Spandidos Publications Logo
  • About
    • About Spandidos
    • Aims and Scopes
    • Abstracting and Indexing
    • Editorial Policies
    • Reprints and Permissions
    • Job Opportunities
    • Terms and Conditions
    • Contact
  • Journals
    • All Journals
    • Oncology Letters
      • Oncology Letters
      • Information for Authors
      • Editorial Policies
      • Editorial Board
      • Aims and Scope
      • Abstracting and Indexing
      • Bibliographic Information
      • Archive
    • International Journal of Oncology
      • International Journal of Oncology
      • Information for Authors
      • Editorial Policies
      • Editorial Board
      • Aims and Scope
      • Abstracting and Indexing
      • Bibliographic Information
      • Archive
    • Molecular and Clinical Oncology
      • Molecular and Clinical Oncology
      • Information for Authors
      • Editorial Policies
      • Editorial Board
      • Aims and Scope
      • Abstracting and Indexing
      • Bibliographic Information
      • Archive
    • Experimental and Therapeutic Medicine
      • Experimental and Therapeutic Medicine
      • Information for Authors
      • Editorial Policies
      • Editorial Board
      • Aims and Scope
      • Abstracting and Indexing
      • Bibliographic Information
      • Archive
    • International Journal of Molecular Medicine
      • International Journal of Molecular Medicine
      • Information for Authors
      • Editorial Policies
      • Editorial Board
      • Aims and Scope
      • Abstracting and Indexing
      • Bibliographic Information
      • Archive
    • Biomedical Reports
      • Biomedical Reports
      • Information for Authors
      • Editorial Policies
      • Editorial Board
      • Aims and Scope
      • Abstracting and Indexing
      • Bibliographic Information
      • Archive
    • Oncology Reports
      • Oncology Reports
      • Information for Authors
      • Editorial Policies
      • Editorial Board
      • Aims and Scope
      • Abstracting and Indexing
      • Bibliographic Information
      • Archive
    • Molecular Medicine Reports
      • Molecular Medicine Reports
      • Information for Authors
      • Editorial Policies
      • Editorial Board
      • Aims and Scope
      • Abstracting and Indexing
      • Bibliographic Information
      • Archive
    • World Academy of Sciences Journal
      • World Academy of Sciences Journal
      • Information for Authors
      • Editorial Policies
      • Editorial Board
      • Aims and Scope
      • Abstracting and Indexing
      • Bibliographic Information
      • Archive
    • International Journal of Functional Nutrition
      • International Journal of Functional Nutrition
      • Information for Authors
      • Editorial Policies
      • Editorial Board
      • Aims and Scope
      • Abstracting and Indexing
      • Bibliographic Information
      • Archive
    • International Journal of Epigenetics
      • International Journal of Epigenetics
      • Information for Authors
      • Editorial Policies
      • Editorial Board
      • Aims and Scope
      • Abstracting and Indexing
      • Bibliographic Information
      • Archive
    • Medicine International
      • Medicine International
      • Information for Authors
      • Editorial Policies
      • Editorial Board
      • Aims and Scope
      • Abstracting and Indexing
      • Bibliographic Information
      • Archive
  • Articles
  • Information
    • Information for Authors
    • Information for Reviewers
    • Information for Librarians
    • Information for Advertisers
    • Conferences
  • Language Editing
Spandidos Publications Logo
  • About
    • About Spandidos
    • Aims and Scopes
    • Abstracting and Indexing
    • Editorial Policies
    • Reprints and Permissions
    • Job Opportunities
    • Terms and Conditions
    • Contact
  • Journals
    • All Journals
    • Biomedical Reports
      • Information for Authors
      • Editorial Policies
      • Editorial Board
      • Aims and Scope
      • Abstracting and Indexing
      • Bibliographic Information
      • Archive
    • Experimental and Therapeutic Medicine
      • Information for Authors
      • Editorial Policies
      • Editorial Board
      • Aims and Scope
      • Abstracting and Indexing
      • Bibliographic Information
      • Archive
    • International Journal of Epigenetics
      • Information for Authors
      • Editorial Policies
      • Editorial Board
      • Aims and Scope
      • Abstracting and Indexing
      • Bibliographic Information
      • Archive
    • International Journal of Functional Nutrition
      • Information for Authors
      • Editorial Policies
      • Editorial Board
      • Aims and Scope
      • Abstracting and Indexing
      • Bibliographic Information
      • Archive
    • International Journal of Molecular Medicine
      • Information for Authors
      • Editorial Policies
      • Editorial Board
      • Aims and Scope
      • Abstracting and Indexing
      • Bibliographic Information
      • Archive
    • International Journal of Oncology
      • Information for Authors
      • Editorial Policies
      • Editorial Board
      • Aims and Scope
      • Abstracting and Indexing
      • Bibliographic Information
      • Archive
    • Medicine International
      • Information for Authors
      • Editorial Policies
      • Editorial Board
      • Aims and Scope
      • Abstracting and Indexing
      • Bibliographic Information
      • Archive
    • Molecular and Clinical Oncology
      • Information for Authors
      • Editorial Policies
      • Editorial Board
      • Aims and Scope
      • Abstracting and Indexing
      • Bibliographic Information
      • Archive
    • Molecular Medicine Reports
      • Information for Authors
      • Editorial Policies
      • Editorial Board
      • Aims and Scope
      • Abstracting and Indexing
      • Bibliographic Information
      • Archive
    • Oncology Letters
      • Information for Authors
      • Editorial Policies
      • Editorial Board
      • Aims and Scope
      • Abstracting and Indexing
      • Bibliographic Information
      • Archive
    • Oncology Reports
      • Information for Authors
      • Editorial Policies
      • Editorial Board
      • Aims and Scope
      • Abstracting and Indexing
      • Bibliographic Information
      • Archive
    • World Academy of Sciences Journal
      • Information for Authors
      • Editorial Policies
      • Editorial Board
      • Aims and Scope
      • Abstracting and Indexing
      • Bibliographic Information
      • Archive
  • Articles
  • Information
    • For Authors
    • For Reviewers
    • For Librarians
    • For Advertisers
    • Conferences
  • Language Editing
Login Register Submit
  • This site uses cookies
  • You can change your cookie settings at any time by following the instructions in our Cookie Policy. To find out more, you may read our Privacy Policy.

    I agree
Search articles by DOI, keyword, author or affiliation
Search
Advanced Search
presentation
International Journal of Molecular Medicine
Join Editorial Board Propose a Special Issue
Print ISSN: 1107-3756 Online ISSN: 1791-244X
Journal Cover
October 2012 Volume 30 Issue 4

Full Size Image

Sign up for eToc alerts
Recommend to Library

Journals

International Journal of Molecular Medicine

International Journal of Molecular Medicine

International Journal of Molecular Medicine is an international journal devoted to molecular mechanisms of human disease.

International Journal of Oncology

International Journal of Oncology

International Journal of Oncology is an international journal devoted to oncology research and cancer treatment.

Molecular Medicine Reports

Molecular Medicine Reports

Covers molecular medicine topics such as pharmacology, pathology, genetics, neuroscience, infectious diseases, molecular cardiology, and molecular surgery.

Oncology Reports

Oncology Reports

Oncology Reports is an international journal devoted to fundamental and applied research in Oncology.

Experimental and Therapeutic Medicine

Experimental and Therapeutic Medicine

Experimental and Therapeutic Medicine is an international journal devoted to laboratory and clinical medicine.

Oncology Letters

Oncology Letters

Oncology Letters is an international journal devoted to Experimental and Clinical Oncology.

Biomedical Reports

Biomedical Reports

Explores a wide range of biological and medical fields, including pharmacology, genetics, microbiology, neuroscience, and molecular cardiology.

Molecular and Clinical Oncology

Molecular and Clinical Oncology

International journal addressing all aspects of oncology research, from tumorigenesis and oncogenes to chemotherapy and metastasis.

World Academy of Sciences Journal

World Academy of Sciences Journal

Multidisciplinary open-access journal spanning biochemistry, genetics, neuroscience, environmental health, and synthetic biology.

International Journal of Functional Nutrition

International Journal of Functional Nutrition

Open-access journal combining biochemistry, pharmacology, immunology, and genetics to advance health through functional nutrition.

International Journal of Epigenetics

International Journal of Epigenetics

Publishes open-access research on using epigenetics to advance understanding and treatment of human disease.

Medicine International

Medicine International

An International Open Access Journal Devoted to General Medicine.

Journal Cover
October 2012 Volume 30 Issue 4

Full Size Image

Sign up for eToc alerts
Recommend to Library

  • Article
  • Citations
    • Cite This Article
    • Download Citation
    • Create Citation Alert
    • Remove Citation Alert
    • Cited By
  • Similar Articles
    • Related Articles (in Spandidos Publications)
    • Similar Articles (Google Scholar)
    • Similar Articles (PubMed)
  • Download PDF
  • Download XML
  • View XML
Article

Icariin promotes bone formation via the BMP-2/Smad4 signal transduction pathway in the hFOB 1.19 human osteoblastic cell line

  • Authors:
    • Wenna Liang
    • Munan Lin
    • Xihai Li
    • Candong Li
    • Bizheng Gao
    • Huijuan Gan
    • Zhaoyang Yang
    • Xuejuan Lin
    • Linghong Liao
    • Min Yang
  • View Affiliations / Copyright

    Affiliations: Research Base of Traditional Chinese Medicine Syndrome, Fujian University of Traditional Chinese Medicine, Fuzhou 350122, P.R. China, Department of Traditional Chinese Medicine, Fuzhou General Hospital of Nanjing Military Command, Fuzhou 350025, P.R. China, Academy of Integrative Medicine, Fujian University of Traditional Chinese Medicine, Fuzhou 350122, P.R. China, Research Base of Traditional Chinese Medicine Syndrome, Fujian University of Traditional Chinese Medicine, Fuzhou 350122, P.R. China
  • Pages: 889-895
    |
    Published online on: July 26, 2012
       https://doi.org/10.3892/ijmm.2012.1079
  • Expand metrics +
Metrics: Total Views: 0 (Spandidos Publications: | PMC Statistics: )
Metrics: Total PDF Downloads: 0 (Spandidos Publications: | PMC Statistics: )
Cited By (CrossRef): 0 citations Loading Articles...

This article is mentioned in:



Abstract

Icariin, the main active compound of the traditional Chinese medicine, Epimedium, is commonly used for the clinical treatment of osteoporosis. However, the precise molecular mechanism of the therapeutic effect of icariin has not been elucidated. The aim of this study was to examine the effect of icariin on cell viability, alkaline phosphatase (ALP) activity, the amount of calcified nodules, and to delineate the molecular mechanism of icariin-enhanced bone formation by investigating the expression of bone morphogenic protein‑2 (BMP-2), Smad4, Cbfa1/Runx2, osteoprotegerin (OPG), receptor activator of nuclear factor κ-B ligand (RANKL) and the OPG/RANKL ratio in the hFOB 1.19 human osteoblastic cell line. We found that icariin significantly increased the cell viability, the activity of ALP and the amount of calcified nodules in the hFOB 1.19 cells. Furthermore, we observed that icariin upregulated the expression of BMP-2, Smad4, Cbfa1/Runx2, OPG, RANKL and the OPG/RANKL ratio. Our results indicate that icariin can modulate the process of bone formation via the BMP-2/Smad4 signal transduction pathway in hFOB 1.19 cells.

Introduction

Osteoporosis is a common disease characterized by a reduction of bone mass resulting from the negative balance between bone formation and bone destruction (1). It can occur at any age and in any ethnic or racial group, although it is more common in post-menopausal women, and affects millions of people worldwide (2,3). The most serious consequence of osteoporosis is fracture, which is associated with an increase in substantial morbidity, mortality and social costs. Early intervention, now possible with the help of some effective medications, may reduce the risk of first and recurrent fractures (4). However, the lack of reliable and effective drugs to cure osteoporosis-related fragility fractures remains an important global issue. Therefore, there is a clear clinical need to develop new bone anabolic agents for the prevention and treatment of osteoporosis. Natural products that have relatively fewer side-effects have been used clinically. Epimedium, one of the most frequently prescribed herbs, has been utilized in traditional Chinese medicine for the treatment of osteoporosis. Icariin (C33H40O15; molecular weight, 676.67), a flavonol glycoside obtained from this herb, is believed to be the major active compound that accounts for its bone protective actions (Fig. 1) (5,6).

Figure 1

Chemical structure of icariin.

Recently, icariin was found to be therapeutically effective in ovariectomized rats. It increases trabecular bone mineral density (BMD) and bone strength and prevents the suppression of serum Ca levels (7,8). In addition, icariin has been shown to increase cell proliferation, differentiation, mineralization, osteocalcin secretion, as well as the expression levels of bone-related proteins in a dose-dependent manner in primary osteoblastic cells (9–11). These results suggest that icariin prevents bone loss by suppressing bone resorption and stimulating bone formation. However, the understanding of its precise mechanism of biological action in bone formation remains incomplete.

Bone is an active tissue that undergoes constant remodeling in which old bone is degraded by osteoclasts (bone-resorbing cells), and subsequently replaced by new bone formed by osteoblasts (bone-forming cells), via a process known as remodeling (12). Bone remodeling, an active and dynamic process, facilitates the repair of microdamage and provides calcium from bone stores for cellular functions. Osteoblasts are the obvious target for agents that aim to mediate bone anabolism (13,14). A key signaling component in bone formation is bone morphogenic protein-2 (BMP-2), a member of the transforming growth factor-β (TGF-β) superfamily (15,16). BMP-2 signals via Smad4, which is a nuclear transcription factor that regulates the activity of TGF-β ligands and plays an important role in bone formation (17). In the present study, we hypothesized that icariin can modulate the process of bone formation by the BMP-2/Smad4 signal transduction pathway. We assessed the direct effect of icariin on cell viability, alkaline phosphatase (ALP) levels and the amount of calcified nodules, as well as the expression of BMP-2, Smad4, Cbfa1/Runx2, osteoprotegerin (OPG), receptor activator of nuclear factor κ-B ligand (RANKL) and the OPG/RANKL ratio in hFOB 1.19 cells in vitro, and investigated the possible molecular mechanism mediating its biological effect. We found that icariin enhanced the cell viability in a dose- and time-dependent manner. In addition, icariin treatment promoted the amount of calcified nodules in the hFOB 1.19 cells, which was accompanied by the upregulation of the expression of ALP, BMP-2, Smad4, Cbfa1/Runx2, OPG, RANKL and the OPG/RANKL ratio. Our findings suggest that icariin promotes the process of bone formation.

Materials and methods

Materials and reagents

Fetal bovine serum (FBS), Dulbecco’s modified Eagle’s medium (DMEM), and trypsin-EDTA were purchased from Hyclone Laboratories, Inc. (Logan, UT, USA). 3-(4,5-Dimethylthiazol-2-yl)-2,5-diphenyltetrazolium bromide (MTT) was obtained from the Sigma Chemical Co. (St. Louis, MO, USA). TRIzol reagent was purchased from Inc. (Grand Island, NY, USA). Monoclonal rabbit anti-human Smad4, Cbfa1/Runx2, and β-actin HRP secondary goat anti-rabbit antibodies were purchased from Abcam (Cambridge, MA, USA). Primers were synthesized by Sangon Biotech (Shanghai, China). Icariin (HPLC ≥98%) was produced by Nanjing Zelang Medical Technological Co., Ltd. (Nanjing, China). Stock solutions of icariin were prepared by dissolving the icariin powder in DMSO to a concentration of 10−3 M, and stored at −20°C. The working concentrations of icariin were obtained by diluting the stock solution with the culture medium. The final concentration of DMSO in the medium was <0.5%.

Cell culture

The hFOB 1.19 human osteoblastic cell line obtained from the Insitute of Biochemistry and Cell Biology, Chinese Academy of Sciences (Shanghai, China) was cultured in DMEM, supplemented with 10% (v/v) FBS, penicillin (100 U/ml) and streptomycin (100 μg/ml) at 37°C in a humidified incubator with 5% CO2. The medium was replaced every 3 days. At 80–90% confluence, the cells were seeded in 96- or 6-well plates at a density of 1x105 or 3x103 cells/well, respectively, for different assays. The cells used in this study were subjected to ≥30 cell passages.

Evaluation of cell viability by MTT assay

The hFOB 1.19 cell viability was assessed by MTT colorimetric assay. The cells were seeded in 96-well plates at a density of 1.0x105 cells/well, cultured for 24 h and starved for 24 h in serum-free DMEM medium. The cells were treated with icariin at various final concentrations (10−15, 10−12, 10−9 and 10−6 M) and the vehicle control cells were treated with 0.5% DMSO for 48 h. In some experiments, the cells were treated with 10−9 M of icariin for different periods of time. The medium was discarded and replaced with 10 μl MTT [5 mg/ml in phosphate-buffered saline (PBS)]. After incubation at 37°C for 4 h, the purple-blue MTT formazan precipitate was dissolved in 100 μl DMSO and the cells were agitated for 10 min. The absorbance at 490 nm was measured on an ELISA reader (Model EXL800; BioTek, Winooski, VT, USA).

Alizarin red S staining for mineralization

Calcified nodules of the hFOB 1.19 cells were demonstrated by Alizarin red S staining. The cells were seeded in 48-well plates at a density of 2x105 cells/well and cultured for 24 h, and then treated with or without icariin. The medium was replaced every 3 days. After 14 days, the cell cultures were washed 3 times with PBS, fixed with formalin:methanol: H2O (1:1:1.5) 0.5 ml/well for 30 min at room temperature, and then washed 3 times with double distilled water. The cells were stained with 0.1% Alizarin red S at 37°C for 30 min, and washed 5 times with double distilled water and air-dried. The stained calcified nodules that appeared bright red in color were identified by light microscopy.

ALP activity assay

The cells were seeded in 48-well plates at a density of 2x105 cells/well and cultured for 24 h, and then treated with or without icariin for 48 h. Cells were harvested after treatment and lysed with 100 μl Nonidet P-40 lysis buffer (20 mM Tris-HCl, pH 7.5, 150 mM NaCl, 1 mM MgCl2, 1 mM CaCl2, 10% glycerol, 1% Nonidet P-40) supplemented with protease inhibitors [2 μg/ml leupeptin, 2 μg/ml aprotinin and 1 mM phenylmethylsulfonyl fluoride (PMSF)] by incubation on ice for 30 min. The supernatant, centrifuged at 12,000 x g and 4°C for 5 min, was stored at −80°C until analysis. Intracellular ALP activity was determined according to the manufacturer’s instructions. Briefly, the sample was mixed with 1 ml ALP reagent (Hitachi, Tokyo, Japan) and the absorbance change at 405 nm in 3 min was recorded. ALP activity was calculated as: ALP (U/l) = (total volume/sample volume) x (absorbance change in 3 min/0.01875). To normalize the result, bicinchoninic acid (BCA) protein assay was carried out and ALP activity was expressed as units of activity (U)·l−1·(mg protein)−1.

RNA extraction and real-time PCR analysis

After icariin treatment for 48 h, total RNA from the cells was isolated with TRIzol reagent (Invitrogen). Oligo(dT)-primed RNA (5 μg) was reverse-transcribed with SuperScript II reverse transcriptase (Promega) according to the manufacturer’s instructions. The sequences of the PCR primers for the amplification of BMP-2, Smad4, OPG, RANKL and β-actin transcripts were as follows: BMP-2 forward, 5′-CGG ACT GCG GTC TCC TAA-3′ and reverse, 5′-GGA AGC AGC AAC GCT AGA AG-3′, 68 bp; Smad4 forward, 5′-AAA GGT GAA GGT GAT GTT TGG GTC-3′ and reverse, 5′-CTG GAG CTA TTC CAC CTA CTG ATC C-3′, 268 bp; OPG forward, 5′-AGT ACG TCA AGC AGG AGT GCA AT-3′ and reverse, 5′-CCA GCT TGC ACC ACT CCA A-3′, 129 bp; RANKL forward, 5′-AGA GCG CAG ATG GAT CCT AA-3′ and reverse, 5′-TTC CTT TTG CAC AGC TCC TT-3′, 180 bp; and GAPDH forward, 5′-CAA CTA CAT GGT TTA CAT GTT C-3′ and reverse, 5′-GCC AGT GGA CTC CAC GAC-3′, 163 bp. PCR was carried out in a 20 μl reaction mixture containing 10 μl iQTM SYBR-Green Supermix (Bio-Rad Laboratories, Hercules, CA, USA) and 0.5 μl of cDNA template. PCR was performed in an ABI 7900 HT fast real-time PCR system (Applied Biosystems) using the following cycle parameters: 1 cycle of 95°C for 1 min, and 40 cycles of 95°C for 20 sec, different temperatures for 20 sec and 72°C for 18 sec. Upon completion, a melting curve was examined. Standard curves were generated using serially diluted solutions of cDNA derived from the control group sample. The target gene transcripts in each group sample were normalized on the basis of GAPDH.

Western blot analysis

The treated cells were harvested and lysed with Nonidet P-40 lysis buffer (20 mM Tris-HCl, pH 7.5, 150 mM NaCl, 1 mM MgCl2, 1 mM CaCl2, 10% glycerol, 1% Nonidet P-40) supplemented with protease inhibitors (2 μg/ml aprotinin, 2 μg/ml leupeptin and 1 mM PMSF) and phosphatase inhibitors (1 mM sodium orthovanadate, 10 mM NaF). Protein concentrations were determined using the BCA protein assay. Equal amounts of proteins were separated by SDS-PAGE on a 12% reducing gel at a constant voltage (110 V) for approximately 2 h, and transblotted onto PVDF membranes. The non-specific binding sites on the membranes were blocked with 5% skimmed milk. The blots were probed with monoclonal rabbit anti-human Smad4 (1:2,000), Cbfa1/Runx2 (1:1,000) and β-actin (1:1,000) antibodies overnight at 4°C with rocking, followed by incubation with goat anti-rabbit conjugated with horseradish peroxidase (1:2,000). The antigen-antibody complexes were then detected with enhanced chemiluminescence (ECL) reagent (Santa Cruz Biotechnology, Inc., USA). Bands were then quantified by scanning densitometry (170–8070 Molecular Imager ChemiDoc XRS System; Bio-Rad). Protein concentrations were determined using the Tocan 190 protein assay system and normalized to β-actin in the sample.

Statistical analysis

Data were analyzed using the SPSS package for Windows (version 13.0). Quantitative data were expressed as the means ± standard deviation (SD). Statistical analysis of the data was performed with the Student’s t-test and ANOVA. P-value <0.05 was considered to indicate a statistically significant difference.

Results

Effect of icariin on cell viability in hFOB 1.19 cells

Icariin (10−12, 10−9 and 10−6 M) significantly increased cell viability by approximately 111.67±4.72, 136.50±6.47 and 123.17±4.49% in hFOB 1.19 cells compared to the control cells (100±0.00%, P<0.01) (Fig. 2A). The cell viability with 10−9 M of icariin at 24 h (116.57±6.16%), 48 h (139.42±7.53%) and 72 h (143.91±5.13%) was significantly higher than that at 0 h (100±0.00%, P<0.01) (Fig. 2B). These results indicate that icariin enhances osteoblastic cell viability in a dose- and time-dependent manner.

Figure 2

Effect of icariin on cell viability in hFOB 1.19 cells. The hFOB 1.19 cell viability increased at each concentration, with significant statistical differences observed between the cells treated with icariin and the control cells. (A) Cells were treated with the indicated concentrations of icariin for 48 h. (B) Cells were treated with 10−9 M of icariin for the indicated time periods. Cell viability was determined by the MTT assay. Data are averages ± SD (error bars) from at least 3 independent experiments. **P<0.01, statistically significant vs. control. C, control cells.

Effect of icariin on ALP activity and calcified nodules in hFOB 1.19 cells

The ALP activity in the hFOB 1.19 cells was increased by 1.09-, 1.21- and 1.13-fold when the cells were treated with icariin at the final concentrations of 10−12, 10−9 and 10−6 M, respectively, significantly higher than that of the control cells (P<0.05) (Fig. 3). The calcified nodules appeared bright red in color by Alizarin red S staining (Fig. 4). Icariin at 10−12, 10−9 and 10−6 M stimulated the formation of calcified nodules significantly compared to the control cells. These results suggest that icariin promotes ALP expression and the formation of calcified nodules in hFOB 1.19 cells.

Figure 3

Effect of icariin on alkaline phosphatase (ALP) activities in hFOB 1.19 cells. The hFOB 1.19 cells were treated with or without icariin for 48 h. Cell lysates were used for ALP activity measurement. Results were obtained from 3 independent experiments, and data are averages ± SD (error bars), *P<0.05; **P<0.01 vs. control. C, control cells.

Figure 4

Effect of icariin on calcified nodules in hFOB 1.19 cells. The hFOB 1.19 cells were treated with or without icariin for 14 days. Alizarin red S staining for mineralization. The calcified nodules appeared bright red in color.

Effect of icariin on BMP-2, Smad4, OPG and RANKL mRNA expression in hFOB 1.19 cells

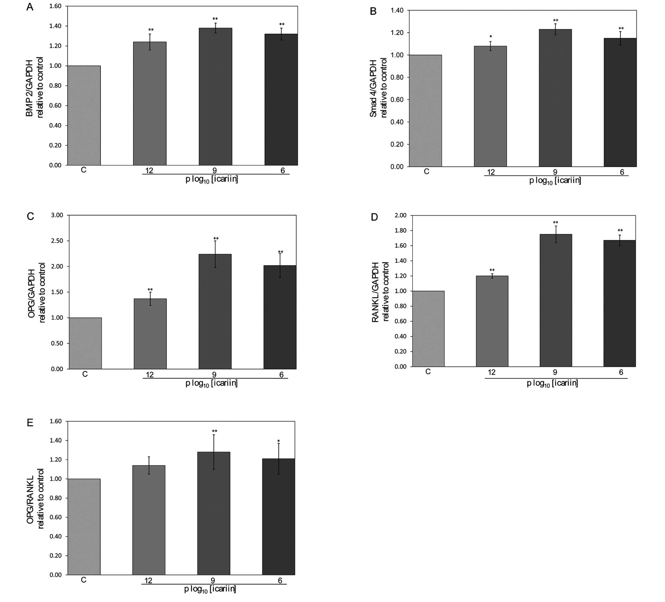
Icariin induced a 1.24-, 1.38- and 1.32-fold increase in BMP-2 mRNA expression (P<0.01) (Fig. 5A) and a 1.08-, 1.23- and 1.15-fold increase in Smad4 mRNA expression (P<0.05) (Fig. 5B). Furthermore, icariin not only significantly increased OPG mRNA expression in hFOB 1.19 cells (P<0.01) (Fig. 5C), but also significantly increased RANKL mRNA expression in hFOB 1.19 cells at all concentrations tested (P<0.01) (Fig. 5D). The overall effects of icariin on the OPG/RANKL mRNA expression ratio in hFOB 1.19 cells are shown in Fig. 5E. The results clearly indicated that icariin significantly increased the OPG/RANKL ratio in hFOB 1.19 cells (P<0.05), suggesting that icariin enhances bone formation via its actions on OPG and RANKL expression.

Figure 5

Effect of icariin on BMP-2, Smad4, OPG, RANKL mRNA expression and the OPG/RANKL ratio in hFOB 1.19 cells. The hFOB 1.19 cells were treated with or without icariin for 48 h. Total RNA was isolated and real-time PCR was performed to determine the mRNA expression levels of (A) BMP-2, (B) Smad4, (C) OPG, (D) RANKL and (E) OPG/RANKL, which were normalized to those of GAPDH. Results were obtained from 3 independent experiments, and data are averages ± SD (error bars), *P<0.05; **P<0.01 vs. control. C, control cells.

Effect of icariin on Smad4 and Cbfa1/Runx2 protein expression in hFOB 1.19 cells

To further explore the mechanism by which icariin regulates bone formation, we analyzed the protein expression levels of Smad4 and Cbfa1/Runx2 after icariin treatment using western blot analysis (Fig. 6A). Icariin (10−12, 10−9 and 10−6 M) significantly increased Smad4 expression (0.42±0.06, 0.76±0.07 and 0.81±0.05) in the hFOB 1.19 cells compared to the control cells (0.35±0.04, P<0.05) (Fig. 6B). Icariin (10−12, 10−9 and 10−6 M) significantly increased Cbfa1/Runx2 expression (0.41±0.04, 0.71±0.05 and 0.68±0.04) in the hFOB 1.19 cells compared to the control cells (0.38±0.03, P<0.01) (Fig. 6C). Taken together, these results suggest that icariin modulates the process of bone formation via its effects on Smad4 and Cbfa1/Runx2 expression.

Figure 6

Effect of icariin on Smad4 and Cbfa1/Runx2 protein expression in hFOB 1.19 cells. The hFOB 1.19 cells were treated with or without icariin for 48 h. Total protein was isolated and (A) western blot analysis was performed to determine the protein expression levels of (B) Smad4 and (C) Cbfa1/Runx2, which were normalized to those of β-actin. Results were obtained from 3 independent experiments, and data are averages ± SD (error bars), *P<0.05; **P<0.01 vs. control. C, control cells.

Discussion

In the present study, we systematically evaluated the osteoprotective effects and mechanism of actions of icariin in the hFOB 1.19 human osteoblastic cell line. Our results clearly demonstrate that icariin enhances the cell viability and increases the amount of calcified nodules, as well as increasing the expression ratio of OPG/RANKL in hFOB 1.19 cells. In addition, our results show that icariin upregulates the expression of ALP, BMP-2, Smad4, Cbfa1/Runx2, OPG and RANKL, suggesting that it promotes osteoblastic bone formation by the BMP-2/Smad4 signal transduction pathway.

Osteoporosis, a progressive disorder of aging bone, is a worldwide health problem with a high prevalence. Bone is a dynamic tissue whereby old bone is removed by osteoclasts and new bone is formed continuously by osteoblasts. Bone generation, maintenance and healing are complicated processes in which osteoblasts, osteoclasts, and osteocytes are known to play important roles (18). Multiple factors can cause the loss of bone mass, including increased bone turnover, which results in an imbalance of osteoclasts and osteoblasts at the bone remodeling process (19). Therefore, agents with an anabolic action on the bone may be effective in increasing the activity of osteoblasts and treating osteoporosis.

The study of Chinese herbs is worthwhile as this may lead to the discovery of certain agents which can stimulate the proliferation and differentiation of osteoblasts. Recently, Epimedium has received increased attention since many studies on animals and cell culture systems have indicated that icariin plays an important role in the prevention of osteoporosis (20,21). Hence, in the present study, we explored the effect of icariin on the hFOB 1.19 human osteoblastic cell line.

The results of the present study confirm that icariin stimulates the proliferation of hFOB 1.19 cells in a dose- and time-dependent manner. Osteoblasts are derived from mesenchymal stem cells. The sequential expression of type I collagen, ALP and the deposition of calcium are known as molecular markers. Human osteoblasts cultured for 48 h in the presence of 10−12, 10−9 and 10−6 M of icariin exhibited a significant increase in ALP activity, and the formation of mineralized nodules increased significantly after the cells were cultured for 14 days in the presence of 10−12, 10−9 and 10−6 M icariin. As the appearance of ALP activity is an early phenotypic marker for mature osteoblasts, and mineralized nodule formation is a phenotypic marker for a later stage of osteoblast differentiation, our results suggested that icariin stimulated bone formation. Further study is required to clarify the possible additional effects of icariin on renal Ca transport that contribute to the conservation of bone mass in animal models of osteoporosis.

BMPs play important roles in the regulation of bone induction, repair and maintenance (22). BMP-2 has demonstrated a strong osteo-inductive capacity, and has been shown to induce the osteoblastic differentiation of various types of cells, including pre-osteoblasts, undifferentiated mesenchymal cells and bone marrow stromal cells (23). The function of BMP-2 is mediated by heterotetrameric serine/threonine kinase receptors and the downstream transcription factors, Smad1, 5 and 8 (24). After these transcription factors are phosphorylated on serine residues, they form a complex with Smad4 (a common mediator), and subsequently the complex is translocated into the nucleus to activate the transcription of Cbfa1/Runx2, thereby regulating bone metabolism (25). Our results indicated that the BMP-2, Smad4 and Cbfa1/Runx2 expression increased in the icariin-treated hFOB 1.19 cells.

Osteoblasts are recruited to the resorption area and osteoclasts are activated to resorb old bone in the bone remodeling process. OPG and RANKL are critical in determining osteoclastogenesis and bone homeostasis (26,27). OPG blocks these effects and prevents bone resorption, whereas RANKL represents the osteoblast-derived factor required for osteoclast formation (28,29). The levels of OPG and RANKL play important roles in the regulation of the formation of hFOB 1.19 cells. Our study indicates that OPG and RANKL mRNA expression increases after treatment with icariin. As its stimulatory effects on OPG mRNA expression were stronger than those on RANKL mRNA expression, the effects of icariin at 10−9 and 10−6 M on the OPG/RANKL ratio were also stimulatory. These results suggest that icariin promotes bone formation through its direct actions on modulating the expression of OPG and RANKL.

Icariin, an active ingredient identified in Epimedium, is commonly used for the treatment of osteoporosis in traditional Chinese medicine. The present study clearly demonstrates that icariin modulates the process of bone formation via the regulation of the BMP-2/Smad4 signal transduction pathway in hFOB 1.19 cells. Our study provides the evidence to support the use of icariin as an effective candidate for the management of osteoporosis. Further studies are required to elucidate the mechanisms by which icariin protects against bone loss.

Acknowledgements

This study was supported by the National Natural Science Foundation of China (Grant no. 81102609), the Natural Science Foundation of Fujian Province (Grant no. 2011J05076) and the Youth Foundation of Fujian Provincial Health Bureau (Grant no. 2011-2-31).

References

1. 

D NarayananA AnithaR JayakumarSV NairKP ChennazhiSynthesis, characterization and preliminary in vitro evaluation of PTH 1–34 loaded chitosan nanoparticles for osteoporosisJ Biomed Nanotechnol8981062012

2. 

J PrzedlackiStrontium ranelate in post-menopausal osteoporosisEndokrynol Pol626572201121365582

3. 

G PadovaG BorzìL IncorvaiaPrevalence of osteoporosis and vertebral fractures in acromegalic patientsClin Cases Miner Bone Metab83743201122461828

4. 

NS DattaOsteoporotic fracture and parathyroid hormoneWorld J Orthop26774201110.5312/wjo.v2.i8.6722474638

5. 

G QianX ZhangL LuX WuS LiJ MengRegulation of Cbfa1 expression by total flavonoids of Herba epimediiEndocr J538794200610.1507/endocrj.53.8716543677

6. 

L QinT HanQ ZhangAntiosteoporotic chemical constituents from Er-Xian Decoction, a traditional Chinese herbal formulaJ Ethnopharmacol118271279200810.1016/j.jep.2008.04.00918501540

7. 

KM ChenHP MaBF GeIcariin enhances the osteogenic differentiation of bone marrow stromal cells but has no effects on the differentiation of newborn calvarial osteoblasts of ratsPharmazie627857892007

8. 

J HuangL YuanX WangTL ZhangK WangIcaritin and its glycosides enhance osteoblastic, but suppress osteoclastic, differentiation and activity in vitroLife Sci81832840200710.1016/j.lfs.2007.07.01517764702

9. 

SK MokWF ChenWP LaiIcariin protects against bone loss induced by oestrogen deficiency and activates oestrogen receptor-dependent osteoblastic functions in UMR 106 cellsBr J Pharmacol159939949201010.1111/j.1476-5381.2009.00593.x20128811

10. 

HP MaLG MingBF GeIcariin is more potent than genistein in promoting osteoblast differentiation and mineralization in vitroJ Cell Biochem112916923201110.1002/jcb.2300721328465

11. 

J ZhangY LiJ SunC LiuD ZhangSynergistic or antagonistic effect of MTE plus TF or icariin from Epimedium koreanum on the proliferation and differentiation of primary osteoblasts in vitroBiol Trace Elem Res14317461757201110.1007/s12011-011-8987-z21301987

12. 

J XiongCA O’BrienOsteocyte RANKL: new insights into the control of bone remodelingJ Bone Miner Res27499505201210.1002/jbmr.154722354849

13. 

SJ MlakarJ PrezeljJ MarcTesting GSTP1 genotypes and haplotypes interactions in Slovenian post-/pre-menopausal women: novel involvement of glutathione S-transferases in bone remodeling processMaturitas71180187201210.1016/j.maturitas.2011.11.02322221655

14. 

S SchmidtTM PostLA PeletierMA BoroujerdiM DanhofCoping with time scales in disease systems analysis: application to bone remodelingJ Pharmacokinet Pharmacodyn38873900201110.1007/s10928-011-9224-222028207

15. 

H CaoY KeY ZhangCJ ZhangW QianGL ZhangIcariin stimulates MC3T3-E1 cell proliferation and differentiation through up-regulation of bone morphogenetic protein-2Int J Mol Med29435439201222109711

16. 

T MatsubaraK KidaA YamaguchiBMP2 regulates Osterix through Msx2 and Runx2 during osteoblast differentiationJ Biol Chem2832911929125200810.1074/jbc.M80177420018703512

17. 

TP HsiehSY SheuJS SunMH ChenMH LiuIcariin isolated from Epimedium pubescens regulates osteoblasts anabolism through BMP-2, SMAD4, and Cbfa1 expressionPhytomedicine174144232010

18. 

G SwarnkarK SharanJA SiddiquiA novel flavonoid isolated from the steam-bark of Ulmus wallichiana planchon stimulates osteoblast function and inhibits osteoclast and adipocyte differentiationEur J Pharmacol6586573201121376034

19. 

M TabuchiK MiyazawaM KimuraEnhancement of crude bone morphogenetic protein-induced new bone formation and normalization of endochondral ossification by bisphosphonate treatment in osteoprotegerin-deficient miceCalcif Tissue Int77239249200510.1007/s00223-004-0223-9

20. 

S PengG ZhangY HeEpimedium-derived flavonoids promote osteoblastogenesis and suppress adipogenesis in bone marrow stromal cells while exerting an anabolic effect on osteoporotic boneBone45534544200910.1016/j.bone.2009.09.004

21. 

TP HsiehSY SheuJS SunMH ChenIcariin inhibits osteoclast differentiation and bone resorption by suppression of MAPKs/NF-κB regulated HIF-1α and PGE(2) synthesisPhytomedicine18176185201120554188

22. 

J NojimaK KanomataY TakadaDual roles of smad proteins in the conversion from myoblasts to osteoblastic cells by bone morphogenetic proteinsJ Biol Chem2851557715586201010.1074/jbc.M109.02801920231279

23. 

JE Sotillo RodriguezKC ManskyED JensenEnhanced osteoclastogenesis causes osteopenia in twisted gastrulation-deficient mice through increased BMP signalingJ Bone Miner Res2419171926200919419314

24. 

L WangX ZhangY GuoInvolvement of BMPs/Smad signaling pathway in mechanical response in osteoblastsCell Physiol Biochem2610931102201010.1159/00032398721220940

25. 

J ZhaoS OhbaM ShinkaiUI ChungT NagamuneIcariin induces osteogenic differentiation in vitro in a BMP- and Runx2-dependent mannerBiochem Biophys Res Commun369444448200810.1016/j.bbrc.2008.02.05418295595

26. 

Q XiaoA ChenF GuoEffects of Icariin on expression of OPN mRNA and type I collagen in rat osteoblasts in vitroJ Huazhong Univ Sci Technolog Med Sci25690692200510.1007/BF0289617216696327

27. 

B MaQ ZhangD WuStrontium fructose 1,6-diphosphate prevents bone loss in a rat model of postmenopausal osteoporosis via the OPG/RANKL/RANK pathwayActa Pharmacol Sin33479489201210.1038/aps.2011.17722426695

28. 

JW LeeA IwahashiS HasegawaCoptisine inhibits RANKL-induced NF-κB phosphorylation in osteoclast precursors and suppresses function through the regulation of RANKL and OPG gene expression in osteoblastic cellsJ Nat Med66816201221656335

29. 

A EnjuanesS Ruiz-GaspàP PerisThe effect of the alendronate on OPG/RANKL system in differentiated primary human osteoblastsEndocrine37180186201010.1007/s12020-009-9285-920963568

Related Articles

  • Abstract
  • View
  • Download
  • Twitter
Copy and paste a formatted citation
Spandidos Publications style
Liang W, Lin M, Li X, Li C, Gao B, Gan H, Yang Z, Lin X, Liao L, Yang M, Yang M, et al: Icariin promotes bone formation via the BMP-2/Smad4 signal transduction pathway in the hFOB 1.19 human osteoblastic cell line. Int J Mol Med 30: 889-895, 2012.
APA
Liang, W., Lin, M., Li, X., Li, C., Gao, B., Gan, H. ... Yang, M. (2012). Icariin promotes bone formation via the BMP-2/Smad4 signal transduction pathway in the hFOB 1.19 human osteoblastic cell line. International Journal of Molecular Medicine, 30, 889-895. https://doi.org/10.3892/ijmm.2012.1079
MLA
Liang, W., Lin, M., Li, X., Li, C., Gao, B., Gan, H., Yang, Z., Lin, X., Liao, L., Yang, M."Icariin promotes bone formation via the BMP-2/Smad4 signal transduction pathway in the hFOB 1.19 human osteoblastic cell line". International Journal of Molecular Medicine 30.4 (2012): 889-895.
Chicago
Liang, W., Lin, M., Li, X., Li, C., Gao, B., Gan, H., Yang, Z., Lin, X., Liao, L., Yang, M."Icariin promotes bone formation via the BMP-2/Smad4 signal transduction pathway in the hFOB 1.19 human osteoblastic cell line". International Journal of Molecular Medicine 30, no. 4 (2012): 889-895. https://doi.org/10.3892/ijmm.2012.1079
Copy and paste a formatted citation
x
Spandidos Publications style
Liang W, Lin M, Li X, Li C, Gao B, Gan H, Yang Z, Lin X, Liao L, Yang M, Yang M, et al: Icariin promotes bone formation via the BMP-2/Smad4 signal transduction pathway in the hFOB 1.19 human osteoblastic cell line. Int J Mol Med 30: 889-895, 2012.
APA
Liang, W., Lin, M., Li, X., Li, C., Gao, B., Gan, H. ... Yang, M. (2012). Icariin promotes bone formation via the BMP-2/Smad4 signal transduction pathway in the hFOB 1.19 human osteoblastic cell line. International Journal of Molecular Medicine, 30, 889-895. https://doi.org/10.3892/ijmm.2012.1079
MLA
Liang, W., Lin, M., Li, X., Li, C., Gao, B., Gan, H., Yang, Z., Lin, X., Liao, L., Yang, M."Icariin promotes bone formation via the BMP-2/Smad4 signal transduction pathway in the hFOB 1.19 human osteoblastic cell line". International Journal of Molecular Medicine 30.4 (2012): 889-895.
Chicago
Liang, W., Lin, M., Li, X., Li, C., Gao, B., Gan, H., Yang, Z., Lin, X., Liao, L., Yang, M."Icariin promotes bone formation via the BMP-2/Smad4 signal transduction pathway in the hFOB 1.19 human osteoblastic cell line". International Journal of Molecular Medicine 30, no. 4 (2012): 889-895. https://doi.org/10.3892/ijmm.2012.1079
Follow us
  • Twitter
  • LinkedIn
  • Facebook
About
  • Spandidos Publications
  • Careers
  • Cookie Policy
  • Privacy Policy
How can we help?
  • Help
  • Live Chat
  • Contact
  • Email to our Support Team