Spandidos Publications Logo
  • About
    • About Spandidos
    • Aims and Scopes
    • Abstracting and Indexing
    • Editorial Policies
    • Reprints and Permissions
    • Job Opportunities
    • Terms and Conditions
    • Contact
  • Journals
    • All Journals
    • Oncology Letters
      • Oncology Letters
      • Information for Authors
      • Editorial Policies
      • Editorial Board
      • Aims and Scope
      • Abstracting and Indexing
      • Bibliographic Information
      • Archive
    • International Journal of Oncology
      • International Journal of Oncology
      • Information for Authors
      • Editorial Policies
      • Editorial Board
      • Aims and Scope
      • Abstracting and Indexing
      • Bibliographic Information
      • Archive
    • Molecular and Clinical Oncology
      • Molecular and Clinical Oncology
      • Information for Authors
      • Editorial Policies
      • Editorial Board
      • Aims and Scope
      • Abstracting and Indexing
      • Bibliographic Information
      • Archive
    • Experimental and Therapeutic Medicine
      • Experimental and Therapeutic Medicine
      • Information for Authors
      • Editorial Policies
      • Editorial Board
      • Aims and Scope
      • Abstracting and Indexing
      • Bibliographic Information
      • Archive
    • International Journal of Molecular Medicine
      • International Journal of Molecular Medicine
      • Information for Authors
      • Editorial Policies
      • Editorial Board
      • Aims and Scope
      • Abstracting and Indexing
      • Bibliographic Information
      • Archive
    • Biomedical Reports
      • Biomedical Reports
      • Information for Authors
      • Editorial Policies
      • Editorial Board
      • Aims and Scope
      • Abstracting and Indexing
      • Bibliographic Information
      • Archive
    • Oncology Reports
      • Oncology Reports
      • Information for Authors
      • Editorial Policies
      • Editorial Board
      • Aims and Scope
      • Abstracting and Indexing
      • Bibliographic Information
      • Archive
    • Molecular Medicine Reports
      • Molecular Medicine Reports
      • Information for Authors
      • Editorial Policies
      • Editorial Board
      • Aims and Scope
      • Abstracting and Indexing
      • Bibliographic Information
      • Archive
    • World Academy of Sciences Journal
      • World Academy of Sciences Journal
      • Information for Authors
      • Editorial Policies
      • Editorial Board
      • Aims and Scope
      • Abstracting and Indexing
      • Bibliographic Information
      • Archive
    • International Journal of Functional Nutrition
      • International Journal of Functional Nutrition
      • Information for Authors
      • Editorial Policies
      • Editorial Board
      • Aims and Scope
      • Abstracting and Indexing
      • Bibliographic Information
      • Archive
    • International Journal of Epigenetics
      • International Journal of Epigenetics
      • Information for Authors
      • Editorial Policies
      • Editorial Board
      • Aims and Scope
      • Abstracting and Indexing
      • Bibliographic Information
      • Archive
    • Medicine International
      • Medicine International
      • Information for Authors
      • Editorial Policies
      • Editorial Board
      • Aims and Scope
      • Abstracting and Indexing
      • Bibliographic Information
      • Archive
  • Articles
  • Information
    • Information for Authors
    • Information for Reviewers
    • Information for Librarians
    • Information for Advertisers
    • Conferences
  • Language Editing
Spandidos Publications Logo
  • About
    • About Spandidos
    • Aims and Scopes
    • Abstracting and Indexing
    • Editorial Policies
    • Reprints and Permissions
    • Job Opportunities
    • Terms and Conditions
    • Contact
  • Journals
    • All Journals
    • Biomedical Reports
      • Information for Authors
      • Editorial Policies
      • Editorial Board
      • Aims and Scope
      • Abstracting and Indexing
      • Bibliographic Information
      • Archive
    • Experimental and Therapeutic Medicine
      • Information for Authors
      • Editorial Policies
      • Editorial Board
      • Aims and Scope
      • Abstracting and Indexing
      • Bibliographic Information
      • Archive
    • International Journal of Epigenetics
      • Information for Authors
      • Editorial Policies
      • Editorial Board
      • Aims and Scope
      • Abstracting and Indexing
      • Bibliographic Information
      • Archive
    • International Journal of Functional Nutrition
      • Information for Authors
      • Editorial Policies
      • Editorial Board
      • Aims and Scope
      • Abstracting and Indexing
      • Bibliographic Information
      • Archive
    • International Journal of Molecular Medicine
      • Information for Authors
      • Editorial Policies
      • Editorial Board
      • Aims and Scope
      • Abstracting and Indexing
      • Bibliographic Information
      • Archive
    • International Journal of Oncology
      • Information for Authors
      • Editorial Policies
      • Editorial Board
      • Aims and Scope
      • Abstracting and Indexing
      • Bibliographic Information
      • Archive
    • Medicine International
      • Information for Authors
      • Editorial Policies
      • Editorial Board
      • Aims and Scope
      • Abstracting and Indexing
      • Bibliographic Information
      • Archive
    • Molecular and Clinical Oncology
      • Information for Authors
      • Editorial Policies
      • Editorial Board
      • Aims and Scope
      • Abstracting and Indexing
      • Bibliographic Information
      • Archive
    • Molecular Medicine Reports
      • Information for Authors
      • Editorial Policies
      • Editorial Board
      • Aims and Scope
      • Abstracting and Indexing
      • Bibliographic Information
      • Archive
    • Oncology Letters
      • Information for Authors
      • Editorial Policies
      • Editorial Board
      • Aims and Scope
      • Abstracting and Indexing
      • Bibliographic Information
      • Archive
    • Oncology Reports
      • Information for Authors
      • Editorial Policies
      • Editorial Board
      • Aims and Scope
      • Abstracting and Indexing
      • Bibliographic Information
      • Archive
    • World Academy of Sciences Journal
      • Information for Authors
      • Editorial Policies
      • Editorial Board
      • Aims and Scope
      • Abstracting and Indexing
      • Bibliographic Information
      • Archive
  • Articles
  • Information
    • For Authors
    • For Reviewers
    • For Librarians
    • For Advertisers
    • Conferences
  • Language Editing
Login Register Submit
  • This site uses cookies
  • You can change your cookie settings at any time by following the instructions in our Cookie Policy. To find out more, you may read our Privacy Policy.

    I agree
Search articles by DOI, keyword, author or affiliation
Search
Advanced Search
presentation
Molecular Medicine Reports
Join Editorial Board Propose a Special Issue
Print ISSN: 1791-2997 Online ISSN: 1791-3004
Journal Cover
December-2014 Volume 10 Issue 6

Full Size Image

Sign up for eToc alerts
Recommend to Library

Journals

International Journal of Molecular Medicine

International Journal of Molecular Medicine

International Journal of Molecular Medicine is an international journal devoted to molecular mechanisms of human disease.

International Journal of Oncology

International Journal of Oncology

International Journal of Oncology is an international journal devoted to oncology research and cancer treatment.

Molecular Medicine Reports

Molecular Medicine Reports

Covers molecular medicine topics such as pharmacology, pathology, genetics, neuroscience, infectious diseases, molecular cardiology, and molecular surgery.

Oncology Reports

Oncology Reports

Oncology Reports is an international journal devoted to fundamental and applied research in Oncology.

Experimental and Therapeutic Medicine

Experimental and Therapeutic Medicine

Experimental and Therapeutic Medicine is an international journal devoted to laboratory and clinical medicine.

Oncology Letters

Oncology Letters

Oncology Letters is an international journal devoted to Experimental and Clinical Oncology.

Biomedical Reports

Biomedical Reports

Explores a wide range of biological and medical fields, including pharmacology, genetics, microbiology, neuroscience, and molecular cardiology.

Molecular and Clinical Oncology

Molecular and Clinical Oncology

International journal addressing all aspects of oncology research, from tumorigenesis and oncogenes to chemotherapy and metastasis.

World Academy of Sciences Journal

World Academy of Sciences Journal

Multidisciplinary open-access journal spanning biochemistry, genetics, neuroscience, environmental health, and synthetic biology.

International Journal of Functional Nutrition

International Journal of Functional Nutrition

Open-access journal combining biochemistry, pharmacology, immunology, and genetics to advance health through functional nutrition.

International Journal of Epigenetics

International Journal of Epigenetics

Publishes open-access research on using epigenetics to advance understanding and treatment of human disease.

Medicine International

Medicine International

An International Open Access Journal Devoted to General Medicine.

Journal Cover
December-2014 Volume 10 Issue 6

Full Size Image

Sign up for eToc alerts
Recommend to Library

  • Article
  • Citations
    • Cite This Article
    • Download Citation
    • Create Citation Alert
    • Remove Citation Alert
    • Cited By
  • Similar Articles
    • Related Articles (in Spandidos Publications)
    • Similar Articles (Google Scholar)
    • Similar Articles (PubMed)
  • Download PDF
  • Download XML
  • View XML
Article

Effects of Asiasari radix on the morphology and viability of mesenchymal stem cells derived from the gingiva

  • Authors:
    • Su‑Hyeon Jeong
    • Ji‑Eun Lee
    • Seong-Ho Jin
    • Youngkyung Ko
    • Jun-Beom Park
  • View Affiliations / Copyright

    Affiliations: Department of Rehabilitation Medicine of Korean Medicine, Chungju Hospital of Korean Medicine, College of Korean Medicine, Semyung University, Jecheon 390‑711, Republic of Korea, Department of Periodontics, College of Medicine, The Catholic University of Korea, Seoul 137-701, Republic of Korea
  • Pages: 3315-3319
    |
    Published online on: October 3, 2014
       https://doi.org/10.3892/mmr.2014.2607
  • Expand metrics +
Metrics: Total Views: 0 (Spandidos Publications: | PMC Statistics: )
Metrics: Total PDF Downloads: 0 (Spandidos Publications: | PMC Statistics: )
Cited By (CrossRef): 0 citations Loading Articles...

This article is mentioned in:



Abstract

Medicinal herbs used in traditional Oriental medicine, which have been in use clinically for thousands of years, are attractive sources of novel therapeutics or preventatives. Asiasari radix (A. radix) has been suggested for use in the treatment of dental diseases, including toothache and aphthous stomatitis. The aim of this study was to evaluate the effects of A. radix extracts on the morphology and viability of human stem cells derived from the gingiva. An Asiasarum heterotropoides extract was centrifuged and freeze-dried in a lyophilizer. Stem cells derived from the gingiva were grown in the presence of A. radix at concentrations ranging between 0.1 µg/ml and 1 mg/ml (0, 0.1, 1, 10, 100 and 1,000 µg/ml). Cell morphology was evaluated with an optical microscope and the viability of the cells was quantitatively analyzed with a cell counting kit-8 (CCK-8) assay for up to seven days. The untreated control group exhibited normal fibroblast morphology. The shapes of the cells following 0.1, 1, 10 and 100 µg/ml A. radix treatments were similar to those of the control group. However, a significant change was noted in the 1,000 µg/ml group on day 1, when compared with the untreated group. Furthermore, on day 7, the shapes of the cells following 100 and 1,000 µg/ml A. radix treatments were rounder and fewer cells were present, when compared with those of the control group. The cultures that grew in the presence of A. radix did not exhibit any changes in the CCK‑8 assay on day 2; however, significant reductions in cell viability were noticed following 100 and 1,000 µg/ml A. radix treatment on days 5 and 7. Within the limits of this study, A. radix influenced the viability of the stem cells derived from the gingiva. Thus, the direct application of A. radix to oral tissues may produce adverse effects at high doses. Therefore, the concentration and application time of A. radix requires meticulous control to obtain optimal results. These effects require consideration, if the use of A. radix is planned for the treatment of dental diseases.

Introduction

Medicinal herbs, which have been used for thousands of years in traditional Oriental medicine, are attractive sources of novel therapeutics or preventives (1,2). The herbs have been pre-validated for effectiveness and are expected to have fewer safety issues than chemically synthesized drugs (3).

Asiasari radix (A. radix) has been used as a flavoring substance in a wide variety of dietary products, and as an ingredient in drinks, cosmetics, soaps, shampoos, fragrances and herbal products, without reported adverse effects (4). A. radix is termed seshin in Korean, xì xīn in Chinese and saishin in Japanese, and is used for treating pain, allergies and inflammatory disorders in traditional Oriental medicine (3,5,6). A. radix is primarily derived from either Asiasarum heterotropoides or Asiasarum sieboldii (6). Studies has been performed regarding the anti-inflammatory and anti-allergy effects of A. radix (7,8).

A. radix has been suggested for use in the treatment of oral diseases, including toothache and aphthous stomatitis (9,10), as this therapy been suggested to exert antibacterial and anti-inflammatory effects (3,6). However, only limited information is currently available regarding the effects of A. radix on dental tissue (11) and no information is available on the effects on mesenchymal stem cells derived from the gingiva.

The aim of the present study was to evaluate the effects of Asiasarum heterotropoides extract on the morphology and viability of the human stem cells derived from the gingiva.

Materials and methods

Preparation

The dry roots of Asiasarum heterotropoides (400 g) were immersed in distilled water and boiled under reflux for 150 min. The resulting extract was centrifuged at 5,000 × g for 10 min, and the supernatant was concentrated to 300 ml using a rotary evaporator under reduced pressure (Eyela NE-1001, Tokya Rikakikai Co. Ltd, Tokyo, Japan). The concentrates were then freeze-dried in a lyophilizer (Labconco, Kansas, MO, USA) to obtain 65 g solid residue (yield 16%, w/w).

Isolation and culture of stem cells derived from the gingiva

Healthy gingival tissue samples were collected from healthy patients undergoing clinical crown lengthening procedures. The design of this study was reviewed and approved by the Institutional Review Board of Seoul St. Mary’s Hospital, College of Medicine, the Catholic University of Korea, Seoul, Republic of Korea (KC11SISI0348) and informed consent was obtained from the patients.

The gingival tissue was de-epithelialized, minced and digested with collagenase IV (Sigma-Aldrich, St. Louis, MO, USA). The cells were incubated at 37°C in a humidified incubator with 5% CO2 and 95% O2. After 24 h, any non-adherent cells were washed with phosphate-buffered saline (Welgene, Daegu, Korea) and fresh medium was added. The media was changed every 2–3 days.

Determination of cell viability

The cells were plated at a density of 2.0×103 cells/well in 96-well plates. The cells were incubated in minimum essential medium-α containing 15% fetal bovine serum (Gibco-BRL, Carlsbad, CA, USA), 100 U/ml penicillin, 100 μg/ml streptomycin (Sigma-Aldrich), 200 mm L-Glutamine (Sigma-Aldrich) and 10 mm ascorbic acid 2-phosphate (Sigma-Aldrich) in the presence of A. radix at concentrations of: 0 (untreated control), 0, 0.1, 1, 10, 100 and 1,000 μg/ml, respectively. 2-(2-methoxy-4-nitrophenyl)-3-(4-nitrophenyl)-5-(2,4-disulfophenyl)-2H tetrazolium, monosodium salt (WST-8; Cell Counting kit-8 CCK-8; Dojindo, Tokyo, Japan) was then added and the cells were incubated for 1 h at 37°C. The analysis was performed on days 2, 3, 5 and 7. Viable cells were identified using the CCK-8 assay, which relies on the ability of mitochondrial dehydrogenases to oxidize WST-8 to a formazan product. The spectrophotometric absorbance at 450 nm was measured using a microplate reader (BioTek Instruments, Inc., Winooski, VT, USA). The experiments were performed in triplicate.

Evaluation of cellular morphology

The morphology of the cells was viewed under an inverted microscope (Leica DM IRM; Leica Microsystems, Wetzlar, Germany) on days 1, 3, 5 and 7. The images were saved as JPEGs.

Statistical analysis

The data are presented as the mean ± standard deviation. A one-way analysis of variance with post hoc test was performed to determine the differences among the groups using a commercially available program (SPSS 12 for Windows; SPSS, Inc., Chicago, IL, USA). P<0.05 was considered to indicate a statistically significant difference.

Results

Cell morphology

The control group exhibited normal fibroblast morphology on day 1 (Fig. 1A). The shapes of the cells following 0.1, 1, 10 and 100 μg/ml A. radix treatment were similar to those of the control group (Fig. 1B–E). A significant alteration was noted in the 1,000 μg/ml group when compared with the untreated group. The shapes of the cells in 1,000 g/ml group were rounder and fewer cells were present (Fig. 1F).

Figure 1

Evaluation of gingival cell morphology on day 1 following: (A) Control, (B) 0.1 μg/ml, (C) 1 μg/ml, (D) 10 μg/ml, (E) 100 μg/ml and (F) 1,000 μg/ml A. radix treatment.

The morphology of the cells on day 3 is shown in Fig. 2. The shapes of the cells subsequent to 0.1, 1, 10 and 100 μg/ml A. radix treatement remained similar to those of the control group. The morphologies of the cells on days 5 and 7 are shown in Figs. 3 and 4, respectively. Marked alterations in cytoskeletal organization were noticed in the 100 and 1,000 μg/ml A. radix groups. The shapes of these cells were rounder, and fewer cells were present, when compared with those of the control group.

Figure 2

Gingival cell morphology on day 3 following: (A) Control, (B) 0.1 μg/ml, (C) 1 μg/ml, (D) 10 μg/ml, (E) 100 μg/ml and (F) 1,000 μg/ml A. radix treatment.

Figure 3

Evaluation of gingival cell shape on day 5 following: (A) Control, (B) 0.1 μg/ml, (C) 1 μg/ml, (D) 10 μg/ml, (E) 100 μg/ml and (F) 1,000 μg/ml A. radix treatment.

Figure 4

Evaluation of gingival cell morphology on day 7 following (A) Control, (B) 0.1 μg/ml, (C) 1 μg/ml, (D) 10 μg/ml, (E) 100 μg/ml and (F) 1,000 μg/ml A. radix treatment.

Cellular viability

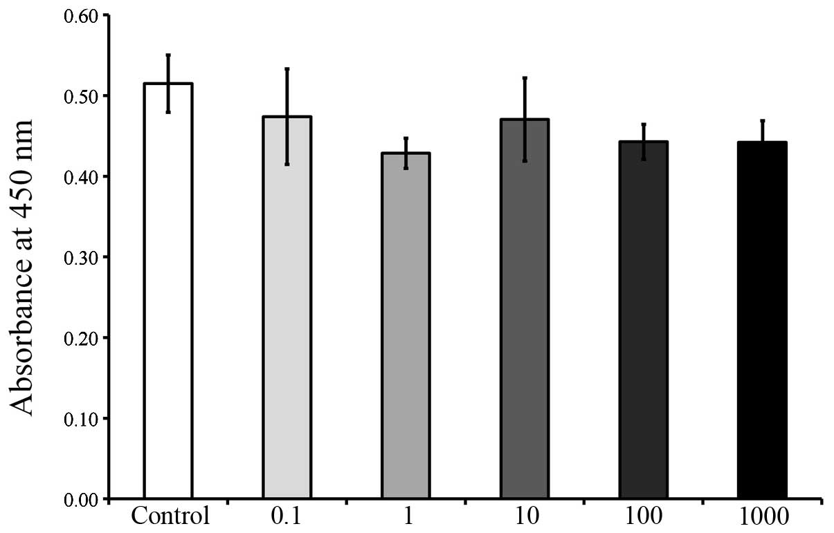
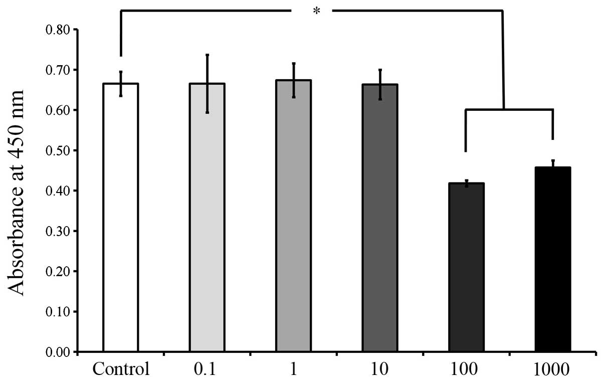
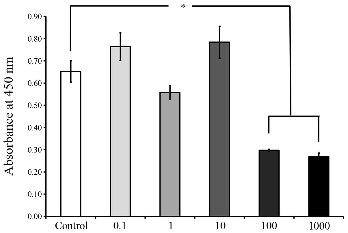
The CCK-8 results on days 2, 3, 5 and 7 are shown in Figs. 5, 6, 7 and 8, respectively. The cultures growing in the presence of A. radix did not exhibit any changes in the CCK-8 assays on day 2 and no significant differences were identified among the six groups (Fig. 5). However, on day 3, a significant reduction in cell viability was observed in the groups with higher concentrations A. radix treatment (1, 10, 100 and 1,000 μg/ml), when compared with the cells in the control group(P<0.05; Fig. 6). The viability results on days 5 and 7, as shown in Figs. 7 and 8, respectively, revealed significant reductions in cell viability following 100 and 1,000 μg/ml A. radix treatment (P<0.05; Figs. 7 and 8), when compared with the control cells.

Figure 5

Gingival cell viability on day 2 following 0.1, 1, 10 and 100 μg/ml A. radix treatment.

Figure 6

Gingival cell viability on day 3 following 0.1, 1, 10 and 100 μg/ml A. radix treatment. *P<0.05, as compared with the control group; **P<0.05, as compared with the 0.1 μg/ml group.

Figure 7

Gingival cell viability on day 5 following 0.1, 1, 10 and 100 μg/ml A. radix treatment. *P<0.05, as compared with the control group.

Figure 8

Gingival cell viability on day 7 following 0.1, 1, 10 and 100 μg/ml A. radix treatment. *P<0.05, as compared with the control group.

Discussion

In this report, the effects of A. radix on the morphology and cell viability of stem cells derived from the gingiva under predetermined concentrations were examined. High concentrations of A. radix exerted adverse effects on the gingival stem cells, and a significant reduction in cellular viability was observed at 100 and 1,000 μg/ml A. radix concentrations.

The effects of A. radix have been previously analyzed in in vitro and in vivo experiments (4,12,13). One study revealed no significant effect on the growth of HeLa cells following A. radix treatment for 72 h at a range of concentrations between 0.0001 and 1,000 μg/ml (12). The safety of an A. radix methanol extract was investigated in an oral sub-acute 28-day toxicity study in Sprague-Dawley rats at doses of 50, 250 and 500 mg/kg/day, and the authors concluded that the methanolic extract of A. radix appeared to be safe and nontoxic within the experimental conditions (4). The acute oral toxicity of A. radix methanol extract was evaluated in ICR mice; the results revealed no cases of mortality, signs of toxicity or abnormalities in the gross findings (13). The authors concluded that the methanol extract of A. radix was toxicologically safe for oral administration. However, the results of the present study demonstrated that gingival cells treated with 100 and 1,000 μg/ml A. radix exhibited cell damage with significant reductions in cell viability on days 3, 5 and 7. The conflicting results regarding the different responses to A. radix may, in part, be attributed to the type of cells, culturing period or culturing conditions (14).

In the present study, a CCK-8 assay utilizing water-soluble tetrazolium salt-8 was used to evaluate the viability of the gingival cells. MTT (3-(4,5-dimethylthiazol-2-yl)-2,5-diphenyltetrazolium bromide) is reported to be a more sensitive assay than trypan blue (15), which is determined by the principle that viable cells have intact cell membranes that exclude the trypan blue dye (16). Dead cells absorb trypan blue and appear blue as a consequence, as the cell membranes are unable to control the passage of macromolecules. The MTT assay determines cellular viability by determining mitochondrial dehydrogenase activity; however, further treatment is required to solubilize the formazan crystals and the MTT agent may be toxic to the cells (17). CCK-8 assay has been reported to be more sensitive than the MTT assay and less toxic to cells (17).

Increasing interest has been generated in the potential of stem cells, which are promising candidates for the regeneration of tissues and the treatment of diseases (18). Mesenchymal stem cells (MSCs) may be isolated from various tissues, including bone marrow (19), adipose tissue (20) and muscle (21). Recently, MSCs have been identified in various oral tissues, including dental pulp (22), the lamina propria of the oral mucosa (23) and the periodontal ligaments (24). These tissues may not be easily accessible or obtainable (25); however, the gingiva is easily accessible in dental clinics and, as this tissue is discarded in routine periodontal surgery, may be utilized for the isolation of human MSCs. Thus, stem cells derived from the gingiva may be useful in the investigation and treatment of disease.

A. radix, a traditional herbal medicine commonly used to treat various diseases, has been reported to be safe and nontoxic in previous studies (4,13). A. radix has been shown to treat dental diseases (9,10,26); however, limited information is available regarding the optimal dosage. The present study provided clarification with regard to these issues. A. radix was shown to influence the viability of stem cells derived from the gingiva, with reduced viability at higher concentrations. Therefore, the direct application of A. radix to oral tissues may produce adverse effects at high doses. Thus, the concentration and application time of A. radix requires meticulous control to obtain optimal results.

Acknowledgements

The present study was supported by the Basic Science Research Program, through the National Research Foundation of Korea funded by the Ministry of Science, ICT & Future Planning (NRF-2014R1A1A1003106).

References

1 

Lee KH: Research and future trends in the pharmaceutical development of medicinal herbs from Chinese medicine. Public Health Nutr. 3:515–522. 2000.PubMed/NCBI

2 

Feng Y, Wu Z, Zhou X, Zhou Z and Fan W: Knowledge discovery in traditional Chinese medicine: state of the art and perspectives. Artif Intell Med. 38:219–236. 2006. View Article : Google Scholar : PubMed/NCBI

3 

Oh SM, Kim J, Lee J, et al: Anticancer potential of an ethanol extract of Asiasari radix against HCT-116 human colon cancer cells in vitro. Oncol Lett. 5:305–310. 2013.PubMed/NCBI

4 

Ramesh T, Lee K, Lee HW and Kim SJ: Subacute toxicological evaluation of Asiasari radix methanol extract. Drug Chem Toxicol. 32:243–251. 2009. View Article : Google Scholar : PubMed/NCBI

5 

Jeon HC, Rho EJ, Kim HR and Yun YG: A study on application of Radix Asari main blended prescription from Dongeubogam. Korean J Oreint Med Prescription. 12:57–76. 2004.(In Korean).

6 

Jang JY, Lee JH, Shin HK, et al: Partially purified Asiasari radix inhibits melanogenesis through extracellular signal-regulated kinase signaling in B16F10 cells. Int J Mol Med. 25:287–292. 2010.

7 

Kamei T, Kondoh T, Nagura S, et al: Improvement of C-reactive protein levels and body temperature of an elderly patient infected with Pseudomonas aeruginosa on treatment with Mao-bushi-saishin-to. J Altern Complement Med. 6:235–239. 2000. View Article : Google Scholar : PubMed/NCBI

8 

Kim HM and Moon YS: Asiasari radix inhibits immunoglobulin E production on experimental models in vitro and in vivo. Immunopharmacol Immunotoxicol. 21:469–481. 1999. View Article : Google Scholar

9 

Han Y and Kim SJ: Memory enhancing actions of Asiasari radix extracts via activation of insulin receptor and extracellular signal regulated kinase (ERK) I/II in rat hippocampus. Brain Res. 974:193–201. 2003.PubMed/NCBI

10 

Kim KS, Kim NS, Kim SD, et al: Regulatory effect of inflammatory reaction by Asiasari radix. Korean J Orient Physiol Pathol. 19:779–784. 2005.

11 

Zhou RH: Resource Science of Chinese Medicinal Materials. China Medical and Pharmaceutical Sciences Press; Beijing: 1993

12 

Takara K, Horibe S, Obata Y, et al: Effects of 19 herbal extracts on the sensitivity to paclitaxel or 5-fluorouracil in HeLa cells. Biol Pharm Bull. 28:138–142. 2005. View Article : Google Scholar : PubMed/NCBI

13 

Ramesh T, Lee K, Lee HW and Kim SJ: Acute oral toxicity study of Asiasari radix extract in mice. Int J Toxicol. 26:247–251. 2007. View Article : Google Scholar : PubMed/NCBI

14 

Wang Y, Wang WL, Xie WL, et al: Puerarin stimulates proliferation and differentiation and protects against cell death in human osteoblastic MG-63 cells via ER-dependent MEK/ERK and PI3K/Akt activation. Phytomedicine. 20:787–796. 2013. View Article : Google Scholar : PubMed/NCBI

15 

Meleti Z, Shapiro IM and Adams CS: Inorganic phosphate induces apoptosis of osteoblast-like cells in culture. Bone. 27:359–366. 2000. View Article : Google Scholar : PubMed/NCBI

16 

Stoddart MJ: Cell viability assays: introduction. Methods Mol Biol. 740:1–6. 2011. View Article : Google Scholar : PubMed/NCBI

17 

Almazin SM, Dziak R, Andreana S and Ciancio SG: The effect of doxycycline hyclate, chlorhexidine gluconate, and minocycline hydrochloride on osteoblastic proliferation and differentiation in vitro. J Periodontol. 80:999–1005. 2009. View Article : Google Scholar

18 

Sekiya I, Larson BL, Smith JR, et al: Expansion of human adult stem cells from bone marrow stroma: conditions that maximize the yields of early progenitors and evaluate their quality. Stem Cells. 20:530–541. 2002. View Article : Google Scholar

19 

Kuznetsov SA, Friedenstein AJ and Robey PG: Factors required for bone marrow stromal fibroblast colony formation in vitro. Br J Haematol. 97:561–570. 1997. View Article : Google Scholar : PubMed/NCBI

20 

Rodriguez AM, Elabd C, Amri EZ, Ailhaud G and Dani C: The human adipose tissue is a source of multipotent stem cells. Biochimie. 87:125–128. 2005.PubMed/NCBI

21 

Wada MR, Inagawa-Ogashiwa M, Shimizu S, Yasumoto S and Hashimoto N: Generation of different fates from multipotent muscle stem cells. Development. 129:2987–2995. 2002.PubMed/NCBI

22 

Ballini A, De Frenza G, Cantore S, et al: In vitro stem cell cultures from human dental pulp and periodontal ligament: new prospects in dentistry. Int J Immunopathol Pharmacol. 20:9–16. 2007.PubMed/NCBI

23 

Marynka-Kalmani K, Treves S, Yafee M, et al: The lamina propria of adult human oral mucosa harbors a novel stem cell population. Stem Cells. 28:984–995. 2010.

24 

Nagatomo K, Komaki M, Sekiya I, et al: Stem cell properties of human periodontal ligament cells. J Periodontal Res. 41:303–310. 2006. View Article : Google Scholar : PubMed/NCBI

25 

Yoshimura H, Muneta T, Nimura A, et al: Comparison of rat mesenchymal stem cells derived from bone marrow, synovium, periosteum, adipose tissue, and muscle. Cell Tissue Res. 327:449–462. 2007. View Article : Google Scholar : PubMed/NCBI

26 

Hidaka S, Okamoto Y and Liu SY: Natural products effective on the in vitro formation of calcium phosphate precipitates. J Trad Med. 26:201–209. 2009.

Related Articles

  • Abstract
  • View
  • Download
  • Twitter
Copy and paste a formatted citation
Spandidos Publications style
Jeong SH, Lee JE, Jin S, Ko Y and Park J: Effects of Asiasari radix on the morphology and viability of mesenchymal stem cells derived from the gingiva. Mol Med Rep 10: 3315-3319, 2014.
APA
Jeong, S., Lee, J., Jin, S., Ko, Y., & Park, J. (2014). Effects of Asiasari radix on the morphology and viability of mesenchymal stem cells derived from the gingiva. Molecular Medicine Reports, 10, 3315-3319. https://doi.org/10.3892/mmr.2014.2607
MLA
Jeong, S., Lee, J., Jin, S., Ko, Y., Park, J."Effects of Asiasari radix on the morphology and viability of mesenchymal stem cells derived from the gingiva". Molecular Medicine Reports 10.6 (2014): 3315-3319.
Chicago
Jeong, S., Lee, J., Jin, S., Ko, Y., Park, J."Effects of Asiasari radix on the morphology and viability of mesenchymal stem cells derived from the gingiva". Molecular Medicine Reports 10, no. 6 (2014): 3315-3319. https://doi.org/10.3892/mmr.2014.2607
Copy and paste a formatted citation
x
Spandidos Publications style
Jeong SH, Lee JE, Jin S, Ko Y and Park J: Effects of Asiasari radix on the morphology and viability of mesenchymal stem cells derived from the gingiva. Mol Med Rep 10: 3315-3319, 2014.
APA
Jeong, S., Lee, J., Jin, S., Ko, Y., & Park, J. (2014). Effects of Asiasari radix on the morphology and viability of mesenchymal stem cells derived from the gingiva. Molecular Medicine Reports, 10, 3315-3319. https://doi.org/10.3892/mmr.2014.2607
MLA
Jeong, S., Lee, J., Jin, S., Ko, Y., Park, J."Effects of Asiasari radix on the morphology and viability of mesenchymal stem cells derived from the gingiva". Molecular Medicine Reports 10.6 (2014): 3315-3319.
Chicago
Jeong, S., Lee, J., Jin, S., Ko, Y., Park, J."Effects of Asiasari radix on the morphology and viability of mesenchymal stem cells derived from the gingiva". Molecular Medicine Reports 10, no. 6 (2014): 3315-3319. https://doi.org/10.3892/mmr.2014.2607
Follow us
  • Twitter
  • LinkedIn
  • Facebook
About
  • Spandidos Publications
  • Careers
  • Cookie Policy
  • Privacy Policy
How can we help?
  • Help
  • Live Chat
  • Contact
  • Email to our Support Team