Spandidos Publications Logo
  • About
    • About Spandidos
    • Aims and Scopes
    • Abstracting and Indexing
    • Editorial Policies
    • Reprints and Permissions
    • Job Opportunities
    • Terms and Conditions
    • Contact
  • Journals
    • All Journals
    • Oncology Letters
      • Oncology Letters
      • Information for Authors
      • Editorial Policies
      • Editorial Board
      • Aims and Scope
      • Abstracting and Indexing
      • Bibliographic Information
      • Archive
    • International Journal of Oncology
      • International Journal of Oncology
      • Information for Authors
      • Editorial Policies
      • Editorial Board
      • Aims and Scope
      • Abstracting and Indexing
      • Bibliographic Information
      • Archive
    • Molecular and Clinical Oncology
      • Molecular and Clinical Oncology
      • Information for Authors
      • Editorial Policies
      • Editorial Board
      • Aims and Scope
      • Abstracting and Indexing
      • Bibliographic Information
      • Archive
    • Experimental and Therapeutic Medicine
      • Experimental and Therapeutic Medicine
      • Information for Authors
      • Editorial Policies
      • Editorial Board
      • Aims and Scope
      • Abstracting and Indexing
      • Bibliographic Information
      • Archive
    • International Journal of Molecular Medicine
      • International Journal of Molecular Medicine
      • Information for Authors
      • Editorial Policies
      • Editorial Board
      • Aims and Scope
      • Abstracting and Indexing
      • Bibliographic Information
      • Archive
    • Biomedical Reports
      • Biomedical Reports
      • Information for Authors
      • Editorial Policies
      • Editorial Board
      • Aims and Scope
      • Abstracting and Indexing
      • Bibliographic Information
      • Archive
    • Oncology Reports
      • Oncology Reports
      • Information for Authors
      • Editorial Policies
      • Editorial Board
      • Aims and Scope
      • Abstracting and Indexing
      • Bibliographic Information
      • Archive
    • Molecular Medicine Reports
      • Molecular Medicine Reports
      • Information for Authors
      • Editorial Policies
      • Editorial Board
      • Aims and Scope
      • Abstracting and Indexing
      • Bibliographic Information
      • Archive
    • World Academy of Sciences Journal
      • World Academy of Sciences Journal
      • Information for Authors
      • Editorial Policies
      • Editorial Board
      • Aims and Scope
      • Abstracting and Indexing
      • Bibliographic Information
      • Archive
    • International Journal of Functional Nutrition
      • International Journal of Functional Nutrition
      • Information for Authors
      • Editorial Policies
      • Editorial Board
      • Aims and Scope
      • Abstracting and Indexing
      • Bibliographic Information
      • Archive
    • International Journal of Epigenetics
      • International Journal of Epigenetics
      • Information for Authors
      • Editorial Policies
      • Editorial Board
      • Aims and Scope
      • Abstracting and Indexing
      • Bibliographic Information
      • Archive
    • Medicine International
      • Medicine International
      • Information for Authors
      • Editorial Policies
      • Editorial Board
      • Aims and Scope
      • Abstracting and Indexing
      • Bibliographic Information
      • Archive
  • Articles
  • Information
    • Information for Authors
    • Information for Reviewers
    • Information for Librarians
    • Information for Advertisers
    • Conferences
  • Language Editing
Spandidos Publications Logo
  • About
    • About Spandidos
    • Aims and Scopes
    • Abstracting and Indexing
    • Editorial Policies
    • Reprints and Permissions
    • Job Opportunities
    • Terms and Conditions
    • Contact
  • Journals
    • All Journals
    • Biomedical Reports
      • Information for Authors
      • Editorial Policies
      • Editorial Board
      • Aims and Scope
      • Abstracting and Indexing
      • Bibliographic Information
      • Archive
    • Experimental and Therapeutic Medicine
      • Information for Authors
      • Editorial Policies
      • Editorial Board
      • Aims and Scope
      • Abstracting and Indexing
      • Bibliographic Information
      • Archive
    • International Journal of Epigenetics
      • Information for Authors
      • Editorial Policies
      • Editorial Board
      • Aims and Scope
      • Abstracting and Indexing
      • Bibliographic Information
      • Archive
    • International Journal of Functional Nutrition
      • Information for Authors
      • Editorial Policies
      • Editorial Board
      • Aims and Scope
      • Abstracting and Indexing
      • Bibliographic Information
      • Archive
    • International Journal of Molecular Medicine
      • Information for Authors
      • Editorial Policies
      • Editorial Board
      • Aims and Scope
      • Abstracting and Indexing
      • Bibliographic Information
      • Archive
    • International Journal of Oncology
      • Information for Authors
      • Editorial Policies
      • Editorial Board
      • Aims and Scope
      • Abstracting and Indexing
      • Bibliographic Information
      • Archive
    • Medicine International
      • Information for Authors
      • Editorial Policies
      • Editorial Board
      • Aims and Scope
      • Abstracting and Indexing
      • Bibliographic Information
      • Archive
    • Molecular and Clinical Oncology
      • Information for Authors
      • Editorial Policies
      • Editorial Board
      • Aims and Scope
      • Abstracting and Indexing
      • Bibliographic Information
      • Archive
    • Molecular Medicine Reports
      • Information for Authors
      • Editorial Policies
      • Editorial Board
      • Aims and Scope
      • Abstracting and Indexing
      • Bibliographic Information
      • Archive
    • Oncology Letters
      • Information for Authors
      • Editorial Policies
      • Editorial Board
      • Aims and Scope
      • Abstracting and Indexing
      • Bibliographic Information
      • Archive
    • Oncology Reports
      • Information for Authors
      • Editorial Policies
      • Editorial Board
      • Aims and Scope
      • Abstracting and Indexing
      • Bibliographic Information
      • Archive
    • World Academy of Sciences Journal
      • Information for Authors
      • Editorial Policies
      • Editorial Board
      • Aims and Scope
      • Abstracting and Indexing
      • Bibliographic Information
      • Archive
  • Articles
  • Information
    • For Authors
    • For Reviewers
    • For Librarians
    • For Advertisers
    • Conferences
  • Language Editing
Login Register Submit
  • This site uses cookies
  • You can change your cookie settings at any time by following the instructions in our Cookie Policy. To find out more, you may read our Privacy Policy.

    I agree
Search articles by DOI, keyword, author or affiliation
Search
Advanced Search
presentation
Oncology Reports
Join Editorial Board Propose a Special Issue
Print ISSN: 1021-335X Online ISSN: 1791-2431
Journal Cover
September 2012 Volume 28 Issue 3

Full Size Image

Sign up for eToc alerts
Recommend to Library

Journals

International Journal of Molecular Medicine

International Journal of Molecular Medicine

International Journal of Molecular Medicine is an international journal devoted to molecular mechanisms of human disease.

International Journal of Oncology

International Journal of Oncology

International Journal of Oncology is an international journal devoted to oncology research and cancer treatment.

Molecular Medicine Reports

Molecular Medicine Reports

Covers molecular medicine topics such as pharmacology, pathology, genetics, neuroscience, infectious diseases, molecular cardiology, and molecular surgery.

Oncology Reports

Oncology Reports

Oncology Reports is an international journal devoted to fundamental and applied research in Oncology.

Experimental and Therapeutic Medicine

Experimental and Therapeutic Medicine

Experimental and Therapeutic Medicine is an international journal devoted to laboratory and clinical medicine.

Oncology Letters

Oncology Letters

Oncology Letters is an international journal devoted to Experimental and Clinical Oncology.

Biomedical Reports

Biomedical Reports

Explores a wide range of biological and medical fields, including pharmacology, genetics, microbiology, neuroscience, and molecular cardiology.

Molecular and Clinical Oncology

Molecular and Clinical Oncology

International journal addressing all aspects of oncology research, from tumorigenesis and oncogenes to chemotherapy and metastasis.

World Academy of Sciences Journal

World Academy of Sciences Journal

Multidisciplinary open-access journal spanning biochemistry, genetics, neuroscience, environmental health, and synthetic biology.

International Journal of Functional Nutrition

International Journal of Functional Nutrition

Open-access journal combining biochemistry, pharmacology, immunology, and genetics to advance health through functional nutrition.

International Journal of Epigenetics

International Journal of Epigenetics

Publishes open-access research on using epigenetics to advance understanding and treatment of human disease.

Medicine International

Medicine International

An International Open Access Journal Devoted to General Medicine.

Journal Cover
September 2012 Volume 28 Issue 3

Full Size Image

Sign up for eToc alerts
Recommend to Library

  • Article
  • Citations
    • Cite This Article
    • Download Citation
    • Create Citation Alert
    • Remove Citation Alert
    • Cited By
  • Similar Articles
    • Related Articles (in Spandidos Publications)
    • Similar Articles (Google Scholar)
    • Similar Articles (PubMed)
  • Download PDF
  • Download XML
  • View XML
Article

Rapamycin induces p53-independent apoptosis through the mitochondrial pathway in non-small cell lung cancer cells

  • Authors:
    • Naomi Miyake
    • Hiroki Chikumi
    • Miyako Takata
    • Masaki Nakamoto
    • Tadashi Igishi
    • Eiji Shimizu
  • View Affiliations / Copyright

    Affiliations: Division of Medical Oncology and Molecular Respirology, Department of Multidisciplinary Internal Medicine, Tottori University, 36-1 Nishi-cho, Yonago-shi, Tottori-ken 683-8504, Japan
  • Pages: 848-854
    |
    Published online on: June 12, 2012
       https://doi.org/10.3892/or.2012.1855
  • Expand metrics +
Metrics: Total Views: 0 (Spandidos Publications: | PMC Statistics: )
Metrics: Total PDF Downloads: 0 (Spandidos Publications: | PMC Statistics: )
Cited By (CrossRef): 0 citations Loading Articles...

This article is mentioned in:



Abstract

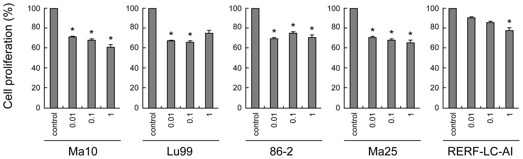
The mammalian target of rapamycin (mTOR) is a key kinase acting downstream of growth factor receptor PI3K and AKT signaling, leading to processes resulting in increased cell size and proliferation through translation control. Rapamycin, a specific inhibitor of mTOR, results predominately in G1 cell cycle arrest through translation control and occasionally, cell type-dependent apoptosis by an unknown mechanism. In this study, we investigated the effect and mechanism of action of rapamycin on non-small cell lung cancer (NSCLC) cell lines with p53 mutations. Cell proliferation was evaluated by modified MTT assay. The apoptotic effect of rapamycin was measured by caspase-3 activation and flow cytometric analysis of Annexin V binding. The expression of Bcl-2 and the release of cytochrome c from mitochondria were evaluated by western blotting. We found that rapamycin induced apoptosis in NSCLC cell lines with p53 mutations. Western blot analysis demonstrated that rapamycin downregulates the expression levels of Bcl-2, which leads to increased cytochrome c release from mitochondria and subsequent activation of caspase cascades. These findings suggest that rapamycin induces p53-independent apoptosis through downregulation of Bcl-2 and the mitochondrial pathway in NSCLC cell lines as a novel antitumor mechanism.
View Figures

Figure 1

Figure 2

Figure 3

Figure 4

View References

1 

Jemal A, Siegel R, Ward E, Murray T, Xu J and Thun MJ: Cancer statistics, 2007. CA Cancer J Clin. 57:43–66. 2007. View Article : Google Scholar

2 

Delbaldo C, Michiels S, Rolland E, et al: Second or third additional chemotherapy drug for non-small cell lung cancer in patients with advanced disease. Cochrane Database Syst Rev. 17:CD0045692007.

3 

Hanahan D: The hallmarks of cancer. Cell. 100:57–70. 2000. View Article : Google Scholar

4 

Vignot S, Faivre S, Aguirre D and Raymond E: mTOR-targeted therapy of cancer with rapamycin derivatives. Ann Oncol. 16:525–537. 2005. View Article : Google Scholar : PubMed/NCBI

5 

Shaw RJ and Cantley LC: Ras, PI (3) K and mTOR signalling controls tumour cell growth. Nature. 441:424–430. 2006. View Article : Google Scholar : PubMed/NCBI

6 

LoPiccolo J, Blumenthal GM, Bernstein WB and Dennis PA: Targeting the PI3K/Akt/mTOR pathway: effective combinations and clinical considerations. Drug Resist Updat. 11:32–50. 2008. View Article : Google Scholar : PubMed/NCBI

7 

Sabers CJ, Martin MM, Brunn GJ, et al: Isolation of a protein target of the FKBP12-rapamycin complex in mammalian cells. J Biol Chem. 270:815–822. 1995. View Article : Google Scholar : PubMed/NCBI

8 

Lorenz MC and Heitman J: TOR mutations confer rapamycin resistance by preventing interaction with FKBP12-rapamycin. J Biol Chem. 270:27531–27537. 1995. View Article : Google Scholar : PubMed/NCBI

9 

Balsara BR, Pei J, Mitsuuchi Y, et al: Frequent activation of AKT in non-small cell lung carcinomas and preneoplastic bronchial lesions. Carcinogenesis. 25:2053–2059. 2004. View Article : Google Scholar : PubMed/NCBI

10 

Wislez M, Spencer ML, Izzo JG, et al: Inhibition of mammalian target of rapamycin reverses alveolar epithelial neoplasia induced by oncogenic K-ras. Cancer Res. 65:3226–3235. 2005.PubMed/NCBI

11 

Marinov M, Fischer B and Arcaro A: Targeting mTOR signaling in lung cancer. Crit Rev Oncol Hematol. 63:172–182. 2007. View Article : Google Scholar : PubMed/NCBI

12 

Gridelli C, Maione P and Rossi A: The potential role of mTOR inhibitors in non-small cell lung cancer. Oncologist. 13:139–147. 2008. View Article : Google Scholar : PubMed/NCBI

13 

Muthukkumar S, RaMesh TM and Bondada S: Rapamycin, a potent immunosuppressive drug, causes programmed cell death in B lymphoma cells. Transplantation. 60:264–270. 1995. View Article : Google Scholar : PubMed/NCBI

14 

Tirado OM, Mateo-Lozano S and Notario V: Rapamycin induces apoptosis of JN-DSRCT-1 cells by increasing the Bax: Bcl-xL ratio through concurrent mechanisms dependent and independent of its mTOR inhibitory activity. Oncogene. 24:3348–3357. 2005. View Article : Google Scholar

15 

Zhang JF, Liu JJ, Lu MQ, et al: Rapamycin inhibits cell growth by induction of apoptosis on hepatocellular carcinoma cells in vitro. Transpl Immunol. 17:162–168. 2007. View Article : Google Scholar : PubMed/NCBI

16 

Vega F, Medeiros LJ, Leventaki V, et al: Activation of mammalian target of rapamycin signaling pathway contributes to tumor cell survival in anaplastic lymphoma kinase-positive anaplastic large cell lymphoma. Cancer Res. 66:6589–6597. 2006. View Article : Google Scholar

17 

Aguirre D, Boya P, Bellet D, et al: Bcl-2 and CCND1/CDK4 expression levels predict the cellular effects of mTOR inhibitors in human ovarian carcinoma. Apoptosis. 9:797–805. 2004. View Article : Google Scholar : PubMed/NCBI

18 

Huang S, Liu LN, Hosoi H, Dilling MB, Shikata T and Houghton PJ: p53/p21CIP1 cooperate in enforcing rapamycin-induced G1 arrest and determine the cellular response to rapamycin. Cancer Res. 61:3373–3381. 2001.

19 

Huang S, Shu L, Easton J, et al: Inhibition of mammalian target of rapamycin activates apoptosis signal-regulating kinase 1 signaling by suppressing protein phosphatase 5 activity. J Biol Chem. 279:36490–36496. 2004. View Article : Google Scholar

20 

Calastretti A, Rancati F, Ceriani MC, Asnaghi L, Canti G and Nicolin A: Rapamycin increases the cellular concentration of the BCL-2 protein and exerts an anti-apoptotic effect. Eur J Cancer. 37:2121–2128. 2001. View Article : Google Scholar : PubMed/NCBI

21 

Boffa DJ, Luan F, Thomas D, et al: Rapamycin inhibits the growth and metastatic progression of non-small cell lung cancer. Clin Cancer Res. 10:293–300. 2004. View Article : Google Scholar : PubMed/NCBI

22 

Buck E, Eyzaguirre A, Brown E, et al: Rapamycin synergizes with the epidermal growth factor receptor inhibitor erlotinib in non-small-cell lung, pancreatic, colon, and breast tumors. Mol Cancer Ther. 5:2676–2684. 2006. View Article : Google Scholar : PubMed/NCBI

23 

Kishimoto M, Kohno T, Okudela K, et al: Mutations and deletions of the CBP gene in human lung cancer. Clin Cancer Res. 11:512–519. 2005.PubMed/NCBI

24 

Okabe T, Okamoto I, Tamura K, et al: Differential constitutive activation of the epidermal growthfactor receptor in non-small cell lung cancer cells bearing EGFR gene mutation and amplification. Cancer Res. 67:2046–2053. 2007. View Article : Google Scholar

25 

Mori T, Okamoto H, Takahashi N, Ueda R and Okamoto T: Aberrant overexpression of 53BP2 mRNA in lung cancer cell lines. FEBS Lett. 465:124–128. 2000. View Article : Google Scholar : PubMed/NCBI

26 

Park MJ, Shimizu K, Nakano T, et al: Pathogenetic and biologic significance of TP14ARF alterations in nonsmall cell lung carcinoma. Cancer Genet Cytogenet. 141:5–13. 2003. View Article : Google Scholar : PubMed/NCBI

27 

Nagai Y and Miyazawa H: Genetic heterogeneity of the epidermal growth factor receptor in non-small cell lung cancer cell lines revealed by a rapid and sensitive detection system, the peptide nucleic acid-locked nucleic acid PCR clamp. Cancer Res. 65:7276–7282. 2005. View Article : Google Scholar

28 

Kluck RM, Bossy-Wetzel E, Green DR and Newmeyer DD: The release of cytochrome c from mitochondria: a primary site for Bcl-2 regulation of apoptosis. Science. 275:1132–1136. 1997. View Article : Google Scholar : PubMed/NCBI

29 

del Peso L, Gonzalez-Garcia M, Page C, Herrera R and Nunez G: Interleukin-3-induced phosphorylation of BAD through the protein kinase Akt. Science. 278:687–689. 1997.PubMed/NCBI

30 

Gardai SJ, Hildeman DA, Frankel SK, et al: Phosphorylation of Bax Ser184 by Akt regulates its activity and apoptosis in neutrophils. J Biol Chem. 279:21085–21095. 2004. View Article : Google Scholar : PubMed/NCBI

31 

Wangpaichitr M, Wu C, You M, et al: Inhibition of mTOR restores cisplatin sensitivity through down-regulation of growth and anti-apoptotic proteins. Eur J Pharmacol. 591:124–127. 2008. View Article : Google Scholar : PubMed/NCBI

32 

Migita K, Eguchi K, Ichinose Y, et al: Effects of rapamycin on apoptosis of rheumatoid synovial cells. Clin Exp Immunol. 108:199–203. 1997. View Article : Google Scholar : PubMed/NCBI

33 

Gross A, McDonnell JM and Korsmeyer SJ: BCL-2 family members and the mitochondria in apoptosis. Genes Dev. 13:1899–1911. 1999. View Article : Google Scholar : PubMed/NCBI

34 

Zhang YJ, Duan Y and Zheng XF: Targeting the mTOR kinase domain: the second generation of mTOR inhibitors. Drug Discov Today. 16:325–331. 2011. View Article : Google Scholar : PubMed/NCBI

35 

Serra V, Markman B, Scaltriti M, et al: NVP-BEZ235, a dual PI3K/mTOR inhibitor, prevents PI3K signaling and inhibits the growth of cancer cells with activating PI3K mutations. Cancer Res. 68:8022–8030. 2008. View Article : Google Scholar : PubMed/NCBI

Related Articles

  • Abstract
  • View
  • Download
  • Twitter
Copy and paste a formatted citation
Spandidos Publications style
Miyake N, Chikumi H, Takata M, Nakamoto M, Igishi T and Shimizu E: Rapamycin induces p53-independent apoptosis through the mitochondrial pathway in non-small cell lung cancer cells. Oncol Rep 28: 848-854, 2012.
APA
Miyake, N., Chikumi, H., Takata, M., Nakamoto, M., Igishi, T., & Shimizu, E. (2012). Rapamycin induces p53-independent apoptosis through the mitochondrial pathway in non-small cell lung cancer cells. Oncology Reports, 28, 848-854. https://doi.org/10.3892/or.2012.1855
MLA
Miyake, N., Chikumi, H., Takata, M., Nakamoto, M., Igishi, T., Shimizu, E."Rapamycin induces p53-independent apoptosis through the mitochondrial pathway in non-small cell lung cancer cells". Oncology Reports 28.3 (2012): 848-854.
Chicago
Miyake, N., Chikumi, H., Takata, M., Nakamoto, M., Igishi, T., Shimizu, E."Rapamycin induces p53-independent apoptosis through the mitochondrial pathway in non-small cell lung cancer cells". Oncology Reports 28, no. 3 (2012): 848-854. https://doi.org/10.3892/or.2012.1855
Copy and paste a formatted citation
x
Spandidos Publications style
Miyake N, Chikumi H, Takata M, Nakamoto M, Igishi T and Shimizu E: Rapamycin induces p53-independent apoptosis through the mitochondrial pathway in non-small cell lung cancer cells. Oncol Rep 28: 848-854, 2012.
APA
Miyake, N., Chikumi, H., Takata, M., Nakamoto, M., Igishi, T., & Shimizu, E. (2012). Rapamycin induces p53-independent apoptosis through the mitochondrial pathway in non-small cell lung cancer cells. Oncology Reports, 28, 848-854. https://doi.org/10.3892/or.2012.1855
MLA
Miyake, N., Chikumi, H., Takata, M., Nakamoto, M., Igishi, T., Shimizu, E."Rapamycin induces p53-independent apoptosis through the mitochondrial pathway in non-small cell lung cancer cells". Oncology Reports 28.3 (2012): 848-854.
Chicago
Miyake, N., Chikumi, H., Takata, M., Nakamoto, M., Igishi, T., Shimizu, E."Rapamycin induces p53-independent apoptosis through the mitochondrial pathway in non-small cell lung cancer cells". Oncology Reports 28, no. 3 (2012): 848-854. https://doi.org/10.3892/or.2012.1855
Follow us
  • Twitter
  • LinkedIn
  • Facebook
About
  • Spandidos Publications
  • Careers
  • Cookie Policy
  • Privacy Policy
How can we help?
  • Help
  • Live Chat
  • Contact
  • Email to our Support Team