Spandidos Publications Logo
  • About
    • About Spandidos
    • Aims and Scopes
    • Abstracting and Indexing
    • Editorial Policies
    • Reprints and Permissions
    • Job Opportunities
    • Terms and Conditions
    • Contact
  • Journals
    • All Journals
    • Oncology Letters
      • Oncology Letters
      • Information for Authors
      • Editorial Policies
      • Editorial Board
      • Aims and Scope
      • Abstracting and Indexing
      • Bibliographic Information
      • Archive
    • International Journal of Oncology
      • International Journal of Oncology
      • Information for Authors
      • Editorial Policies
      • Editorial Board
      • Aims and Scope
      • Abstracting and Indexing
      • Bibliographic Information
      • Archive
    • Molecular and Clinical Oncology
      • Molecular and Clinical Oncology
      • Information for Authors
      • Editorial Policies
      • Editorial Board
      • Aims and Scope
      • Abstracting and Indexing
      • Bibliographic Information
      • Archive
    • Experimental and Therapeutic Medicine
      • Experimental and Therapeutic Medicine
      • Information for Authors
      • Editorial Policies
      • Editorial Board
      • Aims and Scope
      • Abstracting and Indexing
      • Bibliographic Information
      • Archive
    • International Journal of Molecular Medicine
      • International Journal of Molecular Medicine
      • Information for Authors
      • Editorial Policies
      • Editorial Board
      • Aims and Scope
      • Abstracting and Indexing
      • Bibliographic Information
      • Archive
    • Biomedical Reports
      • Biomedical Reports
      • Information for Authors
      • Editorial Policies
      • Editorial Board
      • Aims and Scope
      • Abstracting and Indexing
      • Bibliographic Information
      • Archive
    • Oncology Reports
      • Oncology Reports
      • Information for Authors
      • Editorial Policies
      • Editorial Board
      • Aims and Scope
      • Abstracting and Indexing
      • Bibliographic Information
      • Archive
    • Molecular Medicine Reports
      • Molecular Medicine Reports
      • Information for Authors
      • Editorial Policies
      • Editorial Board
      • Aims and Scope
      • Abstracting and Indexing
      • Bibliographic Information
      • Archive
    • World Academy of Sciences Journal
      • World Academy of Sciences Journal
      • Information for Authors
      • Editorial Policies
      • Editorial Board
      • Aims and Scope
      • Abstracting and Indexing
      • Bibliographic Information
      • Archive
    • International Journal of Functional Nutrition
      • International Journal of Functional Nutrition
      • Information for Authors
      • Editorial Policies
      • Editorial Board
      • Aims and Scope
      • Abstracting and Indexing
      • Bibliographic Information
      • Archive
    • International Journal of Epigenetics
      • International Journal of Epigenetics
      • Information for Authors
      • Editorial Policies
      • Editorial Board
      • Aims and Scope
      • Abstracting and Indexing
      • Bibliographic Information
      • Archive
    • Medicine International
      • Medicine International
      • Information for Authors
      • Editorial Policies
      • Editorial Board
      • Aims and Scope
      • Abstracting and Indexing
      • Bibliographic Information
      • Archive
  • Articles
  • Information
    • Information for Authors
    • Information for Reviewers
    • Information for Librarians
    • Information for Advertisers
    • Conferences
  • Language Editing
Spandidos Publications Logo
  • About
    • About Spandidos
    • Aims and Scopes
    • Abstracting and Indexing
    • Editorial Policies
    • Reprints and Permissions
    • Job Opportunities
    • Terms and Conditions
    • Contact
  • Journals
    • All Journals
    • Biomedical Reports
      • Information for Authors
      • Editorial Policies
      • Editorial Board
      • Aims and Scope
      • Abstracting and Indexing
      • Bibliographic Information
      • Archive
    • Experimental and Therapeutic Medicine
      • Information for Authors
      • Editorial Policies
      • Editorial Board
      • Aims and Scope
      • Abstracting and Indexing
      • Bibliographic Information
      • Archive
    • International Journal of Epigenetics
      • Information for Authors
      • Editorial Policies
      • Editorial Board
      • Aims and Scope
      • Abstracting and Indexing
      • Bibliographic Information
      • Archive
    • International Journal of Functional Nutrition
      • Information for Authors
      • Editorial Policies
      • Editorial Board
      • Aims and Scope
      • Abstracting and Indexing
      • Bibliographic Information
      • Archive
    • International Journal of Molecular Medicine
      • Information for Authors
      • Editorial Policies
      • Editorial Board
      • Aims and Scope
      • Abstracting and Indexing
      • Bibliographic Information
      • Archive
    • International Journal of Oncology
      • Information for Authors
      • Editorial Policies
      • Editorial Board
      • Aims and Scope
      • Abstracting and Indexing
      • Bibliographic Information
      • Archive
    • Medicine International
      • Information for Authors
      • Editorial Policies
      • Editorial Board
      • Aims and Scope
      • Abstracting and Indexing
      • Bibliographic Information
      • Archive
    • Molecular and Clinical Oncology
      • Information for Authors
      • Editorial Policies
      • Editorial Board
      • Aims and Scope
      • Abstracting and Indexing
      • Bibliographic Information
      • Archive
    • Molecular Medicine Reports
      • Information for Authors
      • Editorial Policies
      • Editorial Board
      • Aims and Scope
      • Abstracting and Indexing
      • Bibliographic Information
      • Archive
    • Oncology Letters
      • Information for Authors
      • Editorial Policies
      • Editorial Board
      • Aims and Scope
      • Abstracting and Indexing
      • Bibliographic Information
      • Archive
    • Oncology Reports
      • Information for Authors
      • Editorial Policies
      • Editorial Board
      • Aims and Scope
      • Abstracting and Indexing
      • Bibliographic Information
      • Archive
    • World Academy of Sciences Journal
      • Information for Authors
      • Editorial Policies
      • Editorial Board
      • Aims and Scope
      • Abstracting and Indexing
      • Bibliographic Information
      • Archive
  • Articles
  • Information
    • For Authors
    • For Reviewers
    • For Librarians
    • For Advertisers
    • Conferences
  • Language Editing
Login Register Submit
  • This site uses cookies
  • You can change your cookie settings at any time by following the instructions in our Cookie Policy. To find out more, you may read our Privacy Policy.

    I agree
Search articles by DOI, keyword, author or affiliation
Search
Advanced Search
presentation
Oncology Reports
Join Editorial Board Propose a Special Issue
Print ISSN: 1021-335X Online ISSN: 1791-2431
Journal Cover
March-2015 Volume 33 Issue 3

Full Size Image

Sign up for eToc alerts
Recommend to Library

Journals

International Journal of Molecular Medicine

International Journal of Molecular Medicine

International Journal of Molecular Medicine is an international journal devoted to molecular mechanisms of human disease.

International Journal of Oncology

International Journal of Oncology

International Journal of Oncology is an international journal devoted to oncology research and cancer treatment.

Molecular Medicine Reports

Molecular Medicine Reports

Covers molecular medicine topics such as pharmacology, pathology, genetics, neuroscience, infectious diseases, molecular cardiology, and molecular surgery.

Oncology Reports

Oncology Reports

Oncology Reports is an international journal devoted to fundamental and applied research in Oncology.

Experimental and Therapeutic Medicine

Experimental and Therapeutic Medicine

Experimental and Therapeutic Medicine is an international journal devoted to laboratory and clinical medicine.

Oncology Letters

Oncology Letters

Oncology Letters is an international journal devoted to Experimental and Clinical Oncology.

Biomedical Reports

Biomedical Reports

Explores a wide range of biological and medical fields, including pharmacology, genetics, microbiology, neuroscience, and molecular cardiology.

Molecular and Clinical Oncology

Molecular and Clinical Oncology

International journal addressing all aspects of oncology research, from tumorigenesis and oncogenes to chemotherapy and metastasis.

World Academy of Sciences Journal

World Academy of Sciences Journal

Multidisciplinary open-access journal spanning biochemistry, genetics, neuroscience, environmental health, and synthetic biology.

International Journal of Functional Nutrition

International Journal of Functional Nutrition

Open-access journal combining biochemistry, pharmacology, immunology, and genetics to advance health through functional nutrition.

International Journal of Epigenetics

International Journal of Epigenetics

Publishes open-access research on using epigenetics to advance understanding and treatment of human disease.

Medicine International

Medicine International

An International Open Access Journal Devoted to General Medicine.

Journal Cover
March-2015 Volume 33 Issue 3

Full Size Image

Sign up for eToc alerts
Recommend to Library

  • Article
  • Citations
    • Cite This Article
    • Download Citation
    • Create Citation Alert
    • Remove Citation Alert
    • Cited By
  • Similar Articles
    • Related Articles (in Spandidos Publications)
    • Similar Articles (Google Scholar)
    • Similar Articles (PubMed)
  • Download PDF
  • Download XML
  • View XML
Article

Inhibitory action of pristimerin on hypoxia‑mediated metastasis involves stem cell characteristics and EMT in PC-3 prostate cancer cells

  • Authors:
    • Jianwei Zuo
    • Yuanqing Guo
    • Xinsheng Peng
    • Yubo Tang
    • Xintao Zhang
    • Peiheng He
    • Shuaihua Li
    • Qingde Wa
    • Jinglei Li
    • Shuai Huang
    • Dongliang Xu
  • View Affiliations / Copyright

    Affiliations: Department of Orthopaedic Surgery/Orthopaedic Research Institute, The First Affiliated Hospital of Sun Yat-Sen University, Guangzhou, Guangdong 510080, P.R. China, Department of Orthopaedic Surgery, The Fifth Affiliated Hospital of Sun Yat-Sen University, Guangzhou, Guangdong 510080, P.R. China, Department of Pharmacy, The First Affiliated Hospital of Sun Yat-Sen University, Guangzhou, Guangdong 510080, P.R. China, Department of Sports Medicine, Shenzhen Hospital of Peking University, Shenzhen, Guangdong 518036, P.R. China, Department of Radiology, Guangdong Academy of Medical Sciences, Guangdong General Hospital, Guangzhou, Guangdong 510080, P.R. China
  • Pages: 1388-1394
    |
    Published online on: January 7, 2015
       https://doi.org/10.3892/or.2015.3708
  • Expand metrics +
Metrics: Total Views: 0 (Spandidos Publications: | PMC Statistics: )
Metrics: Total PDF Downloads: 0 (Spandidos Publications: | PMC Statistics: )
Cited By (CrossRef): 0 citations Loading Articles...

This article is mentioned in:



Abstract

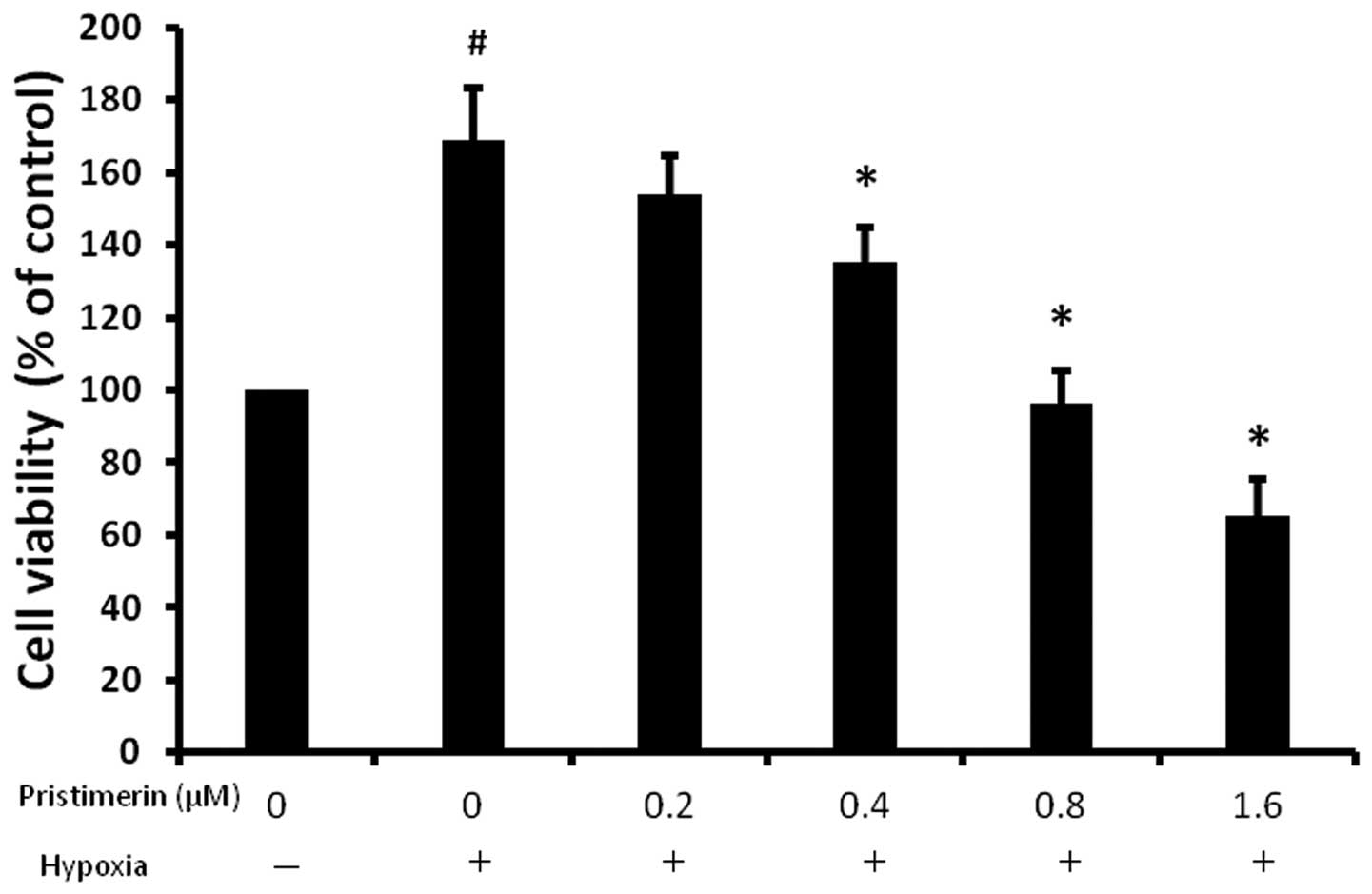
The aim of the present study was to investigate whether pristimerin affects the bone metastasis, stem cell characteristics and epithelial-mesenchymal transition (EMT) of prostate cancer (PCa) PC-3 cells subjected to hypoxia. The PC-3 cells were cultured under hypoxia or normoxia for 48 h and were then treated with increasing concentrations of pristimerin from 0 to 0.8 µmol/l, under normoxia. Hypoxia‑inducible factor-1α (HIF-1α) was detected by western blotting. Proliferation was assessed with the CCK-8 assay. Transwell invasion assay was used to analyze the potency of invasion. Stem cell characteristics were detected by sphere formation, colony formation assay and western blotting, including CD44, KLF4, OCT4 and AGO2, which are stem cell characteristic-related markers. EMT was confirmed by the expression changes of EMT-related markers, including N-cadherin, fibronectin, vimentin and ZEB1, which were evaluated by western blotting. The addition of pristimerin to the medium reduced the hypoxia-induced PC-3 cell proliferation in a dose-dependent manner. Pristimerin effectively inhibited hypoxia‑induced invasion of the PCa cells in vitro. Moreover, the treatment of cells with pristimerin induced the reversal of hypoxia-induced stem cell characteristics and EMT, which was confirmed by sphere formation, colony formation assay and the expression changes of CSC- and EMT-related markers. The reversal of hypoxia‑induced stem cell characteristics and EMT in the PCa cells by low-dose pristimerin was dose‑dependent. These results showed that treatment with pristimerin may be a potential strategy for the suppression of hypoxia-induced metastasis through the reversal of hypoxia-induced stem cell characteristics and EMT in cancer cells, which justifies the potential use of pristimerin as a practical chemopreventive approach for patients with PCa.
View Figures

Figure 1

Figure 2

Figure 3

Figure 4

Figure 5

View References

1 

Duffy MJ, McGowan PM and Gallagher WM: Cancer invasion and metastasis: changing views. J Pathol. 214:283–293. 2008. View Article : Google Scholar

2 

Carlin BI and Andriole GL: The natural history, skeletal complications, and management of bone metastases in patients with prostate carcinoma. Cancer. 88(Suppl 12): S2989–S2994. 2000. View Article : Google Scholar

3 

Papachristou DJ, Basdra EK and Papavassiliou AG: Bone metastases: molecular mechanisms and novel therapeutic interventions. Med Res Rev. 32:611–636. 2012. View Article : Google Scholar

4 

Höckel M and Vaupel P: Biological consequences of tumor hypoxia. Semin Oncol. 28(Suppl 8): S36–S41. 2001. View Article : Google Scholar

5 

Greco O, Marples B, Joiner MC and Scott SD: How to overcome (and exploit) tumor hypoxia for targeted gene therapy. J Cell Physiol. 197:312–325. 2003. View Article : Google Scholar : PubMed/NCBI

6 

Brizel DM, Scully SP, Harrelson JM, et al: Tumor oxygenation predicts for the likelihood of distant metastases in human soft tissue sarcoma. Cancer Res. 56:941–943. 1996.PubMed/NCBI

7 

Semenza GL: Targeting HIF-1 for cancer therapy. Nat Rev Cancer. 3:721–732. 2003. View Article : Google Scholar : PubMed/NCBI

8 

Wang GL and Semenza GL: Purification and characterization of hypoxia-inducible factor 1. J Biol Chem. 270:1230–1237. 1995. View Article : Google Scholar : PubMed/NCBI

9 

Zhong H, De Marzo AM, Laughner E, et al: Overexpression of hypoxia-inducible factor 1α in common human cancers and their metastases. Cancer Res. 59:5830–5835. 1999.PubMed/NCBI

10 

Blagosklonny MV: Hypoxia-inducible factor: Achilles’ heel of antiangiogenic cancer therapy (Review). Int J Oncol. 19:257–262. 2001.PubMed/NCBI

11 

Maxwell PH, Dachs GU, Gleadle JM, et al: Hypoxia-inducible factor-1 modulates gene expression in solid tumors and influences both angiogenesis and tumor growth. Proc Natl Acad Sci USA. 94:8104–8109. 1997. View Article : Google Scholar : PubMed/NCBI

12 

Chaffer CL and Weinberg RA: A perspective on cancer cell metastasis. Science. 331:1559–1564. 2011. View Article : Google Scholar : PubMed/NCBI

13 

Monteiro J and Fodde R: Cancer stemness and metastasis: therapeutic consequences and perspectives. Eur J Cancer. 46:1198–1203. 2010. View Article : Google Scholar : PubMed/NCBI

14 

Marignol L, Coffey M, Lawler M and Hollywood D: Hypoxia in prostate cancer: a powerful shield against tumour destruction. Cancer Treat Rev. 34:313–327. 2008. View Article : Google Scholar : PubMed/NCBI

15 

Sharifi N, Kawasaki BT, Hurt EM and Farrar WL: Stem cells in prostate cancer: resolving the castrate-resistant conundrum and implications for hormonal therapy. Cancer Biol Ther. 5:901–906. 2006. View Article : Google Scholar : PubMed/NCBI

16 

Pfeiffer MJ and Schalken JA: Stem cell characteristics in prostate cancer cell lines. Eur Urol. 57:246–254. 2010. View Article : Google Scholar

17 

Ma Y, Liang D, Liu J, et al: Prostate cancer cell lines under hypoxia exhibit greater stem-like properties. PLoS One. 6:e291702011. View Article : Google Scholar

18 

Marie-Egyptienne DT, Lohse I and Hill RP: Cancer stem cells, the epithelial to mesenchymal transition (EMT) and radioresistance: potential role of hypoxia. Cancer Lett. 341:63–72. 2013. View Article : Google Scholar

19 

Higgins DF, Kimura K, Bernhardt WM, et al: Hypoxia promotes fibrogenesis in vivo via HIF-1 stimulation of epithelial-to-mesenchymal transition. J Clin Invest. 117:3810–3820. 2007.PubMed/NCBI

20 

Thiery JP: Epithelial-mesenchymal transitions in development and pathologies. Curr Opin Cell Biol. 15:740–746. 2003. View Article : Google Scholar : PubMed/NCBI

21 

Hanahan D and Weinberg RA: Hallmarks of cancer: the next generation. Cell. 144:646–674. 2011. View Article : Google Scholar : PubMed/NCBI

22 

Nauseef JT and Henry MD: Epithelial-to-mesenchymal transition in prostate cancer: paradigm or puzzle? Nat Rev Urol. 8:428–439. 2011. View Article : Google Scholar : PubMed/NCBI

23 

Sethi S, Macoska J, Chen W and Sarkar FH: Molecular signature of epithelial-mesenchymal transition (EMT) in human prostate cancer bone metastasis. Am J Transl Res. 3:90–99. 2010.PubMed/NCBI

24 

Liu YB, Gao X, Deeb D, Arbab AS and Gautam SC: Pristimerin induces apoptosis in prostate cancer cells by down-regulating Bcl-2 through ROS-dependent ubiquitin-proteasomal degradation pathway. J Carcinog Mutagen. (Suppl 6): 0052013.

25 

Peng X, Guo W, Liu T, et al: Identification of miRs-143 and -145 that is associated with bone metastasis of prostate cancer and involved in the regulation of EMT. PLoS One. 6:e203412011. View Article : Google Scholar : PubMed/NCBI

26 

Huang S, Guo W, Tang Y, Ren D, Zou X and Peng X: miR-143 and miR-145 inhibit stem cell characteristics of PC-3 prostate cancer cells. Oncol Rep. 28:1831–1837. 2012.PubMed/NCBI

27 

Liao D, Corle C, Seagroves TN and Johnson RS: Hypoxia-inducible factor-1α is a key regulator of metastasis in a transgenic model of cancer initiation and progression. Cancer Res. 67:563–572. 2007. View Article : Google Scholar : PubMed/NCBI

28 

Visvader JE and Lindeman GJ: Cancer stem cells in solid tumours: accumulating evidence and unresolved questions. Nat Rev Cancer. 8:755–768. 2008. View Article : Google Scholar : PubMed/NCBI

29 

Bisson I and Prowse DM: WNT signaling regulates self-renewal and differentiation of prostate cancer cells with stem cell characteristics. Cell Res. 19:683–697. 2009. View Article : Google Scholar : PubMed/NCBI

30 

Warfel NA and El-Deiry WS: HIF-1 HIF-1 signaling in drug resistance to chemotherapy. Curr Med Chem. 21:3021–3028. 2014. View Article : Google Scholar

31 

Hayashida T, Jinno H, Kitagawa Y and Kitajima M: Cooperation of cancer stem cell properties and epithelial-mesenchymal transition in the establishment of breast cancer metastasis. J Oncol. 2011:5914272011. View Article : Google Scholar : PubMed/NCBI

32 

Duggal R, Minev B, Geissinger U, et al: Biotherapeutic approaches to target cancer stem cells. J Stem Cells. 8:135–149. 2013.

33 

Xu J, Wang R, Xie ZH, et al: Prostate cancer metastasis: role of the host microenvironment in promoting epithelial to mesenchymal transition and increased bone and adrenal gland metastasis. Prostate. 66:1664–1673. 2006. View Article : Google Scholar : PubMed/NCBI

34 

Whitbread AK, Veveris-Lowe TL, Lawrence MG, Nicol DL and Clements JA: The role of kallikrein-related peptidases in prostate cancer: potential involvement in an epithelial to mesenchymal transition. Biol Chem. 387:707–714. 2006. View Article : Google Scholar : PubMed/NCBI

35 

Kasper S and Cookson MS: Mechanisms leading to the development of hormone-resistant prostate cancer. Urol Clin North Am. 33:201–210. vii2006. View Article : Google Scholar : PubMed/NCBI

Related Articles

  • Abstract
  • View
  • Download
  • Twitter
Copy and paste a formatted citation
Spandidos Publications style
Zuo J, Guo Y, Peng X, Tang Y, Zhang X, He P, Li S, Wa Q, Li J, Huang S, Huang S, et al: Inhibitory action of pristimerin on hypoxia‑mediated metastasis involves stem cell characteristics and EMT in PC-3 prostate cancer cells. Oncol Rep 33: 1388-1394, 2015.
APA
Zuo, J., Guo, Y., Peng, X., Tang, Y., Zhang, X., He, P. ... Xu, D. (2015). Inhibitory action of pristimerin on hypoxia‑mediated metastasis involves stem cell characteristics and EMT in PC-3 prostate cancer cells. Oncology Reports, 33, 1388-1394. https://doi.org/10.3892/or.2015.3708
MLA
Zuo, J., Guo, Y., Peng, X., Tang, Y., Zhang, X., He, P., Li, S., Wa, Q., Li, J., Huang, S., Xu, D."Inhibitory action of pristimerin on hypoxia‑mediated metastasis involves stem cell characteristics and EMT in PC-3 prostate cancer cells". Oncology Reports 33.3 (2015): 1388-1394.
Chicago
Zuo, J., Guo, Y., Peng, X., Tang, Y., Zhang, X., He, P., Li, S., Wa, Q., Li, J., Huang, S., Xu, D."Inhibitory action of pristimerin on hypoxia‑mediated metastasis involves stem cell characteristics and EMT in PC-3 prostate cancer cells". Oncology Reports 33, no. 3 (2015): 1388-1394. https://doi.org/10.3892/or.2015.3708
Copy and paste a formatted citation
x
Spandidos Publications style
Zuo J, Guo Y, Peng X, Tang Y, Zhang X, He P, Li S, Wa Q, Li J, Huang S, Huang S, et al: Inhibitory action of pristimerin on hypoxia‑mediated metastasis involves stem cell characteristics and EMT in PC-3 prostate cancer cells. Oncol Rep 33: 1388-1394, 2015.
APA
Zuo, J., Guo, Y., Peng, X., Tang, Y., Zhang, X., He, P. ... Xu, D. (2015). Inhibitory action of pristimerin on hypoxia‑mediated metastasis involves stem cell characteristics and EMT in PC-3 prostate cancer cells. Oncology Reports, 33, 1388-1394. https://doi.org/10.3892/or.2015.3708
MLA
Zuo, J., Guo, Y., Peng, X., Tang, Y., Zhang, X., He, P., Li, S., Wa, Q., Li, J., Huang, S., Xu, D."Inhibitory action of pristimerin on hypoxia‑mediated metastasis involves stem cell characteristics and EMT in PC-3 prostate cancer cells". Oncology Reports 33.3 (2015): 1388-1394.
Chicago
Zuo, J., Guo, Y., Peng, X., Tang, Y., Zhang, X., He, P., Li, S., Wa, Q., Li, J., Huang, S., Xu, D."Inhibitory action of pristimerin on hypoxia‑mediated metastasis involves stem cell characteristics and EMT in PC-3 prostate cancer cells". Oncology Reports 33, no. 3 (2015): 1388-1394. https://doi.org/10.3892/or.2015.3708
Follow us
  • Twitter
  • LinkedIn
  • Facebook
About
  • Spandidos Publications
  • Careers
  • Cookie Policy
  • Privacy Policy
How can we help?
  • Help
  • Live Chat
  • Contact
  • Email to our Support Team