Spandidos Publications Logo
  • About
    • About Spandidos
    • Aims and Scopes
    • Abstracting and Indexing
    • Editorial Policies
    • Reprints and Permissions
    • Job Opportunities
    • Terms and Conditions
    • Contact
  • Journals
    • All Journals
    • Oncology Letters
      • Oncology Letters
      • Information for Authors
      • Editorial Policies
      • Editorial Board
      • Aims and Scope
      • Abstracting and Indexing
      • Bibliographic Information
      • Archive
    • International Journal of Oncology
      • International Journal of Oncology
      • Information for Authors
      • Editorial Policies
      • Editorial Board
      • Aims and Scope
      • Abstracting and Indexing
      • Bibliographic Information
      • Archive
    • Molecular and Clinical Oncology
      • Molecular and Clinical Oncology
      • Information for Authors
      • Editorial Policies
      • Editorial Board
      • Aims and Scope
      • Abstracting and Indexing
      • Bibliographic Information
      • Archive
    • Experimental and Therapeutic Medicine
      • Experimental and Therapeutic Medicine
      • Information for Authors
      • Editorial Policies
      • Editorial Board
      • Aims and Scope
      • Abstracting and Indexing
      • Bibliographic Information
      • Archive
    • International Journal of Molecular Medicine
      • International Journal of Molecular Medicine
      • Information for Authors
      • Editorial Policies
      • Editorial Board
      • Aims and Scope
      • Abstracting and Indexing
      • Bibliographic Information
      • Archive
    • Biomedical Reports
      • Biomedical Reports
      • Information for Authors
      • Editorial Policies
      • Editorial Board
      • Aims and Scope
      • Abstracting and Indexing
      • Bibliographic Information
      • Archive
    • Oncology Reports
      • Oncology Reports
      • Information for Authors
      • Editorial Policies
      • Editorial Board
      • Aims and Scope
      • Abstracting and Indexing
      • Bibliographic Information
      • Archive
    • Molecular Medicine Reports
      • Molecular Medicine Reports
      • Information for Authors
      • Editorial Policies
      • Editorial Board
      • Aims and Scope
      • Abstracting and Indexing
      • Bibliographic Information
      • Archive
    • World Academy of Sciences Journal
      • World Academy of Sciences Journal
      • Information for Authors
      • Editorial Policies
      • Editorial Board
      • Aims and Scope
      • Abstracting and Indexing
      • Bibliographic Information
      • Archive
    • International Journal of Functional Nutrition
      • International Journal of Functional Nutrition
      • Information for Authors
      • Editorial Policies
      • Editorial Board
      • Aims and Scope
      • Abstracting and Indexing
      • Bibliographic Information
      • Archive
    • International Journal of Epigenetics
      • International Journal of Epigenetics
      • Information for Authors
      • Editorial Policies
      • Editorial Board
      • Aims and Scope
      • Abstracting and Indexing
      • Bibliographic Information
      • Archive
    • Medicine International
      • Medicine International
      • Information for Authors
      • Editorial Policies
      • Editorial Board
      • Aims and Scope
      • Abstracting and Indexing
      • Bibliographic Information
      • Archive
  • Articles
  • Information
    • Information for Authors
    • Information for Reviewers
    • Information for Librarians
    • Information for Advertisers
    • Conferences
  • Language Editing
Spandidos Publications Logo
  • About
    • About Spandidos
    • Aims and Scopes
    • Abstracting and Indexing
    • Editorial Policies
    • Reprints and Permissions
    • Job Opportunities
    • Terms and Conditions
    • Contact
  • Journals
    • All Journals
    • Biomedical Reports
      • Information for Authors
      • Editorial Policies
      • Editorial Board
      • Aims and Scope
      • Abstracting and Indexing
      • Bibliographic Information
      • Archive
    • Experimental and Therapeutic Medicine
      • Information for Authors
      • Editorial Policies
      • Editorial Board
      • Aims and Scope
      • Abstracting and Indexing
      • Bibliographic Information
      • Archive
    • International Journal of Epigenetics
      • Information for Authors
      • Editorial Policies
      • Editorial Board
      • Aims and Scope
      • Abstracting and Indexing
      • Bibliographic Information
      • Archive
    • International Journal of Functional Nutrition
      • Information for Authors
      • Editorial Policies
      • Editorial Board
      • Aims and Scope
      • Abstracting and Indexing
      • Bibliographic Information
      • Archive
    • International Journal of Molecular Medicine
      • Information for Authors
      • Editorial Policies
      • Editorial Board
      • Aims and Scope
      • Abstracting and Indexing
      • Bibliographic Information
      • Archive
    • International Journal of Oncology
      • Information for Authors
      • Editorial Policies
      • Editorial Board
      • Aims and Scope
      • Abstracting and Indexing
      • Bibliographic Information
      • Archive
    • Medicine International
      • Information for Authors
      • Editorial Policies
      • Editorial Board
      • Aims and Scope
      • Abstracting and Indexing
      • Bibliographic Information
      • Archive
    • Molecular and Clinical Oncology
      • Information for Authors
      • Editorial Policies
      • Editorial Board
      • Aims and Scope
      • Abstracting and Indexing
      • Bibliographic Information
      • Archive
    • Molecular Medicine Reports
      • Information for Authors
      • Editorial Policies
      • Editorial Board
      • Aims and Scope
      • Abstracting and Indexing
      • Bibliographic Information
      • Archive
    • Oncology Letters
      • Information for Authors
      • Editorial Policies
      • Editorial Board
      • Aims and Scope
      • Abstracting and Indexing
      • Bibliographic Information
      • Archive
    • Oncology Reports
      • Information for Authors
      • Editorial Policies
      • Editorial Board
      • Aims and Scope
      • Abstracting and Indexing
      • Bibliographic Information
      • Archive
    • World Academy of Sciences Journal
      • Information for Authors
      • Editorial Policies
      • Editorial Board
      • Aims and Scope
      • Abstracting and Indexing
      • Bibliographic Information
      • Archive
  • Articles
  • Information
    • For Authors
    • For Reviewers
    • For Librarians
    • For Advertisers
    • Conferences
  • Language Editing
Login Register Submit
  • This site uses cookies
  • You can change your cookie settings at any time by following the instructions in our Cookie Policy. To find out more, you may read our Privacy Policy.

    I agree
Search articles by DOI, keyword, author or affiliation
Search
Advanced Search
presentation
Experimental and Therapeutic Medicine
Join Editorial Board Propose a Special Issue
Print ISSN: 1792-0981 Online ISSN: 1792-1015
Journal Cover
January-2022 Volume 23 Issue 1

Full Size Image

Sign up for eToc alerts
Recommend to Library

Journals

International Journal of Molecular Medicine

International Journal of Molecular Medicine

International Journal of Molecular Medicine is an international journal devoted to molecular mechanisms of human disease.

International Journal of Oncology

International Journal of Oncology

International Journal of Oncology is an international journal devoted to oncology research and cancer treatment.

Molecular Medicine Reports

Molecular Medicine Reports

Covers molecular medicine topics such as pharmacology, pathology, genetics, neuroscience, infectious diseases, molecular cardiology, and molecular surgery.

Oncology Reports

Oncology Reports

Oncology Reports is an international journal devoted to fundamental and applied research in Oncology.

Experimental and Therapeutic Medicine

Experimental and Therapeutic Medicine

Experimental and Therapeutic Medicine is an international journal devoted to laboratory and clinical medicine.

Oncology Letters

Oncology Letters

Oncology Letters is an international journal devoted to Experimental and Clinical Oncology.

Biomedical Reports

Biomedical Reports

Explores a wide range of biological and medical fields, including pharmacology, genetics, microbiology, neuroscience, and molecular cardiology.

Molecular and Clinical Oncology

Molecular and Clinical Oncology

International journal addressing all aspects of oncology research, from tumorigenesis and oncogenes to chemotherapy and metastasis.

World Academy of Sciences Journal

World Academy of Sciences Journal

Multidisciplinary open-access journal spanning biochemistry, genetics, neuroscience, environmental health, and synthetic biology.

International Journal of Functional Nutrition

International Journal of Functional Nutrition

Open-access journal combining biochemistry, pharmacology, immunology, and genetics to advance health through functional nutrition.

International Journal of Epigenetics

International Journal of Epigenetics

Publishes open-access research on using epigenetics to advance understanding and treatment of human disease.

Medicine International

Medicine International

An International Open Access Journal Devoted to General Medicine.

Journal Cover
January-2022 Volume 23 Issue 1

Full Size Image

Sign up for eToc alerts
Recommend to Library

  • Article
  • Citations
    • Cite This Article
    • Download Citation
    • Create Citation Alert
    • Remove Citation Alert
    • Cited By
  • Similar Articles
    • Related Articles (in Spandidos Publications)
    • Similar Articles (Google Scholar)
    • Similar Articles (PubMed)
  • Download PDF
  • Download XML
  • View XML

  • Supplementary Files
    • Supplementary_Data.pdf
Article Open Access

Lactobacillus plantarum induces innate cytokine responses that potentially provide a protective benefit against COVID‑19: A single‑arm, double‑blind, prospective trial combined with an in vitro cytokine response assay

  • Authors:
    • Yasunari Kageyama
    • Yasuhiro Nishizaki
    • Koichi Aida
    • Katsuyuki Yayama
    • Tomoka Ebisui
    • Tetsu Akiyama
    • Tsutomu Nakamura
  • View Affiliations / Copyright

    Affiliations: Takanawa Clinic, Tokyo 108‑0074, Japan, Tokai University Hospital, Isehara‑shi, Kanagawa 259‑1193, Japan, Laboratory of Molecular and Genetic Information, Institute for Quantitative Biosciences, The University of Tokyo, Tokyo 113‑0032, Japan
    Copyright: © Kageyama et al. This is an open access article distributed under the terms of Creative Commons Attribution License.
  • Article Number: 20
    |
    Published online on: November 2, 2021
       https://doi.org/10.3892/etm.2021.10942
  • Expand metrics +
Metrics: Total Views: 0 (Spandidos Publications: | PMC Statistics: )
Metrics: Total PDF Downloads: 0 (Spandidos Publications: | PMC Statistics: )
Cited By (CrossRef): 0 citations Loading Articles...

This article is mentioned in:



Abstract

Intestinal microbiota can indirectly modulate airway physiology and immunity through the gut‑lung axis. Recent microbiome studies indicate that patients with coronavirus disease 2019 (COVID‑19) exhibit a specific intestinal dysbiosis that is closely associated with the disease pathophysiology. Therefore, rebalancing the intestinal microbiome using probiotics may be effective for controlling COVID‑19. However, the rationale for using probiotics in COVID‑19 remains unclear. In the present study, an in vitro cytokine response assay was conducted, followed by a single‑arm, double‑blind, prospective trial to evaluate the immunological efficacy of probiotic lactic acid bacteria against COVID‑19. The present study focused on Lactobacillus plantarum (L. plantarum), Bifidobacterium longum and Lactococcus lactis ssp. lactis, which exhibit robust protective effects against infection with respiratory RNA viruses. Considering the feasibility of long‑term daily intake for prophylactic purposes, healthy uninfected individuals were enrolled as subjects. Our previous pilot trial demonstrated that oral Qingfei Paidu decoction (QFPD), a Chinese herbal medicine formulated specifically against COVID‑19, upregulates plasma TNF‑α, IL‑1β, IL‑18 and IL‑8. Therefore, the present study utilized the cytokine changes induced by QFPD to define the innate cytokine index QICI [=(TNF‑α) x (IL‑1β) x (IL‑18) x (IL‑8)/(IL‑6)] as an indicator of the anti‑COVID‑19 immunomodulatory potential of the lactic acid bacteria. A total of 20 eligible volunteers were enrolled, 18 of whom completed the intervention. L. plantarum demonstrated a strikingly high innate cytokine index in all subjects in the in vitro cytokine response assay. In the subsequent trial, oral intake of L. plantarum significantly increased the innate cytokine index (mean fold change, 17‑fold; P=0.0138) and decreased the plasma level of IL‑6 (P=0.0128), a key driver of complex immune dysregulation in COVID‑19, as compared with the baseline. The cytokine index increased in 16 of 18 subjects (88.9%) with considerable individual differences in the fold change (1‑ to 128‑fold). In line with these innate cytokine changes, L. plantarum ingestion significantly enhanced the activity of natural killer cells. By contrast, oral B. longum failed to induce a significant increase in the innate cytokine index (mean fold change, 2‑fold; P=0.474) as compared with the baseline. In conclusion, L. plantarum demonstrated superior QFPD‑like immunomodulatory ability and mimicked the blood cytokine environment produced by early immune responses to viral infection. Daily consumption of L. plantarum as an anti‑COVID‑19 probiotic may be a possible option for preventing COVID‑19 during the pandemic. The present study was prospectively registered in the University Hospital Medical Information Network‑Clinical Trials Registry under the trial number UMIN000040479 on 22 May 2020 (https://upload.umin.ac.jp/cgi‑open‑bin/ctr_e/ctr_view.cgi?recptno=R000046202).

Introduction

The coronavirus disease 2012 (COVID-19) pandemic is becoming an increasingly serious threat to global public health. The causative coronavirus, severe acute respiratory syndrome coronavirus 2 (SARS-CoV-2), primarily infects a subpopulation of airway epithelial cells that co-express the viral entry molecules angiotensin-converting enzyme 2 (ACE2) and transmembrane serine protease 2 (TMPRSS2) (1-3). Notably, several lines of evidence suggest that SARS-CoV-2 can also infect human intestinal epithelial cells, as ACE2 and TMPRSS2 are co-expressed in the lower gastrointestinal tract, particularly enterocytes and progenitor cells of the ileum and colon (2-5). Targeted infection and active replication of SARS-CoV-2 in ACE2-expressing enterocytes have been demonstrated using human intestinal organoids (5-8). SARS-CoV-2 RNA has been detected in stool specimens and anal/rectal swabs of patients with COVID-19 (9-11), and infectious viruses have been isolated from feces of patients (8). A considerable percentage of patients with COVID-19 present with concurrent gastrointestinal symptoms, such as diarrhea and abdominal pain (12-14). These findings raise the possibility that there are adverse effects between the enteric infection of SARS-CoV-2 and the intestinal microbiome.

Gut microbiota serves key roles in the crosstalk between the intestinal and respiratory tracts, which is called the gut-lung axis, via which gut microbe-derived molecules (including structural components, metabolites and toxins, among others) modulate airway physiology and immunity (15-17). Intestinal dysbiosis leads to aberrant immune tone in the airway mucosa, which can trigger dysregulated immune responses to respiratory viral infection (15-17). Recent microbiome studies have revealed that patients with COVID-19 have compositional changes in the specific taxa of enteric bacteria (18-21). Notably, a subset of the changes correlate with the serum levels of proinflammatory cytokines, symptom severity and fecal SARS-CoV-2 virus load, suggesting that COVID-19-related intestinal dysbiosis is closely associated with the disease pathophysiology (19-21).

Numerous animal and clinical studies have demonstrated that the oral intake of probiotic strains of various lactic acid bacteria (LAB) species exhibited prophylactic and therapeutic efficacy against infection by respiratory RNA viruses (22-26). Life-threatening symptoms and complications of COVID-19 are caused by hyperinflammation owing to complex immune dysregulation involving neutrophilia, lymphocytopenia, reduced T-cell immunity and excessive production of inflammatory mediators (27-29). Specific probiotic LAB strains, such as L. plantarum strain DR7 and L. paracasei strain 8700:2, have superior immunomodulatory and anti-inflammatory abilities against respiratory viral infection and may therefore be suitable for therapeutic use (30,31). On the other hand, certain proinflammatory LAB strains are known to induce innate cytokine changes that can trigger early antiviral immune responses and may therefore be employed prophylactically (32,33). Notably, previous preclinical studies and randomized controlled trials have demonstrated that among probiotic LAB, Lactobacillus plantarum (L. plantarum) (33-39), Bifidobacterium longum (B. longum) (40,41) and Lactococcus lactis ssp. Lactis (L. lactis ssp. lactis) (42) exhibit robust protective effects against influenza virus infection through enhancing host innate immunity.

The genera Lactobacillus, Bifidobacterium and Lactococcus are the most representative LAB and have been recognized as having probiotic properties beneficial for the human health (43,44). L. plantarum is a Gram-positive, facultatively anaerobic, rod-shaped bacterium with a plant origin and is distributed in the human intestinal tract and oral cavity. It is a heterofermentative LAB closely associated with various fermented plant foods, such as pickles, sauerkraut and kimchi. B. longum is a Gram-positive, obligatory anaerobic, heterofermentative bacterium with V- or Y-shaped morphology and inhabits the human intestine predominantly from newborns to elderly people. L. lactis ssp. lactis is a Gram-positive, facultatively anaerobic, spherical bacterium commonly present in raw milk and fermented dairy products.

Qingfei Paidu decoction (QFPD), the Chinese word for ‘lung cleansing and detoxifying decoction’, is a Chinese herbal medicine newly formulated and specifically optimized against COVID-19, and its therapeutic use has been encouraged in the Chinese official management guidelines (45). Clinical trials in China have demonstrated that QFPD accelerated recovery and prevented disease progression in mild to critical cases (46-49). A retrospective clinical study has also indicated that QFPD decreased the blood levels of COVID-19 biomarkers, such as C-reactive protein, creatine kinase and lactate dehydrogenase (50). Our previous study has demonstrated that the pharmacological action of QFPD was associated with the upregulation of the plasma levels of TNF-α, IL-1β, IL-18 and IL-8, which are key cytokines that mediate early innate immune responses to viral infection (51).

Therefore, rebalancing the gut microbiome using probiotics may be effective for the control of COVID-19. However, to the best of our knowledge, no studies have focused on the efficacy of probiotics in patients with COVID-19, and the rationale for using probiotics against COVID-19 remains unclear. In addition, there is a requirement for investigating diverse prophylactic options owing to the frequent emergence and rapid spread of novel SARS-CoV-2 variants carrying immune escape mutations. To explore the immunological efficacy of probiotics for preventing COVID-19, a single-arm, double-blind, prospective trial combined with an in vitro cytokine response assay was conducted using L. plantarum, B. longum and L. lactis ssp. lactis. The innate cytokine changes induced by QFPD were used as an indicator of the anti-COVID-19 immunomodulatory potential of the LAB. Furthermore, the effects of LAB ingestion on the activity of innate immune cells were examined.

Materials and methods

Subjects

Participants were recruited through the University Hospital Medical Information Network-Clinical Trials Registry website, Takanawa Clinic (Tokyo, Japan) website, announcements in an e-mail newsletter and personal contacts. Individuals who met all the following inclusion criteria were enrolled: i) Healthy adults between the ages of 20 and 70; and ii) having negative PCR and IgM/IgG antibodies tests for SARS-CoV-2 at study entry (no previous and current SARS-CoV-2 infection). Chest imaging tests were not used in the present study. Individuals were excluded from this trial if they met any of the following exclusion criteria: i) Pregnant; ii) breastfeeding; iii) duplicate enrollment in other clinical trials; iv) history of infectious disease within 6 months before the enrollment; v) current or past history of chronic inflammatory, immune-related or neoplastic diseases; vi) history of medicinal drug use within 6 months before the enrollment; and vii) underlying conditions associated with higher risk of COVID-19, including hypertension, cardiovascular disease, cerebrovascular disease, diabetes, obesity (body mass index ≥30) (52,53), chronic obstructive pulmonary disease and chronic kidney disease. Therefore, the enrolled subjects had no recorded and reported comorbidities.

Subject recruitment

In our previous study using QFPD on 18 healthy subjects (51), the effect sizes r obtained were 0.816 (TNF-α), 0.881 (IL-1β), 0.724 (IL-18) and 0.796 (IL-8). The average value of 0.804 was employed as an estimated effect size for the present trial. A priori two-tailed power analysis was conducted with a level of significance α of 0.05, a desired power 1-β of 0.8 and the estimated effect size of 0.804, which suggested a required total sample size of 15 individuals.

Participant recruitment took place between 27 May 2020 and 2 June 2020 at Takanawa Clinic (Tokyo, Japan). A total of 20 volunteers were screened for eligibility, indicated to be eligible and enrolled in the present trial (Fig. 1). In vitro cytokine response assay was performed between 7 and 9 June 2020. LAB were administered to all the enrolled participants between 25 June and 17 August 2020, 2 of whom were excluded from the main analysis due to no visit to Takanawa Clinic following the LAB prescription. Consequently, 18 subjects (1 male and 17 females; age, 28-66 years; mean age ± SD, 44.2±10.1 years) completed the intervention, and the data were subjected to statistical analysis.

Figure 1

CONSORT flow diagram of participants in the present study. CONSORT; consolidated standards of reporting trials.

Study design

The present study comprised two sequential experimental procedures: An in vitro cytokine response assay and a single-arm, double-blind, prospective trial.

The optimal LAB in each subject were determined using co-culture of the peripheral blood with each LAB. QFPD-induced innate cytokine changes were used as an indicator to evaluate the anti-COVID-19 immunomodulatory potential of LAB. The QFPD-induced innate cytokine index (QICI) was defined as follows: QICI=(TNF-α) x (IL-1β) x (IL-18) x (IL-8)/(IL-6), where brackets represent the plasma level of the cytokine in pg/ml. IL-6 is a critical driver of complex immune dysregulation in patients with COVID-19 and was thus adopted as the denominator (54-56).

The LAB with the highest and lowest QICI were used in a subsequent clinical trial to examine whether the ingested LAB could reproduce the in vitro cytokine responses (in vitro QICI). The trial consisted of three consecutive sessions: i) Validation (intervention using the LAB with the highest QICI); ii) washout; and iii) control (intervention using the LAB with the lowest QICI) sessions. The primary outcome measure was the changes in the plasma levels of TNF-α, IL-1β, IL-18, IL-8 and IL-6 and the QICI after each 7-day LAB session compared with those at baseline. The secondary outcome measure was the changes in hematological parameters after each 7-day LAB session compared with those at baseline.

In vitro cytokine response assay

L. plantarum SNK12 [2x1012 colony-forming unit/g (cfu/g); Bio-Lab Co., Ltd.] is a probiotic strain with potent immunomodulatory, anti-inflammatory and antiviral abilities (57,58). A probiotic B. longum BB536 strain (1.5x1011 cfu/g; Morinaga Milk Industry Co., Ltd.) has been reported to exhibit various clinical benefits, such as anti-allergic effects (59,60), protection against viral infection (41,61) and modulation of gut microbiota (62-64). L. lactis ssp. lactis demonstrates immunomodulatory and antiviral effects through activating plasmacytoid dendritic cells and increasing their ability to produce interferons (IFNs) (42). The commercially available probiotic strain LLL970 (1x1011 cfu/g; Synbio Tech, Inc.) was used in the present study.

Live LAB cells were disrupted by vibrating them twice at 4,600 rpm (the number of the figure-8-shaped movement of sample tubes per minute) for 3 min at room temperature with 0.5 g of 3.0-mm zirconia beads in a commercial bead vibrator (PS-2000; Kurabo Industries Ltd.) followed by heating at 60˚C for 20 min. Dead LAB were suspended at a 100 µg/ml concentration in Dulbecco's PBS (without Ca2+ and Mg2+).

The ability of the LAB to stimulate QFPD-like cytokine production by peripheral blood immune cells was evaluated as described in previous studies (65-67). Briefly, heparinized peripheral blood (0.4 ml) from each subject was co-cultured with each killed LAB suspension (4 µg) in 1 ml RPMI-1640 medium (DS Pharma Biomedical Co., Ltd.) supplemented with 10% fetal bovine serum (FBS; Sigma-Aldrich; Merck KGaA) in a humidified incubator with 5% CO2 at 37˚C for 48 h. Concentrations of TNF-α, IL-1β, IL-8 and IL-6 in culture supernatants were measured using the V-PLEX Proinflammatory Panel 1 Human kit (cat. no. K15049D-1; Meso Scale Diagnostics, LLC) and the concentration of IL-18 was measured using the Human IL-18 ELISA kit (cat. no. ab215539; Abcam) according to the manufacturers' protocols. The data were used to calculate the QICI value for the characterization of the species with the highest or lowest QICI.

Clinical trial

The present trial was a single-arm, double-blind, prospective trial. Each subject was instructed to orally ingest the live LAB with the highest QICI (1x1011 cfu/day) in the in vitro cytokine response assay twice daily in the morning and evening between meals for 7 days (days 1-7). After a 7-day washout period (days 8-14), a negative control trial was conducted, in which the LAB with the lowest QICI in the in vitro cytokine response assay (1x1011 cfu/day) was orally administered twice daily in the morning and evening between meals for 7 days (days 15-21). Peripheral blood samples were obtained from each subject on days 0, 8 and 22. Neither the subjects nor physicians in charge were aware of the results of the in vitro LAB assessment, prescribed LAB or their QICI properties until the final blood sampling was completed. Concentrations of plasma TNF-α, IL-1β, IL-18, IL-8 and IL-6 were quantified as aforementioned. Hematological and blood biochemical tests (parameters as listed in Table SII) were outsourced to SRL, Inc.

Innate immune cell activity assays

A total of ~9 months after the completion of the trial, 10 healthy subjects were randomly selected from the 18 trial participants and randomly assigned to either the L. plantarum group (n=5) or the B. longum group (n=5) through simple randomization. Ingestion of L. plantarum and B. longum and blood sampling were conducted with the same protocol as that of the trial (1x1011 cfu/day; twice daily for 7 days). After a 7-day ingestion, innate immune cell activity was measured using standard methods as described below in detail.

Neutrophil activity

Measurement of the phagocytic activity of neutrophils was outsourced to BML, Inc. Briefly, heparinized peripheral blood (0.1 ml) from each subject was mixed with 40 µl fluorescent microbeads (Fluoresbrite® YG Carboxylate Microspheres 1.75 µm; Polysciences, Inc.) diluted 4-fold with Dulbecco's PBS [-(without Ca2+ and Mg2+)] and incubated with gentle agitation at 37˚C for 30 min. The samples were treated with 2 ml 10X FACS lysing solution (BD Biosciences) at 4˚C for 15 min to lyse erythrocytes under gentle hypotonic conditions, followed by flow cytometric analysis using FACSCalibur™ flow cytometer (BD Biosciences). Granulocytes were characterized as medium-sized cells with high granularity and separated by setting a medium forward scatter (FSC)/high side scatter (SSC) gating. The percentage of fluorescence-positive granulocytes (granulocytes that phagocytosed the fluorescent microbeads) to the total count of granulocytes was calculated using the BD CellQuest™ Pro software version 6.0 (BD Biosciences).

Natural killer (NK) cell activity

Analysis of NK cell activity using chromium-51 (51Cr) release assay was outsourced to SRL, Inc. Lymphocytes were isolated from 5 ml peripheral blood using density gradient centrifugation (Lymphosepar I; Immuno-Biological Laboratories Co., Ltd.) according to the manufacturer's instructions. The lymphocytes were washed twice with Dulbecco's PBS (-) and resuspended at 1x106 cells/ml in RPMI-1640 supplemented with 10% FBS. A total of 200-µl aliquots (effector cells; 2x105) were mixed with human chronic myelogenous leukemia K562 cells (target cells; 1x104 cells/10 µl; cat. no. CCL-243; American Type Culture Collection) radiolabeled with 51Cr (PerkinElmer, Inc.) and incubated at 37˚C for 3.5 h in a 5% CO2 incubator. The cells were collected by centrifugation, and the remaining 51Cr radioactivity was measured using WIZARD® Automatic Gamma Counter (PerkinElmer, Inc.). 51Cr-loaded K562 cells treated with effector-free culture medium (RPMI-1640; 10% FBS) were used for the quantification of spontaneously released 51Cr.

Macrophage activity

The serum level of neopterin, an activation marker produced primarily by IFN-γ-stimulated monocytes and macrophages (68,69), was assessed for macrophage activity. Determination of serum neopterin was outsourced to SRL, Inc. Serum (0.3 ml) was analyzed by a reverse-phase high-performance liquid chromatography column-switching method (LC-2000Plus; JASCO Corporation) (70) using Wakosil GP-N6 4.6x150 mm as a pretreatment column and Wakosil-II 5C18 HG 4.6x250 mm as an analysis column (FUJIFILM Wako Pure Chemical Corporation). The neopterin level was determined by detecting its native fluorescence (excitation, 353 nm; emission, 438 nm) with a fluorescence detector (FP-2025; JASCO Corporation).

Statistical analysis

For the in vitro cytokine response assay, when IL-1β was undetectable in negative control samples (14 of 20 enrolled subjects; Table SI), 0.5x lower limit of detection (0.05 pg/ml) was used to calculate the QICI value.

In the analysis of the trial data, the interquartile range (IQR) method was used to identify outliers; any values that fell below Q1-1.5x IQR or above Q3 + 1.5x IQR (Q1, first quartile; Q3, third quartile) were considered outliers and removed from the statistical analysis (71,72). In order to perform statistical tests of matched pairs, the paired values of the outliers were removed, even if they fell into the non-outlier range. When calculating QICI scores, outliers and zero values were handled as follows: i) The outliers were replaced with mean values that were calculated from the non-outliers to avoid unreasonable reduction of QICI scores by simple removal of the outliers; and ii) zero values in the measurement of IL-1β and IL-18 were replaced with the values of 0.5x lower limit of detection (IL-1β, 0.05 pg/ml; IL-18, 8.30 pg/ml) (73,74).

The normality of the data was firstly examined using the normal quantile-quantile plots and the Shapiro-Wilk test. On the basis of the results from these normality tests, the Friedman test was used, followed by the Nemenyi post hoc test for the data from the clinical trial; a two-tailed paired Student's t-test was used for the data from the assays of innate immune cell activity.

All statistical analyses were performed with EZR v1.53 (Saitama Medical Center, Jichi Medical University), which is a graphical user interface for R (R Foundation for Statistical Computing; https://www.R-project.org/) (75). A priori sample size calculation and post hoc power analysis were performed using G*Power v3.1.9.2 (Department of Experimental Psychology, Heinrich Heine University Düsseldorf; https://www.psychologie.hhu.de/arbeitsgruppen/allgemeine-psychologie-und-arbeitspsychologie/gpower) (76). Spearman's rank correlation coefficients for the post hoc power analysis were calculated with EZR v1.53(75). P<0.05 was considered to indicate a statistically significant difference.

Results

Selection of LAB with the highest and lowest QICI

Firstly, the species with the highest and lowest QICI among the three probiotic LAB (L. plantarum, B. longum and L. lactis ssp. lactis) were determined in each of the 20 study subjects, using in vitro cytokine response assay. L. plantarum demonstrated the highest QICI in all subjects, whereas B. longum demonstrated the lowest QICI (Table SI). L. plantarum had a 52-7,210-fold (mean ± SD, 1,350±1,870; 95% CI, 458-2,250) higher QICI than B. longum and a 3-188-fold (mean ± SD, 33±44; 95% CI, 12-54) higher QICI than L. lactis ssp. lactis. The present results indicated that L. plantarum had a superior QFPD-like ability to stimulate innate cytokine production by blood immune cells. Therefore, L. plantarum and B. longum were selected in all subjects for the subsequent clinical trial.

L. plantarum ingestion induces QFPD-like innate cytokine responses in vivo

To investigate whether L. plantarum could reproduce in vivo the QFPD-like immunomodulatory activity observed in vitro, a single-arm, double-blind, prospective trial that included three consecutive sessions was conducted: i) A validation session using L. plantarum in the first 7 days; ii) a 7-day washout period; and iii) a control session using B. longum in the last 7 days. The peripheral blood samples that were obtained before (day 0) and after (day 8) L. plantarum ingestion and after B. longum ingestion (day 22) were evaluated for plasma TNF-α, IL-1β, IL-18, IL-8 and IL-6, as well as the QICI.

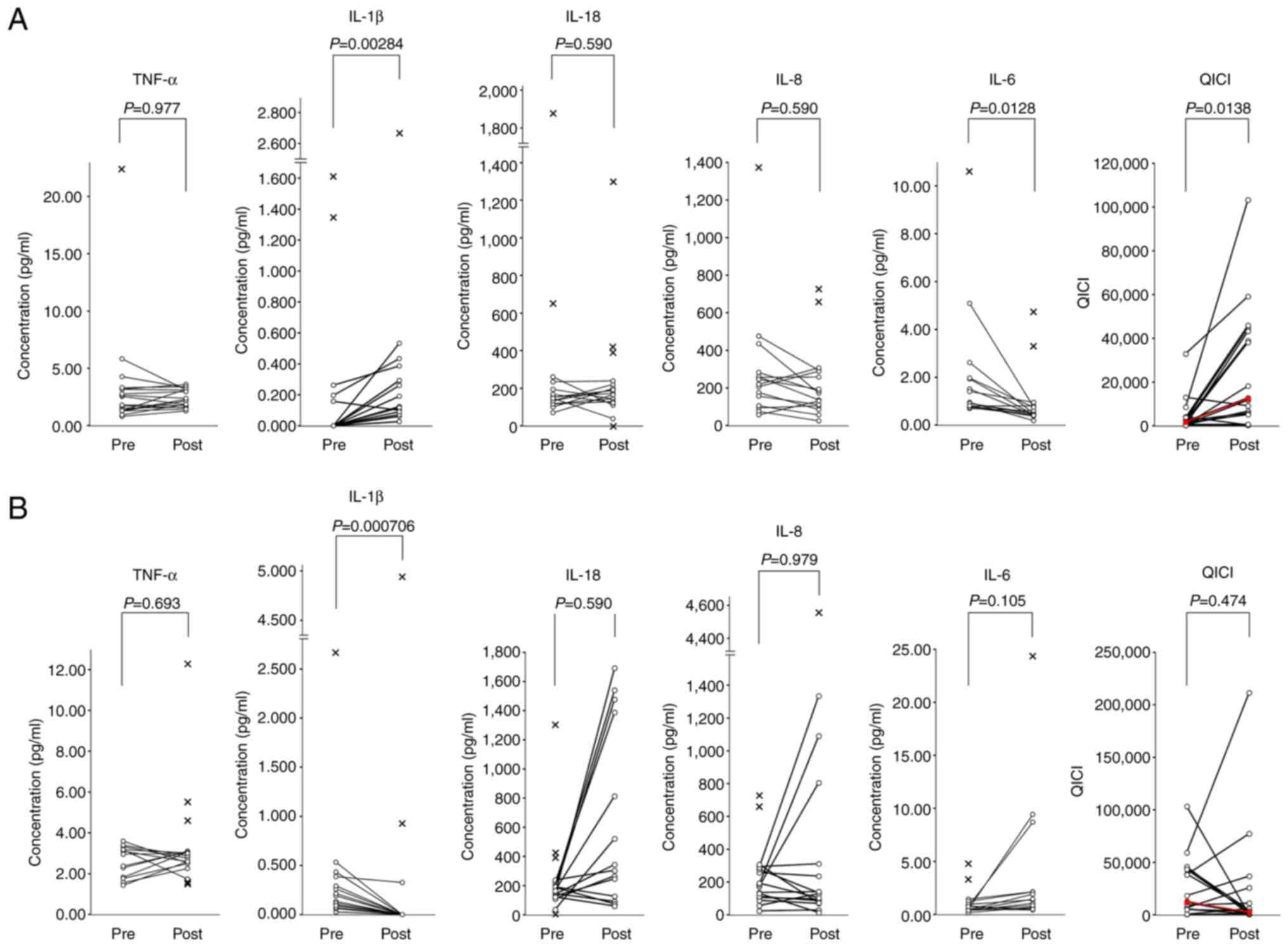
As indicated in Table I, oral intake of L. plantarum significantly increased plasma IL-1β [median (IQR), 0.000 (0.000-0.000) vs. 0.134 (0.092-0.292) pg/ml; P=0.0000310 after Friedman test; P=0.00284 after Nemenyi post hoc test] and decreased plasma IL-6 [median (IQR), 1.180 (0.812-2.130) vs. 0.495 (0.425-0.775) pg/ml; P=0.0131 after Friedman test; P=0.0128 after Nemenyi post hoc test]. There were no significant differences in the plasma levels of TNF-α, IL-18 and IL-8. The QICI value was significantly increased [mean fold change, 17-fold; median (IQR), 1,760 (680-3,550) vs. 12,300 (5,440-42,200); P=0.0173 after Friedman test; P=0.0138 after Nemenyi post hoc test]. The QICI values were increased in 16 of 18 subjects (88.9%) with considerable individual differences in the fold change (1-128-fold; mean fold change, 19-fold; Fig. 2A), suggesting that there are large variations in responsiveness to L. plantarum among individuals.

Figure 2

Changes in plasma cytokine levels and QICI values before (pre) and after (post) oral intake of (A) Lactobacillus plantarum SNK12 and (B) Bifidobacterium longum BB536. QICI was defined as follows: QICI=(TNF-α) x (IL-1β) x (IL-18) x (IL-8)/(IL-6), where brackets represent the plasma level of the cytokine in pg/ml. Cross marks denote outliers. Each red line represents the change of the medians. The data were statistically analyzed using the Friedman test followed by the Nemenyi post hoc test. QICI, Qingfei Paidu decoction-induced innate cytokine index.

Table I

Cytokine changes in Lactobacillus plantarum- and Bifidobacterium longum-administered subjects.

Table I

Cytokine changes in Lactobacillus plantarum- and Bifidobacterium longum-administered subjects.

 Nemenyi post hoc test
 Day 0Day 8Day 22Friedman testLactobacillus plantarum (Day 0 vs. Day 8)Bifidobacterium longum (Day 8 vs. Day 22)
CytokinesMedian(IQR)Median(IQR)Median(IQR)P-valueP-valueP-value
TNF-α, pg/ml1.790(1.300-3.160)2.330(1.780-3.150)2.760(2.530-3.020)0.558  
IL-1β, pg/ml0.000(0.000-0.000)0.134(0.092-0.292)0.000(0.000-0.000) 0.0000310a 0.00284a 0.000706a
IL-18, pg/ml154(126-214)155(132-191)324(219-991)0.146  
IL-8, pg/ml232(144-315)155(101-263)134(87-311)0.584  
IL-6, pg/ml1.180(0.812-2.130)0.495(0.425-0.775)1.420(0.692-2.220)0.0131a0.0128a0.105
QFPD-induced innate cytokine index, pg3/ml31,760(680-3,550)12,300(5,440-42,200)2,780(940-9,820)0.0173a0.0138a0.474

[i] Data are presented as the median (IQR) and were analyzed using the Friedman test followed by the Nemenyi post hoc test.

[ii] aP<0.05. TNF, tumor necrosis factor; IL, interleukin; IQR, interquartile range; QFPD, Qingfei Paidu decoction.

By contrast, oral intake of B. longum induced a significant decrease in plasma IL-1β [median (IQR), 0.134 (0.092-0.292) vs. 0.000 (0.000-0.000) pg/ml; P=0.0000310 after Friedman test; P=0.000706 after Nemenyi post hoc test]; however, the QICI value did not change significantly [mean fold change, 2-fold; median (IQR), 12,300 (5,440-42,200) vs. 2,780 (940-9,820); P=0.0173 after Friedman test; P=0.474 after Nemenyi post hoc test]. The QICI values increased in 8 of 18 subjects (44.4%), but the fold changes were markedly lower (1-9-fold; mean fold change, 3-fold; Fig. 2B) than those obtained during the L. plantarum session. The present results suggested that orally administered L. plantarum induced an in vivo cytokine change similar to that induced by oral QFPD in a previous experiment (51).

L. plantarum ingestion also caused a minor but significant change the mean corpuscular hemoglobin concentration [median (IQR), 33.3 (32.4-33.9) vs. 32.6 (32.1-33.1)%; P=0.00456 after Friedman test; P=0.00836 after Nemenyi post hoc test] (Table SII). No significant changes in the hematological parameters were observed during the B. longum session (Table SII).

The post hoc two-tailed power analysis revealed that satisfactory effect sizes were obtained [0.845 (QICI in the L. plantarum session)-1.20 (IL-1β in the B. longum session)], as well as statistical powers [0.908 (QICI in the L. plantarum session)-0.996 (IL-1β in the B. longum session)] after completion of the trial (Table SIII).

Effects of L. plantarum ingestion on the innate immune cell activity

Subsequently, the present study examined whether the L. plantarum-induced cytokine changes (increase in the QICI score) led to the increased activity of innate immune cells. L. plantarum ingestion significantly enhanced the activity of NK cells, which are key effectors of antiviral innate immunity that directly attack virus-infected host cells (Table II; Fig. 3A) (77,78). By contrast, B. longum ingestion significantly promoted the phagocytic activity of neutrophils (Table II; Fig. 3B). Neither L. plantarum nor B. longum ingestion activated macrophages, as assessed by the serum neopterin levels (Table II; Fig. 3C). The present results further supported the immunological benefits of L. plantarum and B. longum against viral infection.

Figure 3

Effects of L. plantarum or B. longum ingestion on the innate immune cell activity. (A) NK cell activity before (pre) and after (post) the L. plantarum or B. longum ingestion. (B) Phagocytic activity of neutrophils. Representative flow cytometry plots are presented in the upper panels. The vertical and horizontal axes are SSC and FSC, respectively. Areas surrounded by black lines represent granulocyte populations characterized as medium FSC/high SSC (granulocyte gating). Histograms of fluorescence intensities of the granulocytes separated by the granulocyte gating are presented in the lower panels. The vertical and horizontal axes demonstrate cell count and fluorescence intensity, respectively. A black vertical line in each histogram indicates the threshold of fluorescence-positive granulocytes (granulocytes that phagocytosed the fluorescent microbeads). The phagocytic activity was calculated as the ratio of fluorescence-positive granulocytes to the total count of granulocytes and presented in the upper right corner of each histogram. (C) Macrophage activity. The serum levels of neopterin, an activation marker of monocytes and macrophages, were determined using reverse-phase high-performance liquid chromatography. Representative chromatograms are presented. The vertical and horizontal axes show the intensity of native fluorescence of neopterin and retention time, respectively. NK, natural killer; L. plantarum, Lactobacillus plantarum; B. longum, Bifidobacterium longum; FSC, forward scatter; SSC, side scatter.

Table II

Effects of Lactobacillus plantarum and Bifidobacterium longum ingestion on the activity of innate immune cells.

Table II

Effects of Lactobacillus plantarum and Bifidobacterium longum ingestion on the activity of innate immune cells.

 Lactobacillus plantarumBifidobacterium longum
Activities of innate immune cellsBaseline, mean ± SEMPost-ingestion, mean ± SEMP-value95% CIBaseline, mean ± SEMPost-ingestion, mean ± SEMP-value95% CI
Phagocytic activity of neutrophils, %54.50±4.3957.80±4.470.512-9.28-15.8050.90±4.8057.00±5.220.0154a1.90-10.20
Natural killer cell activity, %15.60±2.6030.00±4.17 0.00776b6.32-22.5024.80±4.1138.40±5.130.125-5.91-33.10
Macrophage activity, pmol/ml3.80±0.343.00±0.280.178-2.16-0.564.20±0.344.00±0.280.374-0.76-0.36

[i] aP<0.05 and

[ii] bP<0.01, analyzed using two-tailed paired Student's t-test. SEM, standard error of the mean; 95% CI, 95% confidence interval for the difference between two sample means.

Discussion

A large body of evidence has suggested that L. plantarum strengthens several aspects of the host defense mechanism against the infection by respiratory viruses, particularly seasonal and highly pathogenic influenza viruses. For example, oral administration of L. plantarum in mice significantly suppressed viral replication in the lungs and reduced airway inflammation, thereby increasing survival rates (33-39). The underlying immunological effects are known to be diverse, including stimulation of type I IFN production (37,39), enhancement of NK cell activity (36,39), promotion of T helper type 1 cell-mediated immune responses (33,34,39) and activation of IgA-dependent mucosal immunity in the small intestine and lung (34,35). Similarly, randomized controlled trials have demonstrated that oral intake of L. plantarum reduced the risk of upper/lower respiratory tract infection and alleviated the respiratory symptoms of infected patients (30,79). The protective efficacy is associated with enhancement of the phagocytic activity of granulocytes, reduction of the plasma proinflammatory cytokines IFN-γ and TNF-α, elevation of the anti-inflammatory cytokines IL-4 and IL-10, activation of CD8+ T cells and induction of the specific secretory IgA neutralizing antibodies in the bronchoalveolar lavage fluid (BALF) and sera (30,31).

In line with the wide variety of immunomodulatory abilities of L. plantarum, the SNK12 strain was indicated to exhibit protective effects against influenza A virus subtype H1N1 (57,58). The SNK12 strain has been isolated from traditional non-salted pickles of autochthonous red turnip that have been produced in the Kiso area of Nagano prefecture in Japan for >400 years (80). Recent animal studies demonstrated that oral administration of L. plantarum strain SNK12 to mice before influenza viral challenge suppressed the viral load in the BALF and lung, induced a higher titer of neutralizing antibodies in the BALF and sera and higher levels of specific IgA in BALF and feces compared with control mice and mice treated with the anti-influenza drug oseltamivir (57,58).

The present study revealed that L. plantarum SNK12 could also upregulate a subset of proinflammatory cytokines, as assessed both in vitro and in humans. This immunomodulatory effect is likely contradictory to its potential for clinical benefits against the influenza virus, since the patients present with a broad range of inflammatory symptoms. However, it is notable that acute, low-grade inflammation is a physiological basis for early stages of host defense mechanisms and has been demonstrated to serve a protective role against viral infection. Kechaou et al (32) demonstrated that a proinflammatory L. plantarum strain with superior ability to stimulate the production of IL-8 and IL-12 markedly inhibited viral proliferation in the lung and alleviated clinical symptoms in mice when orally administered before or after influenza virus challenge. Furthermore, Park et al (33) revealed that ingestion by mice of a probiotic L. plantarum strain conferred protection against influenza virus by elevating both IL-12 and IFN-γ levels in the BALF and inducing low-grade inflammation.

QFPD consists of 21 traditional Chinese herbs optimized specifically against the symptoms of COVID-19(43). QFPD has demonstrated satisfactory therapeutic benefits in patients with mild-to-severe disease in clinical trials in China (46-50) and has been recommended officially for the treatment of COVID-19(43). Our recent clinical study indicated that oral QFPD upregulated the blood levels of TNF-α, IL-1β, IL-18 and IL-8, which are key mediators of innate immune responses to viral infection (51). TNF-α, IL-1β and IL-18 are induced directly by toll like receptor (TLR)7/TLR8 and NLR family pyrin domain containing 3 (NLRP3), foreign single-stranded RNA (ssRNA) sensors in dendritic cells and macrophages (81-83). These ‘immediate-early’ cytokines initiate and coordinate a broad spectrum of downstream antiviral immune cascades (81-83). Notably, recent metagenomics studies demonstrated that the TLR7/8- and NLRP3/inflammasome-mediated inflammatory pathways are strongly suppressed in the upper airway of patients with COVID-19 and those non-responsive to SARS-CoV-2 infection early in the course of the disease (84,85). These findings highlight the importance of the active TLR7/8- and NLRP3-driven inflammatory pathways in the early stages of anti-SARS-CoV-2 immunity. We hypothesized that QFPD, which mimics the blood cytokine environment produced by TLR7/8- and NLRP3-driven early innate immune responses to ssRNA viruses, may be effective in preventing SARS-CoV-2 infection (51). The present study suggested that L. plantarum, which can stimulate innate cytokine changes similar to those induced by oral QFPD, may also potentially provide a protective benefit against COVID-19.

IL-6 serves key roles in complex immune dysregulation and systemic hyperinflammation, which are hallmarks of severe COVID-19, and IL-6 blood level has been associated with COVID-19 severity and mortality (54-56). The production of IL-6 and TNF-α is stimulated directly by common TLR7/8-driven intracellular signaling in response to ssRNA viruses (81-83). However, L. plantarum ingestion significantly increased the plasma level of TNF-α, whereas it downregulated IL-6 plasma level in the present trial. Although the mechanism of this opposite effect remains unknown, the ability of L. plantarum to reduce blood IL-6 may be indicative of its prophylactic administration to uninfected individuals.

Recent transcriptomic studies have demonstrated that exhausted NK cell responses determine severity and fatality of COVID-19. Liu et al (86) have identified IL-15-mediated attenuated inflammation in NK cells as being primarily associated with COVID-19 severity. A study by Sahoo et al (87) has also highlighted that IL15-mediated NK cell exhaustion, senescence and apoptosis are important determinants for severe/fatal COVID-19. L. plantarum-induced activation of NK cells may therefore be efficacious as an adjunctive therapy to improve NK cell exhaustion and dysfunction in severe or fatal COVID-19.

The main limitations of the current study are the small number of participants, the selection of uninfected individuals as subjects and a female-biased gender ratio in the subjects. Further clinical studies with larger cohorts are required to confirm the conclusions and determine generalizability. The uninfected subjects employed were healthy, in order to examine the feasibility of prophylactic, daily use of L. plantarum. As a result, no chest CT images of the subjects were obtained. Additional studies are essential to clarify whether L. plantarum can induce the similar cytokine changes and improve chest CT findings in patients with COVID-19. Further studies are also required to identify probiotic strains with the ability to strengthen innate immunity by inducing moderate physiological inflammation. In addition, in the control session using B. longum (day 15-21), blood samples were obtained at day 8 as baseline, not at day 14. Since the plasma IL-1β and IL-6 levels had been up- or down-regulated by L. plantarum by day 8, it is not possible to exclude the possibility that the IL-1β and IL-6 levels were spontaneously restored to the day 0 levels during days 8-22 without the effects of B. longum. Similarly, there was a significant increase in the QICI in the L. plantarum session (Table I, comparison between day 0 and day 8), whereas no significant change in the QICI was observed in the B. longum session (comparison between day 8 and day 22). B. longum sustained the QICI score that had been upregulated by L. plantarum. Therefore, it cannot be excluded either that B. longum also had positive effects on the QICI score in vivo.

Considering the recent emergence of novel SARS-CoV-2 variants with relevant mutations that potentially affect the efficacy of vaccines and therapeutic antibodies, there is an increasing need to prepare diverse prophylactic and therapeutic options against COVID-19. The present study indicated that L. plantarum exhibited a superior ability to mimic inflammatory innate cytokine responses essential for early stages of host defense mechanism against viral infection. Daily consumption of probiotic L. plantarum strains may be a reasonably safe, cost-effective and viable option to protect uninfected individuals against SARS-CoV-2 infection during the pandemic.

Supplementary Material

In vitro cytokine response assay.
Hematological changes in Lactobacillus plantarum- and Bifidobacterium longum-administered subjects.
Two-tailed post hoc power analysis (α=0.05; n=18).

Acknowledgements

Not applicable.

Funding

No funding was received.

Availability of data and materials

The datasets used and/or analyzed during the current study are available from the corresponding author on reasonable request.

Authors' contributions

YK, YN, TE, TA and TN conceived the study. YK, YN, TE, TA and TN developed the methodology. TN performed formal analysis. YK, KA, KY and TE performed/interpreted the experiments. YK, KA, KY and TE provided resources. YK and TE curated data. TN wrote the original draft. YK, YN, KA, KY, TE and TA reviewed and edited the manuscript. TN was involved in visualization. YK, YN, TA and TN supervised the study. YK, KA and TE were involved in project administration. YK, TE and TN confirm the authenticity of all the raw data. All authors have read and approved the final manuscript.

Ethics approval and consent to participate

The present study was carried out in accordance with The Code of Ethics of the World Medical Association (The Declaration of Helsinki). All procedures were reviewed and approved by the Ethics Committees of Takanawa Clinic (approval nos. 2016-3, 20 December 2016 and 2020-2, 7 May 2020; Tokyo, Japan). A signed informed consent form was obtained from each participant prior to inclusion in the present study.

Patient consent for publication

Not applicable.

Competing interests

YK, KA, KY and TE are employees of Takanawa Clinic. TA and TN serve as research advisors to Takanawa Clinic and receive advisory fees.

References

1 

Lukassen S, Chua RL, Trefzer T, Kahn NC, Schneider MA, Muley T, Winter H, Meister M, Veith C, Boots AW, et al: SARS-CoV-2 receptor ACE2 and TMPRSS2 are primarily expressed in bronchial transient secretory cells. EMBO J. 39(e105114)2020.PubMed/NCBI View Article : Google Scholar

2 

Sungnak W, Huang N, Bécavin C, Berg M, Queen R, Litvinukova M, Talavera-López C, Maatz H, Reichart D, Sampaziotis F, et al: SARS-CoV-2 entry factors are highly expressed in nasal epithelial cells together with innate immune genes. Nat Med. 26:681–687. 2020.PubMed/NCBI View Article : Google Scholar

3 

Ziegler CGK, Allon SJ, Nyquist SK, Mbano IM, Miao VN, Tzouanas CN, Cao Y, Yousif AS, Bals J, Hauser BM, et al: SARS-CoV-2 receptor ACE2 is an interferon-stimulated gene in human airway epithelial cells and is detected in specific cell subsets across tissues. Cell. 181:1016–1035.e19. 2020.PubMed/NCBI View Article : Google Scholar

4 

Lee JJ, Kopetz S, Vilar E, Shen JP, Chen K and Maitra A: Relative abundance of SARS-CoV-2 entry genes in the enterocytes of the lower gastrointestinal tract. Genes (Basel). 11(645)2020.PubMed/NCBI View Article : Google Scholar

5 

Zang R, Gomez Castro MF, McCune BT, Zeng Q, Rothlauf PW, Sonnek NM, Liu Z, Brulois KF, Wang X, Greenberg HB, et al: TMPRSS2 and TMPRSS4 promote SARS-CoV-2 infection of human small intestinal enterocytes. Sci Immunol. 5(eabc3582)2020.PubMed/NCBI View Article : Google Scholar

6 

Lamers MM, Beumer J, van der Vaart J, Knoops K, Puschhof J, Breugem TI, Ravelli RBG, Paul van Schayck J, Mykytyn AZ, Duimel HQ, et al: SARS-CoV-2 productively infects human gut enterocytes. Science. 369:50–54. 2020.PubMed/NCBI View Article : Google Scholar

7 

Xiao F, Tang M, Zheng X, Liu Y, Li X and Shan H: Evidence for gastrointestinal infection of SARS-CoV-2. Gastroenterology. 158:1831–1833.e3. 2020.PubMed/NCBI View Article : Google Scholar

8 

Zhou J, Li C, Liu X, Chiu MC, Zhao X, Wang D, Wei Y, Lee A, Zhang AJ, Chu H, et al: Infection of bat and human intestinal organoids by SARS-CoV-2. Nat Med. 26:1077–1083. 2020.PubMed/NCBI View Article : Google Scholar

9 

Chen Y, Chen L, Deng Q, Zhang G, Wu K, Ni L, Yang Y, Liu B, Wang W, Wei C, et al: The presence of SARS-CoV-2 RNA in the feces of COVID-19 patients. J Med Virol. 92:833–840. 2020.PubMed/NCBI View Article : Google Scholar

10 

Kipkorir V, Cheruiyot I, Ngure B, Misiani M and Munguti J: Prolonged SARS-CoV-2 RNA detection in anal/rectal swabs and stool specimens in COVID-19 patients after negative conversion in nasopharyngeal RT-PCR test. J Med Virol. 92:2328–2331. 2020.PubMed/NCBI View Article : Google Scholar

11 

Wu Y, Guo C, Tang L, Hong Z, Zhou J, Dong X, Yin H, Xiao Q, Tang Y, Qu X, et al: Prolonged presence of SARS-CoV-2 viral RNA in faecal samples. Lancet Gastroenterol Hepatol. 5:434–435. 2020.PubMed/NCBI View Article : Google Scholar

12 

Gu J, Han B and Wang J: COVID-19: Gastrointestinal manifestations and potential fecal-oral transmission. Gastroenterology. 158:1518–1519. 2020.PubMed/NCBI View Article : Google Scholar

13 

Wong SH, Lui RN and Sung JJ: Covid-19 and the digestive system. J Gastroenterol Hepatol. 35:744–748. 2020.PubMed/NCBI View Article : Google Scholar

14 

Yang L and Tu L: Implications of gastrointestinal manifestations of COVID-19. Lancet Gastroenterol Hepatol. 5:629–630. 2020.PubMed/NCBI View Article : Google Scholar

15 

Budden KF, Gellatly SL, Wood DL, Cooper MA, Morrison M, Hugenholtz P and Hansbro PM: Emerging pathogenic links between microbiota and the gut-lung axis. Nat Rev Microbiol. 15:55–63. 2017.PubMed/NCBI View Article : Google Scholar

16 

Dumas A, Bernard L, Poquet Y, Lugo-Villarino G and Neyrolles O: The role of the lung microbiota and the gut-lung axis in respiratory infectious diseases. Cell Microbiol. 20(e12966)2018.PubMed/NCBI View Article : Google Scholar

17 

Zhang D, Li S, Wang N, Tan HY, Zhang Z and Feng Y: The cross-talk between gut microbiota and lungs in common lung diseases. Front Microbiol. 11(301)2020.PubMed/NCBI View Article : Google Scholar

18 

Gu S, Chen Y, Wu Z, Chen Y, Gao H, Lv L, Guo F, Zhang X, Luo R, Huang C, et al: Alterations of the gut microbiota in patients with coronavirus disease 2019 or H1N1 influenza. Clin Infect Dis. 71:2669–2678. 2020.PubMed/NCBI View Article : Google Scholar

19 

Gou W, Fu Y, Yue L, Chen GD, Cai X, Shuai M, Xu F, Yi X, Chen H, Zhu Y, et al: Gut microbiota may underlie the predisposition of healthy individuals to COVID-19. J Genet Genomics. 48:792–802. 2021.

20 

Zuo T, Liu Q, Zhang F, Lui GC, Tso EY, Yeoh YK, Chen Z, Boon SS, Chan FK, Chan PK, et al: Depicting SARS-CoV-2 faecal viral activity in association with gut microbiota composition in patients with COVID-19. Gut. 70:276–284. 2021.PubMed/NCBI View Article : Google Scholar

21 

Zuo T, Zhang F, Lui GCY, Yeoh YK, Li AYL, Zhan H, Wan Y, Chung ACK, Cheung CP, Chen N, et al: Alterations in gut microbiota of patients with COVID-19 during time of hospitalization. Gastroenterology. 159:944–955.e8. 2020.PubMed/NCBI View Article : Google Scholar

22 

Lehtoranta L, Pitkaranta A and Korpela R: Probiotics in respiratory virus infections. Eur J Clin Microbiol Infect Dis. 33:1289–1302. 2014.PubMed/NCBI View Article : Google Scholar

23 

Lei WT, Shih PC, Liu SJ, Lin CY and Yeh TL: Effect of probiotics and prebiotics on immune response to influenza vaccination in adults: A systematic review and meta-analysis of randomized controlled trials. Nutrients. 9(1175)2017.PubMed/NCBI View Article : Google Scholar

24 

Luoto R, Ruuskanen O, Waris M, Kalliomaki M, Salminen S and Isolauri E: Prebiotic and probiotic supplementation prevents rhinovirus infections in preterm infants: A randomized, placebo-controlled trial. J Allergy Clin Immunol. 133:405–413. 2014.PubMed/NCBI View Article : Google Scholar

25 

Turner RB, Woodfolk JA, Borish L, Steinke JW, Patrie JT, Muehling LM, Lahtinen S and Lehtinen MJ: Effect of probiotic on innate inflammatory response and viral shedding in experimental rhinovirus infection-a randomised controlled trial. Benef Microbes. 8:207–215. 2017.PubMed/NCBI View Article : Google Scholar

26 

Yeh TL, Shih PC, Liu SJ, Lin CH, Liu JM, Lei WT and Lin CY: The influence of prebiotic or probiotic supplementation on antibody titers after influenza vaccination: A systematic review and meta-analysis of randomized controlled trials. Drug Des Devel Ther. 12:217–230. 2018.PubMed/NCBI View Article : Google Scholar

27 

Blanco-Melo D, Nilsson-Payant BE, Liu WC, Uhl S, Hoagland D, Møller R, Jordan TX, Oishi K, Panis M, Sachs D, et al: Imbalanced host response to SARS-CoV-2 drives development of COVID-19. Cell. 181:1036–1045.e9. 2020.PubMed/NCBI View Article : Google Scholar

28 

Cao X: COVID-19: Immunopathology and its implications for therapy. Nat Rev Immunol. 20:269–270. 2020.PubMed/NCBI View Article : Google Scholar

29 

Giamarellos-Bourboulis EJ, Netea MG, Rovina N, Akinosoglou K, Antoniadou A, Antonakos N, Damoraki G, Gkavogianni T, Adami ME, Katsaounou P, et al: Complex immune dysregulation in COVID-19 patients with severe respiratory failure. Cell Host Microbe. 27:992–1000.e3. 2020.PubMed/NCBI View Article : Google Scholar

30 

Chong HX, Yusoff NAA, Hor YY, Lew LC, Jaafar MH, Choi SB, Yusoff MSB, Wahid N, Abdullah MFIL, Zakaria N, et al: Lactobacillus plantarum DR7 improved upper respiratory tract infections via enhancing immune and inflammatory parameters: A randomized, double-blind, placebo-controlled study. J Dairy Sci. 102:4783–4797. 2019.PubMed/NCBI View Article : Google Scholar

31 

Rask C, Adlerberth I, Berggren A, Ahren IL and Wold AE: Differential effect on cell-mediated immunity in human volunteers after intake of different lactobacilli. Clin Exp Immunol. 172:321–332. 2013.PubMed/NCBI View Article : Google Scholar

32 

Kechaou N, Chain F, Gratadoux JJ, Blugeon S, Bertho N, Chevalier C, Le Goffic R, Courau S, Molimard P, Chatel JM, et al: Identification of one novel candidate probiotic Lactobacillus plantarum strain active against influenza virus infection in mice by a large-scale screening. Appl Environ Microbiol. 79:1491–1499. 2013.PubMed/NCBI View Article : Google Scholar

33 

Park MK, Ngo V, Kwon YM, Lee YT, Yoo S, Cho YH, Hong SM, Hwang HS, Ko EJ, Jung YJ, et al: Lactobacillus plantarum DK119 as a probiotic confers protection against influenza virus by modulating innate immunity. PLoS One. 8(e75368)2013.PubMed/NCBI View Article : Google Scholar

34 

Kawashima T, Hayashi K, Kosaka A, Kawashima M, Igarashi T, Tsutsui H, Tsuji NM, Nishimura I, Hayashi T and Obata A: Lactobacillus plantarum strain YU from fermented foods activates Th1 and protective immune responses. Int Immunopharmacol. 11:2017–2024. 2011.PubMed/NCBI View Article : Google Scholar

35 

Kikuchi Y, Kunitoh-Asari A, Hayakawa K, Imai S, Kasuya K, Abe K, Adachi Y, Fukudome S, Takahashi Y and Hachimura S: Oral administration of Lactobacillus plantarum strain AYA enhances IgA secretion and provides survival protection against influenza virus infection in mice. PLoS One. 9(e86416)2014.PubMed/NCBI View Article : Google Scholar

36 

Kim DH, Chung WC, Chun SH, Han JH, Song MJ and Lee KW: Enhancing the natural killer cell activity and anti-influenza effect of heat-treated Lactobacillus plantarum nF1-fortified yogurt in mice. J Dairy Sci. 101:10675–10684. 2018.PubMed/NCBI View Article : Google Scholar

37 

Maeda N, Nakamura R, Hirose Y, Murosaki S, Yamamoto Y, Kase T and Yoshikai Y: Oral administration of heat-killed Lactobacillus plantarum L-137 enhances protection against influenza virus infection by stimulation of type I interferon production in mice. Int Immunopharmacol. 9:1122–1125. 2009.PubMed/NCBI View Article : Google Scholar

38 

Park S, Kim JI, Bae JY, Yoo K, Kim H, Kim IH, Park MS and Lee I: Effects of heat-killed Lactobacillus plantarum against influenza viruses in mice. J Microbiol. 56:145–149. 2018.PubMed/NCBI View Article : Google Scholar

39 

Takeda S, Takeshita M, Kikuchi Y, Dashnyam B, Kawahara S, Yoshida H, Watanabe W, Muguruma M and Kurokawa M: Efficacy of oral administration of heat-killed probiotics from Mongolian dairy products against influenza infection in mice: Alleviation of influenza infection by its immunomodulatory activity through intestinal immunity. Int Immunopharmacol. 11:1976–1983. 2011.PubMed/NCBI View Article : Google Scholar

40 

Kawahara T, Takahashi T, Oishi K, Tanaka H, Masuda M, Takahashi S, Takano M, Kawakami T, Fukushima K, Kanazawa H and Suzuki T: Consecutive oral administration of Bifidobacterium longum MM-2 improves the defense system against influenza virus infection by enhancing natural killer cell activity in a murine model. Microbiol Immunol. 59:1–12. 2015.PubMed/NCBI View Article : Google Scholar

41 

Namba K, Hatano M, Yaeshima T, Takase M and Suzuki K: Effects of Bifidobacterium longum BB536 administration on influenza infection, influenza vaccine antibody titer, and cell-mediated immunity in the elderly. Biosci Biotechnol Biochem. 74:939–945. 2010.PubMed/NCBI View Article : Google Scholar

42 

Sugimura T, Takahashi H, Jounai K, Ohshio K, Kanayama M, Tazumi K, Tanihata Y, Miura Y, Fujiwara D and Yamamoto N: Effects of oral intake of plasmacytoid dendritic cells-stimulative lactic acid bacterial strain on pathogenesis of influenza-like illness and immunological response to influenza virus. Br J Nutr. 114:727–733. 2015.PubMed/NCBI View Article : Google Scholar

43 

Shi HY, Zhu X, Li WL, Mak JWY, Wong SH, Zhu ST, Guo SL, Chan FKL, Zhang ST and Ng SC: Modulation of gut microbiota protects against viral respiratory tract infections: A systematic review of animal and clinical studies. Eur J Nutr: Apr 14, 2021 (Epub ahead of print).

44 

Wang F, Pan B, Xu S, Xu Z, Zhang T, Zhang Q, Bao Y, Wang Y, Zhang J, Xu C and Xue X: A meta-analysis reveals the effectiveness of probiotics and prebiotics against respiratory viral infection. Biosci Rep. 41(BSR20203638)2021.PubMed/NCBI View Article : Google Scholar

45 

Wei PF (ed): Diagnosis and Treatment Protocol for Novel Coronavirus Pneumonia (Trial Version 7). Chin Med J (Engl). 133:1087–1095. 2020.PubMed/NCBI View Article : Google Scholar

46 

Cao P, Wu S, Wu T, Deng Y, Zhang Q, Wang K and Zhang Y: The important role of polysaccharides from a traditional Chinese medicine-Lung cleansing and detoxifying decoction against the COVID-19 pandemic. Carbohydr Polym. 240(116346)2020.PubMed/NCBI View Article : Google Scholar

47 

Shi N, Liu B, Liang N, Ma Y, Ge Y, Yi H, Wo H, Gu H, Kuang Y, Tang S, et al: Association between early treatment with Qingfei Paidu decoction and favorable clinical outcomes in patients with COVID-19: A retrospective multicenter cohort study. Pharmacol Res. 161(105290)2020.PubMed/NCBI View Article : Google Scholar

48 

Zhao ZH, Zhou Y, Li WH, Huang QS, Tang ZH and Li H: Analysis of traditional Chinese medicine diagnosis and treatment strategies for COVID-19 based on ‘The Diagnosis and Treatment Program for Coronavirus Disease-2019’ from Chinese Authority. Am J Chin Med. 48:1035–1049. 2020.PubMed/NCBI View Article : Google Scholar

49 

Zhong LLD, Lam WC, Yang W, Chan KW, Sze SCW, Miao J, Yung KKL, Bian Z and Wong VT: Potential targets for treatment of coronavirus disease 2019 (COVID-19): A review of Qing-Fei-Pai-Du-Tang and its major herbs. Am J Chin Med. 48:1051–1071. 2020.PubMed/NCBI View Article : Google Scholar

50 

Xin S, Cheng X, Zhu B, Liao X, Yang F, Song L, Shi Y, Guan X, Su R, Wang J, et al: Clinical retrospective study on the efficacy of Qingfei Paidu decoction combined with Western medicine for COVID-19 treatment. Biomed Pharmacother. 129(110500)2020.PubMed/NCBI View Article : Google Scholar

51 

Kageyama Y, Aida K, Kawauchi K, Morimoto M, Ebisui T, Akiyama T and Nakamura T: Qingfei Paidu decoction, a Chinese herbal medicine against COVID-19, elevates the blood levels of pro-inflammatory cytokines: An open-label, single-arm pilot study. World Acad Sci J. 3(25)2021.

52 

Popkin BM, Du S, Green WD, Beck MA, Algaith T, Herbst CH, Alsukait RF, Alluhidan M, Alazemi N and Shekar M: Individuals with obesity and COVID-19: A global perspective on the epidemiology and biological relationships. Obes Rev. 21(e13128)2020.PubMed/NCBI View Article : Google Scholar

53 

Kompaniyets L, Goodman AB, Belay B, Freedman DS, Sucosky MS, Lange SJ, Gundlapalli AV, Boehmer TK and Blanck HM: Body mass index and risk for COVID-19-related hospitalization, intensive care unit admission, invasive mechanical ventilation, and Death-United States, march-december 2020. MMWR Morb Mortal Wkly Rep. 70:355–361. 2021.PubMed/NCBI View Article : Google Scholar

54 

Elshazli RM, Toraih EA, Elgaml A, El-Mowafy M, El-Mesery M, Amin MN, Hussein MH, Killackey MT, Fawzy MS and Kandil E: Diagnostic and prognostic value of hematological and immunological markers in COVID-19 infection: A meta-analysis of 6320 patients. PLoS One. 15(e0238160)2020.PubMed/NCBI View Article : Google Scholar

55 

Mesas AE, Cavero-Redondo I, Álvarez-Bueno C, Sarriá Cabrera MA, Maffei de Andrade S, Sequí-Dominguez I and Martínez-Vizcaíno V: Predictors of in-hospital COVID-19 mortality: A comprehensive systematic review and meta-analysis exploring differences by age, sex and health conditions. PLoS One. 15(e0241742)2020.PubMed/NCBI View Article : Google Scholar

56 

Zhang X, Tan Y, Ling Y, Lu G, Liu F, Yi Z, Jia X, Wu M, Shi B, Xu S, et al: Viral and host factors related to the clinical outcome of COVID-19. Nature. 583:437–440. 2020.PubMed/NCBI View Article : Google Scholar

57 

Okumura A, Watanabe T, Hayashi K and Yoshida H: Oral administration of distribution-processed Lactobacillus plantarum strain SNK12 protects against influenza virus infection. Jpn Pharmacol Ther. 47:1607–1612. 2019.

58 

Watanabe T, Hayashi K, Kan T, Ohwaki M and Kawahara T: Anti-influenza virus effects of Enterococcus faecalis KH2 and Lactobacillus plantarum SNK12 RNA. Biosci Microbiota Food Health. 40:43–49. 2021.PubMed/NCBI View Article : Google Scholar

59 

Xiao JZ, Kondo S, Yanagisawa N, Miyaji K, Enomoto K, Sakoda T, Iwatsuki K and Enomoto T: Clinical efficacy of probiotic Bifidobacterium longum for the treatment of symptoms of Japanese cedar pollen allergy in subjects evaluated in an environmental exposure unit. Allergol Int. 56:67–75. 2007.PubMed/NCBI View Article : Google Scholar

60 

Xiao JZ, Kondo S, Yanagisawa N, Takahashi N, Odamaki T, Iwabuchi N, Iwatsuki K, Kokubo S, Togashi H, Enomoto K and Enomoto T: Effect of probiotic Bifidobacterium longum BB536 [corrected] in relieving clinical symptoms and modulating plasma cytokine levels of Japanese cedar pollinosis during the pollen season. A randomized double-blind, placebo-controlled trial. J Investig Allergol Clin Immunol. 16:86–93. 2006.PubMed/NCBI

61 

Iwabuchi N, Xiao JZ, Yaeshima T and Iwatsuki K: Oral administration of Bifidobacterium longum ameliorates influenza virus infection in mice. Biol Pharm Bull. 34:1352–1355. 2011.PubMed/NCBI View Article : Google Scholar

62 

Lau AS, Yanagisawa N, Hor YY, Lew LC, Ong JS, Chuah LO, Lee YY, Choi SB, Rashid F, Wahid N, et al: Bifidobacterium longum BB536 alleviated upper respiratory illnesses and modulated gut microbiota profiles in Malaysian pre-school children. Benef Microbes. 9:61–70. 2018.PubMed/NCBI View Article : Google Scholar

63 

Odamaki T, Sugahara H, Yonezawa S, Yaeshima T, Iwatsuki K, Tanabe S, Tominaga T, Togashi H, Benno Y and Xiao JZ: Effect of the oral intake of yogurt containing Bifidobacterium longum BB536 on the cell numbers of enterotoxigenic Bacteroides fragilis in microbiota. Anaerobe. 18:14–18. 2012.PubMed/NCBI View Article : Google Scholar

64 

Odamaki T, Xiao JZ, Iwabuchi N, Sakamoto M, Takahashi N, Kondo S, Miyaji K, Iwatsuki K, Togashi H, Enomoto T and Benno Y: Influence of Bifidobacterium longum BB536 intake on faecal microbiota in individuals with Japanese cedar pollinosis during the pollen season. J Med Microbiol. 56:1301–1308. 2007.PubMed/NCBI View Article : Google Scholar

65 

Holvoet S, Zuercher AW, Julien-Javaux F, Perrot M and Mercenier A: Characterization of candidate anti-allergic probiotic strains in a model of th2-skewed human peripheral blood mononuclear cells. Int Arch Allergy Immunol. 161:142–154. 2013.PubMed/NCBI View Article : Google Scholar

66 

Medina M, Izquierdo E, Ennahar S and Sanz Y: Differential immunomodulatory properties of Bifidobacterium logum strains: Relevance to probiotic selection and clinical applications. Clin Exp Immunol. 150:531–538. 2007.PubMed/NCBI View Article : Google Scholar

67 

Niers LE, Timmerman HM, Rijkers GT, van Bleek GM, van Uden NO, Knol EF, Kapsenberg ML, Kimpen JL and Hoekstra MO: Identification of strong interleukin-10 inducing lactic acid bacteria which down-regulate T helper type 2 cytokines. Clin Exp Allergy. 35:1481–1489. 2005.PubMed/NCBI View Article : Google Scholar

68 

Hoffmann G, Wirleitner B and Fuchs D: Potential role of immune system activation-associated production of neopterin derivatives in humans. Inflamm Res. 52:313–321. 2003.PubMed/NCBI View Article : Google Scholar

69 

Gieseg SP, Baxter-Parker G and Lindsay A: Neopterin, inflammation, and Oxidative Stress: What could we be missing? Antioxidants (Basel). 7(80)2018.PubMed/NCBI View Article : Google Scholar

70 

Hausen A, Fuchs D, König K and Wachter H: Determination of neopterine in human urine by reversed-phase high-performance liquid chromatography. J Chromatogr. 227:61–70. 1982.PubMed/NCBI View Article : Google Scholar

71 

Gleiss A, Sanchez-Cabo F, Perco P, Tong D and Heinze G: Adaptive trimmed t-statistics for identifying predominantly high expression in a microarray experiment. Stat Med. 30:52–61. 2011.PubMed/NCBI View Article : Google Scholar

72 

Krzywinski M and Altman N: Visualizing samples with box plots. Nat Methods. 11:119–120. 2014.PubMed/NCBI View Article : Google Scholar

73 

Domthong U, Parikh CR, Kimmel PL and Chinchilli VM: Assessment, Serial Evaluation, Subsequent Sequelae of Acute Kidney Injury Consortium. Assessing the agreement of biomarker data in the presence of left-censoring. BMC Nephrol. 15(144)2014.PubMed/NCBI View Article : Google Scholar

74 

Yu X, Lakerveld AJ, Imholz S, Hendriks M, Ten Brink SCA, Mulder HL, de Haan K, Schepp RM, Luytjes W, de Jong MD, et al: Antibody and local cytokine response to respiratory syncytial virus infection in community-dwelling older adults. mSphere. 5:e00577–20. 2020.PubMed/NCBI View Article : Google Scholar

75 

Kanda Y: Investigation of the freely available easy-to-use software ‘EZR’ for medical statistics. Bone Marrow Transplant. 48:452–458. 2013.PubMed/NCBI View Article : Google Scholar

76 

Faul F, Erdfelder E, Lang AG and Buchner A: G*Power 3: A flexible statistical power analysis program for the social, behavioral, and biomedical sciences. Behav Res Methods. 39:175–191. 2007.PubMed/NCBI View Article : Google Scholar

77 

Waggoner SN, Reighard SD, Gyurova IE, Cranert SA, Mahl SE, Karmele EP, McNally JP, Moran MT, Brooks TR, Yaqoob F, et al: Roles of natural killer cells in antiviral immunity. Curr Opin Virol. 16:15–23. 2016.PubMed/NCBI View Article : Google Scholar

78 

Björkström NK, Strunz B and Ljunggren HG: Natural killer cells in antiviral immunity. Nat Rev Immunol: Jun 11, 2021 (Epub ahead of print).

79 

Berggren A, Lazou Ahren I, Larsson N and Onning G: Randomised, double-blind and placebo-controlled study using new probiotic lactobacilli for strengthening the body immune defence against viral infections. Eur J Nutr. 50:203–210. 2011.PubMed/NCBI View Article : Google Scholar

80 

International Home Medical (IHM): Plant-origin nano-particled (Pro)-Biogenics immunophilus SNK. Plant-origin nano-sized lactic acid bacterium SNK®. IHM Inc., Tolyo, 2021. https://www.ihmg.jp/nyusan_snk_en/. Accessed October 14, 2021.

81 

Chen N, Xia P, Li S, Zhang T, Wang TT and Zhu J: RNA sensors of the innate immune system and their detection of pathogens. IUBMB Life. 69:297–304. 2017.PubMed/NCBI View Article : Google Scholar

82 

Moreno-Eutimio MA, Lopez-Macias C and Pastelin-Palacios R: Bioinformatic analysis and identification of single-stranded RNA sequences recognized by TLR7/8 in the SARS-CoV-2, SARS-CoV, and MERS-CoV genomes. Microbes Infect. 22:226–229. 2020.PubMed/NCBI View Article : Google Scholar

83 

Slaats J, Ten Oever J, van de Veerdonk FL and Netea MG: IL-1β/IL-6/CRP and IL-18/ferritin: Distinct inflammatory programs in infections. PLoS Pathog. 12(e1005973)2016.PubMed/NCBI View Article : Google Scholar

84 

Mick E, Kamm J, Pisco AO, Ratnasiri K, Babik JM, Castañeda G, DeRisi JL, Detweiler AM, Hao SL, Kangelaris KN, et al: Upper airway gene expression reveals suppressed immune responses to SARS-CoV-2 compared with other respiratory viruses. Nat Commun. 11(5854)2020.PubMed/NCBI View Article : Google Scholar

85 

van der Made CI, Simons A, Schuurs-Hoeijmakers J, van den Heuvel G, Mantere T, Kersten S, van Deuren RC, Steehouwer M, van Reijmersdal SV, Jaeger M, et al: Presence of genetic variants among young men with severe COVID-19. JAMA. 324:663–673. 2020.PubMed/NCBI View Article : Google Scholar

86 

Liu C, Martins AJ, Lau WW, Rachmaninoff N, Chen J, Imberti L, Mostaghimi D, Fink DL, Burbelo PD, Dobbs K, et al: Time-resolved systems immunology reveals a late juncture linked to fatal COVID-19. Cell. 184:1836–1857.e22. 2021.PubMed/NCBI View Article : Google Scholar

87 

Sahoo D, Katkar GD, Khandelwal S, Behroozikhah M, Claire A, Castillo V, Tindle C, Fuller M, Taheri S, Rogers TF, et al: AI-guided discovery of the invariant host response to viral pandemics. EBioMedicine. 68(103390)2021.PubMed/NCBI View Article : Google Scholar

Related Articles

  • Abstract
  • View
  • Download
  • Twitter
Copy and paste a formatted citation
Spandidos Publications style
Kageyama Y, Nishizaki Y, Aida K, Yayama K, Ebisui T, Akiyama T and Nakamura T: <em>Lactobacillus plantarum</em> induces innate cytokine responses that potentially provide a protective benefit against COVID‑19: A single‑arm, double‑blind, prospective trial combined with an <em>in vitro</em> cytokine response assay. Exp Ther Med 23: 20, 2022.
APA
Kageyama, Y., Nishizaki, Y., Aida, K., Yayama, K., Ebisui, T., Akiyama, T., & Nakamura, T. (2022). <em>Lactobacillus plantarum</em> induces innate cytokine responses that potentially provide a protective benefit against COVID‑19: A single‑arm, double‑blind, prospective trial combined with an <em>in vitro</em> cytokine response assay. Experimental and Therapeutic Medicine, 23, 20. https://doi.org/10.3892/etm.2021.10942
MLA
Kageyama, Y., Nishizaki, Y., Aida, K., Yayama, K., Ebisui, T., Akiyama, T., Nakamura, T."<em>Lactobacillus plantarum</em> induces innate cytokine responses that potentially provide a protective benefit against COVID‑19: A single‑arm, double‑blind, prospective trial combined with an <em>in vitro</em> cytokine response assay". Experimental and Therapeutic Medicine 23.1 (2022): 20.
Chicago
Kageyama, Y., Nishizaki, Y., Aida, K., Yayama, K., Ebisui, T., Akiyama, T., Nakamura, T."<em>Lactobacillus plantarum</em> induces innate cytokine responses that potentially provide a protective benefit against COVID‑19: A single‑arm, double‑blind, prospective trial combined with an <em>in vitro</em> cytokine response assay". Experimental and Therapeutic Medicine 23, no. 1 (2022): 20. https://doi.org/10.3892/etm.2021.10942
Copy and paste a formatted citation
x
Spandidos Publications style
Kageyama Y, Nishizaki Y, Aida K, Yayama K, Ebisui T, Akiyama T and Nakamura T: <em>Lactobacillus plantarum</em> induces innate cytokine responses that potentially provide a protective benefit against COVID‑19: A single‑arm, double‑blind, prospective trial combined with an <em>in vitro</em> cytokine response assay. Exp Ther Med 23: 20, 2022.
APA
Kageyama, Y., Nishizaki, Y., Aida, K., Yayama, K., Ebisui, T., Akiyama, T., & Nakamura, T. (2022). <em>Lactobacillus plantarum</em> induces innate cytokine responses that potentially provide a protective benefit against COVID‑19: A single‑arm, double‑blind, prospective trial combined with an <em>in vitro</em> cytokine response assay. Experimental and Therapeutic Medicine, 23, 20. https://doi.org/10.3892/etm.2021.10942
MLA
Kageyama, Y., Nishizaki, Y., Aida, K., Yayama, K., Ebisui, T., Akiyama, T., Nakamura, T."<em>Lactobacillus plantarum</em> induces innate cytokine responses that potentially provide a protective benefit against COVID‑19: A single‑arm, double‑blind, prospective trial combined with an <em>in vitro</em> cytokine response assay". Experimental and Therapeutic Medicine 23.1 (2022): 20.
Chicago
Kageyama, Y., Nishizaki, Y., Aida, K., Yayama, K., Ebisui, T., Akiyama, T., Nakamura, T."<em>Lactobacillus plantarum</em> induces innate cytokine responses that potentially provide a protective benefit against COVID‑19: A single‑arm, double‑blind, prospective trial combined with an <em>in vitro</em> cytokine response assay". Experimental and Therapeutic Medicine 23, no. 1 (2022): 20. https://doi.org/10.3892/etm.2021.10942
Follow us
  • Twitter
  • LinkedIn
  • Facebook
About
  • Spandidos Publications
  • Careers
  • Cookie Policy
  • Privacy Policy
How can we help?
  • Help
  • Live Chat
  • Contact
  • Email to our Support Team