Spandidos Publications Logo
  • About
    • About Spandidos
    • Aims and Scopes
    • Abstracting and Indexing
    • Editorial Policies
    • Reprints and Permissions
    • Job Opportunities
    • Terms and Conditions
    • Contact
  • Journals
    • All Journals
    • Oncology Letters
      • Oncology Letters
      • Information for Authors
      • Editorial Policies
      • Editorial Board
      • Aims and Scope
      • Abstracting and Indexing
      • Bibliographic Information
      • Archive
    • International Journal of Oncology
      • International Journal of Oncology
      • Information for Authors
      • Editorial Policies
      • Editorial Board
      • Aims and Scope
      • Abstracting and Indexing
      • Bibliographic Information
      • Archive
    • Molecular and Clinical Oncology
      • Molecular and Clinical Oncology
      • Information for Authors
      • Editorial Policies
      • Editorial Board
      • Aims and Scope
      • Abstracting and Indexing
      • Bibliographic Information
      • Archive
    • Experimental and Therapeutic Medicine
      • Experimental and Therapeutic Medicine
      • Information for Authors
      • Editorial Policies
      • Editorial Board
      • Aims and Scope
      • Abstracting and Indexing
      • Bibliographic Information
      • Archive
    • International Journal of Molecular Medicine
      • International Journal of Molecular Medicine
      • Information for Authors
      • Editorial Policies
      • Editorial Board
      • Aims and Scope
      • Abstracting and Indexing
      • Bibliographic Information
      • Archive
    • Biomedical Reports
      • Biomedical Reports
      • Information for Authors
      • Editorial Policies
      • Editorial Board
      • Aims and Scope
      • Abstracting and Indexing
      • Bibliographic Information
      • Archive
    • Oncology Reports
      • Oncology Reports
      • Information for Authors
      • Editorial Policies
      • Editorial Board
      • Aims and Scope
      • Abstracting and Indexing
      • Bibliographic Information
      • Archive
    • Molecular Medicine Reports
      • Molecular Medicine Reports
      • Information for Authors
      • Editorial Policies
      • Editorial Board
      • Aims and Scope
      • Abstracting and Indexing
      • Bibliographic Information
      • Archive
    • World Academy of Sciences Journal
      • World Academy of Sciences Journal
      • Information for Authors
      • Editorial Policies
      • Editorial Board
      • Aims and Scope
      • Abstracting and Indexing
      • Bibliographic Information
      • Archive
    • International Journal of Functional Nutrition
      • International Journal of Functional Nutrition
      • Information for Authors
      • Editorial Policies
      • Editorial Board
      • Aims and Scope
      • Abstracting and Indexing
      • Bibliographic Information
      • Archive
    • International Journal of Epigenetics
      • International Journal of Epigenetics
      • Information for Authors
      • Editorial Policies
      • Editorial Board
      • Aims and Scope
      • Abstracting and Indexing
      • Bibliographic Information
      • Archive
    • Medicine International
      • Medicine International
      • Information for Authors
      • Editorial Policies
      • Editorial Board
      • Aims and Scope
      • Abstracting and Indexing
      • Bibliographic Information
      • Archive
  • Articles
  • Information
    • Information for Authors
    • Information for Reviewers
    • Information for Librarians
    • Information for Advertisers
    • Conferences
  • Language Editing
Spandidos Publications Logo
  • About
    • About Spandidos
    • Aims and Scopes
    • Abstracting and Indexing
    • Editorial Policies
    • Reprints and Permissions
    • Job Opportunities
    • Terms and Conditions
    • Contact
  • Journals
    • All Journals
    • Biomedical Reports
      • Information for Authors
      • Editorial Policies
      • Editorial Board
      • Aims and Scope
      • Abstracting and Indexing
      • Bibliographic Information
      • Archive
    • Experimental and Therapeutic Medicine
      • Information for Authors
      • Editorial Policies
      • Editorial Board
      • Aims and Scope
      • Abstracting and Indexing
      • Bibliographic Information
      • Archive
    • International Journal of Epigenetics
      • Information for Authors
      • Editorial Policies
      • Editorial Board
      • Aims and Scope
      • Abstracting and Indexing
      • Bibliographic Information
      • Archive
    • International Journal of Functional Nutrition
      • Information for Authors
      • Editorial Policies
      • Editorial Board
      • Aims and Scope
      • Abstracting and Indexing
      • Bibliographic Information
      • Archive
    • International Journal of Molecular Medicine
      • Information for Authors
      • Editorial Policies
      • Editorial Board
      • Aims and Scope
      • Abstracting and Indexing
      • Bibliographic Information
      • Archive
    • International Journal of Oncology
      • Information for Authors
      • Editorial Policies
      • Editorial Board
      • Aims and Scope
      • Abstracting and Indexing
      • Bibliographic Information
      • Archive
    • Medicine International
      • Information for Authors
      • Editorial Policies
      • Editorial Board
      • Aims and Scope
      • Abstracting and Indexing
      • Bibliographic Information
      • Archive
    • Molecular and Clinical Oncology
      • Information for Authors
      • Editorial Policies
      • Editorial Board
      • Aims and Scope
      • Abstracting and Indexing
      • Bibliographic Information
      • Archive
    • Molecular Medicine Reports
      • Information for Authors
      • Editorial Policies
      • Editorial Board
      • Aims and Scope
      • Abstracting and Indexing
      • Bibliographic Information
      • Archive
    • Oncology Letters
      • Information for Authors
      • Editorial Policies
      • Editorial Board
      • Aims and Scope
      • Abstracting and Indexing
      • Bibliographic Information
      • Archive
    • Oncology Reports
      • Information for Authors
      • Editorial Policies
      • Editorial Board
      • Aims and Scope
      • Abstracting and Indexing
      • Bibliographic Information
      • Archive
    • World Academy of Sciences Journal
      • Information for Authors
      • Editorial Policies
      • Editorial Board
      • Aims and Scope
      • Abstracting and Indexing
      • Bibliographic Information
      • Archive
  • Articles
  • Information
    • For Authors
    • For Reviewers
    • For Librarians
    • For Advertisers
    • Conferences
  • Language Editing
Login Register Submit
  • This site uses cookies
  • You can change your cookie settings at any time by following the instructions in our Cookie Policy. To find out more, you may read our Privacy Policy.

    I agree
Search articles by DOI, keyword, author or affiliation
Search
Advanced Search
presentation
Oncology Reports
Join Editorial Board Propose a Special Issue
Print ISSN: 1021-335X Online ISSN: 1791-2431
Journal Cover
May-2018 Volume 39 Issue 5

Full Size Image

Sign up for eToc alerts
Recommend to Library

Journals

International Journal of Molecular Medicine

International Journal of Molecular Medicine

International Journal of Molecular Medicine is an international journal devoted to molecular mechanisms of human disease.

International Journal of Oncology

International Journal of Oncology

International Journal of Oncology is an international journal devoted to oncology research and cancer treatment.

Molecular Medicine Reports

Molecular Medicine Reports

Covers molecular medicine topics such as pharmacology, pathology, genetics, neuroscience, infectious diseases, molecular cardiology, and molecular surgery.

Oncology Reports

Oncology Reports

Oncology Reports is an international journal devoted to fundamental and applied research in Oncology.

Experimental and Therapeutic Medicine

Experimental and Therapeutic Medicine

Experimental and Therapeutic Medicine is an international journal devoted to laboratory and clinical medicine.

Oncology Letters

Oncology Letters

Oncology Letters is an international journal devoted to Experimental and Clinical Oncology.

Biomedical Reports

Biomedical Reports

Explores a wide range of biological and medical fields, including pharmacology, genetics, microbiology, neuroscience, and molecular cardiology.

Molecular and Clinical Oncology

Molecular and Clinical Oncology

International journal addressing all aspects of oncology research, from tumorigenesis and oncogenes to chemotherapy and metastasis.

World Academy of Sciences Journal

World Academy of Sciences Journal

Multidisciplinary open-access journal spanning biochemistry, genetics, neuroscience, environmental health, and synthetic biology.

International Journal of Functional Nutrition

International Journal of Functional Nutrition

Open-access journal combining biochemistry, pharmacology, immunology, and genetics to advance health through functional nutrition.

International Journal of Epigenetics

International Journal of Epigenetics

Publishes open-access research on using epigenetics to advance understanding and treatment of human disease.

Medicine International

Medicine International

An International Open Access Journal Devoted to General Medicine.

Journal Cover
May-2018 Volume 39 Issue 5

Full Size Image

Sign up for eToc alerts
Recommend to Library

  • Article
  • Citations
    • Cite This Article
    • Download Citation
    • Create Citation Alert
    • Remove Citation Alert
    • Cited By
  • Similar Articles
    • Related Articles (in Spandidos Publications)
    • Similar Articles (Google Scholar)
    • Similar Articles (PubMed)
  • Download PDF
  • Download XML
  • View XML
Article

Vandetanib has antineoplastic activity in anaplastic thyroid cancer, in vitro and in vivo

  • Authors:
    • Silvia Martina Ferrari
    • Guido Bocci
    • Teresa Di Desidero
    • Ilaria Ruffilli
    • Giusy Elia
    • Francesca Ragusa
    • Anna Fioravanti
    • Paola Orlandi
    • Sabrina Rosaria Paparo
    • Armando  Patrizio
    • Simona Piaggi
    • Concettina La Motta
    • Salvatore Ulisse
    • Enke Baldini
    • Gabriele Materazzi
    • Paolo Miccoli
    • Alessandro Antonelli
    • Poupak Fallahi
  • View Affiliations / Copyright

    Affiliations: Department of Clinical and Experimental Medicine, School of Medicine, University of Pisa, Ι‑56126 Pisa, Italy, Department of Translational Research and of New Technologies in Medicine and Surgery, University of Pisa, I‑56126 Pisa, Italy, Department of Pharmacy, University of Pisa, I‑56126 Pisa, Italy, Department of Surgical Sciences, ‘Sapienza’ University of Rome, I‑00161 Rome, Italy, Department of Surgical, Medical, Molecular Pathology and Critical Area, University of Pisa, I‑56124 Pisa, Italy
  • Pages: 2306-2314
    |
    Published online on: March 8, 2018
       https://doi.org/10.3892/or.2018.6305
  • Expand metrics +
Metrics: Total Views: 0 (Spandidos Publications: | PMC Statistics: )
Metrics: Total PDF Downloads: 0 (Spandidos Publications: | PMC Statistics: )
Cited By (CrossRef): 0 citations Loading Articles...

This article is mentioned in:



Abstract

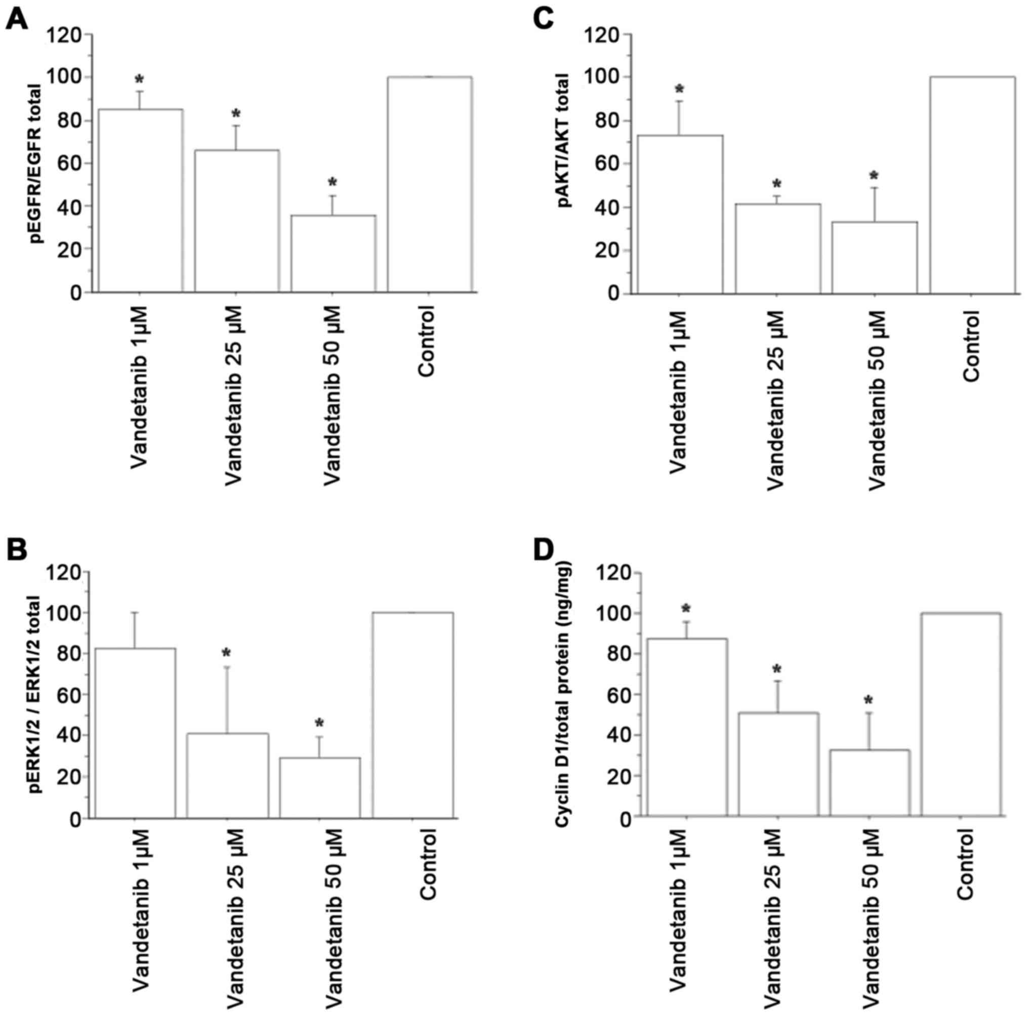
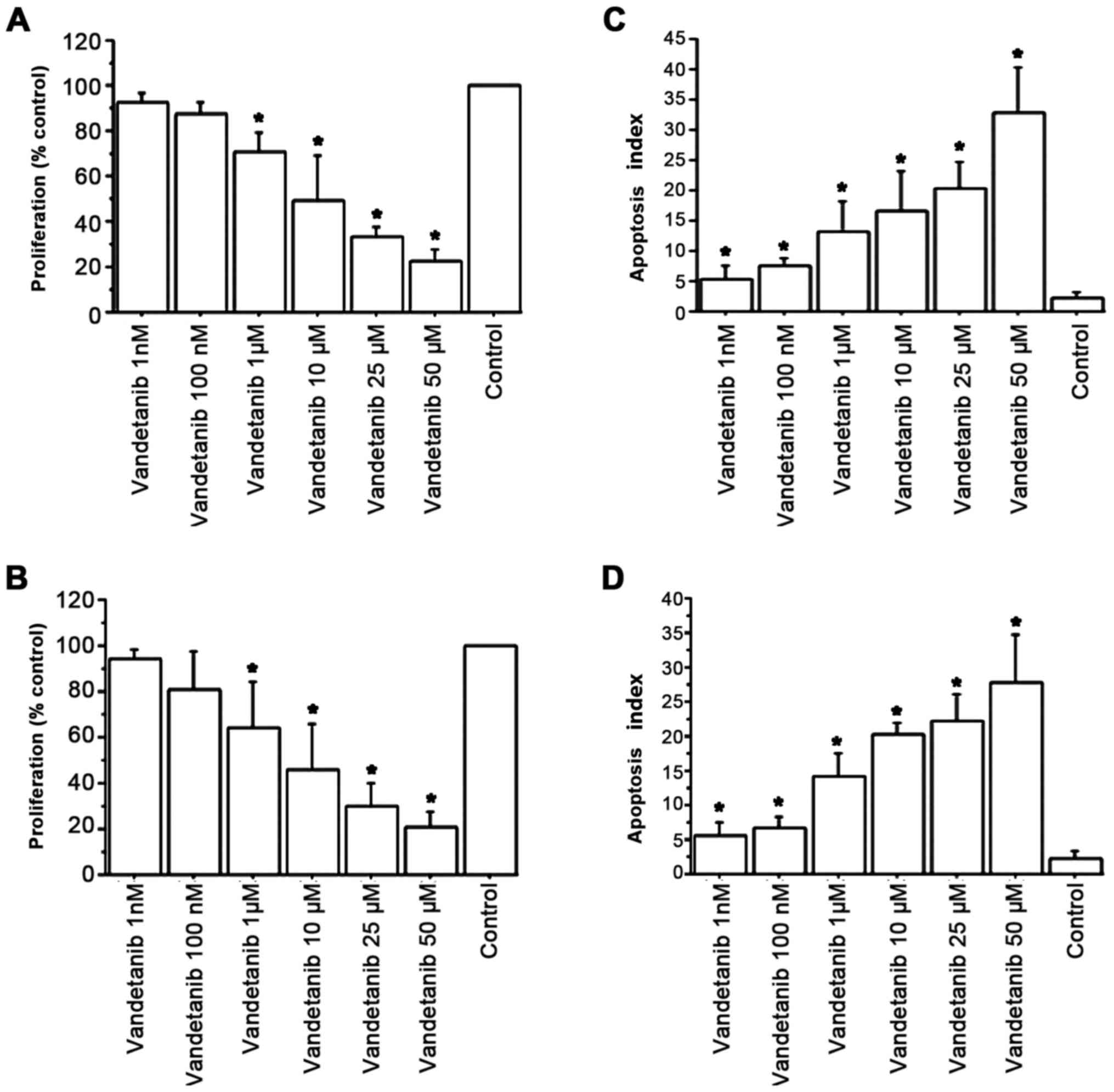
The antitumor activity of vandetanib [a multiple signal transduction inhibitor including the RET tyrosine kinase, epidermal growth factor receptor (EGFR), vascular endothelial growth factor (VEGF) receptor (VEGFR), ERK and with antiangiogenic activity], in primary anaplastic thyroid cancer (ATC) cells, in the human cell line 8305C [undifferentiated thyroid cancer (TC)] and in an ATC‑cell line (AF), was investigated in the present study. Vandetanib (1 and 100 nM; 1, 10, 25 and 50 µM) was tested by WST‑1, apoptosis, migration and invasion assays: in primary ATC cells, in the 8305C continuous cell line, and in AF cells; and in 8305C cells in CD nu/nu mice. Vandetanib significantly reduced ATC cell proliferation (P<0.01, ANOVA), induced apoptosis dose‑dependently (P<0.001, ANOVA), and inhibited migration (P<0.01) and invasion (P<0.001). Furthermore, vandetanib inhibited EGFR, AKT and ERK1/2 phosphorylation and downregulated cyclin D1 in ATC cells. In 8305C and AF cells, vandetanib significantly inhibited the proliferation, inducing also apoptosis. 8305C cells were injected subcutaneously in CD nu/nu mice and tumor masses became detectable after 30 days. Vandetanib (25 mg/kg/day) significantly inhibited tumor growth and VEGF‑A expression and microvessel density in 8305C tumor tissues. In conclusion, the antitumor and antiangiogenic activity of vandetanib is very auspicious in ATC, opening the way to a future clinical evaluation.
View Figures

Figure 1

Figure 2

Figure 3

Figure 4

Figure 5

Figure 6

View References

1 

Hundahl SA, Fleming ID, Fremgen AM and Menck HR: A National Cancer Data Base report on 53,856 cases of thyroid carcinoma treated in the U.S., 1985–1995 [see comments]. Cancer. 83:2638–2648. 1998. View Article : Google Scholar : PubMed/NCBI

2 

Kitamura Y, Shimizu K, Nagahama M, Sugino K, Ozaki O, Mimura T, Ito K, Ito K and Tanaka S: Immediate causes of death in thyroid carcinoma: Clinicopathological analysis of 161 fatal cases. J Clin Endocrinol Metab. 84:4043–4049. 1999. View Article : Google Scholar : PubMed/NCBI

3 

Greene FL, Page DL, Fleming ID, Fritz AG, Balch CM, Haller DG and Morrow M: ThyroidAmerican Joint Committee on Cancer: AJCC Cancer Staging Manual. 6th. Springer-Verlag; New York, NY: pp. 772002

4 

Miccoli P, Materazzi G, Antonelli A, Panicucci E, Frustaci G and Berti P: New trends in the treatment of undifferentiated carcinomas of the thyroid. Langenbecks Arch Surg. 392:397–404. 2007. View Article : Google Scholar : PubMed/NCBI

5 

Kebebew E: Anaplastic thyroid cancer: Rare, fatal, and neglected. Surgery. 152:1088–1089. 2012. View Article : Google Scholar : PubMed/NCBI

6 

De Crevoisier R, Baudin E, Bachelot A, Leboulleux S, Travagli JP, Caillou B and Schlumberger M: Combined treatment of anaplastic thyroid carcinoma with surgery, chemotherapy, and hyperfractionated accelerated external radiotherapy. Int J Radiat Oncol Biol Phys. 60:1137–1143. 2004. View Article : Google Scholar : PubMed/NCBI

7 

Smallridge RC, Ain KB, Asa SL, Bible KC, Brierley JD, Burman KD, Kebebew E, Lee NY, Nikiforov YE, Rosenthal MS, et al: American Thyroid Association Anaplastic Thyroid Cancer Guidelines Taskforce: American Thyroid Association guidelines for management of patients with anaplastic thyroid cancer. Thyroid. 22:1104–1139. 2012. View Article : Google Scholar : PubMed/NCBI

8 

Antonelli A, Fallahi P, Ferrari SM, Ruffilli I, Santini F, Minuto M, Galleri D and Miccoli P: New targeted therapies for thyroid cancer. Curr Genomics. 12:626–631. 2011. View Article : Google Scholar : PubMed/NCBI

9 

Jasim S, Ozsari L and Habra MA: Multikinase inhibitors use in differentiated thyroid carcinoma. Biologics. 8:281–291. 2014.PubMed/NCBI

10 

Johanson V, Ahlman H, Bernhardt P, Jansson S, Kölby L, Persson F, Stenman G, Swärd C, Wängberg B, Stridsberg M, et al: A transplantable human medullary thyroid carcinoma as a model for RET tyrosine kinase-driven tumorigenesis. Endocr Relat Cancer. 14:433–444. 2007. View Article : Google Scholar : PubMed/NCBI

11 

Wells SA Jr, Robinson BG, Gagel RF, Dralle H, Fagin JA, Santoro M, Baudin E, Elisei R, Jarzab B, Vasselli JR, et al: Vandetanib in patients with locally advanced or metastatic medullary thyroid cancer: A randomized, double-blind phase III trial. J Clin Oncol. 30:134–141. 2012. View Article : Google Scholar : PubMed/NCBI

12 

Cooper MR, Yi SY, Alghamdi W, Shaheen DJ and Steinberg M: Vandetanib for the treatment of medullary thyroid carcinoma. Ann Pharmacother. 48:387–394. 2014. View Article : Google Scholar : PubMed/NCBI

13 

Leboulleux S, Bastholt L, Krause T, de la Fouchardiere C, Tennvall J, Awada A, Gómez JM, Bonichon F, Leenhardt L, Soufflet C, et al: Vandetanib in locally advanced or metastatic differentiated thyroid cancer: A randomised, double-blind, phase 2 trial. Lancet Oncol. 13:897–905. 2012. View Article : Google Scholar : PubMed/NCBI

14 

AstraZeneca, . Evaluation of Efficacy, Safety of Vandetanib in Patients With Differentiated Thyroid Cancer (VERIFY) [ClinicalTrials.gov Identifier: NCT01876784]. 2016.Available from. https://www.clinicaltrials.gov/ct2/show/NCT01876784Last Update Posted: September 6, 2017.

15 

Antonelli A, Ferrari SM, Fallahi P, Berti P, Materazzi G, Barani L, Marchetti I, Ferrannini E and Miccoli P: Primary cell cultures from anaplastic thyroid cancer obtained by fine-needle aspiration used for chemosensitivity tests. Clin Endocrinol (Oxf). 69:148–152. 2008. View Article : Google Scholar : PubMed/NCBI

16 

Antonelli A, Ferrari SM, Fallahi P, Berti P, Materazzi G, Marchetti I, Ugolini C, Basolo F, Miccoli P and Ferrannini E: Evaluation of the sensitivity to chemotherapeutics or thiazolidinediones of primary anaplastic thyroid cancer cells obtained by fine-needle aspiration. Eur J Endocrinol. 159:283–291. 2008. View Article : Google Scholar : PubMed/NCBI

17 

Antonelli A, Ferrari SM, Fallahi P, Berti P, Materazzi G, Minuto M, Giannini R, Marchetti I, Barani L, Basolo F, et al: Thiazolidinediones and antiblastics in primary human anaplastic thyroid cancer cells. Clin Endocrinol (Oxf). 70:946–953. 2009. View Article : Google Scholar : PubMed/NCBI

18 

Fiore L, Pollina LE, Fontanini G, Casalone R, Berlingieri MT, Giannini R, Pacini F, Miccoli P, Toniolo A, Fusco A, et al: Cytokine production by a new undifferentiated human thyroid carcinoma cell line, FB-1. J Clin Endocrinol Metab. 82:4094–4100. 1997. View Article : Google Scholar : PubMed/NCBI

19 

Agretti P, De Marco G, De Servi M, Marcocci C, Vitti P, Pinchera A and Tonacchera M: Evidence for protein and mRNA TSHr expression in fibroblasts from patients with thyroid-associated ophthalmopathy (TAO) after adipocytic differentiation. Eur J Endocrinol. 152:777–784. 2005. View Article : Google Scholar : PubMed/NCBI

20 

Copland JA, Marlow LA, Williams SF, Grebe SK, Gumz ML, Maples WJ, Silverman VE and Smallridge RC: Molecular diagnosis of a BRAF papillary thyroid carcinoma with multiple chromosome abnormalities and rare adrenal and hypothalamic metastases. Thyroid. 16:1293–1302. 2006. View Article : Google Scholar : PubMed/NCBI

21 

Christensen L, Blichert-Toft M, Brandt M, Lange M, Sneppen SB, Ravnsbaek J, Mollerup CL, Strange L, Jensen F, Kirkegaard J, et al: Thyroperoxidase (TPO) immunostaining of the solitary cold thyroid nodule. Clin Endocrinol (Oxf). 53:161–169. 2000. View Article : Google Scholar : PubMed/NCBI

22 

Antonelli A, Ferrari SM, Fallahi P, Frascerra S, Piaggi S, Gelmini S, Lupi C, Minuto M, Berti P, Benvenga S, et al: Dysregulation of secretion of CXC alpha-chemokine CXCL10 in papillary thyroid cancer: Modulation by peroxisome proliferator-activated receptor-gamma agonists. Endocr Relat Cancer. 16:1299–1311. 2009. View Article : Google Scholar : PubMed/NCBI

23 

Antonelli A, Bocci G, La Motta C, Ferrari SM, Fallahi P, Fioravanti A, Sartini S, Minuto M, Piaggi S, Corti A, et al: Novel pyrazolopyrimidine derivatives as tyrosine kinase inhibitors with antitumoral activity in vitro and in vivo in papillary dedifferentiated thyroid cancer. J Clin Endocrinol Metab. 96:E288–E296. 2011. View Article : Google Scholar : PubMed/NCBI

24 

Antonelli A, Bocci G, La Motta C, Ferrari SM, Fallahi P, Ruffilli I, Di Domenicantonio A, Fioravanti A, Sartini S, Minuto M, et al: CLM94, a novel cyclic amide with anti-VEGFR-2 and antiangiogenic properties, is active against primary anaplastic thyroid cancer in vitro and in vivo. J Clin Endocrinol Metab. 97:E528–E536. 2012. View Article : Google Scholar : PubMed/NCBI

25 

Bocci G, Fioravanti A, La Motta C, Orlandi P, Canu B, Di Desidero T, Mugnaini L, Sartini S, Cosconati S, Frati R, et al: Antiproliferative and proapoptotic activity of CLM3, a novel multiple tyrosine kinase inhibitor, alone and in combination with SN-38 on endothelial and cancer cells. Biochem Pharmacol. 81:1309–1316. 2011. View Article : Google Scholar : PubMed/NCBI

26 

Antonelli A, Fallahi P, Ulisse S, Ferrari SM, Minuto M, Saraceno G, Santini F, Mazzi V, D'Armiento M and Miccoli P: New targeted therapies for anaplastic thyroid cancer. Anticancer Agents Med Chem. 12:87–93. 2012. View Article : Google Scholar : PubMed/NCBI

27 

Gule MK, Chen Y, Sano D, Frederick MJ, Zhou G, Zhao M, Milas ZL, Galer CE, Henderson YC, Jasser SA, et al: Targeted therapy of VEGFR2 and EGFR significantly inhibits growth of anaplastic thyroid cancer in an orthotopic murine model. Clin Cancer Res. 17:2281–2291. 2011. View Article : Google Scholar : PubMed/NCBI

28 

La Motta C, Mugnaini L, Sartini S, Da Settimo F, Bocci G, Fioravanti A, Del Tacca M and Martini C: 2007 Derivati a nucleo pirazolo (3,4-d) pirimidinico quali inibitori di proteina tirosina chinasi. RM2007A000480 del 14/9/2007.

29 

Liu Z, Hou P, Ji M, Guan H, Studeman K, Jensen K, Vasko V, El-Naggar AK and Xing M: Highly prevalent genetic alterations in receptor tyrosine kinases and phosphatidylinositol 3-kinase/akt and mitogen-activated protein kinase pathways in anaplastic and follicular thyroid cancers. J Clin Endocrinol Metab. 93:3106–3116. 2008. View Article : Google Scholar : PubMed/NCBI

30 

Shinohara M, Chung YJ, Saji M and Ringel MD: AKT in thyroid tumorigenesis and progression. Endocrinology. 148:942–947. 2007. View Article : Google Scholar : PubMed/NCBI

31 

Santarpia L, El-Naggar AK, Cote GJ, Myers JN and Sherman SI: Phosphatidylinositol 3-kinase/akt and ras/raf-mitogen-activated protein kinase pathway mutations in anaplastic thyroid cancer. J Clin Endocrinol Metab. 93:278–284. 2008. View Article : Google Scholar : PubMed/NCBI

32 

Di Desidero T, Fioravanti A, Orlandi P, Canu B, Giannini R, Borrelli N, Man S, Xu P, Fontanini G, Basolo F, et al: Antiproliferative and proapoptotic activity of sunitinib on endothelial and anaplastic thyroid cancer cells via inhibition of Akt and ERK1/2 phosphorylation and by down-regulation of cyclin-D1. J Clin Endocrinol Metab. 98:E1465–E1473. 2013. View Article : Google Scholar : PubMed/NCBI

33 

Antonelli A, Bocci G, Fallahi P, La Motta C, Ferrari SM, Mancusi C, Fioravanti A, Di Desidero T, Sartini S, Corti A, et al: CLM3, a multitarget tyrosine kinase inhibitor with antiangiogenic properties, is active against primary anaplastic thyroid cancer in vitro and in vivo. J Clin Endocrinol Metab. 99:E572–E581. 2014. View Article : Google Scholar : PubMed/NCBI

34 

Klein EA and Assoian RK: Transcriptional regulation of the cyclin D1 gene at a glance. J Cell Sci. 121:3853–3857. 2008. View Article : Google Scholar : PubMed/NCBI

35 

Lee JJ, Au AY, Foukakis T, Barbaro M, Kiss N, Clifton-Bligh R, Staaf J, Borg A, Delbridge L, Robinson BG, et al: Array-CGH identifies cyclin D1 and UBCH10 amplicons in anaplastic thyroid carcinoma. Endocr Relat Cancer. 15:801–815. 2008. View Article : Google Scholar : PubMed/NCBI

36 

Wiseman SM, Masoudi H, Niblock P, Turbin D, Rajput A, Hay J, Bugis S, Filipenko D, Huntsman D and Gilks B: Anaplastic thyroid carcinoma: Expression profile of targets for therapy offers new insights for disease treatment. Ann Surg Oncol. 14:719–729. 2007. View Article : Google Scholar : PubMed/NCBI

37 

Sarkar S, Mazumdar A, Dash R, Sarkar D, Fisher PB and Mandal M: ZD6474, a dual tyrosine kinase inhibitor of EGFR and VEGFR-2, inhibits MAPK/ERK and AKT/PI3-K and induces apoptosis in breast cancer cells. Cancer Biol Ther. 9:592–603. 2010. View Article : Google Scholar : PubMed/NCBI

38 

Ye L, Santarpia L and Gagel RF: The evolving field of tyrosine kinase inhibitors in the treatment of endocrine tumors. Endocr Rev. 31:578–599. 2010. View Article : Google Scholar : PubMed/NCBI

39 

Blumenthal RD and Goldenberg DM: Methods and goals for the use of in vitro and in vivo chemosensitivity testing. Mol Biotechnol. 35:185–197. 2007. View Article : Google Scholar : PubMed/NCBI

40 

Antonelli A, Ferri C, Ferrari SM, Sebastiani M, Colaci M, Ruffilli I and Fallahi P: New targeted molecular therapies for dedifferentiated thyroid cancer. J Oncol. 2010:9216822010. View Article : Google Scholar : PubMed/NCBI

Related Articles

  • Abstract
  • View
  • Download
  • Twitter
Copy and paste a formatted citation
Spandidos Publications style
Ferrari SM, Bocci G, Di Desidero T, Ruffilli I, Elia G, Ragusa F, Fioravanti A, Orlandi P, Paparo SR, Patrizio A, Patrizio A, et al: Vandetanib has antineoplastic activity in anaplastic thyroid cancer, in vitro and in vivo. Oncol Rep 39: 2306-2314, 2018.
APA
Ferrari, S.M., Bocci, G., Di Desidero, T., Ruffilli, I., Elia, G., Ragusa, F. ... Fallahi, P. (2018). Vandetanib has antineoplastic activity in anaplastic thyroid cancer, in vitro and in vivo. Oncology Reports, 39, 2306-2314. https://doi.org/10.3892/or.2018.6305
MLA
Ferrari, S. M., Bocci, G., Di Desidero, T., Ruffilli, I., Elia, G., Ragusa, F., Fioravanti, A., Orlandi, P., Paparo, S. R., Patrizio, A., Piaggi, S., La Motta, C., Ulisse, S., Baldini, E., Materazzi, G., Miccoli, P., Antonelli, A., Fallahi, P."Vandetanib has antineoplastic activity in anaplastic thyroid cancer, in vitro and in vivo". Oncology Reports 39.5 (2018): 2306-2314.
Chicago
Ferrari, S. M., Bocci, G., Di Desidero, T., Ruffilli, I., Elia, G., Ragusa, F., Fioravanti, A., Orlandi, P., Paparo, S. R., Patrizio, A., Piaggi, S., La Motta, C., Ulisse, S., Baldini, E., Materazzi, G., Miccoli, P., Antonelli, A., Fallahi, P."Vandetanib has antineoplastic activity in anaplastic thyroid cancer, in vitro and in vivo". Oncology Reports 39, no. 5 (2018): 2306-2314. https://doi.org/10.3892/or.2018.6305
Copy and paste a formatted citation
x
Spandidos Publications style
Ferrari SM, Bocci G, Di Desidero T, Ruffilli I, Elia G, Ragusa F, Fioravanti A, Orlandi P, Paparo SR, Patrizio A, Patrizio A, et al: Vandetanib has antineoplastic activity in anaplastic thyroid cancer, in vitro and in vivo. Oncol Rep 39: 2306-2314, 2018.
APA
Ferrari, S.M., Bocci, G., Di Desidero, T., Ruffilli, I., Elia, G., Ragusa, F. ... Fallahi, P. (2018). Vandetanib has antineoplastic activity in anaplastic thyroid cancer, in vitro and in vivo. Oncology Reports, 39, 2306-2314. https://doi.org/10.3892/or.2018.6305
MLA
Ferrari, S. M., Bocci, G., Di Desidero, T., Ruffilli, I., Elia, G., Ragusa, F., Fioravanti, A., Orlandi, P., Paparo, S. R., Patrizio, A., Piaggi, S., La Motta, C., Ulisse, S., Baldini, E., Materazzi, G., Miccoli, P., Antonelli, A., Fallahi, P."Vandetanib has antineoplastic activity in anaplastic thyroid cancer, in vitro and in vivo". Oncology Reports 39.5 (2018): 2306-2314.
Chicago
Ferrari, S. M., Bocci, G., Di Desidero, T., Ruffilli, I., Elia, G., Ragusa, F., Fioravanti, A., Orlandi, P., Paparo, S. R., Patrizio, A., Piaggi, S., La Motta, C., Ulisse, S., Baldini, E., Materazzi, G., Miccoli, P., Antonelli, A., Fallahi, P."Vandetanib has antineoplastic activity in anaplastic thyroid cancer, in vitro and in vivo". Oncology Reports 39, no. 5 (2018): 2306-2314. https://doi.org/10.3892/or.2018.6305
Follow us
  • Twitter
  • LinkedIn
  • Facebook
About
  • Spandidos Publications
  • Careers
  • Cookie Policy
  • Privacy Policy
How can we help?
  • Help
  • Live Chat
  • Contact
  • Email to our Support Team