Spandidos Publications Logo
  • About
    • About Spandidos
    • Aims and Scopes
    • Abstracting and Indexing
    • Editorial Policies
    • Reprints and Permissions
    • Job Opportunities
    • Terms and Conditions
    • Contact
  • Journals
    • All Journals
    • Oncology Letters
      • Oncology Letters
      • Information for Authors
      • Editorial Policies
      • Editorial Board
      • Aims and Scope
      • Abstracting and Indexing
      • Bibliographic Information
      • Archive
    • International Journal of Oncology
      • International Journal of Oncology
      • Information for Authors
      • Editorial Policies
      • Editorial Board
      • Aims and Scope
      • Abstracting and Indexing
      • Bibliographic Information
      • Archive
    • Molecular and Clinical Oncology
      • Molecular and Clinical Oncology
      • Information for Authors
      • Editorial Policies
      • Editorial Board
      • Aims and Scope
      • Abstracting and Indexing
      • Bibliographic Information
      • Archive
    • Experimental and Therapeutic Medicine
      • Experimental and Therapeutic Medicine
      • Information for Authors
      • Editorial Policies
      • Editorial Board
      • Aims and Scope
      • Abstracting and Indexing
      • Bibliographic Information
      • Archive
    • International Journal of Molecular Medicine
      • International Journal of Molecular Medicine
      • Information for Authors
      • Editorial Policies
      • Editorial Board
      • Aims and Scope
      • Abstracting and Indexing
      • Bibliographic Information
      • Archive
    • Biomedical Reports
      • Biomedical Reports
      • Information for Authors
      • Editorial Policies
      • Editorial Board
      • Aims and Scope
      • Abstracting and Indexing
      • Bibliographic Information
      • Archive
    • Oncology Reports
      • Oncology Reports
      • Information for Authors
      • Editorial Policies
      • Editorial Board
      • Aims and Scope
      • Abstracting and Indexing
      • Bibliographic Information
      • Archive
    • Molecular Medicine Reports
      • Molecular Medicine Reports
      • Information for Authors
      • Editorial Policies
      • Editorial Board
      • Aims and Scope
      • Abstracting and Indexing
      • Bibliographic Information
      • Archive
    • World Academy of Sciences Journal
      • World Academy of Sciences Journal
      • Information for Authors
      • Editorial Policies
      • Editorial Board
      • Aims and Scope
      • Abstracting and Indexing
      • Bibliographic Information
      • Archive
    • International Journal of Functional Nutrition
      • International Journal of Functional Nutrition
      • Information for Authors
      • Editorial Policies
      • Editorial Board
      • Aims and Scope
      • Abstracting and Indexing
      • Bibliographic Information
      • Archive
    • International Journal of Epigenetics
      • International Journal of Epigenetics
      • Information for Authors
      • Editorial Policies
      • Editorial Board
      • Aims and Scope
      • Abstracting and Indexing
      • Bibliographic Information
      • Archive
    • Medicine International
      • Medicine International
      • Information for Authors
      • Editorial Policies
      • Editorial Board
      • Aims and Scope
      • Abstracting and Indexing
      • Bibliographic Information
      • Archive
  • Articles
  • Information
    • Information for Authors
    • Information for Reviewers
    • Information for Librarians
    • Information for Advertisers
    • Conferences
  • Language Editing
Spandidos Publications Logo
  • About
    • About Spandidos
    • Aims and Scopes
    • Abstracting and Indexing
    • Editorial Policies
    • Reprints and Permissions
    • Job Opportunities
    • Terms and Conditions
    • Contact
  • Journals
    • All Journals
    • Biomedical Reports
      • Information for Authors
      • Editorial Policies
      • Editorial Board
      • Aims and Scope
      • Abstracting and Indexing
      • Bibliographic Information
      • Archive
    • Experimental and Therapeutic Medicine
      • Information for Authors
      • Editorial Policies
      • Editorial Board
      • Aims and Scope
      • Abstracting and Indexing
      • Bibliographic Information
      • Archive
    • International Journal of Epigenetics
      • Information for Authors
      • Editorial Policies
      • Editorial Board
      • Aims and Scope
      • Abstracting and Indexing
      • Bibliographic Information
      • Archive
    • International Journal of Functional Nutrition
      • Information for Authors
      • Editorial Policies
      • Editorial Board
      • Aims and Scope
      • Abstracting and Indexing
      • Bibliographic Information
      • Archive
    • International Journal of Molecular Medicine
      • Information for Authors
      • Editorial Policies
      • Editorial Board
      • Aims and Scope
      • Abstracting and Indexing
      • Bibliographic Information
      • Archive
    • International Journal of Oncology
      • Information for Authors
      • Editorial Policies
      • Editorial Board
      • Aims and Scope
      • Abstracting and Indexing
      • Bibliographic Information
      • Archive
    • Medicine International
      • Information for Authors
      • Editorial Policies
      • Editorial Board
      • Aims and Scope
      • Abstracting and Indexing
      • Bibliographic Information
      • Archive
    • Molecular and Clinical Oncology
      • Information for Authors
      • Editorial Policies
      • Editorial Board
      • Aims and Scope
      • Abstracting and Indexing
      • Bibliographic Information
      • Archive
    • Molecular Medicine Reports
      • Information for Authors
      • Editorial Policies
      • Editorial Board
      • Aims and Scope
      • Abstracting and Indexing
      • Bibliographic Information
      • Archive
    • Oncology Letters
      • Information for Authors
      • Editorial Policies
      • Editorial Board
      • Aims and Scope
      • Abstracting and Indexing
      • Bibliographic Information
      • Archive
    • Oncology Reports
      • Information for Authors
      • Editorial Policies
      • Editorial Board
      • Aims and Scope
      • Abstracting and Indexing
      • Bibliographic Information
      • Archive
    • World Academy of Sciences Journal
      • Information for Authors
      • Editorial Policies
      • Editorial Board
      • Aims and Scope
      • Abstracting and Indexing
      • Bibliographic Information
      • Archive
  • Articles
  • Information
    • For Authors
    • For Reviewers
    • For Librarians
    • For Advertisers
    • Conferences
  • Language Editing
Login Register Submit
  • This site uses cookies
  • You can change your cookie settings at any time by following the instructions in our Cookie Policy. To find out more, you may read our Privacy Policy.

    I agree
Search articles by DOI, keyword, author or affiliation
Search
Advanced Search
presentation
Oncology Letters
Join Editorial Board Propose a Special Issue
Print ISSN: 1792-1074 Online ISSN: 1792-1082
Journal Cover
September-2025 Volume 30 Issue 3

Full Size Image

Sign up for eToc alerts
Recommend to Library

Journals

International Journal of Molecular Medicine

International Journal of Molecular Medicine

International Journal of Molecular Medicine is an international journal devoted to molecular mechanisms of human disease.

International Journal of Oncology

International Journal of Oncology

International Journal of Oncology is an international journal devoted to oncology research and cancer treatment.

Molecular Medicine Reports

Molecular Medicine Reports

Covers molecular medicine topics such as pharmacology, pathology, genetics, neuroscience, infectious diseases, molecular cardiology, and molecular surgery.

Oncology Reports

Oncology Reports

Oncology Reports is an international journal devoted to fundamental and applied research in Oncology.

Experimental and Therapeutic Medicine

Experimental and Therapeutic Medicine

Experimental and Therapeutic Medicine is an international journal devoted to laboratory and clinical medicine.

Oncology Letters

Oncology Letters

Oncology Letters is an international journal devoted to Experimental and Clinical Oncology.

Biomedical Reports

Biomedical Reports

Explores a wide range of biological and medical fields, including pharmacology, genetics, microbiology, neuroscience, and molecular cardiology.

Molecular and Clinical Oncology

Molecular and Clinical Oncology

International journal addressing all aspects of oncology research, from tumorigenesis and oncogenes to chemotherapy and metastasis.

World Academy of Sciences Journal

World Academy of Sciences Journal

Multidisciplinary open-access journal spanning biochemistry, genetics, neuroscience, environmental health, and synthetic biology.

International Journal of Functional Nutrition

International Journal of Functional Nutrition

Open-access journal combining biochemistry, pharmacology, immunology, and genetics to advance health through functional nutrition.

International Journal of Epigenetics

International Journal of Epigenetics

Publishes open-access research on using epigenetics to advance understanding and treatment of human disease.

Medicine International

Medicine International

An International Open Access Journal Devoted to General Medicine.

Journal Cover
September-2025 Volume 30 Issue 3

Full Size Image

Sign up for eToc alerts
Recommend to Library

  • Article
  • Citations
    • Cite This Article
    • Download Citation
    • Create Citation Alert
    • Remove Citation Alert
    • Cited By
  • Similar Articles
    • Related Articles (in Spandidos Publications)
    • Similar Articles (Google Scholar)
    • Similar Articles (PubMed)
  • Download PDF
  • Download XML
  • View XML
Article

Usefulness of the preoperative Prognostic Immune and Nutritional Index as a prognostic predictor for patients with gastric cancer

  • Authors:
    • Jinquan Li
    • Li Yu
    • Xiaosheng Hu
    • Tao Huang
    • Mingmin Chen
    • Shanzhong Zhang
  • View Affiliations / Copyright

    Affiliations: Department of Gastrointestinal Surgery, The First People's Hospital of Jingdezhen, Jingdezhen, Jiangxi 33300, P.R. China
  • Article Number: 435
    |
    Published online on: July 8, 2025
       https://doi.org/10.3892/ol.2025.15181
  • Expand metrics +
Metrics: Total Views: 0 (Spandidos Publications: | PMC Statistics: )
Metrics: Total PDF Downloads: 0 (Spandidos Publications: | PMC Statistics: )
Cited By (CrossRef): 0 citations Loading Articles...

This article is mentioned in:



Abstract

The Prognostic Immune and Nutritional Index (PINI), integrating albumin and monocyte counts, has emerged as a potential prognostic biomarker in gastrointestinal cancer. The present study aimed to evaluate its predictive value in patients with gastric cancer (GC) undergoing radical gastrectomy. A retrospective cohort study of 82 patients with GC treated at a single institute between January 2016 and December 2019 was conducted. PINI was calculated as [albumin (g/dl) x 0.9]‑[monocytes (mm³) x 0.0007]. Receiver operating characteristic analysis determined the optimal cutoff (3.075), and patients were stratified into low‑PINI (≤3.075; n=33) and high‑PINI (>3.075; n=49) groups. Primary outcomes were 5‑year recurrence‑free survival (RFS) rate and overall survival (OS) rate. The high‑PINI group demonstrated significantly higher 5‑year RFS (79.6 vs. 51.5%; P<0.001) and OS (85.7 vs. 51.5%; P<0.001) rates compared with the low‑PINI group. Multivariate analysis identified PINI ≥3.075 as an independent protective factor for both RFS [hazard ratio (HR), 0.59; 95% confidence interval (CI), 0.38‑0.85; P=0.022] and OS (HR, 0.45; 95% CI, 0.25‑0.72; P=0.012). Low‑PINI patients exhibited more advanced disease characteristics, including higher rates of anemia (39.4 vs. 17.3%; P=0.020), hypoproteinemia (15.2 vs. 0.0%; P=0.005), advanced T stage (75.8 vs. 36.5%; P=0.002), nodal metastasis (63.6 vs. 44.9%; P=0.002) and stage II‑III tumors (87.9 vs. 44.9%; P<0.001). In conclusion, preoperative PINI serves as a robust, independent prognostic indicator in GC, effectively stratifying patients by survival outcomes and tumor aggressiveness. The clinical implementation of PINI could enhance risk assessment and guide personalized treatment strategies. Further multicenter studies are warranted to validate these findings.

Introduction

Gastric cancer (GC) is the fifth most common malignant tumor and the fifth leading cause of cancer-related deaths worldwide; in 2022, it accounted for ~968,350 new cases and 659,853 deaths globally (1). Despite advancements in targeted therapies, neoadjuvant chemotherapy and minimally invasive surgical techniques, the 5-year overall survival (OS) rate for patients with GC remains suboptimal (2). Although the eighth edition of the American Joint Committee on Cancer (AJCC) Tumor-Node-Metastasis (TNM) staging system (3) serves as the gold standard for prognostic assessment, its predictive accuracy is limited by its inability to account for key biological features such as immune microenvironment heterogeneity, metabolic dysregulation and systemic inflammatory responses (2). This limitation underscores the need for novel prognostic biomarkers that integrate multidimensional biological parameters.

In recent years, composite inflammatory-nutritional indices derived from peripheral blood components have emerged as promising prognostic tools in GC research. The Systemic Immune-Inflammation Index (calculated as platelets × neutrophils/lymphocytes) (109/l) and the Prognostic Nutritional Index (calculated as albumin (g/l) + 5 × [lymphocytes (109/l)] have been independently associated with postoperative recurrence risk and OS in patients with GC (4,5). However, whether single-dimensional biomarkers adequately capture the complexity of tumor-host interactions remains debatable. Addressing this question, Jung et al (6) innovatively proposed the Prognostic Immune and Nutritional Index (PINI), calculated as follows: [albumin (g/dl) × 0.9]-[monocytes (mm3) × 0.0007]. This is a multidimensional model integrating nutritional status (albumin) and innate immune response (monocytes) (6). Mechanistically, hypoalbuminemia reflects not only nutritional depletion but also systemic inflammation driven by IL-6 (7), while tumor-associated monocytes secrete VEGF-A and MMP-9 to promote angiogenesis and extracellular matrix remodeling, facilitating micrometastasis (8). Notably, Xie et al (9) recently validated the prognostic utility of PINI in colorectal cancer, suggesting its potential applicability across tumor types.

To date, the prognostic role of PINI in GC following curative resection remains unexplored. The present single-center retrospective cohort study aimed to systematically evaluate the association between PINI and recurrence-free survival (RFS), as well as OS, in patients with GC, assessing its prognostic value in those undergoing radical gastrectomy. PINI may serve as a critical risk stratification tool to identify patients with high-risk GC, enabling personalized treatment strategies and optimized clinical decision-making to improve long-term outcomes.

Patients and methods

Patients

The present retrospective study analyzed clinicopathological data and laboratory hematological parameters (measured within 1 week preoperatively) from patients with GC who underwent radical gastrectomy at the Department of Gastrointestinal Surgery, The First People's Hospital of Jingdezhen (Jingdezhen, China) between January 2016 and December 2019. Clinical and preoperative (1 week prior) laboratory data were collected from a maintained patient database. The inclusion criteria were as follows: i) Primary GC with histological confirmation; ii) no previous radiation or neoadjuvant chemotherapy prior to surgery; and iii) radical GC resection. The exclusion criteria were as follows: i) Patients with additional malignancies; ii) patients with granulocytopenia or other hematological disorders; iii) a history of severe infection or an immunocompromised status within the last month; and iv) a lack of crucial baseline data and missing follow-up information.

Treatment and follow-up

The disease staging established by the Japanese Gastric Cancer Association was determined with reference to the TNM classification system (5th edition) (10). Postoperative complications occurring within 30 days were graded according to the Clavien-Dindo classification system (11), with grade III or higher complications being recorded. Following Japanese GC treatment guidelines (12), patients with stage II or III GC received adjuvant chemotherapy when deemed clinically appropriate based on their overall health status. Postoperative surveillance included contrast-enhanced computed tomography scans performed at minimum every 6 months and blood tests conducted every 3 months. Patients were followed regularly through outpatient visits or telephone interviews every 3 months starting from postoperative day 1 until reaching the study endpoint, defined as either patient death or December 31, 2024, whichever occurred first. For outcome assessment, RFS was calculated as the time from surgery to GC recurrence, last follow-up or death, while OS was defined as the time from surgery to death from any cause or last follow-up for surviving patients.

Determination of PINI

The PINI was calculated using the following formula: [albumin (g/dl) × 0.9]-[monocytes (mm3) × 0.0007], with measurements taken preoperatively (5).

Statistical analysis

Statistical analyses were performed using SPSS software (v25.0; IBM Corp.). The predictive performance of PINI for patient outcomes was evaluated through receiver operating characteristic (ROC) curve analysis, with the area under the curve (AUC) calculated to determine the optimal cutoff value using the Youden index. Based on this cutoff, patients were stratified into high-PINI and low-PINI groups for subsequent comparative analyses of clinicopathological characteristics. Continuous variables with normal distribution are expressed as the mean ± standard deviation and compared using independent samples t-tests, while non-normally distributed continuous variables are presented as median (Q1-Q3) and were analyzed using the Mann-Whitney U test. Categorical variables are reported as n (%) and compared using either the χ2 test or Fisher's exact test. P<0.05 was considered to indicate a statistically significant difference. Univariate and multivariate Cox proportional hazards regression models were employed to estimate hazard ratios (HRs) and 95% confidence intervals (CIs) for RFS and OS. Variables demonstrating statistical significance (P<0.05) in univariate analysis were included in the multivariate model. Survival probabilities for RFS and OS were estimated using the Kaplan-Meier method, with between-group differences assessed by log-rank tests.

Ethical approval

The present study received ethical approval from the Institutional Review Board of Jingdezhen First People's Hospital (approval no. jdzyykt202425) and was conducted in full compliance with the ethical principles outlined in the Declaration of Helsinki. The requirement for informed consent was waived by the ethics committee as this retrospective study utilized anonymized clinical data without any identifiable patient information.

Results

ROC analysis and survival outcomes stratified by PINI

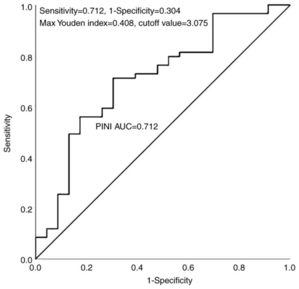
ROC curve analysis identified an optimal PINI cutoff value of 3.075 (AUC, 0.712), demonstrating moderate predictive accuracy with 71.2% sensitivity and 69.6% specificity (Fig. 1). A total of 82 patients (aged 39–85 years) were divided into the low-PINI group (n=33; 40.2%) and the high-PINI group (n=49; 59.8%). Figs. 2 and 3 present the Kaplan-Meier analysis of RFS and OS stratified by PINI values. In Fig. 2, the 5-year RFS rate was significantly higher in the high-PINI group (PINI ≥3.075) at 79.6% compared with 51.5% in the low-PINI group (PINI<3.075) (log-rank P<0.001). Similarly, in Fig. 3, a higher 5-year OS rate was demonstrated in the high-PINI group (85.7%) compared with that in the low-PINI group (51.5%) (log-rank P<0.001). These findings consistently indicate that elevated PINI levels are strongly associated with improved long-term survival outcomes, underscoring its potential as a significant prognostic biomarker in GC.

Receiver operating characteristic
curve for the PINI. AUC, area under the curve; PINI, Prognostic
Immune and Nutritional Index.

Figure 1.

Receiver operating characteristic curve for the PINI. AUC, area under the curve; PINI, Prognostic Immune and Nutritional Index.

RFS in patients with gastric cancer in
the PINI-high and PINI-low groups. RFS, recurrence-free survival;
PINI, Prognostic Immune and Nutritional Index.

Figure 2.

RFS in patients with gastric cancer in the PINI-high and PINI-low groups. RFS, recurrence-free survival; PINI, Prognostic Immune and Nutritional Index.

OS of patients with GC in the
PINI-high and PINI-low groups. OS, overall survival; PINI,
Prognostic Immune and Nutritional Index.

Figure 3.

OS of patients with GC in the PINI-high and PINI-low groups. OS, overall survival; PINI, Prognostic Immune and Nutritional Index.

COX regression analysis of 5-year RFS in patients with GC after radical surgery

Table I presents the univariate and multivariate Cox regression analyses of factors associated with RFS in patients with GC. Univariate Cox regression analysis identified several significant prognostic factors for patients with GC, including surgical method (open vs. laparoscopic: HR, 0.33; 95% CI, 0.11–0.96; P=0.042), anemia (yes vs. no: HR, 3.16; 95% CI, 1.46–6.85; P=0.004), transfusion requirement (yes vs. no: HR, 3.04; 95% CI, 1.37–6.74; P=0.006), intraoperative blood loss (≥150 ml, yes vs. no: HR, 2.28; 95% CI, 1.05–4.94; P=0.036), operative time ≥210 min (yes vs. no: HR, 9.47; 95% CI, 2.84–31.63; P<0.001), tumor size ≥3.5 cm (yes vs. no: HR, 3.46; 95% CI, 1.50–7.98; P=0.004), T stage (T0-1 vs. T2-4: HR, 0.18; 95% CI, 0.06–0.51; P=0.001), nodal involvement (N0 vs. N1-3: HR, 0.14; 95% CI, 0.03–0.59; P=0.008), pathological stage (I vs. II–III: HR, 0.17; 95% CI, 0.05–0.57; P=0.004) and PINI ≥3.075 (yes vs. no: HR, 0.30; 95% CI, 0.13–0.68; P=0.004). In multivariate analysis, operative time ≥210 min (yes vs. no: HR, 5.38; 95% CI, 1.32–21.93; P=0.019) and pathological stage (I vs. II–III: HR, 0.63; 95% CI, 0.25–0.88; P=0.037) remained independent predictors, while PINI ≥3.075 retained significance as a protective factor (yes vs. no: HR, 0.59; 95% CI, 0.38–0.85; P=0.022).

Table I.

Univariate and multivariate analysis for recurrence-free survival in patients with gastric cancer.

Table I.

Univariate and multivariate analysis for recurrence-free survival in patients with gastric cancer.

Univariate analysisMultivariate analysis


VariablesHR (95% CI)P-valueHR (95% CI)P-value
Age (<65 vs. ≥65 years)0.58 (0.27–1.25)0.168
Sex (male vs. female)1.38 (0.58–3.28)0.466
Tumor location (upper-middle part vs. lower part)1.79 (0.83–3.86)0.672
Surgical procedure (TG vs. no TG)0.63 (0.07–5.43)0.676
Surgical method (open vs. laparoscopic)0.33 (0.11–0.96)0.0420.73 (0.38–4.15)0.263
Anastomotic methods (BI + BII vs. R-Y)1.25 (0.44–3.58)0.672
Anemia (yes vs. no)3.16 (1.46–6.85)0.0042.67 (0.89–8.03)0.080
Hypertension (yes vs. no)3.09 (0.92–10.31)0.067
Pulmonary disease (yes vs. no)1.57 (0.66–3.74)0.307
Diabetes (yes vs. no)1.45 (0.43–4.82)0.547
Cardiovascular disease (yes vs. no)0.39 (0.05–2.88)0.356
Hypoproteinemia (yes vs. no)3.09 (0.92–10.31)0.067
Pyloric stenosis (yes vs. no)1.87 (0.44–7.91)0.397
Hospital stay ≥27 days (yes vs. no)1.08 (0.50–2.36)0.840
Postoperative hospital stay ≥16 days (yes vs. no)2.19 (0.98–4.92)0.057
Transfusion (yes vs. no)3.04 (1.37–6.74)0.0060.61 (0.18–2.02)0.416
Postoperative complications (yes vs. no)1.55 (0.67–3.57)0.281
Adjuvant chemotherapy (yes vs. no)1.69 (0.68–4.22)0.257
Operative time ≥210 min (yes vs. no)9.47 (2.84–31.63)<0.0015.38 (1.32–21.93)0.019
Intraoperative blood loss ≥150 ml (yes vs. no)2.28 (1.05–4.94)0.0361.17 (0.48–2.84)0.735
Tumor size ≥3.5 cm (yes vs. no)3.46 (1.50–7.98)0.0041.69 (0.66–4.31)0.271
T stage (T0-1 vs. T2-4)0.18 (0.06–0.51)0.0010.45 (0.12–1.75)0.292
N stage (N0 vs. N1-3)0.14 (0.03–0.59)0.0080.70 (0.13–3.89)0.686
pStage (I vs. II–III)0.17 (0.05–0.57)0.0040.63 (0.25–0.88)0.037
Histopathology (well-moderately vs. poorly)0.70 (0.31–1.57)0.390
PINI ≥3.075 (yes vs. no)0.30 (0.13–0.68)0.0040.59 (0.38–0.85)0.022

[i] HR, hazard ratio; CI, confidence interval; TG, total gastrectomy; BI, Billroth I; BII, Billroth II; R-Y, Roux-en-Y; T, tumor; N, regional lymph node; pStage, pathological stage; PINI, Prognostic Immune and Nutritional Index.

COX regression analysis of 5-year OS in GC patients after radical surgery

Table II demonstrates the prognostic factors influencing OS in patients with GC through comprehensive Cox regression analyses. Univariate Cox regression analysis revealed several significant predictors of OS in patients with GC, including anemia (yes vs. no: HR, 2.89; 95% CI, 1.25–6.71; P=0.013), hypertension (yes vs. no: HR, 3.62; 95% CI, 1.07–12.28; P=0.039), hypoproteinemia (yes vs. no: HR, 3.62; 95% CI, 1.07–12.28; P=0.039), transfusion requirement (yes vs. no: HR, 3.13; 95% CI, 1.34–7.34; P=0.009), operative time ≥210 min (yes vs. no: HR, 11.56; 95% CI, 2.70–49.54; P<0.001), tumor size ≥3.5 cm (yes vs. no: HR, 3.95; 95% CI, 1.54–10.10; P=0.004), T stage (T0-1 vs. T2-4: HR, 0.23; 95% CI, 0.08–0.67; P=0.007), N stage (N0 vs. N1-3: HR, 0.08; 95% CI, 0.01–0.62; P=0.015), pathological stage (I vs. II–III: HR, 0.21; 95% CI, 0.06–0.72; P=0.013) and PINI ≥3.075 (yes vs. no: HR, 0.29; 95% CI, 0.12–0.69; P=0.005). Multivariate analysis confirmed that operative time ≥210 min (yes vs. no: HR, 7.12; 95% CI, 1.41–35.96; P=0.017) and pathological stage (I vs. II–III: HR, 0.32; 95% CI, 0.08–0.89; P=0.045) maintained their status as independent prognostic indicators. Importantly, a PINI score ≥3.075 continued to demonstrate significant protective effects (yes vs. no: HR, 0.45; 95% CI, 0.25–0.72; P=0.012) in the final model.

Table II.

Univariate and multivariate analysis for overall survival in patients with gastric cancer.

Table II.

Univariate and multivariate analysis for overall survival in patients with gastric cancer.

Univariate analysisMultivariate analysis


VariablesHR (95% CI)P-valueHR (95% CI)P-value
Age (<65 vs. ≥65 years)0.56 (0.250–1.23)0.158
Sex (male vs. female)1.09 (0.45–2.68)0.845
Tumor location (upper-middle part vs. lower part)1.76 (0.826–3.863)0.574
Surgical procedure (TG vs. no TG)0.58 (0.07–5.00)0.623
Surgical method (open vs. laparoscopic)0.41 (0.14–1.22)0.108
Anastomotic methods (BI + BII vs. R-Y)1.04 (0.32–3.42)0.944
Anemia (yes vs. no)2.89 (1.25–6.71)0.0132.18 (0.60–7.92)0.234
Hypertension (yes vs. no)3.62 (1.07–12.28)0.0391.15 (0.25–5.31)0.856
Pulmonary disease (yes vs. no)1.27 (0.47–3.44)0.641
Diabetes (yes vs. no)1.78 (0.53–6.02)0.353
Cardiovascular disease (yes vs. no)1.06 (0.250–4.53)0.936
Hypoproteinemia (yes vs. no)3.62 (1.07–12.28)0.0391.15 (0.25–5.31)0.856
Pyloric stenosis (yes vs. no)2.16 (0.50–9.25)0.301
Hospital stay ≥27 days (yes vs. no)1.03 (0.45–2.35)0.942
Postoperative hospital stay ≥16 days (yes vs. no)2.15 (0.91–5.08)0.081
Transfusion (yes vs. no)3.13 (1.34–7.34)0.0090.61 (0.16–2.29)0.465
Postoperative complications (yes vs. no)1.94 (0.81–4.62)0.136
Adjuvant chemotherapy (yes vs. no)1.70 (0.63–4.60)0.300
Operative time ≥210 min (yes vs. no)11.56 (2.70–49.54)<0.0017.12 (1.41–35.96)0.017
Intraoperative blood loss ≥150 ml (yes vs. no)2.17 (0.94–5.03)0.070
Tumor size ≥3.5 cm (yes vs. no)3.95 (1.54–10.10)0.0041.75 (0.60–5.09)0.306
T factor (T0-1 vs. T2-4)0.23 (0.08–0.67)0.0070.62 (0.14–2.72)0.529
N factor (N0 vs. N1-3)0.08 (0.01–0.62)0.0150.47 (0.05–4.45)0.510
pStage (I vs. II–III)0.21 (0.06–0.72)0.0130.32 (0.08–0.89)0.045
Histopathology (well-moderately vs. poorly)0.66 (0.28–1.58))0.213
PINI ≥3.075 (yes vs. no)0.29 (0.12–0.69)0.0050.45 (0.25–0.72)0.012

[i] HR, hazard ratio; CI, confidence interval; TG, total gastrectomy; BI, Billroth I; BII, Billroth II; R-Y, Roux-en-Y; T, tumor; N, regional lymph node; pStage, pathological stage; PINI, Prognostic Immune and Nutritional Index.

Patient characteristics

This comparative analysis of 82 patients with GC stratified by PINI levels (low-PINI: <3.075, n=33; high-PINI: ≥3.075, n=49) revealed significant differences in clinical and pathological characteristics (Table III). The low-PINI group demonstrated substantially higher rates of adverse features, including anemia (39.4 vs. 16.3%; P=0.020), hypoproteinemia (15.2 vs. 0.0%; P=0.005), pyloric stenosis (12.1 vs. 0%; P=0.013), transfusion requirements (33.3 vs. 12.2%; P=0.022) and postoperative complications (36.4 vs. 16.3%; P=0.039). Pathologically, patients in the low-PINI group showed more advanced disease with higher T2-4 stage (75.8 vs. 36.5%; P=0.002), nodal involvement (63.6 vs. 44.9%; P=0.002) and stage II–III tumors (87.9 vs. 44.9%; P<0.001). Notably, the median PINI values differed significantly between groups (2.77 vs. 3.39; P<0.001). These findings collectively demonstrate that low PINI status is strongly associated with worse nutritional parameters, more advanced tumor characteristics and poorer surgical outcomes, suggesting its potential as a comprehensive marker integrating both inflammatory and nutritional status for risk stratification in patients with GC.

Table III.

Baseline characteristics according to the PINI in 82 patients with gastric cancer.

Table III.

Baseline characteristics according to the PINI in 82 patients with gastric cancer.

VariablesTotalLow-PINIHigh-PINIP-value
Patients, n (%)82 (100.0)33 (40.2)49 (59.8)
Mean age ± SD, years61.60±10.0363.88±10.5360.06±9.490.091
Sex, n (%) 0.949
  Male55 (67.1)22 (66.7)33 (67.3)
  Female27 (32.9)11 (33.3)16 (32.7)
Tumor location, n (%) 0.693
  Upper part6 (7.3)2 (6.1)4 (8.2)
  Middle part26 (31.7)12 (36.4)14 (28.6)
  Lower part50 (61.0)19 (57.6)31 (63.3)
Surgical procedure, n (%) 0.247
  Total gastrectomy14 (17.1)4 (12.1)10 (20.4)
  No total gastrectomy68 (82.9)29 (87.9)39 (79.6)
Surgical method, n (%) 0.236
  Open56 (21.7)25 (75.8)31 (63.3)
  Laparoscopic surgery26 (68.3)8 (24.2)18 (36.7)
Anastomotic methods, n (%) 0.214
  BI21 (25.6)11 (33.3)10 (20.4)
  BII43 (52.4)16 (48.5)27 (55.1)
  R-Y18 (22.0)6 (18.2)12 (24.5)
Anemia, n (%) 0.020
  Yes21 (25.6)13 (39.4)8 (16.3)
  No61 (74.4)20 (60.6)41 (83.7)
Hypertension, n (%) 0.606
  Yes25 (30.5)9 (27.3)16 (32.7)
  No57 (69.5)24 (72.7)33 (67.3)
Pulmonary disease, n (%) 0.233
  Yes17 (20.7)9 (27.3)8 (16.3)
  No65 (79.3)24 (72.7)41 (83.7)
Diabetes, n (%) 0.179
  Yes8 (9.8)5 (15.2)3 (6.1)
  No74 (90.2)28 (84.8)46 (93.9)
Cardiovascular disease, n (%) 0.146
  Yes7 (8.5)1 (3.0)6 (12.2)
  No75 (91.5)32 (97.0)43 (87.8)
Hypoproteinemia, n (%) 0.005
  Yes5 (6.1)5 (15.2)0 (0.0)
  No77 (93.9)28 (84.8)49 (100.0)
Pyloric stenosis, n (%) 0.013
  Yes4 (4.9)4 (12.1)0 (0.0)
  No78 (95.1)29 (87.9)49 (100.0)
Hospital stay, days26 (16–80)27 (17–62)26 (16–80)0.429
Postoperative hospital stay, days16 (11–61)16 (12–46)17 (11–61)0.239
Transfusion, n (%) 0.022
  Yes17 (20.7)11 (33.3)6 (12.2)
  No65 (79.3)22 (66.7)43 (87.8)
Postoperative complications, n (%) 0.039
  Yes20 (24.4)12 (36.4)8 (16.3)
  No62 (75.6)21 (63.6)41 (83.7)
Adjuvant chemotherapy, n (%) 0.096
  Yes26 (31.7)7 (21.2)19 (38.8)
  No56 (68.3)26 (78.8)30 (61.2)
Operative time ≥210 min, n (%) 0.098
  Yes43 (52.4)21 (63.6)22 (44.9)
  No39 (47.6)12 (36.4)27 (55.1)
Intraoperative blood loss ≥150 ml,
n (%) 0.055
  Yes25 (30.5)14 (42.4)11 (22.4)
  No57 (69.5)19 (57.6)38 (77.6)
Tumor size ≥3.5 cm, n (%) 0.162
  Yes37 (45.1)18 (54.5)19 (38.8)
  No45 (54.9)15 (45.5)30 (61.2)
T factor, n (%) 0.002
  T0-144 (53.6)8 (24.2)36 (73.5)
  T2-438 (46.4)25 (75.8)13 (26.5)
N factor, n (%) 0.002
  N039 (47.6)12 (36.4)27 (55.1)
  N1-343 (52.4)21 (63.6)22 (44.9)
pStage, n (%) <0.001
  I31 (37.8)4 (12.1)27 (55.1)
  II–III51 (62.2)29 (87.9)22 (44.9)
Histopathology, n (%) 0.711
  Well-moderately differentiated59 (72.0)23 (69.7)36 (73.5)
  Poorly differentiated23 (28.0)10 (30.3)13 (26.5)
Median PINI (Q1, Q3)3.202.773.39<0.001
(2.83, 3.44)(2.51, 2.90)(3.27, 3.57)

[i] PINI, Prognostic Immune and Nutritional Index HR, hazard ratio; CI, confidence interval; BI, Billroth I; BII, Billroth II; R-Y, Roux-en-Y; T, tumor; N, regional lymph node; pStage, pathological stage; SD, standard deviation.

Discussion

Hematological biomarkers offer distinct advantages, including accessibility, cost-effectiveness and reliable accuracy, with high patient acceptance and compliance. The PINI, as a representative hematological biomarker, has garnered increasing attention for its role in tumorigenesis, metastasis and antitumor immunity (13). The present retrospective analysis of patients with GC demonstrated that elevated PINI levels were significantly associated with improved RFS and OS rates. To the best of our knowledge, this represents the first study in China to systematically integrate PINI with clinicopathological parameters in patients with GC, not only providing novel insights for personalized treatment but also validating the prognostic value of PINI in this population. These findings establish PINI as both an independent prognostic factor and a potential biomarker for guiding nutritional support and optimizing therapeutic strategies. The optimal PINI cutoff value identified in the present study (3.075) warrants discussion in the context of existing literature. Jung et al (6) initially proposed a cutoff value of 3.0 for risk stratification in patients with colorectal cancer undergoing radical resection, while Xie et al (9) subsequently recommended 2.85 based on Chinese colorectal cancer cohorts. The observed variations in optimal thresholds may stem from several factors, including methodological differences in statistical approaches, inherent tumor heterogeneity across cancer types and demographic variations among study populations. These factors collectively contribute to the observed fluctuations in establishing prognostic PINI thresholds.

The clinical relevance of PINI stems from its integration of albumin and monocyte counts, reflecting both inflammatory and nutritional status. Inflammatory cytokines disrupt protein metabolism by altering the balance between synthesis and degradation. Albumin, a classical nutritional marker, is regulated by proinflammatory cytokines, including IL-1, IL-6 and TNF-α (14,15). Patients with GC frequently develop malnutrition (prevalence up to 80%) due to increased protein catabolism and reduced intake, leading to elevated mortality, prolonged hospitalization, postoperative complications and treatment toxicity (16,17). Systemic inflammation plays a pivotal role in tumor progression and metastasis (18–21), while monocytes, as key inflammatory markers, facilitate tumor progression by creating an immunosuppressive microenvironment (22). Elevated monocyte counts correlate with a poor prognosis and lymph node metastasis in multiple malignancies, including Kaposi sarcoma (23), chronic lymphocytic leukemia (24), myelodysplastic neoplasms (25), pancreatic cancer (26), lung cancer (27) and solid tumors (28). The present study findings revealed that patients with PINI≥3.075 had significantly higher 5-year RFS (P<0.001) and OS (P<0.001) rates, with PINI emerging as an independent protective factor (P<0.05) following radical gastrectomy.

Multivariate analysis confirmed pathological stage as an independent prognostic factor for both RFS and OS (P<0.05). Advanced tumors create a vicious cycle where increased tumor burden exacerbates systemic catabolism, while tumor-induced inflammation further suppresses immune function, accelerating disease progression (29,30). In the present study, the low-PINI group exhibited significantly higher rates of anemia, hypoproteinemia, pyloric stenosis, transfusion requirements and postoperative complications. Notably, the median PINI values differed significantly between groups. Pathological evaluation revealed more advanced disease in the low-PINI group, including deeper tumor invasion, greater nodal metastasis and advanced-stage tumors, suggesting that low PINI reflects exacerbated inflammation and malnutrition, which predict adverse outcomes. These findings support the potential clinical value of nutritional and immunomodulatory interventions for patients with low PINI. Prolonged operative time (≥210 min) was identified as an independent prognostic factor for both RFS and OS in patients with GC following surgery. This association may be attributed to several potential factors, including a larger tumor size with advanced staging, tumor invasion into the surrounding tissues leading to unclear surgical margins, technical difficulties in tissue dissection, intraoperative bleeding requiring hemostasis or conversion to open surgery in some cases.

The present study has several limitations that warrant consideration. First, the single-center retrospective design and relatively limited sample size may introduce selection bias, highlighting the need for future multicenter studies with larger cohorts to validate the findings. Second, the proposed PINI cutoff value was derived from a single institutional dataset, necessitating external validation through collaborative multicenter research to confirm its generalizability across diverse populations. Finally, the exclusive reliance on single-timepoint PINI measurements precluded assessment of dynamic changes in this parameter over time, suggesting that future prospective studies incorporating serial measurements would provide more comprehensive insights into its clinical utility.

In conclusion, the present study establishes PINI as a simple yet powerful prognostic tool for patients with GC undergoing radical resection. The study findings demonstrate the following: i) PINI ≥3.075 independently predicts superior long-term survival outcomes; ii) the index effectively stratifies patients by surgical risk and tumor aggressiveness; and iii) it provides complementary value to conventional TNM staging. The biological plausibility of PINI, reflecting both systemic inflammation and nutritional status, strengthens its clinical relevance. While requiring external validation, these results suggest PINI could be readily incorporated into routine preoperative assessment to identify high-risk patients who may benefit from nutritional optimization or intensified surveillance. Future research should focus on prospective multicenter validation and investigate whether PINI-guided interventions can improve clinical outcomes. The present study advances the field by providing clinicians with a practical, cost-effective tool to enhance personalized decision-making in gastric cancer management.

Acknowledgements

Not applicable.

Funding

The present study was funded by the Science and Technology Project of Jingdezhen City, Jiangxi Province, China (number 20241SFZC012).

Availability of data and materials

The data generated in the present study may be requested from the corresponding author.

Authors' contributions

JL and SZ were responsible for the study conceptualization and methodology. JL and LY were responsible for validation, investigation and resources. Data curation, which consisted of data collection, data cleaning, data organization, data analysis preparation, and quality assurance, was performed by JL, LY, XH, TH and MC. JL and LY confirm the authenticity of all the raw data. JL wrote the original draft, and JL and SZ reviewed and edited the manuscript. Study visualization was performed by JL and LY. SZ supervised the study, while project administration was performed by JL, LY, XH, TH and MC. All authors have read and approved the final version of the manuscript.

Ethics approval and consent to participate

This study was conducted in accordance with the Declaration of Helsinki and approved by the Research Ethics Committee at The First People's Hospital of Jingdezhen (Jingdezhen, China; approval no. jdzyykt202425). The requirement for informed consent was waived due to the retrospective nature of the study and data anonymization.

Patient consent for publication

Not applicable.

Competing interests

The authors declare that they have no competing interests.

References

1 

Bray F, Laversanne M, Sung H, Ferlay J, Siegel RL, Soerjomataram I and Jemal A: Global cancer statistics 2022: GLOBOCAN estimates of incidence and mortality worldwide for 36 cancers in 185 countries. CA Cancer J Clin. 74:229–263. 2024. View Article : Google Scholar : PubMed/NCBI

2 

Li JJ, Rogers JE, Waters RE, Gan Q, Blum Murphy M and Ajani JA: Evolution of Therapeutics for Locally Advanced Upper Gastrointestinal Adenocarcinoma. Cancers (Basel). 17:13072025. View Article : Google Scholar : PubMed/NCBI

3 

Amin MB, Edge SB, Greene FL, Byrd DR, Brookland RK, Washington MK, Gershenwald JE, Compton CC, Hess KR, Sullivan DC, et al: AJCC Cancer Staging Manual. 8th edition. Springer; New York, NY: 2017

4 

Aoyama T, Hashimoto I, Maezawa Y, Hara K, Tamagawa A, Cho H, Morita J, Tanabe M, Numata M, Kawahara S, et al: The clinical impact of the prognostic immune and nutritional index in gastric cancer patients who received curative treatment. Anticancer Res. 44:2231–2238. 2024. View Article : Google Scholar : PubMed/NCBI

5 

Zhang Y, Wang LJ, Li QY, Yuan Z, Zhang DC, Xu H, Yang L, Gu XH and Xu ZK: Prognostic value of preoperative immune-nutritional scoring systems in remnant gastric cancer patients undergoing surgery. World J Gastrointest Surg. 15:211–221. 2023. View Article : Google Scholar : PubMed/NCBI

6 

Jung SH, Hao J, Shivakumar M, Nam Y, Kim J, Kim MJ, Ryoo SB, Choe EK, Jeong SY, Park KJ, et al: Development and validation of a novel strong prognostic index for colon cancer through a robust combination of laboratory features for systemic inflammation: A prognostic immune nutritional index. Br J Cancer. 126:1539–1547. 2022. View Article : Google Scholar : PubMed/NCBI

7 

Evans DC, Corkins MR, Malone A, Miller S, Mogensen KM, Guenter P and Jensen GL; ASPEN Malnutrition Committee, : The use of visceral proteins as nutrition markers: An ASPEN position paper. Nutr Clin Pract. 36:22–8. 2021. View Article : Google Scholar : PubMed/NCBI

8 

Chittezhath M, Dhillon MK, Lim JY, Laoui D, Shalova IN, Teo YL, Chen J, Kamaraj R, Raman L, Lum J, et al: Molecular profiling reveals a tumor-promoting phenotype of monocytes and macrophages in human cancer progression. Immunity. 41:815–829. 2014. View Article : Google Scholar : PubMed/NCBI

9 

Xie H, Wei L, Liu M, Liang Y, Yuan G, Gao S, Wang Q, Lin X, Tang S and Gan J: Prognostic significance of preoperative prognostic immune and nutritional index in patients with stage I–III colorectal cancer. BMC Cancer. 22:13162022. View Article : Google Scholar : PubMed/NCBI

10 

Japanese Gastric Cancer Association, . Japanese gastric cancer treatment guidelines 2018 (5th edition). Gastric Cancer. 24:1–21. 2021. View Article : Google Scholar : PubMed/NCBI

11 

Clavien PA, Barkun J, de Oliveira ML, Vauthey JN, Dindo D, Schulick RD, de Santibañes E, Pekolj J, Slankamenac K, Bassi C, et al: The Clavien-Dindo classification of surgical complications: Five-year experience. Ann Surg. 250:187–196. 2009. View Article : Google Scholar : PubMed/NCBI

12 

Japanese Gastric Cancer Association, . Japanese classification of gastric carcinoma-2nd english edition -. Gastric Cancer. 1:10–24. 1998. View Article : Google Scholar : PubMed/NCBI

13 

Kayikcioglu E and Iscan G: A novel prognostic index for metastatic colon cancer: The prognostic immune nutritional index. Cureus. 15:e338082023.PubMed/NCBI

14 

Gupta D and Lis CG: Pretreatment serum albumin as a predictor of cancer survival: A systematic review of the epidemiological literature. Nutr J. 9:692010. View Article : Google Scholar : PubMed/NCBI

15 

Mantovani A, Allavena P, Sica A and Balkwill F: Cancer-related inflammation. Nature. 454:436–444. 2008. View Article : Google Scholar : PubMed/NCBI

16 

Kanda M, Tanaka H, Shimizu D, Miwa T, Umeda S, Tanaka C, Kobayashi D, Hattori N, Suenaga M, Hayashi M, et al: SYT7 acts as a driver of hepatic metastasis formation of gastric cancer cells. Oncogene. 37:5355–5366. 2018. View Article : Google Scholar : PubMed/NCBI

17 

Deftereos I, Kiss N, Isenring E, Carter VM and Yeung JM: A systematic review of the effect of preoperative nutrition support on nutritional status and treatment outcomes in upper gastrointestinal cancer resection. Eur J Surg Oncol. 46:1423–1434. 2020. View Article : Google Scholar : PubMed/NCBI

18 

Aoyama T, Maezawa Y, Hashimoto I, Rino Y and Oshima T: Clinical impact of nutrition and inflammation assessment tools in pancreatic cancer treatment. Anticancer Res. 43:3849–3860. 2023. View Article : Google Scholar : PubMed/NCBI

19 

Aoyama T, Kazama K, Maezawa Y and Hara K: Usefulness of nutrition and inflammation assessment tools in esophageal cancer treatment. In Vivo. 37:22–35. 2023. View Article : Google Scholar : PubMed/NCBI

20 

Aoyama T, Hara K, Kazama K and Maezawa Y: Clinical impact of nutrition and inflammation assessment tools in gastric cancer treatment. Anticancer Res. 42:5167–5180. 2022. View Article : Google Scholar : PubMed/NCBI

21 

Ju M, Aoyama T, Fukuda M, Ishiguro T, Kano K, Kazama K, Sawazaki S, Tamagawa H, Yukawa N and Rino Y: Prognostic value of the perioperative systemic inflammation score for patients with curatively resected gastric cancer. Cancer Diagn Progn. 2:627–633. 2022. View Article : Google Scholar : PubMed/NCBI

22 

Mildner A, Kim KW and Yona S: Unravelling monocyte functions: From the guardians of health to the regulators of disease. Discov Immunol. 3:kyae0142024. View Article : Google Scholar : PubMed/NCBI

23 

Neumeyer S and Tagawa T: The Kaposi sarcoma herpesvirus control of monocytes, macrophages, and the tumour microenvironment. Virology. 601:1102862025. View Article : Google Scholar : PubMed/NCBI

24 

Jiang Q, Peng Y, Herling CD and Herling M: The immunomodulatory mechanisms of BTK inhibition in CLL and beyond. Cancers (Basel). 16:35742024. View Article : Google Scholar : PubMed/NCBI

25 

Janssen LLG, van Leeuwen-Kerkhoff N, Westers TM, de Gruijl TD and van de Loosdrecht AA: The immunoregulatory role of monocytes and thrombomodulin in myelodysplastic neoplasms. Front Oncol. 14:14141022024. View Article : Google Scholar : PubMed/NCBI

26 

Li H, Peng S, An R, Du N, Wu H, Zhen X, Gao Y, Li Z and Min J: The prognostic role of lymphocyte-to-monocyte ratio in patients with resectable pancreatic cancer: A systematic review and meta-analysis. PeerJ. 12:e175852024. View Article : Google Scholar : PubMed/NCBI

27 

Li MY, Wang YH, Zhang YL, Zhu WC, Li FF and Bian L: Research advances in tissue-resident macrophages and monocyte-derived macrophages in lung cancer. Zhonghua Bing Li Xue Za Zhi. 53:515–520. 2024.(In Chinese). PubMed/NCBI

28 

Ammarah U, Pereira-Nunes A, Delfini M and Mazzone M: From monocyte-derived macrophages to resident macrophages-how metabolism leads their way in cancer. Mol Oncol. 18:1739–1758. 2024. View Article : Google Scholar : PubMed/NCBI

29 

Liu QW, Liu L, Hu JX, Hou JQ, He WB, Shu YS and Wang XL: Nomogram based on a novel nutritional immune-inflammatory status score to predict postoperative outcomes in esophageal squamous cell carcinoma. World J Gastroenterol. 31:1017492025. View Article : Google Scholar : PubMed/NCBI

30 

Wu C, Qi Z, Chen J, Yan X, Li S, Wang L, Yu L and Jiang Y: Prognostic value of inflammation and nutritional indicators for sinonasal squamous cell carcinoma: A single-center retrospective study. Laryngoscope Investig Otolaryngol. 10:e700462025. View Article : Google Scholar : PubMed/NCBI

Related Articles

  • Abstract
  • View
  • Download
  • Twitter
Copy and paste a formatted citation
Spandidos Publications style
Li J, Yu L, Hu X, Huang T, Chen M and Zhang S: Usefulness of the preoperative Prognostic Immune and Nutritional Index as a prognostic predictor for patients with gastric cancer. Oncol Lett 30: 435, 2025.
APA
Li, J., Yu, L., Hu, X., Huang, T., Chen, M., & Zhang, S. (2025). Usefulness of the preoperative Prognostic Immune and Nutritional Index as a prognostic predictor for patients with gastric cancer. Oncology Letters, 30, 435. https://doi.org/10.3892/ol.2025.15181
MLA
Li, J., Yu, L., Hu, X., Huang, T., Chen, M., Zhang, S."Usefulness of the preoperative Prognostic Immune and Nutritional Index as a prognostic predictor for patients with gastric cancer". Oncology Letters 30.3 (2025): 435.
Chicago
Li, J., Yu, L., Hu, X., Huang, T., Chen, M., Zhang, S."Usefulness of the preoperative Prognostic Immune and Nutritional Index as a prognostic predictor for patients with gastric cancer". Oncology Letters 30, no. 3 (2025): 435. https://doi.org/10.3892/ol.2025.15181
Copy and paste a formatted citation
x
Spandidos Publications style
Li J, Yu L, Hu X, Huang T, Chen M and Zhang S: Usefulness of the preoperative Prognostic Immune and Nutritional Index as a prognostic predictor for patients with gastric cancer. Oncol Lett 30: 435, 2025.
APA
Li, J., Yu, L., Hu, X., Huang, T., Chen, M., & Zhang, S. (2025). Usefulness of the preoperative Prognostic Immune and Nutritional Index as a prognostic predictor for patients with gastric cancer. Oncology Letters, 30, 435. https://doi.org/10.3892/ol.2025.15181
MLA
Li, J., Yu, L., Hu, X., Huang, T., Chen, M., Zhang, S."Usefulness of the preoperative Prognostic Immune and Nutritional Index as a prognostic predictor for patients with gastric cancer". Oncology Letters 30.3 (2025): 435.
Chicago
Li, J., Yu, L., Hu, X., Huang, T., Chen, M., Zhang, S."Usefulness of the preoperative Prognostic Immune and Nutritional Index as a prognostic predictor for patients with gastric cancer". Oncology Letters 30, no. 3 (2025): 435. https://doi.org/10.3892/ol.2025.15181
Follow us
  • Twitter
  • LinkedIn
  • Facebook
About
  • Spandidos Publications
  • Careers
  • Cookie Policy
  • Privacy Policy
How can we help?
  • Help
  • Live Chat
  • Contact
  • Email to our Support Team