Spandidos Publications Logo
  • About
    • About Spandidos
    • Aims and Scopes
    • Abstracting and Indexing
    • Editorial Policies
    • Reprints and Permissions
    • Job Opportunities
    • Terms and Conditions
    • Contact
  • Journals
    • All Journals
    • Oncology Letters
      • Oncology Letters
      • Information for Authors
      • Editorial Policies
      • Editorial Board
      • Aims and Scope
      • Abstracting and Indexing
      • Bibliographic Information
      • Archive
    • International Journal of Oncology
      • International Journal of Oncology
      • Information for Authors
      • Editorial Policies
      • Editorial Board
      • Aims and Scope
      • Abstracting and Indexing
      • Bibliographic Information
      • Archive
    • Molecular and Clinical Oncology
      • Molecular and Clinical Oncology
      • Information for Authors
      • Editorial Policies
      • Editorial Board
      • Aims and Scope
      • Abstracting and Indexing
      • Bibliographic Information
      • Archive
    • Experimental and Therapeutic Medicine
      • Experimental and Therapeutic Medicine
      • Information for Authors
      • Editorial Policies
      • Editorial Board
      • Aims and Scope
      • Abstracting and Indexing
      • Bibliographic Information
      • Archive
    • International Journal of Molecular Medicine
      • International Journal of Molecular Medicine
      • Information for Authors
      • Editorial Policies
      • Editorial Board
      • Aims and Scope
      • Abstracting and Indexing
      • Bibliographic Information
      • Archive
    • Biomedical Reports
      • Biomedical Reports
      • Information for Authors
      • Editorial Policies
      • Editorial Board
      • Aims and Scope
      • Abstracting and Indexing
      • Bibliographic Information
      • Archive
    • Oncology Reports
      • Oncology Reports
      • Information for Authors
      • Editorial Policies
      • Editorial Board
      • Aims and Scope
      • Abstracting and Indexing
      • Bibliographic Information
      • Archive
    • Molecular Medicine Reports
      • Molecular Medicine Reports
      • Information for Authors
      • Editorial Policies
      • Editorial Board
      • Aims and Scope
      • Abstracting and Indexing
      • Bibliographic Information
      • Archive
    • World Academy of Sciences Journal
      • World Academy of Sciences Journal
      • Information for Authors
      • Editorial Policies
      • Editorial Board
      • Aims and Scope
      • Abstracting and Indexing
      • Bibliographic Information
      • Archive
    • International Journal of Functional Nutrition
      • International Journal of Functional Nutrition
      • Information for Authors
      • Editorial Policies
      • Editorial Board
      • Aims and Scope
      • Abstracting and Indexing
      • Bibliographic Information
      • Archive
    • International Journal of Epigenetics
      • International Journal of Epigenetics
      • Information for Authors
      • Editorial Policies
      • Editorial Board
      • Aims and Scope
      • Abstracting and Indexing
      • Bibliographic Information
      • Archive
    • Medicine International
      • Medicine International
      • Information for Authors
      • Editorial Policies
      • Editorial Board
      • Aims and Scope
      • Abstracting and Indexing
      • Bibliographic Information
      • Archive
  • Articles
  • Information
    • Information for Authors
    • Information for Reviewers
    • Information for Librarians
    • Information for Advertisers
    • Conferences
  • Language Editing
Spandidos Publications Logo
  • About
    • About Spandidos
    • Aims and Scopes
    • Abstracting and Indexing
    • Editorial Policies
    • Reprints and Permissions
    • Job Opportunities
    • Terms and Conditions
    • Contact
  • Journals
    • All Journals
    • Biomedical Reports
      • Information for Authors
      • Editorial Policies
      • Editorial Board
      • Aims and Scope
      • Abstracting and Indexing
      • Bibliographic Information
      • Archive
    • Experimental and Therapeutic Medicine
      • Information for Authors
      • Editorial Policies
      • Editorial Board
      • Aims and Scope
      • Abstracting and Indexing
      • Bibliographic Information
      • Archive
    • International Journal of Epigenetics
      • Information for Authors
      • Editorial Policies
      • Editorial Board
      • Aims and Scope
      • Abstracting and Indexing
      • Bibliographic Information
      • Archive
    • International Journal of Functional Nutrition
      • Information for Authors
      • Editorial Policies
      • Editorial Board
      • Aims and Scope
      • Abstracting and Indexing
      • Bibliographic Information
      • Archive
    • International Journal of Molecular Medicine
      • Information for Authors
      • Editorial Policies
      • Editorial Board
      • Aims and Scope
      • Abstracting and Indexing
      • Bibliographic Information
      • Archive
    • International Journal of Oncology
      • Information for Authors
      • Editorial Policies
      • Editorial Board
      • Aims and Scope
      • Abstracting and Indexing
      • Bibliographic Information
      • Archive
    • Medicine International
      • Information for Authors
      • Editorial Policies
      • Editorial Board
      • Aims and Scope
      • Abstracting and Indexing
      • Bibliographic Information
      • Archive
    • Molecular and Clinical Oncology
      • Information for Authors
      • Editorial Policies
      • Editorial Board
      • Aims and Scope
      • Abstracting and Indexing
      • Bibliographic Information
      • Archive
    • Molecular Medicine Reports
      • Information for Authors
      • Editorial Policies
      • Editorial Board
      • Aims and Scope
      • Abstracting and Indexing
      • Bibliographic Information
      • Archive
    • Oncology Letters
      • Information for Authors
      • Editorial Policies
      • Editorial Board
      • Aims and Scope
      • Abstracting and Indexing
      • Bibliographic Information
      • Archive
    • Oncology Reports
      • Information for Authors
      • Editorial Policies
      • Editorial Board
      • Aims and Scope
      • Abstracting and Indexing
      • Bibliographic Information
      • Archive
    • World Academy of Sciences Journal
      • Information for Authors
      • Editorial Policies
      • Editorial Board
      • Aims and Scope
      • Abstracting and Indexing
      • Bibliographic Information
      • Archive
  • Articles
  • Information
    • For Authors
    • For Reviewers
    • For Librarians
    • For Advertisers
    • Conferences
  • Language Editing
Login Register Submit
  • This site uses cookies
  • You can change your cookie settings at any time by following the instructions in our Cookie Policy. To find out more, you may read our Privacy Policy.

    I agree
Search articles by DOI, keyword, author or affiliation
Search
Advanced Search
presentation
Experimental and Therapeutic Medicine
Join Editorial Board Propose a Special Issue
Print ISSN: 1792-0981 Online ISSN: 1792-1015
Journal Cover
May-2024 Volume 27 Issue 5

Full Size Image

Sign up for eToc alerts
Recommend to Library

Journals

International Journal of Molecular Medicine

International Journal of Molecular Medicine

International Journal of Molecular Medicine is an international journal devoted to molecular mechanisms of human disease.

International Journal of Oncology

International Journal of Oncology

International Journal of Oncology is an international journal devoted to oncology research and cancer treatment.

Molecular Medicine Reports

Molecular Medicine Reports

Covers molecular medicine topics such as pharmacology, pathology, genetics, neuroscience, infectious diseases, molecular cardiology, and molecular surgery.

Oncology Reports

Oncology Reports

Oncology Reports is an international journal devoted to fundamental and applied research in Oncology.

Experimental and Therapeutic Medicine

Experimental and Therapeutic Medicine

Experimental and Therapeutic Medicine is an international journal devoted to laboratory and clinical medicine.

Oncology Letters

Oncology Letters

Oncology Letters is an international journal devoted to Experimental and Clinical Oncology.

Biomedical Reports

Biomedical Reports

Explores a wide range of biological and medical fields, including pharmacology, genetics, microbiology, neuroscience, and molecular cardiology.

Molecular and Clinical Oncology

Molecular and Clinical Oncology

International journal addressing all aspects of oncology research, from tumorigenesis and oncogenes to chemotherapy and metastasis.

World Academy of Sciences Journal

World Academy of Sciences Journal

Multidisciplinary open-access journal spanning biochemistry, genetics, neuroscience, environmental health, and synthetic biology.

International Journal of Functional Nutrition

International Journal of Functional Nutrition

Open-access journal combining biochemistry, pharmacology, immunology, and genetics to advance health through functional nutrition.

International Journal of Epigenetics

International Journal of Epigenetics

Publishes open-access research on using epigenetics to advance understanding and treatment of human disease.

Medicine International

Medicine International

An International Open Access Journal Devoted to General Medicine.

Journal Cover
May-2024 Volume 27 Issue 5

Full Size Image

Sign up for eToc alerts
Recommend to Library

  • Article
  • Citations
    • Cite This Article
    • Download Citation
    • Create Citation Alert
    • Remove Citation Alert
    • Cited By
  • Similar Articles
    • Related Articles (in Spandidos Publications)
    • Similar Articles (Google Scholar)
    • Similar Articles (PubMed)
  • Download PDF
  • Download XML
  • View XML
Article Open Access

Apatinib beyond first progression is associated with prolonged overall survival in patients with advanced breast cancer: Results from an observational study

  • Authors:
    • Jing Wang
    • Jinghao Jia
    • Jingjing Liu
    • Xuemin Yao
    • Zhiyong Yuan
  • View Affiliations / Copyright

    Affiliations: Department of Radiation Oncology, Tianjin Medical University Cancer Institute and Hospital, Key Laboratory of Cancer Prevention and Therapy, National Clinical Research Center for Cancer, Tianjin's Clinical Research Center for Cancer, Tianjin 300060, P.R. China, Department of Chemoradiotherapy, North China University of Science and Technology Affiliated Hospital, Tangshan, Hebei 063000, P.R. China, Department of Chemoradiotherapy, Tangshan People's Hospital, Tangshan, Hebei 063000, P.R. China
    Copyright: © Wang et al. This is an open access article distributed under the terms of Creative Commons Attribution License.
  • Article Number: 200
    |
    Published online on: March 14, 2024
       https://doi.org/10.3892/etm.2024.12488
  • Expand metrics +
Metrics: Total Views: 0 (Spandidos Publications: | PMC Statistics: )
Metrics: Total PDF Downloads: 0 (Spandidos Publications: | PMC Statistics: )
Cited By (CrossRef): 0 citations Loading Articles...

This article is mentioned in:


Abstract

In the present study, the efficacy and safety of a low dose of apatinib in the treatment of patients with advanced breast cancer (ABC) in a real‑world setting were assessed, the impact of continuous anti‑angiogenic therapy beyond progression was determined and the factors associated with efficacy were evaluated. A total of 63 patients with ABC who were treated with apatinib and for whom several lines of treatment had failed were retrospectively analyzed in Tangshan People's Hospital (Tangshan, China) between January 2016 and October 2022. Apatinib was administered orally combined with chemotherapy, endocrine therapy, targeted therapy or monotherapy at a dose of 250 mg per day. Apatinib administration was continued in certain patients beyond first progressive disease (PD), and these patients were defined as the continued anti‑angiogenic treatment beyond first progression (CABF) group, while those who discontinued apatinib were defined as the non‑CABF group. In the evaluation of the first efficacy, the objective response rate was 33.3%. A total of 26 patients continued to receive apatinib post‑first PD and were allocated to the CABF group. The median overall survival (OS) time of the 63 patients was 16 months. Log‑rank univariate analysis revealed that the OS time was significantly associated with molecular subtype (P=0.014), CABF (P=0.004), and the neutrophil‑to‑lymphocyte ratio (NLR) (P=0.011). Multivariate Cox regression analysis revealed that being in the non‑CABF group and a high NLR were independent risk factors for lower OS time (P=0.017 and P=0.041, respectively). These results support the continued administration of low‑dose apatinib beyond progression and the use of NLR as an easily accessible prognostic marker in patients with ABC treated with apatinib.

Introduction

Breast cancer is the most common malignant tumor and the fifth leading cause of cancer-associated mortality worldwide (1). Although it is commonly treated based on the molecular type according to various guidelines, advanced breast cancer (ABC), including recurrent and metastatic breast cancer, is incurable. Angiogenesis significantly impacts the occurrence and development of cancer owing to the ability of new blood vessels to deliver oxygen and nutrients to tumor cells, promoting tumor growth, metastasis and invasion (2,3). Therefore, inhibition of angiogenesis can limit the growth and spread of tumors by preventing the delivery of nutrients, thus starving the tumors (4). Various mouse models have demonstrated that vascular endothelial growth factor (VEGF) induces breast cancer cell proliferation (5). VEGF and VEGF receptor 2 (VEGFR-2) are core participants in pathological angiogenesis, and key targets for the development of drugs against angiogenesis (6,7). Apatinib, as a VEGFR2 inhibitor, has shown moderate efficacy in the treatment of metastatic breast cancer, and is currently used as an option for maintenance salvage therapy following failure of treatment with multiple lines of treatment (8,9). Apatinib combined with dose-dense paclitaxel and carboplatin neoadjuvant therapy was previously shown to significantly improve the pathological complete response rate to 60.9% in patients with triple-negative breast cancer who underwent surgery (10). However, rebound tumor growth occurred when VEGFR tyrosine kinase inhibitor (TKI) treatment was discontinued after the acquisition of resistance, and this growth was ultimately reversed after long-term anti-angiogenic treatment withdrawal (11). Given the poor prognosis of patients with ABC and the difficulty in the selection of therapeutic regimens following failure of routine treatments, the present study retrospectively analyzed the efficacy of sustained apatinib treatment in patients with ABC in a real-world setting to address the importance of anti-angiogenic treatment and the feature of rebound tumor growth mediated by anti-angiogenic treatment withdrawal.

Materials and methods

Patients and methods

Between January 2016 and October 2022, 74 patients with ABC who were treated with apatinib at Tangshan People's Hospital (Tangshan, China) were screened for inclusion. All patients received at least three lines of standard treatment according to the National Comprehensive Cancer Network (NCCN) guidelines (12). All patients were administered oral apatinib combined with other therapies, such as chemotherapeutic agents, endocrine therapy or targeted therapy. The patients were divided into neutrophil-to-lymphocyte ratio (NLR)-high and -low group, taking the median value of the NLR as the cut off. All patients met the following inclusion criteria: i) Pathologically diagnosed as having breast cancer; ii) underwent multiple lines of line therapy (≥4 lines) according to the NCCN guidelines; iv) had an Eastern Cooperative Oncology Group score of 1-3; v) were of clinical stage IV: vi) (13) possessed a measurable target lesion based on the Response Evaluation Criteria in Solid Tumors (RECIST) Version 1.1 criteria; vii) (14) were treated with oral apatinib for >4 weeks; and viii) had complete routine blood data available for at least 1 week before apatinib treatment. The exclusion criteria were as follows: i) Possessed another malignant tumor; and ii) had incomplete clinical pathological or follow-up data.

Treatment and follow-up

Eligible patients who had received multiple lines of treatment that had failed according to the NCCN guidelines received apatinib orally at a dose of 250 mg daily (one cycle every 4 weeks). Symptomatic treatment was scheduled if a patient exhibited grade II-III adverse events or above until the adverse events remitted to grade 1 or less. Patients received oral apatinib as a monotherapy or combination therapy, including chemotherapy, endocrine therapy, targeted therapy. Certain patients were continued on apatinib, but the combination of antitumor drugs was changed upon first PD, while other patients were switched from the apatinib and combined drug treatment to a different antitumor drug regimen upon first PD; this choice was determined by the physicians based on the patient's toxicity tolerance and the treatment's short-term efficacy.

The primary endpoint was overall survival (OS), calculated from the time of taking apatinib to either death from any cause or the last follow-up. The progression-free survival (PFS1), defined as the time from the beginning of apatinib to first PD. Patients were continued on apatinib combined with other drugs post-PD, such as etoposide, capecitabine, vinorelbine, gemcitabine, albumin paclitaxel, targeted therapy and ulvestrant endocrine therapy, with the aim of addressing persistent anti-angiogenic effects. PFS2 was defined as the time between the first PD to the second PD in next-line therapy or death from any cause. Patients who were continued on apatinib combined with other drugs as a next-line treatment post-first PD were defined as the CABF group, while those who discontinued apatinib were defined as the non-CABF group (Fig. 1).

Figure 1

Flowchart of the specific screening process. CABF, continued anti-angiogenic treatment beyond first progression.

Follow-up was performed by visits to the clinic, hospital admissions and telephone contact as of December 2022.

Efficacy evaluation

The first endpoint was overall survival (OS), and the secondary endpoints included PFS1, PFS2, PFS, objective response rate (ORR) and safety. Treatment responses were determined according to the RECIST 1.1 criteria. Computed tomography and ultrasound were performed every 4-6 weeks after oral apatinib until PD or patient withdrawal. Adverse events were assessed based on the Common Terminology Criteria for Adverse Events Version 4.0(15) and graded as 0-4.

Ethics statement

This study was conducted in line with the Declaration of Helsinki (as revised in 2013) and was approved by the Ethics Committee of Tangshan People's Hospital (approval no. RMYY-LLKS-2019-1224).

Statistical analysis

SPSS version 23.0 software (IBM Corp.) was used to conduct all statistical analyses. In the descriptive analysis, quantitative variables are described as the mean and range, while qualitative variables are described as quantity and percentage. Comparisons of the variables were performed using a χ2 or Fisher's test as appropriate. The normal distribution quantitative variables were described as mean ± standard deviation, and independent t-test was used for inter-group comparison. Survival analysis was conducted using Kaplan-Meier curves. Univariate analysis and log-rank test were performed, and the resulting significant variables were included in further multivariate Cox regression analyses. P<0.05 was considered to indicate a statistically significant difference.

Results

Clinical characteristics

A total of 63 patients were enrolled in the present study. The median age of the patients was 53 years (range: 29-78). The research population was entirely female. At first, 55 patients received a combination of apatinib and chemotherapeutic drugs, including capecitabine (20 patients), etoposide (20 patients), vinorelbine (7 patients), gemcitabine (4 patients) and albumin paclitaxel (4 patients). In addition, 4 patients received apatinib monotherapy, 2 patients received apatinib combined with pyrotinib targeting therapy and 2 patients received apatinib combined with endocrine therapy. After the first PD, apatinib was continued in 26 patients (26/63, 41.27%) who were defined as the CABF group. Among them, 6 patients (6/26, 23.08%) received combined therapy with etoposide, 4 patients (4/26, 15.38%) were treated with capecitabine, 2 patients (2/26, 7.69%) were treated with vinorelbine, 3 patients (3/26, 11.54%) were treated with gemcitabine, 4 patients (4/26, 15.38%) were treated with albumin paclitaxel, 6 patients (6/26, 23.08%) were treated with targeted therapy and 1 patient (1/26, 3.85%) received a combination with fulvestrant endocrine therapy. Based on the progression, the other 37 patients were allocated to the non-CABF group; that is, they were switched from apatinib-containing treatment to a new antitumor drug regimen. The detailed clinical differences in the baseline characteristics between the non-CABF and CABF groups of the 63 patients are shown in Table I.

Table I

Baseline characteristics of the non-CABF (n=37) and CABF (n=26) groups.

Table I

Baseline characteristics of the non-CABF (n=37) and CABF (n=26) groups.

Clinical characteristicsNon-CABFCABFP-value
Age, yearsb54.4 (35-78)51.9 (29-77)0.801
ECOG, n  0.502
     1-22923 
     383 
Molecular subtype  0.645
     Luminal (HER2-negative)1312 
     HER2-positive96 
     Triple-negative158 
Menstrual status  0.271
     Premenopause99 
     Postmenopause2817 
Lung metastasis  0.198
     Yes1917 
     No189 
Liver metastasis, n (%)  0.143
     Yes1112 
     No2614 
Brain, n (%)  0.495
     Yes74 
     No3022 
Bone, n (%)  0.254
     Yes1715 
     No2011 
Serous cavity, n (%)  0.257
     Yes56 
     No3220 
Lymph node, n (%)  0.155
     Yes114 
     No2622 
≥3 organ metastases, n (%)  0.341
     Yes2419 
     No137 
Previous number of treatment lines, n (%)  0.018a
     4164 
     >42122 
Combined therapy, n (%)  0.566
     Chemotherapy3124 
     Endocrine therapy11 
     Monotherapy31 
     Targeted therapy20 

[i] aP<0.05.

[ii] bMedian (range). ABC, advanced breast cancer; ECOG, Eastern Cooperative Oncology Group Performance; HER2, human epidermal growth factor receptor 2; PD, progressive disease; CABF, continued anti-angiogenic treatment beyond first progression.

The complete routine blood data of the total 63 patients within 1 week before apatinib treatment are shown in Table II. There was no significant difference between the non-CABF and CABF groups.

Table II

Serum characteristics of the patients with ABC before apatinib treatment.

Table II

Serum characteristics of the patients with ABC before apatinib treatment.

VariablesMedian of totalNon-CABFCABFP-value
Mean WBC count (x109/l)4.525.35±2.254.83±1.630.321
Neutrophils (x109/l)2.843.47±1.733.01±1.330.254
Lymphocytes (x109/l)1.341.44±0.691.40±0.540.780
NLR2.12.69±1.372.35±1.290.329
HGB (x109/l)115112.76±18.39119.04±16.400.168
PLT count (x109/l)235229.32±84.38222.23±80.080.738

[i] ABC, advanced breast cancer; CABF, continued anti-angiogenic treatment beyond first progression; WBC, white blood cell; NLR, neutrophil-to-lymphocyte ratio; HGB, hemoglobin; PLT, platelet.

Short-term efficacy

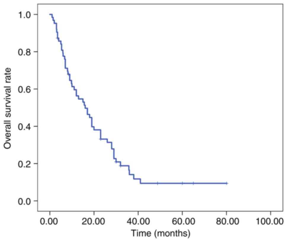
As of the cutoff date of December 2022, the median follow-up time was 15.6 months (range, 1-80 months). In the first efficacy evaluation, the therapeutic outcomes were PD in 10 patients (10/63, 15.87%), stable disease (SD) in 32 patients (32/63, 50.79%) and partial response (PR) in 21 patients (21/63, 33.33%). The ORR and the disease control rate were 33.3 and 84.1%, respectively. Among the 26 patients who continued oral apatinib treatment, PD was observed in 6 patients (6/26, 23.08%), SD in 9 patients (9/26, 34.62%) and PR in 11 patients (11/26, 42.31%). Of the 37 patients who refused continued apatinib treatment after progression, 40.54% experienced PD (15/37), 29.7% experienced SD (11/37) and 29.7% exhibited a PR (11/37). The best tumor response before and post-first progression is shown in Fig. 2. The overall population median OS time was 16.0 months (95% CI, 9.52-22.48; Fig. 3).

Figure 2

Response of patients treated with apatinib. PR, partial response; SD, stable disease; PD, progressive disease; CABF, continued anti-angiogenic treatment beyond first progression.

Figure 3

Kaplan-Meier curves of overall survival.

Log-rank univariate analysis for OS

Table III shows results of the univariate analysis of the OS with various clinical parameters in patients with ABC treated with apatinib. The results of the univariate analysis of OS showed statistically significant differences between the three groups in terms of molecular subtype, namely, luminal [human epidermal growth factor receptor 2 (HER2)-negative] (28 months; 95% CI, 16.62-39.38), HER2-positive (6 months; 95% CI, 0.00-12.06) and triple-negative (15 months; 95% CI, 7.89-22.11) (P=0.014). Statistically significant differences were observed in PFS1, PFS2 and OS between the patients in the CABF and non-CABF groups (P<0.05; Fig. 4A-C). The median OS time of the patients in NLR-low group (19 months; 95% CI, 7.76-30.24) was significantly longer than that of the patients in the NLR-high group (9 months; 95% CI, 1.45-16.55) (P=0.011; Fig. 4D).

Figure 4

Kaplan-Meier curves of PFS1 (A) PFS2 (B) and OS (C) of patients in the CABF and non-CABF groups. Kaplan-Meier curves of OS (D) of patients in the NLR-low and NLR-high groups. CABF, continued anti-angiogenic treatment beyond first progression; NLR, neutrophil-to-lymphocyte ratio; PFS, progression-free survival; OS, overall survival.

Table III

Univariate analysis of OS with clinical parameters in patients with ABC treated with apatinib.

Table III

Univariate analysis of OS with clinical parameters in patients with ABC treated with apatinib.

 PFSOS
Clinical parametermPFS1 time, monthsχ2 valueP-valuemOS time, monthsχ2 valueP-value
ECOG PS score 14.031<0.001 2.1530.142
     1-25.96  22.09  
     32.06  15.79  
Molecular subtype 11.5950.003 8.5410.014
     Luminal (HER2-negative)7.17  28.00  
     HER2-positive2.03  6.00  
     Triple-negative3.10  15.00  
Number of treatment cycles 0.0490.824 0.3520.553
     42.07  19.00  
     >43.10  12.00  
≥3 organ metastases 4.2820.039 1.3590.244
     Yes3.03  13.00  
     No4.07  19.00  
Brain metastasis 1.3140.252 2.2160.137
     Yes4.06  14.21  
     No5.56  23.79  
Apatinib sustained post-first PD 4.2330.040 8.4460.004
     CABF5.70  23.00  
     Non-CABF2.03  12.00  
NLR 6.7030.010 6.491 0.011a
     Low4.43  19.00  
     High2.00  9.00  
Hemoglobin 4.8120.028 2.0240.155
     Low2.13  12.00  
     High4.83  19.00  
Platelet count 0.3300.566 0.1250.723
     Low3.10  15.60  
     High4.03  17.00  
Secondary hypertension 0.4550.500 0.6510.420
     Yes4.83  19.00  
     No3.03  12.00  
Proteinuria 9.9540.002 2.1260.145
     Yes12.2  19.00  
     No3.03  15.60  

[i] OS, overall survival; PFS, progression-free survival; ABC, advanced breast cancer; ECOG, Eastern Cooperative Oncology Group; PS, performance status; HER2, human epidermal growth factor receptor 2; PD, progressive disease; CABF, continued anti-angiogenic treatment beyond first progression; NLR, neutrophil-to-lymphocyte ratio; WBC, white blood cell count; m, median.

Multivariate Cox regression analysis

The results of the multivariate logistic regression analysis showed that CABF and NLR were independent predictive factors for OS (Table IV).

Table IV

Multivariable analysis of overall survival with significant clinical parameters in patients with advanced breast cancer treated with apatinib.

Table IV

Multivariable analysis of overall survival with significant clinical parameters in patients with advanced breast cancer treated with apatinib.

Clinical parametersBSEWalddfP-valueExp(B)
Molecular subtype0.1570.1551.02810.3111.170
CABF-0.7120.2995.65610.0170.491
NLR0.5810.2844.16910.0411.787

[i] CABF, continued anti-angiogenic treatment beyond first progression; NLR, neutrophil-to-lymphocyte ratio; SE, Standard error; df, degree of freedom.

Adverse events

The overall incidence of grade ≥3 adverse events was low, with no cases of death caused by adverse events. Adverse events primarily included secondary hypertension, hand-foot syndrome, oral cavity mucositis, secondary proteinuria, fatigue and diarrhea, with no cases of gastrointestinal bleeding. Grade 2 or above adverse events were dominant in all patients and could be alleviated after symptomatic treatment or dose adjustment of apatinib (Table V).

Table V

Incidence of the main adverse events related to apatinib.

Table V

Incidence of the main adverse events related to apatinib.

Adverse effectsGrade I-II, n (%)Grade III-IV, n (%)
Hematology  
     Neutropenia22 (34.9)4 (6.3)
     Thrombocytopenia12 (19.0)1 (1.6)
Non-hematology  
     Secondary hypertension19 (30.2)3 (4.8)
     Hand-foot syndrome17 (27.0)1 (1.6)
     Fatigue21 (33.3)2 (3.2)
     Secondary proteinuria7 (11.1)0 (0.0)
     Oral cavity mucositis8 (12.7)0 (0.0)
     Diarrhea11 (17.5)0 (0.0)

Discussion

Angiogenesis, the process by which new blood vessels are formed from pre-existing vasculature, has been implicated in the growth, progression and metastasis of cancer, and tumor angiogenesis has been explored as a key therapeutic target for decades (16). Several trials have shown that adding bevacizumab to paclitaxel significantly improves the PFS time of patients with HER2-negative metastatic breast cancer (mBC) (17-19). Moreover, a meta-analysis of the E2100, AVADO and RIBBON-1 studies suggested that bevacizumab combined with chemotherapy as a first-line treatment for mBC significantly improved the ORR and PFS time, but did not improve OS time in patients with increased grade 3-4 adverse effects (20). However, the results of another meta-analysis suggested that use of chemotherapy with bevacizumab as an adjuvant, considering its favorable effects on clinical outcomes, was a preferred therapeutic option for patients with MBC, for whom the disease must be rapidly treated (21).

Apatinib, a anti-angiogenic TKI with moderate adverse events, can suppress angiogenesis, tumor growth and metastasis by inhibiting the phosphorylation of VEGFR2 and blocking downstream signaling pathways (22). Apatinib has been clinically used in patients with refractory ABC and is considered an efficient treatment for patients with mild adverse effects (23,24). In the present real-world study, a PR was observed in 21 patients (21/63, 33.33%) and SD was observed in 32 patients (32/63, 50.79%), with mild adverse effects (grades 1-2), such as secondary hypertension, hand-foot syndrome, oral cavity mucositis, secondary proteinuria, fatigue and diarrhea, with no cases of gastrointestinal bleeding. In addition, the enrolled patients had been heavily treated according to NCCN guidelines, and it was difficult to formulate a standard therapeutic schedule for them. Apatinib-containing treatment may be a promising therapeutic strategy for patients with ABC who have developed multidrug resistance to traditional chemotherapeutic agents.

However, tumor vascular rebound or increased growth has been reported following treatment discontinuation (25). These withdrawal-mediated tumor growth rebounds were found to decrease following long-term periods of discontinuation (11,26). Evidence suggests that in certain circumstances, continuing therapy beyond disease progression can result in antitumor activity (27,28). After first-line treatment with bevacizumab with chemotherapy, maintenance of bevacizumab treatment until disease progression or unacceptable levels of toxicity is a reasonable strategy to improve and maintain the clinical response, increase the time to progression, extend OS time, relieve tumor-related symptoms and delay the use of aggressive therapies, without compromising a patient's quality of life (28). The TANIA trial demonstrated that maintaining bevacizumab after the first and second PD led to improved second-line PFS times, which may be associated with increased redundancy of angiogenic pathways in the later stages in patients with ABC who were pretreated with bevacizumab (29). Low-dose apatinib has been shown to have a moderate effect in patients with ABC (9,23,24). However, to the best of our knowledge, no previous study has investigated apatinib rechallenge in patients with ABC. In the present study, of the 26 patients who continued to take apatinib after the first PD, 9 patients achieved SD and 11 achieved a PR. Univariate analysis revealed that apatinib sustained after the first PD was significantly associated with PFS1 and PFS2, and in some cases, even OS. Additionally, CABF was also an independent risk factor for OS, as shown by the results of the multivariate Cox regression analysis. This demonstrated that there was a rebound in tumor growth during the interval of anti-angiogenic therapy. Low-dose apatinib offers improved survival in patients with ABC and retains its antitumor activity even beyond disease progression.

Anti-angiogenic therapy not only reduces the formation of new blood vessels, which are essential for cancer growth and metastasis, but also reprograms the immune microenvironment of the tumor (30). Neutrophils produce various angiogenic molecules and an equally wide range of anti-angiogenic molecules (31). Neutrophils accumulate in the peripheral blood of patients with cancer, especially in those with advanced-stage disease, and a high circulating NLR is a robust biomarker of poor clinical outcomes in various types of cancer (32). As an easily accessible prognostic marker, a high NLR has been reported to be associated with a poor prognosis in breast cancer in several studies (33-35). Apatinib, as a moderate anti-angiogenic TKI, has been used in patients with refractory ABC in the clinic, but to the best of our knowledge, no association with NLR has been reported. Moreover, patients with hepatocellular carcinoma treated with apatinib with a low pretreatment NLR have been reported to have significantly longer OS and PFS times than those with a high pretreatment NLR (36). In the present study, using the median NLR as a cutoff, the patients in the NLR-low group showed a longer median OS time than those in the NLR-high group (19 vs. 9 months). This was likely due to low-dose apatinib alleviating hypoxia and remodeling the immunosuppressive tumor microenvironment to make it more permissive for antitumor immunity (37). In this manner, the drugs can be efficiently delivered to promote the release of new tumor antigens, increase the immune response and eventually improve the therapeutic outcome.

The results of the univariate analysis showed that the mean OS times of patients with luminal (HER2-negative), triple-negative, and HER2-positive molecular subtypes were 28, 15 and 6 months, respectively, but the results were not statistically significant. This may be since more HER2-positive patients in the CABF group had additional HER2 targeting therapy; nevertheless, only 2 patients (2/15) were treated with HER2 targeting therapy during first-line treatment with apatinib. Furthermore, 27.9% of the HER2-positive patients showed high VEGFR2 expression (38). According to a recent case report (39), two patients with multi-line anti-HER2 treatment failure who underwent apatinib and anti-HER2 combination treatment still had PFS times of 8.4 and 10.6 months; this suggests that apatinib can restore the HER2-targeting sensitivity and improve survival, but does not suggest abandoning the use of HER2-targeted therapy.

The present study was an observational trial in the real world and thus has associated limitations, such as a small sample size, a lack of diversity in the patient population and a lack of randomized design. However, a real-world study is more complicated and closer to clinical reality than a prospective study. Future studies with a larger cohort of patients are needed to verify these findings.

Acknowledgements

Not applicable.

Funding

Funding: This study was supported by the Health Planning Projects in Hebei Province, China (grant no. 20191614).

Availability of data and materials

The data generated in the present study may be requested from the corresponding author.

Authors' contributions

JW contributed to the design of the study, the analysis and interpretation of data, and the first draft of the manuscript. JJ, XY and JL performed the data collection and analysis, and revised the manuscript. ZY contributed to the design of the study, analysis and interpretation of data, and revised the manuscript. All authors have read and approved the final manuscript. JW, JJ, JL, XY and ZY confirm the authenticity of all the raw data.

Ethics approval and consent to participate

This study was conducted in line with the Declaration of Helsinki (as revised in 2013). The Ethics Committee of Tangshan People's Hospital (Tangshan, China) approved the study and waived the requirement for written informed consent (approval no. MYY-LLKS-2019-1224).

Patient consent for publication

Not applicable.

Competing interests

The authors declare that they have no competing interests.

References

1 

Sung H, Ferlay J, Siegel RL, Laversanne M, Soerjomataram I, Jemal A and Bray F: Global cancer statistics 2020: GLOBOCAN estimates of incidence and mortality worldwide for 36 cancers in 185 countries. CA Cancer J Clin. 71:209–249. 2021.PubMed/NCBI View Article : Google Scholar

2 

Jiménez-Valerio G and Casanovas O: Angiogenesis and metabolism: Entwined for therapy resistance. Trends Cancer. 3:10–18. 2017.PubMed/NCBI View Article : Google Scholar

3 

Roda N, Blandano G and Pelicci PG: Blood vessels and peripheral nerves as key players in cancer progression and therapy resistance. Cancers (Basel). 13(4471)2021.PubMed/NCBI View Article : Google Scholar

4 

Laborda-Illanes A, Sánchez-Alcoholado L, Castellano-Castillo D, Boutriq S, Plaza-Andrades I, Aranega-Martín L, Peralta-Linero J, Alba E, González-González A and Queipo-Ortuño MI: Development of in vitro and in vivo tools to evaluate the antiangiogenic potential of melatonin to neutralize the angiogenic effects of VEGF and breast cancer cells: CAM assay and 3D endothelial cell spheroids. Biomed Pharmacother. 157(114041)2023.PubMed/NCBI View Article : Google Scholar

5 

Hervé MA, Buteau-Lozano H, Vassy R, Bieche I, Velasco G, Pla M, Perret G, Mourah S and Perrot-Applanat M: Overexpression of vascular endothelial growth factor 189 in breast cancer cells leads to delayed tumor uptake with dilated intratumoral vessels. Am J Pathol. 172:167–178. 2008.PubMed/NCBI View Article : Google Scholar

6 

Huang L, Wei Y, Shen S, Shi Q, Bai J, Li J, Qin S, Yu H and Chen F: Therapeutic effect of apatinib on overall survival is mediated by prolonged progression-free survival in advanced gastric cancer patients. Oncotarget. 8:29346–29354. 2017.PubMed/NCBI View Article : Google Scholar

7 

Jain RK: Antiangiogenesis strategies revisited: From starving tumors to alleviating hypoxia. Cancer Cell. 26:605–622. 2014.PubMed/NCBI View Article : Google Scholar

8 

Liu Z, Shan J, Yu Q, Wang X, Song X, Wang F, Li C, Yu Z and Yu J: Real-World data on apatinib efficacy-results of a retrospective study in metastatic breast cancer patients pretreated with multiline treatment. Front Oncol. 11(643654)2021.PubMed/NCBI View Article : Google Scholar

9 

Cao M, Lu H, Yan S, Pang H, Sun L, Li C, Chen X, Liu W, Hu J, Huang J, et al: Apatinib plus etoposide in pretreated patients with advanced triple-negative breast cancer: A phase II trial. BMC Cancer. 23(463)2023.PubMed/NCBI View Article : Google Scholar

10 

Liu J, He M, Ou K, Wang X, Wang Y, Qi L, Chai Y, Jiang M, Ma F, Luo Y, et al: Efficacy and safety of apatinib combined with dose-dense paclitaxel and carboplatin in neoadjuvant therapy for locally advanced triple-negative breast cancer: A prospective cohort study with propensity-matched analysis. Int J Cancer. 154:133–144. 2024.PubMed/NCBI View Article : Google Scholar

11 

Mastri M, Tracz A, Lee CR, Dolan M, Attwood K, Christensen JG, Liu S and Ebos J: A transient pseudosenescent secretome promotes tumor growth after antiangiogenic therapy withdrawal. Cell Rep. 25:3706–3720.e8. 2018.PubMed/NCBI View Article : Google Scholar

12 

Gradishar WJ, Anderson BO, Balassanian R, Blair SL, Burstein HJ, Cyr A, Elias AD, Farrar WB, Forero A, Giordano SH, et al: NCCN guidelines insights breast cancer, version 1.2016. J Natl Compr Canc Netw. 13:1475–1485. 2015.PubMed/NCBI View Article : Google Scholar

13 

Oken MM, Creech RH, Tormey DC, Horton J, Davis TE, McFadden ET and Carbone PP: Toxicity and response criteria of the Eastern Cooperative Oncology Group. Am J Clin Oncol. 5:649–655. 1982.PubMed/NCBI

14 

Eisenhauer EA, Therasse P, Bogaerts J, Schwartz LH, Sargent D, Ford R, Dancey J, Arbuck S, Gwyther S, Mooney M, et al: New response evaluation criteria in solid tumours: Revised RECIST guideline (version 1.1). Eur J Cancer. 45:228–247. 2009.PubMed/NCBI View Article : Google Scholar

15 

Miller TP, Fisher BT, Getz KD, Sack L, Razzaghi H, Seif AE, Bagatell R, Adamson PC and Aplenc R: Unintended consequences of evolution of the Common Terminology Criteria for Adverse Events. Pediatr Blood Cancer. 66(e27747)2019.PubMed/NCBI View Article : Google Scholar

16 

Harry JA and Ormiston ML: Novel pathways for targeting tumor angiogenesis in metastatic breast cancer. Front Oncol. 11(772305)2021.PubMed/NCBI View Article : Google Scholar

17 

Miles D, Cameron D, Bondarenko I, Manzyuk L, Alcedo JC, Lopez RI, Im SA, Canon JL, Shparyk Y, Yardley DA, et al: Bevacizumab plus paclitaxel versus placebo plus paclitaxel as first-line therapy for HER2-negative metastatic breast cancer (MERiDiAN): A double-blind placebo-controlled randomised phase III trial with prospective biomarker evaluation. Eur J Cancer. 70:146–155. 2017.PubMed/NCBI View Article : Google Scholar

18 

Zielinski C, Láng I, Inbar M, Kahán Z, Greil R, Beslija S, Stemmer SM, Zvirbule Z, Steger GG, Melichar B, et al: Bevacizumab plus paclitaxel versus bevacizumab plus capecitabine as first-line treatment for HER2-negative metastatic breast cancer (TURANDOT): Primary endpoint results of a randomised, open-label, non-inferiority, phase 3 trial. Lancet Oncol. 17:1230–1239. 2016.PubMed/NCBI View Article : Google Scholar

19 

Masuda N, Takahashi M, Nakagami K, Okumura Y, Nakayama T, Sato N, Kanatani K, Tajima K and Kashiwaba M: First-line bevacizumab plus paclitaxel in Japanese patients with HER2-negative metastatic breast cancer: Subgroup results from the randomized Phase III MERiDiAN trial. Jpn J Clin Oncol. 47:385–392. 2017.PubMed/NCBI View Article : Google Scholar

20 

Rossari JR, Metzger-Filho O, Paesmans M, Saini KS, Gennari A, de Azambuja E and Piccart-Gebhart M: Bevacizumab and Breast Cancer: A meta-analysis of first-line phase III studies and a critical reappraisal of available evidence. J Oncol. 2012(417673)2012.PubMed/NCBI View Article : Google Scholar

21 

Li Z, Guo F, Han Y, Wang J and Xu B: Efficacy and safety of bevacizumab in pretreated metastatic breast cancer: A systematic review and meta-analysis. Oncol Res Treat. 45:608–617. 2022.PubMed/NCBI View Article : Google Scholar

22 

Wang N, Chen S, Liu D, Guo J, Sun Y, Zhang J, Kong Q and He L: Therapeutic effect of small molecule targeting drug apatinib on gastric cancer and its role in prognosis and anti-infection mechanism. Saudi J Biol Sci. 27:606–610. 2020.PubMed/NCBI View Article : Google Scholar

23 

Zeng T, Sun C, Liang Y, Yang F, Yan X, Bao S, Zhang Y, Huang X, Fu Z, Li W and Yin Y: A real-world multicentre retrospective study of low-dose apatinib for human epidermal growth factor receptor 2-negative metastatic breast cancer. Cancers (Basel). 14(4084)2022.PubMed/NCBI View Article : Google Scholar

24 

Li DD, Tao ZH, Wang BY, Wang LP, Cao J, Hu XC and Zhang J: Apatinib plus vinorelbine versus vinorelbine for metastatic triple-negative breast cancer who failed first/second-line treatment: The NAN trial. NPJ Breast Cancer. 8(110)2022.PubMed/NCBI View Article : Google Scholar

25 

Ebos JM and Pili R: Mind the gap: Potential for rebounds during antiangiogenic treatment breaks. Clin Cancer Res. 18:3719–3721. 2012.PubMed/NCBI View Article : Google Scholar

26 

Mastri M and Ebos JML: Tumor growth fueled by spurious senescence phenotypes. Mol Cell Oncol. 6(1575707)2019.PubMed/NCBI View Article : Google Scholar

27 

Kuczynski EA, Sargent DJ, Grothey A and Kerbel RS: Drug rechallenge and treatment beyond progression-implications for drug resistance. Nat Rev Clin Oncol. 10:571–587. 2013.PubMed/NCBI View Article : Google Scholar

28 

Ciruelos E, Pérez-García JM, Gavilá J, Rodríguez A and de la Haba-Rodriguez J: Maintenance therapy in HER2-Negative metastatic breast cancer: A new approach for an old concept. Clin Drug Investig. 39:595–606. 2019.PubMed/NCBI View Article : Google Scholar

29 

Vrdoljak E, Marschner N, Zielinski C, Gligorov J, Cortes J, Puglisi F, Aapro M, Fallowfield L, Fontana A, Inbar M, et al: Final results of the TANIA randomised phase III trial of bevacizumab after progression on first-line bevacizumab therapy for HER2-negative locally recurrent/metastatic breast cancer. Ann Oncol. 27:2046–2052. 2016.PubMed/NCBI View Article : Google Scholar

30 

Yi M, Jiao D, Qin S, Chu Q, Wu K and Li A: Synergistic effect of immune checkpoint blockade and anti-angiogenesis in cancer treatment. Mol Cancer. 18(60)2019.PubMed/NCBI View Article : Google Scholar

31 

Noonan DM, De Lerma Barbaro A, Vannini N, Mortara L and Albini A: Inflammation, inflammatory cells and angiogenesis: Decisions and indecisions. Cancer Metastasis Rev. 27:31–40. 2008.PubMed/NCBI View Article : Google Scholar

32 

Shaul ME and Fridlender ZG: Tumour-associated neutrophils in patients with cancer. Nat Rev Clin Oncol. 16:601–620. 2019.PubMed/NCBI View Article : Google Scholar

33 

Xiang Y, Zhang N, Lei H, Wu J, Wang W, Zhang H and Zeng X: Neutrophil-to-lymphocyte ratio is a negative prognostic biomarker for luminal A breast cancer. Gland Surg. 12:415–425. 2023.PubMed/NCBI View Article : Google Scholar

34 

Ethier JL, Desautels D, Templeton A, Shah PS and Amir E: Prognostic role of neutrophil-to-lymphocyte ratio in breast cancer: A systematic review and meta-analysis. Breast Cancer Res. 19(2)2017.PubMed/NCBI View Article : Google Scholar

35 

Guo W, Lu X, Liu Q, Zhang T, Li P, Qiao W and Deng M: Prognostic value of neutrophil-to-lymphocyte ratio and platelet-to-lymphocyte ratio for breast cancer patients: An updated meta-analysis of 17079 individuals. Cancer Med. 8:4135–4148. 2019.PubMed/NCBI View Article : Google Scholar

36 

Wang H, Wang Z, Hou Z, Yang X, Zhu K, Cao M, Zhu X, Li H and Zhang T: The Neutrophil-to-Lymphocyte Ratio (NLR) predicts the prognosis of unresectable intermediate and advanced hepatocellular carcinoma treated with apatinib. Cancer Manag Res. 13:6989–6998. 2021.PubMed/NCBI View Article : Google Scholar

37 

Zhao S, Ren S, Jiang T, Zhu B, Li X, Zhao C, Jia Y, Shi J, Zhang L, Liu X, et al: Low-Dose apatinib optimizes tumor microenvironment and potentiates antitumor effect of PD-1/PD-L1 blockade in lung cancer. Cancer Immunol Res. 7:630–643. 2019.PubMed/NCBI View Article : Google Scholar

38 

Kourea HP, Dimitrakopoulos FI, Koliou GA, Batistatou A, Papadopoulou K, Bobos M, Asimaki-Vlachopoulou A, Chrisafi S, Pavlakis K, Chatzopoulos K, et al: Clinical significance of major angiogenesis-related effectors in patients with metastatic breast cancer treated with trastuzumab-based regimens. Cancer Res Treat. 54:1053–1064. 2022.PubMed/NCBI View Article : Google Scholar

39 

He L, Shen X, Liu Y, Gao L, Wu J, Yu C, Li G, Wang X and Shao X: The reversal of anti-HER2 resistance in advanced HER2-positive breast cancer using apatinib: Two cases reports and literature review. Transl Cancer Res. 11:4206–4217. 2022.PubMed/NCBI View Article : Google Scholar

Related Articles

  • Abstract
  • View
  • Download
  • Twitter
Copy and paste a formatted citation
Spandidos Publications style
Wang J, Jia J, Liu J, Yao X and Yuan Z: Apatinib beyond first progression is associated with prolonged overall survival in patients with advanced breast cancer: Results from an observational study. Exp Ther Med 27: 200, 2024.
APA
Wang, J., Jia, J., Liu, J., Yao, X., & Yuan, Z. (2024). Apatinib beyond first progression is associated with prolonged overall survival in patients with advanced breast cancer: Results from an observational study. Experimental and Therapeutic Medicine, 27, 200. https://doi.org/10.3892/etm.2024.12488
MLA
Wang, J., Jia, J., Liu, J., Yao, X., Yuan, Z."Apatinib beyond first progression is associated with prolonged overall survival in patients with advanced breast cancer: Results from an observational study". Experimental and Therapeutic Medicine 27.5 (2024): 200.
Chicago
Wang, J., Jia, J., Liu, J., Yao, X., Yuan, Z."Apatinib beyond first progression is associated with prolonged overall survival in patients with advanced breast cancer: Results from an observational study". Experimental and Therapeutic Medicine 27, no. 5 (2024): 200. https://doi.org/10.3892/etm.2024.12488
Copy and paste a formatted citation
x
Spandidos Publications style
Wang J, Jia J, Liu J, Yao X and Yuan Z: Apatinib beyond first progression is associated with prolonged overall survival in patients with advanced breast cancer: Results from an observational study. Exp Ther Med 27: 200, 2024.
APA
Wang, J., Jia, J., Liu, J., Yao, X., & Yuan, Z. (2024). Apatinib beyond first progression is associated with prolonged overall survival in patients with advanced breast cancer: Results from an observational study. Experimental and Therapeutic Medicine, 27, 200. https://doi.org/10.3892/etm.2024.12488
MLA
Wang, J., Jia, J., Liu, J., Yao, X., Yuan, Z."Apatinib beyond first progression is associated with prolonged overall survival in patients with advanced breast cancer: Results from an observational study". Experimental and Therapeutic Medicine 27.5 (2024): 200.
Chicago
Wang, J., Jia, J., Liu, J., Yao, X., Yuan, Z."Apatinib beyond first progression is associated with prolonged overall survival in patients with advanced breast cancer: Results from an observational study". Experimental and Therapeutic Medicine 27, no. 5 (2024): 200. https://doi.org/10.3892/etm.2024.12488
Follow us
  • Twitter
  • LinkedIn
  • Facebook
About
  • Spandidos Publications
  • Careers
  • Cookie Policy
  • Privacy Policy
How can we help?
  • Help
  • Live Chat
  • Contact
  • Email to our Support Team