Spandidos Publications Logo
  • About
    • About Spandidos
    • Aims and Scopes
    • Abstracting and Indexing
    • Editorial Policies
    • Reprints and Permissions
    • Job Opportunities
    • Terms and Conditions
    • Contact
  • Journals
    • All Journals
    • Oncology Letters
      • Oncology Letters
      • Information for Authors
      • Editorial Policies
      • Editorial Board
      • Aims and Scope
      • Abstracting and Indexing
      • Bibliographic Information
      • Archive
    • International Journal of Oncology
      • International Journal of Oncology
      • Information for Authors
      • Editorial Policies
      • Editorial Board
      • Aims and Scope
      • Abstracting and Indexing
      • Bibliographic Information
      • Archive
    • Molecular and Clinical Oncology
      • Molecular and Clinical Oncology
      • Information for Authors
      • Editorial Policies
      • Editorial Board
      • Aims and Scope
      • Abstracting and Indexing
      • Bibliographic Information
      • Archive
    • Experimental and Therapeutic Medicine
      • Experimental and Therapeutic Medicine
      • Information for Authors
      • Editorial Policies
      • Editorial Board
      • Aims and Scope
      • Abstracting and Indexing
      • Bibliographic Information
      • Archive
    • International Journal of Molecular Medicine
      • International Journal of Molecular Medicine
      • Information for Authors
      • Editorial Policies
      • Editorial Board
      • Aims and Scope
      • Abstracting and Indexing
      • Bibliographic Information
      • Archive
    • Biomedical Reports
      • Biomedical Reports
      • Information for Authors
      • Editorial Policies
      • Editorial Board
      • Aims and Scope
      • Abstracting and Indexing
      • Bibliographic Information
      • Archive
    • Oncology Reports
      • Oncology Reports
      • Information for Authors
      • Editorial Policies
      • Editorial Board
      • Aims and Scope
      • Abstracting and Indexing
      • Bibliographic Information
      • Archive
    • Molecular Medicine Reports
      • Molecular Medicine Reports
      • Information for Authors
      • Editorial Policies
      • Editorial Board
      • Aims and Scope
      • Abstracting and Indexing
      • Bibliographic Information
      • Archive
    • World Academy of Sciences Journal
      • World Academy of Sciences Journal
      • Information for Authors
      • Editorial Policies
      • Editorial Board
      • Aims and Scope
      • Abstracting and Indexing
      • Bibliographic Information
      • Archive
    • International Journal of Functional Nutrition
      • International Journal of Functional Nutrition
      • Information for Authors
      • Editorial Policies
      • Editorial Board
      • Aims and Scope
      • Abstracting and Indexing
      • Bibliographic Information
      • Archive
    • International Journal of Epigenetics
      • International Journal of Epigenetics
      • Information for Authors
      • Editorial Policies
      • Editorial Board
      • Aims and Scope
      • Abstracting and Indexing
      • Bibliographic Information
      • Archive
    • Medicine International
      • Medicine International
      • Information for Authors
      • Editorial Policies
      • Editorial Board
      • Aims and Scope
      • Abstracting and Indexing
      • Bibliographic Information
      • Archive
  • Articles
  • Information
    • Information for Authors
    • Information for Reviewers
    • Information for Librarians
    • Information for Advertisers
    • Conferences
  • Language Editing
Spandidos Publications Logo
  • About
    • About Spandidos
    • Aims and Scopes
    • Abstracting and Indexing
    • Editorial Policies
    • Reprints and Permissions
    • Job Opportunities
    • Terms and Conditions
    • Contact
  • Journals
    • All Journals
    • Biomedical Reports
      • Information for Authors
      • Editorial Policies
      • Editorial Board
      • Aims and Scope
      • Abstracting and Indexing
      • Bibliographic Information
      • Archive
    • Experimental and Therapeutic Medicine
      • Information for Authors
      • Editorial Policies
      • Editorial Board
      • Aims and Scope
      • Abstracting and Indexing
      • Bibliographic Information
      • Archive
    • International Journal of Epigenetics
      • Information for Authors
      • Editorial Policies
      • Editorial Board
      • Aims and Scope
      • Abstracting and Indexing
      • Bibliographic Information
      • Archive
    • International Journal of Functional Nutrition
      • Information for Authors
      • Editorial Policies
      • Editorial Board
      • Aims and Scope
      • Abstracting and Indexing
      • Bibliographic Information
      • Archive
    • International Journal of Molecular Medicine
      • Information for Authors
      • Editorial Policies
      • Editorial Board
      • Aims and Scope
      • Abstracting and Indexing
      • Bibliographic Information
      • Archive
    • International Journal of Oncology
      • Information for Authors
      • Editorial Policies
      • Editorial Board
      • Aims and Scope
      • Abstracting and Indexing
      • Bibliographic Information
      • Archive
    • Medicine International
      • Information for Authors
      • Editorial Policies
      • Editorial Board
      • Aims and Scope
      • Abstracting and Indexing
      • Bibliographic Information
      • Archive
    • Molecular and Clinical Oncology
      • Information for Authors
      • Editorial Policies
      • Editorial Board
      • Aims and Scope
      • Abstracting and Indexing
      • Bibliographic Information
      • Archive
    • Molecular Medicine Reports
      • Information for Authors
      • Editorial Policies
      • Editorial Board
      • Aims and Scope
      • Abstracting and Indexing
      • Bibliographic Information
      • Archive
    • Oncology Letters
      • Information for Authors
      • Editorial Policies
      • Editorial Board
      • Aims and Scope
      • Abstracting and Indexing
      • Bibliographic Information
      • Archive
    • Oncology Reports
      • Information for Authors
      • Editorial Policies
      • Editorial Board
      • Aims and Scope
      • Abstracting and Indexing
      • Bibliographic Information
      • Archive
    • World Academy of Sciences Journal
      • Information for Authors
      • Editorial Policies
      • Editorial Board
      • Aims and Scope
      • Abstracting and Indexing
      • Bibliographic Information
      • Archive
  • Articles
  • Information
    • For Authors
    • For Reviewers
    • For Librarians
    • For Advertisers
    • Conferences
  • Language Editing
Login Register Submit
  • This site uses cookies
  • You can change your cookie settings at any time by following the instructions in our Cookie Policy. To find out more, you may read our Privacy Policy.

    I agree
Search articles by DOI, keyword, author or affiliation
Search
Advanced Search
presentation
Oncology Letters
Join Editorial Board Propose a Special Issue
Print ISSN: 1792-1074 Online ISSN: 1792-1082
Journal Cover
November-2018 Volume 16 Issue 5

Full Size Image

Sign up for eToc alerts
Recommend to Library

Journals

International Journal of Molecular Medicine

International Journal of Molecular Medicine

International Journal of Molecular Medicine is an international journal devoted to molecular mechanisms of human disease.

International Journal of Oncology

International Journal of Oncology

International Journal of Oncology is an international journal devoted to oncology research and cancer treatment.

Molecular Medicine Reports

Molecular Medicine Reports

Covers molecular medicine topics such as pharmacology, pathology, genetics, neuroscience, infectious diseases, molecular cardiology, and molecular surgery.

Oncology Reports

Oncology Reports

Oncology Reports is an international journal devoted to fundamental and applied research in Oncology.

Experimental and Therapeutic Medicine

Experimental and Therapeutic Medicine

Experimental and Therapeutic Medicine is an international journal devoted to laboratory and clinical medicine.

Oncology Letters

Oncology Letters

Oncology Letters is an international journal devoted to Experimental and Clinical Oncology.

Biomedical Reports

Biomedical Reports

Explores a wide range of biological and medical fields, including pharmacology, genetics, microbiology, neuroscience, and molecular cardiology.

Molecular and Clinical Oncology

Molecular and Clinical Oncology

International journal addressing all aspects of oncology research, from tumorigenesis and oncogenes to chemotherapy and metastasis.

World Academy of Sciences Journal

World Academy of Sciences Journal

Multidisciplinary open-access journal spanning biochemistry, genetics, neuroscience, environmental health, and synthetic biology.

International Journal of Functional Nutrition

International Journal of Functional Nutrition

Open-access journal combining biochemistry, pharmacology, immunology, and genetics to advance health through functional nutrition.

International Journal of Epigenetics

International Journal of Epigenetics

Publishes open-access research on using epigenetics to advance understanding and treatment of human disease.

Medicine International

Medicine International

An International Open Access Journal Devoted to General Medicine.

Journal Cover
November-2018 Volume 16 Issue 5

Full Size Image

Sign up for eToc alerts
Recommend to Library

  • Article
  • Citations
    • Cite This Article
    • Download Citation
    • Create Citation Alert
    • Remove Citation Alert
    • Cited By
  • Similar Articles
    • Related Articles (in Spandidos Publications)
    • Similar Articles (Google Scholar)
    • Similar Articles (PubMed)
  • Download PDF
  • Download XML
  • View XML
Article Open Access

Iodine‑125 interstitial brachytherapy reduces tumor growth via Warburg effect inhibition in non‑small cell lung cancer A549 xenografts

  • Authors:
    • Jun Zhang
    • Yangjun Zhu
    • Mengjie Dong
    • Jun Yang
    • Wanwen Weng
    • Lisong Teng
  • View Affiliations / Copyright

    Affiliations: Department of Nuclear Medicine, The First Affiliated Hospital, College of Medicine, Zhejiang University, Hangzhou, Zhejiang 310003, P.R. China, Department of Ultrasonography, The First Affiliated Hospital, College of Medicine, Zhejiang University, Hangzhou, Zhejiang 310003, P.R. China, Department of Surgical Oncology, The First Affiliated Hospital, College of Medicine, Zhejiang University, Hangzhou, Zhejiang 310003, P.R. China
    Copyright: © Zhang et al. This is an open access article distributed under the terms of Creative Commons Attribution License.
  • Pages: 5969-5977
    |
    Published online on: August 21, 2018
       https://doi.org/10.3892/ol.2018.9346
  • Expand metrics +
Metrics: Total Views: 0 (Spandidos Publications: | PMC Statistics: )
Metrics: Total PDF Downloads: 0 (Spandidos Publications: | PMC Statistics: )
Cited By (CrossRef): 0 citations Loading Articles...

This article is mentioned in:



Abstract

Iodine‑125 interstitial brachytherapy (125I‑IBT) is an alternative and effective treatment option for unresectable non‑small cell lung cancer (NSCLC), and the Warburg effect is a determinant of tumor growth. The present study aimed to explore the influence of 125I‑IBT on tumor growth and the Warburg effect, and the potential mechanisms underlying NSCLC progression. Mice with A549 cell xenografts were evenly divided into a control group without 125I‑IBT, and three treatment groups receiving 125I‑IBT with 20, 40 and 60 Gy. Tumor volume (TV), maximum standardized uptake value (SUVmax) determined by 18F‑fluorodeoxyglucose (18F‑FDG) micro‑positron emission tomography/computed tomography and mean optical density (MOD) of mammalian target of rapamycin (mTOR), c‑Myc, hypoxia inducible factor‑1α (HIF‑1α) and glucose transporter 1 (GLUT1) staining were compared among groups. Tumor inhibition rate (TIR), 18F‑FDG uptake attenuation rate (FUAR) and expression suppression rate (ESR) were also calculated on day 14 and 28. The results demonstrated that the mean TV in the 60 and 40 Gy groups was smaller compared with the control TVs since days 14 and 16, respectively. The mean SUVmax value of the 60 Gy group at day 14, and all treatment group SUVmax values at day 28 were lower compared with the controls. In addition, the MOD of mTOR and GLUT1 was lower in the 60 Gy group, compared with the other groups, and c‑Myc and HIF‑1α values were lower in the 40 and 60 Gy groups, compared with the control and 20 Gy group (P<0.05). SUVmax positively correlated to TV (day 14, r=0.711; day 28, r=0.586) and the MOD of c‑Myc and GLUT1 (r=0.621 and 0.546, respectively; P<0.01). Furthermore, dose dependent increases were observed for TIR, FUAR and ESR. In conclusion, 125I‑IBT reduced tumor growth by inhibiting the Warburg effect, which may have resulted from downregulation of mTOR, c‑Myc, HIF‑1α and GLUT1 expression, particularly c‑Myc and GLUT1, in NSCLC A549 xenografts

Introduction

Lung cancer is the most frequently diagnosed cancer and the leading cause of cancer mortality worldwide. Over 80% of cases are histologically classified as non-small cell lung cancer (NSCLC) (1,2). Surgery is generally the treatment of choice for early stage NSCLC. However, 30–55% of patients develop recurrence even following complete resection, and the mortality rate is high (3). As early disease is typically asymptomatic, the majority of patients are diagnosed at a distant stage, resulting in extremely poor prognosis, even with chemotherapy and/or radiotherapy (2). Recently, computed tomography (CT)-guided iodine-125 interstitial brachytherapy (125I-IBT) has been employed to treat NSCLC at the inoperable advanced stage, and in cases with local recurrence or metastasis following surgery or concurrent chemoradiotherapy, alone or in combination with other treatments (3–6). It was demonstrated that 125I-IBT significantly improves overall survival and local control, by maximizing the radiation dose delivered to the tumor, and minimizing radiation injury of the surrounding normal lung tissue. Certain preclinical studies have further suggested that increased G2/M arrest, increased apoptosis and enhanced bystander effect may serve key roles in the anti-proliferative effects induced by 125I-IBT in NSCLC (7–9). However, the association between 125I-IBT and glucose metabolism in NSCLC remains unclear.

The Warburg effect, a hallmark for tumor cells, was discovered by Otto Warburg in 1924. It is well established that in contrast to normal cells, which predominantly rely on mitochondrial oxidative phosphorylation (OXPHOS) to generate the energy required for cellular processes, the majority of tumor cells instead rely on aerobic glycolysis. The Warburg effect is a determinant of tumor cell proliferation (10). The rate of glucose entry into tumor cells is at least 20–30-fold higher than normal cells. This unique phenomenon is the basis for the use of positron emission tomography (PET)/CT with 18F-fluorodeoxyglucose (18F-FDG), a radioactive glucose analog that is intensely accumulated by tumor cells (11). 18F-FDG PET/CT is widely used for initial diagnosis, disease staging, recurrence and metastasis detection, as well as for monitoring chemotherapy and/or radiotherapy response in lung cancer (12–16).

In recent years, several studies have investigated the Warburg effect in lung cancer progression, as well as for the development of targeted therapies (17–19). It was suggested that Sad1 and UNC84 domain containing 2 (SUN2) protein may suppress lung cancer cell proliferation and migration by attenuating the Warburg effect, whereas pyruvate dehydrogenase kinase 1 (PDK1), may promote lung cancer cell proliferation and migration, via the inverse mechanism. In addition, dichloroacetate, a metabolic agent, may partially revert the Warburg effect in tumor cells, increase X-ray sensitivity and inhibit the growth of lung cancer cells. Based on these previous reports, the present study aimed to investigate if and how the Warburg effect was involved in 125I-IBT for NSCLC. Herein, it was hypothesized that 125I-IBT may have suppressed tumor growth via Warburg effect inhibition in NSCLC. Alterations in tumor growth and 18F-FDG uptake were monitored using micro-PET/CT imaging. In addition, the relationships among these factors, the expression of glycolysis-associated molecules and the radiation dose were analyzed in NSCLC A549 ×enografts following 125I-IBT.

Materials and methods

Cell culture and animal model

The A549 cell line was purchased from Shanghai Jianglin Biological Technology Co., Ltd. (Shanghai, China). Cells were cultured in RPMI-1640 (GE Healthcare Life Sciences, Logan, UT, USA) supplemented with 10% fetal bovine serum (FBS; Gibco; Thermo Fisher Scientific, Inc., Waltham, MA, USA), 100 U/ml penicillin and 0.1 mg/ml streptomycin at 37°C in a 5% CO2 atmosphere. Cells were trypsinized and harvested once 80–90% confluence was reached. Male BALB/c-nu mice (18–20 g; 4–6 weeks old) were purchased from Shanghai SLAC Laboratory Animal Co., Ltd. (Shanghai, China) and allowed to acclimatize for 1 week in a specific pathogen-free room under controlled temperature and humidity prior to experimental initiation. Following this, ~0.2 ml A549 cell suspension (1×107 cells/1 ml RPMI-1640) was injected subcutaneously into the right armpits of the forelegs. After 4 weeks, mice with a xenograft diameter of ~10 mm were used for study.

Study design

A total of 24 prior mice were randomly divided into four groups (n=6 per group). The control group without 125I seed implantation, and three treatment groups with a prescribed dose of 20, 40 and 60 Gy, via 1–2 125I seed implantation with a radioactivity of 0.3–0.6 mCi, respectively. The treatment period was 4 weeks. Tumor growth was monitored by determining the xenograft size every 2 days with a calliper. Before and 14, 28 days after receiving 125I-IBT, micro-PET/CT imaging was performed to determine the baseline level and post-treatment alterations in 18F-FDG uptake. At the end of study, the mice were euthanized with dislocation of cervical vertebra after being anesthetized with 3% isoflurane inhalation and all xenografts were histologically analyzed with immunohistochemical (IHC) staining.

Interstitial brachytherapy

125I seeds (model 6711; diameter, 0.8 mm; length, 4.5 mm; half-life, 59.6 days; half value thickness, 1.7 cm in tissue; main emission, 27.4–31.4 Kev X-ray and 35.5 Kev γ-ray) were provided by Seeds Biological Pharmacy, Ltd. (Tianjin, China). The 125I seeds were preloaded into 18-gauge needles and subsequently implanted into the xenograft center. The radiation prescribed dose was planned based on the axial micro-CT images using a brachytherapy treatment planning system (Beijing Astro Technology, Beijing, China).

Tumor volume

Based on measurements of the short (a) and long (b) tumor diameters, tumor volume (TV) was calculated, according to the formula of TV=1/2 × a2 × b. The TV and tumor inhibition rate (TIR) on day 14 and 28 were defined as TV14, TV28, TIR14 and TIR28, respectively. TIR was calculated using the following equation: TIR=(mean of TVc-mean of TVt)/mean of TVc ×100%, where TVc was the control TV, and TVt was the treatment group TV.

Micro-PET/CT imaging

18F-FDG was synthesized by the PET/CT center in our institution. Following an overnight fast, mice were injected with ~0.1 mCi 18F-FDG via the tail vein. After 1 h, mice were anesthetized with 3% isoflurane inhalation and placed in the prone position in the center of a Siemens Inveon combined micro-PET/CT scanner (Siemens Preclinical Solution USA, Inc., Knoxville, TN, USA). Micro-CT scans were performed with a 80 kV X-ray tube voltage, 500 µA current, 150 ms ec exposure time and 120 rotation steps. Micro-PET static acquisition was subsequently performed for 10 min and the data were processed using the ordered set expectation maximization algorithm for three dimensional PET reconstruction. Micro-PET/CT images were analyzed with an Inveon Research Workplace 4.1 (Siemens, Erlangen, Germany). The maximum standardized uptake value (SUVmax; g/ml) of the xenograft was measured on day 0, 14 and 28 and referred to as SUVmax0, SUVmax14, SUVmax28, respectively. The 18F-FDG uptake attenuation rate (FUAR) of the xenograft on day 14 and 28 was defined as FUAR14 and FUAR28, respectively, using the following equation: FUAR=(mean SUVmaxc value-mean SUVmaxt value)/mean SUVmaxc value ×100%, where SUVmaxc was the control group SUVmax, and the SUVmaxt was the treatment group SUVmax.

Histological evaluation

All xenografts were fixed in 10% formalin overnight at 4°C and subsequently embedded in paraffin for histological section preparation (4 µm). The sections were deparaffinized and stained with hematoxylin and eosin for normal histological evaluation. IHC was also performed with antibodies to detect mammalian target of rapamycin (mTOR), c-Myc, hypoxia inducible factor-1α (HIF-1α) and glucose transporter 1 (GLUT1) expression, according to manufacturer's instructions. Primary antibodies (Abcam, Cambridge, UK) used were anti-mTOR ab2732 (diluted 1:200), anti-c-Myc ab32072 (diluted 1:100), anti-HIF-1α ab16066 (diluted 1:400) and anti-GLUT1 ab652 (diluted 1:200). In brief, sections were dewaxed and rehydrated prior to quenching in 3% hydrogen peroxide to block endogenous peroxidase activity for 10 min. Antigen retrieval was performed by immersing the sections in EDTA/Tris solution (pH 9.0) in a microwave oven for 2×15 min. Sections were cooled at room temperature and washed in PBS for 3×10 min. Following this, sections were blocked in 5% bovine serum albumin (BSA) for 30 min and subsequently incubated overnight with primary antibodies at 4°C and rewarmed for 30 min and washed in PBS for 3×10 min. Then sections were incubated with biotinylated secondary antibodies at 37°C for 45 min and washed in PBS for 3×10 min, followed by exposure to streptavidin-biotin complex (Ready-to-use SABC-POD kits: SA1021, goat anti-mouse IgG and SA1022, goat anti-rabbit IgG) for 45 min at 37°C and diaminobenzidine tetrahydrochloride (DAB AR1022; both Boster, Wuhan, China). Staining without primary antibodies was performed in parallel and served as a negative control. Finally, sections were counterstained with hematoxylin, dehydrated in ethanol and xylene and mounted with cover slips using neutral balsam. Each section was assessed in three random microscopic fields (×200). The expression of mTOR, c-Myc, HIF-1α and GLUT1 was quantified by determining the mean optical density (MOD) using Image-Pro Plus software (version 6.0; Media Cybernetics, Inc. Maryland, USA). The expression suppression rate (ESR) of mTOR, c-Myc, HIF-1α and GLUT1 was defined as ESRmTOR, ESRc-Myc, ESRHIF-1α and ESRGLUT1, respectively, using the following equations: ESR=(mean MODc-mean MODt)/mean MODc ×100%, where MODc was the control group MOD, and MODt was the MOD of the treatment groups.

Statistical analysis

All statistical analyses were performed using SPSS 19.0 software (IBM Corp., Armonk, NY, USA). The continuous variables were described as the mean ± standard deviation. Significant differences were evaluated using one-way analysis of variance. If variances were equal, all pairwise comparisons between group means were performed with Fisher's Least Significant Difference test; if unequal, Dunnett's T3 test was used. Pearson's correlation analysis was used to evaluate the relationships among TV, SUVmax and the MOD of mTOR, c-Myc, HIF-1α and GLUT1. P<0.05 was considered to indicate a statistically significant difference.

Results

125I-IBT inhibits A549 ×enograft growth

A549 ×enograft growth over time following 125I-IBT was presented in Fig. 1. Overall, the tumor gradually enlarged over time in all groups, although TV decreased as the radiation dose increased. The mean TV of the 60 Gy group (377.3±227.2 mm3) and 40 Gy group (410.7±174.42 mm3) was significantly reduced compared with controls since day 14 (691.0±258.5 mm3) and 16 (717.5±212.9 mm3), respectively (P<0.05). However, no statistical differences were observed between the 20 Gy group and controls or among all treatment groups (P>0.05). In addition, the TIR14 of the 20, 40 and 60 Gy groups was 19.9, 39.8 and 45.4%; and the TIR28 were 18.0, 60.5 and 61.7%, respectively. These data suggested that 125I-IBT may have inhibited the growth of A549 ×enografts, and inhibition was enhanced as the radiation dose increased.

Figure 1.

Tumor growth curve of A549 ×enografts following the administration of 125I-IBT. Tumor volume gradually enlarged over time in all groups, although growth was reduced as the radiation dose increased. 125I-IBT, iodine-125 interstitial brachytherapy.

125I-IBT reduces 18F-FDG uptake in A549 ×enografts

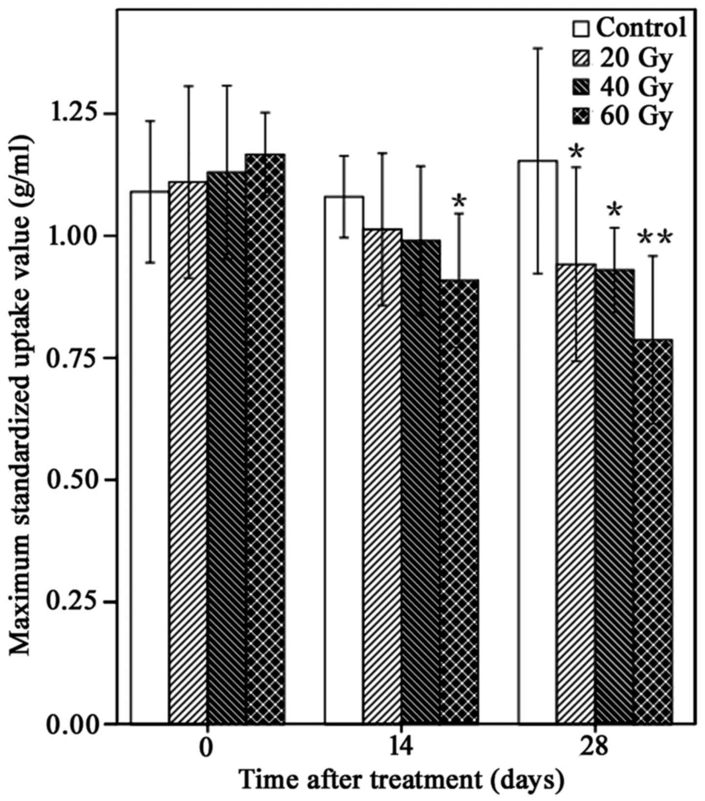
18F-FDG uptake within A549 ×enografts following 125I-IBT was presented in Fig. 2. In general, compared with controls, the 18F-FDG uptake of xenografts gradually reduced over time in 125I-IBT treatment groups. Furthermore, the reduction in SUVmax was increased as the radiation dose increased (Fig. 3). The mean of SUVmax14 of the 60 Gy-group was significantly lower than the control group (0.91±0.13 g/ml vs. 1.08±0.08 g/ml; P<0.05). The mean SUVmax28 of all treatment groups was significantly lower than the control group (20 Gy, 0.94±0.19 g/ml; 40 Gy, 0.93±0.08 g/ml; 60 Gy, 0.79±0.16 g/ml vs. control group, 1.15±0.22 g/ml; P<0.05), although there were no significant differences among treatment groups on day 14 and 28 (P>0.05). Furthermore, the FUAR14 of the 20, 40 and 60 Gy groups was 6.5, 8.3 and 15.7%, and the FUAR28 of the 20, 40 and 60 Gy groups was 18.3, 19.1 and 31.3%, respectively. These data suggested that 125I-IBT may have reduced 18F-FDG uptake within A549 ×enografts, and this effect was more marked as the radiation dose increased.

Figure 2.

18F-FDG micro-PET/CT imaging in A549 ×enografts following the administration of 125I-IBT. The 18F-FDG uptake generally decreased over time within treatment group tumors, compared with the control group. 18F-FDG, 18F-fluorodeoxyglucose; micro-PET/CT, micro-positron emission tomography/computed tomography; 125I-IBT, iodine-125 interstitial brachytherapy.

Figure 3.

Comparison of 18F-FDG uptake in A549 ×enografts following the administration of 125I-IBT. The maximum standardized uptake value gradually reduced over time in the treatment groups compared with the control. Reduction was more marked as the radiation dose increased. *P<0.05, **P<0.01 vs. controls. 18F-FDG, 18F-fluorodeoxyglucose; 125I-IBT, iodine-125 interstitial brachytherapy.

125I-IBT suppresses mTOR, c-Myc, HIF-1α and GLUT1 expression in A549 ×enografts

The IHC staining patterns of mTOR, c-Myc, HIF-1α and GLUT1 in A549 ×enografts following 125I-IBT were presented in Fig. 4. In tumor cells, mTOR, c-Myc and HIF-1α were expressed in the nucleus and cytoplasm, whereas GLUT1 was predominantly expressed in the cytomembrane and cytoplasm. Overall, the expression of mTOR, c-Myc, HIF-1α and GLUT1 in xenografts was gradually downregulated as the radiation dose increased in the 125I-IBT treatment groups, compared with the controls (Fig. 5). The MOD of mTOR staining in the 60 Gy-group (0.0092±0.0062) was markedly decreased compared with the other groups (control, 0.0198±0.0053; 20 Gy, 0.0191±0.0096 and 40 Gy, 0.0194±0.0062; P<0.05). In addition, the MOD of c-Myc staining was significantly lower in the 40 (0.0025±0.0010) and 60 Gy (0.0006±0.0006) treatment groups, compared with the other groups (control, 0.0077±0.0020 and 20 Gy, 0.0055±0.0029; P<0.01). Furthermore, the MOD of HIF-1α staining in the 40 (0.0024±0.0021) and 60 Gy (0.0018±0.0006) treatment groups was significantly than that of the control group (0.0070±0.0058; P<0.05). Finally, the MOD of GLUT1 staining in the 60 Gy (0.0024±0.0025) group was significantly decreased compared with the other (control, 0.0150±0.0043; 20 Gy, 0.0139±0.0046; 40 Gy, 0.0130±0.0043; P<0.01). However, there were no significant differences between 20 Gy group and the control for mTOR, c-Myc, HIF-1α or GLUT1 expression in A549 ×enografts (P>0.05). Additionally, the ESRmTOR, in the 20, 40 and 60 Gy groups was 4.0, 2.5 and 53.8%, respectively; the ESRc-Myc was 28.6, 67.5 and 92.2%, respectively; the ESRHIF-1α was 51.4, 65.7 and 74.3%, respectively; and the ESRGLUT1 was 7.3, 13.3 and 84.0%, respectively. These data suggested that 125I-IBT may have suppressed the expression of mTOR, c-Myc, HIF-1α and GLUT1 in A549 ×enografts, and the suppression effect was increased as the radiation dose increased.

Figure 4.

Immunohistochemical staining in A549 ×enografts following 125I-IBT. mTOR, c-Myc, HIF-1α and GLUT1 expression was downregulated in the treatment groups compared with the controls. Magnification, ×200. mTOR, mammalian target of rapamycin; HIF-1α, hypoxia inducible factor-1α; GLUT1, glucose transporter 1; 125I-IBT, iodine-125 interstitial brachytherapy.

Figure 5.

Comparison of mTOR, c-Myc, HIF-1α and GLUT1 staining in A549 ×enografts following 125I-IBT. The mean optical densities of mTOR, c-Myc, HIF-1α and GLUT1 gradually decreased as the radiation dose increased in treatment groups, compared with the controls. *P<0.05, **P<0.01 vs. controls; ▲P<0.05, ▲▲P<0.01 vs. 20 Gy group; ΔP<0.05, ΔΔP<0.01 vs. 40 Gy group. mTOR, mammalian target of rapamycin; HIF-1α, hypoxia inducible factor-1α; GLUT1, glucose transporter 1; 125I-IBT, iodine-125 interstitial brachytherapy.

Relationships among tumor growth, 18F-FDG uptake and expression of mTOR, c-Myc, HIF-1α and GLUT1

The correlations among tumor growth, 18F-FDG uptake and expression of mTOR, c-Myc, HIF-1α and GLUT1 were presented in Fig. 6. There was a positive correlation between TV14 and SUVmax14 (r=0.711), TV28 and SUVmax14 (r=0.682) and TV28 and SUVmax28 (r=0.586), respectively (P<0.01). In addition, SUVmax28 positively correlated to the MOD of c-Myc (r=0.621) and GLUT1 (r=0.546), respectively (P<0.01). However, the MOD of mTOR (r=0.243) and HIF-1α (r=0.029) had no significant correlation with SUVmax28 (P>0.05). Furthermore, the MOD of mTOR, c-Myc and GLUT1 had a significant correlation with each other (P<0.05; Table I).

Figure 6.

Relationships among tumor growth, 18F-FDG uptake and expression of mTOR, c-Myc, HIF-1α and GLUT1 in A549 ×enografts following 125I-IBT. (A) TV positively correlated to SUVmax on day 14 (r=0.711; P<0.01) and day 28 (r=0.586; P<0.01). TV on day 28 also correlated to SUVmax on day 14 (r=0.682; P<0.01). (B) SUVmax positively correlated with the mean optical densities of c-Myc (r=0.621) and GLUT1 (r=0.546) on day 28, respectively (P<0.01). TV, tumor volume; SUVmax, maximum standardized uptake value; mTOR, mammalian target of rapamycin; HIF-1α, hypoxia inducible factor-1α; GLUT1, glucose transporter 1; 125I-IBT, iodine-125 interstitial brachytherapy.

Table I.

Associations among expression of mTOR, c-Myc, HIF-1α and GLUT1 in A549 ×enograft after 125I-IBT.

Table I.

Associations among expression of mTOR, c-Myc, HIF-1α and GLUT1 in A549 ×enograft after 125I-IBT.

Protein namemTOR, correlation coefficient (P-value)c-Myc, correlation coefficient (P-value)HIF-1α, correlation coefficient (P-value)
c-Myc0.500a (0.013)
HIF-1α−0.003 (0.988)0.365 (0.079)
GLUT10.526b (0.008)0.614b (0.001)0.264 (0.212)

a P<0.05

b P<0.01. mTOR, mammalian target of rapamycin; HIF-1α, hypoxia inducible factor-1α; GLUT1, glucose transporter 1; 125I-IBT, iodine-125 interstitial brachytherapy.

Discussion

In the present study, it was postulated that 125I-IBT may have suppressed NSCLC tumor growth by inhibiting the Warburg effect. Tumor growth and 18F-FDG uptake was monitored in NSCLC A549 ×enografts following 125I-IBT with a radiation dose of 20, 40 or 60 Gy, and the relationships among them were also evaluated. It was demonstrated that both the TV and SUVmax of all treatment groups were decreased compared with controls following 125I-IBT, and these reductions were more marked as the time and radiation dose increased, which was consistent with results obtained in previous studies of pancreatic carcinoma xenografts (20,21). In addition, the TIR and FUAR increased more or less as the radiation dose increased, and TV positively correlated to SUVmax on day 14 and 28. On the basis of these results, it can be inferred that 125I-IBT may have reduced tumor growth by inhibiting the Warburg effect in NSCLC, and this inhibition increased in a dose-dependent manner more or less. Notably, it was revealed that SUVmax14 was positively correlated with TV28 (P<0.05). This suggested that interim 18F-FDG PET/CT may be a promising strategy to predict the anti-tumor efficacy of 125I-IBT in NSCLC in the early stages. 18F-FDG PET/CT is currently used to predict chemotherapy and/or radiotherapy efficacy in lung cancer (16), as well as other malignancies (22,23).

The Warburg effect is considered to involve multiple intricate mechanisms, including tumor microenvironment support, HIF stabilization, oncogene activation, tumor suppressor gene loss, cancer cell mitochondrial dysfunction, nuclear DNA mutations, epigenetic modifications, microRNA regulation, glutamine metabolism and post-translational modifications (24). HIF-1, a heterodimeric transcription factor consisting of α and β subunits, is known to contribute to the adaptability of tumor cells to hypoxic conditions. It may increase the efficacy of the glycolytic pathway by upregulating the expression of several GLUTs and several other genes linked to aerobic glycolysis (25). For example, GLUT1 is ubiquitously expressed, but overexpressed in tumor cells and therefore increases the uptake of glucose. HIF regulation is predominantly dependent on the HIF-1α subunit, that has a short half-life under normoxic conditions due to proteasomal degradation (24,26,27). The phosphoinositide 3-kinase (PI3K)/protein kinase B (AKT) and the Ras/Raf/mitogen-activated protein kinase kinase (MAPKK)/extracellular regulated protein kinase (ERK) pathways are the major signaling pathways downstream from growth factor-bound receptor tyrosine kinases, which are linked to both growth control and glucose metabolism in tumor cells (28,29). mTOR, a serine/threonine kinase, is an important downstream effector of AKT that stimulates the synthesis of HIF-1α under normoxic conditions, further enhancing the expression of GLUT1 and glycolytic enzymes, including lactate dehydrogenase B and pyruvate kinase M2 (PKM2) (10,24,30). The suppression of mTOR expression reduces glucose uptake in tumor cells (31). Furthermore, activated ERK induces the expression of MYC oncogene, which encodes a transcription factor c-Myc that is known to be aberrantly overexpressed in more than half of all human cancers (32). Similar to HIF-1, c-Myc activates GLUT1 and several glycolytic genes, resulting in increased glucose influx and higher glycolytic rates and contributes to the Warburg effect (33). In addition, activated c-Myc may work together with HIF-1 in glycolysis and OXPHOS regulation. Both HIF and c-Myc activate hexokinase 2 (HK2) and PDK1, leading to increased glycolytic rates and conversion of glucose to lactate (27).

In the present study, alterations in mTOR, c-Myc, HIF-1α and GLUT1 expression was analyzed by IHC techniques, and the relationship among them was determined. The findings revealed that the xenograft expression of mTOR, c-Myc, HIF-1α and GLUT1 decreased as the radiation dose increased, with the largest decrease observed in the 60 Gy group, compared with the controls. Furthermore, the ESRmTOR, ESRc-Myc, ESRHIF-1α and ESRGLUT1 was dose-dependently increased, and the MOD of mTOR, c-Myc and GLUT1 were significantly correlated with each other. These findings indicated that the Warburg effect was inhibited by 125I-IBT, which may have resulted from mTOR, c-Myc, HIF-1α and GLUT1 downregulation in NSCLC A549 ×enografts.

Although the downregulation of the above molecules by 125I-IBT has not been explicitly defined in the present study, possible involvement of AKT and ERK-mediated signaling pathways may be suggested in accordance with a previous report demonstrating that 125I-IBT may downregulate epidermal growth factor receptor, inhibiting AKT activation in colorectal tumor cells (34). 125I-IBT has also been demonstrated to suppress vascular endothelial growth factor-A expression, and consequently inhibit ERK activation in nasopharyngeal tumor cells (35). It is plausible that AKT and ERK inactivation may have reduced the expression of mTOR and c-Myc, resulting in the downregulation of HIF-1α and GLUT1 expression in the present study. In addition, Cron et al (36) reported that 125I seeds may significantly increase oxygen partial pressure within 24 h and even on day 3. Furthermore, it may elevate blood perfusion from day 3, in 2–4 mm of the surrounding liver tumor region (36). As a result, the improvement of the tumor hypoxic microenvironment by 125I-IBT may have also partially reduced the expression and/or accelerated the degradation of HIF-1α. However, Hu et al (37) demonstrated that 125I-IBT increases mitochondrial reactive oxygen species (ROS) production and consequently upregulates the expression of HIF-1α in human colorectal cancer cells (37). Therefore, the downregulation of HIF-1α by 125I-IBT may have been a synthetic action of above factors in NSCLC.

In addition, the correlation analysis between glucose metabolism and the expression of mTOR, c-Myc, HIF-1α and GLUT1 in the present study revealed that the SUVmax28 positively correlated with the MOD of c-Myc (r=0.621) and GLUT1 (r=0.546). This suggested that 18F-FDG uptake may depend upon the overexpression of c-Myc and GLUT1 in xenografts, particularly c-Myc. GLUT1 is the major glucose transporter expressed in NSCLC. Although its overexpression is considered to be linked to 18F-FDG uptake within tumors, it is unlikely that this is the sole or rate-limiting step in this process (38). The role of GLUT1 remains controversial in NSCLC; certain studies have reported a significant correlation (39,40), whereas others have detected no correlation (41,42). This may be attributed to the fact that 18F-FDG uptake involves tumor blood flow and tracer delivery rate, in addition to expression of GLUT1. Once 18F-FDG enters tumor cells, hexokinase and glucose-6-phosphatase (G6Pase) activity determines how much phosphorylated 18F-FDG is trapped in cells (38). c-Myc, as a central regulator of cell growth and proliferation (43), targets genes involved in glucose transport, glycolysis, glutaminolysis and fatty acid synthesis (44). c-Myc activates GLUT1, as well as HK2 (27) and G6Pase (45), leading to increased uptake of 18F-FDG. Downregulation of c-Myc and GLUT1 suppresses the glycolytic pathway and glycolytic enzyme activity, leading to 18F-FDG uptake inhibition (46).

However, it was noted that in the present study, no statistical differences between TV, SUVmax14 and SUVmax28 were observed among the treatment groups, or between the TV and the MOD of mTOR, c-Myc, HIF-1α and GLUT1 in the 20 Gy and control group. This may have been due to the short investigation duration of 28 days, as 125I-IBT is typically delivered over >180 days (21). Additionally, 60 Gy is a relatively low radiation dose, considering that the clinically effective dose is typically 100–160 Gy (3–6). Furthermore, there were no significant correlations between HIF-1α expression and the other detected proteins, or between the SUVmax28 and the MOD of mTOR and HIF-1α (P>0.05). This may be attributed in part to the complex, multifactorial regulation of HIF-1α as detailed above. In addition, it suggested that the AKT/mTOR pathway may have less influence on the Warburg effect in NSCLC, compared with the ERK/c-Myc pathway.

Certain limitations of the present study should be considered. First, other key molecules associated with glycolysis were not examined, such as PKM2 and HK2. Second, the expression of glycolysis-associated molecules was only evaluated using IHC rather than via western blotting and/or reverse transcription-quantitative polymerase chain reaction assays for transcriptional and translational expression analyses, respectively. Third, A549 cells harbor the mutant K-ras gene, and the Ras/Raf/ERK signaling pathway is critical for tumor proliferation. Therefore, multiple NSCLC cells, including those with the wild-type K-ras gene, should be used to confirm the results of the present study.

In conclusion, the present study suggested that 125I-IBT may have reduced tumor growth via Warburg effect inhibition, and this inhibitory effect increased as the radiation dose increased. Warburg effect inhibition may have resulted from mTOR, c-Myc, HIF-1α and GLUT1 expression downregulation, particularly c-Myc and GLUT1, in NSCLC A549 ×enografts. Further research is required to clearly delineate the exact mechanisms underlying Warburg effect inhibition by 125I-IBT in NSCLC.

Acknowledgements

The authors would like to thank Mr. Jiong Yu for the cell culture assistance, Mr. Li Jiang for helping establishing the animal model and Mr. Hui Chen for assistance in animal imaging.

Funding

The present study was supported by the Zhejiang Provincial Natural Science Foundation (grant no. LY15H180007) and Zhejiang Province Medical Health Science Foundation of China (grant nos. 2015KYB153, 2016KYB099 and 2017KY061).

Availability of data and materials

The datasets used and/or analyzed during the current study are available from the corresponding author on reasonable request.

Authors' contributions

JZ established animal models, performed animal imaging and drafted the manuscript. YZ was responsible for cell culture and participated in preparation of animal model and imaging. MD, JY and WW participated in the iodine-125 seed implantation and immunohistochemistry. LT conceived and designed the study, performed the statistical analysis and revised the manuscript. All authors read and approved the final manuscript.

Ethics approval and consent to participate

The animals used in the present study received humane care in compliance with the Guideline to the Care and Use of Experimental Animals established by the Medical Ethical Committee on animal experiments of the Zhejiang University.

Patient consent for publication

Not applicable.

Competing interests

The authors declare that they have no competing interests.

Glossary

Abbreviations

Abbreviations:

NSCLC

non-small cell lung cancer

125I-IBT

iodine-125 interstitial brachytherapy

OXPHOS

oxidative phosphorylation

PET/CT

positron emission tomography/computed tomography

18F-FDG

18F-fluorodeoxyglucose

PDK1

pyruvate dehydrogenase kinase 1

TV

tumor volume

TIR

tumor inhibition rate

SUVmax

maximum standardized uptake value

FUAR

18F-FDG uptake attenuation rate

IHC

immunohistochemistry

mTOR

mammalian target of rapamycin

HIF-1α

hypoxia inducible factor-1α

GLUT1

glucose transporter 1

MOD

mean optical density

ESR

expression suppression rate

PI3K

phosphoinositide 3-kinase

AKT

protein kinase B

MAPKK

mitogen-activated protein kinase kinase

ERK

extracellular regulated protein kinase

PKM2

pyruvate kinase M2

HK2

hexokinase 2

ROS

reactive oxygen species

G6Pase

glucose-6-phosphatase

References

1 

Torre LA, Bray F, Siegel RL, Ferlay J, Lortet-Tieulent J and Jemal A: Global cancer statistics, 2012. CA Cancer J Clin. 65:87–108. 2015. View Article : Google Scholar : PubMed/NCBI

2 

Miller KD, Siegel RL, Lin CC, Mariotto AB, Kramer JL, Rowland JH, Stein KD, Alteri R and Jemal A: Cancer treatment and survivorship statistics, 2016. CA Cancer J Clin. 66:271–289. 2016. View Article : Google Scholar : PubMed/NCBI

3 

Huo X, Wang H, Yang J, Li X, Yan W, Huo B, Zheng G, Chai S, Wang J, Guan Z and Yu Z: Effectiveness and safety of CT-guided (125)I seed brachytherapy for postoperative locoregional recurrence in patients with non-small cell lung cancer. Brachytherapy. 15:370–380. 2016. View Article : Google Scholar : PubMed/NCBI

4 

Li W, Guan J, Yang L, Zheng X, Yu Y and Jiang J: Iodine-125 brachytherapy improved overall survival of patients with inoperable stage III/IV non-small cell lung cancer versus the conventional radiotherapy. Med Oncol. 32:3952015. View Article : Google Scholar : PubMed/NCBI

5 

Yu X, Li J, Zhong X and He J: Combination of Iodine-125 brachytherapy and chemotherapy for locally recurrent stage III non-small cell lung cancer after concurrent chemoradiotherapy. BMC Cancer. 15:6562015. View Article : Google Scholar : PubMed/NCBI

6 

Li W, Dan G, Jiang J, Zheng Y, Zheng X and Deng D: Repeated iodine-125 seed implantations combined with external beam radiotherapy for the treatment of locally recurrent or metastatic stage III/IV non-small cell lung cancer: A retrospective study. Radiat Oncol. 11:1192016. View Article : Google Scholar : PubMed/NCBI

7 

Chen HH, Jia RF, Yu L, Zhao MJ, Shao CL and Cheng WY: Bystander effects induced by continuous low-dose-rate 125I seeds potentiate the killing action of irradiation on human lung cancer cells in vitro. Int J Radiat Oncol Biol Phys. 72:1560–1566. 2008. View Article : Google Scholar : PubMed/NCBI

8 

Qu A, Wang H, Li J, Wang J, Liu J, Hou Y, Huang L and Zhao Y: Biological effects of (125)i seeds radiation on A549 lung cancer cells: G2/M arrest and enhanced cell death. Cancer Invest. 32:209–217. 2014. View Article : Google Scholar : PubMed/NCBI

9 

Wang Z, Zhao Z, Lu J, Chen Z, Mao A, Teng G and Liu F: A comparison of the biological effects of 125I seeds continuous low-dose-rate radiation and 60Co high-dose-rate gamma radiation on non-small cell lung cancer cells. PLoS One. 10:e1337282015.

10 

Vander Heiden MG, Cantley LC and Thompson CB: Understanding the Warburg effect: The metabolic requirements of cell proliferation. Science. 324:1029–1033. 2009. View Article : Google Scholar : PubMed/NCBI

11 

Ganapathy V, Thangaraju M and Prasad PD: Nutrient transporters in cancer: Relevance to Warburg hypothesis and beyond. Pharmacol Ther. 121:29–40. 2009. View Article : Google Scholar : PubMed/NCBI

12 

Liu J, Dong M, Sun X, Li W, Xing L and Yu J: Prognostic value of 18F-FDG PET/CT in surgical non-small cell lung cancer: A meta-analysis. PLoS One. 11:e1461952016.

13 

Madsen PH, Holdgaard PC, Christensen JB and Høilund-Carlsen PF: Clinical utility of F-18 FDG PET-CT in the initial evaluation of lung cancer. Eur J Nucl Med Mol Imaging. 43:2084–2097. 2016. View Article : Google Scholar : PubMed/NCBI

14 

Ruilong Z, Daohai X, Li G, Xiaohong W, Chunjie W and Lei T: Diagnostic value of 18F-FDG-PET/CT for the evaluation of solitary pulmonary nodules: A systematic review and meta-analysis. Nucl Med Commun. 38:67–75. 2017. View Article : Google Scholar : PubMed/NCBI

15 

Sheikhbahaei S, Mena E, Yanamadala A, Reddy S, Solnes LB, Wachsmann J and Subramaniam RM: The value of FDG PET/CT in treatment response assessment, follow-up, and surveillance of lung cancer. AJR Am J Roentgenol. 208:420–433. 2017. View Article : Google Scholar : PubMed/NCBI

16 

Cremonesi M, Gilardi L, Ferrari ME, Piperno G, Travaini LL, Timmerman R, Botta F, Baroni G, Grana CM, Ronchi S, et al: Role of interim 18F-FDG-PET/CT for the early prediction of clinical outcomes of non-small cell lung cancer (NSCLC) during radiotherapy or chemo-radiotherapy. A systematic review. Eur J Nucl Med Mol Imaging. 44:1915–1927. 2017. View Article : Google Scholar : PubMed/NCBI

17 

Allen KT, Chin-Sinex H, DeLuca T, Pomerening JR, Sherer J, Watkins JR, Foley J, Jesseph JM and Mendonca MS: Dichloroacetate alters Warburg metabolism, inhibits cell growth, and increases the X-ray sensitivity of human A549 and H1299 NSC lung cancer cells. Free Radic Biol Med. 89:263–273. 2015. View Article : Google Scholar : PubMed/NCBI

18 

Lv XB, Liu L, Cheng C, Yu B, Xiong L, Hu K, Tang J, Zeng L and Sang Y: SUN2 exerts tumor suppressor functions by suppressing the Warburg effect in lung cancer. Sci Rep. 5:179402015. View Article : Google Scholar : PubMed/NCBI

19 

Liu T and Yin H: PDK1 promotes tumor cell proliferation and migration by enhancing the Warburg effect in non-small cell lung cancer. Oncol Rep. 37:193–200. 2017. View Article : Google Scholar : PubMed/NCBI

20 

Ma JX, Jin ZD, Si PR, Liu Y, Lu Z, Wu HY, Pan X, Wang LW, Gong YF, Gao J and Zhao-shen L: Continuous and low-energy 125I seed irradiation changes DNA methyltransferases expression patterns and inhibits pancreatic cancer tumor growth. J Exp Clin Cancer Res. 30:352011. View Article : Google Scholar : PubMed/NCBI

21 

Jian L, Zhongmin W, Kemin C, Yunfeng Z and Gang H: MicroPET-CT evaluation of interstitial brachytherapy in pancreatic carcinoma xenografts. Acta Radiol. 54:800–804. 2013. View Article : Google Scholar : PubMed/NCBI

22 

Subocz E, Hałka J and Dziuk M: The role of FDG-PET in Hodgkin lymphoma. Contemp Oncol (Pozn). 21:104–114. 2017.PubMed/NCBI

23 

Cremonesi M, Garibaldi C, Timmerman R, Ferrari M, Ronchi S, Grana CM, Travaini L, Gilardi L, Starzynska A, Ciardo D, et al: Interim 18F-FDG-PET/CT during chemo-radiotherapy in the management of oesophageal cancer patients. A systematic review. Radiother Oncol. 125:200–212. 2017. View Article : Google Scholar : PubMed/NCBI

24 

Upadhyay M, Samal J, Kandpal M, Singh OV and Vivekanandan P: The Warburg effect: Insights from the past decade. Pharmacol Ther. 137:318–330. 2013. View Article : Google Scholar : PubMed/NCBI

25 

Thorens B and Mueckler M: Glucose transporters in the 21st Century. Am J Physiol Endocrinol Metab. 298:E141–E145. 2010. View Article : Google Scholar : PubMed/NCBI

26 

Lu H, Forbes RA and Verma A: Hypoxia-inducible factor 1 activation by aerobic glycolysis implicates the Warburg effect in carcinogenesis. J Biol Chem. 277:23111–23115. 2002. View Article : Google Scholar : PubMed/NCBI

27 

Chen X, Qian Y and Wu S: The Warburg effect: Evolving interpretations of an established concept. Free Radic Biol Med. 79:253–263. 2015. View Article : Google Scholar : PubMed/NCBI

28 

Dang CV: Links between metabolism and cancer. Genes Dev. 26:877–890. 2012. View Article : Google Scholar : PubMed/NCBI

29 

Hsieh AL, Walton ZE, Altman BJ, Stine ZE and Dang CV: MYC and metabolism on the path to cancer. Semin Cell Dev Biol. 43:11–21. 2015. View Article : Google Scholar : PubMed/NCBI

30 

Makinoshima H, Takita M, Saruwatari K, Umemura S, Obata Y, Ishii G, Matsumoto S, Sugiyama E, Ochiai A, Abe R, et al: Signaling through the phosphatidylinositol 3-kinase (PI3K)/mammalian target of rapamycin (mTOR) axis is responsible for aerobic glycolysis mediated by glucose transporter in epidermal growth factor receptor (EGFR)-mutated lung adenocarcinoma. J Biol Chem. 290:17495–17504. 2015. View Article : Google Scholar : PubMed/NCBI

31 

Toschi A, Lee E, Thompson S, Gadir N, Yellen P, Drain CM, Ohh M and Foster DA: Phospholipase D-mTOR requirement for the Warburg effect in human cancer cells. Cancer Lett. 299:72–79. 2010. View Article : Google Scholar : PubMed/NCBI

32 

Dang CV: MYC on the path to cancer. Cell. 149:22–35. 2012. View Article : Google Scholar : PubMed/NCBI

33 

Dang CV, Kim JW, Gao P and Yustein J: The interplay between MYC and HIF in cancer. Nat Rev Cancer. 8:51–56. 2008. View Article : Google Scholar : PubMed/NCBI

34 

Liu J, Wang H, Qu A, Li J, Zhao Y and Wang J: Combined effects of C225 and 125-iodine seed radiation on colorectal cancer cells. Radiat Oncol. 8:2192013. View Article : Google Scholar : PubMed/NCBI

35 

Tian Y, Xie Q, Tian Y, Liu Y, Huang Z, Fan C, Hou B, Sun D, Yao K and Chen T: Radioactive 125I seed inhibits the cell growth, migration, and invasion of nasopharyngeal carcinoma by triggering DNA damage and inactivating VEGF-A/ERK signaling. PLoS One. 8:e740382013. View Article : Google Scholar : PubMed/NCBI

36 

Cron GO, Beghein N, Crokart N, Chavée E, Bernard S, Vynckier S, Scalliet P and Gallez B: Changes in the tumor microenvironment during low-dose-rate permanent seed implantation iodine-125 brachytherapy. Int J Radiat Oncol Biol Phys. 63:1245–1251. 2005. View Article : Google Scholar : PubMed/NCBI

37 

Hu L, Wang H, Huang L, Zhao Y and Wang J: The protective roles of ROS-mediated mitophagy on 125I seeds radiation induced cell death in HCT116 cells. Oxid Med Cell Longev. 2016:94604622016. View Article : Google Scholar : PubMed/NCBI

38 

Brown RS, Leung JY, Kison PV, Zasadny KR, Flint A and Wahl RL: Glucose transporters and FDG uptake in untreated primary human non-small cell lung cancer. J Nucl Med. 40:556–565. 1999.PubMed/NCBI

39 

van Baardwijk A, Dooms C, van Suylen RJ, Verbeken E, Hochstenbag M, Dehing-Oberije C, Rupa D, Pastorekova S, Stroobants S, Buell U, et al: The maximum uptake of (18)F-deoxyglucose on positron emission tomography scan correlates with survival, hypoxia inducible factor-1alpha and GLUT-1 in non-small cell lung cancer. Eur J Cancer. 43:1392–1398. 2007. View Article : Google Scholar : PubMed/NCBI

40 

Suzawa N, Ito M, Qiao S, Uchida K, Takao M, Yamada T, Takeda K and Murashima S: Assessment of factors influencing FDG uptake in non-small cell lung cancer on PET/CT by investigating histological differences in expression of glucose transporters 1 and 3 and tumour size. Lung Cancer. 72:191–198. 2011. View Article : Google Scholar : PubMed/NCBI

41 

Chung JK, Lee YJ, Kim SK, Jeong JM, Lee DS and Lee MC: Comparison of [18F]fluorodeoxyglucose uptake with glucose transporter-1 expression and proliferation rate in human glioma and non-small-cell lung cancer. Nucl Med Commun. 25:11–17. 2004. View Article : Google Scholar : PubMed/NCBI

42 

de Geus-Oei LF, van Krieken JH, Aliredjo RP, Krabbe PF, Frielink C, Verhagen AF, Boerman OC and Oyen WJ: Biological correlates of FDG uptake in non-small cell lung cancer. Lung Cancer. 55:79–87. 2007. View Article : Google Scholar : PubMed/NCBI

43 

Dang CV: Rethinking the Warburg effect with Myc micromanaging glutamine metabolism. Cancer Res. 70:859–862. 2010. View Article : Google Scholar : PubMed/NCBI

44 

Morrish F, Isern N, Sadilek M, Jeffrey M and Hockenbery DM: c-Myc activates multiple metabolic networks to generate substrates for cell-cycle entry. Oncogene. 28:2485–2491. 2009. View Article : Google Scholar : PubMed/NCBI

45 

Collier JJ, Doan TT, Daniels MC, Schurr JR, Kolls JK and Scott DK: c-Myc is required for the glucose-mediated induction of metabolic enzyme genes. J Biol Chem. 278:6588–6595. 2003. View Article : Google Scholar : PubMed/NCBI

46 

Broecker-Preuss M, Becher-Boveleth N, Bockisch A, Dührsen U and Müller S: Regulation of glucose uptake in lymphoma cell lines by c-MYC- and PI3K-dependent signaling pathways and impact of glycolytic pathways on cell viability. J Transl Med. 15:1582017. View Article : Google Scholar : PubMed/NCBI

Related Articles

  • Abstract
  • View
  • Download
  • Twitter
Copy and paste a formatted citation
Spandidos Publications style
Zhang J, Zhu Y, Dong M, Yang J, Weng W and Teng L: Iodine‑125 interstitial brachytherapy reduces tumor growth via Warburg effect inhibition in non‑small cell lung cancer A549 xenografts. Oncol Lett 16: 5969-5977, 2018.
APA
Zhang, J., Zhu, Y., Dong, M., Yang, J., Weng, W., & Teng, L. (2018). Iodine‑125 interstitial brachytherapy reduces tumor growth via Warburg effect inhibition in non‑small cell lung cancer A549 xenografts. Oncology Letters, 16, 5969-5977. https://doi.org/10.3892/ol.2018.9346
MLA
Zhang, J., Zhu, Y., Dong, M., Yang, J., Weng, W., Teng, L."Iodine‑125 interstitial brachytherapy reduces tumor growth via Warburg effect inhibition in non‑small cell lung cancer A549 xenografts". Oncology Letters 16.5 (2018): 5969-5977.
Chicago
Zhang, J., Zhu, Y., Dong, M., Yang, J., Weng, W., Teng, L."Iodine‑125 interstitial brachytherapy reduces tumor growth via Warburg effect inhibition in non‑small cell lung cancer A549 xenografts". Oncology Letters 16, no. 5 (2018): 5969-5977. https://doi.org/10.3892/ol.2018.9346
Copy and paste a formatted citation
x
Spandidos Publications style
Zhang J, Zhu Y, Dong M, Yang J, Weng W and Teng L: Iodine‑125 interstitial brachytherapy reduces tumor growth via Warburg effect inhibition in non‑small cell lung cancer A549 xenografts. Oncol Lett 16: 5969-5977, 2018.
APA
Zhang, J., Zhu, Y., Dong, M., Yang, J., Weng, W., & Teng, L. (2018). Iodine‑125 interstitial brachytherapy reduces tumor growth via Warburg effect inhibition in non‑small cell lung cancer A549 xenografts. Oncology Letters, 16, 5969-5977. https://doi.org/10.3892/ol.2018.9346
MLA
Zhang, J., Zhu, Y., Dong, M., Yang, J., Weng, W., Teng, L."Iodine‑125 interstitial brachytherapy reduces tumor growth via Warburg effect inhibition in non‑small cell lung cancer A549 xenografts". Oncology Letters 16.5 (2018): 5969-5977.
Chicago
Zhang, J., Zhu, Y., Dong, M., Yang, J., Weng, W., Teng, L."Iodine‑125 interstitial brachytherapy reduces tumor growth via Warburg effect inhibition in non‑small cell lung cancer A549 xenografts". Oncology Letters 16, no. 5 (2018): 5969-5977. https://doi.org/10.3892/ol.2018.9346
Follow us
  • Twitter
  • LinkedIn
  • Facebook
About
  • Spandidos Publications
  • Careers
  • Cookie Policy
  • Privacy Policy
How can we help?
  • Help
  • Live Chat
  • Contact
  • Email to our Support Team