Spandidos Publications Logo
  • About
    • About Spandidos
    • Aims and Scopes
    • Abstracting and Indexing
    • Editorial Policies
    • Reprints and Permissions
    • Job Opportunities
    • Terms and Conditions
    • Contact
  • Journals
    • All Journals
    • Oncology Letters
      • Oncology Letters
      • Information for Authors
      • Editorial Policies
      • Editorial Board
      • Aims and Scope
      • Abstracting and Indexing
      • Bibliographic Information
      • Archive
    • International Journal of Oncology
      • International Journal of Oncology
      • Information for Authors
      • Editorial Policies
      • Editorial Board
      • Aims and Scope
      • Abstracting and Indexing
      • Bibliographic Information
      • Archive
    • Molecular and Clinical Oncology
      • Molecular and Clinical Oncology
      • Information for Authors
      • Editorial Policies
      • Editorial Board
      • Aims and Scope
      • Abstracting and Indexing
      • Bibliographic Information
      • Archive
    • Experimental and Therapeutic Medicine
      • Experimental and Therapeutic Medicine
      • Information for Authors
      • Editorial Policies
      • Editorial Board
      • Aims and Scope
      • Abstracting and Indexing
      • Bibliographic Information
      • Archive
    • International Journal of Molecular Medicine
      • International Journal of Molecular Medicine
      • Information for Authors
      • Editorial Policies
      • Editorial Board
      • Aims and Scope
      • Abstracting and Indexing
      • Bibliographic Information
      • Archive
    • Biomedical Reports
      • Biomedical Reports
      • Information for Authors
      • Editorial Policies
      • Editorial Board
      • Aims and Scope
      • Abstracting and Indexing
      • Bibliographic Information
      • Archive
    • Oncology Reports
      • Oncology Reports
      • Information for Authors
      • Editorial Policies
      • Editorial Board
      • Aims and Scope
      • Abstracting and Indexing
      • Bibliographic Information
      • Archive
    • Molecular Medicine Reports
      • Molecular Medicine Reports
      • Information for Authors
      • Editorial Policies
      • Editorial Board
      • Aims and Scope
      • Abstracting and Indexing
      • Bibliographic Information
      • Archive
    • World Academy of Sciences Journal
      • World Academy of Sciences Journal
      • Information for Authors
      • Editorial Policies
      • Editorial Board
      • Aims and Scope
      • Abstracting and Indexing
      • Bibliographic Information
      • Archive
    • International Journal of Functional Nutrition
      • International Journal of Functional Nutrition
      • Information for Authors
      • Editorial Policies
      • Editorial Board
      • Aims and Scope
      • Abstracting and Indexing
      • Bibliographic Information
      • Archive
    • International Journal of Epigenetics
      • International Journal of Epigenetics
      • Information for Authors
      • Editorial Policies
      • Editorial Board
      • Aims and Scope
      • Abstracting and Indexing
      • Bibliographic Information
      • Archive
    • Medicine International
      • Medicine International
      • Information for Authors
      • Editorial Policies
      • Editorial Board
      • Aims and Scope
      • Abstracting and Indexing
      • Bibliographic Information
      • Archive
  • Articles
  • Information
    • Information for Authors
    • Information for Reviewers
    • Information for Librarians
    • Information for Advertisers
    • Conferences
  • Language Editing
Spandidos Publications Logo
  • About
    • About Spandidos
    • Aims and Scopes
    • Abstracting and Indexing
    • Editorial Policies
    • Reprints and Permissions
    • Job Opportunities
    • Terms and Conditions
    • Contact
  • Journals
    • All Journals
    • Biomedical Reports
      • Information for Authors
      • Editorial Policies
      • Editorial Board
      • Aims and Scope
      • Abstracting and Indexing
      • Bibliographic Information
      • Archive
    • Experimental and Therapeutic Medicine
      • Information for Authors
      • Editorial Policies
      • Editorial Board
      • Aims and Scope
      • Abstracting and Indexing
      • Bibliographic Information
      • Archive
    • International Journal of Epigenetics
      • Information for Authors
      • Editorial Policies
      • Editorial Board
      • Aims and Scope
      • Abstracting and Indexing
      • Bibliographic Information
      • Archive
    • International Journal of Functional Nutrition
      • Information for Authors
      • Editorial Policies
      • Editorial Board
      • Aims and Scope
      • Abstracting and Indexing
      • Bibliographic Information
      • Archive
    • International Journal of Molecular Medicine
      • Information for Authors
      • Editorial Policies
      • Editorial Board
      • Aims and Scope
      • Abstracting and Indexing
      • Bibliographic Information
      • Archive
    • International Journal of Oncology
      • Information for Authors
      • Editorial Policies
      • Editorial Board
      • Aims and Scope
      • Abstracting and Indexing
      • Bibliographic Information
      • Archive
    • Medicine International
      • Information for Authors
      • Editorial Policies
      • Editorial Board
      • Aims and Scope
      • Abstracting and Indexing
      • Bibliographic Information
      • Archive
    • Molecular and Clinical Oncology
      • Information for Authors
      • Editorial Policies
      • Editorial Board
      • Aims and Scope
      • Abstracting and Indexing
      • Bibliographic Information
      • Archive
    • Molecular Medicine Reports
      • Information for Authors
      • Editorial Policies
      • Editorial Board
      • Aims and Scope
      • Abstracting and Indexing
      • Bibliographic Information
      • Archive
    • Oncology Letters
      • Information for Authors
      • Editorial Policies
      • Editorial Board
      • Aims and Scope
      • Abstracting and Indexing
      • Bibliographic Information
      • Archive
    • Oncology Reports
      • Information for Authors
      • Editorial Policies
      • Editorial Board
      • Aims and Scope
      • Abstracting and Indexing
      • Bibliographic Information
      • Archive
    • World Academy of Sciences Journal
      • Information for Authors
      • Editorial Policies
      • Editorial Board
      • Aims and Scope
      • Abstracting and Indexing
      • Bibliographic Information
      • Archive
  • Articles
  • Information
    • For Authors
    • For Reviewers
    • For Librarians
    • For Advertisers
    • Conferences
  • Language Editing
Login Register Submit
  • This site uses cookies
  • You can change your cookie settings at any time by following the instructions in our Cookie Policy. To find out more, you may read our Privacy Policy.

    I agree
Search articles by DOI, keyword, author or affiliation
Search
Advanced Search
presentation
Molecular Medicine Reports
Join Editorial Board Propose a Special Issue
Print ISSN: 1791-2997 Online ISSN: 1791-3004
Journal Cover
November 2012 Volume 6 Issue 5

Full Size Image

Sign up for eToc alerts
Recommend to Library

Journals

International Journal of Molecular Medicine

International Journal of Molecular Medicine

International Journal of Molecular Medicine is an international journal devoted to molecular mechanisms of human disease.

International Journal of Oncology

International Journal of Oncology

International Journal of Oncology is an international journal devoted to oncology research and cancer treatment.

Molecular Medicine Reports

Molecular Medicine Reports

Covers molecular medicine topics such as pharmacology, pathology, genetics, neuroscience, infectious diseases, molecular cardiology, and molecular surgery.

Oncology Reports

Oncology Reports

Oncology Reports is an international journal devoted to fundamental and applied research in Oncology.

Experimental and Therapeutic Medicine

Experimental and Therapeutic Medicine

Experimental and Therapeutic Medicine is an international journal devoted to laboratory and clinical medicine.

Oncology Letters

Oncology Letters

Oncology Letters is an international journal devoted to Experimental and Clinical Oncology.

Biomedical Reports

Biomedical Reports

Explores a wide range of biological and medical fields, including pharmacology, genetics, microbiology, neuroscience, and molecular cardiology.

Molecular and Clinical Oncology

Molecular and Clinical Oncology

International journal addressing all aspects of oncology research, from tumorigenesis and oncogenes to chemotherapy and metastasis.

World Academy of Sciences Journal

World Academy of Sciences Journal

Multidisciplinary open-access journal spanning biochemistry, genetics, neuroscience, environmental health, and synthetic biology.

International Journal of Functional Nutrition

International Journal of Functional Nutrition

Open-access journal combining biochemistry, pharmacology, immunology, and genetics to advance health through functional nutrition.

International Journal of Epigenetics

International Journal of Epigenetics

Publishes open-access research on using epigenetics to advance understanding and treatment of human disease.

Medicine International

Medicine International

An International Open Access Journal Devoted to General Medicine.

Journal Cover
November 2012 Volume 6 Issue 5

Full Size Image

Sign up for eToc alerts
Recommend to Library

  • Article
  • Citations
    • Cite This Article
    • Download Citation
    • Create Citation Alert
    • Remove Citation Alert
    • Cited By
  • Similar Articles
    • Related Articles (in Spandidos Publications)
    • Similar Articles (Google Scholar)
    • Similar Articles (PubMed)
  • Download PDF
  • Download XML
  • View XML
Article

Osthole suppresses migration and invasion of A549 human lung cancer cells through inhibition of matrix metalloproteinase-2 and matrix metallopeptidase-9 in vitro

  • Authors:
    • Xiao-Man Xu
    • Yi Zhang
    • Dan Qu
    • Xue-Wei Feng
    • Yu Chen
    • Li Zhao
  • View Affiliations / Copyright

    Affiliations: Department of Respiratory Medicine, Shengjing Hospital of China Medical University, Shenyang, Liaoning 110004, P.R. China, Department of Geriatrics, Shengjing Hospital of China Medical University, Shenyang, Liaoning 110004, P.R. China
  • Pages: 1018-1022
    |
    Published online on: August 21, 2012
       https://doi.org/10.3892/mmr.2012.1044
  • Expand metrics +
Metrics: Total Views: 0 (Spandidos Publications: | PMC Statistics: )
Metrics: Total PDF Downloads: 0 (Spandidos Publications: | PMC Statistics: )
Cited By (CrossRef): 0 citations Loading Articles...

This article is mentioned in:



Abstract

Osthole, a natural compound, may be extracted from Cnidium monnieri and other medicinal plants. Previous studies have shown that osthole has anticancer effects in various human cancer cell lines. There is, however, no available information concerning the effects of osthole on the migration and invasion of human lung cancer cells. In the current study, we used Transwell assays to demonstrate that osthole inhibited the migration and invasion of A549 human lung cancer cells. Western blot analysis revealed that osthole reduced the levels of matrix metalloproteinase-2 (MMP-2) and matrix metallopeptidase-9 (MMP-9) in the A549 human lung cancer cells. Our findings indicate that osthole may have a novel function as an inhibitor of the metastasis of human lung cancer.

Introduction

Lung cancer is the most common cause of cancer mortality in the world, and non-small cell lung cancer accounts for approximately 80% of all lung cancers. Non-small lung cancer predominantly comprises adenocarcinomas and squamous cell carcinomas (1–3). Despite advances in multimodality treatment, including surgical management, chemotherapy, radiotherapy and biological therapy, the overall 5-year survival rate of lung cancer in many countries is less than 15% (4). In addition, metastasis is one of the reasons for the lower survival rate following the radical resection of lung cancers (5). Cancer metastasis is a complex, multistep process that involves cell adhesion, invasion and migration, proliferation and vessel formation (6,7). Therefore, the prevention or inhibition of lung cancer metastasis has important clinical applications for prolonging life and enhancing the quality of life of patients.

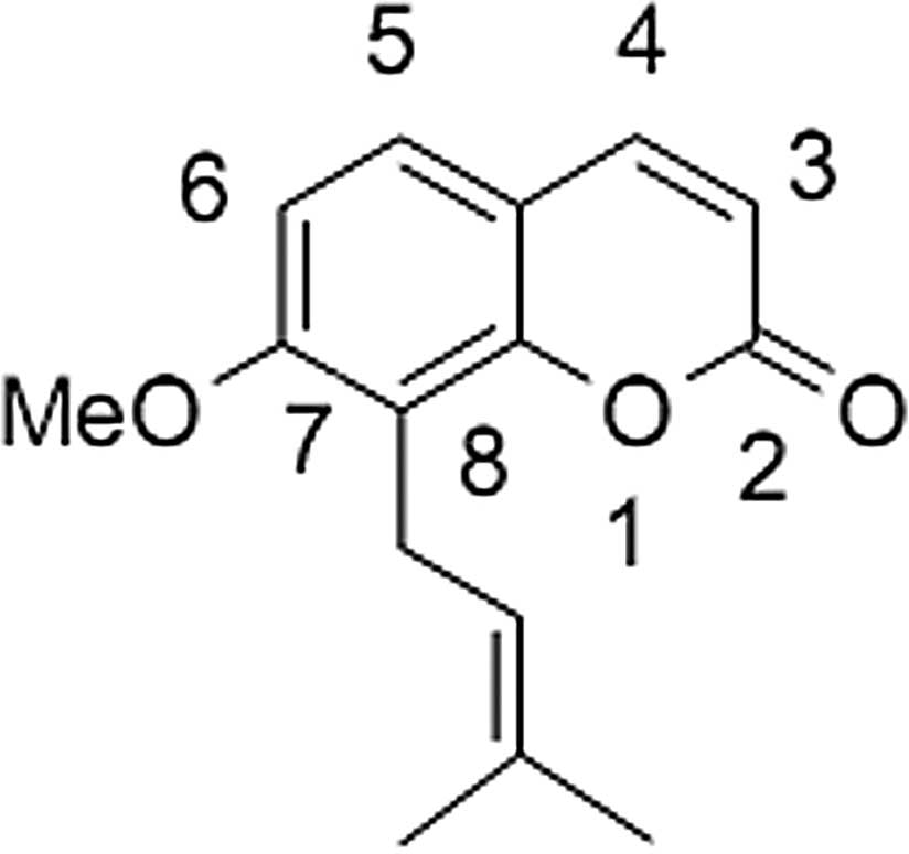
Osthole, 7-methoxy-8-(3-methyl-2-butenyl)coumarin (Fig. 1), a natural compound, may be extracted from Cnidium monnieri and other medicinal plants. Previous studies have revealed that osthole has antiproliferative (8), vasorelaxant (9), anti-inflammatory (10), antimicrobacterial (11) and antiallergic (12) properties. Furthermore, the anticancer effect of osthole has been described. It has been reported that osthole is able to abrogate HGF-induced cell scattering, migration and invasion in MCF-7 breast cancer cells (13). Osthole is also capable of inducing apoptosis in HeLa cells and HL-60 leukemia cells (14,15).

Figure 1

Structure of osthole.

In a previous study, we reported that osthole induces G2/M arrest and apoptosis in A549 human lung cancer cells by modulating the PI3K/Akt pathway (16). However, the effects of osthole on the migration and invasion of human lung cancer cells remain unclear. The purpose of the current study was to investigate the effects of osthole on the induction of migration and invasion in A549 human lung cancer cells. We also aimed to investigate whether the effects of osthole on the migration and invasion of A549 cells were mediated through the inhibition of matrix metalloproteinase-2 (MMP-2) and matrix metallopeptidase-9 (MMP-9). The findings should indicate whether osthole has the ability to inhibit the metastasis of human lung cancer.

Materials and methods

Reagents and chemicals

Osthole was purchased from the National Institute for the Control of Pharmaceutical and Biological Products (Beijing, China). A 50 mM stock solution of osthole was dissolved in dimethyl sulfoxide (DMSO) and stored at −20°C. RPMI-1640, trypsin, penicillin and streptomycin were purchased from Biological Industries (Kibbutz Beit Haemek, Israel). Fetal bovine serum (FBS) and Giemsa were purchased from Solarbio Science and Technology (Beijing, China). 3-(4,5-Dimethylthiazol-2-yl)-2,5-diphenyltetrazolium bromide (MTT) and DMSO were purchased from Sigma-Aldrich (St. Louis, MO, USA). Matrigel and antibodies were purchased from BD Biosciences (San Jose, CA, USA). All other reagents were procured locally.

Cell culture

The A549 human lung cancer cell line was obtained from the China Center for Type Culture Collection (Wuhan, China) and maintained in RPMI-1640 supplemented with 10% FBS, 100 U/ml penicillin and 100 μg/ml streptomycin at 37°C in a humidified atmosphere of 5% CO2.

MTT assay

The proliferation of A549 cells following treatment with osthole was measured using the MTT assay. Briefly, A549 cells were plated at a density of 1×104 cells/well in 96 well plates overnight and then treated with various concentrations of osthole (0, 20, 40, 60 and 80 μmol/l). Following a 24 h treatment, 20 μl MTT solution (2 mg/ml in PBS) was added to each well and the cells were cultured for another 4 h at 37°C. The medium was then totally removed and 150 μl DMSO was added to solubilize the MTT formazan crystals. Finally, the plates were shaken and the optical density was determined at 570 nm (OD570) using an ELISA plate reader (Model 550, Bio-Rad, Hercules, CA, USA). At least three independent experiments were performed.

Cell migration assay

For the cell migration assay, Transwell chambers were used. Briefly, A549 cells (1×105 cells/well) were placed in the upper chambers of 8 μm Transwells and treated with various concentrations of osthole (0, 40 and 80 μmol/l). The bottom chambers of the Transwells were filled with 0.6 ml RPMI-1640 with 10% FBS as a chemoattractant. After 24 h, non-migratory cells were carefully removed with a cotton swab. The filter membrane was fixed with cold methanol and acetic acid (3/1, v/v) for 30 min, then stained with Giemsa. Images were captured using an Olympus inverted microscope using ×200 magnification and cell migration was quantified by counting the number of cells in 5 random fields. The percentage inhibition of migratory cells was quantified and expressed in relation to the untreated control cells. All experiments were repeated three times.

Cell invasion assay

The invasion assay was performed using the same Transwells as were used in the migration assay. Briefly, A549 cells (1×105 cells/well) were placed in the upper chambers of matrigel-coated 8 μm Transwells and treated with various concentrations of osthole (0, 40 and 80 μmol/l). The bottom chambers of the Transwells were filled with 0.6 ml RPMI-1640 with 10% FBS as a chemoattractant. Following incubation for 24 h, non-invading cells were carefully removed with a cotton swab. Cells that had penetrated through the matrigel located on the underside of the filter were fixed with cold methanol and acetic acid (3/1, v/v) for 30 min, then stained with Giemsa. The degree of invasiveness was quantified by counting the number of cells in 5 random fields. All experiments were repeated three times.

Western blot analysis

The expression of cellular proteins was evaluated by western blotting. A549 cells were plated onto 6 well plates and starved overnight, then treated with various concentrations of osthole (0, 40 and 80 μmol/l). Following treatment for 24 h, the total proteins were solubilized and extracted with lysis buffer (20 mM HEPES, pH 7.9, 20% glycerol, 200 mM KCl, 0.5 mM EDTA, 0.5% NP-40, 0.5 mM DTT and 1% protease inhibitor cocktail). Protein concentrations were determined by bicinchoninic acid (BCA) protein assay. All samples were separated by SDS-PAGE to determine the proteins associated with cell invasion and migration, MMP-2 and MMP-9.

Statistical analysis

All experiments were conducted three times. Data were expressed as the mean ± SD. Statistical correlation of data was checked for significance by ANOVA and the Student’s t test. P<0.05 was considered to indicate a statistically significance result. The analyses were performed using SPSS 13.0 software.

Results

Osthole inhibited A549 cell proliferation

In order to investigate the growth inhibitory effects of osthole, A549 cells were treated with various concentrations of osthole for 24 h and the rate of inhibition was determined by MTT assay. We observed that the growth of the A549 cells was suppressed in a dose-dependent manner (Fig. 2).

Figure 2

Inhibitory effects of osthole on the proliferation of A549 human lung cancer cells. *P<0.05 vs. the control,**P<0.01 vs. the control.

Osthole inhibited the migration and invasion of A549 cells in vitro

Transwell assays were performed to investigate the effects of osthole on lung cancer cell migration and invasion. A549 cells were treated with various concentrations of osthole (0, 40 and 80 μmol/l) in order to perform the Transwell migration and matrigel-based Transwell invasion assays. As shown in Fig. 3, the A549 cells migrated from the upper to the lower chamber and this was inhibited by osthole. As shown in Fig. 4, the penetration of the A549 cells through the matrigel to the lower surface of the filter was also inhibited by osthole. These inhibitory effects were higher at an osthole concentration of 80 μmol/l than of 40 μmol/l. Our results indicate that osthole significantly inhibits lung cancer cell migration and invasion in a dose-dependent manner, suggesting a crucial role for osthole in the suppression of lung cancer metastasis.

Figure 3

(A) Osthole inhibited the migration of A549 cells. A549 cells were placed in the upper chambers of Transwells and cells that penetrated to the lower surface of the filter were stained with Giemsa and images captured under a light microscope at ×200. (B) Summary of the inhibition data.*P<0.05 vs. the control, **P<0.01 vs. the control.

Figure 4

(A) Osthole inhibited the invasion of A549 cells. A549 cells were placed in the upper chambers of Transwells and cells that penetrated through the matrigel to the lower surface of the filter were stained with Giemsa and images captured under a light microscope at ×200. (B) Summary of the inhibition data.*P<0.05 vs. the control, **P<0.01 vs. the control.

Osthole inhibited levels of MMP-2 and MMP-9 in A549 cells

The levels of migration- and invasion-associated proteins during the treatment with osthole were examined by western blotting. As shown in Fig. 5, the levels of MMP-2 and MMP-9 in the osthole-treated cells were lower than those in the control cells. MMP-2 and MMP-9 are significant in lung cancer cell invasion and migration. The inhibitory effects on MMP-2 and MMP-9 may be responsible for the inhibition of the invasion and migration of A549 cells following exposure to osthole.

Figure 5

Effect of osthole on the expression of matrix metalloproteinase-2 (MMP-2) and matrix metallopeptidase-9 (MMP-9) by western blot analysis. A549 cells were treated with (0, 40 and 80 μmol/l) osthole for 24 h. Proteins were extracted, then MMP-2 and MMP-9 expression was analyzed by western blotting.

Discussion

The anticancer effects of osthole have been well documented in numerous types of human cancers (13–15). However, the actions of osthole on the migration and invasion of A549 lung cancer cells and the associated mechanisms have not been reported. In the current study, we investigated the effects of osthole on the migration and invasion of A549 cells by Transwell assays and western blot analyses. Our results indicate that osthole inhibited the migration and invasion of the A549 cells and that these effects were dose-dependent. Moreover, the results from the western blot analyses revealed that the mechanism underlying these effects was related to the inhibition of the expression of MMP-2 and MMP-9 in the A549 cells.

Metastasis, the most common cause of treatment failure and death in cancer patients, is a complex biological process in the later stages of cancer progression (17,18). At present, there are no effective therapeutic drugs that are able to specifically treat cancer metastasis, and little is known concerning the molecular mechanisms that regulate the process of metastasis (19,20). Several studies have shown that metastasis is associated with the ability of cells to migrate and invade, and that the inhibition of cell migration and invasion may decrease metastasis (21–23). Therefore, the discovery of drugs that are able to inhibit cancer cell migration and invasion is important for the prevention and treatment of metastasis in lung cancer. In the current study, Transwell migration and matrigel Transwell invasion assays revealed that osthole clearly inhibited the migration and invasion of cells in a concentration-dependent manner. Osthole may have the ability to inhibit the metastasis of human lung cancer.

MMPs comprise a rapidly growing family of structurally related endopeptidases capable of degrading all known components of the extracellular matrix (ECM). Among MMPs, MMP-2 and MMP-9 are vital in the degradation of the ECM due to their substrate specificity toward type IV collagen, the major component of basement membranes (24,25). High expression levels of MMP-2 and MMP-9 have frequently been correlated with increased cancer metastasis in lung cancer (26,27). To further elucidate the mechanisms by which osthole inhibits the migration and invasion of human lung cancer cells, we investigated the effects of osthole on MMP-2 and MMP-9 in A549 cells. In our experiment, treatment with osthole decreased the expression levels of MMP-2 and MMP-9 in a dose-dependent manner. Our results revealed that osthole inhibited the levels of MMP-2 and MMP-9 involved in the migration and invasion in A549 cells, which is in agreement with reports that osthole inhibited the migration and invasion of breast cancer cells via inhibition of the expression of MMP-2 (28).

In conclusion, our data indicate for the first time that osthole inhibits the migration and invasion of A549 human lung cancer cells by inhibiting the expression of MMP-2 and MMP-9. Osthole should be considered as a possible therapeutic agent for inhibiting the metastasis of lung cancer. Further investigations will be required to assess the potential of osthole in the treatment of cancer.

References

1 

Parkin DM, Bray F, Ferlay J and Pisani P: Global cancer statistics, 2002. CA Cancer J Clin. 55:74–108. 2005.

2 

Jemal A, Siegel R, Ward E, Hao Y, Xu J, Murray T and Thun MJ: Cancer statistics, 2008. CA Cancer J Clin. 58:71–96. 2008.

3 

Molina JR, Yang P, Cassivi SD, Schild SE and Adjei AA: Non-small cell lung cancer: epidemiology, risk factors, treatment, and survivorship. Mayo Clin Proc. 83:584–594. 2008.

4 

Erridge SC, Møller H, Price A and Brewster D: International comparisons of survival from lung cancer: pitfalls and warnings. Nat Clin Pract Oncol. 4:570–577. 2007.

5 

Wang T, Nelson RA, Bogardus A and Grannis FW Jr: Five-year lung cancer survival: which advanced stage nonsmall cell lung cancer patients attain long-term survival? Cancer. 116:1518–1525. 2010.

6 

Gupta GP and Massagué J: Cancer metastasis: building a framework. Cell. 127:679–695. 2006.

7 

Yilmaz M, Christofori G and Lehembre F: Distinct mechanisms of tumor invasion and metastasis. Trends Mol Med. 13:535–541. 2007.

8 

Guh JH, Yu SM, Ko FN, Wu TS and Teng CM: Antiproliferative effect in rat vascular smooth muscle cells by osthole, isolated from Angelica pubescens. Eur J Pharmacol. 298:191–197. 1996.

9 

Ko FN, Wu TS, Liou MJ, Huang TF and Teng CM: Vasorelaxation of rat thoracic aorta caused by osthole isolated from Angelica pubescens. Eur J Pharmacol. 219:29–34. 1992. View Article : Google Scholar

10 

Zimecki M, Artym J, Cisowski W, Mazol I, Włodarczyk M and Gleńsk M: Immunomodulatory and anti-inflammatory activity of selected osthole derivatives. Z Naturforsch C. 64:361–368. 2009.

11 

Cai J, Yu B, Xu G and Wu J: Studies on the quality of fructus Cnidii-comparison of antibacterial action. Zhongguo Zhong Yao Za Zhi. 16:451–453. 5101991.(In Chinese).

12 

Matsuda H, Tomohiro N, Ido Y and Kubo M: Anti-allergic effects of cnidii monnieri fructus (dried fruits of Cnidium monnieri) and its major component, osthol. Biol Pharm Bull. 25:809–812. 2002.

13 

Hung CM, Kuo DH, Chou CH, Su YC, Ho CT and Way TD: Osthole suppresses hepatocyte growth factor (HGF)-induced epithelial-mesenchymal transition via repression of the c-Met/Akt/mTOR pathway in human breast cancer cells. J Agric Food Chem. 59:9683–9690. 2011.

14 

Chou SY, Hsu CS, Wang KT, Wang MC and Wang CC: Antitumor effects of Osthol from Cnidium monnieri: an in vitro and in vivo study. Phytother Res. 21:226–230. 2007.PubMed/NCBI

15 

Yang LL, Wang MC, Chen LG and Wang CC: Cytotoxic activity of coumarins from the fruits of Cnidium monnieri on leukemia cell lines. Planta Med. 69:1091–1095. 2003.

16 

Xu X, Zhang Y, Qu D, Jiang T and Li S: Osthole induces G2/M arrest and apoptosis in lung cancer A549 cells by modulating PI3K/Akt pathway. J Exp Clin Cancer Res. 30:332011.

17 

Nguyen DX, Bos PD and Massagué J: Metastasis: from dissemination to organ-specific colonization. Nat Rev Cancer. 9:274–284. 2009.

18 

Lazennec G and Richmond A: Chemokines and chemokine receptors: new insights into cancer-related inflammation. Trends Mol Med. 16:133–144. 2010.

19 

Zlotnik A: Chemokines and cancer. Int J Cancer. 119:2026–2029. 2006.

20 

Nguyen DX and Massagué J: Genetic determinants of cancer metastasis. Nat Rev Genet. 8:341–352. 2007.

21 

Ho YT, Yang JS, Li TC, Lin JJ, Lin JG, Lai KC, Ma CY, Wood WG and Chung JG: Berberine suppresses in vitro migration and invasion of human SCC-4 tongue squamous cancer cells through the inhibitions of FAK, IKK, NF-kappaB, u-PA and MMP-2 and -9. Cancer Lett. 279:155–162. 2009. View Article : Google Scholar

22 

Wang L, Ling Y, Chen Y, Li CL, Feng F, You QD, Lu N and Guo QL: Flavonoid baicalein suppresses adhesion, migration and invasion of MDA-MB-231 human breast cancer cells. Cancer Lett. 297:42–48. 2010.

23 

Ni L, Feng Y, Wan H, Ma Q, Fan L, Qian Y, Li Q, Xiang Y and Gao B: Angiotensin-(1–7) inhibits the migration and invasion of A549 human lung adenocarcinoma cells through inactivation of the PI3K/Akt and MAPK signaling pathways. Oncol Rep. 27:783–790. 2012.

24 

Hua H, Li M, Luo T, Yin Y and Jiang Y: Matrix metalloproteinases in tumorigenesis: an evolving paradigm. Cell Mol Life Sci. 68:3853–3868. 2011.

25 

Roomi MW, Monterrey JC, Kalinovsky T, Niedzwiecki A and Rath M: Modulation of MMP-2 and MMP-9 by cytokines, mitogens and inhibitors in lung cancer and malignant mesothelioma cell lines. Oncol Rep. 22:1283–1291. 2009.

26 

Park JK, Park SH, So K, Bae IH, Yoo YD and Um HD: ICAM-3 enhances the migratory and invasive potential of human non-small cell lung cancer cells by inducing MMP-2 and MMP-9 via Akt and CREB. Int J Oncol. 36:181–192. 2010.

27 

Hung WC, Tseng WL, Shiea J and Chang HC: Skp2 overexpression increases the expression of MMP-2 and MMP-9 and invasion of lung cancer cells. Cancer Lett. 288:156–161. 2010.

28 

Yang D, Gu T, Wang T, Tang Q and Ma C: Effects of osthole on migration and invasion in breast cancer cells. Biosci Biotechnol Biochem. 74:1430–1434. 2010.

Related Articles

  • Abstract
  • View
  • Download
  • Twitter
Copy and paste a formatted citation
Spandidos Publications style
Xu X, Zhang Y, Qu D, Feng X, Chen Y and Zhao L: Osthole suppresses migration and invasion of A549 human lung cancer cells through inhibition of matrix metalloproteinase-2 and matrix metallopeptidase-9 in vitro. Mol Med Rep 6: 1018-1022, 2012.
APA
Xu, X., Zhang, Y., Qu, D., Feng, X., Chen, Y., & Zhao, L. (2012). Osthole suppresses migration and invasion of A549 human lung cancer cells through inhibition of matrix metalloproteinase-2 and matrix metallopeptidase-9 in vitro. Molecular Medicine Reports, 6, 1018-1022. https://doi.org/10.3892/mmr.2012.1044
MLA
Xu, X., Zhang, Y., Qu, D., Feng, X., Chen, Y., Zhao, L."Osthole suppresses migration and invasion of A549 human lung cancer cells through inhibition of matrix metalloproteinase-2 and matrix metallopeptidase-9 in vitro". Molecular Medicine Reports 6.5 (2012): 1018-1022.
Chicago
Xu, X., Zhang, Y., Qu, D., Feng, X., Chen, Y., Zhao, L."Osthole suppresses migration and invasion of A549 human lung cancer cells through inhibition of matrix metalloproteinase-2 and matrix metallopeptidase-9 in vitro". Molecular Medicine Reports 6, no. 5 (2012): 1018-1022. https://doi.org/10.3892/mmr.2012.1044
Copy and paste a formatted citation
x
Spandidos Publications style
Xu X, Zhang Y, Qu D, Feng X, Chen Y and Zhao L: Osthole suppresses migration and invasion of A549 human lung cancer cells through inhibition of matrix metalloproteinase-2 and matrix metallopeptidase-9 in vitro. Mol Med Rep 6: 1018-1022, 2012.
APA
Xu, X., Zhang, Y., Qu, D., Feng, X., Chen, Y., & Zhao, L. (2012). Osthole suppresses migration and invasion of A549 human lung cancer cells through inhibition of matrix metalloproteinase-2 and matrix metallopeptidase-9 in vitro. Molecular Medicine Reports, 6, 1018-1022. https://doi.org/10.3892/mmr.2012.1044
MLA
Xu, X., Zhang, Y., Qu, D., Feng, X., Chen, Y., Zhao, L."Osthole suppresses migration and invasion of A549 human lung cancer cells through inhibition of matrix metalloproteinase-2 and matrix metallopeptidase-9 in vitro". Molecular Medicine Reports 6.5 (2012): 1018-1022.
Chicago
Xu, X., Zhang, Y., Qu, D., Feng, X., Chen, Y., Zhao, L."Osthole suppresses migration and invasion of A549 human lung cancer cells through inhibition of matrix metalloproteinase-2 and matrix metallopeptidase-9 in vitro". Molecular Medicine Reports 6, no. 5 (2012): 1018-1022. https://doi.org/10.3892/mmr.2012.1044
Follow us
  • Twitter
  • LinkedIn
  • Facebook
About
  • Spandidos Publications
  • Careers
  • Cookie Policy
  • Privacy Policy
How can we help?
  • Help
  • Live Chat
  • Contact
  • Email to our Support Team