Spandidos Publications Logo
  • About
    • About Spandidos
    • Aims and Scopes
    • Abstracting and Indexing
    • Editorial Policies
    • Reprints and Permissions
    • Job Opportunities
    • Terms and Conditions
    • Contact
  • Journals
    • All Journals
    • Oncology Letters
      • Oncology Letters
      • Information for Authors
      • Editorial Policies
      • Editorial Board
      • Aims and Scope
      • Abstracting and Indexing
      • Bibliographic Information
      • Archive
    • International Journal of Oncology
      • International Journal of Oncology
      • Information for Authors
      • Editorial Policies
      • Editorial Board
      • Aims and Scope
      • Abstracting and Indexing
      • Bibliographic Information
      • Archive
    • Molecular and Clinical Oncology
      • Molecular and Clinical Oncology
      • Information for Authors
      • Editorial Policies
      • Editorial Board
      • Aims and Scope
      • Abstracting and Indexing
      • Bibliographic Information
      • Archive
    • Experimental and Therapeutic Medicine
      • Experimental and Therapeutic Medicine
      • Information for Authors
      • Editorial Policies
      • Editorial Board
      • Aims and Scope
      • Abstracting and Indexing
      • Bibliographic Information
      • Archive
    • International Journal of Molecular Medicine
      • International Journal of Molecular Medicine
      • Information for Authors
      • Editorial Policies
      • Editorial Board
      • Aims and Scope
      • Abstracting and Indexing
      • Bibliographic Information
      • Archive
    • Biomedical Reports
      • Biomedical Reports
      • Information for Authors
      • Editorial Policies
      • Editorial Board
      • Aims and Scope
      • Abstracting and Indexing
      • Bibliographic Information
      • Archive
    • Oncology Reports
      • Oncology Reports
      • Information for Authors
      • Editorial Policies
      • Editorial Board
      • Aims and Scope
      • Abstracting and Indexing
      • Bibliographic Information
      • Archive
    • Molecular Medicine Reports
      • Molecular Medicine Reports
      • Information for Authors
      • Editorial Policies
      • Editorial Board
      • Aims and Scope
      • Abstracting and Indexing
      • Bibliographic Information
      • Archive
    • World Academy of Sciences Journal
      • World Academy of Sciences Journal
      • Information for Authors
      • Editorial Policies
      • Editorial Board
      • Aims and Scope
      • Abstracting and Indexing
      • Bibliographic Information
      • Archive
    • International Journal of Functional Nutrition
      • International Journal of Functional Nutrition
      • Information for Authors
      • Editorial Policies
      • Editorial Board
      • Aims and Scope
      • Abstracting and Indexing
      • Bibliographic Information
      • Archive
    • International Journal of Epigenetics
      • International Journal of Epigenetics
      • Information for Authors
      • Editorial Policies
      • Editorial Board
      • Aims and Scope
      • Abstracting and Indexing
      • Bibliographic Information
      • Archive
    • Medicine International
      • Medicine International
      • Information for Authors
      • Editorial Policies
      • Editorial Board
      • Aims and Scope
      • Abstracting and Indexing
      • Bibliographic Information
      • Archive
  • Articles
  • Information
    • Information for Authors
    • Information for Reviewers
    • Information for Librarians
    • Information for Advertisers
    • Conferences
  • Language Editing
Spandidos Publications Logo
  • About
    • About Spandidos
    • Aims and Scopes
    • Abstracting and Indexing
    • Editorial Policies
    • Reprints and Permissions
    • Job Opportunities
    • Terms and Conditions
    • Contact
  • Journals
    • All Journals
    • Biomedical Reports
      • Information for Authors
      • Editorial Policies
      • Editorial Board
      • Aims and Scope
      • Abstracting and Indexing
      • Bibliographic Information
      • Archive
    • Experimental and Therapeutic Medicine
      • Information for Authors
      • Editorial Policies
      • Editorial Board
      • Aims and Scope
      • Abstracting and Indexing
      • Bibliographic Information
      • Archive
    • International Journal of Epigenetics
      • Information for Authors
      • Editorial Policies
      • Editorial Board
      • Aims and Scope
      • Abstracting and Indexing
      • Bibliographic Information
      • Archive
    • International Journal of Functional Nutrition
      • Information for Authors
      • Editorial Policies
      • Editorial Board
      • Aims and Scope
      • Abstracting and Indexing
      • Bibliographic Information
      • Archive
    • International Journal of Molecular Medicine
      • Information for Authors
      • Editorial Policies
      • Editorial Board
      • Aims and Scope
      • Abstracting and Indexing
      • Bibliographic Information
      • Archive
    • International Journal of Oncology
      • Information for Authors
      • Editorial Policies
      • Editorial Board
      • Aims and Scope
      • Abstracting and Indexing
      • Bibliographic Information
      • Archive
    • Medicine International
      • Information for Authors
      • Editorial Policies
      • Editorial Board
      • Aims and Scope
      • Abstracting and Indexing
      • Bibliographic Information
      • Archive
    • Molecular and Clinical Oncology
      • Information for Authors
      • Editorial Policies
      • Editorial Board
      • Aims and Scope
      • Abstracting and Indexing
      • Bibliographic Information
      • Archive
    • Molecular Medicine Reports
      • Information for Authors
      • Editorial Policies
      • Editorial Board
      • Aims and Scope
      • Abstracting and Indexing
      • Bibliographic Information
      • Archive
    • Oncology Letters
      • Information for Authors
      • Editorial Policies
      • Editorial Board
      • Aims and Scope
      • Abstracting and Indexing
      • Bibliographic Information
      • Archive
    • Oncology Reports
      • Information for Authors
      • Editorial Policies
      • Editorial Board
      • Aims and Scope
      • Abstracting and Indexing
      • Bibliographic Information
      • Archive
    • World Academy of Sciences Journal
      • Information for Authors
      • Editorial Policies
      • Editorial Board
      • Aims and Scope
      • Abstracting and Indexing
      • Bibliographic Information
      • Archive
  • Articles
  • Information
    • For Authors
    • For Reviewers
    • For Librarians
    • For Advertisers
    • Conferences
  • Language Editing
Login Register Submit
  • This site uses cookies
  • You can change your cookie settings at any time by following the instructions in our Cookie Policy. To find out more, you may read our Privacy Policy.

    I agree
Search articles by DOI, keyword, author or affiliation
Search
Advanced Search
presentation
Experimental and Therapeutic Medicine
Join Editorial Board Propose a Special Issue
Print ISSN: 1792-0981 Online ISSN: 1792-1015
Journal Cover
March-2022 Volume 23 Issue 3

Full Size Image

Sign up for eToc alerts
Recommend to Library

Journals

International Journal of Molecular Medicine

International Journal of Molecular Medicine

International Journal of Molecular Medicine is an international journal devoted to molecular mechanisms of human disease.

International Journal of Oncology

International Journal of Oncology

International Journal of Oncology is an international journal devoted to oncology research and cancer treatment.

Molecular Medicine Reports

Molecular Medicine Reports

Covers molecular medicine topics such as pharmacology, pathology, genetics, neuroscience, infectious diseases, molecular cardiology, and molecular surgery.

Oncology Reports

Oncology Reports

Oncology Reports is an international journal devoted to fundamental and applied research in Oncology.

Experimental and Therapeutic Medicine

Experimental and Therapeutic Medicine

Experimental and Therapeutic Medicine is an international journal devoted to laboratory and clinical medicine.

Oncology Letters

Oncology Letters

Oncology Letters is an international journal devoted to Experimental and Clinical Oncology.

Biomedical Reports

Biomedical Reports

Explores a wide range of biological and medical fields, including pharmacology, genetics, microbiology, neuroscience, and molecular cardiology.

Molecular and Clinical Oncology

Molecular and Clinical Oncology

International journal addressing all aspects of oncology research, from tumorigenesis and oncogenes to chemotherapy and metastasis.

World Academy of Sciences Journal

World Academy of Sciences Journal

Multidisciplinary open-access journal spanning biochemistry, genetics, neuroscience, environmental health, and synthetic biology.

International Journal of Functional Nutrition

International Journal of Functional Nutrition

Open-access journal combining biochemistry, pharmacology, immunology, and genetics to advance health through functional nutrition.

International Journal of Epigenetics

International Journal of Epigenetics

Publishes open-access research on using epigenetics to advance understanding and treatment of human disease.

Medicine International

Medicine International

An International Open Access Journal Devoted to General Medicine.

Journal Cover
March-2022 Volume 23 Issue 3

Full Size Image

Sign up for eToc alerts
Recommend to Library

  • Article
  • Citations
    • Cite This Article
    • Download Citation
    • Create Citation Alert
    • Remove Citation Alert
    • Cited By
  • Similar Articles
    • Related Articles (in Spandidos Publications)
    • Similar Articles (Google Scholar)
    • Similar Articles (PubMed)
  • Download PDF
  • Download XML
  • View XML
Article Open Access

Lidocaine relieves murine allergic rhinitis by regulating the NF‑κB and p38 MAPK pathways

  • Authors:
    • Jing Xiang
    • Zhen Yang
    • Qiang Zhou
  • View Affiliations / Copyright

    Affiliations: Department of Anesthesiology, Wuhan Jinyintan Hospital, Wuhan, Hubei 430000, P.R. China
    Copyright: © Xiang et al. This is an open access article distributed under the terms of Creative Commons Attribution License.
  • Article Number: 193
    |
    Published online on: January 5, 2022
       https://doi.org/10.3892/etm.2022.11116
  • Expand metrics +
Metrics: Total Views: 0 (Spandidos Publications: | PMC Statistics: )
Metrics: Total PDF Downloads: 0 (Spandidos Publications: | PMC Statistics: )
Cited By (CrossRef): 0 citations Loading Articles...

This article is mentioned in:


Abstract

Allergic rhinitis (AR) is one of the most common chronic inflammatory diseases and its main feature is nasal mucositis. It has been recently revealed that lidocaine demonstrates optimal effects in the treatment of various diseases. However, a limited number of studies have examined the association between lidocaine and AR. In the present study, the AR mouse model was established to explore the effects of lidocaine in AR and to further analyze its molecular mechanism. Subsequently, different concentrations of lidocaine were provided to the animals by intranasal administration and a series of indices were assessed. The data indicated that the frequencies of mouse sneezing and nose rubbing were suppressed following an increase in lidocaine concentration. Subsequently, the number of inflammatory cells was measured. Wright's‑Giemsa staining results indicated that lidocaine significantly decreased the numbers of leukocytes, eosinophils, neutrophils and lymphocytes in the nasal lavage fluid (NLF) of AR mice. In addition, the expression levels of ovalbumin (OVA)‑specific immunoglobulin E (IgE), leukotriene C4 (LTC4) and certain inflammatory factors were assessed by ELISA. Lidocaine reduced OVA‑specific IgE and LTC4 expression in NLF and plasma derived from AR mice. It also decreased the expression levels of IL‑4, IL‑5, IL‑13, IL‑17 and TNF‑α. Lidocaine caused upregulation of IFN‑γ and IL‑2 expression levels. Subsequently, western blot analysis indicated that lidocaine suppressed phosphorylated (p)‑p38 and p‑p65 expression levels in AR mice. Collectively, the results indicated that the NF‑κB and p38 MAPK signaling pathways were involved in the lidocaine‑mediated relief of AR in mice. In order to further verify the association between the NF‑κB and p38 MAPK signaling pathways and AR in mice, the effects of the NF‑κB inhibitor IMD‑0354 and the p38 MAPK inhibitor SB 203580 were assessed on AR mice. The results indicated that these two compounds exhibited similar inhibitory effects on AR mice as those noted with the use of lidocaine. These findings suggested that lidocaine represented a novel therapeutic agent for AR.

Introduction

Allergic rhinitis (AR) is one of the more common chronic inflammatory diseases. Its main feature is nasal mucositis, which is a non-infectious rhinitis caused by an immune response mediated by immunoglobulin E (IgE) (1). AR induces upper respiratory tract inflammation, which is associated with the mediators released by several types of hypersensitive immune cells (2). At present, patients with AR present with various complications, such as chronic rhinosinusitis and asthma (3). Two types of AR have been identified, including seasonal and perennial. Seasonal AR is caused by exposure to seasonal allergens. Common seasonal allergens are mainly pollen, grass and weeds, while perennial allergens are mainly dust mites, mold, animal dander and other allergens (4). AR affects the social life of sufferers to a large extent, and can cause significant financial burden to patients (1). The advancement of medical technology has enabled the development of several treatments for AR, including intranasal steroids, antihistamines, leukotriene receptor antagonists and immunotherapy (5,6). However, 20% of patients with AR do not exhibit improved symptoms (7). Therefore, the development of novel treatment strategies for AR is imperative.

Lidocaine is a local anesthetic with anti-inflammatory effects. It is the only local anesthetic compound that can be injected intravenously (8,9). At present, lidocaine is widely used for invasive anesthesia, central axonal anesthesia and peripheral nerve block (10). In addition, this compound can prevent myocardial infarction and heart disease (11). Detailed studies on lidocaine have revealed that it exhibits optimal effects in the treatment of specific diseases, including epilepsy, asthma, acute gastric-induced abdominal pain and cancer (12-16). Liu et al (15) indicated that lidocaine inhibited cell viability by regulating the transient receptor potential cation channel, subfamily M, member 7 in breast cancer. Zhao et al (16) indicated that lidocaine inhibited cancer development via the circular RNA_itchy E3 ubiquitin protein ligase/microRNA (miR)-421/cytoplasmic polyadenylation element binding protein 3 axis in hepatocellular carcinoma. Previous studies have revealed that injection of lidocaine can reduce inflammation and relieve pain following double maxillary surgery (17). Guang et al (18) indicated that lidocaine exerted its anti-inflammatory effects by inhibiting the NF-κB signaling pathway. In recent years, an increasing number of studies have revealed the anti-inflammatory effects of lidocaine (19,20). In addition, a recent study indicated that nebulized lidocaine could ameliorate allergic airway inflammation via downregulation of toll-like receptor (TLR)2(21). As AR is a chronic inflammatory disease, it was hypothesized that lidocaine may play a protective role in AR by inhibiting inflammation. However, the effects of lidocaine on AR have not been previously reported. Therefore, an AR mouse model was established to explore the role of lidocaine in AR and further analyze its potential molecular mechanisms.

Materials and methods

Establishment of an ovalbumin (OVA)-induced AR model

A total of 80 male BALB/c mice (age, 6 weeks; weight, ~20 g) were purchased from the Experimental Animal Center of Nanjing University. All animal experiments were performed according to the protocol approved by the Wuhan Jinyintan Hospital Committee on Care and Use of Laboratory Animals (Wuhan, China).

The mice were kept in a sterile environment at a temperature of 20±1˚C and a 12-h dark/light cycle. All mice were allowed full access to water and food. The animal experiments were conducted according to strict procedures. The mice were sensitized for the first time on days 0, 7 and 14 by intraperitoneal injection of 200 µl saline containing 25 µg OVA (Sigma-Aldrich; Merck KGaA) and 2 mg aluminum hydroxide. Then, 1 week after the last intraperitoneal injection, the mice were challenged intranasally daily and 3% OVA was diluted in 20 µl saline for a second immunization. The mice of the control group were injected with saline without OVA and aluminum hydroxide (22).

Intranasal administration of lidocaine

The total amount for intranasal administration is usually 20 µl (23). During the experiment, 1, 3 and 5 mg/kg/day lidocaine was intranasally administered to mice (n=10) 3 h prior to OVA challenge on days 28-34. The mice were intranasally administered 20 µl saline 3 h prior to every daily OVA challenge (once a day) on days 28-34 in the AR group. Mice were divided into the following groups: Control, mice (n=10) without any treatment; AR, mice (n=10) intranasally administered 20 µl saline 3 h prior to every daily OVA challenge (once a day) on days 28-34; AR + Lidocaine (1 mg/kg): 1 mg/kg/day lidocaine was intranasally administered to mice (n=10) 3 h prior to OVA challenge on days 28-34; AR + Lidocaine (3 mg/kg), 3 mg/kg/day lidocaine was intranasally administered to mice (n=10) 3 h prior to OVA challenge on days 28-34; and AR + Lidocaine (5 mg/kg), 5 mg/kg/day lidocaine was intranasally administered to mice (n=10) 3 h prior to OVA challenge on days 28-34.

For NF-κB inhibitor IMD-0354 (Sigma-Aldrich; Merck KGaA) and p38 MAPK inhibitor SB 203580 (Sigma-Aldrich; Merck KGaA) treatment, mice were divided into the following groups: AR, mice (n=10) were intranasally administered 20 µl saline 3 h prior to every daily OVA challenge (once a day) on days 28-34; AR + IMD, 5 mg/kg/day IMD-0354 was intranasally administered to mice (n=10) 3 h prior to OVA challenge on days 28-34; AR + SB 203580, 2 mg/kg/day SB 203580 was intranasally administered to mice (n=10) 3 h prior to OVA challenge on days 28-34.

The mice were anesthetized with an intraperitoneal injection of pentobarbital sodium (Sigma-Aldrich; Merck KGaA; 50 mg/kg) and sacrificed by cervical dislocation on day 35. Animal sacrifice was defined as the lack of heartbeat and breathing. The peripheral blood and nasal lavage fluid (NLF) were subsequently harvested following euthanasia. Blood and NLF samples were collected from mice, followed by centrifugation at 4˚C for 10 min at 1,600 x g. The serum and NLF supernatant were stored at -80˚C for subsequent measurements.

Evaluation of nasal symptoms

Following the last OVA challenge, the animals were kept in their cages for 30 min and the parameters including sneezing frequency and nose rubbing were recorded. The following scores were calculated: i) Slight rubbing of the nose several times or sneezing <3 times; ii) repeated nose rubbing or sneezing >3 times and <10 times; and iii) rubbing from nose to face or sneezing ≥11 times.

Inflammatory cell counting

The inflammatory cells (leucocytes, eosinophils, neutrophils and lymphocytes) in NLF were resuspended in 1 ml PBS (100 mM) with 1% BSA (Beyotime Institute of Biotechnology). The number of leukocytes was counted using a hemocytometer. Wright's-Giemsa staining (cat. no. E607315; Sangon Biotech) was performed at 37˚C for 20 min according to the manufacturer's protocol, and the numbers of eosinophils, neutrophils and lymphocytes were evaluated with a light microscope at a magnification of x200.

ELISA

The assay was performed to examine the expression levels of IL-4 (cat. no. ab100710; Abcam), IL-5 (cat. no. ab204523; Abcam), IL-13 (cat. no. ab219634; Abcam), IL-17 (cat. no. ab100702; Abcam), TNF-α (cat. no. ab208348; Abcam), IFN-γ (cat. no. PI508; Beyotime Institute of Biotechnology), OVA-specific IgE (cat. no. 439807-1; BioLegend, Inc.), leukotriene C4 (LTC4; cat. no. EK-M28299; EK-Bioscience) and IL-2 (cat. no. PI575; Beyotime Institute of Biotechnology) in inflammation. Each specific ELISA kit was used to detect the expression levels of specific markers according to manufacturer's protocol.

Reverse transcription-quantitative PCR (RT-qPCR) assay

Total RNA was acquired using TRIzol® (Invitrogen; Thermo Fisher Scientific, Inc.) according to the procedure provided by the manufacturer. RNA concentration was detected using NanoDrop™ 2000 spectrophotometer (Thermo Fisher Scientific, Inc.). Total RNA was transformed into cDNA by HiScript 1st Strand cDNA Synthesis Kit (Vazyme Biotech Co., Ltd.) according to the manufacturer's instructions. Subsequently, cDNA was used for amplification. RT-qPCR was performed with a SYBR-Green PCR kit (Vazyme Biotech Co., Ltd.) as determined by the manufacturer's instructions. Thermocycling conditions were used as follows: Initial denaturation at 94˚C for 15 min; followed by 38 cycles at 94˚C for 15 sec (denaturation), 60˚C for 15 sec (annealing) and 72˚C for 15 sec (extension). GAPDH was used as an endogenous control. The 2-ΔΔCq method (24) was used to quantify relative gene expression. The primer sequences for qPCR were as follows: GAPDH forward, 5'-CTTTGGTATCGTGGAAGGACTC-3' and reverse, 5'-GTAGAGGCAGGGATGATGTTCT-3'; p38 forward, 5'-GACGAATGGAAGAGCCTGAC-3' and reverse, 5'-AGATACATGGACAAACGGACA-3'; p65 forward, 5'-ACCAACACAGACCCAGGGAGT-3' and reverse, 5'-CAGTCACCAGGCGAGTTATAG-3'.

Western blot analysis

The total protein from the mouse nasal mucosa was obtained using RIPA buffer (Beijing Solarbio Science & Technology Co., Ltd.). A bicinchoninic acid assay kit (Pierce; Thermo Fisher Scientific, Inc.) was used to quantify the total protein. Equal amounts of proteins (20 µg protein per lane) were separated by 12% SDS-PAGE for 40 min and subsequently transferred to polyvinylidene fluoride membranes. The membranes were blocked at room temperature for 1.5 h with 5% non-fat milk to prevent non-specific binding and subsequently incubated with primary antibodies including anti-phosphorylated (p)-p65 (1:1,000; product code ab86299), anti-p65 (1:1,000; product code ab16502), anti-p38 (1:1,000; product code ab170099) and anti-p-p38 (1:1,000; product code ab4822; all from Abcam) at 4˚C overnight. The following morning, the membranes were incubated with HRP-linked secondary antibody (1:2,000; cat no. 7074; Cell Signaling Technology, Inc.) at room temperature for 2 h. The protein bands were visualized by enhanced chemiluminescence method (Cytiva). GAPDH (1:1,000; product code ab181602; Abcam) was used as the loading control for normalization. ImageJ v.2.0 software (National Institutes of Health) was used to quantify the band intensity.

Statistical analysis

Experiments were repeated three times. Data are presented as the mean ± SD from at least three independent experiments. The results were analyzed using GraphPad Prism 6.0 (GraphPad Software, Inc.) software. Statistical significance of the differences between groups was determined by one-way ANOVA followed by Tukey's post hoc test. The data were estimated from three independent experiments. P<0.05 was considered to indicate statistically significant differences.

Results

Effects of lidocaine on AR mice

To explore the role of lidocaine in AR, an AR mouse model was initially established. Different concentrations (1, 3 and 5 mg/kg/day) of lidocaine were injected into mice by intranasal administration. The results indicated that the frequency of sneezing and nose rubbing of the mice in the AR group was significantly higher compared with that of the control group. In addition, lidocaine reduced the frequency of nose rubbing (Fig. 1A) and sneezing (Fig. 1B) in AR mice in a dose-dependent manner. Furthermore, the expression levels of OVA-specific IgE and LTC4 were increased in serum and NLF in the AR group. However, lidocaine significantly inhibited OVA-specific IgE expression (Fig. 1C and D) and LTC4 expression (Fig. 1E and F).

Figure 1

Lidocaine exhibits a relief effect on allergic rhinitis mice. (A) The frequency of nose friction was recorded within 30 min following the last OVA sensitization on day 34 and the symptom score was estimated as described in the Materials and methods section. (B) Recording of frequency of sneezing. (C and D) ELISA was used to determine OVA-specific IgE expression. (E and F) ELISA was used to determine LTC4 expression. **P<0.01 vs. Control group; #P<0.05, ##P<0.01 vs. AR group. AR, allergic rhinitis; OVA, ovalbumin; IgE, immunoglobulin E; LTC4, leukotriene C4.

Effects of lidocaine on inflammatory cells in AR mice

Subsequently, the number of inflammatory cells was examined. The numbers of leukocytes, eosinophils, neutrophils and lymphocytes were significantly increased in the AR group, whereas lidocaine decreased the numbers of leukocytes, eosinophils, neutrophils and lymphocytes (Fig. 2A-D) in AR mice.

Figure 2

Lidocaine exhibits inhibitory effects on the release of inflammatory cells in allergic rhinitis mice. (A) The number of leukocytes was counted by a hemocytometer. The numbers of (B) eosinophils, (C) neutrophils and (D) lymphocytes were counted by Wright's-Giemsa staining. **P<0.01 vs. Control group; #P<0.05, ##P<0.01 vs. AR group. AR, allergic rhinitis.

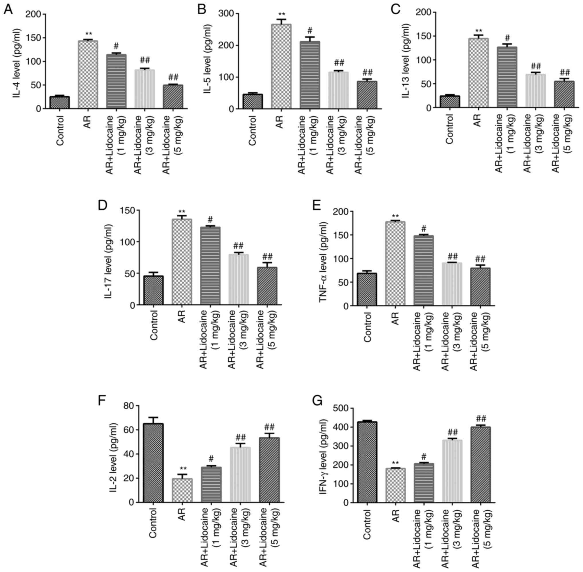
Effects of lidocaine on the inflammatory response of AR mice

The ability of lidocaine to affect the T helper type (Th)1/Th2/Th17 imbalance was assessed in AR mice. The expression levels of the inflammatory factors IL-4, IL-5, IL-13, IL-17, TNF-α and IFN-γ were determined by ELISA. The results indicated that IL-4, IL-5, IL-13, IL-17 and TNF-α were positively expressed in the serum of AR mice, whereas the release of IFN-γ and IL-2 was significantly reduced. However, lidocaine caused a downregulation in the expression levels of IL-4, IL-5, IL-13, IL-17 and TNF-α, whereas it increased IFN-γ and IL-2 release in AR mice (Fig. 3A-G).

Figure 3

Lidocaine suppresses the inflammatory response in allergic rhinitis mice. The expression levels of (A) IL-4, (B) IL-5, (C) IL-13, (D) IL-17, (E) TNF-α, (F) IL-2 and (G) IFN-γ in different groups. **P<0.01 vs. Control group; #P<0.05, ##P<0.01 vs. AR group. AR, allergic rhinitis.

NF-κB and p38 MAPK signaling pathways are involved in the lidocaine-mediated reduction of AR in mice

Subsequently, the expression levels of the proteins associated with the NF-κB and p38 MAPK signaling pathways were examined by western blot analysis. The results indicated that the expression levels of p-p65 and p-p38 were upregulated in the AR group and the corresponding ratios of p-p65/p65 and p-p38/p38 were increased. Lidocaine decreased p-p38 and p-p65 expression and reduced the ratio of p-p65/p65 and p-p38/p38 (Fig. 4A-C). The mRNA expression levels of p65 and p38 were not significantly different among all groups (Fig. 4D and E).

Figure 4

Lidocaine relieves allergic rhinitis via activation of the NF-κB and p38 MAPK signaling pathways. (A) Western blot analysis was used to determine p-p38 and p-p65 protein expression. (B) The ratio of p-p65/p65. (C) The ratio of p-p38/p38. (D) The RT-qPCR assay was used to determine p65 mRNA expression levels. (E) The RT-qPCR assay was used to determine p38 mRNA expression levels. **P<0.01 vs. Control group; #P<0.05, ##P<0.01 vs. AR group. AR, allergic rhinitis; p-, phosphorylated; RT-qPCR, reverse transcription-quantitative PCR.

NF-κB inhibitor (IMD-0354) and p38 MAPK inhibitor (SB 203580) suppress the expression levels of the proteins associated with the NF-κB and p38 MAPK signaling pathways

To further investigate the roles of the NF-κB and p38 MAPK signaling pathways in the development of AR in mice, AR mice were treated with IMD-0354 (5 mg/kg) or SB 203580 (2 mg/kg) by intranasal administration. The NF-κB inhibitor IMD-0354 suppressed p-p65 protein expression and reduced the ratio of p-p65/p65 compared with that of the AR group (Fig. 5A and B). However, the mRNA expression levels of p65 did not change significantly between the groups (Fig. 5C). The p38 MAPK inhibitor SB 203580 suppressed p-p38 protein expression (Fig. 5D) and reduced the ratio of p-p38/p38 (Fig. 5D and E). However, the mRNA expression levels of p38 did not change significantly between the different groups examined (Fig. 5F).

Figure 5

NF-κB and p38 MAPK inhibitors suppress p-p65 and p-p38 expression. (A) Western blot analysis was used to determine p-p65 protein expression. (B) Estimation of the p-p65/p65 ratio. (C) RT-qPCR assay was used to detect p65 mRNA expression levels. (D) Western blot analysis was used to determine p-p38 expression levels. (E) Estimation of the p-p38/p38 ratio. (F) RT-qPCR assay was used to detect p38 mRNA expression levels. **P<0.01 vs. AR group. AR, allergic rhinitis; p-, phosphorylated; RT-qPCR, reverse transcription-quantitative PCR; IMD, IMD-0354; SB, SB 203580.

Effects of the NF-κB and p38 MAPK inhibitors on AR mice

Subsequently, the effects of IMD-0354 and SB 203580 were investigated on the nasal symptoms of AR mice. Both IMD-0354 and SB 203580 reduced the frequency of sneezing and nose rubbing of the mice compared with that of the AR group (Fig. 6A and B). In addition, the expression levels of OVA-specific IgE and LTC4 were increased in the serum and NLF derived from the AR group. However, IMD-0354 and SB 203580 significantly inhibited OVA-specific IgE (Fig. 6C and D) and LTC4 (Fig. 6E and F) expression levels.

Figure 6

NF-κB and p38 MAPK inhibitors induce a relief effect on allergic rhinitis mice. (A) The frequency of nose friction was recorded within 30 min following the last OVA attack on day 34 and the symptom score was calculated as described in the Materials and methods section. (B) The frequency of sneezing was assessed. ELISA was used to assess (C and D) OVA-specific IgE expression and (E and F) LTC4 expression, in serum and nasal lavage fluid. **P<0.01 vs. AR group. AR, allergic rhinitis; OVA, ovalbumin; IgE, immunoglobulin E; NLF, nasal lavage fluid; LTC4, leukotriene C4.

Effects of the NF-κB and the p38 MAPK inhibitors on inflammatory cells in AR mice

The number of inflammatory cells was also counted. The data indicated that IMD-0354 and SB 203580 decreased the numbers of leukocytes, eosinophils, neutrophils and lymphocytes compared with those of the AR group (Fig. 7).

Figure 7

NF-κB and p38 MAPK inhibitors exert inhibitory effects on inflammatory cells in allergic rhinitis mice. (A) The number of leukocytes was counted using a hemocytometer. The numbers of (B) eosinophils, (C) neutrophils and (D) lymphocytes were counted by Wright's-Giemsa staining. **P<0.01 vs. AR group. AR, allergic rhinitis; IMD, IMD-0354; SB, SB 203580.

Effects of the NF-κB and MAPK inhibitors on the inflammatory response of AR mice

ELISA was used to detect the expression levels of the inflammatory markers IL-4, IL-5, IL-13, IL-17 and TNF-α. The data indicated that their expression levels were downregulated in the AR + IMD and AR + SB groups, whereas the release of IFN-γ and IL-2 was significantly increased (Fig. 8).

Figure 8

NF-κB and p38 MAPK inhibitors suppress inflammatory response in allergic rhinitis mice. The expression levels of (A) IL-4, (B) IL-5, (C) IL-13, (D) IL-17, (E) TNF-α, (F) IL-2 and (G) IFN-γ in the serum of different groups. **P<0.01 vs. AR group. AR, allergic rhinitis.

Discussion

Lidocaine is a local anesthetic used clinically, which can usually prevent arrhythmia and it can also block nerve conduction. Its mechanism of action involves the inhibition of the voltage-gated sodium channels, which reduces neuropathic pain and chronic pain tolerance (25). Furthermore, the anti-inflammatory effects of lidocaine have also been confirmed (19-21). However, to the best of our knowledge, the role of lidocaine in AR (a chronic inflammatory disease) has not been previously reported. In the present study, an AR mouse model was established as previously described (22).

AR is an inflammatory disease, which mainly occurs during spring and autumn. AR manifestations mainly involve repeated sneezing, nasal congestion, itchy nose, rhinorrhea and tearing (26,27). Previous studies demonstrated that the average incidence of AR was 10-20% in 2013 and that the number was constantly increasing every year (28,29). Therefore, it is urgent to identify new targets for AR. The present study investigated the effects of lidocaine on AR through intranasal administration. However, whether nasal drip will affect the sense of smell and whether it affects the ciliary swing of the nose were not evaluated in this study, and this was a limitation of the present study. The results indicated that lidocaine relieved allergic inflammation, which significantly reduced the frequency of sneezing and nose rubbing in mice in a dose-dependent manner. Lidocaine further decreased OVA-specific IgE and LTC4 expression. It should be noted that the representative images of nasal mucosa morphology and eosinophils stained by Giemsa will render our results more convincing, and the absence of these images was a further limitation of the present study.

IgE-mediated release of inflammatory mediators such as histamine, with the participation of a variety of pro-inflammatory cells, immunocompetent cells and cytokines, a variety of inflammatory factors, promote the development of AR (1). Suppression of the release of inflammatory factors in the serum of the patient can significantly reduce the inflammatory response in the body of the patient and relieve the symptoms of AR (30,31). It has been previously reported that the development of AR is mediated via an imbalance between Th1 and Th2 cells (32). Li et al (33) indicated Th17/Treg cell imbalance in patients with AR. In addition, allergic inflammation is mainly controlled by the Th2-mediated immune response (34,35). It has also been revealed that Th2 cell depletion can inhibit allergic inflammation in AR. IL-4 is involved in allergic reactions (36). IL-5 is the main differentiation and maturation factor of eosinophils and contributes to eosinophil activation, development and survival (37). TNF-α is released by mast cells and eosinophils and is essential for the development of AR (38). The data of the present study indicated that lidocaine decreased the expression levels of IL-4, IL-5, IL-13, IL-17 and TNF-α. However, a previous study indicated that IFN-γ expression was downregulated in AR mice (39). The present study demonstrated that IFN-γ was negatively expressed in AR and that its expression was upregulated following lidocaine treatment, which is consistent with previously reported findings. IL-2 exhibited similar expression levels as IFN-γ.

NF-κB has long been considered a prototypical proinflammatory signaling pathway, largely based on NF-κB activation induced by proinflammatory cytokines such as IL-1 and TNF-α, and the role of NF-κB in the expression of other proinflammatory genes including adhesion molecules, chemokines, and cytokines (40). Activation of the mitogen-activated protein kinase (MAPK) pathways, including p38, is also required for NF-κB subunit p65 transactivation (41). The p38 MAPK belongs to the MAPK family, the members of which are important signal transducers. In the immune system, the p38 MAPK signaling cascade plays a key role in the regulation of innate and adaptive immunity (42). p38 MAPK has been revealed to regulate the activity of the regulator of the IL-4 and IL-5 promoter in T cells, and regulate Th2-specific transcription factor GATA-3(43). p38 MAPK is also known to upregulate specific cytokines such as IL-6, IL-8, and TNF-α in some biological contexts (44). Previous studies have indicated that the NF-κB signaling pathway mediated AR inflammation (39,45). Studies have also revealed the important role of p38 MAPK in AR (46,47). The present study further indicated that lidocaine relieved AR in mice via the NF-κB and p38 MAPK signaling pathways. Lidocaine inhibited both NF-κB and p38 MAPK signaling pathway activation in AR mice. However, which was the target of lidocaine remains to be explored. Thus, lack of identification of the target of lidocaine was a limitation of the present study. Since multiple studies (18,48-51) have revealed that lidocaine inhibits the activation of NF-κB and p38 MAPK, it was hypothesized that both NF-κB and p38 MAPK may be the targets of lidocaine. Moreover, as it is well known, the activation of MAPK/NF-κB signaling pathway requires the increase in Ca2+ levels in cytosol (52). On the other hand, lidocaine exerts analgesic effects through the blocking of sodium channels (53). The reason why the blocker of sodium channels, lidocaine, is able to inhibit the MAPK/NF-κB signaling pathway through blocking remains to be explored. These issues will be studied in the future. The association between the NF-κB and the p38 MAPK signaling pathways with AR was assessed by treatment of the mice with NF-κB and p38 MAPK signaling pathway inhibitors. The results indicated that these two inhibitors exhibited similar inhibitory effects on AR. Unfortunately, only one dose of NF-κB and p38 MAPK signaling pathway inhibitors was studied, and this was a limitation of the present study. Moreover, which pathway is more prominent/significant was not investigated in the present study.

In conclusion, the results of the present study confirmed that lidocaine relieved AR in mice by regulating the NF-κB and p38 MAPK pathways. However, this study is only a preliminary study of the role of lidocaine in AR. In order to render the effect of lidocaine on AR more convincing, extensive in-depth research is required. For example, examination of the levels of neuropeptides, which are well known to be responsible for the development of clinical symptoms of allergic rhinitis, in NLFs should be performed. In addition, which cells, within the mucosa tissue (epithelial, immune cells), were modulating p38 MAPK and NF-κB after treatment with lidocaine need to be identified.

Acknowledgements

Not applicable.

Funding

Funding: No funding was received.

Availability of data and materials

The datasets used and/or analyzed during the current study are available from the corresponding author on reasonable request.

Authors' contributions

JX and ZY contributed to the study design, data collection, statistical analysis, data interpretation and manuscript preparation. QZ contributed to data collection and statistical analysis. JX and ZY confirmed the authenticity of all the raw data. All authors read and approved the final manuscript.

Ethics approval and consent to participate

All animal experiments were performed according to the protocol approved by the Wuhan Jinyintan Hospital Committee on Care and Use of Laboratory Animals (Wuhan, China).

Patient consent for publication

Not applicable.

Competing interests

The authors declare that they have no competing interests.

References

1 

Incorvaia C, Cavaliere C, Frati F and Masieri S: Allergic rhinitis. J Biol Regul Homeost Agents. 32 (1 Suppl 1):S61–S66. 2018.PubMed/NCBI

2 

Paiva Ferreira LKD, Paiva Ferreira LAM, Monteiro TM, Bezerra GC, Bernardo LR and Piuvezam MR: Combined allergic rhinitis and asthma syndrome (CARAS). Int Immunopharmacol. 74(105718)2019.PubMed/NCBI View Article : Google Scholar

3 

Rosati MG and Peters AT: Relationships among allergic rhinitis, asthma, and chronic rhinosinusitis. Am J Rhinol Allergy. 30:44–47. 2016.PubMed/NCBI View Article : Google Scholar

4 

Prenner BM and Schenkel E: Allergic rhinitis: Treatment based on patient profiles. Am J Med. 119:230–237. 2006.PubMed/NCBI View Article : Google Scholar

5 

Sur DK and Plesa ML: Treatment of allergic rhinitis. Am Fam Physician. 92:985–992. 2015.PubMed/NCBI

6 

Bernstein DI, Schwartz G and Bernstein JA: Allergic rhinitis: Mechanisms and treatment. Immunol Allergy Clin North Am. 36:261–278. 2016.PubMed/NCBI View Article : Google Scholar

7 

Steelant B, Farré R, Wawrzyniak P, Belmans J, Dekimpe E, Vanheel H, Van Gerven L, Kortekaas Krohn I, Bullens DM, Ceuppens JL, et al: Impaired barrier function in patients with house dust mite-induced allergic rhinitis is accompanied by decreased occludin and zonula occludens-1 expression. J Allergy Clin Immunol. 137:1043–1053.e5. 2016.PubMed/NCBI View Article : Google Scholar

8 

Lin S, Jin P, Shao C, Lu W, Xiang Q, Jiang Z, Zhang Y and Bian J: Lidocaine attenuates lipopolysaccharide-induced inflammatory responses and protects against endotoxemia in mice by suppressing HIF1α-induced glycolysis. Int Immunopharmacol. 80(106150)2020.PubMed/NCBI View Article : Google Scholar

9 

Leng T, Lin S, Xiong Z and Lin J: Lidocaine suppresses glioma cell proliferation by inhibiting TRPM7 channels. Int J Physiol Pathophysiol Pharmacol. 9:8–15. 2017.PubMed/NCBI

10 

Křikava I, Nováková M and Ševčík P: The effects of trimecaine on bupivacaine induced cardiotoxicity in the isolated rat heart: A pilot study. Physiol Res. 57(18)2008.

11 

Martí-Carvajal AJ, Simancas-Racines D, Anand V and Bangdiwala S: Prophylactic lidocaine for myocardial infarction. Cochrane Database Syst Rev. 2015(CD008553)2015.PubMed/NCBI View Article : Google Scholar

12 

Nakazawa M, Okumura A, Niijima S, Yamashita S, Shimono K, Hirose S and Shimizu T: Oral mexiletine for lidocaine-responsive neonatal epilepsy. Brain Dev. 35:667–669. 2013.PubMed/NCBI View Article : Google Scholar

13 

Slaton RM, Thomas RH and Mbathi JW: Evidence for therapeutic uses of nebulized lidocaine in the treatment of intractable cough and asthma. Ann Pharmacother. 47:578–585. 2013.PubMed/NCBI View Article : Google Scholar

14 

Chinn E, Friedman BW, Naeem F, Irizarry E, Afrifa F, Zias E, Jones MP, Pearlman S, Chertoff A, Wollowitz A and Gallagher EJ: Randomized trial of intravenous lidocaine versus hydromorphone for acute abdominal pain in the emergency department. Ann Emerg Med. 74:233–240. 2019.PubMed/NCBI View Article : Google Scholar

15 

Liu H, Dilger JP and Lin J: Lidocaine suppresses viability and migration of human breast cancer Cells: TRPM7 as a target for some breast cancer cell lines. Cancers (Basel). 13(234)2021.PubMed/NCBI View Article : Google Scholar

16 

Zhao L, Ma N, Liu G, Mao N, Chen F and Li J: Lidocaine inhibits hepatocellular carcinoma development by modulating circ_ITCH/miR-421/CPEB3 axis. Dig Dis Sci. 66:4384–4397. 2021.PubMed/NCBI View Article : Google Scholar

17 

Lee U, Choi YJ, Choi GJ and Kang H: Intravenous lidocaine for effective pain relief after bimaxillary surgery. Clin Oral Investig. 21:2645–2652. 2017.PubMed/NCBI View Article : Google Scholar

18 

Guang F, Liu S, Wang GL and Liu GJ: Lidocaine attenuates lipopolysaccharide-induced acute lung injury through inhibiting NF-kappaB activation. Pharmacology. 81:32–40. 2008.PubMed/NCBI View Article : Google Scholar

19 

Lin S, Jin P, Shao C, Lu W, Xiang Q, Jiang Z, Zhang Y and Bian J: Lidocaine attenuates lipopolysaccharide-induced inflammatory responses and protects against endotoxemia in mice by suppressing HIF1α-induced glycolysis. Int Immunopharmacol. 80(106150)2020.PubMed/NCBI View Article : Google Scholar

20 

Leon-Constantin MM, Alexa-Stratulat T, Luca A, Tamba BI, Trandafir LM, Harabagiu V and Cojocaru E: The morphofunctional impact of topical lidocaine formulation in inflammatory pain-experimental study. Rom J Morphol Embryol. 60:869–874. 2019.PubMed/NCBI

21 

Wang L, Wang M, Li S, Wu H, Shen Q, Zhang S, Fang L and Liu R: Nebulized lidocaine ameliorates allergic airway inflammation via downregulation of TLR2. Mol Immunol. 97:94–100. 2018.PubMed/NCBI View Article : Google Scholar

22 

Xiao L, Jiang L, Hu Q and Li Y: MicroRNA-133b ameliorates allergic inflammation and symptom in murine model of allergic rhinitis by targeting Nlrp3. Cell Physiol Biochem. 42:901–912. 2017.PubMed/NCBI View Article : Google Scholar

23 

Xu H, Shu H, Zhu J and Song J: Inhibition of TLR4 inhibits allergic responses in murine allergic rhinitis by regulating the NF-κB pathway. Exp Ther Med. 18:761–768. 2019.PubMed/NCBI View Article : Google Scholar

24 

Livak KJ and Schmittgen TD: Analysis of relative gene expression data using real-time quantitative PCR and the 2(-Delta Delta C(T)) method. Methods. 25:402–408. 2001.PubMed/NCBI View Article : Google Scholar

25 

Zheng Y, Hou X and Yang S: Lidocaine potentiates SOCS3 to attenuate inflammation in microglia and suppress neuropathic pain. Cell Mol Neurobiol. 39:1081–1092. 2019.PubMed/NCBI View Article : Google Scholar

26 

Khan DA: Allergic rhinitis and asthma: Epidemiology and common pathophysiology. Allergy Asthma Proc. 35:357–361. 2014.PubMed/NCBI View Article : Google Scholar

27 

Mandhane SN, Shah JH and Thennati R: Allergic rhinitis: An update on disease, present treatments and future prospects. Int Immunopharmacol. 11:1646–1662. 2011.PubMed/NCBI View Article : Google Scholar

28 

Casale TB and Dykewicz MS: Clinical implications of the allergic rhinitis-asthma link. Am J Med Sci. 327:127–138. 2014.PubMed/NCBI View Article : Google Scholar

29 

Brożek JL, Bousquet J, Agache I, Agarwal A, Bachert C, Bosnic-Anticevich S, Brignardello-Petersen R, Canonica GW, Casale T, Chavannes NH, et al: Allergic rhinitis and its impact on asthma (ARIA) guidelines-2016 revision. J Allergy Clin Immunol. 140:950–958. 2017.PubMed/NCBI View Article : Google Scholar

30 

Drazdauskaitė G, Layhadi JA and Shamji MH: Mechanisms of allergen immunotherapy in allergic rhinitis. Curr Allergy Asthma Rep. 21(2)2020.PubMed/NCBI View Article : Google Scholar

31 

Wu S and Xiao D: Effect of curcumin on nasal symptoms and airflow in patients with perennial allergic rhinitis. Ann Allergy Asthma Immunol. 117:697–702.e1. 2016.PubMed/NCBI View Article : Google Scholar

32 

Yu S, Han B, Liu S, Wang H, Zhuang W, Huang Y and Zhang R: Derp1-modified dendritic cells attenuate allergic inflammation by regulating the development of T helper type1(Th1)/Th2 cells and regulatory T cells in a murine model of allergic rhinitis. Mol Immunol. 90:172–181. 2017.PubMed/NCBI View Article : Google Scholar

33 

Li J, Lin XY, Liu X, Ma ZQ and Li Y: Baicalin regulates Treg/Th17 cell imbalance by inhibiting autophagy in allergic rhinitis. Mol Immunol. 125:162–171. 2020.PubMed/NCBI View Article : Google Scholar

34 

Bae JS, Kim JH, Kim EH and Mo JH: The role of IL-17 in a lipopolysaccharide-induced rhinitis model. Allergy Asthma Immunol Res. 9:169–176. 2017.PubMed/NCBI View Article : Google Scholar

35 

Bachert C, Zhang L and Gevaert P: Current and future treatment options for adult chronic rhinosinusitis: Focus on nasal polyposis. J Allergy Clin Immunol. 136:1431–1440. 2015.PubMed/NCBI View Article : Google Scholar

36 

Deo SS, Mistry KJ, Kakade AM and Niphadkar PV: Role played by Th2 type cytokines in IgE mediated allergy and asthma. Lung India. 27:66–71. 2010.PubMed/NCBI View Article : Google Scholar

37 

Coffman RL, Seymour BW, Hudak S, Jackson J and Rennick D: Antibody to interleukin-5 inhibits helminth-induced eosinophilia in mice. Science. 245:308–310. 1989.PubMed/NCBI View Article : Google Scholar

38 

Jung HW, Jung JK and Park YK: Comparison of the efficacy of KOB03, ketotifen, and montelukast in an experimental mouse model of allergic rhinitis. Int Immunopharmacol. 16:254–260. 2013.PubMed/NCBI View Article : Google Scholar

39 

Piao CH, Fan YJ, Nguyen TV, Song CH and Chai OH: Mangiferin alleviates ovalbumin-induced allergic rhinitis via Nrf2/HO-1/NF-κB signaling pathways. Int J Mol Sci. 21(3415)2020.PubMed/NCBI View Article : Google Scholar

40 

Lawrence T: The nuclear factor NF-kappaB pathway in inflammation. Cold Spring Harb Perspect Biol. 1(a001651)2009.PubMed/NCBI View Article : Google Scholar

41 

Vanden Berghe W, Plaisance S, Boone E, De Bosscher K, Schmitz ML, Fiers W and Haegeman G: p38 and extracellular signal-regulated kinase mitogen-activated protein kinase pathways are required for nuclear factor-kappaB p65 transactivation mediated by tumor necrosis factor. J Biol Chem. 273:3285–3290. 1998.PubMed/NCBI View Article : Google Scholar

42 

Dodeller F, Skapenko A, Kalden JR, Lipsky PE and Schulze-Koops H: The p38 mitogen-activated protein kinase regulates effector functions of primary human CD4 T cells. Eur J Immunol. 35:3631–3642. 2005.PubMed/NCBI View Article : Google Scholar

43 

Dodeller F and Schulze-Koops H: The p38 mitogen-activated protein kinase signaling cascade in CD4 T cells. Arthritis Res Ther. 8(205)2006.PubMed/NCBI View Article : Google Scholar

44 

Ono K and Han J: The p38 signal transduction pathway: Activation and function. Cell Signal. 12:1–13. 2000.PubMed/NCBI View Article : Google Scholar

45 

Kang OH, Jang HJ, Chae HS, Oh YC, Choi JG, Lee YS, Kim JH, Kim YC, Sohn DH, Park H and Kwon DY: Anti-inflammatory mechanisms of resveratrol in activated HMC-1 cells: Pivotal roles of NF-kappaB and MAPK. Pharmacol Res. 59:330–337. 2009.PubMed/NCBI View Article : Google Scholar

46 

Liu J, Liu L, Cui Y, Zhang J and Jiang H: p38 MAPK regulates Th2 cytokines release in PBMCs in allergic rhinitis rats. J Huazhong Univ Sci Technolog Med Sci. 30:222–225. 2010.PubMed/NCBI View Article : Google Scholar

47 

Gao X, Li N and Zhang J: SB203580, a p38MAPK inhibitor, attenuates olfactory dysfunction by inhibiting OSN apoptosis in AR mice (activation and involvement of the p38 mitogen-activated protein kinase in olfactory sensory neuronal apoptosis of OVA-induced allergic rhinitis). Brain Behav. 9(e01295)2019.PubMed/NCBI View Article : Google Scholar

48 

Jiang R, Liao J, Yang MC, Deng J, Hu YX, Li P and Li MT: Lidocaine mediates the progression of cerebral ischemia/reperfusion injury in rats via inhibiting the activation of NF-κB p65 and p38 MAPK. Ann Transl Med. 8(548)2020.PubMed/NCBI View Article : Google Scholar

49 

Chen LJ, Ding YB, Ma PL, Jiang SH, Li KZ, Li AZ, Li MC, Shi CX, Du J and Zhou HD: The protective effect of lidocaine on lipopolysaccharide-induced acute lung injury in rats through NF-κB and p38 MAPK signaling pathway and excessive inflammatory responses. Eur Rev Med Pharmacol Sci. 22:2099–2108. 2018.PubMed/NCBI View Article : Google Scholar

50 

Haller I, Hausott B, Tomaselli B, Keller C, Klimaschewski L, Gerner P and Lirk P: Neurotoxicity of lidocaine involves specific activation of the p38 mitogen-activated protein kinase, but not extracellular signal-regulated or c-jun N-terminal kinases, and is mediated by arachidonic acid metabolites. Anesthesiology. 105:1024–1033. 2006.PubMed/NCBI View Article : Google Scholar

51 

Jin H and Yu J: Lidocaine protects H9c2 cells from hypoxia-induced injury through regulation of the MAPK/ERK/NF-κB signaling pathway. Exp Ther Med. 18:4125–4131. 2019.PubMed/NCBI View Article : Google Scholar

52 

Niu L, Wei J, Li X, Jin Y and Shi X: Inhibitory activity of narirutin on RBL-2H3 cells degranulation. Immunopharmacol Immunotoxicol. 43:68–76. 2021.PubMed/NCBI View Article : Google Scholar

53 

van der Wal SE, van den Heuvel SA, Radema SA, van Berkum BF, Vaneker M, Steegers MA, Scheffer GJ and Vissers KC: The in vitro mechanisms and in vivo efficacy of intravenous lidocaine on the neuroinflammatory response in acute and chronic pain. Eur J Pain. 20:655–674. 2016.PubMed/NCBI View Article : Google Scholar

Related Articles

  • Abstract
  • View
  • Download
  • Twitter
Copy and paste a formatted citation
Spandidos Publications style
Xiang J, Yang Z and Zhou Q: Lidocaine relieves murine allergic rhinitis by regulating the NF‑κB and p38 MAPK pathways. Exp Ther Med 23: 193, 2022.
APA
Xiang, J., Yang, Z., & Zhou, Q. (2022). Lidocaine relieves murine allergic rhinitis by regulating the NF‑κB and p38 MAPK pathways. Experimental and Therapeutic Medicine, 23, 193. https://doi.org/10.3892/etm.2022.11116
MLA
Xiang, J., Yang, Z., Zhou, Q."Lidocaine relieves murine allergic rhinitis by regulating the NF‑κB and p38 MAPK pathways". Experimental and Therapeutic Medicine 23.3 (2022): 193.
Chicago
Xiang, J., Yang, Z., Zhou, Q."Lidocaine relieves murine allergic rhinitis by regulating the NF‑κB and p38 MAPK pathways". Experimental and Therapeutic Medicine 23, no. 3 (2022): 193. https://doi.org/10.3892/etm.2022.11116
Copy and paste a formatted citation
x
Spandidos Publications style
Xiang J, Yang Z and Zhou Q: Lidocaine relieves murine allergic rhinitis by regulating the NF‑κB and p38 MAPK pathways. Exp Ther Med 23: 193, 2022.
APA
Xiang, J., Yang, Z., & Zhou, Q. (2022). Lidocaine relieves murine allergic rhinitis by regulating the NF‑κB and p38 MAPK pathways. Experimental and Therapeutic Medicine, 23, 193. https://doi.org/10.3892/etm.2022.11116
MLA
Xiang, J., Yang, Z., Zhou, Q."Lidocaine relieves murine allergic rhinitis by regulating the NF‑κB and p38 MAPK pathways". Experimental and Therapeutic Medicine 23.3 (2022): 193.
Chicago
Xiang, J., Yang, Z., Zhou, Q."Lidocaine relieves murine allergic rhinitis by regulating the NF‑κB and p38 MAPK pathways". Experimental and Therapeutic Medicine 23, no. 3 (2022): 193. https://doi.org/10.3892/etm.2022.11116
Follow us
  • Twitter
  • LinkedIn
  • Facebook
About
  • Spandidos Publications
  • Careers
  • Cookie Policy
  • Privacy Policy
How can we help?
  • Help
  • Live Chat
  • Contact
  • Email to our Support Team