wang, S., Xu, B., Lin, H., Zhan, N., Ren, J., Song, W., Han, R., Cheng, L., Zhang, M., Zhang, X."AURKA, TOP2A and MELK are the key genes identified by WGCNA for the pathogenesis of lung adenocarcinoma". Oncology Letters 25, no. 6 (2023): 238. https://doi.org/10.3892/ol.2023.13824
Follow us
  • Twitter
  • LinkedIn
  • Facebook
About
  • Spandidos Publications
  • Careers
  • Cookie Policy
  • Privacy Policy
How can we help?
  • Help
  • Live Chat
  • Contact
  • Email to our Support Team