Spandidos Publications Logo
  • About
    • About Spandidos
    • Aims and Scopes
    • Abstracting and Indexing
    • Editorial Policies
    • Reprints and Permissions
    • Job Opportunities
    • Terms and Conditions
    • Contact
  • Journals
    • All Journals
    • Oncology Letters
      • Oncology Letters
      • Information for Authors
      • Editorial Policies
      • Editorial Board
      • Aims and Scope
      • Abstracting and Indexing
      • Bibliographic Information
      • Archive
    • International Journal of Oncology
      • International Journal of Oncology
      • Information for Authors
      • Editorial Policies
      • Editorial Board
      • Aims and Scope
      • Abstracting and Indexing
      • Bibliographic Information
      • Archive
    • Molecular and Clinical Oncology
      • Molecular and Clinical Oncology
      • Information for Authors
      • Editorial Policies
      • Editorial Board
      • Aims and Scope
      • Abstracting and Indexing
      • Bibliographic Information
      • Archive
    • Experimental and Therapeutic Medicine
      • Experimental and Therapeutic Medicine
      • Information for Authors
      • Editorial Policies
      • Editorial Board
      • Aims and Scope
      • Abstracting and Indexing
      • Bibliographic Information
      • Archive
    • International Journal of Molecular Medicine
      • International Journal of Molecular Medicine
      • Information for Authors
      • Editorial Policies
      • Editorial Board
      • Aims and Scope
      • Abstracting and Indexing
      • Bibliographic Information
      • Archive
    • Biomedical Reports
      • Biomedical Reports
      • Information for Authors
      • Editorial Policies
      • Editorial Board
      • Aims and Scope
      • Abstracting and Indexing
      • Bibliographic Information
      • Archive
    • Oncology Reports
      • Oncology Reports
      • Information for Authors
      • Editorial Policies
      • Editorial Board
      • Aims and Scope
      • Abstracting and Indexing
      • Bibliographic Information
      • Archive
    • Molecular Medicine Reports
      • Molecular Medicine Reports
      • Information for Authors
      • Editorial Policies
      • Editorial Board
      • Aims and Scope
      • Abstracting and Indexing
      • Bibliographic Information
      • Archive
    • World Academy of Sciences Journal
      • World Academy of Sciences Journal
      • Information for Authors
      • Editorial Policies
      • Editorial Board
      • Aims and Scope
      • Abstracting and Indexing
      • Bibliographic Information
      • Archive
    • International Journal of Functional Nutrition
      • International Journal of Functional Nutrition
      • Information for Authors
      • Editorial Policies
      • Editorial Board
      • Aims and Scope
      • Abstracting and Indexing
      • Bibliographic Information
      • Archive
    • International Journal of Epigenetics
      • International Journal of Epigenetics
      • Information for Authors
      • Editorial Policies
      • Editorial Board
      • Aims and Scope
      • Abstracting and Indexing
      • Bibliographic Information
      • Archive
    • Medicine International
      • Medicine International
      • Information for Authors
      • Editorial Policies
      • Editorial Board
      • Aims and Scope
      • Abstracting and Indexing
      • Bibliographic Information
      • Archive
  • Articles
  • Information
    • Information for Authors
    • Information for Reviewers
    • Information for Librarians
    • Information for Advertisers
    • Conferences
  • Language Editing
Spandidos Publications Logo
  • About
    • About Spandidos
    • Aims and Scopes
    • Abstracting and Indexing
    • Editorial Policies
    • Reprints and Permissions
    • Job Opportunities
    • Terms and Conditions
    • Contact
  • Journals
    • All Journals
    • Biomedical Reports
      • Information for Authors
      • Editorial Policies
      • Editorial Board
      • Aims and Scope
      • Abstracting and Indexing
      • Bibliographic Information
      • Archive
    • Experimental and Therapeutic Medicine
      • Information for Authors
      • Editorial Policies
      • Editorial Board
      • Aims and Scope
      • Abstracting and Indexing
      • Bibliographic Information
      • Archive
    • International Journal of Epigenetics
      • Information for Authors
      • Editorial Policies
      • Editorial Board
      • Aims and Scope
      • Abstracting and Indexing
      • Bibliographic Information
      • Archive
    • International Journal of Functional Nutrition
      • Information for Authors
      • Editorial Policies
      • Editorial Board
      • Aims and Scope
      • Abstracting and Indexing
      • Bibliographic Information
      • Archive
    • International Journal of Molecular Medicine
      • Information for Authors
      • Editorial Policies
      • Editorial Board
      • Aims and Scope
      • Abstracting and Indexing
      • Bibliographic Information
      • Archive
    • International Journal of Oncology
      • Information for Authors
      • Editorial Policies
      • Editorial Board
      • Aims and Scope
      • Abstracting and Indexing
      • Bibliographic Information
      • Archive
    • Medicine International
      • Information for Authors
      • Editorial Policies
      • Editorial Board
      • Aims and Scope
      • Abstracting and Indexing
      • Bibliographic Information
      • Archive
    • Molecular and Clinical Oncology
      • Information for Authors
      • Editorial Policies
      • Editorial Board
      • Aims and Scope
      • Abstracting and Indexing
      • Bibliographic Information
      • Archive
    • Molecular Medicine Reports
      • Information for Authors
      • Editorial Policies
      • Editorial Board
      • Aims and Scope
      • Abstracting and Indexing
      • Bibliographic Information
      • Archive
    • Oncology Letters
      • Information for Authors
      • Editorial Policies
      • Editorial Board
      • Aims and Scope
      • Abstracting and Indexing
      • Bibliographic Information
      • Archive
    • Oncology Reports
      • Information for Authors
      • Editorial Policies
      • Editorial Board
      • Aims and Scope
      • Abstracting and Indexing
      • Bibliographic Information
      • Archive
    • World Academy of Sciences Journal
      • Information for Authors
      • Editorial Policies
      • Editorial Board
      • Aims and Scope
      • Abstracting and Indexing
      • Bibliographic Information
      • Archive
  • Articles
  • Information
    • For Authors
    • For Reviewers
    • For Librarians
    • For Advertisers
    • Conferences
  • Language Editing
Login Register Submit
  • This site uses cookies
  • You can change your cookie settings at any time by following the instructions in our Cookie Policy. To find out more, you may read our Privacy Policy.

    I agree
Search articles by DOI, keyword, author or affiliation
Search
Advanced Search
presentation
Molecular Medicine Reports
Join Editorial Board Propose a Special Issue
Print ISSN: 1791-2997 Online ISSN: 1791-3004
Journal Cover
November-2015 Volume 12 Issue 5

Full Size Image

Sign up for eToc alerts
Recommend to Library

Journals

International Journal of Molecular Medicine

International Journal of Molecular Medicine

International Journal of Molecular Medicine is an international journal devoted to molecular mechanisms of human disease.

International Journal of Oncology

International Journal of Oncology

International Journal of Oncology is an international journal devoted to oncology research and cancer treatment.

Molecular Medicine Reports

Molecular Medicine Reports

Covers molecular medicine topics such as pharmacology, pathology, genetics, neuroscience, infectious diseases, molecular cardiology, and molecular surgery.

Oncology Reports

Oncology Reports

Oncology Reports is an international journal devoted to fundamental and applied research in Oncology.

Experimental and Therapeutic Medicine

Experimental and Therapeutic Medicine

Experimental and Therapeutic Medicine is an international journal devoted to laboratory and clinical medicine.

Oncology Letters

Oncology Letters

Oncology Letters is an international journal devoted to Experimental and Clinical Oncology.

Biomedical Reports

Biomedical Reports

Explores a wide range of biological and medical fields, including pharmacology, genetics, microbiology, neuroscience, and molecular cardiology.

Molecular and Clinical Oncology

Molecular and Clinical Oncology

International journal addressing all aspects of oncology research, from tumorigenesis and oncogenes to chemotherapy and metastasis.

World Academy of Sciences Journal

World Academy of Sciences Journal

Multidisciplinary open-access journal spanning biochemistry, genetics, neuroscience, environmental health, and synthetic biology.

International Journal of Functional Nutrition

International Journal of Functional Nutrition

Open-access journal combining biochemistry, pharmacology, immunology, and genetics to advance health through functional nutrition.

International Journal of Epigenetics

International Journal of Epigenetics

Publishes open-access research on using epigenetics to advance understanding and treatment of human disease.

Medicine International

Medicine International

An International Open Access Journal Devoted to General Medicine.

Journal Cover
November-2015 Volume 12 Issue 5

Full Size Image

Sign up for eToc alerts
Recommend to Library

  • Article
  • Citations
    • Cite This Article
    • Download Citation
    • Create Citation Alert
    • Remove Citation Alert
    • Cited By
  • Similar Articles
    • Related Articles (in Spandidos Publications)
    • Similar Articles (Google Scholar)
    • Similar Articles (PubMed)
  • Download PDF
  • Download XML
  • View XML
Article Open Access

Identification of circulating microRNA signatures for upper tract urothelial carcinoma detection

  • Authors:
    • Jun Tao
    • Xiao Yang
    • Pengchao Li
    • Jifu Wei
    • Xiaheng Deng
    • Yidong Cheng
    • Chao Qin
    • Xiaobing Ju
    • Xiaoxin Meng
    • Jie Li
    • Min Gu
    • Qiang Lu
    • Changjun Yin
  • View Affiliations / Copyright

    Affiliations: Department of Urology, First Affiliated Hospital of Nanjing Medical University, Nanjing, Jiangsu 210029, P.R. China, Clinical Research Centre, The First Affiliated Hospital of Nanjing Medical University, Nanjing, Jiangsu 210029, P.R. China
    Copyright: © Tao et al. This is an open access article distributed under the terms of Creative Commons Attribution License.
  • Pages: 6752-6760
    |
    Published online on: August 27, 2015
       https://doi.org/10.3892/mmr.2015.4257
  • Expand metrics +
Metrics: Total Views: 0 (Spandidos Publications: | PMC Statistics: )
Metrics: Total PDF Downloads: 0 (Spandidos Publications: | PMC Statistics: )
Cited By (CrossRef): 0 citations Loading Articles...

This article is mentioned in:



Abstract

The involvement of circulating microRNAs (miRNAs) in cancer and their potential as diagnostic and prognostic biomarkers are becoming increasingly known. However, the significance of circulating miRNAs in upper tract urothelial carcinoma (UTUC) has remained to be investigated. The present study performed a genome‑wide serum miRNA analysis using a deep sequencing platform for initial screening. Subsequently, serum samples of 46 UTUC patients and 30 cancer‑free individuals with hematuria were subjected to a quantitative reverse‑transcription polymerase chain reaction analysis. The expression of thirteen miRNAs (miR‑664a‑3p, miR‑423‑5p, miR‑431‑5p, miR‑191‑5p, miR‑92a‑3p, miR‑22‑3p, miR‑26a‑5p, miR‑33b‑3p, miR‑16‑5p, let‑7a‑5p, let‑7b‑5p, let‑7f‑5p and let‑7c) was significantly different in serum from UTUC patients compared with that in control samples. Receiver operator characteristic analysis showed that 10 miRNAs (miR‑664a‑3p, miR‑431‑5p, miR‑423‑5p, miR‑191‑5p, miR‑33b‑3p, miR‑26a‑5p, miR‑22‑3p, miR‑16‑5p, let‑7b‑5p and let‑7c) had the potential to distinguish individuals with UTUC from the controls (areas under the curve >0.8). The present study provided the first evidence for the potential use of circulating miRNAs as biomarkers for UTUC diagnosis, which remains to be verified by further studies.

Introduction

Upper tract urothelial carcinoma (UTUC) is an uncommon, clinically heterogeneous and potentially fatal disease. UTUC accounts for only 5–10% of urothelial carcinomas (1,2) and 60% of UTUCs are invasive at diagnosis compared with only 15% for bladder tumors (1,3). The established early diagnostic methods for UTUC, including multi detector computed tomographic urography, magnetic resonance imaging, urinary cytology, cystoscopy and ureteroscopy, are either invasive or lack sensitivity (3). Thus, the majority of UTUC cases are diagnosed at an advanced stage, resulting in poor prognoses. Results from studies on bladder cancer, which is more common and more thoroughly studied, are often extrapolated to UTUC (4); however, molecular markers for the detection of UTUC are largely absent. Individuals with low risk UTUC can partially benefit from conservative therapy (3,5), but radical nephroureterectomy is still considered the gold standard for the treatment of localized UTUC (3,6). Therefore, correct early diagnosis is critical for designing appropriate treatment schedules to increase survival and decrease morbidity. Early biomarkers that can complement and improve current strategies for UTUC detection should be identified.

MicroRNAs (miRNAs/miRs) are a class of 17–27 nucleotide (nt) single stranded RNA molecules that can regulate gene expression by repressing translation or cleaving RNA transcripts in a sequence specific manner. The biogenesis of miRNA has been comprehensively reported in numerous reviews (7,8), and the ability of miRNAs to inhibit the translation of oncogenes and tumor suppressors suggests their involvement in carcinogenesis (9,10). miRNAs present in human blood samples are known as circulating miRNAs. Circulating miRNAs have been recently demonstrated to be present in a stable and reproducible state (11). Serum and plasma samples are easily acquired in a relatively non invasive manner, and isolated miRNAs can be readily detected by reverse transcription quantitative polymerase chain reaction (RT qPCR), which is a widely used clinical and laboratory technique. The unique expression profile of serum or plasma miRNA has been used as a fingerprint for various malignancies, including carcinomas of the urinary tract (12,13). Extracellular miRNAs, either embedded in microvesicles or protected by RNA binding proteins/lipids, can provide diagnostic, prognostic or even therapeutic targets for UTUC.

However, in spite of the aberrant expression of miRNAs being implicated in the clinical prognosis of human UTUC (14), the global circulating miRNA patterns in UTUC patients have not been studied, to the best of our knowledge. Circulating miRNAs are promising candidates for non invasive cancer testing due to the stability and tissue specificity of miRNAs in the blood. Circulating miRNAs have been recently reported as diagnostic markers for various cancer types (15–18). The present study used the deep sequencing platform Illumina HiSeq™ 2000, followed by RT-qPCR, to systematically and extensively identify circulating miRNAs as a novel class of potent non invasive biomarkers for UTUC.

Materials and methods

Ethics statement

The present study was approved by the Institutional Review Board of the First Affiliated Hospital of Nanjing Medical University (Nanjing, China). Written informed consent was obtained from all participants involved in this study.

Study population, sample collection and serum RNA isolation

The present study collected serum samples from 58 UTUC patients (mean age, 68.0 ± 11.6 years) undergoing radical nephroureterectomy at the First Affiliated Hospital of Nanjing Medical University (Nanjing, China), from 2007 to 2013. A total of 42 matched cancer free controls (mean age, 67.9 ± 9.0 years) were also included. These controls were patients with hematuria who were further diagnosed with urinary tract infection, benign prostate hyperplasia and urinary tract calculi at the First Affiliated Hospital of Nanjing Medical University (Nanjing, China). Clinical and pathological charac teristics, including age, gender, family history of cancer, stage and grade, were recorded and are summarized in Table I. The diagnosis of UTUC was established according to the results of histopathological analysis. Tumors were graded and classified according to the WHO (2004) and TNM classifications of the International Union Against Cancer (2009) (19,20). Blood samples of all patients were drawn within 24 h after admission. The coagulated blood samples were collected in tubes containing a separating gel and clot activator and centri fuged at 1,500 × g for 15 min at 4°C. The supernatant was centrifuged at 1,500 × g for 15 min to precipitate cell debris and stored at −80°C until use. Total RNA of 12 UTUC patients and 12 controls was isolated from 200 µl serum samples using an miRNeasy Serum/Plasma kit (Qiagen, Hilden, Germany) according to the manufacturer's instructions.

Table I

Demographic and clinical features of patients with upper tract urothelial carcinoma and controls in the training and validation sets.

Table I

Demographic and clinical features of patients with upper tract urothelial carcinoma and controls in the training and validation sets.

VariableCases (n=58)
Controls (n=42)
P valuea
n%n%
Age (years)
 <682848.32252.40.685
 ≥683051.72047.6
Gender
 Male4129.33071.40.936
 Female1770.71228.6
Tobacco smoking status
 Never3255.22661.90.501
 Positiveb2644.81638.1
Alcohol consumption status
 Never4082.83173.80.278
 Positiveb1817.21126.2
Family history of cancer
 No4272.43788.10.057
 Yes1627.6511.9
Tumor stage
 I2136.2
 II1424.1
 III2034.5
 IV35.2
Tumor grade
 PUNLMP11.7
 Low grade1729.3
 High grade4069.0

a P= 0.934 according to Student's t test for age distribution between the cases and controls; two sided χ2 test for other selected variables between the cases and controls.

b Includes either history of use or present use. PUNLMP, papillary urothelial neoplasia of low malignant potential.

HiSeq 2000 sequencing and bioinformatics analysis

Small RNAs of 16-30 nt in length were first isolated from the total RNA by size fractionation in a 15% Tris/borate/EDTA urea polyacrylamide gel, and these small RNAs were ligated to an activated 5′ adaptor. A 3′ adaptor was then ligated to the small RNA 5′ adaptor, and RT using a RT primer was performed to create cDNA constructs. The RT reaction was performed using primers that were complementary to the two adaptors. The amplified cDNA constructs were purified and sequenced using an Illumina HiSeq 2000 platform (Illumina, Inc., San Diego, CA, USA) with the following parameters: The adaptor molecule and empty sequence were directly trimmed, and low-quality tags were filtered. Only reads 18–32 bp-reads were selected. All sequences that matched transfer RNA, ribosomal RNA and DNA repeats were filtered. Thus, two types of alignment were generated: Reads uniquely mapped to known miRNAs and reads generating other unknown small RNAs. The expression of miRNAs was calculated, and DEGseq was used to differentially screen the miRNAs between the cases and controls by the criterion of P<0.001. All of the abovementioned procedures were performed by Shanghai Majorbio Bio-pharm Technology (Shanghai, China).

miRNA quantification by RT-qPCR

A two-phase case-control study was designed to identify serum miRNAs as potential markers for UTUC. In the training set, miRNAs were measured in serum samples from 12 UTUC patients and 12 controls. In the validation set, miRNAs were measured in serum samples from 46 UTUC patients and 30 controls. miRNAs were prepared using an All-in-One™ miRNA qRT-PCR Detection kit (cat. no. AOMD-Q060; GeneCopoeia-FulenGen, Guangzhou, China) according to the manufacturer's instructions. Extracted RNA was reverse-transcribed in the presence of poly-A polymerase with an oligo-dT adaptor. A SYBR green qPCR assay was performed with an Applied Biosystems Step One Plus System (Applied Biosystems, Foster City, USA) with forward primer for the mature miRNA sequence and a universal adaptor reverse primer. The respective validated miRNA-specific forward primer (GeneCopoeia-FulenGen) was used for the qPCR assay. Amplification was performed under the following conditions: 95°C for 10 min, followed by 45 cycles of 95°C for 15 sec, 60°C for 30 sec and 72°C for 40 sec. The expression levels of miRNA were normalized to RNU6-2 as described previously (21). All reactions, including controls with no template RNA, were performed in triplicate. The relative expression of miRNA compared with RNU6-2 was calculated using the 2−ΔCt method.

Statistical analysis

Student's t-test or the χ2 test were used to determine the differences in the selected demographic variables between the cases and controls. The relative expres sion of miRNA was analyzed using the 2−ΔΔCt method. The Mann Whitney U test was used to compare the expression of serum miRNAs between the different groups. R software (version 3.0.1; MathSoft, Seattle, WA, USA) was used to run unsupervised clustering analysis and principal component analysis (PCA). Sensitivity, specificity and area under the curve (AUC) for serum miRNA levels were determined using receiver operator characteristic (ROC) analysis. All tests were two sided, and P<0.05 (95% CI) was considered to indicate a statistically significant difference. Statistical analysis was performed using SPSS 13.0 software (SPSS, Inc., Chicago, IL, USA).

Results

Characteristics of the study population

The frequency distributions of the selected characteristics of the cases and controls are shown in Table I. No significant differences in age, gender, tobacco smoking and alcohol consumption were identified between the UTUC patients and controls (P>0.05). The family history of malignancies was similar between the cases and controls. The clinicopathological characteristics are presented in Table I.

Unsupervised clustering analysis and PCA

The differential expression of miRNAs between the UTUC and control serum samples was analyzed by performing unsupervised clustering that was blinded to the clinical annotations. The dendrogram generated by cluster analysis showed a clear distinction between the UTUC and control samples based on the serum miRNA profile (Fig. 1).

Figure 1

(A) Heat map and (B) cluster dendrogram of differentially expressed microRNAs.

PCA was used to classify 24 samples (12 UTUC and 12 control samples) based on the expression profile of 711 miRNAs expressed in all samples. The PCA plot illustrates the global characteristics of these samples (Fig. 2). Despite heterogeneity within the two groups, the first principal component (PC1) was able to differentiate the UTUC samples from the control samples, and the difference between the two groups was >95%.

Figure 2

Unsupervised classification by PCA of cases and control samples. PCA was used to classify 24 samples (12 cases and 12 controls) based on the expression profile of 711 microRNAs expressed in all samples. PCA, principal component analysis; 1, controls; 2, cases.

RT-qPCR analysis of serum miRNAs in UTUC

To validate the putative markers identified from the profiling results, the present study confirmed the concentrations of 21 candidate miRNAs, which were selected following HiSeq 2000 sequencing, with a SYBR green-based RT-qPCR assay. The criteria for selecting miRNA for RT-qPCR analysis were as follows: i) Counts of miRNAs >100 in all sequenced samples; ii) fold change >2 or <0.5 and P<0.001; iii) the absolute value of the coefficient in PC1 >500; and iv) miRNAs sub-categorized by the unsupervised clustering method. Consequently, 21 miRNAs that met the inclusion criteria were selected for further analysis. The results are summarized in Table II.

Table II

Differentially expressed miRNAs between serum of patients with upper tract urothelial carcinoma and controls.

Table II

Differentially expressed miRNAs between serum of patients with upper tract urothelial carcinoma and controls.

miRNA nameLowest count in all samplesFold change (cases vs. controls)P valuePredicted by
has-let-7a-5p884952.08<0.001PCA
has-let-7b-5p133583.18<0.001PCA
has-let-7c657992.44<0.001PCA
has-let-7f-5p852012.05<0.001PCA
has-miR-16-5p4777662.43<0.001PCA
has-miR-183-5p73934.24<0.001PCA
has-miR-191-5p539462.57<0.001PCA
has-miR-22-3p648320.46<0.001PCA
has-miR-25-3p867582.78<0.001PCA
hsa miR 26a 5p149802.33<0.001PCA
has-miR-33b-3p66363.98<0.001CA
has-miR-360912712.68<0.001CA
has-miR-3701060.39<0.001CA
has-miR-423-5p90772.48<0.001PCA
has-miR-431-5p1690.23<0.001CA
hsa-miR-451a1832312.18<0.001PCA
hsa-miR-4763-5p12210.81<0.001CA
hsa-miR-486-5p15374662.99<0.001PCA
hsa-miR-6551485.18<0.001CA
hsa-miR-664a-3p242588.12<0.001CA
hsa-miR-92a-3p1616390.46<0.001PCA

[i] CA, cluster analysis; PCA, principal components analysis; hsa, Homo sapiens; miR/miRNA, microRNA.

Within the validation set, the miRNAs of individual serum samples from 46 UTUC patients and 30 controls were measured, and only miRNAs with a Ct value <35 in either the UTUC or control groups were selected for further analysis. Furthermore, miRNAs with a detection rate of <80% and P>0.05 were excluded from further analysis. These criteria were used to generate a list of 13 miRNAs (miR-664a-3p, miR-423-5p, miR-431-5p, miR-191-5p, miR-92a-3p, miR-22-3p, miR-26a-5p, miR-33b-3p, miR-16-5p, let-7a-5p, let-7b-5p, let-7f-5p and let-7c) that showed different miRNA patterns between the UTUC patients and controls (Fig. 3).

Figure 3

Relative levels of 13 serum miRNAs in 46 upper tract urothelial carcinoma patients and 30 control individuals (in the validation sets; mean ± standard deviation). These levels were determined by reverse transcription quantitative polymerase chain reaction analysis. Each point represents the mean result for triplicate samples. miR/miRNA, microRNA; Ct, cycle threshold.

ROC curve analysis

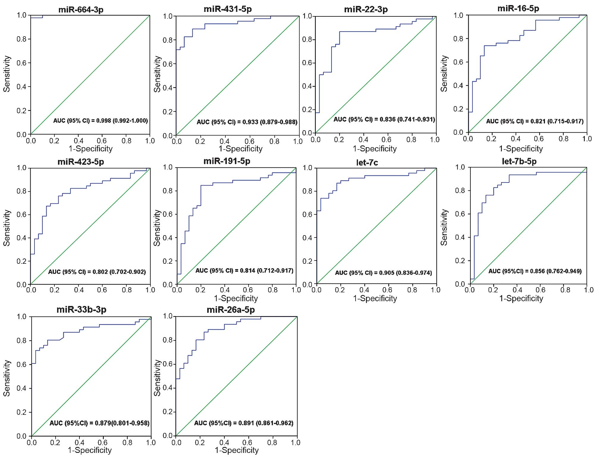
The ROC curves that were constructed to compare the relative concentrations of the 13 miRNAs between the UTUC patients and controls yielded the following AUCs: miR-664a-3p, 0.998, 95% CI (0.992–1.000); miR-423-5p, 0.802, 95% CI (0.702–0.902); miR-431-5p, 0.933, 95% CI (0.879–0.988); miR-191-5p, 0.814, 95% CI (0.712–0.917); miR-92a-3p, 0.675, 95% CI (0.552–0.797); miR-22-3p, 0.836, 95% CI (0.741–0.931); miR-26a-5p, 0.891, 95% CI (0.861–0.962); miR-33b-3p, 0.879, 95% CI (0.801–0.958); miR-16-5p, 0.821, 95% CI (0.715–0.917); let-7a-5p, 0.725, 95% CI (0.605–0.845); let-7b-5p, 0.856, 95% CI (0.762–0.949); let-7f-5p, 0.642, 95% CI (0.516–0.768); and let-7c, 0.905, 95% CI (0.836–0.974). These results suggested the potential of miRNAs for discriminating patients with UTUC from control subjects (Fig. 4).

Figure 4

Receiver operator characteristic curves reflecting the ability of the serum levels of 10 individual miRNAs to distinguish the upper tract urothelial carcinoma cases (n=46) from the controls (n=30) (AUC >80%). miR/miRNA, microRNA; AUC, area under curve; CI, confidence interval.

Association with clinical characteristics

To demonstrate the increase in serum miRNA expression during UTUC development, UTUC cases were further stratified according to tumor stage and grade. The patients were divided into two groups (muscle invasive and non muscle invasive) according to pathological stage, and three groups according to pathological grade. No statistically significant differences were observed among the miRNAs; miR-664a-3p, miR-431-5p, miR-423-5p, miR-191-5p, miR-92a-3p, miR-16-5p and let-7b-5p were all upregulated in the muscle invasive group. Similarly, no statis tically significant difference was identified when members of the UTUC group were stratified according to tumor grade (data not shown).

Discussion

The present study evaluated the use of circulating miRNA levels as diagnostic and prognostic factors for UTUC in order to improve currently used diagnostic tools. The results showed that UTUC was associated with a significant increase in the serum levels of 13 circulating miRNAs, namely miR-664a-3p, miR-423-5p, miR-431-5p, miR-191-5p, miR-92a-3p, miR-22-3p, miR-26a-5p, miR-33b-3p, miR-16-5p, let-7a-5p, let-7b-5p, let-7f-5p and let-7c. Further ROC curve analysis showed that ten of the 13 miRNAs (miR-664a-3p, miR-431-5p, miR-423-5p, miR-191-5p, miR-33b-3p, miR-26a-5p, miR-22-3p, miR-16-5p, let-7b-5p and let-7c) were potentially suitable for distinguishing UTUC individuals from the controls (AUC >0.8).

Circulating miRNAs are present in body fluids and dysregulated miRNAs may be used as disease markers due to their small size, stability and pivotal involvement in the regulation of cell function (22). Tumor derived miRNAs in serum or plasma are easily accessible and the detection technology is widely used in clinical settings. Therefore, circulating miRNAs may emerge as potentially useful blood based tools for monitoring human cancers, particularly at an early stage (23). In the present study, the deep sequencing platform Illumina HiSeq™ 2000 was used to preliminarily characterize an index for estimating the abundance of circulating miRNAs from 12 UTUC patients and 12 controls as an initial screening stage, allowing for the determination of the differential expression of 21 miRNAs between UTUC patients and controls. Deep sequencing approaches for miRNA analysis are becoming routine, and the number of studies targeting miRNAs as potential diagnostic biomarkers for diseases is increasing (24). The major benefits of next-generation sequencing for miRNA profiling include detection of novel as well as known miRNAs and precise identification of miRNA sequences (25). Deep sequencing technology is an effective high throughput tool for initial serum miRNA screening with high accuracy and sensitivity. However, the sequencing results should be validated by RT-qPCR using a large number of individual serum samples, because the sequencing results were obtained from pooled serum samples and may include inaccurate information caused by individual variations. After the initial stage of sequencing circulating miRNA based cancer biomarkers, the present study used RT-qPCR to assess the relative miRNA expression. Subsequently, a list of 13 miRNAs with differential expression between the UTUC cases (n=46) and controls (n=30) was generated. The present study retrospectively assessed the diagnostic capacity of the 13 miRNAs and identified 10 miRNAs that exhibited significant differences (AUC >80%) between the UTUC cases and the controls, therefore being suitable for distinguishing between the two groups. Circulating miRNAs identified by deep sequencing technology were recently considered as fingerprints for the diagnosis of other types of solid tumor, including gastric cancer (15), papillary thyroid carcinoma (16), hepatocarcinoma (17) and malignant astrocytomas (18). Furthermore, miRNAs isolated from urine or blood in bladder cancer patients were also reported to show potential as non invasive biomarkers for diagnosis and prognosis (26–28).

Among the 10 serum miRNAs identified in the present study, several have already been reported to function in detecting disease, creating prognosis or monitoring treatment response. The expression of circulating miRNA precursor let-7b was reported to be diverse among various cancer types. Let-7b was found to be upregulated in breast tumors (29) and downregulated in ovarian cancer (30). The same trend was found for the expression of circulating let-7c, which was increased in esophageal cancer (31) but decreased in nasopharyngeal carcinoma patients with poor prognosis (32). Circulating let-7b and let-7c expression is cancer specific. Let-7b is highly expressed in platelets (33), which may obscure the diagnostic value of measuring let-7b expression levels in serum. Circulating miR-22 was first reported in esophageal squamous cell carcinoma (ESCC) and serves as a non invasive biomarker for ESCC diagnosis (34). High expression of miR-22 can explain the lack of response in pemetrexed-treated non small cell lung cancer (NSCLC) patients. However, in primary plasma cell leukemia, miR-22 is associated with a positive clinical outcome (35). One study suggested that circulating miR-431 can contribute to the detection of colorectal cancer (36). The present study found that serum let-7b, miR-22, and miR-431 were suitable for distinguishing UTUC cases from the controls with AUCs of 85.6, 83.6 and 93.3%, respectively. As mentioned above, circulating let-7b, miR-22 and miR-431 have been linked to the pathogenesis of other cancer types, indicating the value of these three miRNAs in detecting cancer, including UTUC.

Circulating miR-16 and miR-191 have been reported as reference genes in colorectal adenocarcinoma (37). However, miR-16 and miR-191 are associated with the pathogenesis of other cancer types, including NSCLC (38) and lymphoma (39). Of note, several serum miRNAs identified in the present study are also correlated with urinary cancers. For instance, serum miR-16 and miR-26a allow for the discrimination of prostate cancer and benign prostate hyperplasia patients with PSA >2.5 ng/ml (AUCs of 83.7 and 91.8%, respectively) (40). Serum miR-191 expression was found to be 5.3 fold higher in renal cell carcinoma patients than that in controls (41). Plasma miR-33b was significantly lower in bladder cancer cases (28) than that in the controls, whereas the serum expression of miR-33b was enhanced in the UTUC cases in the present study. This disparity should be cautiously interpreted according to the possibly different cellular and molecular mechanisms underlying UTUC and lower tracturothelial carcinoma, even if the pathogenetic similarity of UTUC and bladder cancer has been previously reported (4,42). These miRNAs may serve as a 'fingerprint' to identify the presence of urinary cancers. Thus, the diagnostic capacity of these four circulating miRNAs (miR-16, miR-26a, miR-33b and miR-191) in the precise detection of UTUC may be impaired by their involvement in other urinary cancers. Further studies should be performed to confirm the functions of these four circulating miRNAs in urinary cancers.

In the present study, UTUC was found to be associated with serum miR-423 and miR-664. Circulating miR-423 may be useful as a stable blood based biomarker for numerous diseases, including heart failure (43) and acute graft vs host disease (44). However, few studies have demonstrated the implication of serum miR 423 in cancers. Previous studies have shown that miR-423 is increased in head and neck squamous cell carcinomas (45), and is highly expressed in infiltrating ductal carcinomas in women, who later developed metastasis (46). These findings suggested that miR-423 has a function in cancer development. To the best of our knowledge, no previous study has revealed the association between circulating miR-664 and disease prediction. However, the upregulation of miR-664 contributed to enhanced tumorigenesis in a hepatocellular carcinoma cell line (47), suggesting its potential oncogenic behavior. The lack of results showing the association between cancer and circulating miR-664 and miR-423 levels indicates marked cancer specificity of these two miRNAs in UTUC diagnosis. Of note, the high diagnostic capacity (AUC=99.8%) of serum miR-664 in detecting UTUC may be applied in future studies.

Other molecular markers have also been investigated in samples from UTUC patients using immunohistochemistry or in situ hybridization. E cadherin and hypoxia inducible factor 1α are prognostic factors in UTUC, and the expression of human telomerase RNA is a useful indicator for the diagnosis and prognosis of UTUC (48–50). However, these molecular markers are more associated with the prognosis rather than the diagnosis of UTUC, and depend on conventional detection methods. Compared with circulating miRNA detection, the conventional diagnostic methods for UTUC, including ureteros copy, urine cytology, excretory urography and ultrasonography, cause discomfort among patients and are time consuming and invasive. Such methods also lack sensitivity and specificity, which may delay diagnosis and treatment. By contrast, the circulating miRNAs identified in the present study could allow for early diagnosis with high sensitivity and specificity.

However, the results of the present study need to be interpreted with caution, as the diagnosis as UTUC has several limitations. First, as UTUC is an uncommon disease, the sample size was relatively small, which may have limited the diagnostic capacity of serum miRNA. Second, the miRNA expression levels were higher in the case group than those in the control group, even if the initial sequencing stage showed that the levels of several miRNAs were downregulated in the case group. The discrepancy between the results of the two stages may be attributed to the relatively low abundance of reduced miRNAs, which was beyond the threshold of RT-qPCR detection. Third, the results of the present study were based on a retrospective study. Thus, a future prospective cohort is required to validate the results of the present study. Finally, other factors, including race and methodology, possibly affected the final results.

In conclusion, a 10 serum miRNA-based expression profile that was able to accurately discern UTUC individuals from the controls was identified. Although the manner by which UTUC specific miRNAs enter the circulation is unknown, the identified serum miRNAs are useful biomarkers for UTUC detection. Such serum based assays may result in improved screening compared with stool based or endoscopic screening methods. Circular miRNA based screening for UTUC must be tested on large cohorts to confirm and increase their sensitivity and specificity.

Acknowledgments

This work was supported by the Program for Development of Innovative Research Team of the First Affiliated Hospital of Nanjing Medical University, the Provincial Initiative Program for Excellency Disciplines of Jiangsu Province, the National Natural Science Foundation of China (grant nos. 81272832 and 81201997), the Natural Science Foundation of Jiangsu Province (grant no. BK2011848), the Six Major Talent Peak Project of Jiangsu Province (grant no. 2011-WS-121), the Priority Academic Program Development of Jiangsu Higher Education Institutions (PAPD) and Jiangsu Provincial Special Program of Medical Science (grant no. BL2012027). The funders had no role in study design, data collection and analysis, decision to publish, or preparation of the manuscript.

References

1 

Hall MC, Womack S, Sagalowsky AI, Carmody T, Erickstad MD and Roehrborn CG: Prognostic factors, recurrence and survival in transitional cell carcinoma of the upper urinary tract: A 30-year experience in 252 patients. Urology. 52:594–601. 1998. View Article : Google Scholar : PubMed/NCBI

2 

Munoz JJ and Ellison LM: Upper tract urothelial neoplasms: Incidence and survival during the last 2 decades. J Urol. 164:1523–1525. 2000. View Article : Google Scholar : PubMed/NCBI

3 

Rouprêt M, Zigeuner R, Palou J, Boehle A, Kaasinen E, Sylvester R, Babjuk M and Oosterlinck W: European guidelines for the diagnosis and management of upper urinary tract urothelial cell carcinomas: 2011 update. Eur Urol. 59:584–594. 2011. View Article : Google Scholar : PubMed/NCBI

4 

Krabbe LM, Lotan Y, Bagrodia A, Gayed BA, Darwish OM, Youssef RF, Bolenz C, Sagalowsky AI, Raj GV, Shariat SF, et al: Prospective comparison of molecular signatures in urothelial cancer of the bladder and the upper urinary tract is there evidence for discordant biology? J Urol. 191:926–931. 2014. View Article : Google Scholar

5 

Hautmann RE, de Petriconi RC, Pfeiffer C and Volkmer BG: Radical cystectomy for urothelial carcinoma of the bladder without neoadjuvant or adjuvant therapy: Long term results in 1100 patients. Eur Urol. 61:1039–1047. 2012. View Article : Google Scholar : PubMed/NCBI

6 

Margulis V, Shariat SF, Matin SF, Kamat AM, Zigeuner R, Kikuchi E, Lotan Y, Weizer A and Raman JD; The Upper Tract Urothelial Carcinoma Collaboration: Outcomes of radical nephroureterectomy: A series from the upper tract urothelial carcinoma collaboration. Cancer. 115:1224–1233. 2009. View Article : Google Scholar : PubMed/NCBI

7 

Winter J, Jung S, Keller S, Gregory RI and Diederichs S: Many roads to maturity: microRNA biogenesis pathways and their regulation. Nat Cell Biol. 11:228–234. 2009. View Article : Google Scholar : PubMed/NCBI

8 

Lin S and Gregory RI: MicroRNA biogenesis pathways in cancer. Nat Rev Cancer. 15:321–333. 2015. View Article : Google Scholar : PubMed/NCBI

9 

Visone R and Croce CM: MiRNAs and cancer. Am J Pathol. 174:1131–1138. 2009. View Article : Google Scholar : PubMed/NCBI

10 

Croce CM: Causes and consequences of microRNA dysregu lation in cancer. Nat Rev Genet. 10:704–714. 2009. View Article : Google Scholar : PubMed/NCBI

11 

Mitchell PS, Parkin RK, Kroh EM, Fritz BR, Wyman SK, Pogosova-Agadjanyan EL, Peterson A, Noteboom J, O'Briant KC, Allen A, et al: Circulating microRNAs as stable blood based markers for cancer detection. Proc Natl Acad Sci USA. 105:10513–10518. 2008. View Article : Google Scholar

12 

Chen X, Ba Y, Ma L, Cai X, Yin Y, Wang K, Guo J, Zhang Y, Chen J, Guo X, et al: Characterization of microRNAs in serum: A novel class of biomarkers for diagnosis of cancer and other diseases. Cell Res. 18:997–1006. 2008. View Article : Google Scholar : PubMed/NCBI

13 

Huang X, Liang M, Dittmar R and Wang L: Extracellular microRNAs in urologic malignancies: Chances and challenges. Int J Mol Sci. 14:14785–14799. 2013. View Article : Google Scholar : PubMed/NCBI

14 

Izquierdo L, Ingelmo Torres M, Mallofré C, Lozano JJ, Verhasselt Crinquette M, Leroy X, Colin P, Comperat E, Roupret M, Alcaraz A and Mengual L: Prognostic value of microRNA expression pattern in upper tract urothelial carcinoma. BJU Int. 113:813–821. 2014. View Article : Google Scholar

15 

Liu R, Zhang C, Hu Z, Li G, Wang C, Yang C, Huang D, Chen X, Zhang H, Zhuang R, et al: A five-microRNA signature identified from genome-wide serum microRNA expression profiling serves as a fingerprint for gastric cancer diagnosis. Eur J Cancer. 47:784–791. 2011. View Article : Google Scholar

16 

Yu S, Liu Y, Wang J, Guo Z, Zhang Q, Yu F, Zhang Y, Huang K, Li Y, Song E, et al: Circulating microRNA profiles as potential biomarkers for diagnosis of papillary thyroid carcinoma. J Clin Endocrinol Metab. 97:2084–2092. 2012. View Article : Google Scholar : PubMed/NCBI

17 

Li LM, Hu ZB, Zhou ZX, Chen X, Liu FY, Zhang JF, Shen HB, Zhang CY and Zen K: Serum microRNA profiles serve as novel biomarkers for HBV infection and diagnosis of HBV positive hepatocarcinoma. Cancer Res. 70:9798–9807. 2010. View Article : Google Scholar : PubMed/NCBI

18 

Yang C, Wang C, Chen X, Chen S, Zhang Y, Zhi F, Wang J, Li L, Zhou X, Li N, et al: Identification of seven serum microRNAs from a genome-wide serum microRNA expression profile as potential noninvasive biomarkers for malignant astrocytomas. Int J Cancer. 132:116–127. 2013. View Article : Google Scholar

19 

Sauter G, Algaba F, Amin M, et al: Tumours of the urinary system: Non-invasive urothelial neoplasia. Eble JN, Sauter G, Epstein JI and Sesterhenn IA: The WHO Classification of Tumours of the Urinary System and Male Genital Organs. IARC Press; Lyon: pp. 110–114. 2004

20 

Sobin DH and Witteking CH: TNM Classification of Malignant Tumours. 6th edition. Wiley-Liss; New York, NY: pp. 199–202. 2002

21 

Sanders I, Holdenrieder S, Walgenbach-Brunagel G, Walgenbach-Brünagel G, von Ruecker A, Kristiansen G, Müller SC and Ellinger J: Evaluation of reference genes for the analysis of serum miRNA in patients with prostate cancer, bladder cancer and renal cell carcinoma. Int J Urol. 19:1017–1025. 2012. View Article : Google Scholar : PubMed/NCBI

22 

Cortez MA, Bueso Ramos C, Ferdin J, Lopez-Berestein G, Sood AK and Calin GA: MicroRNAs in body fluids-the mix of hormones and biomarkers. Nat Rev Clin Oncol. 8:467–477. 2011. View Article : Google Scholar : PubMed/NCBI

23 

Zen K and Zhang CY: Circulating microRNAs: A novel class of biomarkers to diagnose and monitor human cancers. Med Res Rev. 32:326–348. 2012. View Article : Google Scholar : PubMed/NCBI

24 

Brosnan JA and Iacobuzio Donahue CA: A new branch on the tree: Next-generation sequencing in the study of cancer evolution. Semin Cell Dev Biol. 23:237–242. 2012. View Article : Google Scholar : PubMed/NCBI

25 

Pritchard CC, Cheng HH and Tewari M: MicroRNA profiling: Approaches and considerations. Nat Rev Genet. 13:358–369. 2012. View Article : Google Scholar : PubMed/NCBI

26 

Mlcochova H, Hezova R, Stanik M and Slaby O: Urine microRNAs as potential noninvasive biomarkers in urologic cancers. Urol Oncol. 32:41 e41–e49. 2014. View Article : Google Scholar

27 

Mengual L, Lozano JJ, Ingelmo-Torres M, Gazquez C, Ribal MJ and Alcaraz A: Using microRNA profiling in urine samples to develop a non-invasive test for bladder cancer. Int J Cancer. 133:2631–2641. 2013.PubMed/NCBI

28 

Adam L, Wszolek MF, Liu CG, Jing W, Diao L, Zien A, Zhang JD, Jackson D and Dinney CP: Plasma microRNA profiles for bladder cancer detection. Urol Oncol. 31:1701–1708. 2013. View Article : Google Scholar

29 

Cookson VJ, Bentley MA, Hogan BV, Horgan K, Hayward BE, Hazelwood LD and Hughes TA: Circulating microRNA profiles reflect the presence of breast tumours but not the profiles of microRNAs within the tumours. Cell Oncol (Dordr). 35:301–308. 2012. View Article : Google Scholar

30 

Chung YW, Bae HS, Song JY, Lee JK, Lee NW, Kim T and Lee KW: Detection of microRNA as novel biomarkers of epithelial ovarian cancer from the serum of ovarian cancer patients. Int J Gynecol Cancer. 23:673–679. 2013. View Article : Google Scholar : PubMed/NCBI

31 

Tanaka K, Miyata H, Yamasaki M, Sugimura K, Takahashi T, Kurokawa Y, Nakajima K, Takiguchi S, Mori M and Doki Y: Circulating miR-200c levels significantly predict response to chemotherapy and prognosis of patients undergoing neoadjuvant chemotherapy for esophageal cancer. Ann Surg Oncol. 20(Suppl 3): S607–S615. 2013. View Article : Google Scholar : PubMed/NCBI

32 

Wang HY, Yan LX, Shao Q, Fu S, Zhang ZC, Ye W, Zeng YX and Shao JY: Profiling plasma microRNA in nasopharyngeal carcinoma with deep sequencing. Clin Chem. 60:773–782. 2014. View Article : Google Scholar : PubMed/NCBI

33 

Kannan M, Mohan KV, Kulkarni S and Atreya C: Membrane array-based differential profiling of platelets during storage for 52 miRNAs associated with apoptosis. Transfusion. 49:1443–1450. 2009. View Article : Google Scholar : PubMed/NCBI

34 

Zhang C, Wang C, Chen X, Yang C, Li K, Wang J, Dai J, Hu Z, Zhou X, Chen L, et al: Expression profile of microRNAs in serum: A fingerprint for esophageal squamous cell carcinoma. Clin Chem. 56:1871–1879. 2010. View Article : Google Scholar : PubMed/NCBI

35 

Lionetti M, Musto P, Di Martino MT, Fabris S, Agnelli L, Todoerti K, Tuana G, Mosca L, Gallo Cantafio ME, Grieco V, et al: Biological and clinical relevance of miRNA expression signatures in primary plasma cell leukemia. Clin Cancer Res. 19:3130–3142. 2013. View Article : Google Scholar : PubMed/NCBI

36 

Kanaan Z, Roberts H, Eichenberger MR, Billeter A, Ocheretner G, Pan J, Rai SN, Jorden J, Williford A and Galandiuk S: A plasma microRNA panel for detection of colorectal adenomas: A step toward more precise screening for colorectal cancer. Ann Surg. 258:400–408. 2013. View Article : Google Scholar : PubMed/NCBI

37 

Zheng G, Wang H, Zhang X, Yang Y, Wang L, Du L, Li W, Li J, Qu A, Liu Y and Wang C: Identification and validation of reference genes for qPCR detection of serum microRNAs in colorectal adenocarcinoma patients. PLoS One. 8:e830252013. View Article : Google Scholar : PubMed/NCBI

38 

Wang Y, Gu J, Roth JA, Hildebrandt MA, Lippman SM, Ye Y, Minna JD and Wu X: Pathway-based serum microRNA profiling and survival in patients with advanced stage non-small cell lung cancer. Cancer Res. 73:4801–4809. 2013. View Article : Google Scholar : PubMed/NCBI

39 

Liu C, Iqbal J, Teruya-Feldstein J, Shen Y, Dabrowska MJ, Dybkaer K, Lim MS, Piva R, Barreca A, Pellegrino E, et al: MicroRNA expression profiling identifies molecular signatures associated with anaplastic large cell lymphoma. Blood. 122:2083–2092. 2013. View Article : Google Scholar : PubMed/NCBI

40 

Mahn R, Heukamp LC, Rogenhofer S, von Ruecker A, Müller SC and Ellinger J: Circulating microRNAs (miRNA) in serum of patients with prostate cancer. Urology. 77:1265e9–e16. 2011. View Article : Google Scholar : PubMed/NCBI

41 

Hauser S, Wulfken LM, Holdenrieder S, Moritz R, Ohlmann CH, Jung V, Becker F, Herrmann E, Walgenbach-Brünagel G, von Ruecker A, et al: Analysis of serum microRNAs (miR-26a-2*, miR-191, miR-337-3p and miR-378) as potential biomarkers in renal cell carcinoma. Cancer Epidemiol. 36:391–394. 2012. View Article : Google Scholar : PubMed/NCBI

42 

Zhang Z, Furge KA, Yang XJ, Teh BT and Hansel DE: Comparative gene expression profiling analysis of urothelial carcinoma of the renal pelvis and bladder. BMC Med Genomics. 3:582010. View Article : Google Scholar : PubMed/NCBI

43 

Tijsen AJ, Creemers EE, Moerland PD, de Windt LJ, van der Wal AC, Kok WE and Pinto YM: MiR423-5p as a circulating biomarker for heart failure. Circ Res. 106:1035–1039. 2010. View Article : Google Scholar : PubMed/NCBI

44 

Xiao B, Wang Y, Li W, Baker M, Guo J, Corbet K, Tsalik EL, Li QJ, Palmer SM, Woods CW, et al: Plasma microRNA signature as a noninvasive biomarker for acute graft versus host disease. Blood. 122:3365–3375. 2013. View Article : Google Scholar : PubMed/NCBI

45 

Hui AB, Lenarduzzi M, Krushel T, Waldron L, Pintilie M, Shi W, Perez-Ordonez B, Jurisica I, O'Sullivan B, Waldron J, et al: Comprehensive MicroRNA profiling for head and neck squamous cell carcinomas. Clin Cancer Res. 16:1129–1139. 2010. View Article : Google Scholar : PubMed/NCBI

46 

Farazi TA, Horlings HM, Ten Hoeve JJ, Mihailovic A, Halfwerk H, Morozov P, Brown M, Hafner M, Reyal F, van Kouwenhove M, et al: MicroRNA sequence and expression analysis in breast tumors by deep sequencing. Cancer Res. 71:4443–4453. 2011. View Article : Google Scholar : PubMed/NCBI

47 

Yang H, Cho ME, Li TW, Peng H, Ko KS, Mato JM and Lu SC: MicroRNAs regulate methionine adenosyltransferase 1A expression in hepatocellular carcinoma. J Clin Invest. 123:285–298. 2013. View Article : Google Scholar :

48 

Fromont G, Rouprêt M, Amira N, Sibony M, Vallancien G, Validire P and Cussenot O: Tissue microarray analysis of the prognostic value of E-cadherin, Ki67, p53, p27, survivin and MSH2 expression in upper urinary tract transitional cell carcinoma. Eur Urol. 48:764–770. 2005. View Article : Google Scholar : PubMed/NCBI

49 

Nakanishi K, Kawai T, Hiroi S, Kumaki F, Torikata C, Aurues T and Ikeda T: Expression of telomerase mRNA component (hTR) in transitional cell carcinoma of the upper urinary tract. Cancer. 86:2109–2116. 1999. View Article : Google Scholar : PubMed/NCBI

50 

Nakanishi K, Hiroi S, Tominaga S, Aida S, Kasamatsu H, Matsuyama S, Matsuyama T and Kawai T: Expression of hypoxia inducible factor-1alpha protein predicts survival in patients with transitional cell carcinoma of the upper urinary tract. Clin Cancer Res. 11:2583–2590. 2005. View Article : Google Scholar : PubMed/NCBI

Related Articles

  • Abstract
  • View
  • Download
  • Twitter
Copy and paste a formatted citation
Spandidos Publications style
Tao J, Yang X, Li P, Wei J, Deng X, Cheng Y, Qin C, Ju X, Meng X, Li J, Li J, et al: Identification of circulating microRNA signatures for upper tract urothelial carcinoma detection. Mol Med Rep 12: 6752-6760, 2015.
APA
Tao, J., Yang, X., Li, P., Wei, J., Deng, X., Cheng, Y. ... Yin, C. (2015). Identification of circulating microRNA signatures for upper tract urothelial carcinoma detection. Molecular Medicine Reports, 12, 6752-6760. https://doi.org/10.3892/mmr.2015.4257
MLA
Tao, J., Yang, X., Li, P., Wei, J., Deng, X., Cheng, Y., Qin, C., Ju, X., Meng, X., Li, J., Gu, M., Lu, Q., Yin, C."Identification of circulating microRNA signatures for upper tract urothelial carcinoma detection". Molecular Medicine Reports 12.5 (2015): 6752-6760.
Chicago
Tao, J., Yang, X., Li, P., Wei, J., Deng, X., Cheng, Y., Qin, C., Ju, X., Meng, X., Li, J., Gu, M., Lu, Q., Yin, C."Identification of circulating microRNA signatures for upper tract urothelial carcinoma detection". Molecular Medicine Reports 12, no. 5 (2015): 6752-6760. https://doi.org/10.3892/mmr.2015.4257
Copy and paste a formatted citation
x
Spandidos Publications style
Tao J, Yang X, Li P, Wei J, Deng X, Cheng Y, Qin C, Ju X, Meng X, Li J, Li J, et al: Identification of circulating microRNA signatures for upper tract urothelial carcinoma detection. Mol Med Rep 12: 6752-6760, 2015.
APA
Tao, J., Yang, X., Li, P., Wei, J., Deng, X., Cheng, Y. ... Yin, C. (2015). Identification of circulating microRNA signatures for upper tract urothelial carcinoma detection. Molecular Medicine Reports, 12, 6752-6760. https://doi.org/10.3892/mmr.2015.4257
MLA
Tao, J., Yang, X., Li, P., Wei, J., Deng, X., Cheng, Y., Qin, C., Ju, X., Meng, X., Li, J., Gu, M., Lu, Q., Yin, C."Identification of circulating microRNA signatures for upper tract urothelial carcinoma detection". Molecular Medicine Reports 12.5 (2015): 6752-6760.
Chicago
Tao, J., Yang, X., Li, P., Wei, J., Deng, X., Cheng, Y., Qin, C., Ju, X., Meng, X., Li, J., Gu, M., Lu, Q., Yin, C."Identification of circulating microRNA signatures for upper tract urothelial carcinoma detection". Molecular Medicine Reports 12, no. 5 (2015): 6752-6760. https://doi.org/10.3892/mmr.2015.4257
Follow us
  • Twitter
  • LinkedIn
  • Facebook
About
  • Spandidos Publications
  • Careers
  • Cookie Policy
  • Privacy Policy
How can we help?
  • Help
  • Live Chat
  • Contact
  • Email to our Support Team