Spandidos Publications Logo
  • About
    • About Spandidos
    • Aims and Scopes
    • Abstracting and Indexing
    • Editorial Policies
    • Reprints and Permissions
    • Job Opportunities
    • Terms and Conditions
    • Contact
  • Journals
    • All Journals
    • Oncology Letters
      • Oncology Letters
      • Information for Authors
      • Editorial Policies
      • Editorial Board
      • Aims and Scope
      • Abstracting and Indexing
      • Bibliographic Information
      • Archive
    • International Journal of Oncology
      • International Journal of Oncology
      • Information for Authors
      • Editorial Policies
      • Editorial Board
      • Aims and Scope
      • Abstracting and Indexing
      • Bibliographic Information
      • Archive
    • Molecular and Clinical Oncology
      • Molecular and Clinical Oncology
      • Information for Authors
      • Editorial Policies
      • Editorial Board
      • Aims and Scope
      • Abstracting and Indexing
      • Bibliographic Information
      • Archive
    • Experimental and Therapeutic Medicine
      • Experimental and Therapeutic Medicine
      • Information for Authors
      • Editorial Policies
      • Editorial Board
      • Aims and Scope
      • Abstracting and Indexing
      • Bibliographic Information
      • Archive
    • International Journal of Molecular Medicine
      • International Journal of Molecular Medicine
      • Information for Authors
      • Editorial Policies
      • Editorial Board
      • Aims and Scope
      • Abstracting and Indexing
      • Bibliographic Information
      • Archive
    • Biomedical Reports
      • Biomedical Reports
      • Information for Authors
      • Editorial Policies
      • Editorial Board
      • Aims and Scope
      • Abstracting and Indexing
      • Bibliographic Information
      • Archive
    • Oncology Reports
      • Oncology Reports
      • Information for Authors
      • Editorial Policies
      • Editorial Board
      • Aims and Scope
      • Abstracting and Indexing
      • Bibliographic Information
      • Archive
    • Molecular Medicine Reports
      • Molecular Medicine Reports
      • Information for Authors
      • Editorial Policies
      • Editorial Board
      • Aims and Scope
      • Abstracting and Indexing
      • Bibliographic Information
      • Archive
    • World Academy of Sciences Journal
      • World Academy of Sciences Journal
      • Information for Authors
      • Editorial Policies
      • Editorial Board
      • Aims and Scope
      • Abstracting and Indexing
      • Bibliographic Information
      • Archive
    • International Journal of Functional Nutrition
      • International Journal of Functional Nutrition
      • Information for Authors
      • Editorial Policies
      • Editorial Board
      • Aims and Scope
      • Abstracting and Indexing
      • Bibliographic Information
      • Archive
    • International Journal of Epigenetics
      • International Journal of Epigenetics
      • Information for Authors
      • Editorial Policies
      • Editorial Board
      • Aims and Scope
      • Abstracting and Indexing
      • Bibliographic Information
      • Archive
    • Medicine International
      • Medicine International
      • Information for Authors
      • Editorial Policies
      • Editorial Board
      • Aims and Scope
      • Abstracting and Indexing
      • Bibliographic Information
      • Archive
  • Articles
  • Information
    • Information for Authors
    • Information for Reviewers
    • Information for Librarians
    • Information for Advertisers
    • Conferences
  • Language Editing
Spandidos Publications Logo
  • About
    • About Spandidos
    • Aims and Scopes
    • Abstracting and Indexing
    • Editorial Policies
    • Reprints and Permissions
    • Job Opportunities
    • Terms and Conditions
    • Contact
  • Journals
    • All Journals
    • Biomedical Reports
      • Information for Authors
      • Editorial Policies
      • Editorial Board
      • Aims and Scope
      • Abstracting and Indexing
      • Bibliographic Information
      • Archive
    • Experimental and Therapeutic Medicine
      • Information for Authors
      • Editorial Policies
      • Editorial Board
      • Aims and Scope
      • Abstracting and Indexing
      • Bibliographic Information
      • Archive
    • International Journal of Epigenetics
      • Information for Authors
      • Editorial Policies
      • Editorial Board
      • Aims and Scope
      • Abstracting and Indexing
      • Bibliographic Information
      • Archive
    • International Journal of Functional Nutrition
      • Information for Authors
      • Editorial Policies
      • Editorial Board
      • Aims and Scope
      • Abstracting and Indexing
      • Bibliographic Information
      • Archive
    • International Journal of Molecular Medicine
      • Information for Authors
      • Editorial Policies
      • Editorial Board
      • Aims and Scope
      • Abstracting and Indexing
      • Bibliographic Information
      • Archive
    • International Journal of Oncology
      • Information for Authors
      • Editorial Policies
      • Editorial Board
      • Aims and Scope
      • Abstracting and Indexing
      • Bibliographic Information
      • Archive
    • Medicine International
      • Information for Authors
      • Editorial Policies
      • Editorial Board
      • Aims and Scope
      • Abstracting and Indexing
      • Bibliographic Information
      • Archive
    • Molecular and Clinical Oncology
      • Information for Authors
      • Editorial Policies
      • Editorial Board
      • Aims and Scope
      • Abstracting and Indexing
      • Bibliographic Information
      • Archive
    • Molecular Medicine Reports
      • Information for Authors
      • Editorial Policies
      • Editorial Board
      • Aims and Scope
      • Abstracting and Indexing
      • Bibliographic Information
      • Archive
    • Oncology Letters
      • Information for Authors
      • Editorial Policies
      • Editorial Board
      • Aims and Scope
      • Abstracting and Indexing
      • Bibliographic Information
      • Archive
    • Oncology Reports
      • Information for Authors
      • Editorial Policies
      • Editorial Board
      • Aims and Scope
      • Abstracting and Indexing
      • Bibliographic Information
      • Archive
    • World Academy of Sciences Journal
      • Information for Authors
      • Editorial Policies
      • Editorial Board
      • Aims and Scope
      • Abstracting and Indexing
      • Bibliographic Information
      • Archive
  • Articles
  • Information
    • For Authors
    • For Reviewers
    • For Librarians
    • For Advertisers
    • Conferences
  • Language Editing
Login Register Submit
  • This site uses cookies
  • You can change your cookie settings at any time by following the instructions in our Cookie Policy. To find out more, you may read our Privacy Policy.

    I agree
Search articles by DOI, keyword, author or affiliation
Search
Advanced Search
presentation
Oncology Reports
Join Editorial Board Propose a Special Issue
Print ISSN: 1021-335X Online ISSN: 1791-2431
Journal Cover
November-2019 Volume 42 Issue 5

Full Size Image

Sign up for eToc alerts
Recommend to Library

Journals

International Journal of Molecular Medicine

International Journal of Molecular Medicine

International Journal of Molecular Medicine is an international journal devoted to molecular mechanisms of human disease.

International Journal of Oncology

International Journal of Oncology

International Journal of Oncology is an international journal devoted to oncology research and cancer treatment.

Molecular Medicine Reports

Molecular Medicine Reports

Covers molecular medicine topics such as pharmacology, pathology, genetics, neuroscience, infectious diseases, molecular cardiology, and molecular surgery.

Oncology Reports

Oncology Reports

Oncology Reports is an international journal devoted to fundamental and applied research in Oncology.

Experimental and Therapeutic Medicine

Experimental and Therapeutic Medicine

Experimental and Therapeutic Medicine is an international journal devoted to laboratory and clinical medicine.

Oncology Letters

Oncology Letters

Oncology Letters is an international journal devoted to Experimental and Clinical Oncology.

Biomedical Reports

Biomedical Reports

Explores a wide range of biological and medical fields, including pharmacology, genetics, microbiology, neuroscience, and molecular cardiology.

Molecular and Clinical Oncology

Molecular and Clinical Oncology

International journal addressing all aspects of oncology research, from tumorigenesis and oncogenes to chemotherapy and metastasis.

World Academy of Sciences Journal

World Academy of Sciences Journal

Multidisciplinary open-access journal spanning biochemistry, genetics, neuroscience, environmental health, and synthetic biology.

International Journal of Functional Nutrition

International Journal of Functional Nutrition

Open-access journal combining biochemistry, pharmacology, immunology, and genetics to advance health through functional nutrition.

International Journal of Epigenetics

International Journal of Epigenetics

Publishes open-access research on using epigenetics to advance understanding and treatment of human disease.

Medicine International

Medicine International

An International Open Access Journal Devoted to General Medicine.

Journal Cover
November-2019 Volume 42 Issue 5

Full Size Image

Sign up for eToc alerts
Recommend to Library

  • Article
  • Citations
    • Cite This Article
    • Download Citation
    • Create Citation Alert
    • Remove Citation Alert
    • Cited By
  • Similar Articles
    • Related Articles (in Spandidos Publications)
    • Similar Articles (Google Scholar)
    • Similar Articles (PubMed)
  • Download PDF
  • Download XML
  • View XML
Article Open Access

Metastatic renal cell carcinoma cells growing in 3D on poly‑D‑lysine or laminin present a stem‑like phenotype and drug resistance

  • Authors:
    • Klaudia K. Brodaczewska
    • Zofia F. Bielecka
    • Kamila Maliszewska‑Olejniczak
    • Cezary Szczylik
    • Camillo Porta
    • Ewa Bartnik
    • Anna M. Czarnecka
  • View Affiliations / Copyright

    Affiliations: Department of Oncology with Laboratory of Molecular Oncology, Military Institute of Medicine, 04‑141 Warsaw, Poland, Department of Internal Medicine and Therapeutics, University of Pavia, I‑27100 Pavia, Italy, Institute of Genetics and Biotechnology, Faculty of Biology, University of Warsaw, Poland
    Copyright: © Brodaczewska et al. This is an open access article distributed under the terms of Creative Commons Attribution License.
  • Pages: 1878-1892
    |
    Published online on: September 18, 2019
       https://doi.org/10.3892/or.2019.7321
  • Expand metrics +
Metrics: Total Views: 0 (Spandidos Publications: | PMC Statistics: )
Metrics: Total PDF Downloads: 0 (Spandidos Publications: | PMC Statistics: )
Cited By (CrossRef): 0 citations Loading Articles...

This article is mentioned in:



Abstract

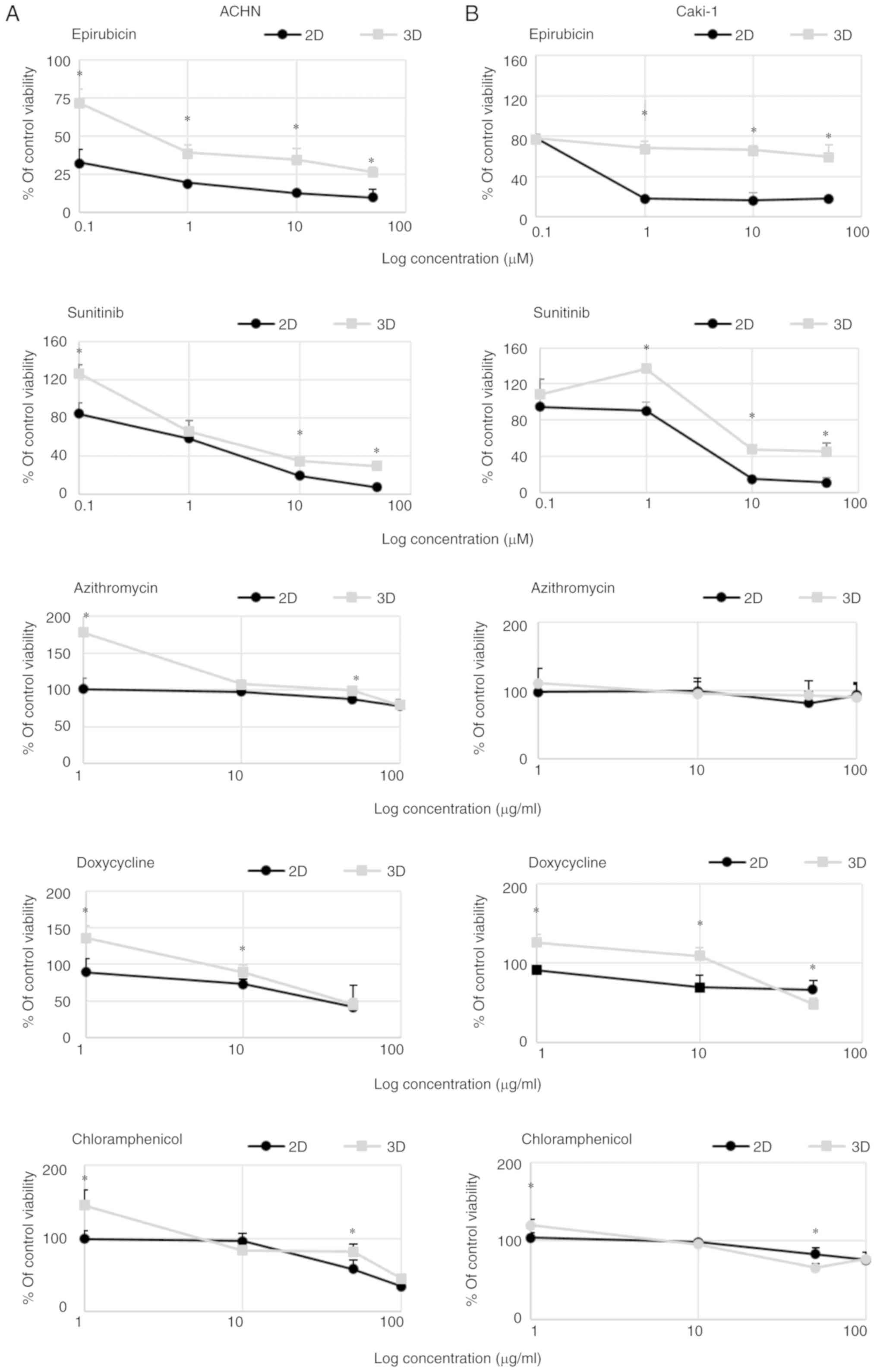
3D spheroids are built by heterogeneous cell types in different proliferative and metabolic states and are enriched in cancer stem cells. The main aim of the study was to investigate the usefulness of a novel metastatic renal cell carcinoma (RCC) 3D spheroid culture for in vitro cancer stem cell physiology research and drug toxicity screening. RCC cell lines, Caki‑1 (skin metastasis derived) and ACHN (pleural effusion derived), were efficiently cultured in growth‑factor/serum deprived, defined, StemXvivo and Nutristem medium on laminin‑coated or poly‑D‑lysine‑coated plates. In optimal 3D culture conditions, ACHN cells (StemXVivo/poly‑D‑lysine) formed small spheroids with remaining adherent cells of an epithelial phenotype, while Caki‑1 cells (StemXVivo/laminin) formed large dark spheroids with significantly reduced cell viability in the center. In the 3D structures, expression levels of genes encoding stem transcription factors (OCT4, SOX2, NES) and RCC stem cell markers (CD105, CD133) were deregulated in comparison to these expression levels in traditional 2D culture. Sunitinib, epirubicin and doxycycline were more toxic to cells cultured in monolayers than for cells in 3D spheroids. High numbers of cells arrested in the G0/G1 phase of the cell cycle were found in spheroids under sunitinib treatment. We showed that metastatic RCC 3D spheroids supported with ECM are a useful model to determine the cancer cell growth characteristics that are not found in adherent 2D cultures. Due to the more complex architecture, spheroids may mimic in vivo micrometastases and may be more appropriate to investigate novel drug candidate responses, including the direct effects of tyrosine kinase inhibitor activity against RCC cells.
View Figures

Figure 1

Figure 2

Figure 3

Figure 4

Figure 5

Figure 6

Figure 7

View References

1 

Meyerrose TE, Herrbrich P, Hess DA and Nolta JA: Immune-deficient mouse models for analysis of human stem cells. BioTechniques. 35:1262–1272. 2003. View Article : Google Scholar : PubMed/NCBI

2 

Gedye C, Sirskyj D, Lobo NC, Meens J, Hyatt E, Robinette M, Fleshner N, Hamilton RJ, Kulkarni G, Zlotta A, et al: Cancer stem cells are underestimated by standard experimental methods in clear cell renal cell carcinoma. Sci Rep. 6:252202016. View Article : Google Scholar : PubMed/NCBI

3 

Grotenhuis BA, Wijnhoven BP and van Lanschot JJ: Cancer stem cells and their potential implications for the treatment of solid tumors. J Surg Oncol. 106:209–215. 2012. View Article : Google Scholar : PubMed/NCBI

4 

Buczek M, Escudier B, Bartnik E, Szczylik C and Czarnecka A: Resistance to tyrosine kinase inhibitors in clear cell renal cell carcinoma: From the patient's bed to molecular mechanisms. Biochim Biophys Acta. 1845:31–41. 2014.PubMed/NCBI

5 

Bielecka ZF, Czarnecka AM, Solarek W, Kornakiewicz A and Szczylik C: Mechanisms of acquired resistance to tyrosine kinase inhibitors in clear-cell renal cell carcinoma (ccRCC). Curr Signal Transduct Ther. 8:218–228. 2014. View Article : Google Scholar : PubMed/NCBI

6 

Bussolati B, Bruno S, Grange C, Ferrando U and Camussi G: Identification of a tumor-initiating stem cell population in human renal carcinomas. FASEB J. 22:3696–3705. 2008. View Article : Google Scholar : PubMed/NCBI

7 

Czarnecka A, Matak D, Solarek W, Khan M and Szczylik C: Hypoxia response regulates clear cell renal cell carcinoma tumor initiating cells. BJU Int. 112:1–17. 2013.

8 

Debeb BG, Zhang X, Krishnamurthy S, Gao H, Cohen E, Li L, Rodriguez AA, Landis MD, Lucci A, Ueno NT, et al: Characterizing cancer cells with cancer stem cell-like features in 293T human embryonic kidney cells. Mol Cancer. 9:1802010. View Article : Google Scholar : PubMed/NCBI

9 

Gassenmaier M, Chen D, Buchner A, Henkel L, Schiemann M, Mack B, Schendel DJ, Zimmermann W and Pohla H: CXC chemokine receptor 4 is essential for maintenance of renal cell carcinoma-initiating cells and predicts metastasis. Stem Cells. 31:1467–1476. 2013. View Article : Google Scholar : PubMed/NCBI

10 

Ueda K, Ogasawara S, Akiba J, Nakayama M, Todoroki K, Ueda K, Sanada S, Suekane S, Noguchi M, Matsuoka K and Yano H: Aldehyde dehydrogenase 1 identifies cells with cancer stem cell-like properties in a human renal cell carcinoma cell line. PLoS One. 8:e754632013. View Article : Google Scholar : PubMed/NCBI

11 

Khan MI, Czarnecka AM, Lewicki S, Helbrecht I, Brodaczewska K, Koch I, Zdanowski R, Król M and Szczylik C: Comparative gene expression profiling of primary and metastatic renal cell carcinoma stem cell-like cancer cells. PLoS One. 11:e01657182016. View Article : Google Scholar : PubMed/NCBI

12 

Hu J, Guan W, Liu P, Dai J, Tang K, Xiao H, Qian Y, Sharrow AC, Ye Z, Wu L and Xu H: Endoglin is essential for the maintenance of self-renewal and chemoresistance in renal cancer stem cells. Stem Cell Reports. 9:464–477. 2017. View Article : Google Scholar : PubMed/NCBI

13 

Beaver CM, Ahmed A and Masters JR: Clonogenicity: Holoclones and meroclones contain stem cells. PLoS One. 9:e898342014. View Article : Google Scholar : PubMed/NCBI

14 

Rappa G, Mercapide J, Anzanello F, Prasmickaite L, Xi Y, Ju J, Fodstad O and Lorico A: Growth of cancer cell lines under stem cell-like conditions has the potential to unveil therapeutic targets. Exp Cell Res. 314:2110–2122. 2008. View Article : Google Scholar : PubMed/NCBI

15 

Lichner Z, Saleh C, Subramaniam V, Seivwright A, Prud'homme GJ and Yousef GM: miR-17 inhibition enhances the formation of kidney cancer spheres with stem cell/tumor initiating cell properties. Oncotarget. 6:5567–5581. 2015. View Article : Google Scholar : PubMed/NCBI

16 

Matak D, Brodaczewska KK, Szczylik C, Koch I, Myszczyszyn A, Lipiec M, Lewicki S, Szymanski L, Zdanowski R and Czarnecka AM: Functional significance of CD105-positive cells in papillary renal cell carcinoma. BMC Cancer. 17:212017. View Article : Google Scholar : PubMed/NCBI

17 

Matak D, Szymanski L, Szczylik C, Sledziewski R, Lian F, Bartnik E, Sobocinska A and Czarnecka AM: Biology of renal tumour cancer stem cells applied in medicine. Contemp Oncol (Pozn). 19:A44–A51. 2015.PubMed/NCBI

18 

Czarnecka AM and Szczylik C: Renal cell carcinoma cancer stem cells as therapeutic targets. Curr Sign Trans Ther. 8:203–209. 2013. View Article : Google Scholar

19 

Peired AJ, Sisti A and Romagnani P: Renal cancer stem cells: Characterization and targeted therapies. Stem Cells Int. 2016:83426252016. View Article : Google Scholar : PubMed/NCBI

20 

Bomken S, Fiser K, Heidenreich O and Vormoor J: Understanding the cancer stem cell. Br J Cancer. 103:439–445. 2011. View Article : Google Scholar

21 

Nakano I and Chiocca EA: Finding drugs against CD133+ glioma subpopulations. J Neurosurg. 114:648–650. 2011. View Article : Google Scholar : PubMed/NCBI

22 

Qiu W, Wang X, Leibowitz B, Liu H, Barker N, Okada H, Oue N, Yasui W, Clevers H, Schoen RE, et al: Chemoprevention by nonsteroidal anti-inflammatory drugs eliminates oncogenic intestinal stem cells via SMAC-dependent apoptosis. Proc Natl Acad Sci USA. 107:20027–20032. 2010. View Article : Google Scholar : PubMed/NCBI

23 

Prud'homme GJ, Glinka Y, Toulina A, Ace O, Subramaniam V and Jothy S: Breast cancer stem-like cells are inhibited by a non-toxic aryl hydrocarbon receptor agonist. PLoS One. 5:e138312010. View Article : Google Scholar : PubMed/NCBI

24 

Morrison R, Schleicher SM, Sun Y, Niermann KJ, Kim S, Spratt DE, Chung CH and Lu B: Targeting the mechanisms of resistance to chemotherapy and radiotherapy with the cancer stem cell hypothesis. J Oncol. 2011:9418762011. View Article : Google Scholar : PubMed/NCBI

25 

Escudier B, Eisen T, Stadler WM, Szczylik C, Oudard S, Siebels M, Negrier S, Chevreau C, Solska E, Desai AA, et al: Sorafenib in advanced clear-cell renal-cell carcinoma. N Engl J Med. 356:125–134. 2007. View Article : Google Scholar : PubMed/NCBI

26 

Motzer RJ, Hutson TE, Tomczak P, Michaelson MD, Bukowski RM, Rixe O, Oudard S, Negrier S, Szczylik C, Kim ST, et al: Sunitinib versus interferon alfa in metastatic renal-cell carcinoma. N Engl J Med. 356:115–124. 2007. View Article : Google Scholar : PubMed/NCBI

27 

Sternberg CN, Davis ID, Mardiak J, Szczylik C, Lee E, Wagstaff J, Barrios CH, Salman P, Gladkov OA, Kavina A, et al: Pazopanib in locally advanced or metastatic renal cell carcinoma: Results of a randomized phase III trial. J Clin Oncol. 28:1061–1068. 2011. View Article : Google Scholar

28 

Yuan ZX, Mo J, Zhao G, Shu G, Fu HL and Zhao W: Targeting strategies for renal cell carcinoma: From renal cancer cells to renal cancer stem cells. Front Pharmacol. 7:4232016. View Article : Google Scholar : PubMed/NCBI

29 

Roskoski R Jr: Sunitinib: A VEGF and PDGF receptor protein kinase and angiogenesis inhibitor. Biochem Biophys Res Commun. 356:323–328. 2007. View Article : Google Scholar : PubMed/NCBI

30 

Karaman MW, Herrgard S, Treiber DK, Gallant P, Atteridge CE, Campbell BT, Chan KW, Ciceri P, Davis MI, Edeen PT, et al: A quantitative analysis of kinase inhibitor selectivity. Nat Biotechnol. 26:127–132. 2008. View Article : Google Scholar : PubMed/NCBI

31 

Huang D, Ding Y, Li Y, Luo WM, Zhang ZF, Snider J, Vandenbeldt K, Qian CN and the BT: Sunitinib acts primarily on tumor endothelium rather than tumor cells to inhibit the growth of renal cell carcinoma. Cancer Res. 70:1053–1062. 2010. View Article : Google Scholar : PubMed/NCBI

32 

Brossa A, Grange C, Mancuso L, Annaratone L, Satolli MA, Mazzone M, Camussi G and Bussolati B: Sunitinib but not VEGF blockade inhibits cancer stem cell endothelial differentiation. Oncotarget. 6:11295–11309. 2015. View Article : Google Scholar : PubMed/NCBI

33 

Potapova O, Laird AD, Nannini MA, Barone A, Li G, Moss KG, Cherrington JM and Mendel DB: Contribution of individual targets to the antitumor efficacy of the multitargeted receptor tyrosine kinase inhibitor SU11248. Mol Cancer Ther. 5:1280–1289. 2006. View Article : Google Scholar : PubMed/NCBI

34 

Abrams TJ, Murray LJ, Pesenti E, Holway VW, Colombo T, Lee LB, Cherrington JM and Pryer NK: Preclinical evaluation of the tyrosine kinase inhibitor SU11248 as a single agent and in combination with ‘standard of care’ therapeutic agents for the treatment of breast cancer. Mol Cancer Ther. 2:1011–1021. 2003.PubMed/NCBI

35 

Czarnecka AM, Solarek W, Kornakiewicz A and Szczylik C: Tyrosine kinase inhibitors target cancer stem cells in renal cell cancer. Oncol Rep. 35:1433–1442. 2016. View Article : Google Scholar : PubMed/NCBI

36 

Diaz R, Nguewa PA, Redrado M, Manrique I and Calvo A: Sunitinib reduces tumor hypoxia and angiogenesis, and radiosensitizes prostate cancer stem-like cells. Prostate. 75:1137–1149. 2015. View Article : Google Scholar : PubMed/NCBI

37 

Varna M, Gapihan G, Feugeas JP, Ratajczak P, Tan S, Ferreira I, Leboeuf C, Setterblad N, Duval A, Verine J, et al: Stem cells increase in numbers in perinecrotic areas in human renal cancer. Clin Cancer Res. 21:916–924. 2015. View Article : Google Scholar : PubMed/NCBI

38 

Zhu Y, Liu H, Xu L, An H, Liu W, Liu Y, Lin Z and Xu J: p21-activated kinase 1 determines stem-like phenotype and sunitinib resistance via NF-kappaB/IL-6 activation in renal cell carcinoma. Cell Death Dis. 6:e16372015. View Article : Google Scholar : PubMed/NCBI

39 

Chinchar E, Makey KL, Gibson J, Chen F, Cole SA, Megason GC, Vijayakumar S, Miele L and Gu JW: Sunitinib significantly suppresses the proliferation, migration, apoptosis resistance, tumor angiogenesis and growth of triple-negative breast cancers but increases breast cancer stem cells. Vasc Cell. 6:122014. View Article : Google Scholar : PubMed/NCBI

40 

Conley SJ, Gheordunescu E, Kakarala P, Newman B, Korkaya H, Heath AN, Clouthier SG and Wicha MS: Antiangiogenic agents increase breast cancer stem cells via the generation of tumor hypoxia. Proc Natl Acad Sci USA. 109:2784–2789. 2012. View Article : Google Scholar : PubMed/NCBI

41 

Lamb R, Ozsvari B, Lisanti CL, Tanowitz HB, Howell A, Martinez-Outschoorn UE, Sotgia F and Lisanti MP: Antibiotics that target mitochondria effectively eradicate cancer stem cells, across multiple tumor types: Treating cancer like an infectious disease. Oncotarget. 6:4569–4584. 2015. View Article : Google Scholar : PubMed/NCBI

42 

Relier S, Yazdani L, Ayad O, Choquet A, Bourgaux JF, Prudhomme M, Pannequin J, Macari F and David A: Antibiotics inhibit sphere-forming ability in suspension culture. Cancer Cell Int. 16:62016. View Article : Google Scholar : PubMed/NCBI

43 

Mays AN, Osheroff N, Xiao Y, Wiemels JL, Felix CA, Byl JA, Saravanamuttu K, Peniket A, Corser R, Chang C, et al: Evidence for direct involvement of epirubicin in the formation of chromosomal translocations in t(15;17) therapy-related acute promyelocytic leukemia. Blood. 115:326–330. 2010. View Article : Google Scholar : PubMed/NCBI

44 

Jiang XL, Zhang Y, Luo CL and Wu XH: Targeting renal cell carcinoma with gambogic acid in combination with sunitinib in vitro and in vivo. Asian Pac J Cancer Prev. 13:6463–6468. 2012. View Article : Google Scholar : PubMed/NCBI

45 

Bielecka ZF, Maliszewska-Olejniczak K, Safir IJ, Szczylik C and Czarnecka AM: Three-dimensional cell culture model utilization in cancer stem cell research. Biol Rev Camb Philos Soc. 92:1505–1520. 2017. View Article : Google Scholar : PubMed/NCBI

46 

Brodaczewska KK, Szczylik C, Fiedorowicz M, Porta C and Czarnecka AM: Choosing the right cell line for renal cell cancer research. Mol Cancer. 15:832016. View Article : Google Scholar : PubMed/NCBI

47 

Kim S and Alexander CM: Tumorsphere assay provides more accurate prediction of in vivo responses to chemotherapeutics. Biotechnol Lett. 36:481–488. 2014. View Article : Google Scholar : PubMed/NCBI

48 

Livak KJ and Schmittgen TD: Analysis of relative gene expression data using real-time quantitative PCR and the 2(-Delta Delta C(T)) method. Methods. 25:402–408. 2001. View Article : Google Scholar : PubMed/NCBI

49 

Wierzbicki PM, Klacz J, Rybarczyk A, Slebioda T, Stanislawowski M, Wronska A, Kowalczyk A, Matuszewski M and Kmiec Z: Identification of a suitable qPCR reference gene in metastatic clear cell renal cell carcinoma. Tumour Biol. 35:12473–12487. 2014. View Article : Google Scholar : PubMed/NCBI

50 

Maliszewska-Olejniczak K, Brodaczewska KK, Bielecka ZF and Czarnecka AM: Three-dimensional cell culture model utilization in renal carcinoma cancer stem cell research. Methods Mol Biol. 1817:47–66. 2018. View Article : Google Scholar : PubMed/NCBI

51 

Kaminska K, Szczylik C, Bielecka ZF, Bartnik E, Porta C, Lian F and Czarnecka AM: The role of the cell-cell interactions in cancer progression. J Cell Mol Med. 19:283–296. 2015. View Article : Google Scholar : PubMed/NCBI

52 

Myszczyszyn A, Czarnecka AM, Matak D, Szymanski L, Lian F, Kornakiewicz A, Bartnik E, Kukwa W, Kieda C and Szczylik C: The role of hypoxia and cancer stem cells in renal cell carcinoma pathogenesis. Stem Cell Rev. 11:919–943. 2015. View Article : Google Scholar :

53 

Khan MI, Debski KJ, Dabrowski M, Czarnecka AM and Szczylik C: Gene set enrichment analysis and ingenuity pathway analysis of metastatic clear cell renal cell carcinoma cell line. Am J Physiol Renal Physiol. 311:F424–F436. 2016. View Article : Google Scholar : PubMed/NCBI

54 

Zhou N, Lu F, Liu C, Xu K, Huang J, Yu D and Bi L: IL-8 induces the epithelial-mesenchymal transition of renal cell carcinoma cells through the activation of AKT signaling. Oncol Lett. 12:1915–1920. 2016. View Article : Google Scholar : PubMed/NCBI

55 

Larson AR, Lee CW, Lezcano C, Zhan Q, Huang J, Fischer AH and Murphy GF: Melanoma spheroid formation involves laminin-associated vasculogenic mimicry. Am J Pathol. 184:71–78. 2014. View Article : Google Scholar : PubMed/NCBI

56 

Langan LM, Dodd NJ, Owen SF, Purcell WM, Jackson SK and Jha AN: Direct Measurements of Oxygen Gradients in Spheroid Culture System Using Electron Parametric Resonance Oximetry. PLoS One. 11:e01494922016. View Article : Google Scholar : PubMed/NCBI

57 

Zheng X, Wang X, Mao H, Wu W, Liu B and Jiang X: Hypoxia-specific ultrasensitive detection of tumours and cancer cells. Nat Commun. 6:58342015. View Article : Google Scholar : PubMed/NCBI

58 

Lal A, Peters H, St Croix B, Haroon ZA, Dewhirst MW, Strausberg RL, Kaanders JH, van der Kogel AJ and Riggins GJ: Transcriptional response to hypoxia in human tumors. J Natl Cancer Inst. 93:1337–1343. 2019. View Article : Google Scholar

59 

McKenna1 DJ, Errington R and Pors K: Current challenges and opportunities in treating hypoxic prostate tumors. J Cancer Metastasis Treat. 4:112018. View Article : Google Scholar

60 

Ponte KF, Berro DH, Collet S, Constans JM, Emery E, Valable S and Guillamo JS: In vivo relationship between hypoxia and angiogenesis in human glioblastoma: A multimodal imaging study. J Nucl Med. 58:1574–1579. 2017. View Article : Google Scholar : PubMed/NCBI

61 

Gunther S, Ruhe C, Derikito MG, Bose G, Sauer H and Wartenberg M: Polyphenols prevent cell shedding from mouse mammary cancer spheroids and inhibit cancer cell invasion in confrontation cultures derived from embryonic stem cells. Cancer Lett. 250:25–35. 2007. View Article : Google Scholar : PubMed/NCBI

62 

Moreno-Manzano V, Rodriguez-Jimenez FJ, Acena-Bonilla JL, Fustero-Lardíes S, Erceg S, Dopazo J, Montaner D, Stojkovic M and Sánchez-Puelles JM: FM19G11, a new hypoxia-inducible factor (HIF) modulator, affects stem cell differentiation status. J Biol Chem. 285:1333–1342. 2010. View Article : Google Scholar : PubMed/NCBI

63 

Covello KL, Kehler J, Yu H, Gordan JD, Arsham AM, Hu CJ, Labosky PA, Simon MC and Keith B: HIF-2alpha regulates Oct-4: Effects of hypoxia on stem cell function, embryonic development, and tumor growth. Genes Dev. 20:557–570. 2006. View Article : Google Scholar : PubMed/NCBI

64 

Mathieu J, Zhang Z, Zhou W, Wang AJ, Heddleston JM, Pinna CM, Hubaud A, Stadler B, Choi M, Bar M, et al: HIF induces human embryonic stem cell markers in cancer cells. Cancer Res. 71:4640–4652. 2011. View Article : Google Scholar : PubMed/NCBI

65 

Min SO, Lee SW, Bak SY and Kim KS: Ideal sphere-forming culture conditions to maintain pluripotency in a hepatocellular carcinoma cell lines. Cancer Cell Int. 15:952015. View Article : Google Scholar : PubMed/NCBI

66 

Gupta PB, Fillmore CM, Jiang G, Shapira SD, Tao K, Kuperwasser C and Lander ES: Stochastic state transitions give rise to phenotypic equilibrium in populations of cancer cells. Cell. 146:633–644. 2011. View Article : Google Scholar : PubMed/NCBI

67 

Chen YC, Cheng YH, Ingram P and Yoon E: Single cell proteolytic assays to investigate cancer clonal heterogeneity and cell dynamics using an efficient cell loading scheme. Sci Rep. 6:271542016. View Article : Google Scholar : PubMed/NCBI

68 

Pece S, Tosoni D, Confalonieri S, Mazzarol G, Vecchi M, Ronzoni S, Bernard L, Viale G, Pelicci PG and Di Fiore PP: Biological and Molecular Heterogeneity of Breast Cancers Correlates with Their Cancer Stem Cell Content. Cell. 140:62–73. 2010. View Article : Google Scholar : PubMed/NCBI

69 

Nguyen LK, Cavadas MA, Scholz CC, Fitzpatrick SF, Bruning U, Cummins EP, Tambuwala MM, Manresa MC, Kholodenko BN, Taylor CT and Cheong A: A dynamic model of the hypoxia-inducible factor 1α (HIF-1α) network. J Cell Sci. 126:1454–1463. 2013. View Article : Google Scholar : PubMed/NCBI

70 

Lafleur VN, Richard S and Richard DE: Transcriptional repression of hypoxia-inducible factor-1 (HIF-1) by the protein arginine methyltransferase PRMT1. Mol Biol Cell. 25:925–935. 2014. View Article : Google Scholar : PubMed/NCBI

71 

Wang X, Ryu D, Houtkooper RH and Auwerx J: Antibiotic use and abuse: a threat to mitochondria and chloroplasts with impact on research, health, and environment. Bioessays. 37:1045–1053. 2015. View Article : Google Scholar : PubMed/NCBI

72 

Sancho P, Barneda D and Heeschen C: Hallmarks of cancer stem cell metabolism. Br J Cancer. 114:1305–1312. 2016. View Article : Google Scholar : PubMed/NCBI

73 

Gialeli C, Theocharis AD and Karamanos NK: Roles of matrix metalloproteinases in cancer progression and their pharmacological targeting. Febs J. 278:16–27. 2011. View Article : Google Scholar : PubMed/NCBI

74 

Sumi T, Nakatani T, Yoshida H, Hyun Y, Yasui T, Matsumoto Y, Nakagawa E, Sugimura K, Kawashima H and Ishiko O: Expression of matrix metalloproteinases 7 and 2 in human renal cell carcinoma. Oncol Rep. 10:567–570. 2003.PubMed/NCBI

75 

Lin YW, Lee LM, Lee WJ, Chu CY, Tan P, Yang YC, Chen WY, Yang SF, Hsiao M and Chien MH: Melatonin inhibits MMP-9 transactivation and renal cell carcinoma metastasis by suppressing Akt-MAPKs pathway and NF-κB DNA-binding activity. J Pineal Res. 60:277–290. 2017. View Article : Google Scholar

76 

Roomi MW, Ivanov V, Kalinovsky T, Niedzwiecki A and Rath M: Modulation of human renal cell carcinoma 786-0 MMP-2 and MMP-9 activity by inhibitors and inducers in vitro. Med Oncol. 23:245–250. 2006. View Article : Google Scholar : PubMed/NCBI

77 

Shrivastava S, Steele R, Sowadski M, Crawford SE, Varvares M and Ray RB: Identification of molecular signature of head and neck cancer stem-like cells. Sci Rep. 5:78192015. View Article : Google Scholar : PubMed/NCBI

78 

Xin H, Zhang C, Herrmann A, Du Y, Figlin R and Yu H: Sunitinib inhibition of Stat3 induces renal cell carcinoma tumor cell apoptosis and reduces immunosuppressive cells. Cancer Res. 69:2506–2513. 2009. View Article : Google Scholar : PubMed/NCBI

79 

Gotink KJ, Broxterman HJ, Labots M, de Haas RR, Dekker H, Honeywell RJ, Rudek MA, Beerepoot LV, Musters RJ, Jansen G, et al: Lysosomal sequestration of sunitinib: A novel mechanism of drug resistance. Clin Cancer Res. 17:7337–7346. 2011. View Article : Google Scholar : PubMed/NCBI

80 

Liu H, Wang H, Li C, Zhang T, Meng X, Zhang Y and Qian H: Spheres from cervical cancer cells display stemness and cancer drug resistance. Oncol Lett. 12:2184–2188. 2016. View Article : Google Scholar : PubMed/NCBI

81 

Sun FF, Hu YH, Xiong LP, Tu XY, Zhao JH, Chen SS, Song J and Ye XQ: Enhanced expression of stem cell markers and drug resistance in sphere-forming non-small cell lung cancer cells. Int J Clin Exp Pathol. 8:6287–6300. 2015.PubMed/NCBI

82 

Chen SF, Chang YC, Nieh S, Liu CL, Yang CY and Lin YS: Nonadhesive culture system as a model of rapid sphere formation with cancer stem cell properties. PLoS One. 7:e318642012. View Article : Google Scholar : PubMed/NCBI

83 

Harper LJ, Costea DE, Gammon L, Fazil B, Biddle A and Mackenzie IC: Normal and malignant epithelial cells with stem-like properties have an extended G2 cell cycle phase that is associated with apoptotic resistance. BMC Cancer. 10:1662010. View Article : Google Scholar : PubMed/NCBI

84 

Fernandez-Fuente G, Mollinedo P, Grande L, Vazquez-Barquero A and Fernandez-Luna JL: Culture dimensionality influences the resistance of glioblastoma stem-like cells to multikinase inhibitors. Mol Cancer Ther. 13:1664–1672. 2014. View Article : Google Scholar : PubMed/NCBI

85 

Chen W, Dong J, Haiech J, Kilhoffer MC and Zeniou M: Cancer stem cell quiescence and plasticity as major challenges in cancer therapy. Stem Cells Int. 2016:17409362016. View Article : Google Scholar : PubMed/NCBI

86 

Moore N and Lyle S: Quiescent, slow-cycling stem cell populations in cancer: A review of the evidence and discussion of significance. J Oncol. 2011:3960762011. View Article : Google Scholar : PubMed/NCBI

87 

Hedenfalk IA, Baldetorp B, Borg A and Oredsson SM: Activated cell cycle checkpoints in epirubicin-treated breast cancer cells studied by BrdUrd-flow cytometry. Cytometry. 29:321–327. 1997. View Article : Google Scholar : PubMed/NCBI

88 

Grabarczyk P, Nahse V, Delin M, Przybylski G, Depke M, Hildebrandt P, Völker U and Schmidt CA: Increased expression of bcl11b leads to chemoresistance accompanied by G1 accumulation. PLoS One. 5(pii): e125322010. View Article : Google Scholar : PubMed/NCBI

89 

Wang L, Guo H, Lin C, Yang L and Wang X: Enrichment and characterization of cancer stemlike cells from a cervical cancer cell line. Mol Med Rep. 9:2117–2123. 2014. View Article : Google Scholar : PubMed/NCBI

Related Articles

  • Abstract
  • View
  • Download
  • Twitter
Copy and paste a formatted citation
Spandidos Publications style
Brodaczewska KK, Bielecka ZF, Maliszewska‑Olejniczak K, Szczylik C, Porta C, Bartnik E and Czarnecka AM: Metastatic renal cell carcinoma cells growing in 3D on poly‑D‑lysine or laminin present a stem‑like phenotype and drug resistance. Oncol Rep 42: 1878-1892, 2019.
APA
Brodaczewska, K.K., Bielecka, Z.F., Maliszewska‑Olejniczak, K., Szczylik, C., Porta, C., Bartnik, E., & Czarnecka, A.M. (2019). Metastatic renal cell carcinoma cells growing in 3D on poly‑D‑lysine or laminin present a stem‑like phenotype and drug resistance. Oncology Reports, 42, 1878-1892. https://doi.org/10.3892/or.2019.7321
MLA
Brodaczewska, K. K., Bielecka, Z. F., Maliszewska‑Olejniczak, K., Szczylik, C., Porta, C., Bartnik, E., Czarnecka, A. M."Metastatic renal cell carcinoma cells growing in 3D on poly‑D‑lysine or laminin present a stem‑like phenotype and drug resistance". Oncology Reports 42.5 (2019): 1878-1892.
Chicago
Brodaczewska, K. K., Bielecka, Z. F., Maliszewska‑Olejniczak, K., Szczylik, C., Porta, C., Bartnik, E., Czarnecka, A. M."Metastatic renal cell carcinoma cells growing in 3D on poly‑D‑lysine or laminin present a stem‑like phenotype and drug resistance". Oncology Reports 42, no. 5 (2019): 1878-1892. https://doi.org/10.3892/or.2019.7321
Copy and paste a formatted citation
x
Spandidos Publications style
Brodaczewska KK, Bielecka ZF, Maliszewska‑Olejniczak K, Szczylik C, Porta C, Bartnik E and Czarnecka AM: Metastatic renal cell carcinoma cells growing in 3D on poly‑D‑lysine or laminin present a stem‑like phenotype and drug resistance. Oncol Rep 42: 1878-1892, 2019.
APA
Brodaczewska, K.K., Bielecka, Z.F., Maliszewska‑Olejniczak, K., Szczylik, C., Porta, C., Bartnik, E., & Czarnecka, A.M. (2019). Metastatic renal cell carcinoma cells growing in 3D on poly‑D‑lysine or laminin present a stem‑like phenotype and drug resistance. Oncology Reports, 42, 1878-1892. https://doi.org/10.3892/or.2019.7321
MLA
Brodaczewska, K. K., Bielecka, Z. F., Maliszewska‑Olejniczak, K., Szczylik, C., Porta, C., Bartnik, E., Czarnecka, A. M."Metastatic renal cell carcinoma cells growing in 3D on poly‑D‑lysine or laminin present a stem‑like phenotype and drug resistance". Oncology Reports 42.5 (2019): 1878-1892.
Chicago
Brodaczewska, K. K., Bielecka, Z. F., Maliszewska‑Olejniczak, K., Szczylik, C., Porta, C., Bartnik, E., Czarnecka, A. M."Metastatic renal cell carcinoma cells growing in 3D on poly‑D‑lysine or laminin present a stem‑like phenotype and drug resistance". Oncology Reports 42, no. 5 (2019): 1878-1892. https://doi.org/10.3892/or.2019.7321
Follow us
  • Twitter
  • LinkedIn
  • Facebook
About
  • Spandidos Publications
  • Careers
  • Cookie Policy
  • Privacy Policy
How can we help?
  • Help
  • Live Chat
  • Contact
  • Email to our Support Team