Spandidos Publications Logo
  • About
    • About Spandidos
    • Aims and Scopes
    • Abstracting and Indexing
    • Editorial Policies
    • Reprints and Permissions
    • Job Opportunities
    • Terms and Conditions
    • Contact
  • Journals
    • All Journals
    • Oncology Letters
      • Oncology Letters
      • Information for Authors
      • Editorial Policies
      • Editorial Board
      • Aims and Scope
      • Abstracting and Indexing
      • Bibliographic Information
      • Archive
    • International Journal of Oncology
      • International Journal of Oncology
      • Information for Authors
      • Editorial Policies
      • Editorial Board
      • Aims and Scope
      • Abstracting and Indexing
      • Bibliographic Information
      • Archive
    • Molecular and Clinical Oncology
      • Molecular and Clinical Oncology
      • Information for Authors
      • Editorial Policies
      • Editorial Board
      • Aims and Scope
      • Abstracting and Indexing
      • Bibliographic Information
      • Archive
    • Experimental and Therapeutic Medicine
      • Experimental and Therapeutic Medicine
      • Information for Authors
      • Editorial Policies
      • Editorial Board
      • Aims and Scope
      • Abstracting and Indexing
      • Bibliographic Information
      • Archive
    • International Journal of Molecular Medicine
      • International Journal of Molecular Medicine
      • Information for Authors
      • Editorial Policies
      • Editorial Board
      • Aims and Scope
      • Abstracting and Indexing
      • Bibliographic Information
      • Archive
    • Biomedical Reports
      • Biomedical Reports
      • Information for Authors
      • Editorial Policies
      • Editorial Board
      • Aims and Scope
      • Abstracting and Indexing
      • Bibliographic Information
      • Archive
    • Oncology Reports
      • Oncology Reports
      • Information for Authors
      • Editorial Policies
      • Editorial Board
      • Aims and Scope
      • Abstracting and Indexing
      • Bibliographic Information
      • Archive
    • Molecular Medicine Reports
      • Molecular Medicine Reports
      • Information for Authors
      • Editorial Policies
      • Editorial Board
      • Aims and Scope
      • Abstracting and Indexing
      • Bibliographic Information
      • Archive
    • World Academy of Sciences Journal
      • World Academy of Sciences Journal
      • Information for Authors
      • Editorial Policies
      • Editorial Board
      • Aims and Scope
      • Abstracting and Indexing
      • Bibliographic Information
      • Archive
    • International Journal of Functional Nutrition
      • International Journal of Functional Nutrition
      • Information for Authors
      • Editorial Policies
      • Editorial Board
      • Aims and Scope
      • Abstracting and Indexing
      • Bibliographic Information
      • Archive
    • International Journal of Epigenetics
      • International Journal of Epigenetics
      • Information for Authors
      • Editorial Policies
      • Editorial Board
      • Aims and Scope
      • Abstracting and Indexing
      • Bibliographic Information
      • Archive
    • Medicine International
      • Medicine International
      • Information for Authors
      • Editorial Policies
      • Editorial Board
      • Aims and Scope
      • Abstracting and Indexing
      • Bibliographic Information
      • Archive
  • Articles
  • Information
    • Information for Authors
    • Information for Reviewers
    • Information for Librarians
    • Information for Advertisers
    • Conferences
  • Language Editing
Spandidos Publications Logo
  • About
    • About Spandidos
    • Aims and Scopes
    • Abstracting and Indexing
    • Editorial Policies
    • Reprints and Permissions
    • Job Opportunities
    • Terms and Conditions
    • Contact
  • Journals
    • All Journals
    • Biomedical Reports
      • Information for Authors
      • Editorial Policies
      • Editorial Board
      • Aims and Scope
      • Abstracting and Indexing
      • Bibliographic Information
      • Archive
    • Experimental and Therapeutic Medicine
      • Information for Authors
      • Editorial Policies
      • Editorial Board
      • Aims and Scope
      • Abstracting and Indexing
      • Bibliographic Information
      • Archive
    • International Journal of Epigenetics
      • Information for Authors
      • Editorial Policies
      • Editorial Board
      • Aims and Scope
      • Abstracting and Indexing
      • Bibliographic Information
      • Archive
    • International Journal of Functional Nutrition
      • Information for Authors
      • Editorial Policies
      • Editorial Board
      • Aims and Scope
      • Abstracting and Indexing
      • Bibliographic Information
      • Archive
    • International Journal of Molecular Medicine
      • Information for Authors
      • Editorial Policies
      • Editorial Board
      • Aims and Scope
      • Abstracting and Indexing
      • Bibliographic Information
      • Archive
    • International Journal of Oncology
      • Information for Authors
      • Editorial Policies
      • Editorial Board
      • Aims and Scope
      • Abstracting and Indexing
      • Bibliographic Information
      • Archive
    • Medicine International
      • Information for Authors
      • Editorial Policies
      • Editorial Board
      • Aims and Scope
      • Abstracting and Indexing
      • Bibliographic Information
      • Archive
    • Molecular and Clinical Oncology
      • Information for Authors
      • Editorial Policies
      • Editorial Board
      • Aims and Scope
      • Abstracting and Indexing
      • Bibliographic Information
      • Archive
    • Molecular Medicine Reports
      • Information for Authors
      • Editorial Policies
      • Editorial Board
      • Aims and Scope
      • Abstracting and Indexing
      • Bibliographic Information
      • Archive
    • Oncology Letters
      • Information for Authors
      • Editorial Policies
      • Editorial Board
      • Aims and Scope
      • Abstracting and Indexing
      • Bibliographic Information
      • Archive
    • Oncology Reports
      • Information for Authors
      • Editorial Policies
      • Editorial Board
      • Aims and Scope
      • Abstracting and Indexing
      • Bibliographic Information
      • Archive
    • World Academy of Sciences Journal
      • Information for Authors
      • Editorial Policies
      • Editorial Board
      • Aims and Scope
      • Abstracting and Indexing
      • Bibliographic Information
      • Archive
  • Articles
  • Information
    • For Authors
    • For Reviewers
    • For Librarians
    • For Advertisers
    • Conferences
  • Language Editing
Login Register Submit
  • This site uses cookies
  • You can change your cookie settings at any time by following the instructions in our Cookie Policy. To find out more, you may read our Privacy Policy.

    I agree
Search articles by DOI, keyword, author or affiliation
Search
Advanced Search
presentation
Molecular Medicine Reports
Join Editorial Board Propose a Special Issue
Print ISSN: 1791-2997 Online ISSN: 1791-3004
Journal Cover
September-2015 Volume 12 Issue 3

Full Size Image

Sign up for eToc alerts
Recommend to Library

Journals

International Journal of Molecular Medicine

International Journal of Molecular Medicine

International Journal of Molecular Medicine is an international journal devoted to molecular mechanisms of human disease.

International Journal of Oncology

International Journal of Oncology

International Journal of Oncology is an international journal devoted to oncology research and cancer treatment.

Molecular Medicine Reports

Molecular Medicine Reports

Covers molecular medicine topics such as pharmacology, pathology, genetics, neuroscience, infectious diseases, molecular cardiology, and molecular surgery.

Oncology Reports

Oncology Reports

Oncology Reports is an international journal devoted to fundamental and applied research in Oncology.

Experimental and Therapeutic Medicine

Experimental and Therapeutic Medicine

Experimental and Therapeutic Medicine is an international journal devoted to laboratory and clinical medicine.

Oncology Letters

Oncology Letters

Oncology Letters is an international journal devoted to Experimental and Clinical Oncology.

Biomedical Reports

Biomedical Reports

Explores a wide range of biological and medical fields, including pharmacology, genetics, microbiology, neuroscience, and molecular cardiology.

Molecular and Clinical Oncology

Molecular and Clinical Oncology

International journal addressing all aspects of oncology research, from tumorigenesis and oncogenes to chemotherapy and metastasis.

World Academy of Sciences Journal

World Academy of Sciences Journal

Multidisciplinary open-access journal spanning biochemistry, genetics, neuroscience, environmental health, and synthetic biology.

International Journal of Functional Nutrition

International Journal of Functional Nutrition

Open-access journal combining biochemistry, pharmacology, immunology, and genetics to advance health through functional nutrition.

International Journal of Epigenetics

International Journal of Epigenetics

Publishes open-access research on using epigenetics to advance understanding and treatment of human disease.

Medicine International

Medicine International

An International Open Access Journal Devoted to General Medicine.

Journal Cover
September-2015 Volume 12 Issue 3

Full Size Image

Sign up for eToc alerts
Recommend to Library

  • Article
  • Citations
    • Cite This Article
    • Download Citation
    • Create Citation Alert
    • Remove Citation Alert
    • Cited By
  • Similar Articles
    • Related Articles (in Spandidos Publications)
    • Similar Articles (Google Scholar)
    • Similar Articles (PubMed)
  • Download PDF
  • Download XML
  • View XML
Article

Quantitative analysis and anti-inflammatory effects of Gleditsia sinensis thorns in RAW 264.7 macrophages and HaCaT keratinocytes

  • Authors:
    • Chang‑Seob Seo
    • Hye‑Sun Lim
    • Hyekyung Ha
    • Seong Eun Jin
    • Hyeun‑Kyoo Shin
  • View Affiliations / Copyright

    Affiliations: K-herb Research Center, Korea Institute of Oriental Medicine, Daejeon 305‑811, Republic of Korea
  • Pages: 4773-4781
    |
    Published online on: June 16, 2015
       https://doi.org/10.3892/mmr.2015.3936
  • Expand metrics +
Metrics: Total Views: 0 (Spandidos Publications: | PMC Statistics: )
Metrics: Total PDF Downloads: 0 (Spandidos Publications: | PMC Statistics: )
Cited By (CrossRef): 0 citations Loading Articles...

This article is mentioned in:



Abstract

Gleditsia sinensis thorns have traditionally been used to treat edema and carbuncles and drain abscesses. In the present study, a simultaneous analysis of four flavonoids [(+)‑catechin, (‑)‑epicatechin, eriodictyol and quercetin] and two phenolic compounds (caffeic acid and ethyl gallate), obtained from a 70% ethanol extract of G. sinensis, was performed using high‑performance liquid chromatography‑photodiode array techniques. In addition, the inhibitory activities of the solvent fractions from a G. sinensis extract and its major constituents on the lipopolysaccharide‑stimulated production of inflammatory mediators by macrophage RAW 264.7 cells and the tumor necrosis factor (TNF)‑α and interferon (IFN)‑γ (TI)‑stimulated production of chemokines by HaCaT keratinocyte cells were investigated. The established analytical method showed high linearity, with a correlation coefficient of ≥0.9998. The limits of detection and quantification of the six compounds were 0.037‑0.425 and 0.124‑1.418 µg/ml, respectively. The ethyl acetate fraction inhibited nitric oxide and prostaglandin E2 production in RAW 264.7 cells and the production of thymus‑ and activation‑regulated chemokine (TARC) in HaCaT cells more than did the other fractions. Furthermore, the six compounds reduced the production of TARC, macrophage‑derived chemokine and regulated on activation normal T‑cell expressed and secreted in TI‑stimulated HaCaT cells; in particular, ethyl gallate and quercetin exhibited a significant dose‑dependent inhibition. Further elucidation of the signaling pathways involved in the T‑helper cell 2 chemokine inhibition by G. sinensis is necessary to facilitate the design of therapeutic agents for the inflammatory response.

Introduction

The inflammatory response is a complex reaction of the immune system that is regulated by numerous inflammatory mediators, such as nitric oxide (NO), cytokines/chemokines and prostaglandins (1). These mediators are known to contribute to the regulation of a wide array of physiological and pathological processes following an immune response and inflammation (1,2). The role of macrophages in mediating numerous different immunopathological phenomena during inflammation, including the overproduction of inflammatory cytokines and mediators, such as tumor necrosis factor-α (TNF-α), interleukin (IL)-1β, IL-6, NO and prostaglandin E2 (PGE2) is crucial. NO is synthesized by inducible NO synthase (iNOS), and PGE2 is synthesized by cyclooxygenase-2 (COX-2) (3,4).

Inflammatory chemokines play a fundamental role in attracting a diverse set of effector leukocytes to sites of inflammation (5). Various chemokines have been shown to affect the immunopathology of inflammatory skin diseases. The thymus- and activation-regulated chemokine (TARC/CCL17) has been shown to be upregulated by keratinocytes in atopic dermatitis lesional skin (6); therefore, the modulation of TARC production in keratinocytes may contribute to the pathological processes of inflammatory skin diseases, such as atopic dermatitis. The serum level of the macrophage-derived chemokine (MDC/CCL22) has been reported to be significantly elevated in patients with atopic dermatitis, and increased levels of these chemokines were associated with increased disease severity (7). Furthermore, enhanced production of regulated upon activation normal T-cell expressed and secreted (RANTES/CCL5) has been found in inflammatory diseases of the skin, including atopic dermatitis and psoriasis (8).

The thorns of Gleditsia sinensis (Leguminosae) are widely used in traditional Chinese and Korean medicine for the treatment of several diseases, including tumor-related diseases, obesity and thrombosis (9). Previous studies have investigated the biological activity of the chemical constituents of G. sinensis thorns, such as stigmasterol (10), ellagic acid glycosides (11), flavonoids (12) and lupane acid (13); however, the anti-inflammatory effects of G. sinensis thorn extracts remain unclear. The aim of the present study, therefore, was to investigate the anti-inflammatory activities of the solvent fractions from a G. sinensis extract and its major constituents on the lipopolysaccharide (LPS)-stimulated production of inflammatory mediators by RAW 264.7 macrophages and the TNF-α and IFN-γ (TI)-stimulated production of chemokines by HaCaT keratinocytes.

Materials and methods

Plant material

Thorns of G. sinensis were purchased in October 2008 from Omniherb (Yeongcheon, Republic of Korea). The origin of these materials was confirmed taxo-nomically by Professors Je-Hyun Lee (Dongkuk University, Gyeongju, Republic of Korea) and Young-Bae Seo (Daejeon University, Daejeon, Republic of Korea). A voucher specimen (2008-ST22) has been deposited at the K-herb Research Center, Korea Institute of Oriental Medicine (Daejeon, Republic of Korea).

Extraction and solvent fractionation

The dried thorns of G. sinensis (10 kg) were extracted three times with 70% ethanol by sonication for 1 h. The extracted solution was filtered through filter paper and evaporated to dryness (450 g). The ethanol extract was suspended in water (1 liter) and then successively partitioned with n-hexane, ethyl acetate and n-butanol (1.5 liters each, three times) to give extracts of 33.8, 103.2 and 119.1 g, respectively.

Chemicals and reagents

(-)-Epicatechin, ethyl gallate and quercetin (all with purity ≥99.0%) were purchased from ChromaDex, Inc., (Santa Ana, CA, USA). Caffeic acid, eriodictyol and (+)-catechin (all with purity ≥99.0%) were obtained from Acros Organics (Fair Lawn, NJ, USA), Extrasynthèse S.A. (Genay, France) and Fluka AG (Buchs, Switzerland), respectively. Methanol, high-performance liquid chromatography (HPLC)-grade reagents, water and acetonitrile were purchased from JT. Baker Chemical Co. (Phillipsburg, NJ, USA). Glacial acetic acid was of analytical reagent grade and was procured from Junsei Chemical Co. (Tokyo, Japan).

Chromatographic conditions

This analysis was performed using a Shimadzu LC-20A HPLC system (Shimadzu Co., Kyoto, Japan), which consisted of an on-line degasser, a solvent-delivery unit, an autosampler, a photoiode array (PDA) detector and a column oven. The data processor employed the LC solution software (version 1.24; Shimadzu Co.). A Gemini® C18 analytical column (250×4.6 mm; particle size 5 µm; Phenomenex, Torrance, CA, USA) was used. Solvent A (1.0%, v/v, aqueous acetic acid) and solvent B (acetonitrile with 1.0%, v/v, acetic acid) comprised the mobile phases. The gradient flow was as follows: 0–50 min, 5–70% solution B; 50–55 min, 70–100% solution B; 55–60 min, 100% solution B; 60–65 min, 100–105% solution B, 65–80 min, 5% solution B. The column temperature was maintained at 40°C The analysis was carried out at a flow rate of 1.0 ml/min with PDA detection from 280 nm. The volume of the injection was 10 µl.

Preparations of sample and standard solutions

Standard stock solutions of four flavonoids [(+)-catechin, (-)-epicatechin, eriodictyol and quercetin)] and two phenolic compounds (caffeic acid and ethyl gallate) were dissolved in methanol at a concentration of 1.0 µg/ml and maintained at <4°C. Working standard solutions were prepared by serial dilution of stock solutions with methanol. The extracts (40 mg) of each lyophilized fraction, such as 70% ethanol, n-hexane, ethyl acetate, n-butanol and water fractions, were each dissolved in 70% ethanol (20 ml, respectively). The solutions were filtered through a 0.2-µm syringe filter (Woong Ki Science Co., Ltd, Seoul, Republic of Korea).

Calibration curves and limits of quantification (LOQ) and detection (LOD)

All calibration curves were obtained by the assessment of peak areas from standard solutions in the seven different concentration ranges, from 0.78 to 50.00 µg/ml. The LOD and LOQ data were determined based on signal-to-noise ratios of 3 and 10, respectively.

Cell culture

The HaCaT human keratinocyte and RAW 264.7 murine macrophage cell lines were obtained from the American Type Culture Collection (Rockville, MD, USA). These cells were cultured in Dulbecco's Modified Eagle's Medium (Gibco-BRL, Grand Island, NY, USA) supplemented with 10% (HaCaT) or 5.5% (RAW 264.7) heat-inactivated fetal bovine serum (Gibco-BRL), streptomycin (100 µg/ml) and penicillin (100 U/ml) at 37°C in a 5% CO2 i nc ub at or.

Cytotoxicity assay

Cell viability was assessed using the Cell Counting Kit-8 (CCK-8) reagent (Dojindo Laboratories, Kumamoto, Japan), according to the manufacturer's instructions. RAW 264.7 (3×103 cells/well) and HaCaT (1×103 cells/wel l) cells were incubated in 96-well plates with various concentrations of the test materials for 24 h. Following the addition of CCK-8 reagent to each well the cells were further incubated for 4 h. A Benchmark Plus microplate reader (Bio-Rad, Hercules, CA, USA) was used to measure absorbance at 450 nm, and the cell viability percentage was calculated using the following formula: Cell viability (%) = [(mean absorbance in test wells - mean absorbance in blank wells)/(mean absorbance in control wells - mean absorbance in blank wells)] x 100.

Measurement of PGE2 and NO production

RAW 264.7 cells were plated in 48-well plates at a density of 2.5×105 cells/well and incubated overnight. The cells were then treated with LPS (1 µg/ml; Sigma-Aldrich, St. Louis, MO, USA) in the presence or absence of various concentrations of the test materials. Following incubation for 24 h, ELISA kits were used to analyze the supernatants for the levels of PGE2 (Cayman Chemical Co., Ann Arbor, MI, USA) and NO (Griess Reagent System; Promega Biotech Co., Ltd., Madison, WI, USA), according to the manufacturers' instructions. N(G)-Monomethyl-L-arginine (L-NMMA; Sigma-Aldrich) and indomethacin (Sigma-Aldrich) were used as positive controls to inhibit the production of NO and PGE2, respectively.

Measurement of chemokine production

HaCaT cells (1×106 cells/well) were cultured in six-well plates in medium containing 10% fetal bovine serum. After reaching confluence, the cells were washed and treated with the test materials in 1 ml serum-free medium containing TI (10 ng/ml TNF-α and 10 ng/ml IFN-γ; R&D Systems Inc., Minneapolis, MN, USA) for 24 h. The supernatants of the cells were harvested, and the production of TARC, MDC and RANTES was quantified using ELISA (R&D Systems, Inc.), which was performed according to the manufacturer's instructions.

Statistical analysis

All experiments of the present study were performed at least in triplicate. Significant differences between the treatment groups were identified using one-way analysis of variance and multigroup comparisons were performed using the Dunnett's test. P<0.05 was considered to indicate a statistically significant difference.

Results

Calibration curves, LOD and LOQ

The linearity of the peak area (y) versus concentration (x, µg/ml) curve for each component was used to calculate the contents of the six constituents in each fraction of the G. sinensis extract. The correlation coefficients (r2) of the calibration curves of the six constituents were ≥0.9998. The line equations and r2 of the calibration curves are shown in Table I. The ranges of LOD and LOQ were 0.037–0.425 and 0.124–1.418 µg/ml, respectively (Table I).

Table I

Linearities, correlation coefficients, LODs and LOQs of the six constituents (n=3).

Table I

Linearities, correlation coefficients, LODs and LOQs of the six constituents (n=3).

CompoundLinear range (Ig/ml)Regression equationaCorrelation coefficient (r2)LODb (µg/ml)LOQc (µg/ml)
(+)−Catechin0.78–50.00 y=2,779.71x+274.750.99990.4251.418
Caffeic acid0.78–50.00 y=34,405.46x−9,908.570.99980.0390.132
(−)−Epicatechin0.78–50.00 y=7,859.71x+1,909.870.99990.1300.433
Ethyl gallate0.78–50.00 y=24,543.65x+2,271.170.99990.0510.171
Eriodictyol0.78–50.00 y=34,836x+6,410.250.99990.0370.124
Quercetin0.78–50.00 y=13,439.20x−676.530.99980.1180.395

a y, peak area (mAU) of constituents; x, concentration (µg/ml) of constituents.

b LOD = 3 x signal-to-noise ratio.

c LOQ = 10 x signal-to-noise ratio. LOD, limit of detection; LOQ, limit of quantification.

HPLC analysis

Good separation chromatograms were obtained using mobile phases consisting of 1.0% (v/v) aqueous acetic acid (solvent A) and acetonitrile with 1.0% (v/v) acetic acid (solvent B). Quantification was achieved using PDA detection at 280 nm, based on retention times and ultraviolet spectra. Fig. 1 shows the representative HPLC chromatogram of the standards and each fraction of the G. sinensis extract, with detection of eluents at 280 nm. Reproducibility was assessed by measuring repeatedly the retention times and peak areas of six independently prepared samples of analytes. The reproducibility of the six compounds [(+)-catechin, caffeic acid, (-)-epicatechin, eriodictyol, ethyl gallate and quercetin] was less than the relative standard deviation (RSD) 1.5% for peak responses and less than the RSD 0.2% for retention times (data not shown). The contents of the six constituents are summarized in Table II.

Figure 1

Chemical structures of the six constituents and high-performance liquid chromatography chromatogram of Gleditsia sinensis. (A) Chemical structures of the six constituents. (B-G) Chromatogram of (B) 70% ethanol extract, (C) n-hexane, (D) ethyl acetate, (E) n-butanol, (F) water fractions and (G) standard mixture. Peaks are labeled as follows: 1, (+)-Catechin; 2, caffeic acid; 3, (-)-epicatechin; 4, ethyl gallate; 5, eriodictyol; and 6, quercetin.

Table II

Contents of six constituents of G. sinensis (n=3).

Table II

Contents of six constituents of G. sinensis (n=3).

Fraction Content (µg/g)
(+)−Catechin
Caffeic acid
(−)−Epicatechin
Ethyl gallate
Eriodictyol
Quercetin
MeanSDRSD (%)MeanSDRSD (%)MeanSDRSD (%)MeanSDRSD (%)MeanSDRSD (%)MeanSDRSD (%)
70% EtOH8.630.182.072.790.041.444.920.030.552.890.062.040.390.013.552.540.062.21
n-HexaneN.D.––0.180.000.65N.D.––N.D.––N.D.––N.D.––
EtOAc5.330.081.456.070.020.334.880.061.201.260.043.061.130.032.247.000.030.37
n-BuOH5.280.050.981.040.011.305.610.060.990.960.021.79N.D.––N.D.––
Water3.780.061.540.280.001.180.730.033.69N.D.––N.D.––N.D.––

[i] SD, standard deviation; RSD, relative standard deviation; EtOH, ethanol; EtOAc, ethyl acetate; n-BuOH, n-butanol; N.D., not detected.

G. sinensis extract inhibits NO and PGE2 production in RAW 264.7 cells and TARC production in HaCaT cells

The cytotoxic effect of the G. sinensis extract on RAW 264.7 and HaCaT cells was measured first. The cells were exposed to various concentrations (2–200 µg/ml) of the G. sinensis extract for 24 h. The non-toxic concentrations of the test materials were used in subsequent experiments (data not shown). To determine the effects of the G. sinensis extract on NO and PGE2 production in LPS-stimulated RAW 264.7 cells, the cells were treated with different concentrations of the G. sinensis extract (25, 50 and 100 µg/ml) and then stimulated by LPS (1 µg/ml) for 24 h. The G. sinensis extract suppressed LPS-stimulated NO production in a dose-dependent manner (Fig. 2A). LPS greatly stimulated NO production (5.846±0.220 nM) in RAW 264.7 cells, whereas the G. sinensis extract significantly decreased NO production [1.872±0.513 µM (P<0.01) at a dose of 25 µg/ml, 0.974±0.128 µM (P<0.01) at a dose of 50 µg/ml and 0.205±0.020 µM (P<0.01) at a dose of 100 µg/ml] compared with that observed in LPS-stimulated RAW 264.7 cells. Furthermore, LPS-stimulated RAW 264.7 cells exhibited increased PGE2 production compared with the controls, whereas the G. sinensis extract decreased the production of PGE2 relative to the production observed in the LPS-stimulated RAW 264.7 cells (Fig. 2B). The effects of the G. sinensis extract on TARC production in TI-stimulated HaCaT cells were assessed by treating the cells with different concentrations of the G. sinensis extract (50, 100 and 200 µg/ml) and then initiating TI stimulation for 24 h. The G. sinensis extract suppressed TI-stimulated TARC production in a dose-dependent manner (Fig. 2C). TI-treated cells showed significantly increased production of TARC (28.27±0.900 ng/ml) relative to that observed in the control cells (P<0.01). This increase was inhibited to 22.44±0.030 ng/ml (P<0.01) and 10.23±0.480 ng/ml (P<0.01) by the administration of the G. sinensis extract at 100 and 200 µg/ml, respectively.

Figure 2

Effects of the extract of Gleditsia sinensis on the LPS-stimulated production of NO and PGE2 in RAW 264.7 cells and the TI-stimulated production of TARC in HaCaT cells. The production of (A) NO and (B) PGE2 was assayed in the culture medium of cells treated with extracts of G. sinensis (25, 50, and 100 µg/ml) and then with LPS (1 µg/ml) for 24 h. L-NMMA (25 µM) was used as a positive control drug. (C) The production of TARC was assayed in the culture medium of cells treated with extracts of G. sinensis (50, 100 and 200 µg/ml), followed by TI (TNF-α, 10 ng/ml; IFN-γ, 10 ng/ml) for 24 h. Silymarin (25 µg/ml) was used as a positive control drug. Each bar represents the mean values obtained from three independent experiments. ##P<0.01 vs. the vehicle control group; **P<0.01 vs. LPS/TI-treated cells. LPS, lipopolysaccharide; NO, nitric oxide; PGE2, prostaglandin E2, TARC, thymus- and activation-regulated chemokine; TNF-α, tumor necrosis factor-α; IFN-γ, interferon-γ; TI, TNF-α and IFN-γ; L-NMMA, N(G)-monomethyl-L-arginine.

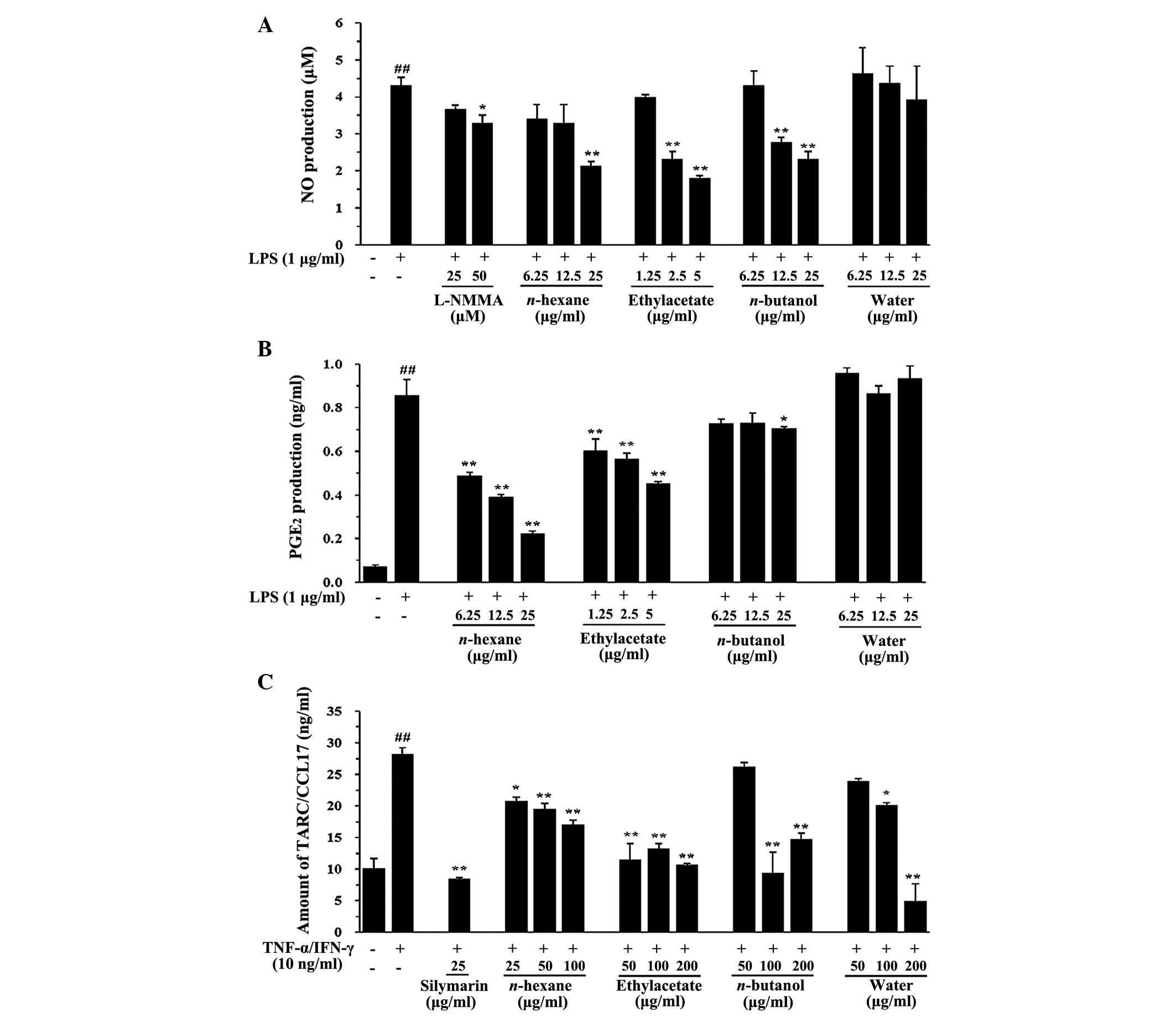
Fractions of the G. sinensis extract inhibit NO and PGE2 production in RAW 264.7 cells and TARC production in HaCaT cells

Fractions of the G. sinensis extract were tested to determine whether each fraction inhibited the production of NO and PGE2 in LPS-treated RAW 264.7 cells and the production of TARC in HaCaT cells treated with TI. NO production is the hallmark of the activation of macrophages. In the present experiment, NO production (4308±0.225 µM) was observed after 24 h of LPS incubation (1 µg/ml). As shown in Fig. 3A, treatment with the n-hexane, ethyl acetate and n-butanol fractions suppressed the NO production. In addition, the n-hexane and ethyl acetate fractions decreased PGE2 production compared with that observed in LPS-stimulated R AW 264.7 cells (P<0.01, Fig. 3B). TARC production was increased 2.7-fold in the TI-treated cells (28.30±0.820 ng/ml) compared with that in the control cells (10.16±1.540 ng/ml) (P<0.01), whereas cells treated with the ethyl acetate fraction showed the most significant reductions in TARC production compared with the TI-treated cells (P<0.01, Fig. 3C). These results showed that the biological effects of G. sinensis were maximized by the ethyl acetate fraction.

Figure 3

Effects of the fractions of Gleditsia sinensis extract on the LPS-stimulated production of NO and PGE2 in RAW 264.7 cells and the TI-stimulated production of TARC in HaCaT cells. The production of (A) NO and (B) PGE2 was assayed in the culture medium of cells treated with solvent fractions and then stimulated with LPS (1 µg/ml) for 24 h. L-NMMA (25 µM) was used as a positive control drug. (C) The production of TARC was assayed in the culture medium of cells treated with solvent fractions and then stimulated with TI (TNF-α, 10 ng/ml; IFN-γ, 10 ng/ml) for 24 h. Silymarin (25 µg/ml) was used as a positive control drug. Each bar represents the mean values obtained from three independent experiments. ##P<0.01 vs. the vehicle control group; *P<0.05 and **P<0.01 vs. the LPS/TI-treated cells. LPS, lipopolysaccharide; NO, nitric oxide; PGE2, prostaglandin E2, TARC, thymus- and activation-regulated chemokine; TNF-α, tumor necrosis factor-α; IFN-γ, interferon-γ; TI, TNF-α and IFN-γ; L-NMMA, N(G)-monomethyl-L-arginine.

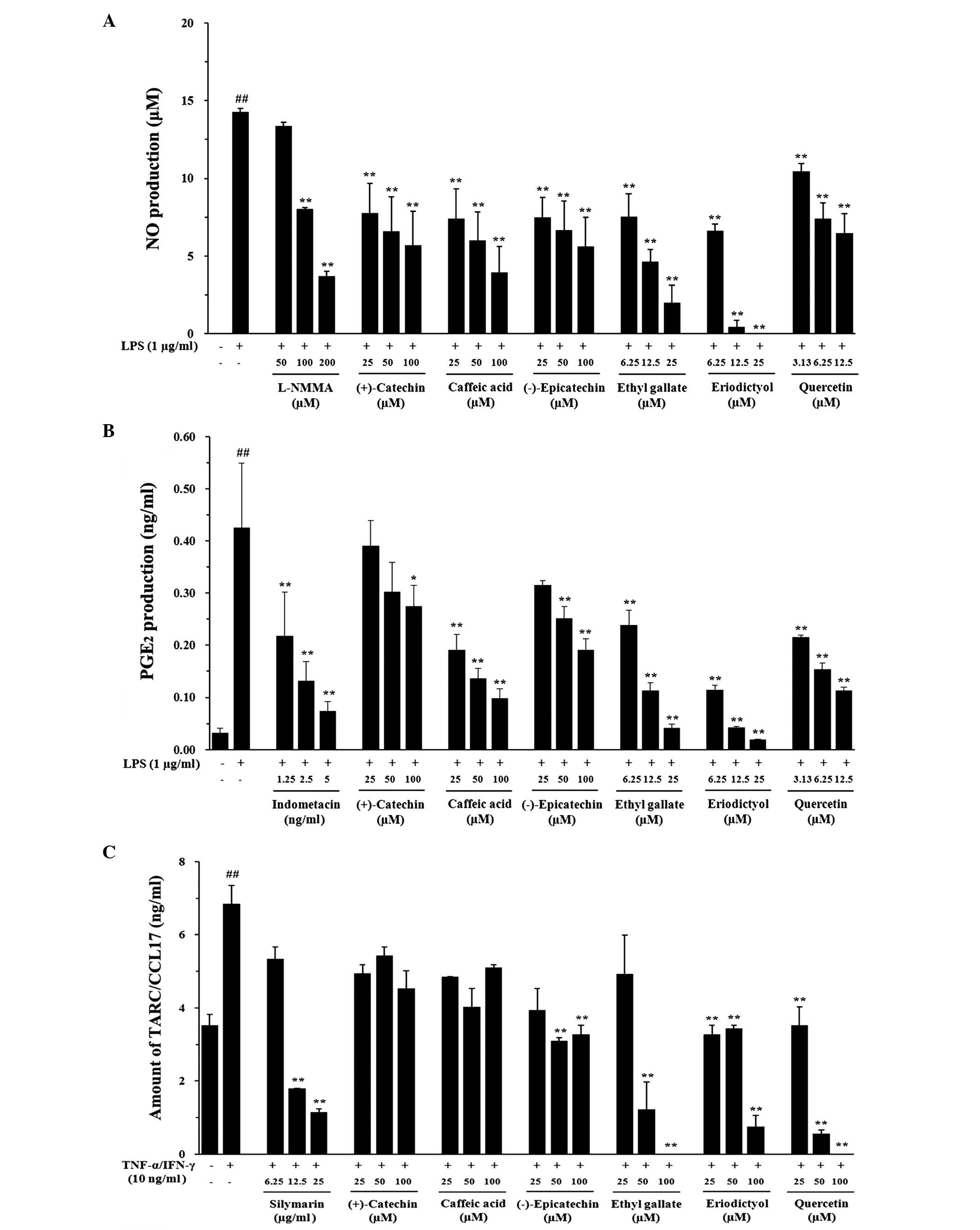
Major constituents of the G. sinensis extract inhibit NO and PGE2 production in RAW 264.7 cells and chemokine production in HaCaT cells

To assess the effects of the major constituents of the G. sinensis extract on LPS-stimulated NO and PGE2 production in RAW 264.7 macrophages, cells were treated with various concentrations of these major constituents and 1 µg/ml LPS for 24 h. LPS stimulation caused a marked accumulation of proinflammatory mediators (NO and PGE2) in the culture medium. Of note, all major constituents of the G. sinensis extract significantly reduced the LPS-stimulated production of NO (Fig. 4A) and PGE2 (Fig. 4B) in a dose-dependent manner. Treatment of HaCaT cells with TI for 24 h led to a 1.9-fold increase in TARC levels (6.85±0.51 ng/ml) compared with that observed in the vehicle-treated control group (3.52±0.29 ng/ml) (P<0.01); however, TARC production was significantly inhibited in a dose-dependent manner in the ethyl gallate-, eriodictyol- and quercetin-treated cells (P<0.01) (Fig. 4C). In addition, MDC production was increased in the TI-treated cells (264.80±12.76 ng/ml) compared with that in the vehicle-treated control group (P<0.01), and its levels were significantly reduced following ethyl gallate and quercetin treatment (P<0.01) (Fig. 4D). TI-treated cells exhibited a significantly increased production of RANTES (4,652.93±66.95 ng/ml), relative to that observed in the control cells (P<0.01). This increase was inhibited dose-dependently by ethyl gallate (2,530.11±8.67 ng/ml at 50 µg/ml, P<0.01; 1,068.30±95.01 ng/ml at 100 µg/ml, P<0.01), eriodictyol (3,987.98±127.92 ng/ml at 50 µg/ml, P<0.05; 2,433.12±184.17 ng/ml at 100 µg/ml, P<0.01) and quercetin (2,728.46±119.93 ng/ml at 50 µg/ml, P<0.01; 41434±2759 ng/ml at 100 µg/ml, P<0.01) (Fig. 4E). Among these compounds, ethyl gallate and quercetin, which were most abundant both in the G. sinensis extract and in each solvent fraction (particularly in the ethyl acetate fraction) significantly inhibited the RANTES, MDC and TARC expression in HaCaT cells in a dose-dependent manner, whereas the same expression was not significantly reduced by other constituents in TI-treated cells.

Figure 4

Effects of the major constituents of the Gleditsia sinensis extract on the LPS-stimulated production of NO and PGE2 in RAW 264.7 cells and the TI-stimulated production of chemokines in HaCaT cells. The production of (A) NO and (B) PGE2 was assayed in the culture medium of cells treated with the major constituents of the G. sinensis extract and then stimulated with LPS (1 µg/ml) for 24 h. L-NMMA (25 µM) was used as a positive control drug. (C) The production of TARC was assayed in the culture medium of cells treated with the major constituents of the G. sinensis extract and then stimulated with TI (TNF-α, 10 ng/ml; IFN-γ, 10 ng/ml) for 24 h. Silymarin (25 µg/ml) was used as positive control drug. Each bar represents the mean of three independent experiments. ##P<0.01 vs. the vehicle control group; *P<0.05 and **P<0.01 vs. the LPS/TI-treated cells. LPS, lipopolysaccharide; NO, nitric oxide; PGE2, prostaglandin E2, TARC, thymus- and activation-regulated chemokine; TNF-α, tumor necrosis factor-α; IFN-γ, interferon-γ; TI, TNF-α and IFN-γ; L-NMMA, N(G)-monomethyl-L-arginine. Effects of the major constituents of the Gleditsia sinensis extract on LPS-stimulated production of NO and PGE2 in RAW 264.7 cells and the TI-stimulated production of chemokines in HaCaT cells. The production of (D) MDC and (E) RANTES was assayed in the culture medium of cells treated with the major constituents of the G. sinensis extract and then stimulated with TI (TNF-α, 10 ng/ml; IFN-γ, 10 ng/ml) for 24 h. Silymarin (25 µg/ml) was used as positive control drug. Each bar represents the mean of three independent experiments. ##P<0.01 vs. the vehicle control group; *P<0.05 and **P<0.01 vs. the LPS and TI-treated cells, respectively. LPS, lipopolysaccharide; NO, nitric oxide; PGE2, prostaglandin E2, TARC, thymus- and activation-regulated chemokine; TNF-α, tumor necrosis factor-α; IFN-γ, interferon-γ; MDC, macrophage-derived chemokine; RANTES, regulated on activation normal T-cell expressed and secreted; TI, TNF-α and IFN-γ.

Discussion

The seeds and fruits of G. sinensis are widely used in Chinese, Japanese and Korean herbal medicine for the treatment of numerous diseases, such as apoplexy, headache, asthma and scabies (14). Despite the fact that the thorns of G. sinensis have been used for the prevention, as well as the treatment, of carbuncles, scabies and other inflammatory diseases (15), the anti-inflammatory effect has not yet been fully elucidated. In the present study, the concentrations of the chemical constituents of G. sinensis and their anti-inflammatory effects in G. sinensis extracts, based on different solvent fractions and single compounds, were investigated.

Two phenolic compounds (caffeic acid and ethyl gallate) and four favonoids [(+)-catechin, (-)-epicatechin, eriodictyol and quercetin)] were analyzed in 70% ethanol extracts and solvent fractions (n-hexane, ethyl acetate, n-butanol and water) of G. sinensis; however, the constituents responsible for peaks at the retention times of 19.8, 20.7 and 22.5 min in the 70% ethanol extract and ethyl acetate fraction were not able to be identified. It is imperative that these constituents are identified and quantitatively determined in order for a correlation between the quantities of the major constituents of G. sinensis and the biological effects of this herbal medicine to be obtained.

The production of NO and PGE2, two major mediators of inflammation, plays an important role in the immune response to numerous inflammatory stimuli. The free radical NO is produced by iNOS, and its overproduction has been associated with the pathology of an array of inflammatory disorders, such as septic shock (16). PGE2, which is generated from arachidonic acid by COX-2, is produced in response to inflammatory stimuli, and abundant COX-2 expression promotes the proinflammatory signaling cascade (17). Thus, potential inhibitors of iNOS and COX-2 have been considered as possible anti-inflammatory agents. It was shown that the extraction solvent and the major constituents in G. sinensis reduced the levels of NO and PGE2 in LPS-stimulated RAW 264.7 cells in a dose-dependent manner.

Exposure of keratinocytes to TI results in an abnormal expression of chemokines and cytokines, which is believed to increase the infiltration of monocytes/T cells into the site of inflammation (18,19). Chemokines are a superfamily of small cytokines that regulate the trafficking of various types of leukocytes (20). TARC/CCL17 is a member of the CC chemokine subfamily that is produced by various cell types, including keratinocytes, and is constitutively expressed in the thymus (21). MDC/CCL22 is closely associated with TARC and is constitutively produced by dendritic cells, B cells, keratinocytes, epithelial cells and macrophages (22). RANTES/CCL5 belongs to the CC chemokine family, the members of which recruit and activate different subtypes of leukocytes, such as T cells, eosinophils, basophils, monocytes or mast cells (23). The effect of the extract and solvent fractions of G. sinensis on TARC production in TI-stimulated HaCaT cells was examined and it was shown that the major constituents of G. sinensis reduced the production of TARC, MDC and RANTES in TI-stimulated HaCaT cells; in particular, ethyl gallate and quercetin yielded a significant dose-dependent inhibition.

In conclusion, the G. sinensis extract was successively partitioned to identify the fraction that contained the major constituent compounds. It was found that all the reference compounds were present in the ethyl acetate fraction and that larger amounts were present in this fraction than in any other fraction. Furthermore, the ethyl acetate fraction decreased the levels of NO and PGE2 in RAW 264.7 cells and the expression of TARC, MDC and RANTES in HaCaT cells to a greater extent than the other fractions. Further elucidation of the signaling pathways involved in T-helper cell 2 chemokine inhibition by G. sinensis is required for the facilitation of the design of therapeutic agents for the inflammatory reaction.

Acknowledgments

This study was supported by grants from the Korea Research Council of Fundamental Science & Technology (grant no. G10101) and the Korea Institute of Oriental Medicine (grant no. K13030).

References

1 

Damte D, Reza MA, Lee SJ, Jo WS and Park SC: Anti-inflammatory activity of dichloromethane extract of Auricularia auricula-judae in RAW264.7 cells. Toxicol Res. 27:11–14. 2011. View Article : Google Scholar : PubMed/NCBI

2 

Duffield JS: The inflammatory macrophage: A story of Jekyll and Hyde. Clin Sci (Lond). 104:27–38. 2003. View Article : Google Scholar

3 

Gordon S: Alternative activation of macrophages. Nat Rev Immunol. 3:23–35. 2003. View Article : Google Scholar : PubMed/NCBI

4 

Mosser DM and Edwards JP: Exploring the full spectrum of macrophage activation. Nat Rev Immunol. 8:958–969. 2008. View Article : Google Scholar : PubMed/NCBI

5 

Rossi D and Zlotnik A: The biology of chemokines and their receptors. Annu Rev Immunol. 18:217–242. 2000. View Article : Google Scholar : PubMed/NCBI

6 

Vestergaard C, Yoneyama H, Murai M, Nakamura K, Tamaki K, Terashima Y, Imai T, Yoshie O, Irimura T, Mizutani H and Matsushima K: Overproduction of Th2-specific chemokines in NC/Nga mice exhibiting atopic dermatitis-like lesions. J Clin Invest. 104:1097–1105. 1999. View Article : Google Scholar : PubMed/NCBI

7 

Hashimoto S, Nakamura K, Oyama N, Kaneko F, Tsunemi Y, Saeki H and Tamaki K: Macrophage-derived chemokine (MDC)/CCL22 produced by monocyte derived dendritic cells reflects the disease activity in patients with atopic dermatitis. J Dermatol Sci. 44:93–99. 2006. View Article : Google Scholar : PubMed/NCBI

8 

Kozma GT, Falus A, Bojszkó A, Krikovszky D, Szabó T, Nagy A and Szalai C: Lack of association between atopic eczema/dermatitis syndrome and polymorphisms in the promoter region of RANTES and regulatory region of MCP-1. Allergy. 57:160–163. 2002. View Article : Google Scholar : PubMed/NCBI

9 

Lai P, Du JR, Zhang MX, Kuang X, Li YJ, Chen YS and He Y: Aqueous extract of Gleditsia sinensis Lam. fruits improves serum and liver lipid profiles and attenuates atherosclerosis in rabbits fed a high-fat diet. J Ethnopharmacol. 137:1061–1066. 2011. View Article : Google Scholar : PubMed/NCBI

10 

Lim JC, Park JH, Budesinsky M, Kasal A, Han YH, Koo BS, Lee SI and Lee DU: Antimutagenic constituents from the thorns of Gleditsia sinensis. Chem Pharm Bull (Tokyo). 53:561–564. 2005. View Article : Google Scholar

11 

Zhou L, Li D, Jiang W, Qin Z, Zhao S, Qiu M and Wu J: Two ellagic acid glycosides from Gleditsia sinensis Lam. with antifungal activity on Magnaporthe grisea. Nat Prod Res. 21:303–309. 2007. View Article : Google Scholar : PubMed/NCBI

12 

Zhou L, Li D, Wang J, Liu Y and Wu J: Antibacterial phenolic compounds from the spines of Gleditsia sinensis Lam. Nat Prod Res. 21:283–291. 2007. View Article : Google Scholar : PubMed/NCBI

13 

Li WH, Zhang XM, Tian RR, Zheng YT, Zhao WM and Qiu MH: A new anti-HIV lupane acid from Gleditsia sinensis Lam. J Asian Nat Prod Res. 9:551–555. 2007. View Article : Google Scholar : PubMed/NCBI

14 

Wu J, Li J, Zhu Z, Li J, Huang G, Tang Y and Gao X: Protective effects of echinocystic acid isolated from Gleditsia sinensis Lam. against acute myocardial ischemia. Fitoterapia. 81:8–10. 2010. View Article : Google Scholar

15 

Ha HH, Park SY, Ko WS and Kim Y: Gleditsia sinensis thorns inhibit the production of NO through NF-kappaB suppression in LPS-stimulated macrophages. J Ethnopharmacol. 118:429–434. 2008. View Article : Google Scholar : PubMed/NCBI

16 

Cheng PY, Lee YM, Wu YS, Chang TW, Jin JS and Yen MH: Protective effect of baicalein against endotoxic shock in rats in vivo and in vitro. Biochem Pharmacol. 73:793–804. 2007. View Article : Google Scholar

17 

Kundu JK and Surh YJ: Inflammation: Gearing the journey to cancer. Mutat Res. 659:15–30. 2008. View Article : Google Scholar : PubMed/NCBI

18 

Gröne A: Keratinocytes and cytokines. Vet Immunol Immunopathol. 88:1–12. 2002. View Article : Google Scholar : PubMed/NCBI

19 

Sebastiani S, Albanesi C, De PO, Puddu P, Cavani A and Girolomoni G: The role of chemokines in allergic contact dermatitis. Arch Dermatol Res. 293:552–559. 2002. View Article : Google Scholar : PubMed/NCBI

20 

Qi XF, Kim DH, Yoon YS, Li JH, Song SB, Jin D, Huang XZ, Teng YC and Lee KJ: The adenylyl cyclase-cAMP system suppresses TARC/CCL17 and MDC/CCL22 production through p38 MAPK and NF-kappaB in HaCaT keratinocytes. Mol Immunol. 46:1925–1934. 2009. View Article : Google Scholar : PubMed/NCBI

21 

Saeki H and Tamaki K: Thymus and activation regulated chemokine (TARC)/CCL17 and skin diseases. J Dermatol Sci. 43:75–84. 2006. View Article : Google Scholar : PubMed/NCBI

22 

Hino R, Kobayashi M, Mori T, Orimo H, Shimauchi T, Kabashima K and Tokura Y: Inhibition of T helper 2 chemokine production by narrowband ultraviolet B in cultured keratinocytes. Br J Dermatol. 156:830–837. 2007. View Article : Google Scholar : PubMed/NCBI

23 

Appay V and Rowland-Jones SL: RANTES: A versatile and controversial chemokine. Trends Immunol. 22:83–87. 2001. View Article : Google Scholar : PubMed/NCBI

Related Articles

  • Abstract
  • View
  • Download
  • Twitter
Copy and paste a formatted citation
Spandidos Publications style
Seo CS, Lim HS, Ha H, Jin SE and Shin HK: Quantitative analysis and anti-inflammatory effects of Gleditsia sinensis thorns in RAW 264.7 macrophages and HaCaT keratinocytes. Mol Med Rep 12: 4773-4781, 2015.
APA
Seo, C., Lim, H., Ha, H., Jin, S.E., & Shin, H. (2015). Quantitative analysis and anti-inflammatory effects of Gleditsia sinensis thorns in RAW 264.7 macrophages and HaCaT keratinocytes. Molecular Medicine Reports, 12, 4773-4781. https://doi.org/10.3892/mmr.2015.3936
MLA
Seo, C., Lim, H., Ha, H., Jin, S. E., Shin, H."Quantitative analysis and anti-inflammatory effects of Gleditsia sinensis thorns in RAW 264.7 macrophages and HaCaT keratinocytes". Molecular Medicine Reports 12.3 (2015): 4773-4781.
Chicago
Seo, C., Lim, H., Ha, H., Jin, S. E., Shin, H."Quantitative analysis and anti-inflammatory effects of Gleditsia sinensis thorns in RAW 264.7 macrophages and HaCaT keratinocytes". Molecular Medicine Reports 12, no. 3 (2015): 4773-4781. https://doi.org/10.3892/mmr.2015.3936
Copy and paste a formatted citation
x
Spandidos Publications style
Seo CS, Lim HS, Ha H, Jin SE and Shin HK: Quantitative analysis and anti-inflammatory effects of Gleditsia sinensis thorns in RAW 264.7 macrophages and HaCaT keratinocytes. Mol Med Rep 12: 4773-4781, 2015.
APA
Seo, C., Lim, H., Ha, H., Jin, S.E., & Shin, H. (2015). Quantitative analysis and anti-inflammatory effects of Gleditsia sinensis thorns in RAW 264.7 macrophages and HaCaT keratinocytes. Molecular Medicine Reports, 12, 4773-4781. https://doi.org/10.3892/mmr.2015.3936
MLA
Seo, C., Lim, H., Ha, H., Jin, S. E., Shin, H."Quantitative analysis and anti-inflammatory effects of Gleditsia sinensis thorns in RAW 264.7 macrophages and HaCaT keratinocytes". Molecular Medicine Reports 12.3 (2015): 4773-4781.
Chicago
Seo, C., Lim, H., Ha, H., Jin, S. E., Shin, H."Quantitative analysis and anti-inflammatory effects of Gleditsia sinensis thorns in RAW 264.7 macrophages and HaCaT keratinocytes". Molecular Medicine Reports 12, no. 3 (2015): 4773-4781. https://doi.org/10.3892/mmr.2015.3936
Follow us
  • Twitter
  • LinkedIn
  • Facebook
About
  • Spandidos Publications
  • Careers
  • Cookie Policy
  • Privacy Policy
How can we help?
  • Help
  • Live Chat
  • Contact
  • Email to our Support Team