Spandidos Publications Logo
  • About
    • About Spandidos
    • Aims and Scopes
    • Abstracting and Indexing
    • Editorial Policies
    • Reprints and Permissions
    • Job Opportunities
    • Terms and Conditions
    • Contact
  • Journals
    • All Journals
    • Oncology Letters
      • Oncology Letters
      • Information for Authors
      • Editorial Policies
      • Editorial Board
      • Aims and Scope
      • Abstracting and Indexing
      • Bibliographic Information
      • Archive
    • International Journal of Oncology
      • International Journal of Oncology
      • Information for Authors
      • Editorial Policies
      • Editorial Board
      • Aims and Scope
      • Abstracting and Indexing
      • Bibliographic Information
      • Archive
    • Molecular and Clinical Oncology
      • Molecular and Clinical Oncology
      • Information for Authors
      • Editorial Policies
      • Editorial Board
      • Aims and Scope
      • Abstracting and Indexing
      • Bibliographic Information
      • Archive
    • Experimental and Therapeutic Medicine
      • Experimental and Therapeutic Medicine
      • Information for Authors
      • Editorial Policies
      • Editorial Board
      • Aims and Scope
      • Abstracting and Indexing
      • Bibliographic Information
      • Archive
    • International Journal of Molecular Medicine
      • International Journal of Molecular Medicine
      • Information for Authors
      • Editorial Policies
      • Editorial Board
      • Aims and Scope
      • Abstracting and Indexing
      • Bibliographic Information
      • Archive
    • Biomedical Reports
      • Biomedical Reports
      • Information for Authors
      • Editorial Policies
      • Editorial Board
      • Aims and Scope
      • Abstracting and Indexing
      • Bibliographic Information
      • Archive
    • Oncology Reports
      • Oncology Reports
      • Information for Authors
      • Editorial Policies
      • Editorial Board
      • Aims and Scope
      • Abstracting and Indexing
      • Bibliographic Information
      • Archive
    • Molecular Medicine Reports
      • Molecular Medicine Reports
      • Information for Authors
      • Editorial Policies
      • Editorial Board
      • Aims and Scope
      • Abstracting and Indexing
      • Bibliographic Information
      • Archive
    • World Academy of Sciences Journal
      • World Academy of Sciences Journal
      • Information for Authors
      • Editorial Policies
      • Editorial Board
      • Aims and Scope
      • Abstracting and Indexing
      • Bibliographic Information
      • Archive
    • International Journal of Functional Nutrition
      • International Journal of Functional Nutrition
      • Information for Authors
      • Editorial Policies
      • Editorial Board
      • Aims and Scope
      • Abstracting and Indexing
      • Bibliographic Information
      • Archive
    • International Journal of Epigenetics
      • International Journal of Epigenetics
      • Information for Authors
      • Editorial Policies
      • Editorial Board
      • Aims and Scope
      • Abstracting and Indexing
      • Bibliographic Information
      • Archive
    • Medicine International
      • Medicine International
      • Information for Authors
      • Editorial Policies
      • Editorial Board
      • Aims and Scope
      • Abstracting and Indexing
      • Bibliographic Information
      • Archive
  • Articles
  • Information
    • Information for Authors
    • Information for Reviewers
    • Information for Librarians
    • Information for Advertisers
    • Conferences
  • Language Editing
Spandidos Publications Logo
  • About
    • About Spandidos
    • Aims and Scopes
    • Abstracting and Indexing
    • Editorial Policies
    • Reprints and Permissions
    • Job Opportunities
    • Terms and Conditions
    • Contact
  • Journals
    • All Journals
    • Biomedical Reports
      • Information for Authors
      • Editorial Policies
      • Editorial Board
      • Aims and Scope
      • Abstracting and Indexing
      • Bibliographic Information
      • Archive
    • Experimental and Therapeutic Medicine
      • Information for Authors
      • Editorial Policies
      • Editorial Board
      • Aims and Scope
      • Abstracting and Indexing
      • Bibliographic Information
      • Archive
    • International Journal of Epigenetics
      • Information for Authors
      • Editorial Policies
      • Editorial Board
      • Aims and Scope
      • Abstracting and Indexing
      • Bibliographic Information
      • Archive
    • International Journal of Functional Nutrition
      • Information for Authors
      • Editorial Policies
      • Editorial Board
      • Aims and Scope
      • Abstracting and Indexing
      • Bibliographic Information
      • Archive
    • International Journal of Molecular Medicine
      • Information for Authors
      • Editorial Policies
      • Editorial Board
      • Aims and Scope
      • Abstracting and Indexing
      • Bibliographic Information
      • Archive
    • International Journal of Oncology
      • Information for Authors
      • Editorial Policies
      • Editorial Board
      • Aims and Scope
      • Abstracting and Indexing
      • Bibliographic Information
      • Archive
    • Medicine International
      • Information for Authors
      • Editorial Policies
      • Editorial Board
      • Aims and Scope
      • Abstracting and Indexing
      • Bibliographic Information
      • Archive
    • Molecular and Clinical Oncology
      • Information for Authors
      • Editorial Policies
      • Editorial Board
      • Aims and Scope
      • Abstracting and Indexing
      • Bibliographic Information
      • Archive
    • Molecular Medicine Reports
      • Information for Authors
      • Editorial Policies
      • Editorial Board
      • Aims and Scope
      • Abstracting and Indexing
      • Bibliographic Information
      • Archive
    • Oncology Letters
      • Information for Authors
      • Editorial Policies
      • Editorial Board
      • Aims and Scope
      • Abstracting and Indexing
      • Bibliographic Information
      • Archive
    • Oncology Reports
      • Information for Authors
      • Editorial Policies
      • Editorial Board
      • Aims and Scope
      • Abstracting and Indexing
      • Bibliographic Information
      • Archive
    • World Academy of Sciences Journal
      • Information for Authors
      • Editorial Policies
      • Editorial Board
      • Aims and Scope
      • Abstracting and Indexing
      • Bibliographic Information
      • Archive
  • Articles
  • Information
    • For Authors
    • For Reviewers
    • For Librarians
    • For Advertisers
    • Conferences
  • Language Editing
Login Register Submit
  • This site uses cookies
  • You can change your cookie settings at any time by following the instructions in our Cookie Policy. To find out more, you may read our Privacy Policy.

    I agree
Search articles by DOI, keyword, author or affiliation
Search
Advanced Search
presentation
Oncology Reports
Join Editorial Board Propose a Special Issue
Print ISSN: 1021-335X Online ISSN: 1791-2431
Journal Cover
January-2019 Volume 41 Issue 1

Full Size Image

Sign up for eToc alerts
Recommend to Library

Journals

International Journal of Molecular Medicine

International Journal of Molecular Medicine

International Journal of Molecular Medicine is an international journal devoted to molecular mechanisms of human disease.

International Journal of Oncology

International Journal of Oncology

International Journal of Oncology is an international journal devoted to oncology research and cancer treatment.

Molecular Medicine Reports

Molecular Medicine Reports

Covers molecular medicine topics such as pharmacology, pathology, genetics, neuroscience, infectious diseases, molecular cardiology, and molecular surgery.

Oncology Reports

Oncology Reports

Oncology Reports is an international journal devoted to fundamental and applied research in Oncology.

Experimental and Therapeutic Medicine

Experimental and Therapeutic Medicine

Experimental and Therapeutic Medicine is an international journal devoted to laboratory and clinical medicine.

Oncology Letters

Oncology Letters

Oncology Letters is an international journal devoted to Experimental and Clinical Oncology.

Biomedical Reports

Biomedical Reports

Explores a wide range of biological and medical fields, including pharmacology, genetics, microbiology, neuroscience, and molecular cardiology.

Molecular and Clinical Oncology

Molecular and Clinical Oncology

International journal addressing all aspects of oncology research, from tumorigenesis and oncogenes to chemotherapy and metastasis.

World Academy of Sciences Journal

World Academy of Sciences Journal

Multidisciplinary open-access journal spanning biochemistry, genetics, neuroscience, environmental health, and synthetic biology.

International Journal of Functional Nutrition

International Journal of Functional Nutrition

Open-access journal combining biochemistry, pharmacology, immunology, and genetics to advance health through functional nutrition.

International Journal of Epigenetics

International Journal of Epigenetics

Publishes open-access research on using epigenetics to advance understanding and treatment of human disease.

Medicine International

Medicine International

An International Open Access Journal Devoted to General Medicine.

Journal Cover
January-2019 Volume 41 Issue 1

Full Size Image

Sign up for eToc alerts
Recommend to Library

  • Article
  • Citations
    • Cite This Article
    • Download Citation
    • Create Citation Alert
    • Remove Citation Alert
    • Cited By
  • Similar Articles
    • Related Articles (in Spandidos Publications)
    • Similar Articles (Google Scholar)
    • Similar Articles (PubMed)
  • Download PDF
  • Download XML
  • View XML
Article

Anticancer activity of gomisin J from Schisandra chinensis fruit

  • Authors:
    • Samil Jung
    • Hyung-In Moon
    • Subeen Kim
    • Nguyen Thi Ngoc Quynh
    • Jimin Yu
    • Zolzaya Sandag
    • Dan-Diem Thi Le
    • Hyegyeong Lee
    • Hyojeong Lee
    • Myeong-Sok Lee
  • View Affiliations / Copyright

    Affiliations: Department of Biological Sciences, Sookmyung Women's University, Seoul 04310, Republic of Korea, Department of Medicinal Biotechnology, College of Health Sciences, Dong-A University, Busan 49315, Republic of Korea
  • Pages: 711-717
    |
    Published online on: November 2, 2018
       https://doi.org/10.3892/or.2018.6850
  • Expand metrics +
Metrics: Total Views: 0 (Spandidos Publications: | PMC Statistics: )
Metrics: Total PDF Downloads: 0 (Spandidos Publications: | PMC Statistics: )
Cited By (CrossRef): 0 citations Loading Articles...

This article is mentioned in:



Abstract

In attempting to identify effective anticancer drugs from natural products that are harmless to humans, we found that the gomisin J from Schisandra chinensis fruit has anticancer activity. Schisandra chinensis fruits are used in traditional herbal medicine and gomisin J is one of their chemical constituents. In the present study, we examined the anticancer activity of gomisin J in MCF7 and MDA-MB-231 breast cancer cell lines and in MCF10A normal cell line, in a time- and concentration-dependent manner. Our data revealed that gomisin J exerted a much stronger cytotoxic effect on MCF7 and MDA-MB-231 cancer cells than on MCF10A normal cells. Gomisin J suppressed the proliferation and decreased the viability of MCF7 and MDA-MB-231 cells at relatively low (<10 µg/ml) and high (>30 µg/ml) concentrations, respectively. Our data also revealed that gomisin J induced necroptosis, a programmed form of necrosis, as well as apoptosis. Notably, gomisin J predominantly induced necroptosis in MCF7 cells that are known to have high resistance to many pro-apoptotic anticancer drugs, while MDA-MB-231 exhibited a much lower level of necroptosis but instead a higher level of apoptosis. This data indicated the possibility that it may be used as a more effective anticancer drug, especially in apoptosis-resistant malignant cancer cells. In an extended study, gomisin J exhibited a strong cytotoxic effect on all tested various types of 13 cancer cell lines, indicating its potential to be used against a wide range of different types of cancer cells.

Introduction

Despite the availability of advanced treatments for cancers, they still present an important issue for human health. Given the increase in cancer rates worldwide, the continued discovery or improvement of more effective anticancer drugs is required. One of the biggest problems of the current anticancer treatment is the resistance of cancer cells to many anticancer drugs. Many malignant tumors exhibit high resistance towards one type of cell death, mainly apoptosis. For many years, the characterization of apoptosis has been well studied in cancer research. Therefore, most of the currently available anticancer drugs have been designed to kill cancer cells by triggering apoptosis. However, many cancer cells have become resistant to these apoptosis-targeting anticancer drugs, which enables them to overcome cell death and eventually aggravate the tumor. Thus, it is essential to understand this mechanism in order to explore more effective anticancer drugs. One of the strategies for overcoming this problem may be to target other types of cell deaths along with apoptosis. For a long time, eukaryotic cell death was divided into two types: programmed cell death (PCD) of apoptosis and accidental cell death of necrosis (1–5). However, emerging evidence has suggested that necrosis is also a type of PCD. Therefore, necroptosis, a new type of PCD, was proposed as apoptotic necrosis by Teng et al (6). Many recent studies have suggested that apoptosis and necroptosis are very closely interconnected but undergo different pathways through multiple signaling pathways depending on the stimuli and environments (6–13). Therefore, we first tried to find anticancer drugs that can induce necroptosis as well as apoptosis.

In the effort of finding safe and effective anticancer drugs from natural products, we initially focused on the Schisandra chinensis fruit. Schisandra chinensis is considered a traditional herbal medicine for the treatment and alleviation of a variety of diseases (14–16). Its chemical constituents include lignans, schisandrin, deoxyschisandrin, pregomisin and gomisins, which have gained great attention for their many cellular functions (14,17–21). They regulate multiple signaling pathways involved in various biological processes, such as vascular contractility, fibrosis, inflammation, oxidative stress, adipogenesis, obesity and anticancer effects (14,17–23). Gomisin J, one of the extracts of Schisandra chinensis, has been reported to have several activities, including anti-hepatic effects against cardiovascular symptoms, preventive effect on angiotensin II-induced hypertension, vascular relaxation, anti-inflammatory effects and antiretroviral activity (23–27).

In the present study, we reported that gomisin J from Schisandra chinensis possesses anticancer activity against several different types of cancer cell lines by suppressing cell growth and proliferation or by accelerating necroptosis as well as apoptosis, in which it was much more effective, particularly in apoptosis-resistant cancer cells.

Materials and methods

Preparation of gomisin J from Schisandra chinensis fruit

Gomisin J (PubChem CID: 3001686) (Fig. 1) was isolated from the fruits of Schisandra chinensis following the previously published method (28). It was dissolved in dimethyl sulfoxide (DMSO) at a concentration of 10 mg dry weight/ml and stored at −20°C.

Figure 1.

The molecular structure of gomisin J from Schisandra chinensis.

Cell lines and cell culture

Each cell line was cultured in the appropriate media. Nine breast cancer cell lines (MCF7, MDA-MB-231, BT20, BT549, T47D, SKBR3, MDA-MB-453, HS578T and MDA-MB-468), two colon cancer cell lines (HCT116 and HT-29), and two cervical cancer cell lines (HeLa and SiHa) were cultured in Dulbecco's modified Eagle's medium (DMEM; Welgene, Inc., Daejeon, Korea) supplemented with 10% fetal bovine serum (FBS; Gibco-BRL; Thermo Fisher Scientific, Inc., Waltham, MA, USA) and 1 % antibiotic-antimycotic solution (cat. no. 15240-062; Gibco-BRL; Thermo Fisher Scientific, Inc.). Normal human MCF10A mammary epithelial cell line was grown in DMEM/F12 medium (cat. no. 11330-032; Invitrogen; Thermo Fisher Scientific, Inc.) supplemented with 20 µg/ml epidermal growth factor (EGF) (cat. no. E9644), 100 µg/ml cholera toxin (cat. no. C-8052), 10 µg/ml insulin (cat. no. I-9278) and 0.5 mg/ml hydrocortisone (cat. no. H-0888; all from Sigma-Aldrich; Merck KGaA, Darmstadt, Germany), 5% horse serum (cat. no. 16050-122; Invitrogen; Thermo Fisher Scientific Korea Ltd., Seoul, Korea) and 1% antibiotic-antimycotic solution. All cells were cultured at 37°C in a humidified atmosphere composed of 95% air and 5% CO2. The SiHa cell line was obtained from the Korean Cell Line Bank (KCLB; Seoul, Korea; cat. no. 30035) and the other cell lines were purchased from the American Type Culture Collection (ATCC; Mannassas, VA, USA).

Analysis of necroptosis and apoptosis by western blot analysis

Each PCD was mainly analyzed through western blotting with corresponding marker or regulatory proteins. In brief, MCF7 and MDA-MB-231 cells (2×106/well) were seeded in a 100-mm diameter culture dish containing DMEM and treated with 30 µg/ml gomisin J for 72 h. Cells were centrifuged (micro centrifuge; Smart R17 refrigerated; Hanil Science Co., Ltd., Daejeon Korea) at 3,000 × g at 4°C for 3 min, washed in ice-cold phosphate-buffered saline (PBS) buffer, then lysed in radio immunoprecipitation assay (RIPA) lysis buffer. The amount of protein was quantified using a protein assay kit (Bio-Rad Laboratories Korea, Seoul, Korea) and 10 or 30 µg of proteins were loaded in each lane. Subsequently, they were separated on a 10 or 12% sodium dodecyl sulfate-polyacrylamide gel electrophoresis (SDS-PAGE) and then transferred onto a an Immobilon-P® PVDF transfer membrane (cat. no. IPVH00010; EMD Millipore, Billerica, MA, USA). Membranes were then blocked using 5% skimmed milk in PBS for 30–60 min at 20–25°C and incubated overnight at 4°C with the primary antibodies. After washing with Tris-buffered saline containing 1% Tween-20 (product code T1027; CAS#9005-64-5; Biosesang, Seongnam, Korea), membranes were incubated with the corresponding secondary antibodies. Immunodetection was performed using the PowerOpti-ECL Western Blotting Detection reagent (Bio-Rad Laboratories). The antibodies used in this study were as follows: A mouse monoclonal antibody against BAX (dilution 1:5,000; cat. no. sc-20067) was purchased from Santa Cruz Biotechnology, Inc. (Dallas, TX, USA). A rabbit polyclonal antibody against PARP (dilution 1:3,000; cat. no. 9542S) was obtained from Cell Signaling Technology (Danvers, MA, USA). A rabbit polyclonal antibody against cyclophilin A (CypA) (dilution 1:3,000; cat. no. BML-SA296) was supplied by Enzo Life Sciences, Inc. (Farmingdale, NY, USA). A goat polyclonal antibody against γ-tubulin (dilution 1:5,000 dilution; cat. no. sc-7396) was purchased from Santa Cruz Biotechnology, Inc. (CA, USA). BAX and PARP were used to detect for apoptosis and cyclophilin A (CypA) was used for necroptosis. Additionally, γ-tubulin was used as a loading control. Necroptosis was checked by assessing the levels of extracellular CypA biomarker protein that were released from necroptotic cells to an extracellular location (29). The result of the western blot analysis was quantified using ImageJ software program (version 1.51u) (Image Processing and Analysis in Java; http://imagej.nih.gov/ij/) supplied by the National Institutes of Health (Bethesda, MD, USA) and relative intensity vs. β-actin is represented in the bar graphs.

Cell viability analysis

Cell viability was analyzed using a Cell Viability, Proliferation and Cytotoxicity assay kit (EZ-CYTOX; cat. no. EZ-3000; Seoul, Korea) according to the manufacturer's instructions in triplicate. Briefly, cells (2×104/well) were seeded in 96-well cell culture plates containing DMEM medium and exposed to 1, 5, 10 or 30 µg/ml gomisin J. Cell viability was evaluated by measuring absorbance at 450 nm in a Gemini XPA microplate reader (Molecular Devices, San Jose, CA, USA). Cell viability was also checked by Trypan blue staining under same conditions, in which the number of live or dead cells were counted by using an EVE automatic cell counter (NanoEnTek Inc., Pleasanton, CA, USA).

Statistical analysis

Statistical analysis was performed by using Student's t-test to compare two different groups and one-way ANOVA for multiple groups, followed by Bonferroni's multiple comparisons test. P<0.05 was considered to indicate a statistically significant difference.

Results

Cytotoxic effect of gomisin J on the cell proliferation and viability of MCF7 and MDA-MB-231 breast cancer cell lines

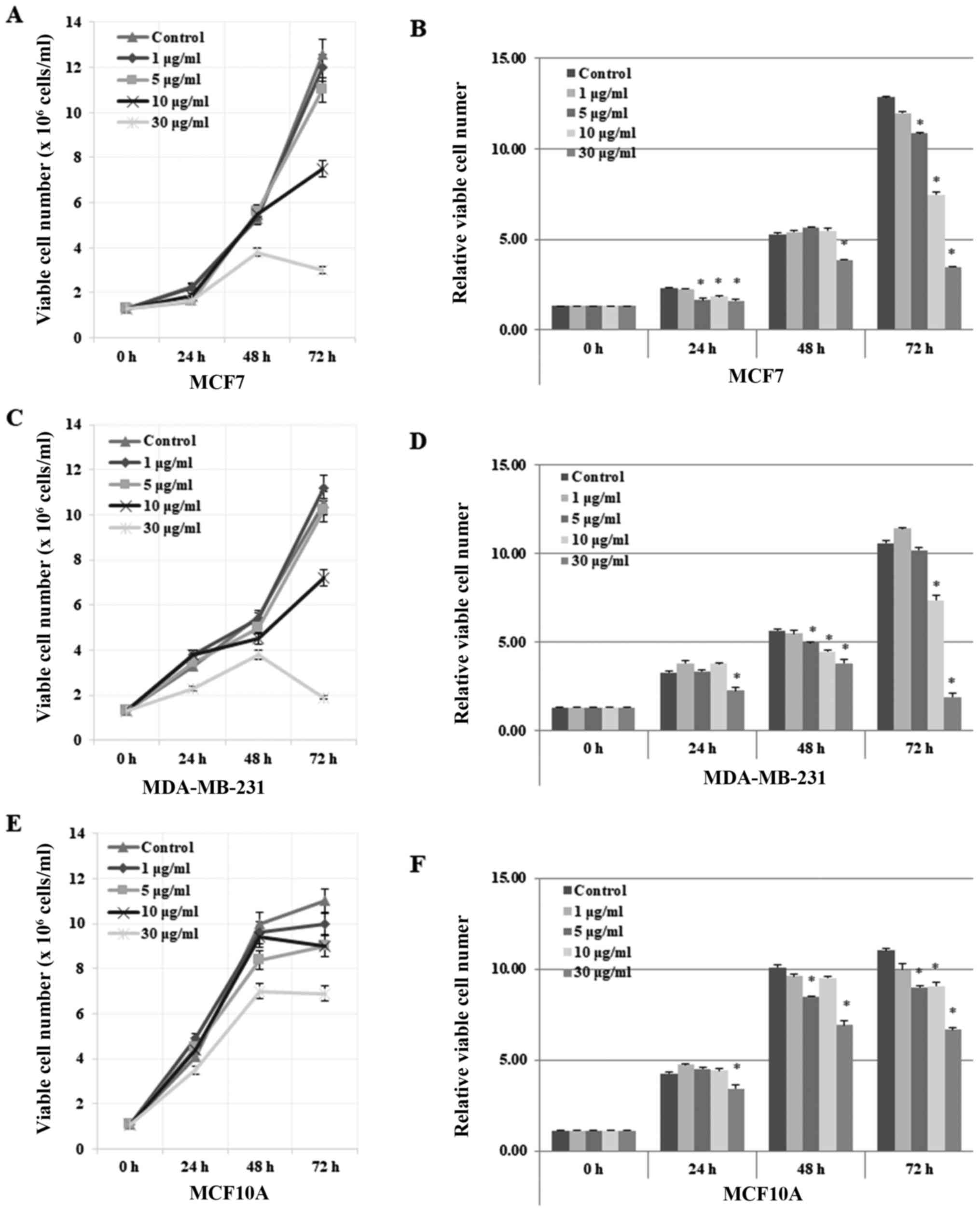
First, we tested the anticancerous effect of gomisin J on the proliferation and viability of two human breast cancer cell lines, MCF7 and MDA-MB-231. In particular, MCF7 was considered to be a good model system for testing our hypothesis since it has been reported to be highly resistant to many pro-apoptotic anticancer drugs, most likely owing to the absence of the key proteins necessary for apoptotic cell death (e.g., caspase-3). In brief, MCF7 and MDA-MB-231 cell lines were plated onto 24-mm culture dishes and allowed to form a confluent monolayer for 24 h. These cells were screened with various concentrations of gomisin J (0, 25, 50 and 100 µg/ml) for 5 days, and their cell density as well as morphological changes were observed under an optical microscope with IS capture software (KI-400F; Korea LabTech Corp., Seongnam, Korea). Notably, gomisin J exhibited a strong cytotoxic effect on MCF7 and MDA-MB-231 cells at higher concentrations of 25 µg/ml (data not shown). Accordingly, the cytotoxicity of gomisin J was quantified in detail by evaluating its effects on cell growth rate (Fig. 2) and morphological changes (Fig. 3) at four different concentrations (0, 1, 5, 10 and 30 µg/ml) for 0, 24, 48 and 72 h. In both MCF7 and MDA-MB-231 cell lines, the cell growth rate was highly delayed in comparison with those of the DMSO-only treated control cells (Fig. 2A-D). In addition, the number of cells decreased at relatively high concentrations (30 µg/ml) after treatment for 72 h, which implied the induction of cell death (Fig. 2A-D). These data indicated that gomisin J greatly suppressed the proliferation and viability of cancer cells in a time- and concentration-dependent manner. Notably, our data revealed that MCF10A cells appeared to be much less sensitive to gomisin J treatment, to a lesser degree than that observed in the breast cancer cells, which may suggest reduced adverse or no side effects in normal cells (Fig. 2E and F). In a further experiment, examination under an optical microscope with IS capture software (KI-400F; Korea LabTech Corp., Seongnam, Korea) also revealed similar results as the cell growth data (Fig. 3).

Figure 2.

Inhibitory effect of gomisin J on the proliferation and viability of MCF7 and MDA-MB-231 cancer cell lines but not on MCF10A normal cells. (A) MCF7, (C) MDA-MB-231 and (E) MCF10A cells were grown in 100-mm cell culture plates and treated with DMSO only (control), 1, 5, 10 or 30 µg/ml of gomisin J for 0, 24, 48 or 72 h. Cell viability was assessed at the indicated time-points by Trypan blue staining, in which the number of live or dead cells were counted using an EVE automatic cell counter (NanoEnTek Inc., Pleasanton, CA, USA). The data represent the means ± SDs from the three independent experiments. (B, D and F) Relative viable cell number in MCF7, MDA-MB-231 and MCF10A cells, respectively. Asterisks indicate a statistically significant difference (*P<0.05).

Figure 3.

Microscopic images of MCF7, MDA-MB-231, and MCF10A cells at various time-points after different concentrations of gomisin J treatment. (A) MCF7, (B) MDA-MB-231 and (C) MCF10A cells (2×104) were plated onto 6-well tissue culture dishes and cultured for 24 h. These cells were either treated with DMSO alone (control) or with 1, 5, 10 or 30 µg/ml of gomisin J for 24, 48 and 72 h and their phenotypes were then photographed under a microscope (scale bar, 100 µm). The experiment was performed independently in triplicate and representative data is shown.

Collectively, our data indicated that gomisin J functioned as an anticancer drug by inhibiting cell proliferation and by inducing cell death in MCF7 and MDA-MB 231 cancer cells.

Induction of necroptosis and apoptosis by gomisin J in MCF7 and MDA-MB-231 cells

Our main goal for cancer treatment is to understand and overcome the resistance of malignant cancer cells to cell death, mainly apoptosis. Our data revealed that gomisin J treatment at concentrations above 30 µg/ml significantly induced cell death in MCF7 and MDA-MB-231 cancer cells. In order to clarify whether gomisin J can induce necroptosis as well as apoptosis, both cancer cell lines were treated with either DMSO (as a control) or 30 µg/ml of gomisin J for 72 h, and then the two types of PCD were assessed by employing western blot analysis. At first, we evaluated necroptosis by assessing the levels of extracellular CypA biomarker protein that were released from necroptotic cells. In this case, the export of CypA into the extracellular space was greatly increased in MCF7 cells but only slightly in MDA-MB-231 cells after 72 h, which indicated a much higher level of induction of necroptosis in MCF7 cells compared with MDA-MB-231 cells (Fig. 4). Apoptosis was also investigated through analysis of typical apoptotic markers, BAX and PARP. BAX protein levels were significantly increased in MDA-MB-231 cells (Fig. 4A and B). In contrast, they were only slightly increased in MCF7 cells in comparison with that in DMSO-treated control cells (Fig. 4A and B). PARP was also cleaved at a much higher level in MDA-MB-231 cells than in MCF-7 cells (Fig. 4A and B). These data again indicated the high resistance of MCF7 cells to apoptosis.

Figure 4.

Induction of necroptosis by gomisin J in highly apoptotic-resistant MCF7 cells. (A) MCF7 and MDA-MB-231 cells were treated with 30 µg/ml gomisin J for 72 h and then whole cell lysates were subjected to western blot analysis of necroptosis and apoptosis. They were then examined by means of corresponding biomarkers: BAX and PARP for apoptosis and CypA for necroptosis. γ-tubulin was used as an internal control. (B) The results of the western blot analysis in A was quantified using the ImageJ program. Asterisks indicate a statistically significant difference (*P<0.05).

Collectively, this result strongly indicated that gomisin J can render apoptotic-resistant MCF7 cells more sensitive to necroptosis than apoptosis.

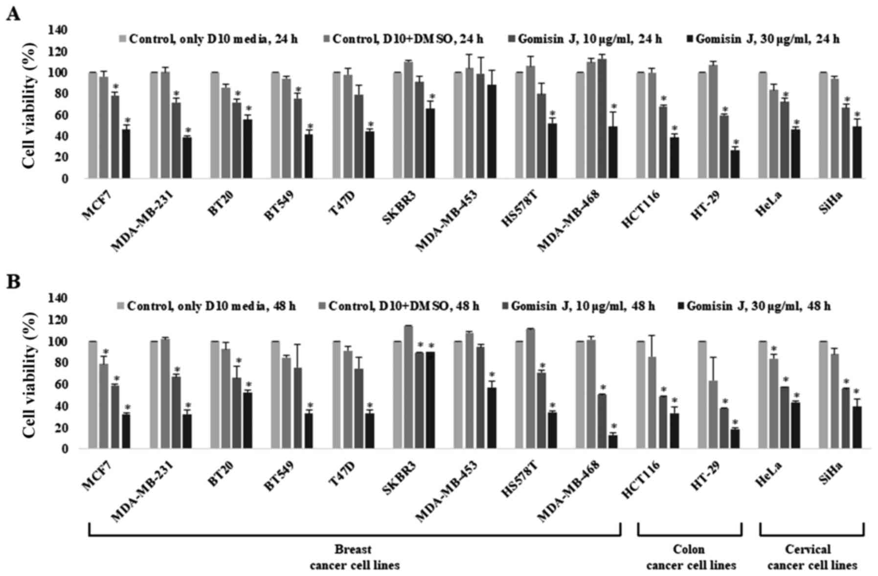
Cytotoxic effect of gomisin J on the proliferation and viability of various cancer cell lines. The cytotoxicity of gomisin J to MCF7 and MDA-MB-231 cells indicated the possibility of similar effects on other cancer cell lines. Therefore, this investigation was extended to different types of breast cancer (BT20, BT549, T47D, SKBR3, MDA-MB-453, HS578T and MDA-MB-468), colon cancer (HCT116 and HT-29) and cervical cancer (HeLa and SiHa) cell lines. The cytotoxic effect of gomisin J on each cell line was assessed as mentioned in Materials and methods after treatment of the cells with either DMSO (control) or 10 or 30 µg/ml gomisin J for 24 or 48 h. The cell viability markedly decreased in all tested cancer cell lines treated with gomisin J in comparison with that in untreated control cells (Fig. 5A and B).

Figure 5.

Effect of gomisin J on cell viability of 13 different types of cancer cell lines. Cells from each cell line (2×104/ml) were plated onto 96-well tissue culture dishes for 24 h and then treated with either DMSO only (control) or with 10 or 30 µg/ml of gomisin J for (A) 24 h or (B) 48 h. The viability of each cell line was assessed as described in Materials and methods. The bars represent the number of viable cells in each cancer cell line. D10 media indicates DMEM media with 10% FBS. The data represent the means ± SDs from the three independent experiments. Asterisks indicate a statistically significant difference (*P<0.05).

Collectively, our results indicated that gomisin J has a strong inhibitory activity against the proliferation of various cancer cells, indicating that the antitumor activity of gomisin J may be used as an effective anticancer drug in various types of cancer cells.

Discussion

Our ultimate goal is to identify new strategies that can trigger more than one type of cell death in cancer cells. This may lead to the discovery and development of much more effective anticancer drugs. Since cancer cells promote tumorigenesis by increasing resistance to apoptosis, we aimed to establish an optimal strategy for the effective termination of apoptosis-resistant cancer cells and to identify possible new biomedical candidates. We initially identified anticancer drugs that kill apoptosis-resistant cancer cells such as MCF7 by inducing another type of PCD, necroptosis. The current results may present an example of how to overcome the limitations of current anticancer drugs.

Our data revealed that gomisin J possesses anticancer activity, as indicated by its ability to inhibit cancer cell growth and to induce two types of PCD, apoptosis and necroptosis. Notably, our data indicated that gomisin J may predominantly induce non-apoptotic PCD, necroptosis rather than apoptosis in cancer cell lines with defective apoptosis machinery, such as MCF7. Our results also indicated that gomisin J may sensitize those cancer cells to other types of cell deaths as well as necroptosis and apoptosis. For example, our data revealed that autophagy-mediated cell death was also induced in both MCF7 and MDA-MB-231 cell lines at a high level (data not shown). Gomisin J treatment started to only slightly induce the decrease of p62/SQSTM1 expression level and the conversion from LC3-I to LC3-II after 24 h, but significantly after longer exposure of 72 h (data not shown). This result indicated that gomisin J treatment stimulated autophagy at a relatively shorter exposure time, probably for their survival. It is well known that many cancer cells have acquired resistance to many anticancer drugs by activating autophagy. However, prolonged treatment eventually triggered autophagy-mediated cell death at a later time of 72 h, in which cell death was induced. Considering the fact that gomisin J induces autophagy-mediated cell death, which is promoted by the inhibition of mTOR, we assumed that the PI3K/AKT/mTOR pathway could be influenced by gomisin J (30–33), which needs to be investigated in the future. In fact, Maharjan et al proposed that gomisin G, a related compound of gomisin J, blocked the AKT pathway that is upstream of mTOR (34). As gomisin J can enhance the efficacy of anticancer drugs through the induction of two types of PCD in cancer cells, our next project is to study this mechanism and to identify the involved regulatory proteins or pathways. One of our future studies will focus on the functional role of gomisin J in mitochondria since mitochondria are known to be involved in many types of cell death. In addition, it would be very useful to perform a clonogenic survival assay to determine the long-term fate of cells treated with gomisin J and to conduct animal experiments such as xenografts in order to assess its effect in physiological conditions. Collectively with the findings in other cancer cell lines, the present data also indicated that gomisin J may be an effective candidate for the inhibition of the proliferation or induction of cell deaths in various cancer cell lines.

In summary, our results validate the potential use of gomisin J from Schisandra chinensis fruits as an anticancer agent for chemotherapy and the chemoprevention of many different cancer cells including breast, colon and cervical cancer cells. In particular, gomisin J appears to be more effective, especially in cancer cells, with a high resistance to apoptosis targeting anticancer drugs, since it can induce additional cell death, necroptosis as well as apoptosis.

Acknowledgements

Not applicable.

Funding

The present study was supported by the Medical Research Center Program (no. 2011-0030074) through the National Research Foundation (NRF) grant funded by the Korean government (MSIP).

Availability of data and materials

All data generated or analyzed during this study are included in this published article.

Authors' contributions

SJ designed the general experimental plan, acquired and analyzed the data, wrote and revised the manuscript. HIM and JY purified the gomisin J and assisted in preparing the manuscript. SK prepared the experimental materials and performed the western blot analysis. NTNQ contributed in handling ImageJ program and performed the statistical analysis. ZS, DDTL, HyegyeongL and HyojeongL assisted in preparing the experimental materials and performed the western blot analysis. MSL made substantial contribution to the conception of the study and the experimental design, revised the manuscript and gave the final approval for the publication of the manuscript. All authors read and approved the manuscript and agree to be accountable for all aspects of this research in ensuring that the accuracy or integrity of any part of the work are appropriately investigated.

Ethics approval and consent to participate

Not applicable.

Patient consent for publication

Not applicable.

Competing interests

The authors declare that they have no competing interests.

References

1 

Chiorazzi N: Cell proliferation and death: Forgotten features of chronic lymphocytic leukemia B cells. Best Pract Res Clin Haematol. 20:399–413. 2007. View Article : Google Scholar : PubMed/NCBI

2 

Danial NN and Korsmeyer SJ: Cell death: Critical control points. Cell. 116:205–219. 2004. View Article : Google Scholar : PubMed/NCBI

3 

Günther C, Martini E, Wittkopf N, Amann K, Weigmann B, Neumann H, Waldner MJ, Hedrick SM, Tenzer S, Neurath MF, et al: Caspase-8 regulates TNF-α-induced epithelial necroptosis and terminal ileitis. Nature. 477:335–339. 2011. View Article : Google Scholar : PubMed/NCBI

4 

Jäättelä M: Multiple cell death pathways as regulators of tumour initiation and progression. Oncogene. 23:2746–2756. 2004. View Article : Google Scholar : PubMed/NCBI

5 

Nikoletopoulou V, Markaki M, Palikaras K and Tavernarakis N: Crosstalk between apoptosis, necrosis and autophagy. Biochim Biophys Acta. 1833:3448–3459. 2013. View Article : Google Scholar : PubMed/NCBI

6 

Teng X, Degterev A, Jagtap P, Xing X, Choi S, Denu R, Yuan J and Cuny GD: Structure-activity relationship study of novel necroptosis inhibitors. Bioorg Med Chem Lett. 15:5039–5044. 2005. View Article : Google Scholar : PubMed/NCBI

7 

Linkermann A: Beyond necroptosis - regulated necrosis in the kidney. Cancer Res. 74((Suppl 19)): SY29–04. 2014.

8 

Linkermann A and Green DR: Necroptosis. N Engl J Med. 370:455–465. 2014. View Article : Google Scholar : PubMed/NCBI

9 

Su L, Quade B, Wang H, Sun L, Wang X and Rizo J: A plug release mechanism for membrane permeation by MLKL. Structure. 22:1489–1500. 2014. View Article : Google Scholar : PubMed/NCBI

10 

Vanden Berghe T, Linkermann A, Jouan-Lanhouet S, Walczak H and Vandenabeele P: Regulated necrosis: The expanding network of non-apoptotic cell death pathways. Nat Rev Mol Cell Biol. 15:135–147. 2014. View Article : Google Scholar : PubMed/NCBI

11 

Vandenabeele P, Galluzzi L, Vanden Berghe T and Kroemer G: Molecular mechanisms of necroptosis: An ordered cellular explosion. Nat Rev Mol Cell Biol. 11:700–714. 2010. View Article : Google Scholar : PubMed/NCBI

12 

Wang H, Sun L, Su L, Rizo J, Liu L, Wang LF, Wang FS and Wang X: Mixed lineage kinase domain-like protein MLKL causes necrotic membrane disruption upon phosphorylation by RIP3. Mol Cell. 54:133–146. 2014. View Article : Google Scholar : PubMed/NCBI

13 

Zhou W and Yuan J: Necroptosis in health and diseases. Semin Cell Dev Biol. 35:14–23. 2014. View Article : Google Scholar : PubMed/NCBI

14 

Panossian A and Wikman G: Pharmacology of Schisandra chinensis Bail. An overview of Russian research and uses in medicine. J Ethnopharmacol. 118:183–212. 2008.

15 

Chun JN, Cho M, So I and Jeon JH: The protective effects of Schisandra chinensis fruit extract and its lignans against cardiovascular disease: A review of the molecular mechanisms. Fitoterapia. 97:224–233. 2014. View Article : Google Scholar : PubMed/NCBI

16 

Batchelor J and Miyabe K: Ainu economic plants. Transactions of the Asiatic Society of Japan. R. Meiklejohn Co. 51:198–240. 1893.

17 

Park JY, Lee SJ, Yun MR, Seo KW, Bae SS, Park JW, Lee YJ, Shin WJ, Choi YW and Kim CD: Gomisin A from Schisandra chinensis induces endothelium-dependent and direct relaxation in rat thoracic aorta. Planta Med. 73:1537–1542. 2007. View Article : Google Scholar : PubMed/NCBI

18 

Chen P, Pang S, Yang N, Meng H, Liu J, Zhou N, Zhang M, Xu Z, Gao W, Chen B, et al: Beneficial effects of schisandrin B on the cardiac function in mice model of myocardial infarction. PLoS One. 8:e794182013. View Article : Google Scholar : PubMed/NCBI

19 

Min HY, Park EJ, Hong JY, Kang YJ, Kim SJ, Chung HJ, Woo ER, Hung TM, Youn UJ, Kim YS, et al: Antiproliferative effects of dibenzocyclooctadiene lignans isolated from Schisandra chinensis in human cancer cells. Bioorg Med Chem Lett. 18:523–526. 2008. View Article : Google Scholar : PubMed/NCBI

20 

Young Park J, Wook Yun J, Whan Choi Y, Ung Bae J, Won Seo K, Jin Lee S, Youn Park S, Whan Hong K and Kim CD: Antihypertensive effect of gomisin A from Schisandra chinensis on angiotensin II-induced hypertension via preservation of nitric oxide bioavailability. Hypertens Res. 35:928–934. 2012. View Article : Google Scholar : PubMed/NCBI

21 

Jang MK, Yun YR, Kim JH, Park MH and Jung MH: Gomisin N inhibits adipogenesis and prevents high-fat diet-induced obesity. Sci Rep. 7:403452017. View Article : Google Scholar : PubMed/NCBI

22 

Yasukawa K, Ikeya Y, Mitsuhashi H, Iwasaki M, Aburada M, Nakagawa S, Takeuchi M and Takido M: Gomisin A inhibits tumor promotion by 12-O-tetradecanoylphorbol-13-acetate in two-stage carcinogenesis in mouse skin. Oncology. 49:68–71. 1992. View Article : Google Scholar : PubMed/NCBI

23 

Oh SY, Kim YH, Bae DS, Um BH, Pan CH, Kim CY, Lee HJ and Lee JK: Anti-inflammatory effects of gomisin N, gomisin J, and schisandrin C isolated from the fruit of Schisandra chinensis. Biosci Biotechnol Biochem. 74:285–291. 2010. View Article : Google Scholar : PubMed/NCBI

24 

Fujihashi T, Hara H, Sakata T, Mori K, Higuchi H, Tanaka A, Kaji H and Kaji A: Anti-human immunodeficiency virus (HIV) activities of halogenated gomisin J derivatives, new nonnucleoside inhibitors of HIV type 1 reverse transcriptase. Antimicrob Agents Chemother. 39:2000–2007. 1995. View Article : Google Scholar : PubMed/NCBI

25 

Kim M, Lim SJ, Lee HJ, Kim SY and Nho CW: Gomisin J inhibits oleic acid-induced hepatic lipogenesis by activation of the AMPK-dependent pathway and inhibition of the hepatokine fetuin-A in HepG2 cells. J Agric Food Chem. 63:9729–9739. 2015. View Article : Google Scholar : PubMed/NCBI

26 

Ye BH, Lee SJ, Choi YW, Park SY and Kim CD: Preventive effect of gomisin J from Schisandra chinensis on angiotensin II-induced hypertension via an increased nitric oxide bioavailability. Hypertens Res. 38:169–177. 2015. View Article : Google Scholar : PubMed/NCBI

27 

Park JY, Choi YW, Yun JW, Bae JU, Seo KW, Lee SJ, Park SY and Kim CD: Gomisin J from Schisandra chinensis induces vascular relaxation via activation of endothelial nitric oxide synthase. Vascul Pharmacol. 57:124–130. 2012. View Article : Google Scholar : PubMed/NCBI

28 

Smejkal K, Slapetová T, Krmenčík P, Babula P, Dall'Acqua S, Innocenti G, Vančo J, Casarin E, Carrara M, Kalvarová K, et al: Evaluation of cytotoxic activity of Schisandra chinensis lignans. Planta Med. 76:1672–1677. 2010. View Article : Google Scholar : PubMed/NCBI

29 

Christofferson DE and Yuan J: Cyclophilin A release as a biomarker of necrotic cell death. Cell Death Differ. 17:1942–1943. 2010. View Article : Google Scholar : PubMed/NCBI

30 

Nicoletti F, Fagone P, Meroni P, McCubrey J and Bendtzen K: mTOR as a multifunctional therapeutic target in HIV infection. Drug Discov Today. 16:715–721. 2011. View Article : Google Scholar : PubMed/NCBI

31 

Feng H, Yang Z, Bai X, Yang M, Fang Y, Zhang X, Guo Q and Ning H: Therapeutic potential of a dual mTORC1/2 inhibitor for the prevention of posterior capsule opacification: An in vitro study. Int J Mol Med. 41:2099–2107. 2018.PubMed/NCBI

32 

Donia M, Mangano K, Amoroso A, Mazzarino MC, Imbesi R, Castrogiovanni P, Coco M, Meroni P and Nicoletti F: Treatment with rapamycin ameliorates clinical and histological signs of protracted relapsing experimental allergic encephalomyelitis in Dark Agouti rats and induces expansion of peripheral CD4+CD25+Foxp3+ regulatory T cells. J Autoimmun. 33:135–140. 2009. View Article : Google Scholar : PubMed/NCBI

33 

Evangelisti C, Evangelisti C, Chiarini F, Lonetti A, Buontempo F, Bressanin D, Cappellini A, Orsini E, McCubrey JA and Martelli AM: Therapeutic potential of targeting mTOR in T-cell acute lymphoblastic leukemia (Review). Int J Oncol. 45:909–918. 2014. View Article : Google Scholar : PubMed/NCBI

34 

Maharjan S, Park BK, Lee SI, Lim Y, Lee K, Kwon HJ and Gomisin G: Gomisin G inhibits the growth of triple-negative breast cancer cells by suppressing AKT phosphorylation and decreasing cyclin D1. Biomol Ther (Seoul). 26:322–327. 2018. View Article : Google Scholar : PubMed/NCBI

Related Articles

  • Abstract
  • View
  • Download
  • Twitter
Copy and paste a formatted citation
Spandidos Publications style
Jung S, Moon H, Kim S, Quynh NT, Yu J, Sandag Z, Le DT, Lee H, Lee H, Lee M, Lee M, et al: Anticancer activity of gomisin J from Schisandra chinensis fruit. Oncol Rep 41: 711-717, 2019.
APA
Jung, S., Moon, H., Kim, S., Quynh, N.T., Yu, J., Sandag, Z. ... Lee, M. (2019). Anticancer activity of gomisin J from Schisandra chinensis fruit. Oncology Reports, 41, 711-717. https://doi.org/10.3892/or.2018.6850
MLA
Jung, S., Moon, H., Kim, S., Quynh, N. T., Yu, J., Sandag, Z., Le, D. T., Lee, H., Lee, H., Lee, M."Anticancer activity of gomisin J from Schisandra chinensis fruit". Oncology Reports 41.1 (2019): 711-717.
Chicago
Jung, S., Moon, H., Kim, S., Quynh, N. T., Yu, J., Sandag, Z., Le, D. T., Lee, H., Lee, H., Lee, M."Anticancer activity of gomisin J from Schisandra chinensis fruit". Oncology Reports 41, no. 1 (2019): 711-717. https://doi.org/10.3892/or.2018.6850
Copy and paste a formatted citation
x
Spandidos Publications style
Jung S, Moon H, Kim S, Quynh NT, Yu J, Sandag Z, Le DT, Lee H, Lee H, Lee M, Lee M, et al: Anticancer activity of gomisin J from Schisandra chinensis fruit. Oncol Rep 41: 711-717, 2019.
APA
Jung, S., Moon, H., Kim, S., Quynh, N.T., Yu, J., Sandag, Z. ... Lee, M. (2019). Anticancer activity of gomisin J from Schisandra chinensis fruit. Oncology Reports, 41, 711-717. https://doi.org/10.3892/or.2018.6850
MLA
Jung, S., Moon, H., Kim, S., Quynh, N. T., Yu, J., Sandag, Z., Le, D. T., Lee, H., Lee, H., Lee, M."Anticancer activity of gomisin J from Schisandra chinensis fruit". Oncology Reports 41.1 (2019): 711-717.
Chicago
Jung, S., Moon, H., Kim, S., Quynh, N. T., Yu, J., Sandag, Z., Le, D. T., Lee, H., Lee, H., Lee, M."Anticancer activity of gomisin J from Schisandra chinensis fruit". Oncology Reports 41, no. 1 (2019): 711-717. https://doi.org/10.3892/or.2018.6850
Follow us
  • Twitter
  • LinkedIn
  • Facebook
About
  • Spandidos Publications
  • Careers
  • Cookie Policy
  • Privacy Policy
How can we help?
  • Help
  • Live Chat
  • Contact
  • Email to our Support Team