Spandidos Publications Logo
  • About
    • About Spandidos
    • Aims and Scopes
    • Abstracting and Indexing
    • Editorial Policies
    • Reprints and Permissions
    • Job Opportunities
    • Terms and Conditions
    • Contact
  • Journals
    • All Journals
    • Oncology Letters
      • Oncology Letters
      • Information for Authors
      • Editorial Policies
      • Editorial Board
      • Aims and Scope
      • Abstracting and Indexing
      • Bibliographic Information
      • Archive
    • International Journal of Oncology
      • International Journal of Oncology
      • Information for Authors
      • Editorial Policies
      • Editorial Board
      • Aims and Scope
      • Abstracting and Indexing
      • Bibliographic Information
      • Archive
    • Molecular and Clinical Oncology
      • Molecular and Clinical Oncology
      • Information for Authors
      • Editorial Policies
      • Editorial Board
      • Aims and Scope
      • Abstracting and Indexing
      • Bibliographic Information
      • Archive
    • Experimental and Therapeutic Medicine
      • Experimental and Therapeutic Medicine
      • Information for Authors
      • Editorial Policies
      • Editorial Board
      • Aims and Scope
      • Abstracting and Indexing
      • Bibliographic Information
      • Archive
    • International Journal of Molecular Medicine
      • International Journal of Molecular Medicine
      • Information for Authors
      • Editorial Policies
      • Editorial Board
      • Aims and Scope
      • Abstracting and Indexing
      • Bibliographic Information
      • Archive
    • Biomedical Reports
      • Biomedical Reports
      • Information for Authors
      • Editorial Policies
      • Editorial Board
      • Aims and Scope
      • Abstracting and Indexing
      • Bibliographic Information
      • Archive
    • Oncology Reports
      • Oncology Reports
      • Information for Authors
      • Editorial Policies
      • Editorial Board
      • Aims and Scope
      • Abstracting and Indexing
      • Bibliographic Information
      • Archive
    • Molecular Medicine Reports
      • Molecular Medicine Reports
      • Information for Authors
      • Editorial Policies
      • Editorial Board
      • Aims and Scope
      • Abstracting and Indexing
      • Bibliographic Information
      • Archive
    • World Academy of Sciences Journal
      • World Academy of Sciences Journal
      • Information for Authors
      • Editorial Policies
      • Editorial Board
      • Aims and Scope
      • Abstracting and Indexing
      • Bibliographic Information
      • Archive
    • International Journal of Functional Nutrition
      • International Journal of Functional Nutrition
      • Information for Authors
      • Editorial Policies
      • Editorial Board
      • Aims and Scope
      • Abstracting and Indexing
      • Bibliographic Information
      • Archive
    • International Journal of Epigenetics
      • International Journal of Epigenetics
      • Information for Authors
      • Editorial Policies
      • Editorial Board
      • Aims and Scope
      • Abstracting and Indexing
      • Bibliographic Information
      • Archive
    • Medicine International
      • Medicine International
      • Information for Authors
      • Editorial Policies
      • Editorial Board
      • Aims and Scope
      • Abstracting and Indexing
      • Bibliographic Information
      • Archive
  • Articles
  • Information
    • Information for Authors
    • Information for Reviewers
    • Information for Librarians
    • Information for Advertisers
    • Conferences
  • Language Editing
Spandidos Publications Logo
  • About
    • About Spandidos
    • Aims and Scopes
    • Abstracting and Indexing
    • Editorial Policies
    • Reprints and Permissions
    • Job Opportunities
    • Terms and Conditions
    • Contact
  • Journals
    • All Journals
    • Biomedical Reports
      • Information for Authors
      • Editorial Policies
      • Editorial Board
      • Aims and Scope
      • Abstracting and Indexing
      • Bibliographic Information
      • Archive
    • Experimental and Therapeutic Medicine
      • Information for Authors
      • Editorial Policies
      • Editorial Board
      • Aims and Scope
      • Abstracting and Indexing
      • Bibliographic Information
      • Archive
    • International Journal of Epigenetics
      • Information for Authors
      • Editorial Policies
      • Editorial Board
      • Aims and Scope
      • Abstracting and Indexing
      • Bibliographic Information
      • Archive
    • International Journal of Functional Nutrition
      • Information for Authors
      • Editorial Policies
      • Editorial Board
      • Aims and Scope
      • Abstracting and Indexing
      • Bibliographic Information
      • Archive
    • International Journal of Molecular Medicine
      • Information for Authors
      • Editorial Policies
      • Editorial Board
      • Aims and Scope
      • Abstracting and Indexing
      • Bibliographic Information
      • Archive
    • International Journal of Oncology
      • Information for Authors
      • Editorial Policies
      • Editorial Board
      • Aims and Scope
      • Abstracting and Indexing
      • Bibliographic Information
      • Archive
    • Medicine International
      • Information for Authors
      • Editorial Policies
      • Editorial Board
      • Aims and Scope
      • Abstracting and Indexing
      • Bibliographic Information
      • Archive
    • Molecular and Clinical Oncology
      • Information for Authors
      • Editorial Policies
      • Editorial Board
      • Aims and Scope
      • Abstracting and Indexing
      • Bibliographic Information
      • Archive
    • Molecular Medicine Reports
      • Information for Authors
      • Editorial Policies
      • Editorial Board
      • Aims and Scope
      • Abstracting and Indexing
      • Bibliographic Information
      • Archive
    • Oncology Letters
      • Information for Authors
      • Editorial Policies
      • Editorial Board
      • Aims and Scope
      • Abstracting and Indexing
      • Bibliographic Information
      • Archive
    • Oncology Reports
      • Information for Authors
      • Editorial Policies
      • Editorial Board
      • Aims and Scope
      • Abstracting and Indexing
      • Bibliographic Information
      • Archive
    • World Academy of Sciences Journal
      • Information for Authors
      • Editorial Policies
      • Editorial Board
      • Aims and Scope
      • Abstracting and Indexing
      • Bibliographic Information
      • Archive
  • Articles
  • Information
    • For Authors
    • For Reviewers
    • For Librarians
    • For Advertisers
    • Conferences
  • Language Editing
Login Register Submit
  • This site uses cookies
  • You can change your cookie settings at any time by following the instructions in our Cookie Policy. To find out more, you may read our Privacy Policy.

    I agree
Search articles by DOI, keyword, author or affiliation
Search
Advanced Search
presentation
Molecular Medicine Reports
Join Editorial Board Propose a Special Issue
Print ISSN: 1791-2997 Online ISSN: 1791-3004
Journal Cover
November-2017 Volume 16 Issue 5

Full Size Image

Sign up for eToc alerts
Recommend to Library

Journals

International Journal of Molecular Medicine

International Journal of Molecular Medicine

International Journal of Molecular Medicine is an international journal devoted to molecular mechanisms of human disease.

International Journal of Oncology

International Journal of Oncology

International Journal of Oncology is an international journal devoted to oncology research and cancer treatment.

Molecular Medicine Reports

Molecular Medicine Reports

Covers molecular medicine topics such as pharmacology, pathology, genetics, neuroscience, infectious diseases, molecular cardiology, and molecular surgery.

Oncology Reports

Oncology Reports

Oncology Reports is an international journal devoted to fundamental and applied research in Oncology.

Experimental and Therapeutic Medicine

Experimental and Therapeutic Medicine

Experimental and Therapeutic Medicine is an international journal devoted to laboratory and clinical medicine.

Oncology Letters

Oncology Letters

Oncology Letters is an international journal devoted to Experimental and Clinical Oncology.

Biomedical Reports

Biomedical Reports

Explores a wide range of biological and medical fields, including pharmacology, genetics, microbiology, neuroscience, and molecular cardiology.

Molecular and Clinical Oncology

Molecular and Clinical Oncology

International journal addressing all aspects of oncology research, from tumorigenesis and oncogenes to chemotherapy and metastasis.

World Academy of Sciences Journal

World Academy of Sciences Journal

Multidisciplinary open-access journal spanning biochemistry, genetics, neuroscience, environmental health, and synthetic biology.

International Journal of Functional Nutrition

International Journal of Functional Nutrition

Open-access journal combining biochemistry, pharmacology, immunology, and genetics to advance health through functional nutrition.

International Journal of Epigenetics

International Journal of Epigenetics

Publishes open-access research on using epigenetics to advance understanding and treatment of human disease.

Medicine International

Medicine International

An International Open Access Journal Devoted to General Medicine.

Journal Cover
November-2017 Volume 16 Issue 5

Full Size Image

Sign up for eToc alerts
Recommend to Library

  • Article
  • Citations
    • Cite This Article
    • Download Citation
    • Create Citation Alert
    • Remove Citation Alert
    • Cited By
  • Similar Articles
    • Related Articles (in Spandidos Publications)
    • Similar Articles (Google Scholar)
    • Similar Articles (PubMed)
  • Download PDF
  • Download XML
  • View XML
Article Open Access

Genetic association study in a three-generation family with seven members with endometriosis

  • Authors:
    • Michail Matalliotakis
    • Maria I. Zervou
    • Charoula Matalliotaki
    • Aydin Arici
    • Demetrios A. Spandidos
    • Ioannis Matalliotakis
    • George N. Goulielmos
  • View Affiliations / Copyright

    Affiliations: Department of Obstetrics and Gynecology, Venizeleio and Pananio General Hospital of Heraklion, Heraklion 71409, Greece, Section of Molecular Pathology and Human Genetics, Department of Internal Medicine, School of Medicine University of Crete, Heraklion 71003, Greece, Department of Obstetrics and Gynecology and Reproductive Sciences Yale University School of Medicine, New Haven, CT 06510, USA, Laboratory of Clinical Virology, Medical School, University of Crete, Heraklion 71003, Greece
    Copyright: © Matalliotakis et al. This is an open access article distributed under the terms of Creative Commons Attribution License.
  • Pages: 6077-6080
    |
    Published online on: August 23, 2017
       https://doi.org/10.3892/mmr.2017.7337
  • Expand metrics +
Metrics: Total Views: 0 (Spandidos Publications: | PMC Statistics: )
Metrics: Total PDF Downloads: 0 (Spandidos Publications: | PMC Statistics: )
Cited By (CrossRef): 0 citations Loading Articles...

This article is mentioned in:



Abstract

The aim of this study was to investigate whether five single nucleotide polymorphisms (SNPs), associated with endometriosis, may confer new insight towards a genotype‑phenotype association with endometriosis. We studied a three-generation family with seven women who had endometriosis. Blood specimens were obtained from all the affected female family members. The entire family was genotyped for five SNPs mapped to WNT4, VEZT, FSHB and IL-16 genetic loci. We further evaluated the members of the family with endometriosis and described all obstetric and gynecological complications caused by the disease in these seven women. The five SNPs analyzed did not reveal any genotype-phenotype correlation with the disease. The members of the family with endometriosis showed a variety of clinical manifestations and complications. None of the five genetic markers examined correlated genotype with phenotype in the case of the Greek three-generation family examined. Therefore, we conclude that more gene polymorphisms must be investigated in the members of this family to gain insight regarding a genotype‑phenotype correlation in endometriosis and the potential development of a personalized care for the patients based on these data.

Introduction

Endometriosis is a benign yet common gynecological disorder observed in 10% of women of reproductive age and is characterized by a growth of endometrial tissue in locations other than the uterine cavity (1). However, its etiology and pathogenesis remain obscure. Endometriosis results from a complex trait, influenced by genetic and environmental factors; however, few details are known regarding the way that candidate genes function (2).

The genetic contribution into endometriosis has been widely investigated thus far. Candidate gene studies, gene association and genome wide association studies (GWAS) have been conducted and already yielded over 30 candidate genes (3). However, the usefulness of these genes for understanding the pathogenesis of endometriosis needs to be proven by performing functional studies. At present, 19 independent SNPs have been robustly associated with endometriosis upon GWAS, explaining 5.19% of the disease variance (4). Of note, the number of these loci is on the increase as the proportion of cases analyzed are limited to more severe disease stages (stage III/IV endometriosis) rather than stage I/II, thus indicating that moderate to severe endometriosis cases have greater genetic burden relative to minimal or mild disease (5). In the Greek population, we previously reported that the combination of CYP1A1 polymorphism and GSTM1 null deletion was closely associated with penetration of the endometriosis phenotype (2). Additionally, we investigated the risk of familial endometriosis among first degree relatives (6).

In the present study, we described a unique family that was observed among 1,000 cases with endometriosis, where seven members within a three-generation family were detected with endometriosis. Furthermore, we investigated whether any genotype-phenotype association for endometriosis exists in the affected members of this family by analyzing five SNPs mapped to WNT4, VEZT, FSHB and IL-16 gene loci, which have been associated with endometriosis.

Materials and methods

Patient population and study design

Over a 30-year period, 1,000 women with endometriosis from two different geographic locations underwent surgical treatment for endometriosis. The Ethics Committees of the Human Research of Yale University School (New Haven, CT, USA) (HIC no. 12590) and Venizeleio General Hospital of Heraklion (Heraklion, Greece) (ECHR no. 46/6686) approved the overall study. The data were collected by the clinicians and pathologists reported the medical records, including surgical procedures and findings. Staging of the disease was performed with the criteria proposed by the American Society of Reproductive Medicine (Birmingham, AL, USA) (7). Clinical characteristics of the unique family, which was found in Crete, suffering from endometriosis were examined. Venous blood samples were collected from the family members as described below.

Genotyping

We selected a panel of SNP markers mapping to five recently analyzed endometriosis susceptibility loci upon genotyping of a Greek cohort of patients and healthy controls, including WNT4, VEZT, FSHB and IL-16 genes. Genomic DNA was isolated from peripheral blood leukocytes by using the commercial kit (PureLink® Genomic DNA mini kit; Invitrogen Life Technologies; Thermo Fisher Scientific, Inc., Waltham, MA, USA) according to the manufacturers instructions. Allelic discrimination of the WNT4, VEZT and FSHB SNPs was carried out using pre-made TaqMan SNP genotyping assays (from Applied Biosystems; Thermo Fisher Scientific, Inc.) on an Applied Biosystems ViiA™7 Real-Time PCR system. Allelic discrimination plots were all reviewed individually for quality. Each assay was run with negative controls. Genotyping of two common SNPs in the IL-16 gene (located on chromosome 15), rs4072111 (Pro434Ser) and rs11556218 (Asn446Lys) was performed by following the restriction fragment length polymorphism approach, by using BsmAI and NdeI, respectively, as described elsewhere (8,9).

Results

Case description

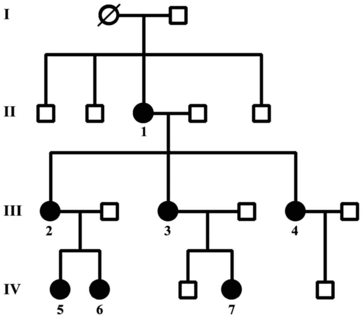
The pedigree of the family and the affected members is shown in Fig. 1. Table I shows the characteristics of the family members with endometriosis.

Figure 1.

Pedigree of the family. Filled circles represent women with endometriosis. Open circles represent women without endometriosis, the circle with a diagonal line represents women of unknown phenotypic status and open squares represent males. Case nos. 1–7 indicate the available family members studied.

Table I.

Characteristics of the family members.

Table I.

Characteristics of the family members.

Case no.Age (years)SymptomsStagePregnancy and obstetric complicationsGynecologic complications
165Pelvic pain dysmenorheaIV3TAH for endometriosis at age 32
249Pelvic pain dysmenorheaIV2TAH at age 33
346Pelvic painII1 child (IVF)Endometrioma
440Infertility dysmenorheaIINo childrenAdenomyosis
532InfertilityIII2 children (IVF)Endometrioma
627Infertility pelvic painIINo childrenEndometrioma
725InfertilityIINo childrenEndometrioma

[i] TAH, total abdominal hysterectomy; IVF, in vitro fertilization.

The grandmother of the family had given birth to four children who had no gynecologic problems. Her daughter (case 1), the 64-year-old mother, gave birth to three children from the age of 16 to 24 years and underwent surgical hysterectomy when she was 32 years of age due to stage IV bilateral ovarian endometriosis. She underwent four surgeries for endometriosis. Her first daughter (case 2) gave birth to two offspring (at the age of 14 and 18, respectively) and underwent laparotomy for bilateral ovarian endometriosis at 31 years of age, which was followed by total hysterectomy after two years of conservative treatment because she had stage IV of the disease and severe clinical symptoms. Her second daughter (case 3) gave birth to two children between 17 and 22 years of age and underwent laparoscopy at 28 years of age, which confirmed stage II endometriosis. Her third daughter (case 4) had severe dysmenorhea for four years and was diagnosed with infertility at 25 years of age; stage II endometriosis was found on laparoscopy. She underwent in vitro fertilization (IVF) and gave birth to one child.

In addition, we detected the granddaughter of case 1, who is 32 years of age (case 5) with endometriosis stage III and her sister who is 27 years of age with endometriosis stage II (case 6).

Finally, the seventh case who is 25 years of age had endometriosis stage II without offspring (Table I).

Genetic analysis of the family. The entire family was genotyped for five SNPs, which were previously identified to be associated with endometriosis. Genotypes of the family members for the gene variants analyzed are presented in Table II. The family members were homozygous for the wild-type allele C for the rs7521902 variant in the WNT4 locus. Similarly, G/T heterozygotes for the rs1156218 SNP of IL-16 locus were found for family members at stages II, II or IV of endometriosis and therefore, the carriage of the risk allele G cannot be associated with severity of endometriosis. When a second SNP of the IL-16 gene, rs4072111, was analyzed, the risk allele T was carried by patients of both stages II and III, while it was absent from patients of stage IV.

Table II.

Genetic variants.

Table II.

Genetic variants.

Case no.WNT4 (rs7521902)VEZT (rs10859871)FSHB (rs11031006)IL-16 (rs11556218)IL-16 (rs407211)
1CCAAGGGTCC
2CCAAGGGTCC
3CCACGGGTCC
4CCACGGGTCT
5CCAAGGGTCT
6CCAAGGTTCC
7CCAAGGTTCC

[i] Genetic variant, alleles, risk allele: WNT4, A/C, A; VEZT, A/C, C; FSHB, A/G, G; IL-16 rs1156218, T/G, G; IL-16 rs4072111, C/T, T.

Homozygotes for the wild-type allele A of rs10859871 of the VEZT gene were identified for family members at stages II, III or IV of endometriosis and, therefore, no genotype-phenotype association was detected for this SNP either.

Upon genotyping for rs11031006 SNP of FSHB locus, all the members of the family analyzed were homozygous for the risk allele G apart from the stage of endometriosis. Of note, this genotype showed the highest frequency in women with endometriosis in Greece (85.84%) (data not shown).

Discussion

Genome-wide association studies have identified many genetic risk loci associated with endometriosis, which opened new avenues to the better understanding of the molecular mechanisms leading to the disease (4). Nevertheless, the genetics of this disease are mainly unsolved and much investigation remains to be conducted aiming to understand better the precise role of the various biological pathways involved in the pathogenesis of endometriosis.

Endometriosis is characterized by a non-clearly defined phenotype, considering the various clinical manifestations and obstetric complications of the disease (10). Apart from the progress succeeded in the identification of new endometriosis risk genes, the literature available concerning genetic associations related to the diseases severity is limited. Notably, most of the currently confirmed SNPs associated with endometriosis were more strongly associated with stages III and IV, than stages I and II (5). It is possible that familial cases may provide interesting information both from a phenotypic and genotypic point of view. Thus, based on results from a replication study in the Greek population that is currently in progress, focusing on five SNPs previously reported to be associated with endometriosis, we aimed to identify a genotype-phenotype correlation. It has been suggested that although the genotype-phenotype association is just at the beginning of endometriosis research, it may be promiscuous regarding its diagnostic and treatment applications (11).

All the family members were homozygous for the wild-type allele C for the rs7521902 variant in the WNT4 locus. Notably, familial cases were also homozygous for allele C of the same SNP in another study referring to an Italian family (11). The frequency of this genotype was high in both the Greek and Italian populations (63.29 and 70.5%, respectively) (10,data not shown).

In a former study investigating the probable effect of IL-16 polymorphisms on disease progression, a significant difference between allele frequencies of rs4072111 SNP regarding mild/moderate and severe stages of endometriosis was detected (9). In particular, the risk for a severe phenotype among endometriosis patients that carried the T allele of rs4072111 was reported to be higher, a finding that has not been replicated in the present study.

In the three-generation family under investigation in the present study, a woman with endometriosis gave birth to three daughters with endometriosis (case nos. 2, 3 and 4) of a varying severity. All the sisters became pregnant and gave birth to daughters with endometriosis. However, the first sister (no. 2) with severe endometriosis (stage IV) gave birth to two daughters of milder stages of endometriosis. By contrast, the second sister (no. 3) gave birth to a daughter with endometriosis of the same stage with her (II). Thus, it appears that there is no pattern of familial inheritance dealing with the stage of disease.

In the present study, despite the peculiar clinical manifestations exhibited by the familial cases from the disease severity point of view, no correlation between genotype and phenotype could be determined. However, analysis of the expression profile from patients of stages I/II vs. III/IV may contribute to the identification of molecularly defined subtypes and the further dissection of endometriosis from a molecular viewpoint. A first attempt in this direction has been previously performed by Tamaresis et al (12).

To conclude, additional studies involving more SNPs associated with endometriosis in the members of this particular family may result in the identification of gene polymorphisms that may confer new knowledge concerning the genotype-phenotype correlation. Analogous studies in families from other ethnic populations may be valuable in this direction but requires large national and international collaborations and sharing of datasets. The new findings can be used for the detection of new potential therapeutic targets and the development of new targeted therapies depending on the stage of endometriosis, thus leading to improved care and beneficial management of women with endometriosis.

Acknowledgements

We would like to thank all the practitioners for providing the data and pathology reports used in this study.

References

1 

Olive DL and Schwartz LB: Endometriosis. N Engl J Med. 328:1759–1769. 1993. View Article : Google Scholar : PubMed/NCBI

2 

Arvanitis DA, Goumenou AG, Matalliotakis IM, Koumantakis EE and Spandidos DA: Low-penetrance genes are associated with increased susceptibility to endometriosis. Fertil Steril. 76:1202–1206. 2001. View Article : Google Scholar : PubMed/NCBI

3 

Zondervan KT, Rahmioglu N, Morris AP, Nyholt DR, Montgomery GW, Becker CM and Missmer SA: Beyond endometriosis genome-wide association study: from genomics to phenomics to the patient. Semin Reprod Med. 34:242–254. 2016. View Article : Google Scholar : PubMed/NCBI

4 

Sapkota Y, Steinthorsdottir V, Morris AP, Fassbender A, Rahmioglu N, De Vivo I, Buring JE, Zhang F, Edwards TL, et al: Meta-analysis identifies five novel loci associated with endometriosis highlighting key genes involved in hormone metabolism. Nat Commun. 8:155392017. View Article : Google Scholar : PubMed/NCBI

5 

Rahmioglu N, Nyholt DR, Morris AP, Missmer SA, Montgomery GW and Zondervan KT: Genetic variants underlying risk of endometriosis: Insights from meta-analysis of eight genome-wide association and replication datasets. Hum Reprod Update. 20:702–716. 2014. View Article : Google Scholar : PubMed/NCBI

6 

Matalliotakis M, Goulielmos GN, Zervou MI, Matalliotaki CH, Koumantakis G and Matalliotakis I: Familial predisposition of endometriosis in Greece. J Endometr Pelvic Pain Disord. Jun 7–2017.(Epub ahead of print). doi: https://doi.org/10.5301/jeppd.5000290.

7 

No authors listed: American Society for reproductive: Revised American Society for reproductive medicine classification of endometriosis: 1996. Fertil Steril. 67:817–821. 1997. View Article : Google Scholar : PubMed/NCBI

8 

Gao LB, Rao L, Wang YY, Liang WB, Li C, Xue H, Zhou B, Sun H, Li Y, Lv ML, et al: The association of interleukin-16 polymorphisms with IL-16 serum levels and risk of colorectal and gastric cancer. Carcinogenesis. 30:295–299. 2009. View Article : Google Scholar : PubMed/NCBI

9 

Azimzadeh P, Khorshid HR Khorram, Akhondi MM and Shirazi A: Association of interleukin-16 polymorphisms with disease progression and susceptibility in endometriosis. Int J Immunogenet. 43:297–302. 2016. View Article : Google Scholar : PubMed/NCBI

10 

Viganò P, Somigliana E, Panina P, Rabellotti E, Vercellini P and Candiani M: Principles of phenomics in endometriosis. Hum Reprod Update. 18:248–259. 2012. View Article : Google Scholar : PubMed/NCBI

11 

Buggio L, Pagliardini L, Gentilini D, De Braud L, Viganò P and Vercellini P: A rare familial case of endometriosis with very severe gynecological and obstetric complications: Novel genetic variants at a glance. Gynecol Obstet Invest. 77:201–204. 2014. View Article : Google Scholar : PubMed/NCBI

12 

Tamaresis JS, Irwin JC, Goldfien GA, Rabban JT, Burney RO, Nezhat C, DePaolo LV and Giudice LC: Molecular classification of endometriosis and disease stage using high-dimensional genomic data. Endocrinology. 155:4986–4999. 2014. View Article : Google Scholar : PubMed/NCBI

Related Articles

  • Abstract
  • View
  • Download
  • Twitter
Copy and paste a formatted citation
Spandidos Publications style
Matalliotakis M, Zervou MI, Matalliotaki C, Arici A, Spandidos DA, Matalliotakis I and Goulielmos GN: Genetic association study in a three-generation family with seven members with endometriosis. Mol Med Rep 16: 6077-6080, 2017.
APA
Matalliotakis, M., Zervou, M.I., Matalliotaki, C., Arici, A., Spandidos, D.A., Matalliotakis, I., & Goulielmos, G.N. (2017). Genetic association study in a three-generation family with seven members with endometriosis. Molecular Medicine Reports, 16, 6077-6080. https://doi.org/10.3892/mmr.2017.7337
MLA
Matalliotakis, M., Zervou, M. I., Matalliotaki, C., Arici, A., Spandidos, D. A., Matalliotakis, I., Goulielmos, G. N."Genetic association study in a three-generation family with seven members with endometriosis". Molecular Medicine Reports 16.5 (2017): 6077-6080.
Chicago
Matalliotakis, M., Zervou, M. I., Matalliotaki, C., Arici, A., Spandidos, D. A., Matalliotakis, I., Goulielmos, G. N."Genetic association study in a three-generation family with seven members with endometriosis". Molecular Medicine Reports 16, no. 5 (2017): 6077-6080. https://doi.org/10.3892/mmr.2017.7337
Copy and paste a formatted citation
x
Spandidos Publications style
Matalliotakis M, Zervou MI, Matalliotaki C, Arici A, Spandidos DA, Matalliotakis I and Goulielmos GN: Genetic association study in a three-generation family with seven members with endometriosis. Mol Med Rep 16: 6077-6080, 2017.
APA
Matalliotakis, M., Zervou, M.I., Matalliotaki, C., Arici, A., Spandidos, D.A., Matalliotakis, I., & Goulielmos, G.N. (2017). Genetic association study in a three-generation family with seven members with endometriosis. Molecular Medicine Reports, 16, 6077-6080. https://doi.org/10.3892/mmr.2017.7337
MLA
Matalliotakis, M., Zervou, M. I., Matalliotaki, C., Arici, A., Spandidos, D. A., Matalliotakis, I., Goulielmos, G. N."Genetic association study in a three-generation family with seven members with endometriosis". Molecular Medicine Reports 16.5 (2017): 6077-6080.
Chicago
Matalliotakis, M., Zervou, M. I., Matalliotaki, C., Arici, A., Spandidos, D. A., Matalliotakis, I., Goulielmos, G. N."Genetic association study in a three-generation family with seven members with endometriosis". Molecular Medicine Reports 16, no. 5 (2017): 6077-6080. https://doi.org/10.3892/mmr.2017.7337
Follow us
  • Twitter
  • LinkedIn
  • Facebook
About
  • Spandidos Publications
  • Careers
  • Cookie Policy
  • Privacy Policy
How can we help?
  • Help
  • Live Chat
  • Contact
  • Email to our Support Team