Spandidos Publications Logo
  • About
    • About Spandidos
    • Aims and Scopes
    • Abstracting and Indexing
    • Editorial Policies
    • Reprints and Permissions
    • Job Opportunities
    • Terms and Conditions
    • Contact
  • Journals
    • All Journals
    • Oncology Letters
      • Oncology Letters
      • Information for Authors
      • Editorial Policies
      • Editorial Board
      • Aims and Scope
      • Abstracting and Indexing
      • Bibliographic Information
      • Archive
    • International Journal of Oncology
      • International Journal of Oncology
      • Information for Authors
      • Editorial Policies
      • Editorial Board
      • Aims and Scope
      • Abstracting and Indexing
      • Bibliographic Information
      • Archive
    • Molecular and Clinical Oncology
      • Molecular and Clinical Oncology
      • Information for Authors
      • Editorial Policies
      • Editorial Board
      • Aims and Scope
      • Abstracting and Indexing
      • Bibliographic Information
      • Archive
    • Experimental and Therapeutic Medicine
      • Experimental and Therapeutic Medicine
      • Information for Authors
      • Editorial Policies
      • Editorial Board
      • Aims and Scope
      • Abstracting and Indexing
      • Bibliographic Information
      • Archive
    • International Journal of Molecular Medicine
      • International Journal of Molecular Medicine
      • Information for Authors
      • Editorial Policies
      • Editorial Board
      • Aims and Scope
      • Abstracting and Indexing
      • Bibliographic Information
      • Archive
    • Biomedical Reports
      • Biomedical Reports
      • Information for Authors
      • Editorial Policies
      • Editorial Board
      • Aims and Scope
      • Abstracting and Indexing
      • Bibliographic Information
      • Archive
    • Oncology Reports
      • Oncology Reports
      • Information for Authors
      • Editorial Policies
      • Editorial Board
      • Aims and Scope
      • Abstracting and Indexing
      • Bibliographic Information
      • Archive
    • Molecular Medicine Reports
      • Molecular Medicine Reports
      • Information for Authors
      • Editorial Policies
      • Editorial Board
      • Aims and Scope
      • Abstracting and Indexing
      • Bibliographic Information
      • Archive
    • World Academy of Sciences Journal
      • World Academy of Sciences Journal
      • Information for Authors
      • Editorial Policies
      • Editorial Board
      • Aims and Scope
      • Abstracting and Indexing
      • Bibliographic Information
      • Archive
    • International Journal of Functional Nutrition
      • International Journal of Functional Nutrition
      • Information for Authors
      • Editorial Policies
      • Editorial Board
      • Aims and Scope
      • Abstracting and Indexing
      • Bibliographic Information
      • Archive
    • International Journal of Epigenetics
      • International Journal of Epigenetics
      • Information for Authors
      • Editorial Policies
      • Editorial Board
      • Aims and Scope
      • Abstracting and Indexing
      • Bibliographic Information
      • Archive
    • Medicine International
      • Medicine International
      • Information for Authors
      • Editorial Policies
      • Editorial Board
      • Aims and Scope
      • Abstracting and Indexing
      • Bibliographic Information
      • Archive
  • Articles
  • Information
    • Information for Authors
    • Information for Reviewers
    • Information for Librarians
    • Information for Advertisers
    • Conferences
  • Language Editing
Spandidos Publications Logo
  • About
    • About Spandidos
    • Aims and Scopes
    • Abstracting and Indexing
    • Editorial Policies
    • Reprints and Permissions
    • Job Opportunities
    • Terms and Conditions
    • Contact
  • Journals
    • All Journals
    • Biomedical Reports
      • Information for Authors
      • Editorial Policies
      • Editorial Board
      • Aims and Scope
      • Abstracting and Indexing
      • Bibliographic Information
      • Archive
    • Experimental and Therapeutic Medicine
      • Information for Authors
      • Editorial Policies
      • Editorial Board
      • Aims and Scope
      • Abstracting and Indexing
      • Bibliographic Information
      • Archive
    • International Journal of Epigenetics
      • Information for Authors
      • Editorial Policies
      • Editorial Board
      • Aims and Scope
      • Abstracting and Indexing
      • Bibliographic Information
      • Archive
    • International Journal of Functional Nutrition
      • Information for Authors
      • Editorial Policies
      • Editorial Board
      • Aims and Scope
      • Abstracting and Indexing
      • Bibliographic Information
      • Archive
    • International Journal of Molecular Medicine
      • Information for Authors
      • Editorial Policies
      • Editorial Board
      • Aims and Scope
      • Abstracting and Indexing
      • Bibliographic Information
      • Archive
    • International Journal of Oncology
      • Information for Authors
      • Editorial Policies
      • Editorial Board
      • Aims and Scope
      • Abstracting and Indexing
      • Bibliographic Information
      • Archive
    • Medicine International
      • Information for Authors
      • Editorial Policies
      • Editorial Board
      • Aims and Scope
      • Abstracting and Indexing
      • Bibliographic Information
      • Archive
    • Molecular and Clinical Oncology
      • Information for Authors
      • Editorial Policies
      • Editorial Board
      • Aims and Scope
      • Abstracting and Indexing
      • Bibliographic Information
      • Archive
    • Molecular Medicine Reports
      • Information for Authors
      • Editorial Policies
      • Editorial Board
      • Aims and Scope
      • Abstracting and Indexing
      • Bibliographic Information
      • Archive
    • Oncology Letters
      • Information for Authors
      • Editorial Policies
      • Editorial Board
      • Aims and Scope
      • Abstracting and Indexing
      • Bibliographic Information
      • Archive
    • Oncology Reports
      • Information for Authors
      • Editorial Policies
      • Editorial Board
      • Aims and Scope
      • Abstracting and Indexing
      • Bibliographic Information
      • Archive
    • World Academy of Sciences Journal
      • Information for Authors
      • Editorial Policies
      • Editorial Board
      • Aims and Scope
      • Abstracting and Indexing
      • Bibliographic Information
      • Archive
  • Articles
  • Information
    • For Authors
    • For Reviewers
    • For Librarians
    • For Advertisers
    • Conferences
  • Language Editing
Login Register Submit
  • This site uses cookies
  • You can change your cookie settings at any time by following the instructions in our Cookie Policy. To find out more, you may read our Privacy Policy.

    I agree
Search articles by DOI, keyword, author or affiliation
Search
Advanced Search
presentation
International Journal of Molecular Medicine
Join Editorial Board Propose a Special Issue
Print ISSN: 1107-3756 Online ISSN: 1791-244X
Journal Cover
May-2016 Volume 37 Issue 5

Full Size Image

Sign up for eToc alerts
Recommend to Library

Journals

International Journal of Molecular Medicine

International Journal of Molecular Medicine

International Journal of Molecular Medicine is an international journal devoted to molecular mechanisms of human disease.

International Journal of Oncology

International Journal of Oncology

International Journal of Oncology is an international journal devoted to oncology research and cancer treatment.

Molecular Medicine Reports

Molecular Medicine Reports

Covers molecular medicine topics such as pharmacology, pathology, genetics, neuroscience, infectious diseases, molecular cardiology, and molecular surgery.

Oncology Reports

Oncology Reports

Oncology Reports is an international journal devoted to fundamental and applied research in Oncology.

Experimental and Therapeutic Medicine

Experimental and Therapeutic Medicine

Experimental and Therapeutic Medicine is an international journal devoted to laboratory and clinical medicine.

Oncology Letters

Oncology Letters

Oncology Letters is an international journal devoted to Experimental and Clinical Oncology.

Biomedical Reports

Biomedical Reports

Explores a wide range of biological and medical fields, including pharmacology, genetics, microbiology, neuroscience, and molecular cardiology.

Molecular and Clinical Oncology

Molecular and Clinical Oncology

International journal addressing all aspects of oncology research, from tumorigenesis and oncogenes to chemotherapy and metastasis.

World Academy of Sciences Journal

World Academy of Sciences Journal

Multidisciplinary open-access journal spanning biochemistry, genetics, neuroscience, environmental health, and synthetic biology.

International Journal of Functional Nutrition

International Journal of Functional Nutrition

Open-access journal combining biochemistry, pharmacology, immunology, and genetics to advance health through functional nutrition.

International Journal of Epigenetics

International Journal of Epigenetics

Publishes open-access research on using epigenetics to advance understanding and treatment of human disease.

Medicine International

Medicine International

An International Open Access Journal Devoted to General Medicine.

Journal Cover
May-2016 Volume 37 Issue 5

Full Size Image

Sign up for eToc alerts
Recommend to Library

  • Article
  • Citations
    • Cite This Article
    • Download Citation
    • Create Citation Alert
    • Remove Citation Alert
    • Cited By
  • Similar Articles
    • Related Articles (in Spandidos Publications)
    • Similar Articles (Google Scholar)
    • Similar Articles (PubMed)
  • Download PDF
  • Download XML
  • View XML
Article

Icariin regulates systemic iron metabolism by increasing hepatic hepcidin expression through Stat3 and Smad1/5/8 signaling

  • Authors:
    • Miao Zhang
    • Jing Liu
    • Wenli Guo
    • Xin Liu
    • Sijin Liu
    • Huijun Yin
  • View Affiliations / Copyright

    Affiliations: Department of Cardiovascular Diseases, Beijing Xiyuan Hospital, China Academy of Chinese Medical Sciences, Beijing 100091, P.R. China, State Key Laboratory of Environmental Chemistry and Ecotoxicology, Research Center for Eco-Environmental Sciences, Chinese Academy of Sciences, Beijing 100085, P.R. China
  • Pages: 1379-1388
    |
    Published online on: April 1, 2016
       https://doi.org/10.3892/ijmm.2016.2545
  • Expand metrics +
Metrics: Total Views: 0 (Spandidos Publications: | PMC Statistics: )
Metrics: Total PDF Downloads: 0 (Spandidos Publications: | PMC Statistics: )
Cited By (CrossRef): 0 citations Loading Articles...

This article is mentioned in:



Abstract

Systemic iron homeostasis is strictly controlled under normal conditions to ensure a balance between the absorption, utilization, storage and recycling of iron. The hepcidin-ferroportin (FPN) axis is of critical importance in the maintenance of iron homeostasis. Hepcidin deficiency gives rise to enhanced dietary iron absorption, as well as to increased iron release from macrophages, and this in turn results in iron accumulation in the plasma and organs, and is associated with a range of tissue pathologies. Low hepcidin levels have been demonstrated in most forms of hereditary hemochromatosis (HH), as well as in β-thalassemia. Therapies that increase hepcidin concentrations may potentially play a role in the treatment of these iron overload-related diseases. To date, natural compounds have not been extensively investigated for this purpose, to the best of our knowledge. Thus, in the present study, we screened natural compounds that have the potential to regulate hepcidin expression. By performing hepcidin promoter-luciferase assay, RT-qPCR and animal experiments, we demonstrated that icariin and berberine were potent stimulators of hepcidin transcription. Mechanistic experiments indicated that icariin and berberine increased hepcidin expression by activating the signal transducer and activator of transcription 3 (Stat3) and Smad1/5/8 signaling pathways. The induction of hepcidin was confirmed in mice following icariin administration, coupled with associated changes in serum and tissue iron concentrations. In support of these findings, the icariin analogues, epimedin A, B and C, also increased hepatic hepcidin expression. However, these changes were not observed in hepcidin-deficient [Hamp1-/- or Hamp1‑knockout (KO)] mice following icariin administration, thereby verifying hepatic hepcidin as the target of icariin. Although berberine exhibited a robust capacity to promote hepcidin expression in vitro, it failed to alter hepcidin expression in mice. Taken together, the findings of the present study suggest that icariin exhibits a robust capacity to increase hepatic hepcidin expression and to modulate systemic iron homeostasis. The present study therefore highlights the significance of using natural compounds to ameliorate iron disorders through the regulation of hepcidin expression.

Introduction

Iron is an essential metal involved in a large array of biological processes, such as energy metabolism, DNA replication and other important cellular functions (1–3). Systemic iron homeostasis is accurately and strictly governed to ensure a balance between iron absorption, utilization and storage in mammals (4). Hepcidin is the central hormone secreted by hepatocytes that plays a fundamental role in the regulation of iron flow through limiting dietary iron absorption from the duodenum and reducing iron egress from macrophages (5). Hepcidin achieves this effect by binding to its receptor, ferroportin (FPN; the only known iron exporter thus far), on the plasma membrane of target cells and inducing its internalization and degradation (5). The misregulation of hepcidin gives rise to several types of iron disorders, including refractory iron deficiency anemia, as well as iron overload-related diseases, such as hereditary hemochromatosis (HH) and β-thalassemia (6). HH is characterized by enhanced iron absorption and, consequently, iron overload in various organs due to the low hepcidin levels (7). Hepcidin deficiency derives from genetic mutations in hepcidin itself, or in other genes encoding its upstream regulators, such as the human hemochromatosis protein (HFE) and transferrin receptor 2 (TFR2) (6). Insufficient hepcidin levels result in elevated FPN concentrations and this facilitates dietary iron absorption and increases iron egress from macrophages (8). As a result, excess iron accumulates in the liver and other organs, eventually leading to iron overload and tissue injuries. β-thalassemia is also a type of iron overload-related disease characterized by low hepcidin levels, although the mechanisms involved differ somewhat from those leading to HH (9–11). Therefore, strategies that are able to increase the circulating hepcidin concentrations may be promising therapies for iron overload-related diseases, including HH and β-thalassemia. For this purpose, hepcidin mimics and agonists are under development (8).

Exhaustive and ongoing efforts are being made in search of natural botanical compounds for use in the treatment of a wide spectrum of disorders, including various types of cancer and hematological diseases. Sometimes drugs derived from natural compounds often exhibit greater efficacy than drugs manufactured synthetically. To date, to the best of our knowledge, no extract or natural botanical compound has been found that can upregulate hepcidin expression. To this end, in the present study, we assessed 12 pure natural compounds with the potential to modulate iron metabolism. All these compounds are extracts from traditional Chinese herbal medicinal plants, and many of them have been reported to be effective therapeutically for multiple disorders, including inflammation, oxidative injuries and cardiovascular diseases (12–20). According to the Chinese Pharmacopoeia (21), all of these compounds are capable of improving microcirculation and have the potential to modulate blood cell formation. Thus, we deliberately selected these compounds in the present study. Of these compounds, icariin was found to markedly stimulate hepcidin expression in vitro and in vivo. Mechanistic experiments indicated that icariin increased hepcidin transcription through a combination of the activation of the signal transducer and activator of transcription 3 (Stat3) and Smad1/5/8 signaling pathways. Our combined data therefore suggest that icariin represents a promising therapeutic strategy for restricting iron absorption and iron egress from macrophages, and hence for ameliorating iron overload-related diseases by regulating hepcidin-FPN signaling.

Materials and methods

Chemicals and reagents

The following pure natural compounds extracted from Chinese medicinal plants were purchased from the National Institutes for Food and Drug Control of China (Beijing, China) with >99.5% purity: propyl gallate, C10H12O5; resveratrol, C14H12O3; astragaloside, C41H68O14; curcumin, C21H20O6; paeoniflorin, C23H28O11; ligustrazine, C8H12N2·HCl·2H2O; ferulic acid, C10H10O4; ginsenoside Rb1, C54H92O23; wogonin, C16H12O5; liquiritin, C21H22O9; berberine, C20H18NO4; icariin, C33H40O15; epimedin A, C39H50O19; epimedin B, C38H48O19; and epimedin C, C39H50O19. Dimethyl sulfoxide (DMSO; Solarbio, Beijing, China) was used to dissolve these compounds, and the final concentration of DMSO in the culture medium was <0.5%.

Cell culture and treatments

The human hepatocellular carcinoma cell line, HepG2, and the mouse hepatocellular carcinoma cell line, Hepa 1-6, obtained from the Institute of Biochemistry and Cell Biology, Shanghai Institute for Biological Sciences, Chinese Academy of Sciences were cultured in RPMI-1640 and Dulbecco's modified Eagle's medium (DMEM), respectively, supplemented with 10% heat-inactivated fetal bovine serum (FBS) (all from Gibco, Grand Island, NY, USA) at 37°C under a humidified atmosphere with 5% CO2, as previously described (22,23). The cells were collected for RNA or protein extraction 24 h after being subjected to the various treatments (the cells were treated with the various compounds at concentrations of 5 µM for 24 h). Untreated (control) cells were cultured with the corresponding DMSO-containing medium.

Cytotoxicity assay

The cytotoxicity of the natural compounds was evaluated using an MTT assay kit according to the manufacturer's instructions (Roche Life Science, Basel, Switzerland). Briefly, the HepG2 and the Hepa 1-6 cells were first serum-starved overnight, then inoculated into 96-well plates with 5,000 cells/well. The cells were then subjected to the different treatments. The cells were cultured for an additional 24 h, and subsequently, 20 µl MTT solution (5 mg/ml) was added to each well, followed by incubation for a further 4 h. At the end of the incubation period, 200 µl DMSO were added to each well, and the absorbance at 490 nm was measured using a microplate reader (Thermo Fisher Scientific, Waltham, MA, USA).

Luciferase assay

The HepG2 and the Hep 1-6 cells were seeded at 2×105 cells/well in a 24-well plate 12 h prior to transfection. The cells were then co-transfected with 0.8 µg of a hepcidin-promoter-luciferase plasmid and 80 ng of Renilla luciferase plasmid with Lipofectamine 2000 in accordance with the manufacturer's instructions (Invitrogen, Carlsbad, CA, USA). The medium was replaced with RPMI-1640 or DMEM containing 10% FBS 6 h later, and the cells were then treated with each compound (at 5 µM) for 24 h. Afterwards, the cells were collected and washed with PBS, and finally lysed in lysis buffer (Promega, Madison, WI, USA). The cell lysates were then assessed for luciferase activity using the Dual-Luciferase Reporter assay system (Promega). The relative firefly luciferase activity for each sample was normalized to that of Renilla luciferase.

RNA extraction and RT-qPCR

Total RNA was purified from the cells using TRIzol reagent according to the manufacturer's instructions (Invitrogen Grand, NY, Island, USA). Total RNA from liver specimens (obtained from mice, as described below) was also extracted using TRIzol reagent according to the manufacturer's instructions after the specimens were pulverized in liquid nitrogen. The mRNA expression levels were assessed by performing qPCR using SYBR-Green qPCR Master Mix (Qiagen, Valencia, CA, USA). Glyceraldehyde 3- phosphate dehydro genase (GAPDH) was used as a housekeeping gene for the normalization of relative gene expression. The primer sequences used were as follows: human hepcidin forward, 5′-CCTGACCAGTGGCTCTGTTT-3′ and reverse, 5′-CACATCCCACACTTTGATCG-3′; human GAPDH forward, 5′-GAAGGTGAAGGTCGGAGT-3′ and reverse, 5′-GAAGATGGTGATGGGATTTC-3′; mouse hepcidin forward, 5′-CTGAGCAGCACCACCTATCTC-3′ and reverse, 5′-TGGCTCTAGGCTATGTTTTGC-3′; and mouse GAPDH forward, 5′-AAGGTCATCCCAGAGCTG′ and reverse, 5′-GCCATGAGGTCCACCACCCT-3′.

Western blot analysis

Following treatment with the compounds, HepG2 cells were harvested in cold PBS, and total proteins were then extracted using RIPA lysis buffer (Solarbio) supplemented with protease inhibitor cocktail (Roche Life Science). Interleukin (IL)-6 was used as positive control for p-Stat3 detection, which was purchased from Sigma Aldrich. Proteins were extracted following 24 h of administration at 100 ng/ml. Equal amounts of protein lysates for each sample were subjected to SDS-PAGE and western blot analysis following a standard procedure, as previously described (24,25). The primary antibodies used were as follows: anti-p-Smad1/5/8 (1:1,000; sc-12353) and anti-Smad1 (1:1,000; sc-7965) antibodies (both from Santa Cruz Biotechnology, Santa Cruz, CA, USA); anti-p-Stat3 (1:1,000; 9145) and anti-Stat3 (1:1,000; 9139) antibodies (both from Cell Signaling Technology, Danvers, MA, USA); and anti-GAPDH (1:2,000; G8795; Sigma-Aldrich, St. Louis, MO, USA). Protein quantification was performed using ImageJ software (NIH, http://rsb.info.nih.gov/ij/).

Animal experiments

All animal care and experimental procedures were approved by the Animal Ethics Committee at Xiyuan Hospital, China Academy of Chinese Medical Sciences (Beijing, China). Eight-week-old mice were used in this study. Wild-type (Wt) ICR mice were purchased from the Laboratory Animal Technology Co., Ltd. (Beijing, China), and housed in a central specific pathogen-free (SPF) facility at the Beijing Xiyuan Hospital. Hepcidin-deficient [Hamp1−/− or Hamp1-knockout (KO)] mice were originally provided by Dr Sophie Vaulont [Institut National de la Santé et de la Recherche Médicale (INSERM)] (26) and have been back-crossed into the C57BL/6 background (27). To deplete iron, the Hamp1−/− mice were placed on a low-iron diet (4 ppm iron) 1 week prior to the administration of the compounds. This method was developed to reduce the serum iron content in the Hamp1−/− mice in order to more clearly demonstrate changes in serum iron levels following the administration of the compounds. The mice were randomly grouped with 8 mice in each group (n=8). The compounds were administered intraperitoneally to the mice at a dose of 100 mg/kg body weight. The control mice received PBS containing DMSO at the relevant concentration. For the short-term treatment experiments, the mice were sacrificed 6 or 48 h after the injection of the compounds. With respect to the long-term treatments, the compounds were administered to the mice every 2 days, and the mice were sacrificed on days 4, 8 or 16. Lipopolysaccharide (LPS) was used as a positive control and was purchased from Sigma-Aldrich. Mice were administrated with LPS at 100 µg/mouse for 6 h. Blood was collected, and liver and spleen specimens from each mouse were isolated and individually separated. A small section of each liver specimen was quickly frozen in liquid nitrogen and then stored at −80°C for future RNA extraction.

Iron parameters

The serum iron levels were determined using a serum iron detection kit according to the manufacturer's instructions (Nanjing Jiancheng Bioengineering Institute, Nanjing, China). Hepatic and spleen iron contents were determined following the established protocols in our laboratory, as previously described (25). Briefly, liver and spleen specimens were first digested with an acid solution at 65°C for 72 h. Thereafter, chromagen working solution was added to each supernatant. Finally, the absorption at 535 nm was measured using a microplate reader (Thermo Fisher Scientific).

Histological examination

The liver specimens were fixed in 10% buffered formaldehyde, and embedded in paraffin. The deparaffinized sections were stained with hematoxylin and eosin (H&E), following a standard protocol, as previously described (25,28,29).

Statistical analysis

The SPSS 17.0 statistics package was used to analyze the experimental data. One-way analysis of variance (ANOVA) was used to differentiate the mean differences among groups compared to the control group. The differences between 2 groups were determined using an independent Student's t-test. All experimental data are presented as the means ± SD. A P-value <0.05 was considered to indicate a statistically significant difference.

Results

Screening of natural compounds for modulating hepcidin expression

The liver (where hepatocytes secrete hepcidin) is the predominant organ for the secretion of hepcidin into the circulation in order to regulate iron homeostasis (30). Thus, in this study, we used liver-derived cell lines. HepG2 and Hepa 1-6 are established hepatocyte cell lines representative of human cells and mouse cells, respectively. In an effort to investigate the potential role of natural compounds in the modulation of hepcidin expression, we screened 12 pure natural products using the dual hepcidin luciferase assay. The reporter construct was developed by our research group with the human hepcidin promoter fragment (1.6 kb) upstream of the firefly luciferase gene, as previousy described (31). The screening assay was performed in both the HepG2 and Hepa 1-6 cells. Prior to screening, cytotoxicity was evaluated by MTT assay. All these compounds exhibited no significant toxicity to both the HepG2 and Hepa 1-6 cells, with only a mild reduction in cell viability observed at higher concentrations of berberine, curcumin, icariin and wogonin (data not shown). Thus, we used a concentration of 5 µM in the initial screening assay, and cell viability was not impaired by any of the compounds (data not shown). Following treatment with the compounds for 24 h, hepcidin-luciferase activity was measured. As shown in Table I, propyl gallate, resveratrol, berberine, icariin and wogonin were observed to enhance hepcidin-luciferase activity by >2-fold in the HepG2 cells, compared to the untreated controls (P<0.05). Astragaloside, ligustrazine, ginsenoside Rb1 and liquiritin were found to enhance hepcidin-luciferase activity by approximately 50% in the HepG2 cells compared with the untreated controls (P<0.05). However, curcumin, paeoniflorin and ferulic acid failed to significantly alter hepcidin-luciferase activity in the HepG2 cells (P>0.05). Analogously, in the Hepa 1-6 cells, berberine, icariin and wogonin promoted hepcidin-luciferase activity by >2-fold compared with the untreated controls (P<0.05), which was consistent with the results observed in the HepG2 cells. Ferulic acid, ginsenoside Rb1 and liquiritin were able to stimulate hepcidin-luciferase activity by approximately 50% in the Hepa 1-6 cells in comparison with the untreated cells (P<0.05). The remaining compounds (propyl gallate, resveratrol, astragaloside, curcumin, paeoniflorin and ligustrazine) failed to significantly alter the hepcidin-luciferase activity in the Hepa 1-6 cells (P>0.05). Taken together, these findings indicated that berberine, icariin and wogonin exerted a robust stimulatory effect on hepcidin transcription in both the HepG2 and Hepa 1-6 cells. Thus, these 3 compounds were selected for use in our subsequent experiments.

Table I

Changes in relative luciferase activity in cells treated with the various compounds compared to the untreated controls

Table I

Changes in relative luciferase activity in cells treated with the various compounds compared to the untreated controls

CompoundsHepG2Hepa 1-6
Propyl gallate↑↑↑↑a–
Resveratrol↑↑↑↑a–
Astragaloside↑a–
Curcumin––
Paeoniflorin––
Ligustrazine↑a–
Ferulic acid–↑a
Ginsenoside Rb1↑a↑a
Liquiritin↑a↑a
Berberine↑↑↑↑a↑↑↑↑a
Icariin↑↑↑↑a↑↑↑↑a
Wogonin↑↑↑↑a↑↑↑↑a

{ label (or @symbol) needed for fn[@id='tfn1-ijmm-37-05-1379'] } Arrows represent changes in relative luciferase activity as follows: 1 arrow, ~50% increase; and 4 arrows, >200% increase. Dash (-) indicates no significant change. Three independent experiments were performed with 6 biological replicates (n=6).

a p<0.05, compared to the untreated control.

Validation of screening data using RT-qPCR

To confirm the screening results described above, RT-qPCR was employed to determine the hepcidin mRNA levels following treatment with the selected compounds. As shown in Fig. 1, hepcidin expression in the HepG2 cells was increased by approximately 2-fold by icariin at a concentration of 5 µM, and was further increased at concentrations of 20 and 50 µM by approximately 3-fold, compared with the untreated cells (P<0.05). Similarly, hepcidin expression in the Hepa 1-6 cells was induced by icariin (at concentrations of 5, 20 and 50 µM) in a dose-dependent manner, with a maximum increase observed at the concentration of 50 µM of approximately 3-fold compared to the controls (Fig. 1; P<0.05). Analogously, berberine increased hepcidin expression in the HepG2 cells by >3-fold at both 5 and 50 µM compared with the untreated cells (Fig. 1; P<0.05). In parallel to the HepG2 cells, hepcidin expression was elevated by approximately 4-fold in the Hepa 1-6 cells by berberine at both 5 and 50 µM (Fig. 1; P<0.05). By contrast, wogonin failed to alter hepcidin expression, and this was revealed by RT-qPCR (data not shown). Based on these results, the stimulatory effects of icariin and berberine on hepcidin expression were further demonstrated by the results of RT-qPCR, and we therefore selected these two compounds for further detailed evaluation.

Figure 1

Assessment of hepcidin expression in hepatocytes following treatment with icariin and berberine. Relative hepcidin expression in HepG2 and Hepa 1-6 cells following treatment with the compounds at various concentrations (n=4 replicates). Cells were first seeded in 6-well plates and then treated with the compounds at various concentrations, as indicated. Following treatment for 24 h, RNA was extracted for following qPCR assay. The relative hepcidin level in the untreated cells was defined as 1 for both the HepG2 and Hepa 1-6 cells. GAPDH was used as an internal control. *P<0.05, compared with untreated control.

Icariin and berberine regulate hepcidin expression through Stat3 and Smad1/5/8 signaling

To elucidate the molecular mechanisms responsible for the promotion of hepcidin expression by icariin and berberine, we explored the signaling pathways involved in the regulation of hepcidin expression. Although the regulation of hepcidin expression is rather complex, two signaling pathways are known to predominantly control hepcidin expression under normal and pathological conditions: the Stat3 pathway and the Smad1/5/8 pathway (6,8). Upon activation of one or both of these pathways, hepcidin expression is expected to rise, which inhibits dietary iron absorption, as well as iron egress from macrophages (6,8). Thus, in this study, we examined the activation of the Stat3 pathway and the Smad1/5/8 pathway in HepG2 cells following treatment with icariin or berberine. As shown in Fig. 2A, both icariin and berberine were found to markedly increase the p-Stat3 and p-Smad1/5/8 levels compared to the untreated control cells. Since IL-6 has been shown to increase hepcidin expression by activating the Stat3 signaling pathway (32,33), it was used in this study as a positive control to increase the p-Stat3 level (Fig. 2A). In addition, a compound (namely wogonin) that did not alter hepcidin expression was used as a negative control (Fig. 2A).

Figure 2

Alterations in phosphorylated (p-)Stat3 and p-Smad1/5/8 levels in HepG2 cells following treatment with icariin and berberine. (A) Cells were treated with icariin, berberine or wogonin at 5 µM or with interleukin (IL)-6 at 100 ng/ml for 24 h. Cells were then collected for total protein extraction. The changes in p-Stat3 and p-Smad1/5/8 concentrations were determined by western blot analysis. (B) HepG2 cells were treated with icariin and berberine at 5 or 50 µM for 24 h, followed by western blot analysis. Quantification of (C) Stat3 phosphorylation and (D) Smad1/5/8 phosphorylation levels are shown following normalization to total Stat3 and total Smad1 (n=3 replicates). GAPDH was used as an internal control. *P<0.05, compared with untreated control.

Furthermore, the dose-dependent effects of icariin and berberine on Stat3 and Smad1/5/8 were examined. As illustrated in Fig. 2B, icariin was observed to increase the level of p-Stat3, particularly at 50 µM. Icariin was also found to increase the level of p-Smad1/5/8, relative to the untreated cells, particularly at 50 µM (Fig. 2B). The quantitative analysis of Stat3 phosphorylation and Smad1/5/8 phosphorylation is shown in Fig. 2C and D, respectively. These observations suggest that icariin upregulates hepcidin expression through both the Stat3 and Smad1/5/8 pathways. Moreover, icariin at a higher concentration (at 50 µM) exhibited a greater ability to activate the Stat3 and Smad1/5/8 pathways than at the lower concentration (at 5 µM), in parallel to the greater induction of hepcidin expression observed with 50 µM icariin (Fig. 1). Similar to icariin, berberine was also demonstrated to activate both the Stat3 and Smad1/5/8 pathways, as indicated by a significant increase in the levels of p-Stat3 and p-Smad1/5/8 (Fig. 2A–D). It should be noted that neither icariin nor berberine altered the basal levels of total Stat3 and Smad1, as shown by the results of western blot analysis (Fig. 2A and B). Taken together, these results demonstrated that the promotion of hepcidin expression by icariin and berberine was due to the activation of both the Stat3 and Smad1/5/8 pathways; namely, these two signaling pathways jointly promoted hepcidin expression in hepatocytes in response to treatment with icariin and berberine. It should also be noted that it is not possible to exclude the involvement of other pathways which may also have been affected by icariin and berberine.

Icariin regulates hepatic hepcidin expression in mice

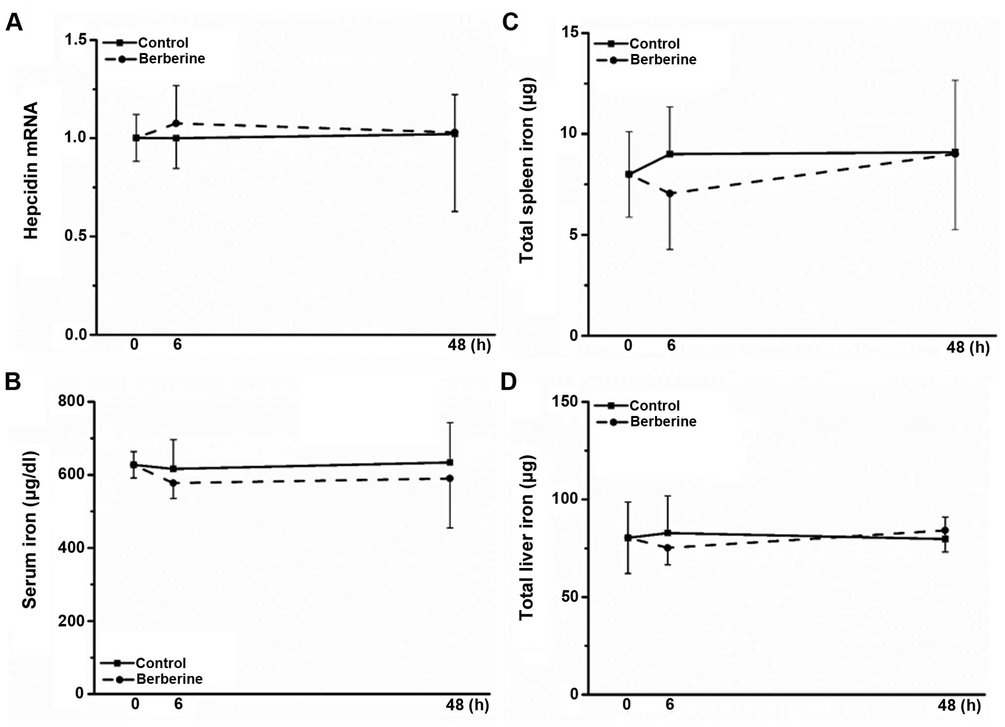
To determine whether the in vitro effects of icariin and berberine can be reproduced in vivo, we administered both compounds to mice. As shown in Fig. 3A, consistent with the in vitro results, icariin enhanced hepatic hepcidin mRNA expression by approximately 50% (P<0.05) 6 h following the administration of icariin, and a maximum induction (>2.5-fold, P<0.05) was observed on day 2 post-icariin administration, compared with the untreated mice (Fig. 3A). The stimulatory effects on hepatic hepcidin expression declined at later time points (Fig. 3A). As a result of alterations in hepatic hepcidin expression, serum iron levels were correspondingly altered, as shown in Fig. 3B. The serum iron concentration was markedly reduced at 6 h by approximately 40% in the mice treated with icariin, compared with the untreated mice (Fig. 3B; P<0.05). The serum iron concentration was consecutively lower following treatment with icariin compared to the controls on days 2, 4 and 8 (P<0.05), reaching similar levels to those of the untreated mice on day 16 (Fig. 3B). Subject to the changes in hepatic hepcidin levels, the spleen iron concentrations were also altered accordingly. As shown in Fig. 3C, the total spleen iron levels were continuously higher following treatment with icariin than those of the untreated mice from 6 h to the end of the administration on day 16 (P<0.05). By contrast, the changes in total hepatic iron levels were less significantly altered upon icariin administration than the spleen iron levels, although they were also higher compared to the controls (Fig. 3D; P>0.05); these results are in agreement with those of previous studies showing the constant hepatic iron content in response to external stimuli (28,29). Notably, berberine did not promote hepcidin expression in mice (Fig. 4A), and no significant alterations in serum, liver and spleen iron levels were observed (Fig. 4B–D); the in vivo results obtained for hepcidin expression were inconsistent with the in vitro results described above.

Figure 3

Hepatic hepcidin mRNA expression and changes in iron status in mice treated with icariin. Mice were treated with icariin at 100 mg/kg body weight, and were sacrificed at different time points, as indicated. Blood and organ specimens were collected for analyses. (A) Relative hepatic hepcidin expression was revealed by RT-qPCR (n=8 mice per group). The relative hepcidin level in the untreated mice (the control group) was defined as 1. GAPDH was used as an internal control for RT-qPCR. Levels of (B) serum iron, (C) spleen iron and (D) liver iron at each time point following icariin treatment were assayed (n=8 mice per group). *P<0.05, compared with the corresponding untreated mice at the same time points. A bracket with a P-value is presented on the right side showing the overall trend.

Figure 4

Changes in hepcidin and iron levels in mice treated with berberine. Mice were treated with berberine at 100 mg/kg body weight. Mice were then sacrificed at different time points for the following assays. (A) Hepatic hepcidin expression levels were determined by RT-qPCR (n=8 mice per group). GAPDH was used as an internal control. Levels of (B) serum iron, (C) spleen iron and (D) liver iron were also determined (n=8 mice per group).

To further investigate our in vivo findings, ligustrazine (which showed a limited ability to alter hepcidin expression in vitro, as shown in Table I) was administered to the mice as a control. Ligustrazine did not alter the hepcidin expression levels or the body iron status (data not shown). Furthermore, LPS was used as a positive control to induce hepcidin expression in the mice, as previously described (29). It has been previously established that LPS increases hepcidin expression through an inflammatory mechanism (34–36). Exposure to LPS significantly increased hepatic hepcidin expression and there were corresponding alterations in body iron status (data not shown). These data further supported our findings regarding the icariin-mediated regulation of hepcidin expression.

No significant hepatotoxicity was observed in the liver specimens from the mice administered icariin. As shown in Fig. 5, no noticeable alterations (no disordered hepatic cords or enlarged central veins) were observed in the liver specimens obtained from the mice treated with icariin for 48 h. This piece of evidence based on histological examination indicated the safety of icariin for in vivo administration.

Figure 5

Histological examination of liver specimens. Mice were treated with icariin at 100 mg/kg body weight for 48 h. Liver specimens were subsequently fixed for histological examination. The representative images of hematoxylin and eosin (H&E) stained liver sections are presented. Original magnification, ×100.

To further examine the regulatory effects of icariin on hepcidin expression, 3 analogues of icariin, epimedin A, B and C (which harbor structural similarities to icariin, as depicted in Fig. 6) were also administered to the mice. As shown in Fig. 7A, epimedin A, B and C all significantly increased hepatic hepcidin expression, particularly epimedin B and C (P<0.05). As a result, the serum, spleen and hepatic iron levels were altered accordingly, with more potent effects being observed following the administration of epimedin C (Fig. 7B–D). Collectively, these results suggested that icariin and its analogues exhibited a robust ability to modulate hepatic hepcidin concentrations in mice, which were associated with corresponding alterations in systemic iron levels.

Figure 6

Molecular structure of icariin and its analogues, epimedin A, B and C.

Figure 7

Changes in hepcidin expression and body iron content in mice following the administration of epimedin A, B and C. Mice were treated with epimedin A, B and C at 100 mg/kg body weight for 48 h. Thereafter, (A) hepatic hepcidin expression, (B) serum iron, (C) total spleen iron and (D) total liver iron levels were examined (n=8). *P<0.05, compared with untreated control.

Icariin fails to alter body iron content in Hamp1−/− mice

To confirm the above-mentioned finding that icariin regulates iron homeostasis by altering hepatic hepcidin expression, we used Hamp1−/− mice, as previously described (26). Hamp1−/− mice do not produce functional hepcidin, and these mice thus develop severe iron overload in the serum and organs after weaning. To more clearly demonstrate changes in serum iron levels in the animals that were already iron-loaded, we depleted body iron by placing these mice on a low-iron diet. In other words, this regime would in fact increase the sensitivity of these Hamp1−/−mice to the administration of the compounds. Following iron depletion, we observed a significant reduction in the serum iron levels in the Hamp1−/− mice (data not shown). As shown in Fig. 8A, the serum iron levels were not significantly altered in the Hamp1−/− mice following the administration of icariin at the same dose as that administered to the Wt ICR mice, as described above, i.e., at 100 mg/kg body weight, for 6, 24 or 48 h (P>0.05). Moreover, there were no significant changes observed in the total hepatic or spleen iron levels in the icariin-treated Hamp1−/− mice, compared with the untreated control mice (Fig. 8B and C). These data further demonstrate that icariin predominantly targets hepatic hepcidin expression in order to modulate iron homeostasis.

Figure 8

Changes in iron content Hamp1−/− mice upon icariin treatment. Hamp1−/− mice were treated with icariin at 100 mg/kg body weight for 6, 24 and 48 h. Iron levels in (A) serum, (B) liver and (C) spleen were determined (n=8 mice per group).

Discussion

The primary therapies for iron overload-related diseases are bloodletting (phlebotomy) and iron chelation. However, these therapies have significant limitations. For instance, repeated phlebotomy may lead to anemia (37) and long-term administration of iron chelators may also cause infections, gastrointestinal disorders and skin damage (38). Therefore, increasing hepcidin expression is a potential alternative strategy to relieve iron overload in HH and β-thalassemia, and also to diminish the severity of β-thalassemia by reducing ineffective erythropoiesis. Hepcidin analogue peptides (minihepcidins) have been investigated for their ability to relieve iron overload in hepcidin-KO mice, although they are not orally available (27). It has been demonstrated that genistein, a small molecule, increases hepcidin expression through Stat3-dependent and Smad4-dependent pathways in HepG2 cells (39). A recent chemical screen also identified 16 small molecules that induce hepcidin expression in human HepG2 cells, although animal studies were not performed (40). In comparison with proteins and synthesized chemicals, natural compounds from medicinal plants have novel features, including replete supply, high stability and low toxicity (41,42). A previous study suggested that some medicinal plant extracts may repress hepcidin expression (43). Among the 16 medicinal plant extracts tested in that study (43), Caulis Spatholobi (CS; also known as Jixueteng, the stem of Spatholobus suberectus Dann) exhibited the most potent inhibitory effect on hepcidin expression. However, to the best of our knowledge, no natural compounds or extracts from traditional Chinese medicinal plants have been demonstrated to increase hepcidin levels thus far. In the present study, we screened 12 pure natural compounds extracted from traditional Chinese medicinal plants, namely, propyl gallate, resveratrol, astragaloside, curcumin, paeoniflorin, ligustrazine, ferulic acid, ginsenoside Rb1, wogonin, liquiritin, berberine and icariin to examine their effects on hepcidin expression. According to the Chinese Pharmacopoeia (21), these compounds may have the ability to improve blood supply, implying that they may potentially enhance red blood cell formation and alter iron metabolism. In this study, we set up a pipeline to identify compounds that have the potential to modulate hepcidin expression. Firstly, we used a luciferase reporter system to screen these compounds in two cell lines. The results indicated that only wogonin, icariin and berberine promoted hepcidin expression by >2-fold in both cell lines. Thereafter, wogonin, icariin and berberine were subjected to RT-qPCR analysis. The results revealed that only icariin and berberine, but not wogonin (data not shown), significantly increased hepcidin expression in both cell lines. In subsequent animal experiments, only icariin, but not berberine, increased hepatic hepcidin expression. The icariin analogues epimedin A, B and C also increased hepcidin expression. Epimedin A has the hydroxyl in the rhamnose C-2 position substituted by glucose, whereas in epimedin B and C, xylose and rhamnose, respectively, are substituted at this position. Our combined data suggested that the parental flavone framework likely dictates the structure-activity relationship (SAR) and that the glycosylation derivatives may affect the SAR and consequently affect the way in which the compound regulates hepcidin expression.

We further investigated the molecular mechanisms responsible for the stimulatory effects of icariin on hepcidin expression. The Stat3 and Smad1/5/8 signaling pathways are two important pathways which regulate hepatic hepcidin expression under physiological and pathological conditions (4,44). We found that both the Stat3 and Smad1/5/8 pathways were activated by icariin. Furthermore, in support of the data obtained from the animal experiments, the iron levels in the Hamp1−/− mice did not respond to icariin, suggesting that icariin affects iron levels through a hepcidin-dependent mechanism. Additionally, icariin at the dose used did not cause noticeable toxicity to the liver. Icariin is a flavonol glycoside purified from plants of the genus Epimedium (45), and previous studies have documented that it has multiple functions which include roles in reducing oxidative stress, limiting apoptosis, protecting the cardiovascular system and promoting angiogenesis (46–49). The present study is the first, to the very best of our knowledge, to reveal that icariin regulates iron metabolism by modulating hepcidin expression.

In conclusion, this study demonstrated that icariin and icariin-like natural compounds purified from traditional Chinese medicinal plants enhanced hepatic hepcidin transcription. At the molecular level, icariin was demonstrated to simultaneously activate Stat3 signaling and Smad1/5/8 signaling, increasing hepcidin expression. Experiments using mice confirmed the stimulatory effect of icariin on hepatic hepcidin. In addition, according to previous studies on natural Chinese medicinal herbs (50–52), the compounds similar to icariin would be rapidly eliminated with a short half-life if administered orally to animals. By contrast, these compounds revealed great bioavailability with a long half-life when administered intraperitoneally (53). Therefore, these results demonstrate that natural compounds (such as icariin) may be developed into therapies (e.g., injection) which ameliorate iron overload by restricting dietary iron absorption and iron egress from macrophages in iron overload-related diseases with hepcidin deficit. This pilot study represents a promising strategy for the treatment of iron overload-related diseases (such as HH and β-thalassemia) through the administration of natural compounds, particularly extracts from traditional Chinese medicinal plants.

Abbreviations:

HH

hereditary hemochromatosis

Hamp1−/−

hepcidin-deficient

FPN

ferroportin

HFE

human hemochromatosis protein

TFR2

transferrin receptor 2

DMSO

dimethyl sulfoxide

FBS

fetal bovine serum

GAPDH

glyceraldehyde 3-phosphate dehydrogenase

Wt

wild-type

LPS

lipopolysaccharide

H&E

hematoxylin and eosin

Acknowledgments

The present study was supported by a grant under the National '973' Program (grant no. 2014CB932000), the Strategic Priority Research Program of the Chinese Academy of Sciences (grant no. XDB14000000) and grants from the National Natural Science Foundation of China (grant nos. 21425731, 21377159, 21321004, 21207152 and 21407169). We thank Dr Sophie Vaulont and Dr Tomas Ganz for providing the Hamp−/− mice. We would like to thank Dr Jun Liu for making suggestions on icariin-like compounds. We would also like to thank all the laboratory members for their great assistance with the experiments and reagents.

References

1 

Hentze MW, Muckenthaler MU and Andrews NC: Balancing acts: molecular control of mammalian iron metabolism. Cell. 117:285–297. 2004. View Article : Google Scholar : PubMed/NCBI

2 

Wu Y and Brosh RM Jr: DNA helicase and helicase-nuclease enzymes with a conserved iron-sulfur cluster. Nucleic Acids Res. 40:4247–4260. 2012. View Article : Google Scholar : PubMed/NCBI

3 

Brzóska K, Meczyńska S and Kruszewski M: Iron-sulfur cluster proteins: electron transfer and beyond. Acta Biochim Pol. 53:685–691. 2006.PubMed/NCBI

4 

Evstatiev R and Gasche C: Iron sensing and signalling. Gut. 61:933–952. 2012. View Article : Google Scholar

5 

Ganz T and Nemeth E: Hepcidin and disorders of iron metabolism. Annu Rev Med. 62:347–360. 2011. View Article : Google Scholar

6 

Ganz T and Nemeth E: Hepcidin and iron homeostasis. Biochim Biophys Acta. 1823:1434–1443. 2012. View Article : Google Scholar : PubMed/NCBI

7 

Camaschella C: Understanding iron homeostasis through genetic analysis of hemochromatosis and related disorders. Blood. 106:3710–3717. 2005. View Article : Google Scholar : PubMed/NCBI

8 

Ganz T: Systemic iron homeostasis. Physiol Rev. 93:1721–1741. 2013. View Article : Google Scholar : PubMed/NCBI

9 

Tanno T, Bhanu NV, Oneal PA, Goh SH, Staker P, Lee YT, Moroney JW, Reed CH, Luban NL, Wang RH, et al: High levels of GDF15 in thalassemia suppress expression of the iron regulatory protein hepcidin. Nat Med. 13:1096–1101. 2007. View Article : Google Scholar : PubMed/NCBI

10 

Tanno T, Porayette P, Sripichai O, Noh SJ, Byrnes C, Bhupatiraju A, Lee YT, Goodnough JB, Harandi O, Ganz T, et al: Identification of TWSG1 as a second novel erythroid regulator of hepcidin expression in murine and human cells. Blood. 114:181–186. 2009. View Article : Google Scholar : PubMed/NCBI

11 

Kautz L, Jung G, Valore EV, Rivella S, Nemeth E and Ganz T: Identification of erythroferrone as an erythroid regulator of iron metabolism. Nat Genet. 46:678–684. 2014. View Article : Google Scholar : PubMed/NCBI

12 

Kumar A, Ekavali, Chopra K, Mukherjee M, Pottabathini R and Dhull DK: Current knowledge and pharmacological profile of berberine: an update. Eur J Pharmacol. 761:288–297. 2015. View Article : Google Scholar : PubMed/NCBI

13 

Ghosh S, Banerjee S and Sil PC: The beneficial role of curcumin on inflammation, diabetes and neurodegenerative disease: a recent update. Food Chem Toxicol. 83:111–124. 2015. View Article : Google Scholar : PubMed/NCBI

14 

Mancuso C and Santangelo R: Ferulic acid: pharmacological and toxicological aspects. Food Chem Toxicol. 65:185–195. 2014. View Article : Google Scholar : PubMed/NCBI

15 

Ren S, Zhang H, Mu Y, Sun M and Liu P: Pharmacological effects of astragaloside IV: a literature review. J Tradit Chin Med. 33:413–416. 2013. View Article : Google Scholar : PubMed/NCBI

16 

Jiang YR and Chen KJ: Pharmacological roles of ligustrazine in cardio-/cerebrovascular systems and its progress in researches of clinical application. Zhongguo Zhong Xi Yi Jie He Za Zhi. 33:707–711. 2013.In Chinese. PubMed/NCBI

17 

Chen Y, Huang JH, Ning Y and Shen ZY: Icariin and its pharmaceutical efficacy: research progress of molecular mechanism. Zhong Xi Yi Jie He Xue Bao. 9:1179–1184. 2011.In Chinese. View Article : Google Scholar : PubMed/NCBI

18 

Sun LR, Cao X, Hou FQ, Zhu XH and Gao TM: Progressive studies of paeoniflorin. Zhongguo Zhong Yao Za Zhi. 33:2028–2032. 2008.In Chinese.

19 

Jia JM, Wang ZQ, Wu LJ and Wu YL: Advance of pharmacological study on ginsenoside Rb1. Zhongguo Zhong Yao Za Zhi. 33:1371–1377. 2008.In Chinese. PubMed/NCBI

20 

Tai MC, Tsang SY, Chang LY and Xue H: Therapeutic potential of wogonin: a naturally occurring flavonoid. CNS Drug Rev. 11:141–150. 2005. View Article : Google Scholar : PubMed/NCBI

21 

Chinese Pharmacopoeia Commission: Pharmacopoeia of the People's Republic of China China. Medical Science; Press, Beijing: 2010

22 

Zhang W, Yan ZF, Gao JH, Sun L, Huang XY, Liu Z, Yu SY, Cao CJ, Zuo LJ, Chen ZJ, et al: Role and mechanism of microglial activation in iron-induced selective and progressive dopaminergic neurodegeneration. Mol Neurobiol. 49:1153–1165. 2014. View Article : Google Scholar

23 

Liu W, Zhang S, Wang L, Qu C, Zhang C, Hong L, Yuan L, Huang Z, Wang Z, Liu S and Jiang G: CdSe quantum dot (QD)-induced morphological and functional impairments to liver in mice. PLoS One. 6:e244062011. View Article : Google Scholar : PubMed/NCBI

24 

Chen Y, Wang Z, Xu M, Wang X, Liu R, Liu Q, Zhang Z, Xia T, Zhao J, Jiang G, et al: Nanosilver incurs an adaptive shunt of energy metabolism mode to glycolysis in tumor and nontumor cells. ACS Nano. 8:5813–5825. 2014. View Article : Google Scholar : PubMed/NCBI

25 

Zhang S, Chen Y, Guo W, Yuan L, Zhang D, Xu Y, Nemeth E, Ganz T and Liu S: Disordered hepcidin-ferroportin signaling promotes breast cancer growth. Cell Signal. 26:2539–2550. 2014. View Article : Google Scholar : PubMed/NCBI

26 

Lesbordes-Brion JC, Viatte L, Bennoun M, Lou DQ, Ramey G, Houbron C, Hamard G, Kahn A and Vaulont S: Targeted disruption of the hepcidin 1 gene results in severe hemochromatosis. Blood. 108:1402–1405. 2006. View Article : Google Scholar : PubMed/NCBI

27 

Ramos E, Ruchala P, Goodnough JB, Kautz L, Preza GC, Nemeth E and Ganz T: Minihepcidins prevent iron overload in a hepcidin-deficient mouse model of severe hemochromatosis. Blood. 120:3829–3836. 2012. View Article : Google Scholar : PubMed/NCBI

28 

Liu S, Suragani RN, Han A, Zhao W, Andrews NC and Chen JJ: Deficiency of heme-regulated eIF2alpha kinase decreases hepcidin expression and splenic iron in HFE−/− mice. Haematologica. 93:753–756. 2008. View Article : Google Scholar : PubMed/NCBI

29 

Liu S, Suragani RN, Wang F, Han A, Zhao W, Andrews NC and Chen JJ: The function of heme-regulated eIF2alpha kinase in murine iron homeostasis and macrophage maturation. J Clin Invest. 117:3296–3305. 2007. View Article : Google Scholar : PubMed/NCBI

30 

Park CH, Valore EV, Waring AJ and Ganz T: Hepcidin, a urinary antimicrobial peptide synthesized in the liver. J Biol Chem. 276:7806–7810. 2001. View Article : Google Scholar

31 

Hou Y, Zhang S, Wang L, Li J, Qu G, He J, Rong H, Ji H and Liu S: Estrogen regulates iron homeostasis through governing hepatic hepcidin expression via an estrogen response element. Gene. 511:398–403. 2012. View Article : Google Scholar : PubMed/NCBI

32 

Nemeth E, Rivera S, Gabayan V, Keller C, Taudorf S, Pedersen BK and Ganz T: IL-6 mediates hypoferremia of inflammation by inducing the synthesis of the iron regulatory hormone hepcidin. J Clin Invest. 113:1271–1276. 2004. View Article : Google Scholar : PubMed/NCBI

33 

Wrighting DM and Andrews NC: Interleukin-6 induces hepcidin expression through STAT3. Blood. 108:3204–3209. 2006. View Article : Google Scholar : PubMed/NCBI

34 

Pigeon C, Ilyin G, Courselaud B, Leroyer P, Turlin B, Brissot P and Loréal O: A new mouse liver-specific gene, encoding a protein homologous to human antimicrobial peptide hepcidin, is overexpressed during iron overload. J Biol Chem. 276:7811–7819. 2001. View Article : Google Scholar

35 

Poli M, Asperti M, Naggi A, Campostrini N, Girelli D, Corbella M, Benzi M, Besson-Fournier C, Coppin H, Maccarinelli F, et al: Glycol-split nonanticoagulant heparins are inhibitors of hepcidin expression in vitro and in vivo. Blood. 123:1564–1573. 2014. View Article : Google Scholar : PubMed/NCBI

36 

Lee P, Peng H, Gelbart T and Beutler E: The IL-6- and lipopolysaccharide-induced transcription of hepcidin in HFE-, transferrin receptor 2-, and beta 2-microglobulin-deficient hepatocytes. Proc Natl Acad Sci USA. 101:9263–9265. 2004. View Article : Google Scholar : PubMed/NCBI

37 

Adams PC and Barton JC: How I treat hemochromatosis. Blood. 116:317–325. 2010. View Article : Google Scholar : PubMed/NCBI

38 

Pennell DJ, Porter JB, Cappellini MD, El-Beshlawy A, Chan LL, Aydinok Y, Elalfy MS, Sutcharitchan P, Li CK, Ibrahim H, et al: Efficacy of deferasirox in reducing and preventing cardiac iron overload in beta-thalassemia. Blood. 115:2364–2371. 2010. View Article : Google Scholar

39 

Zhen AW, Nguyen NH, Gibert Y, Motola S, Buckett P, Wessling-Resnick M, Fraenkel E and Fraenkel PG: The small molecule, genistein, increases hepcidin expression in human hepatocytes. Hepatology. 58:1315–1325. 2013. View Article : Google Scholar : PubMed/NCBI

40 

Gaun V, Patchen B, Volovetz J, Zhen AW, Andreev A, Pollastri MP and Fraenkel PG: A chemical screen identifies small molecules that regulate hepcidin expression. Blood Cells Mol Dis. 53:231–240. 2014. View Article : Google Scholar : PubMed/NCBI

41 

Kennedy DO and Wightman EL: Herbal extracts and phytochemicals: plant secondary metabolites and the enhancement of human brain function. Adv Nutr. 2:32–50. 2011. View Article : Google Scholar :

42 

Ziegler G, Ploch M, Miettinen-Baumann A and Collet W: Efficacy and tolerability of valerian extract LI 156 compared with oxazepam in the treatment of non-organic insomnia - a randomized, double-blind, comparative clinical study. Eur J Med Res. 7:480–486. 2002.

43 

Guan Y, An P, Zhang Z, Zhang F, Yu Y, Wu Q, Shi Y, Guo X, Tao Y and Wang F: Screening identifies the Chinese medicinal plant Caulis Spatholobi as an effective HAMP expression inhibitor. J Nutr. 143:1061–1066. 2013. View Article : Google Scholar : PubMed/NCBI

44 

Bartnikas TB and Fleming MD: A tincture of hepcidin cures all: the potential for hepcidin therapeutics. J Clin Invest. 120:4187–4190. 2010. View Article : Google Scholar : PubMed/NCBI

45 

Ma H, He X, Yang Y, Li M, Hao D and Jia Z: The genus Epimedium: an ethnopharmacological and phytochemical review. J Ethnopharmacol. 134:519–541. 2011. View Article : Google Scholar : PubMed/NCBI

46 

Xu CQ, Liu BJ, Wu JF, Xu YC, Duan XH, Cao YX and Dong JC: Icariin attenuates LPS-induced acute inflammatory responses: involvement of PI3K/Akt and NF-kappaB signaling pathway. Eur J Pharmacol. 642:146–153. 2010. View Article : Google Scholar : PubMed/NCBI

47 

Li WW, Gao XM, Wang XM, Guo H and Zhang BL: Icariin inhibits hydrogen peroxide-induced toxicity through inhibition of phosphorylation of JNK/p38 MAPK and p53 activity. Mutat Res. 708:1–10. 2011. View Article : Google Scholar : PubMed/NCBI

48 

Song YH, Cai H, Gu N, Qian CF, Cao SP and Zhao ZM: Icariin attenuates cardiac remodelling through down-regulating myocardial apoptosis and matrix metalloproteinase activity in rats with congestive heart failure. J Pharm Pharmacol. 63:541–549. 2011. View Article : Google Scholar : PubMed/NCBI

49 

Chung BH, Kim JD, Kim CK, Kim JH, Won MH, Lee HS, Dong MS, Ha KS, Kwon YG and Kim YM: Icariin stimulates angiogenesis by activating the MEK/ERK- and PI3K/Akt/eNOS-dependent signal pathways in human endothelial cells. Biochem Biophys Res Commun. 376:404–408. 2008. View Article : Google Scholar : PubMed/NCBI

50 

Chen Y, Wang J, Jia X, Tan X and Hu M: Role of intestinal hydrolase in the absorption of prenylated flavonoids present in Yinyanghuo. Molecules. 16:1336–1348. 2011. View Article : Google Scholar : PubMed/NCBI

51 

Chen Y, Zhao YH, Jia XB and Hu M: Intestinal absorption mechanisms of prenylated flavonoids present in the heat-processed Epimedium koreanum Nakai (Yin Yanghuo). Pharm Res. 25:2190–2199. 2008. View Article : Google Scholar : PubMed/NCBI

52 

Liu M, Liu H, Lu X, Li C, Xiong Z and Li F: Simultaneous determination of icariin, icariside II and osthole in rat plasma after oral administration of the extract of Gushudan (a Chinese compound formulation) by LC-MS/MS. J Chromatogr B Analyt Technol Biomed Life Sci. 860:113–120. 2007. View Article : Google Scholar : PubMed/NCBI

53 

Xu W, Sui ZG and Zhong W: Pharmacokinetics of icariin and its two metabolites in rats. The Third China Pharmacist Assembly. 1–5. 2011.

Related Articles

  • Abstract
  • View
  • Download
  • Twitter
Copy and paste a formatted citation
Spandidos Publications style
Zhang M, Liu J, Guo W, Liu X, Liu S and Yin H: Icariin regulates systemic iron metabolism by increasing hepatic hepcidin expression through Stat3 and Smad1/5/8 signaling. Int J Mol Med 37: 1379-1388, 2016.
APA
Zhang, M., Liu, J., Guo, W., Liu, X., Liu, S., & Yin, H. (2016). Icariin regulates systemic iron metabolism by increasing hepatic hepcidin expression through Stat3 and Smad1/5/8 signaling. International Journal of Molecular Medicine, 37, 1379-1388. https://doi.org/10.3892/ijmm.2016.2545
MLA
Zhang, M., Liu, J., Guo, W., Liu, X., Liu, S., Yin, H."Icariin regulates systemic iron metabolism by increasing hepatic hepcidin expression through Stat3 and Smad1/5/8 signaling". International Journal of Molecular Medicine 37.5 (2016): 1379-1388.
Chicago
Zhang, M., Liu, J., Guo, W., Liu, X., Liu, S., Yin, H."Icariin regulates systemic iron metabolism by increasing hepatic hepcidin expression through Stat3 and Smad1/5/8 signaling". International Journal of Molecular Medicine 37, no. 5 (2016): 1379-1388. https://doi.org/10.3892/ijmm.2016.2545
Copy and paste a formatted citation
x
Spandidos Publications style
Zhang M, Liu J, Guo W, Liu X, Liu S and Yin H: Icariin regulates systemic iron metabolism by increasing hepatic hepcidin expression through Stat3 and Smad1/5/8 signaling. Int J Mol Med 37: 1379-1388, 2016.
APA
Zhang, M., Liu, J., Guo, W., Liu, X., Liu, S., & Yin, H. (2016). Icariin regulates systemic iron metabolism by increasing hepatic hepcidin expression through Stat3 and Smad1/5/8 signaling. International Journal of Molecular Medicine, 37, 1379-1388. https://doi.org/10.3892/ijmm.2016.2545
MLA
Zhang, M., Liu, J., Guo, W., Liu, X., Liu, S., Yin, H."Icariin regulates systemic iron metabolism by increasing hepatic hepcidin expression through Stat3 and Smad1/5/8 signaling". International Journal of Molecular Medicine 37.5 (2016): 1379-1388.
Chicago
Zhang, M., Liu, J., Guo, W., Liu, X., Liu, S., Yin, H."Icariin regulates systemic iron metabolism by increasing hepatic hepcidin expression through Stat3 and Smad1/5/8 signaling". International Journal of Molecular Medicine 37, no. 5 (2016): 1379-1388. https://doi.org/10.3892/ijmm.2016.2545
Follow us
  • Twitter
  • LinkedIn
  • Facebook
About
  • Spandidos Publications
  • Careers
  • Cookie Policy
  • Privacy Policy
How can we help?
  • Help
  • Live Chat
  • Contact
  • Email to our Support Team