Spandidos Publications Logo
  • About
    • About Spandidos
    • Aims and Scopes
    • Abstracting and Indexing
    • Editorial Policies
    • Reprints and Permissions
    • Job Opportunities
    • Terms and Conditions
    • Contact
  • Journals
    • All Journals
    • Oncology Letters
      • Oncology Letters
      • Information for Authors
      • Editorial Policies
      • Editorial Board
      • Aims and Scope
      • Abstracting and Indexing
      • Bibliographic Information
      • Archive
    • International Journal of Oncology
      • International Journal of Oncology
      • Information for Authors
      • Editorial Policies
      • Editorial Board
      • Aims and Scope
      • Abstracting and Indexing
      • Bibliographic Information
      • Archive
    • Molecular and Clinical Oncology
      • Molecular and Clinical Oncology
      • Information for Authors
      • Editorial Policies
      • Editorial Board
      • Aims and Scope
      • Abstracting and Indexing
      • Bibliographic Information
      • Archive
    • Experimental and Therapeutic Medicine
      • Experimental and Therapeutic Medicine
      • Information for Authors
      • Editorial Policies
      • Editorial Board
      • Aims and Scope
      • Abstracting and Indexing
      • Bibliographic Information
      • Archive
    • International Journal of Molecular Medicine
      • International Journal of Molecular Medicine
      • Information for Authors
      • Editorial Policies
      • Editorial Board
      • Aims and Scope
      • Abstracting and Indexing
      • Bibliographic Information
      • Archive
    • Biomedical Reports
      • Biomedical Reports
      • Information for Authors
      • Editorial Policies
      • Editorial Board
      • Aims and Scope
      • Abstracting and Indexing
      • Bibliographic Information
      • Archive
    • Oncology Reports
      • Oncology Reports
      • Information for Authors
      • Editorial Policies
      • Editorial Board
      • Aims and Scope
      • Abstracting and Indexing
      • Bibliographic Information
      • Archive
    • Molecular Medicine Reports
      • Molecular Medicine Reports
      • Information for Authors
      • Editorial Policies
      • Editorial Board
      • Aims and Scope
      • Abstracting and Indexing
      • Bibliographic Information
      • Archive
    • World Academy of Sciences Journal
      • World Academy of Sciences Journal
      • Information for Authors
      • Editorial Policies
      • Editorial Board
      • Aims and Scope
      • Abstracting and Indexing
      • Bibliographic Information
      • Archive
    • International Journal of Functional Nutrition
      • International Journal of Functional Nutrition
      • Information for Authors
      • Editorial Policies
      • Editorial Board
      • Aims and Scope
      • Abstracting and Indexing
      • Bibliographic Information
      • Archive
    • International Journal of Epigenetics
      • International Journal of Epigenetics
      • Information for Authors
      • Editorial Policies
      • Editorial Board
      • Aims and Scope
      • Abstracting and Indexing
      • Bibliographic Information
      • Archive
    • Medicine International
      • Medicine International
      • Information for Authors
      • Editorial Policies
      • Editorial Board
      • Aims and Scope
      • Abstracting and Indexing
      • Bibliographic Information
      • Archive
  • Articles
  • Information
    • Information for Authors
    • Information for Reviewers
    • Information for Librarians
    • Information for Advertisers
    • Conferences
  • Language Editing
Spandidos Publications Logo
  • About
    • About Spandidos
    • Aims and Scopes
    • Abstracting and Indexing
    • Editorial Policies
    • Reprints and Permissions
    • Job Opportunities
    • Terms and Conditions
    • Contact
  • Journals
    • All Journals
    • Biomedical Reports
      • Information for Authors
      • Editorial Policies
      • Editorial Board
      • Aims and Scope
      • Abstracting and Indexing
      • Bibliographic Information
      • Archive
    • Experimental and Therapeutic Medicine
      • Information for Authors
      • Editorial Policies
      • Editorial Board
      • Aims and Scope
      • Abstracting and Indexing
      • Bibliographic Information
      • Archive
    • International Journal of Epigenetics
      • Information for Authors
      • Editorial Policies
      • Editorial Board
      • Aims and Scope
      • Abstracting and Indexing
      • Bibliographic Information
      • Archive
    • International Journal of Functional Nutrition
      • Information for Authors
      • Editorial Policies
      • Editorial Board
      • Aims and Scope
      • Abstracting and Indexing
      • Bibliographic Information
      • Archive
    • International Journal of Molecular Medicine
      • Information for Authors
      • Editorial Policies
      • Editorial Board
      • Aims and Scope
      • Abstracting and Indexing
      • Bibliographic Information
      • Archive
    • International Journal of Oncology
      • Information for Authors
      • Editorial Policies
      • Editorial Board
      • Aims and Scope
      • Abstracting and Indexing
      • Bibliographic Information
      • Archive
    • Medicine International
      • Information for Authors
      • Editorial Policies
      • Editorial Board
      • Aims and Scope
      • Abstracting and Indexing
      • Bibliographic Information
      • Archive
    • Molecular and Clinical Oncology
      • Information for Authors
      • Editorial Policies
      • Editorial Board
      • Aims and Scope
      • Abstracting and Indexing
      • Bibliographic Information
      • Archive
    • Molecular Medicine Reports
      • Information for Authors
      • Editorial Policies
      • Editorial Board
      • Aims and Scope
      • Abstracting and Indexing
      • Bibliographic Information
      • Archive
    • Oncology Letters
      • Information for Authors
      • Editorial Policies
      • Editorial Board
      • Aims and Scope
      • Abstracting and Indexing
      • Bibliographic Information
      • Archive
    • Oncology Reports
      • Information for Authors
      • Editorial Policies
      • Editorial Board
      • Aims and Scope
      • Abstracting and Indexing
      • Bibliographic Information
      • Archive
    • World Academy of Sciences Journal
      • Information for Authors
      • Editorial Policies
      • Editorial Board
      • Aims and Scope
      • Abstracting and Indexing
      • Bibliographic Information
      • Archive
  • Articles
  • Information
    • For Authors
    • For Reviewers
    • For Librarians
    • For Advertisers
    • Conferences
  • Language Editing
Login Register Submit
  • This site uses cookies
  • You can change your cookie settings at any time by following the instructions in our Cookie Policy. To find out more, you may read our Privacy Policy.

    I agree
Search articles by DOI, keyword, author or affiliation
Search
Advanced Search
presentation
Molecular Medicine Reports
Join Editorial Board Propose a Special Issue
Print ISSN: 1791-2997 Online ISSN: 1791-3004
Journal Cover
September 2013 Volume 8 Issue 3

Full Size Image

Sign up for eToc alerts
Recommend to Library

Journals

International Journal of Molecular Medicine

International Journal of Molecular Medicine

International Journal of Molecular Medicine is an international journal devoted to molecular mechanisms of human disease.

International Journal of Oncology

International Journal of Oncology

International Journal of Oncology is an international journal devoted to oncology research and cancer treatment.

Molecular Medicine Reports

Molecular Medicine Reports

Covers molecular medicine topics such as pharmacology, pathology, genetics, neuroscience, infectious diseases, molecular cardiology, and molecular surgery.

Oncology Reports

Oncology Reports

Oncology Reports is an international journal devoted to fundamental and applied research in Oncology.

Experimental and Therapeutic Medicine

Experimental and Therapeutic Medicine

Experimental and Therapeutic Medicine is an international journal devoted to laboratory and clinical medicine.

Oncology Letters

Oncology Letters

Oncology Letters is an international journal devoted to Experimental and Clinical Oncology.

Biomedical Reports

Biomedical Reports

Explores a wide range of biological and medical fields, including pharmacology, genetics, microbiology, neuroscience, and molecular cardiology.

Molecular and Clinical Oncology

Molecular and Clinical Oncology

International journal addressing all aspects of oncology research, from tumorigenesis and oncogenes to chemotherapy and metastasis.

World Academy of Sciences Journal

World Academy of Sciences Journal

Multidisciplinary open-access journal spanning biochemistry, genetics, neuroscience, environmental health, and synthetic biology.

International Journal of Functional Nutrition

International Journal of Functional Nutrition

Open-access journal combining biochemistry, pharmacology, immunology, and genetics to advance health through functional nutrition.

International Journal of Epigenetics

International Journal of Epigenetics

Publishes open-access research on using epigenetics to advance understanding and treatment of human disease.

Medicine International

Medicine International

An International Open Access Journal Devoted to General Medicine.

Journal Cover
September 2013 Volume 8 Issue 3

Full Size Image

Sign up for eToc alerts
Recommend to Library

  • Article
  • Citations
    • Cite This Article
    • Download Citation
    • Create Citation Alert
    • Remove Citation Alert
    • Cited By
  • Similar Articles
    • Related Articles (in Spandidos Publications)
    • Similar Articles (Google Scholar)
    • Similar Articles (PubMed)
  • Download PDF
  • Download XML
  • View XML
Article

Effects of dietary guidance on the symptoms, quality of life and habitual dietary intake of patients with irritable bowel syndrome

  • Authors:
    • Tarek Mazzawi
    • Trygve Hausken
    • Doris Gundersen
    • Magdy El-Salhy
  • View Affiliations / Copyright

    Affiliations: Section for Gastroenterology, Department of Medicine, Stord Helse-Fonna Hospital, Stord, Norway, Section for Gastroenterology, Institute of Medicine, Bergen University, Bergen, Norway, Department of Research, Helse-Fonna, Haugesund, Norway
  • Pages: 845-852
    |
    Published online on: July 2, 2013
       https://doi.org/10.3892/mmr.2013.1565
  • Expand metrics +
Metrics: Total Views: 0 (Spandidos Publications: | PMC Statistics: )
Metrics: Total PDF Downloads: 0 (Spandidos Publications: | PMC Statistics: )
Cited By (CrossRef): 0 citations Loading Articles...

This article is mentioned in:



Abstract

Diet is important in triggering the symptoms of irritable bowel syndrome (IBS). This study investigated the impact of dietary guidance on the symptoms, quality of life and habitual diet of patients with IBS. Forty‑six patients who fulfilled the Rome III criteria for the diagnosis of IBS were included. Of these patients, 17 completed the entire study. Each patient attended three sessions (~45 min in duration) and received individual guidance on their dietary management. The patients were asked to complete the following questionnaires prior to receiving the dietary guidance, and at least 3 months subsequently: The Birmingham IBS symptom score questionnaire, the IBS Quality of Life (IBS‑QOL) questionnaire, the Short‑Form Nepean and Dyspepsia Index (SF‑NDI) and the MoBa Food Frequency Questionnaire (MoBa FFQ). The time at which patients completed the questionnaires following dietary guidance ranged from 3‑9 months (median, 4 months). The total IBS symptom scores were reduced once the patients had received dietary guidance (P=0.001). The total score for the quality of life, as assessed by the IBS‑QOL and the SF‑NDI, increased significantly following the dietary guidance sessions (P=0.003 and P=0.002, respectively). There were no statistical differences in the intake of calories, carbohydrate, fiber, protein, fat or alcohol in the patients with IBS following dietary guidance. There were increases in the consumption of dairy products, β‑carotene, retinol equivalents, riboflavin, vitamin B12 and calcium, although only the increase in vitamin B12 consumption was statistically significant. There was a significant reduction in the consumption of certain fruits and vegetables that were rich in highly fermentable short‑chain carbohydrates, disaccharides, monosaccharides and polyols, as well as insoluble fibers. In conclusion, three 45-min dietary guidance sessions, administered by a nurse, reduced the symptoms and improved the quality of life of patients with IBS, and resulted in an adequate intake of vitamins and minerals. Individual dietary guidance is a cost‑effective option for the management of IBS.

Introduction

Irritable bowel syndrome (IBS) is a chronic functional bowel disorder characterized by a combination of symptoms that have a considerable impact on the patient’s quality of life. These symptoms include abdominal pain or discomfort and altered bowel habits (1,2). IBS is more common in females than in males, and is diagnosed more frequently in patients under the age of 50 (1). The prevalence of IBS has been calculated to range from 5–15% of the population worldwide, as determined by diagnostic criteria, such as the Rome criteria (1–14).

Approximately two-thirds of patients with IBS consider their symptoms to be related to their diet (15) and therefore restrict their intake of certain dietary agents that they perceive to be provocative. The most commonly reported triggers are carbohydrates and fatty foods, milk and dairy products, wheat products, caffeine, hot spices, certain meats, cabbage, onions, peas, beans and fried and smoked foods (16–19). Despite these reported effects, numerous studies have demonstrated that dietary composition does not markedly differ between patients with IBS and controls (15–21), although patients with IBS appear to have a low intake of calcium, potassium, magnesium, vitamin A, vitamin B12 and riboflavin (16,18,20,21).

In a previous study by our group, dietary guidance administered individually to patients with IBS reduced the symptoms of the condition and improved their quality of life, in addition to affecting their habitual diet so that their intake of minerals and vitamins became normalized (18). However, two groups of patients with IBS were compared in the study; one group received individual dietary guidance, whilst the second did not receive any dietary guidance. There were several important factors in the investigation that may have affected the outcome of the study, but were not able to be excluded, such as the differences in gender distribution and social background between the two groups. The present investigation was designed to control for these factors, and studied the effects in the same individuals before and 3–9 months after receiving individual dietary guidance.

Material and methods

Patients

Patients who had been referred to the gastroenterology department of Stord Helse-Fonna Hospital (Stord, Norway), and who fulfilled the Rome III criteria for the diagnosis of IBS were considered for inclusion in the study. Although both genders were able to participate, the patients were required to be between 18 and 69 years of age. Exclusion criteria comprised the presence of organic gastrointestinal disease, clinically significant systemic diseases, pregnancy or lactation, drug abuse, serious psychiatric diseases and collaboration issues. In addition, with the exception of appendectomy, cesarean section and hysterectomy, patients who had undergone abdominal surgery were excluded. This study was performed in accordance with the Declaration of Helsinki and was approved by the Regional Committee for Medical and Health Research Ethics West, Bergen, Norway. All patients provided oral and written consent to participate.

Study design

In total, 46 patients were included in the study. This included 35 females and 11 males with a mean age of 35 years (range, 18–69 years). Of these, 21 reported diarrhea (IBS-D), 18 reported constipation (IBS-C) and seven reported a mixture of both symptoms (IBS-M) as the predominant symptom of IBS. The patients underwent a complete physical examination, a gastroscopy with duodenal biopsies, a colonoscopy with segmental biopsies and several blood tests to exclude other organic causes for their symptoms. Each patient received three sessions of individual guidance on dietary management from a registered nurse with a specific education in IBS diet, with each session lasting ~45 min. The patients were asked to complete the following questionnaires before and ≥3 months subsequent to receiving the dietary guidance: The Birmingham IBS symptom score questionnaire, the IBS-Quality of Life (IBS-QOL) questionnaire, the Norwegian version of the Short-Form Nepean and Dyspepsia Index (SF-NDI) questionnaire and the MoBa Food Frequency Questionnaire (MoBa FFQ).

Individual guidance on diet management

Each patient attended three 45 min sessions with a registered nurse with special training in the IBS diet, and seven years experience of providing dietary guidance to patients with IBS. The sessions were scheduled with intervals of ≥2 weeks between them. The information at the sessions was provided orally, and using charts and illustrative drawings. Written information was also supplied.

In the first session, the patient received general information with regard to the importance of regular meals and healthy eating habits, along with the effect of the diet on the development of symptoms. Emphasis was placed on the role of poorly absorbed, highly fermentable oligosaccharides, disaccharides, monosaccharides and polyols (FODMAPs), although patients were also informed of the effects of soluble and insoluble dietary fibers. It was emphasized that milk and dairy products were not triggers for IBS symptoms, and that the patients should consume dairy products daily. The patient was asked to keep a diary in which they recorded the time of eating/drinking, and the types of food and drinks they ingested daily. In addition, they were asked to report the occurrence of abdominal pain, abdominal distention and bloating, as well as stool frequency and consistency. The patients were instructed to try protein-, fat-, and carbohydrate-rich/poor diets and report the symptoms for each in the diary. This was performed over a 2-week period.

In the second scheduled session, the information provided in the first session was summarized, before the diary was examined to determine which food items may be triggering the patient’s symptoms. The patients were then advised to avoid these items and other items that were rich in FODMAPs and insoluble fibers, such as onions, garlic, paprika, cabbage, carbonated beverages, ‘lite’ products (those containing artificial sweeteners), bananas, beans and peas. The patient was asked to replace wheat and wheat products with spelt and spelt products, respectively, and was provided with a list of vegetables and fruits that contained lower levels of FODMAPs and insoluble fibers (18). The patients were also instructed to avoid the intake of food items supplemented with probiotics during the course of the study.

During the third and final session, the patient’s experience regarding the management of their diet was discussed with the nurse, so that the patient and nurse were then able to utilize this information to design a suitable diet for the patient to follow.

IBS symptom assessment

The Birmingham IBS symptom score questionnaire was developed to measure the symptoms of patients with IBS. It is disease-specific, acceptable to patients and suitable for self-completion. Its dimensions have been demonstrated to have good reliability, external validity and sensitivity (22). The Birmingham IBS symptom score questionnaire consists of 11 questions based on the frequency of IBS symptoms. The responses to the questions are measured on a six-point Likert scale, ranging from 0 (none of the time) to 5 (all of the time). The questionnaire has three underlying dimensions: pain (three items), diarrhea (five items) and constipation (three items), with lower scores indicating improved symptoms.

Assessment of quality of life

The quality of life in patients with IBS was assessed by the IBS-QOL and SF-NDI questionnaires.

The IBS-QOL questionnaire is a 34-item, IBS-specific quality of life measure that assesses physical and psychosocial functioning as a result of IBS (23,24). The questionnaire comprises eight domains; dysphoria, interference with activity, body image, health concerns, food avoidance, social reaction, sexual function and impact on relations. Responses are provided on the following five-point Likert scale: not at all, slightly, moderately, quite a lot and extremely.

The SF-NDI questionnaire is a disease-specific measure of the health-related quality of life (HRQoL), with 10 questions divided into five subscale scores (tension, interference with daily activities, disruption to regular eating/drinking, knowledge towards/control over disease symptoms and interference with work/study). Each question has five options, ranging from 1 (not at all) to 5 (extremely); thus, the total score ranges from 10–50, as per the developer’s original calculation formula, with higher scores indicating worse functioning or symptoms. This questionnaire was constructed and validated primarily in patients with dyspepsia (25). A Norwegian translation of the questionnaire was validated and demonstrated to perform well in patients with IBS (26).

Dietary assessment

Dietary intake was assessed using a semi-quantitative, self-administered food frequency questionnaire (MoBa FFQ). The MoBa FFQ asks participants to report the frequency of consumption and portion size of certain items over a defined period of time. Each item is defined by a series of foods or beverages. Additional questions on food purchasing and preparation methods enable the analysis software to further refine nutrient calculations. The MoBa FFQ used in this study was developed and validated by the Norwegian Institute of Public Health in Oslo, Norway (27,28). It enquires about the intake of 225 food items, grouped according to typical Norwegian meal patterns, and is designed to capture the dietary habits of the participant over a defined period, including the intake of any oral supplements. Analysis of the obtained data provides information concerning the intake of energy, water, macronutrients, micronutrients, minerals and alcohol, in addition to 100 specific food groups and items. It also yields information regarding meal patterns.

Statistical analysis

The paired t-test was used to analyze the data. The data are presented as the mean ± SEM values, and P<0.05 was considered to indicate a statistically significant difference.

Results

Patients

Of the 46 patients recruited to this study, 18 abandoned the study; one was excluded due to non-compliance and one due to cooperation problems; four became better following the dietary guidance sessions, and then lost interest in and motivation for completing the study; two were diagnosed with celiac disease; one was diagnosed with lupus; one became pregnant and one moved abroad during the study. Thus, 17 of the original 46 patient cohort completed the study. These patients comprised 12 females and five males with a mean age of 34 years (range, 20–45 years); six of the 17 were IBS-D, eight were IBS-C and three were IBS-M. The time taken between receiving dietary guidance and completing the second set of questionnaires ranged from 3–9 months (median, 4 months).

Birmingham IBS symptom score questionnaire

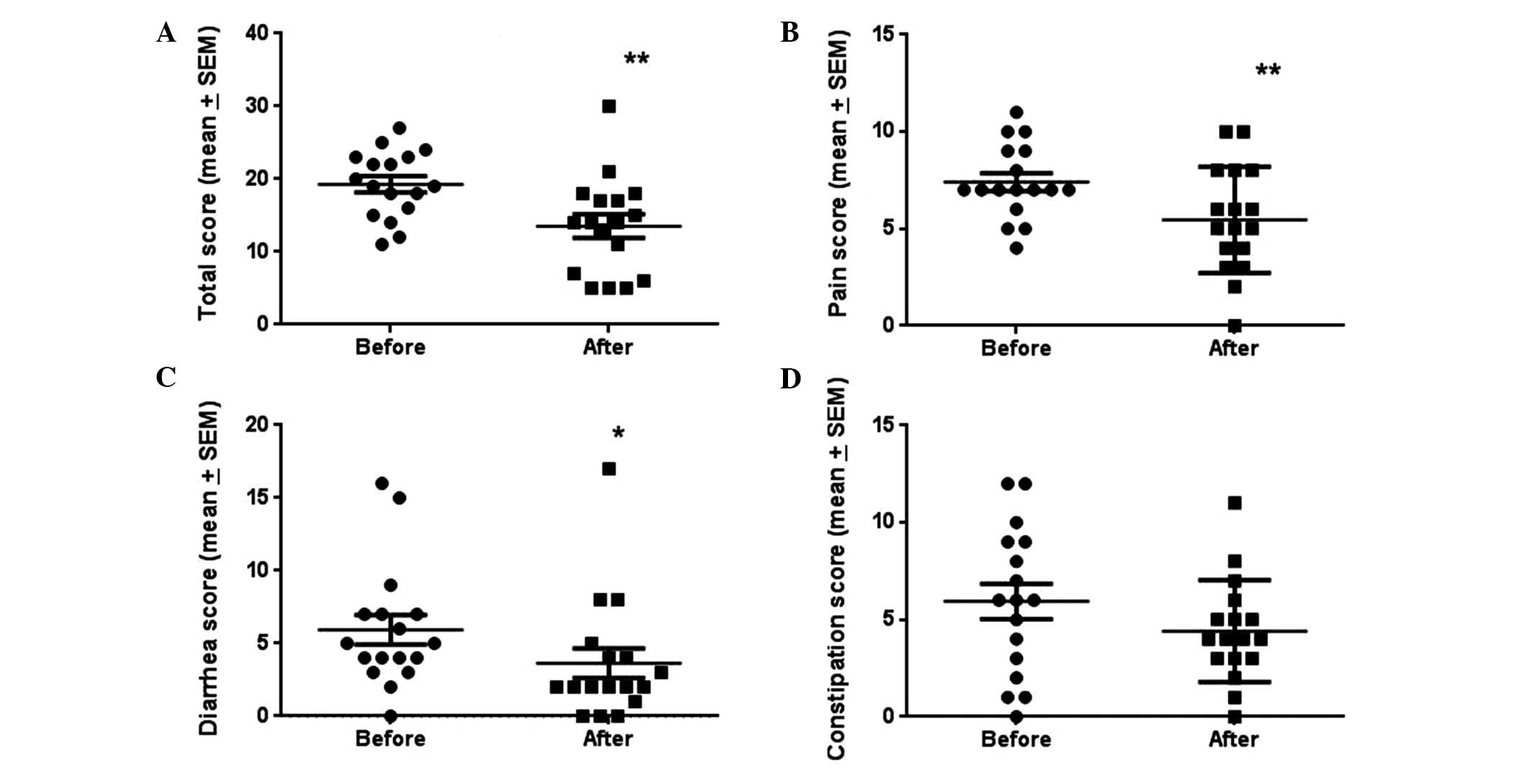
The total scores of the Birmingham IBS symptom score questionnaires before and subsequent to receiving dietary guidance were 41.47±1.62 and 35.71±1.12, respectively. The reduction in symptoms was statistically significant (P=0.001). All three of the questionnaire dimensions (i.e., abdominal pain, diarrhea and constipation) were also reduced following the dietary guidance sessions; however, the result for constipation was not statistically significant (Fig. 1).

Figure 1

(A) Total score and scores on the three dimensions [(B) abdominal pain, (C) diarrhea and (D) constipation] of the Birmingham irritable bowel syndrome (IBS) symptom score questionnaire in patients with IBS before and following dietary guidance sessions. *P<0.05 and **P<0.01.

IBS-QOL

The total IBS-QOL score increased significantly from 125.4±4.2 to 136.8±3.8 following the dietary guidance sessions (P=0.003). This improvement was statistically significant in all domains, with the exception of the impact on relations (Fig. 2 and Table I).

Figure 2

Total score for quality of life in patients with irritable bowel syndrome (IBS) before and following dietary guidance sessions, as assessed by the Irritable Bowel Syndrome-Quality of Life (IBS-QOL) questionnaire. **P<0.01.

Table I

Scores on the eight domains of the Irritable Bowel Syndrome-Quality of Life (IBS-QOL) questionnaire in patients with IBS before and following dietary guidance sessions.

Table I

Scores on the eight domains of the Irritable Bowel Syndrome-Quality of Life (IBS-QOL) questionnaire in patients with IBS before and following dietary guidance sessions.

IBS-QOL score

DomainBefore dietary guidanceFollowing dietary guidanceP-value
Dysphoria28.1±1.431.5±0.90.009b
Interference with activity18.6±0.720.9±0.70.003b
Body image18.1±0.820.0±1.10.007b
Health worry15.2±0.716.9±0.60.001b
Food avoidance5.8±0.64.6±0.40.018b
Social reactions18.8±0.820.6±0.70.021a
Sexual function8.2±0.48.9±0.30.035a
Impact on relations12.8±0.413.4±0.40.172

{ label (or @symbol) needed for fn[@id='tfn1-mmr-08-03-0845'] } Data are presented as the mean ± SEM.

a P<0.05 and

b P<0.01.

SF-NDI

The total SF-NDI scores (which reflect the reduction in HRQoL) before and following the dietary guidance sessions were 29.1±2.2 and 20.2±1.5, respectively. This improvement in HRQoL was statistically significant (P=0.002; Fig. 3).

Figure 3

Total score for the reduction in quality of life, as detected by the Short-Form Nepean and Dyspepsia Index (SF-NDI) quality of life questionnaire. **P<0.01.

MoBa FFQ

There were no statistically significant differences in the intake of calories, carbohydrate (total and starch), fiber, protein, fat (total, saturated and trans-, mono- and polyunsaturated), sugar or alcohol in the patients with IBS who received dietary guidance (Table II). However, there was a significant increase in the intake of cholesterol. The dietary guidance did not affect the meal pattern in the patients with IBS (Table III). There was an increase in the consumption of various dairy products, although the change was not statistically significant (Table IV). However, there was a decrease in the consumption of dairy products with probiotic supplements, in line with our recommendation during the study. Although the intake of β-carotene, retinol equivalents, calcium and riboflavin was increased, only the increase in vitamin B12 was statistically significant (Table V). There was a significant reduction in the consumption of various FODMAP- and insoluble fiber-rich fruits and vegetables (Table VI). The replacement of wheat and wheat products with spelt and spelt products, respectively, enabled the patients to consume the food items that they considered essential (Table VII).

Table II

Daily intake of macronutrients and alcohol in patients with irritable bowel syndrome (IBS) before and following dietary guidance sessions.

Table II

Daily intake of macronutrients and alcohol in patients with irritable bowel syndrome (IBS) before and following dietary guidance sessions.

Before dietary guidanceFollowing dietary guidanceP-value
Energy (kcal)1968±1831889±2190.610
Carbohydrates (g)
 Total249.7±28.6228.3±30.00.342
 Starch125.8±15.5108.2±13.10.185
Fiber (g)27.4±2.523.1±2.20.093
Protein (g)75.7±5.578.2±9.40.704
Fats (g)
 Total72.5±6.372.3±7.60.967
 Saturated26.6±2.626.5±3.20.965
 Cholesterol232.6±26.0288.6±38.90.040a
 Trans1.4±0.21.8±0.40.243
 Monounsaturated24.2±2.124.4±2.40.918
 Polyunsaturated14.9±1.413.9±1.30.334
Sugar (g)50.4±8.349.4±9.20.876
Alcohol (ml)1.4±0.61.2±0.40.620

{ label (or @symbol) needed for fn[@id='tfn4-mmr-08-03-0845'] } Data are presented as the mean ± SEM.

a P<0.05.

Table III

Weekly pattern of meal types in patients with irritable bowel syndrome (IBS) before and following dietary guidance sessions.

Table III

Weekly pattern of meal types in patients with irritable bowel syndrome (IBS) before and following dietary guidance sessions.

Number of meals

Meal typeBefore dietary guidanceFollowing dietary guidanceP-value
Breakfast2.1±0.51.8±0.40.260
Morning snack5.4±0.64.4±0.50.256
Lunch3.9±0.63.0±0.50.219
Snack before dinner6.2±0.65.9±0.60.716
Dinner1.4±0.21.3±0.20.579
Evening snack5.6±0.66.2±0.50.370
Supper3.1±0.53.2±0.40.675
Night time meal7.4±0.57.2±0.50.867

[i] Data are presented as the mean ± SEM.

Table IV

Daily intake of dairy products, artificial sweeteners and soft drinks in patients with irritable bowel syndrome (IBS) before and following dietary guidance sessions.

Table IV

Daily intake of dairy products, artificial sweeteners and soft drinks in patients with irritable bowel syndrome (IBS) before and following dietary guidance sessions.

Dairy productsBefore dietary guidanceFollowing dietary guidanceP-value
Milk products, whole fat (g)0.8±0.56.2±5.00.262
Milk products, low fat (g)118.8±59.9138.7±82.80.506
Sour milk with probiotic supplement (g)31.5±29.34.5±2.60.339
Yoghurt (g)14.1±4.634.4±10.60.070
Soya milk (g)0.9±0.61.3±0.90.332
Cheese, whole fat (g)7.0±2.97.8±3.70.676
Cheese, low fat (g)0.2±0.10.4±0.20.260
Brown goat’s cheese (g)1.1±0.42.6±1.80.335
Artificial sweeteners (mg)0.02±0.010.01±0.010.163
Soft drinks, sweetened (ml)71.3±31.953.5±20.70.478
Soft drinks, unsweetened (ml)91.7±39.837.5±29.20.085

[i] Data are presented as the mean ± SEM.

Table V

Daily intake of vitamins and minerals in patients with irritable bowel syndrome (IBS) before and following dietary guidance sessions.

Table V

Daily intake of vitamins and minerals in patients with irritable bowel syndrome (IBS) before and following dietary guidance sessions.

Before dietary guidanceFollowing dietary guidanceP-value
Vitamins
 β-carotene (mg)2543±5112721±3600.624
 Folate (μg)224.8±17.8223.2±28.80.942
 Niacin equivalents (μg)28.3±2.029.5±3.10.584
 Retinol equivalents (mg)839±951039±1520.199
 Riboflavin (mg)1.5±0.21.7±0.30.513
 Thiamin (mg)1.3±0.11.2±0.20.727
 Vitamin B6 (mg)1.4±0.11.3±0.10.478
 Vitamin B12 (μg)4.5±0.56.1±1.10.042a
 Vitamin C (mg)124.6±18.3126.1±16.60.913
 Vitamin D (μg)2.9±0.43.8±0.50.079
 Vitamin E (mg)10.2±0.910.1±0.90.941
Minerals
 Calcium (mg)773±85884±1860.373
 Copper (mg)1.2±0.11.1±0.10.383
 Iron (mg)9.7±0.78.9±0.90.412
 Magnesium (mg)358±28.3333.5±42.80.500
 Phosphorus (mg)1455±1101475±2130.901
 Potassium (mg)3577±2813454±4000.686
 Selenium (μg)50.1±3.754.6±5.90.316
 Sodium (mg)2694±2092618±2760.754
 Zinc (mg)9.6±0.79.5±1.20.925

{ label (or @symbol) needed for fn[@id='tfn8-mmr-08-03-0845'] } Data are presented as the mean ± SEM.

a P<0.05.

Table VI

Daily intake of various vegetables, fruits and berries in patients with irritable bowel syndrome (IBS) before and following dietary guidance sessions.

Table VI

Daily intake of various vegetables, fruits and berries in patients with irritable bowel syndrome (IBS) before and following dietary guidance sessions.

Daily intake (g)

Vegetables/fruits/berriesBefore dietary guidanceFollowing dietary guidanceP-value
Cauliflower: raw1.4±0.90.7±0.60.300
Cauliflower: cooked4.9±2.04.9±2.80.996
Broccoli: raw1.5±1.01.2±1.00.821
Broccoli: cooked5.2±1.45.4±2.20.909
Peas2.1±0.50.4±0.20.006b
Cabbage: raw1.5±1.00.1±0.10.193
Cabbage: cooked2.3±0.70.2±0.20.010a
Paprika: raw4.9±1.41.8±1.30.006b
Paprika: cooked3.3±0.90.7±0.30.019a
Onion, leak or garlic11.5±2.91.7±0.80.003b
Tomatoes5.7±1.611.2±3.40.102
Potatoes: fried5.5±1.27.6±1.30.070
Potatoes: cooked, mashed or gratin63.7±9.861.1±8.50.770
Oranges44.5±17.447.5±17.20.884
Bananas24.1±8.04.7±1.60.023a
Grapes16.2±5.02.6±1.40.016a
Pears16.5±6.34.5±2.40.059
Apples29.3±8.034.7±13.60.688
Peaches8.9±3.26.7±3.10.553
Grapefruit1.4±0.90.6±0.30.421
Mangos4.3±2.14.9±3.30.885
Plums2.3±0.94.4±2.90.497
Melons4.9±1.44.5±1.70.692
Blueberries6.9±2.16.5±2.10.879
Strawberries12.2±3.012.2±5.10.992
Prunes: dried0.3±0.10.7±0.30.188
Apricots: dried0.5±0.30.9±0.40.329
Mushrooms1.7±0.31.4±0.40.513
Green beans0.3±0.20.3±0.21.000

{ label (or @symbol) needed for fn[@id='tfn10-mmr-08-03-0845'] } Data are presented as the mean ± SEM.

a P<0.05 and

b P<0.01.

Table VII

Daily intake of patients with irritable bowel syndrome (IBS), demonstrating the replacement of wheat products with spelt products following dietaryguidance sessions.

Table VII

Daily intake of patients with irritable bowel syndrome (IBS), demonstrating the replacement of wheat products with spelt products following dietaryguidance sessions.

Daily intake (g)

Wheat/spelt productsBefore dietary guidanceFollowing dietary guidanceP-value
White bread3.4±1.74.4±1.70.636
Dark bread85.4±27.348.0±21.50.319
Spaghetti and other pasta15.1±2.013.4±1.60.456
Waffles or pancakes10.1±2.07.1±1.30.103
Chocolate cakes5.1±0.82.8±0.70.002b
Crisp bread15.4±7.217.2±6.30.723
Sweet buns4.7±1.51.1±0.30.025a

{ label (or @symbol) needed for fn[@id='tfn13-mmr-08-03-0845'] } Data are presented as the mean ± SEM.

a P<0.05 and

b P<0.01.

Discussion

There was a high incompletion rate in this study, with a completion rate of only 37%, and a rate of abandonment of 39%. This was within the limits (30–40%) of comparative studies (18,29). The low number of patients completing the study was due to several factors; 4% due to non-compliance and collaboration problems leading to exclusion; 9% due to a marked improvement in symptoms following the dietary guidance leading to a lack of motivation to continue with the study; 7% due to the diagnosis of an organic disease during the study; and 4% due to pregnancy and moving abroad.

A previous study demonstrated that although patients with IBS purposely avoided certain food items that were rich in FODMAPs, they unknowingly maintained a high FODMAP intake due to the consumption of alternative FODMAP-rich sources (18). It has also been reported that patients with IBS avoid certain food items, such as milk and dairy products, unnecessarily, which results in a low intake of certain vitamins and minerals (15,16,18,20). It is therefore apparent that patients with IBS require guidance to appropriately manage their diet.

The question of how dietary guidance should be provided, and what should it contain, remains unanswered. Individual guidance has been demonstrated to be effective in reducing the symptoms and improving the quality of life of patients with IBS (18), in comparison with guidance provided in a group situation (i.e., an IBS school), which has been demonstrated to be less effective (30–32). As discussed previously (20), the common dietary advice given to patients with IBS to reduce symptoms is unmanageable in daily life, and raises the risk of inadequate nutrient intake, particularly of vitamins and minerals. Dietary advice should be simple and easy to apply. In the present study, the patients were advised to avoid a small number of food items that were richest in FODMAPs and insoluble fibers, such as onions, garlic, paprika, beans and peas. In addition, they were advised to avoid foods containing artificial sweeteners and carbonated beverages.

In the present study, the replacement of wheat and wheat products with spelt and spelt products, respectively, enabled the patients with IBS to continue to consume food items, such as bread, without a drastic change to their lifestyle. Spelt is known to contain fewer galactans and fructans (both of which are FODMAPs) than wheat. This observation challenges the emerging concept that gluten has a role in the development of symptoms in IBS (33).

The present results demonstrate that three sessions of dietary guidance, each lasting 45 min and provided by a nurse, may reduce the symptoms and improve the quality of life of patients with IBS, as well improving their vitamin and mineral intake. This effect has been demonstrated to be long-term (18). This indicates that dietary guidance may be used as a cost-effective option for the management of IBS; combining dietary guidance with other lifestyle measures, such as a regular intake of probiotics and regular exercise, would augment the effect of dietary management (34). Food supplements with beneficial bacteria, including Lactobacillus spp. and Bifidobacterium spp., would increase the tolerance to both FODMAPs and fibers, since they do not produce gas on fermenting carbohydrates (1). In addition, physical activity has been found to increase gastrointestinal transit (35,36).

References

1 

El-Salhy M, Gundersen D, Hatlebakk JG and Hausken T: Irritable bowel syndrome. Nova Science Publishers; New York, NY: 2012

2 

Thompson WG: A world view of IBS. Irritable Bowel Syndrome: Diagnosis and Treatment. Camilleri M and Spiller RC: WB Saunders; Edinburgh: pp. 17–26. 2002

3 

Agréus L, Svärdsudd K, Nyrén O and Tibblin G: Irritable bowel syndrome and dyspepsia in the general population: overlap and lack of stability over time. Gastroenterology. 109:671–680. 1995.PubMed/NCBI

4 

Thompson WG and Heaton KW: Functional bowel disorders in apparently healthy people. Gastorenterology. 79:283–288. 1980.PubMed/NCBI

5 

Kennedy TM, Jones RH, Hungin AP, O’Flanagan H and Kelly P: Irritable bowel syndrome, gastro-oesophageal reflux, and bronchial hyper-responsiveness in the general population. Gut. 43:770–774. 1998. View Article : Google Scholar : PubMed/NCBI

6 

Drossman DA, Li Z, Andruzzi E, Temple RD, Talley NJ, Thompson WG, Whitehead WE, Janssens J, et al: U.S. householder survey of functional gastrointestinal disorders. Prevalence, sociodemography, and health impact. Dig Dis Sci. 38:1569–1580. 1993. View Article : Google Scholar : PubMed/NCBI

7 

Talley NJ, Gabriel SE, Harmsen WS, Zinsmeister AR and Evans RW: Medical costs in community subjects with irritable bowel syndrome. Gastroenterology. 109:1736–1741. 1995. View Article : Google Scholar : PubMed/NCBI

8 

Hungin AP, Whorwell PJ, Tack J and Mearin F: The prevalence, patterns and impact of irritable bowel syndrome: an international survey of 40,000 subjects. Aliment Pharmacol Ther. 17:643–650. 2003. View Article : Google Scholar : PubMed/NCBI

9 

Jones R and Lydeard S: Irritable bowel syndrome in the general population. BMJ. 304:87–90. 1992. View Article : Google Scholar : PubMed/NCBI

10 

Bordie AK: Functional disorders of the colon. J Indian Med Assoc. 58:451–456. 1972.PubMed/NCBI

11 

O’Keefe EA, Talley NJ, Zinsmeister AR and Jacobsen SJ: Bowel disorders impair functional status and quality of life in the elderly: a population-based study. J Gerontol A Biol Sci Med Sci. 50:M184–M189. 1995.PubMed/NCBI

12 

Everhart JE and Renault PF: Irritable bowel syndrome in office-based practice in the United States. Gastroenterology. 100:998–1005. 1991.PubMed/NCBI

13 

Wilson S, Roberts L, Roalfe A, Bridge P and Singh S: Prevalence of irritable bowel syndrome: a community survey. Br J Gen Pract. 54:495–502. 2004.PubMed/NCBI

14 

Harvey RF, Salih SY and Read AE: Organic and functional disorders in 2000 gastroenterology outpatients. Lancet. 1:632–634. 1983. View Article : Google Scholar : PubMed/NCBI

15 

Simrén M, Månsson A, Langkilde AM, Svedlund J, Abrahamsson H, Bengtsson U and Björnsson ES: Food-related gastrointestinal symptoms in the irritable bowel syndrome. Digestion. 63:108–115. 2001.PubMed/NCBI

16 

Williams EA, Nai X and Corfe BM: Dietary intakes in people with irritable bowel syndrome. BMC Gastroenterol. 11:92011. View Article : Google Scholar : PubMed/NCBI

17 

Nanda R, James R, Smith H, Dudley CR and Jewell DP: Food intolerance and the irritable bowel syndrome. Gut. 30:1099–1104. 1989. View Article : Google Scholar : PubMed/NCBI

18 

Ostgaard H, Hausken T, Gundersen D and El-Salhy M: Diet and effects of diet management on quality of life and symptoms in patients with irritable bowel syndrome. Mol Med Rep. 5:1382–1390. 2012.PubMed/NCBI

19 

El-Salhy M, Ostgaard H, Gundersen D, Hatlebakk JG and Hausken T: The role of diet in the pathogenesis and management of irritable bowel syndrome (Review). Int J Mol Med. 29:723–731. 2012.PubMed/NCBI

20 

Böhn L, Störsrud S and Simrén M: Nutrient intake in patients with irritable bowel syndrome compared with the general population. Neurogastroenterol Motil. 25:23–30. 2013.PubMed/NCBI

21 

Ligaarden SC, Lydersen S and Farup PG: Diet in subjects with irritable bowel syndrome: a cross-sectional study in the general population. BMC Gastroenterol. 12:612012. View Article : Google Scholar : PubMed/NCBI

22 

Roalfe AK, Roberts LM and Wilson S: Evaluation of the Birmingham IBS symptom questionnaire. BMC Gastroenterol. 8:302008. View Article : Google Scholar : PubMed/NCBI

23 

Patrick DL, Drossman DA, Frederick IO, DiCesare J and Puder KL: Quality of life in persons with irritable bowel syndrome: development and validation of a new measure. Dig Dis Sci. 43:400–411. 1998. View Article : Google Scholar : PubMed/NCBI

24 

Drossman DA, Patrick DL, Whitehead WE, Toner BB, Diament NE, Hu Y, Jia H and Bangdiwala SI: Further validation of the IBS-QOL: a disease-specific quality-of-life questionnaire. Am J Gastroenterol. 95:999–1007. 2000. View Article : Google Scholar : PubMed/NCBI

25 

Talley NJ, Verlinden M and Jones M: Quality of life in functional dyspepsia: responsiveness of the Nepean Dyspepsia Index and development of a new 10-item short form. Aliment Pharmacol Ther. 15:207–216. 2001. View Article : Google Scholar : PubMed/NCBI

26 

Arslan G, Lind R, Olafsson S, Florvaag E and Berstad A: Quality of life in patients with subjective food hypersensitivity: applicability of the 10-item short form of the Nepean Dyspepsia Index. Dig Dis Sci. 49:680–687. 2004. View Article : Google Scholar : PubMed/NCBI

27 

Masson LF, McNeill G, Tomany JO, Simpson JA, Peace HS, Wei L, Grubb DA and Bolton-Smith C: Statistical approaches for assessing the relative validity of a food-frequency questionnaire: use of correlation coefficients and the kappa statistic. Public Health Nutr. 6:313–321. 2003. View Article : Google Scholar : PubMed/NCBI

28 

Brantsaeter AL, Haugen M, Alexander J and Meltzer HM: Validity of a new food frequency questionnaire for pregnant women in the Norwegian Mother and Child Cohort Study (MoBa). Matern Child Nutr. 4:28–43. 2008. View Article : Google Scholar

29 

Enck P, Klosterhalfen S and Kruis W: Determination of placebo effect in irritable bowel syndrome. Dtsch Med Wochenschr. 130:1934–1937. 2005.(In German).

30 

Ringström G, Störsrud S, Lundqvist S, Westman B and Simrén M: Development of an educational intervention for patients with Irritable Bowel Syndrome (IBS): a pilot study. BMC Gastroenterol. 9:102009.PubMed/NCBI

31 

Ringström G, Störsrud S, Posserud I, Lundqvist S, Westman B and Simrén M: Structured patient education is superior to written information in the management of patients with irritable bowel syndrome: a randomized controlled study. Eur J Gastroenterol Hepatol. 22:420–428. 2010.PubMed/NCBI

32 

Ringström G, Störsrud S and Simrén M: A comparison of a short nurse-based and a long multidisciplinary version of structured patient education in irritable bowel syndrome. Eur J Gastroenterol Hepatol. 24:950–957. 2012.PubMed/NCBI

33 

Aziz I and Sanders DS: Emerging concepts: from coeliac disease to non-coeliac gluten sensitivity. Proc Nutr Soc. 71:576–580. 2012. View Article : Google Scholar : PubMed/NCBI

34 

El-Salhy M, Lillebø E, Reinemo A, Salmelid L and Hausken T: Effects of a health program comprising reassurance, diet management, probiotics administration and regular exercise on symptoms and quality of life in patients with irritable bowel syndrome. Gastroenterol Insights. 2:21–26. 2010. View Article : Google Scholar

35 

Strid H, Simrén M, Störsrud S, Stotzer PO and Sadik R: Effect of heavy exercise on gastrointestinal transit in endurance athletes. Scand J Gastroenterol. 46:673–677. 2011. View Article : Google Scholar : PubMed/NCBI

36 

Huang W, Huang X, Xing Z, Qiu X, Wang Y, Fan R, Liu W, et al: Meranzin hydrate induces similar effect to Fructus Aurantii on intestinal motility through activation of H1 histamine receptors. J Gastrointest Surg. 15:87–96. 2011. View Article : Google Scholar : PubMed/NCBI

Related Articles

  • Abstract
  • View
  • Download
  • Twitter
Copy and paste a formatted citation
Spandidos Publications style
Mazzawi T, Hausken T, Gundersen D and El-Salhy M: Effects of dietary guidance on the symptoms, quality of life and habitual dietary intake of patients with irritable bowel syndrome. Mol Med Rep 8: 845-852, 2013.
APA
Mazzawi, T., Hausken, T., Gundersen, D., & El-Salhy, M. (2013). Effects of dietary guidance on the symptoms, quality of life and habitual dietary intake of patients with irritable bowel syndrome. Molecular Medicine Reports, 8, 845-852. https://doi.org/10.3892/mmr.2013.1565
MLA
Mazzawi, T., Hausken, T., Gundersen, D., El-Salhy, M."Effects of dietary guidance on the symptoms, quality of life and habitual dietary intake of patients with irritable bowel syndrome". Molecular Medicine Reports 8.3 (2013): 845-852.
Chicago
Mazzawi, T., Hausken, T., Gundersen, D., El-Salhy, M."Effects of dietary guidance on the symptoms, quality of life and habitual dietary intake of patients with irritable bowel syndrome". Molecular Medicine Reports 8, no. 3 (2013): 845-852. https://doi.org/10.3892/mmr.2013.1565
Copy and paste a formatted citation
x
Spandidos Publications style
Mazzawi T, Hausken T, Gundersen D and El-Salhy M: Effects of dietary guidance on the symptoms, quality of life and habitual dietary intake of patients with irritable bowel syndrome. Mol Med Rep 8: 845-852, 2013.
APA
Mazzawi, T., Hausken, T., Gundersen, D., & El-Salhy, M. (2013). Effects of dietary guidance on the symptoms, quality of life and habitual dietary intake of patients with irritable bowel syndrome. Molecular Medicine Reports, 8, 845-852. https://doi.org/10.3892/mmr.2013.1565
MLA
Mazzawi, T., Hausken, T., Gundersen, D., El-Salhy, M."Effects of dietary guidance on the symptoms, quality of life and habitual dietary intake of patients with irritable bowel syndrome". Molecular Medicine Reports 8.3 (2013): 845-852.
Chicago
Mazzawi, T., Hausken, T., Gundersen, D., El-Salhy, M."Effects of dietary guidance on the symptoms, quality of life and habitual dietary intake of patients with irritable bowel syndrome". Molecular Medicine Reports 8, no. 3 (2013): 845-852. https://doi.org/10.3892/mmr.2013.1565
Follow us
  • Twitter
  • LinkedIn
  • Facebook
About
  • Spandidos Publications
  • Careers
  • Cookie Policy
  • Privacy Policy
How can we help?
  • Help
  • Live Chat
  • Contact
  • Email to our Support Team