Spandidos Publications Logo
  • About
    • About Spandidos
    • Aims and Scopes
    • Abstracting and Indexing
    • Editorial Policies
    • Reprints and Permissions
    • Job Opportunities
    • Terms and Conditions
    • Contact
  • Journals
    • All Journals
    • Oncology Letters
      • Oncology Letters
      • Information for Authors
      • Editorial Policies
      • Editorial Board
      • Aims and Scope
      • Abstracting and Indexing
      • Bibliographic Information
      • Archive
    • International Journal of Oncology
      • International Journal of Oncology
      • Information for Authors
      • Editorial Policies
      • Editorial Board
      • Aims and Scope
      • Abstracting and Indexing
      • Bibliographic Information
      • Archive
    • Molecular and Clinical Oncology
      • Molecular and Clinical Oncology
      • Information for Authors
      • Editorial Policies
      • Editorial Board
      • Aims and Scope
      • Abstracting and Indexing
      • Bibliographic Information
      • Archive
    • Experimental and Therapeutic Medicine
      • Experimental and Therapeutic Medicine
      • Information for Authors
      • Editorial Policies
      • Editorial Board
      • Aims and Scope
      • Abstracting and Indexing
      • Bibliographic Information
      • Archive
    • International Journal of Molecular Medicine
      • International Journal of Molecular Medicine
      • Information for Authors
      • Editorial Policies
      • Editorial Board
      • Aims and Scope
      • Abstracting and Indexing
      • Bibliographic Information
      • Archive
    • Biomedical Reports
      • Biomedical Reports
      • Information for Authors
      • Editorial Policies
      • Editorial Board
      • Aims and Scope
      • Abstracting and Indexing
      • Bibliographic Information
      • Archive
    • Oncology Reports
      • Oncology Reports
      • Information for Authors
      • Editorial Policies
      • Editorial Board
      • Aims and Scope
      • Abstracting and Indexing
      • Bibliographic Information
      • Archive
    • Molecular Medicine Reports
      • Molecular Medicine Reports
      • Information for Authors
      • Editorial Policies
      • Editorial Board
      • Aims and Scope
      • Abstracting and Indexing
      • Bibliographic Information
      • Archive
    • World Academy of Sciences Journal
      • World Academy of Sciences Journal
      • Information for Authors
      • Editorial Policies
      • Editorial Board
      • Aims and Scope
      • Abstracting and Indexing
      • Bibliographic Information
      • Archive
    • International Journal of Functional Nutrition
      • International Journal of Functional Nutrition
      • Information for Authors
      • Editorial Policies
      • Editorial Board
      • Aims and Scope
      • Abstracting and Indexing
      • Bibliographic Information
      • Archive
    • International Journal of Epigenetics
      • International Journal of Epigenetics
      • Information for Authors
      • Editorial Policies
      • Editorial Board
      • Aims and Scope
      • Abstracting and Indexing
      • Bibliographic Information
      • Archive
    • Medicine International
      • Medicine International
      • Information for Authors
      • Editorial Policies
      • Editorial Board
      • Aims and Scope
      • Abstracting and Indexing
      • Bibliographic Information
      • Archive
  • Articles
  • Information
    • Information for Authors
    • Information for Reviewers
    • Information for Librarians
    • Information for Advertisers
    • Conferences
  • Language Editing
Spandidos Publications Logo
  • About
    • About Spandidos
    • Aims and Scopes
    • Abstracting and Indexing
    • Editorial Policies
    • Reprints and Permissions
    • Job Opportunities
    • Terms and Conditions
    • Contact
  • Journals
    • All Journals
    • Biomedical Reports
      • Information for Authors
      • Editorial Policies
      • Editorial Board
      • Aims and Scope
      • Abstracting and Indexing
      • Bibliographic Information
      • Archive
    • Experimental and Therapeutic Medicine
      • Information for Authors
      • Editorial Policies
      • Editorial Board
      • Aims and Scope
      • Abstracting and Indexing
      • Bibliographic Information
      • Archive
    • International Journal of Epigenetics
      • Information for Authors
      • Editorial Policies
      • Editorial Board
      • Aims and Scope
      • Abstracting and Indexing
      • Bibliographic Information
      • Archive
    • International Journal of Functional Nutrition
      • Information for Authors
      • Editorial Policies
      • Editorial Board
      • Aims and Scope
      • Abstracting and Indexing
      • Bibliographic Information
      • Archive
    • International Journal of Molecular Medicine
      • Information for Authors
      • Editorial Policies
      • Editorial Board
      • Aims and Scope
      • Abstracting and Indexing
      • Bibliographic Information
      • Archive
    • International Journal of Oncology
      • Information for Authors
      • Editorial Policies
      • Editorial Board
      • Aims and Scope
      • Abstracting and Indexing
      • Bibliographic Information
      • Archive
    • Medicine International
      • Information for Authors
      • Editorial Policies
      • Editorial Board
      • Aims and Scope
      • Abstracting and Indexing
      • Bibliographic Information
      • Archive
    • Molecular and Clinical Oncology
      • Information for Authors
      • Editorial Policies
      • Editorial Board
      • Aims and Scope
      • Abstracting and Indexing
      • Bibliographic Information
      • Archive
    • Molecular Medicine Reports
      • Information for Authors
      • Editorial Policies
      • Editorial Board
      • Aims and Scope
      • Abstracting and Indexing
      • Bibliographic Information
      • Archive
    • Oncology Letters
      • Information for Authors
      • Editorial Policies
      • Editorial Board
      • Aims and Scope
      • Abstracting and Indexing
      • Bibliographic Information
      • Archive
    • Oncology Reports
      • Information for Authors
      • Editorial Policies
      • Editorial Board
      • Aims and Scope
      • Abstracting and Indexing
      • Bibliographic Information
      • Archive
    • World Academy of Sciences Journal
      • Information for Authors
      • Editorial Policies
      • Editorial Board
      • Aims and Scope
      • Abstracting and Indexing
      • Bibliographic Information
      • Archive
  • Articles
  • Information
    • For Authors
    • For Reviewers
    • For Librarians
    • For Advertisers
    • Conferences
  • Language Editing
Login Register Submit
  • This site uses cookies
  • You can change your cookie settings at any time by following the instructions in our Cookie Policy. To find out more, you may read our Privacy Policy.

    I agree
Search articles by DOI, keyword, author or affiliation
Search
Advanced Search
presentation
Molecular Medicine Reports
Join Editorial Board Propose a Special Issue
Print ISSN: 1791-2997 Online ISSN: 1791-3004
Journal Cover
December-2017 Volume 16 Issue 6

Full Size Image

Sign up for eToc alerts
Recommend to Library

Journals

International Journal of Molecular Medicine

International Journal of Molecular Medicine

International Journal of Molecular Medicine is an international journal devoted to molecular mechanisms of human disease.

International Journal of Oncology

International Journal of Oncology

International Journal of Oncology is an international journal devoted to oncology research and cancer treatment.

Molecular Medicine Reports

Molecular Medicine Reports

Covers molecular medicine topics such as pharmacology, pathology, genetics, neuroscience, infectious diseases, molecular cardiology, and molecular surgery.

Oncology Reports

Oncology Reports

Oncology Reports is an international journal devoted to fundamental and applied research in Oncology.

Experimental and Therapeutic Medicine

Experimental and Therapeutic Medicine

Experimental and Therapeutic Medicine is an international journal devoted to laboratory and clinical medicine.

Oncology Letters

Oncology Letters

Oncology Letters is an international journal devoted to Experimental and Clinical Oncology.

Biomedical Reports

Biomedical Reports

Explores a wide range of biological and medical fields, including pharmacology, genetics, microbiology, neuroscience, and molecular cardiology.

Molecular and Clinical Oncology

Molecular and Clinical Oncology

International journal addressing all aspects of oncology research, from tumorigenesis and oncogenes to chemotherapy and metastasis.

World Academy of Sciences Journal

World Academy of Sciences Journal

Multidisciplinary open-access journal spanning biochemistry, genetics, neuroscience, environmental health, and synthetic biology.

International Journal of Functional Nutrition

International Journal of Functional Nutrition

Open-access journal combining biochemistry, pharmacology, immunology, and genetics to advance health through functional nutrition.

International Journal of Epigenetics

International Journal of Epigenetics

Publishes open-access research on using epigenetics to advance understanding and treatment of human disease.

Medicine International

Medicine International

An International Open Access Journal Devoted to General Medicine.

Journal Cover
December-2017 Volume 16 Issue 6

Full Size Image

Sign up for eToc alerts
Recommend to Library

  • Article
  • Citations
    • Cite This Article
    • Download Citation
    • Create Citation Alert
    • Remove Citation Alert
    • Cited By
  • Similar Articles
    • Related Articles (in Spandidos Publications)
    • Similar Articles (Google Scholar)
    • Similar Articles (PubMed)
  • Download PDF
  • Download XML
  • View XML
Article

Molecular mechanisms of the inhibitory effects of jiangu granule‑containing serum on RANKL‑induced osteoclastogenesis

  • Authors:
    • Yunmei Huang
    • Yu Lin
    • Yinsheng Wu
    • Jianwei Zeng
    • Meiya Huang
    • Shiming Guo
    • Wenjuan Luo
    • Haiming Lin
    • Yanping Lin
  • View Affiliations / Copyright

    Affiliations: Academy of Integrative Medicine, Fujian University of Traditional Chinese Medicine, Minhou Shangjie, Fuzhou, Fujian 350122, P.R. China, Joint Surgery, Fuzhou No. 2 Hospital Affiliated Xiamen University, Fuzhou, Fujian 350007, P.R. China, Fujian Provincial Key Laboratory of Integrative Medicine on Geriatrics, Fujian University of Traditional Chinese Medicine, Minhou Shangjie, Fuzhou, Fujian 350122, P.R. China
  • Pages: 8420-8426
    |
    Published online on: September 27, 2017
       https://doi.org/10.3892/mmr.2017.7645
  • Expand metrics +
Metrics: Total Views: 0 (Spandidos Publications: | PMC Statistics: )
Metrics: Total PDF Downloads: 0 (Spandidos Publications: | PMC Statistics: )
Cited By (CrossRef): 0 citations Loading Articles...

This article is mentioned in:



Abstract

Postmenopausal osteoporosis (PMOP) is characterized by increased bone loss due to enhanced osteoclastogenesis and bone resorption. A Chinese herbal formula, jiangugranule (JG), exhibited great efficacy in the clinical treatment of PMOP. However, the molecular mechanisms underlying the therapeutic effects remain unclear. The present study aimed to examine the effects of JG‑containing serum on receptor activator of nuclear factor‑κB (NF‑κB) ligand (RANKL)‑induced osteoclastogenesis. Osteoclast precursor RAW264.7 cells were cultured and treated with JG‑containing serum in the presence of RANKL. Following 6 days of culture, the cells were stained with tartrate‑resistant acid phosphatase and the rate of differentiation was calculated. In addition, cells were treated with JG‑containing serum for 24, 48 and 96 h and total RNA and proteins were extracted for reverse transcription‑quantitative polymerase chain reaction and western blot analysis to detect mRNA and protein expression, respectively, of key molecules in the RANK/RANKL signaling pathway, including RANK, tumor necrosis factor receptor‑associated factor 6, NF‑κB (p50 and p52 subunits), c‑Fos and nuclear factor of activated T cells, cytoplasmic 1 (NFATc1). The results revealed that JG‑containing serum inhibited RANKL‑induced osteoclastogenesis and reduced mRNA and protein expression of RANK, c‑Fos and NFATc1. The results suggested that JG may regulate osteoclast differentiation through the RANK/RANKL signaling pathway, which may be a possible mechanism for the therapeutic effects of JG on PMOP.

Introduction

Primary osteoporosis is a systemic skeletal disease that is characterized by low bone mass, microstructural damage of bone tissue and weakened bone strength (1). It may lead to a significant increase in fracture risk and may be a serious threat to the health of patients. Postmenopausal osteoporosis (PMOP) is one of the most common types of primary osteoporosis. Owing to the decrease of estrogen levels, osteoclastogenesis is enhanced, which results in dramatic bone loss and increased bone destruction (2–4). Pharmacological interventions for osteoporosis include antiresorptive agents that prevent bone resorption and anabolic agents that aid in new bone formation. Despite the multiple management options, there remain concerns for potential adverse effects of these agents (5). Discovery of the receptor activator of nuclear factor-κB (RANK)/RANK ligand (RANKL) signaling pathway, which is a key regulator of osteoclastogenesis and bone resorption, has led to a novel therapy that targets this pathway in the treatment of osteoporosis (6,7).

In Traditional Chinese Medicine (TCM) it is believed that kidney deficiency is the main pathogenesis of PMOP, and spleen deficiency is also involved (8,9). A TCM formula, jiangugranule (JG; which includes calcined Os Canitis, Epimediumbrevicornum Maxim and Davalliamariesii Moore ex Bak), exhibited great efficacy in the clinical treatment on PMOP by tonifying the kidney and invigorating the spleen. The authors previous studies have demonstrated that JG significantly improved both bone quantity and bone quality of PMOP model rats by reducing bone calcium loss and collagen degradation (10,11). Owing to the direct relationship between bone decomposition and osteoclast activity, the present study focused on osteoclast differentiation and the key regulators. The effects of JG-containing serum on RANKL-induced osteoclastogenesis and the expression of key molecules in the RANK/RANKL signaling pathway were examined, including RANK, tumor necrosis factor receptor-associated factor 6 (TRAF6), nuclear factor-κB (NF-κB), c-Fos and nuclear factor of activated T cells, cytoplasmic 1 (NFATc1), to investigate the mechanism of JG on preventing and treating PMOP.

Materials and methods

Preparation of JG

JG is a TCM prescription that comprises calcined Os Canitis (500 mg), E. brevicornum Maxim (12 g), D. mariesii Moore ex Bak. (12 g), Cornusofficinalis Sieb.et Zucc. (9 g), Lyciumchinense Mill. (9 g), Dioscoreaopposita (9 g), Codonopsispilosula (10 g), Dipsacusasperoides C.Y. Cheng et T.M. Ai (10 g), Crocus sativus L. (2 g), Pericarpium Citri Reticulatae (6 g), Curcuma longa L. (10 g) and Carapax Testudinis (400 mg). The medicinal materials were purchased from Fujian Pharmaceutical Company (Fuzhou, China). All ingredients are made into traditional Chinese medicine granules by Fujian Academy of Traditional Chinese Medicine (Fujian, China). All the medicinal materials were broken into coarse powder and mixed together. The mixture was immersed in distilled water for 1 h and then boiled in a distillation apparatus for 2 h. The extracting solution was concentrated to extract under a vacuum in a 50°C water bath, then cooled and stored at 4°C until use. A total of 1 gram of JG was equivalent to 2.99 g of crude medicines.

Analysis of JG by high-performance liquid chromatography (HPLC)

An Agilent 1260 Liquid Chromatography system (Agilent Technologies, Inc., Santa Clara, CA, USA), equipped with a G1311C quaternary solvent delivery system, a G7617B autosampler and a G1315D diode array detector was used to detect icariin from E. brevicornum Maxim, morroniside and loganin from C.officinalis Sieb. et Zucc., andaurantiamarin from Pericarpium Citri Reticulatae. An Agilent HC-C18 (25×4.6 mm; 5 µm) column connected with a Zorbax Extend guard column (20×4.6 mm; 5 µm) was used. The column temperature was set at 30°C. The mobile phase consisted of (A) acetonitrile and (B) water (v/v) using a linear gradient elution of 10–20% A at 0–15 min, 20–30% A at 15–20 min and 30% A at 20–35 min. The flow rate was 1.0 ml/min, and 10 µl of sample was injected. Ultraviolet detection wavelengths were set at 240 nm at 0–15 min, 283 nm at 15–55 min and 270 nm at 25–35 min, and the absorption spectra of compounds were recorded from 190 to 400 nm.

Preparation of JG-containing serum

A total of 20 male specific-pathogen-free Sprague-Dawley rats (age, 8–10 weeks; weight, 300±30 g) were obtained from Shanghai Laboratory Animal Center (Shanghai, China) and provided with food and water ad libitum, at 20°C and 50% relative humidity, in a filtered clean atmosphere, under a12-h dark/light cycle. Rats were randomly divided into 2 groups (n=10/group): i) JG group, which received a dose of JG (2 g/kg/day) intragastrically twice per day for 8 days; and ii) Blank control group, which received a dose of standard saline (10 ml/kg/day) intragastrically twice per day for 8 days. Rats were anesthetized 1 h following the last gavage, with an intraperitoneal injection of 2% pentobarbital sodium (0.2 ml/100 g body weight) and euthanized by abdominal aorta exsanguination. The blood was collected and centrifuged at 3,000 × g at room temperature for 15 min to obtain the serum. Serum samples were collected from each group, JG-containing serum or Blank serum, which were subsequently filtered through a 0.22-µm filter membrane and stored in an ultralow freezer at −80°C. All experimental procedures were performed in accordance with the NIH Guidelines for the Care and Use of Laboratory Animals and the National Animal Welfare Law of China. The present study was approved by the Ethics Committee of Fujian University of Traditional Chinese Medicine (Fuzhou, China).

Cell culture experiments

Osteoclast precursor RAW264.7 cells were obtained from The Cell Bank of Type Culture Collection of Chinese Academy of Science (Shanghai, China) and cultured in a differentiation medium comprising: α-minimum essential medium (α-MEM) supplemented with 10% fetal bovine serum (FBS) (both from Gibco; Thermo Fisher Scientific, Inc., Waltham, MA, USA) and 50 ng/ml RANKL (R&D Systems, Inc., Minneapolis, MN, USA). The culture medium was replaced every 48 h. Cells were incubated at 37°C in a humid atmosphere containing 5% CO2 for 6 days to obtain osteoclasts.

For differentiation assays, cells were seeded in 24-well plates at a density 1×104 cells/well in differentiation medium (without FBS) with various concentrations (2, 5, 10, 15 and 20%) of either JG-containing serum or Blank serum during the entire culture period of 6 days. The differentiation rate of each well was calculated and compared to determine the most effective concentration of JG-containing serum.

For RANK/RANKL pathway tests, cells were divided into 2 groups: i) The Blank group, which was treated with 50 ng/ml RANKL and 10% Blank serum; and ii) the JG group, which was treated with 50 ng/ml RANKL and 10% JG-containing serum. Following 24, 48 and 96 h incubation, the cells were harvested for reverse transcription-quantitative polymerase chain reaction (RT-qPCR) and western blot analysis. Cells cultured in common medium (α-MEM supplemented with 10% Blank serum, without RANKL) as negative control (0 h of Blank group). All experiments were repeated at least 3 times.

Osteoclast differentiation assays

Osteoclast differentiation rate was measured by counting the number of tartrate-resistant acid phosphatase (TRAP)-positive stained cells, using the TRAP Staining kit (Nanjing Jiancheng Bioengineering Institute, Nanjing, China), according to the manufacturer's protocol. RAW264.7 cells cultured in differentiation medium at a density of 1×104 cells/well for 6 days were collected and fixed with the fixative solution in the kit at room temperature for 10 min, rinsed thoroughly with deionized water and stained with naphthol AS-BI phosphate for 1 h at 37°C, followed by hematoxylin counterstaining at room temperature for 2 min. Osteoclasts were determined to be TRAP-positive stained multinuclear (containing ≥3 nuclei) cells under light microscopy. A total of 6 fields/well (magnification, 100x) were examined.

To detect the F-actin containing podosome belt of osteoclasts, rhodaminephalloidin staining (1:200 dilution with PBS; Cytoskeleton Inc., Denver, CO, USA) was performed, according to the manufacturer's protocol. RAW264.7 cells cultured in a differentiation medium at a density of 1×104 cells/well for 6 days were collected, and fixed at room temperature with 4% paraformaldehyde for 10 min, permeabilized with 1% Triton X-100 for 10 min, washed with PBS for 3 min and incubated with rhodaminephalloidin at room temperature in the dark for 30 min, followed by 3 washes with PBS for 5 min each. Nuclei were counterstained with 100 nM DAPI in PBS at room temperature for 5 min. Osteoclasts were observed under a fluorescence microscope (Leica DMI4000B; Leica Microsystems GmbH, Wetzlar, Germany).

RT-qPCR for RANK/RANKL pathway components

Cells from the Blank control group, JG group and negative control group were collected. RNA was extracted by TRIzol (Invitrogen; Thermo Fisher Scientific, Inc.) from cells at a density of 1×107 cells/ml and reverse transcribed to cDNA using Prime Script First-Strand cDNA Synthesis kit (Takara Biotechnology Co., Ltd., Dalian, China) for use as qPCR template. The primers were as follows: RANK forward, 5′-GGCTGGCTACCACTGGAACT-3′ and reverse, 5′-TCCTGTAGTAAACGCCGAAGA−3′; TRAF6 forward, 5′-TCATTATGATCTGGACTGCCCAAC-3′ and reverse, 5′-TTATGAACAGCCTGGGCCAAC-3′; NF-κB forward, 5′-ACCACTGCTCAGGTCCACTGTC-3′ and reverse, 5′-GCTGTCACTATCCCGGAGTTCA3-'; NFATc1, 5′-CAAGTCTCACCACAGGGCTCACTA-3′ and reverse, 5′-TCAGCCGTCCCAATGAACAG-3′;c-Fos forward, 5′-ACGTGGAGCTGAAGGCAGAAC-3′ and reverse, 5′-AGCCACTGGGCCTAGATGATG−3′; and β-actin forward, 5′-AGGCTGTGTTGTCCCTGTA-3′ and reverse, 5′-ATGTCACGCACGATTTCC−3′. PCR was performed using SYBR Green qPCR Mix (Takara Biotechnology Co., Ltd.) and a Real-Time PCR system (ABI7500; Thermo Fisher Scientific, Inc.) with the following program: 1 cycle at 95°C for 30 sec, followed by 40 cycles of 95°C for 5 sec, 60°C for 34 sec. qPCR was carried out on three replicates per sample. β-actin was used as a reference gene for RNA correction of all samples; the relative standard curve method (2−ΔΔCq method) was used for the calculation of fold changes in gene expression (12).

Western blot analysis for RANK/RANKL pathway

Cells from the Blank control, JG and negative control groups were collected. Total protein was extracted in protein lysis buffer (Beyotime Institute of Biotechnology, Haimen, China) from cells at a density of 5×107 cells/ml. Protein concentrations were determined by BCA Protein assay kit (Beyotime Institute of Biotechnology). Equal amounts of proteins (30 µg) were resolved by SDS-PAGE on a 12% gel and transferred to polyvinylidene difluoride membranes (EMD Millipore, Billerica, MA, USA). Non-specific interactions were blocked with 5% skim milk at 4°C for 2 h and the membranes were incubated with 1:500 diluted primary antibodies [rabbit anti-RANK polyclonal antibody (cat no. ab200369), rabbit anti-TRAF6 monoclonal antibody (cat no. ab33915), rabbit anti-NF-κB p105/p50 monoclonal antibody (cat no. ab32360), rabbit anti-NFATc1 polyclonal antibody (cat no. ab25916), rabbit anti-c-Fos polyclonal antibody (cat no. ab190289), Rabbit anti-β-Actin monoclonal antibody (cat. no. ab8227) all Abcam, Cambridge, MA, USA]. Rabbit anti-NF-κB p100/p52 monoclonal antibody (cat no. 52583; Cell Signaling Technology, Inc., MA, USA) overnight at 4°C, followed by incubation with horseradish peroxidase (HRP)-conjugated secondary antibodies (goat anti-rabbit immunoglobulin G H&L HRP; 1:5,000; cat no. ab6721; Abcam, Cambridge, MA, USA). Protein bands were visualized with the enhanced chemiluminescence reagent (Invitrogen; Thermo Fisher Scientific, Inc.). Densitometric values were quantified for each band with the Image Pro-Plus program (version 5.0; Media Cybernetics, Inc., Rockville, MD, USA). Relative expression data are expressed as a ratio of the optical intensity of the band of the target protein over that of the internal control protein (β-actin).

Statistical analysis

All calculations were performed using SPSS version 17.0 for Windows software (SPSS Inc., Chicago, IL, USA). Results are presented as the mean ± standard deviation. All data were analyzed using one-way analysis of variance and Fisher's least significant difference test. P<0.05 were considered to indicate a statistically significant difference.

Results

HPLC analysis of JG

For HPLC analysis, four standard compounds (Fig. 1A) were used to determine the composition of the JG extract (Fig. 1B), including morroniside and loganin from C.officinalis Sieb. et Zucc., aurantiamarin from Pericarpium Citri Reticulatae and icariin from E. brevicornum Maxim.

Figure 1.

High-performance liquid chromatographychromatogram of JG. (A) Mixed standard solution of four components of JG. (B) JG sample analysis. 1, morroniside; 2, loganin; 3, aurantiamarin; 4, icariin; JG, jiangu granule; mAU, milli-absorbance units.

RANKL induces osteoclastogenesis

The results of TRAP staining demonstrated a notable increase in TRAP-positive multinuclear cells in the RAW264.7 cells incubated with RANKL for 6 days (Fig. 2A and B). Immunofluorescence staining with rhodaminephalloidin revealed multinucleated giant cells with the characteristic podosome belt of osteoclasts (Fig. 2B and C). These results indicated that RANKL treatment induced the formation of osteoclasts from RAW264.7 cells.

Figure 2.

Osteoclast differentiation in the presence of RANKL. (A) Untreated RAW264.7 cells. (B) Tartrate-resistant acid phosphatase staining of RAW264.7 cells treated with RANKL (50 ng/ml) for 6 days. (C) F-actin staining by rhodaminephalloidin (red) of RAW264.7 cultures treated with RANKL (50 ng/ml) for 6 days; nuclei were counterstained with DAPI (blue). Scale bar, 50 µm. RANKL, receptor activator of nuclear factor-κB ligand.

JG-containing serum inhibits osteoclast differentiation induced by RANKL

The differentiated osteoclasts were treated with various concentrations of either JG-containing serum or Blank serum for 6 days, and subsequently stained with TRAP (Fig. 3A). The number of TRAP-positive stained cells in the 5, 10 and 15% JG-containing serum groups were significantly decreased compared with the number of TRAP-positive cells in the Blank group (P<0.05; Fig. 3B) particularly at the concentration of 10%, which demonstrated that the serum dose-dependently decreased the differentiation rate of osteoclasts.

Figure 3.

Osteoclast formation of RAW264.7 treated with various concentrations of JG-containing serum in the presence of RANKL. (A) RAW264.7 cells were treated with RANKL (50 ng/ml) for 6 days, and examined using TRAP staining. (B) Total number of TRAP-positive stained cells, which indicates differentiated osteoclasts. Data are presented as the mean ± standard deviation of 3 cultures. *P<0.05 vs. Blank-serum group. TRAP, tartrate-resistant acid phosphatase.

Effects of JG-containing serum on RANK/RANKL pathway

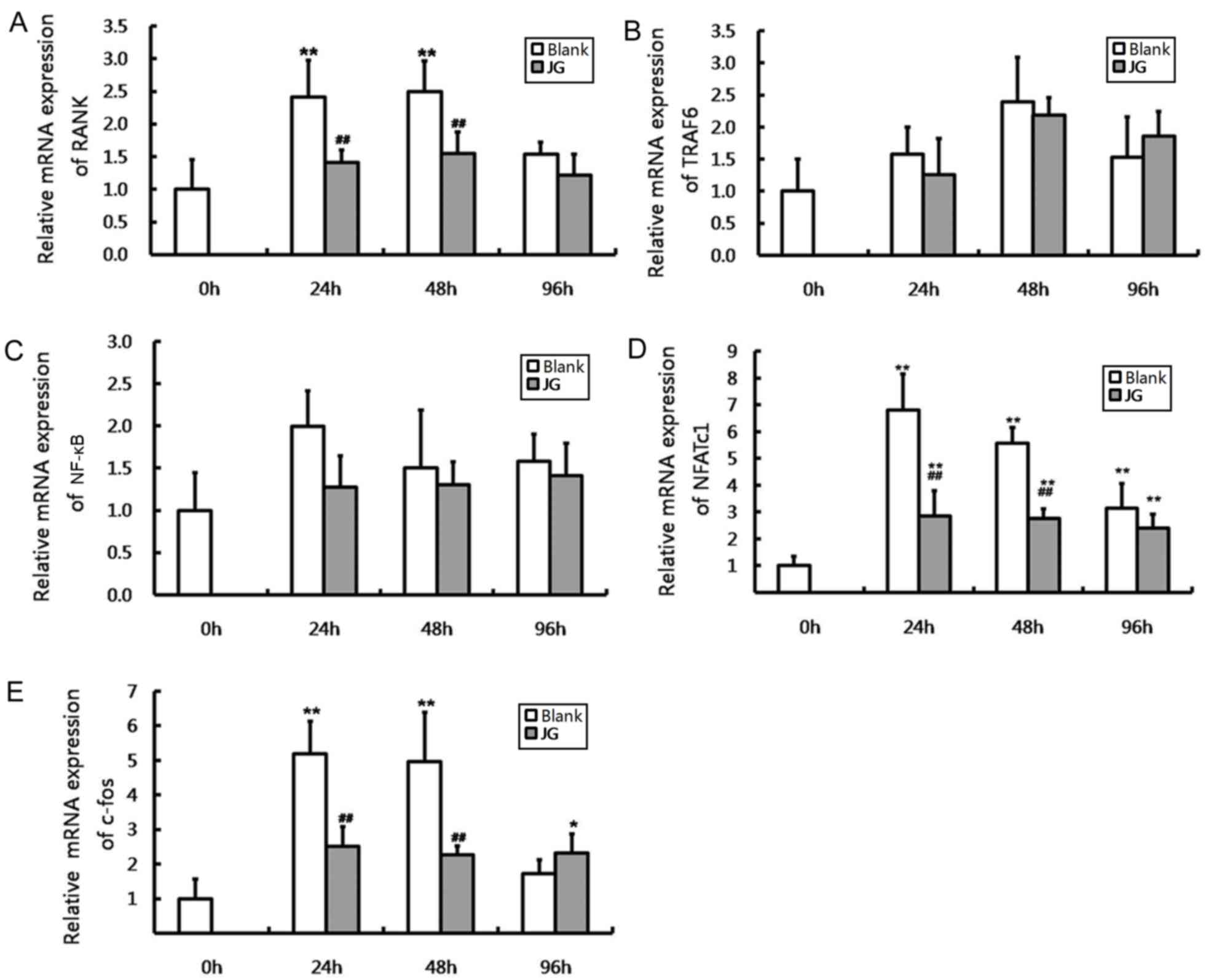
The results of RT-qPCR and western blot analysis were consistent compared with the negative control (0 h of Blank group), the mRNA and protein expression levels of NF-κB, NFATc1 and c-Fos significantly increased in JG-containing serum group and the Blank serum group following 24, 48 and 96 h of RANKL stimulation (P<0.0l). Compared with Blank group, the mRNA and protein expression of RANK, NFATc1 and c-Fos of JG group significantly decreased following treatment for 24 and 48 h (P<0.0l). The differences of TRAF6 and NF-κB expression between the Blank group and JG group were not significant (Figs. 4 and 5).

Figure 4.

Effects of JG-containing serum on mRNA expression of RANK/RANKL pathway components in RAW264.7 cells. Results of reverse transcription-quantitative polymerase chain reaction indicating the relative mRNA expression levels of (A) RANK, (B) TRAF6, (C) NF-κB, (D) NFATc1 and (E) c-Fos. Data are presented as the mean ± standard deviation of 3 cultures. *P<0.05 vs. Blank group, **P<0.01 vs. Blank group; #P<0.05 vs. negative control (0 h of Blank group), ##P<0.01 vs. negative control (0 h of Blank group). JG, jiangu granule; NFATc1, nuclear factor of activated T cells, cytoplasmic 1; NF-κB, nuclear factor-κB; RANK, receptor activator of nuclear factor-κB ligand; RANKL, RANK ligand; TRAF6, tumor necrosis factor receptor-associated factor 6.

Figure 5.

Effects of JG-containing serum on protein expression levels of RANK/RANKL pathway components. (A) Images of the protein expression as analyzed by western blot assay. Relative protein expression levels of (B) RANK, (C) TRAF6, (D) NF-κBp52, (E) NF-κBp50, (F) NFATc1 and (G) c-Fos. Data are presented as the mean ± standard deviation of 3 cultures. *P<0.05 vs. Blank group; **P<0.01 vs. Blank group; #P<0.05 vs. negative control (0 h of Blank group); ##P<0.01 vs. negative control (0 h of Blank group). JG, jiangu granule; NFATc1, nuclear factor of activated T cells, cytoplasmic 1; NF-κB, nuclear factor-κB; RANK, receptor activator of nuclear factor-κB ligand; RANKL, RANK ligand; TRAF6, tumor necrosis factor receptor-associated factor 6.

Discussion

In TCM it is believed that the kidney is the origin of congenital constitution. Bones are governed and nourished by the kidney, which means that the development and the quality of bones depend on the functions of the kidneys (13). It is been reported that several traditional Chinese kidney-tonifying herbals may have bone-strengthening effects (14). It is also believed in TCM that the spleen is the origin of the acquired constitution, which nourishes the kidney. The kidney and spleen complement each other, so as to maintain bone health. A summary of ancient literatures on constitution during menopause has indicated that a shared pathogenesis in PMOP may be kidney deficiency, and is frequently accompanied with spleen deficiency; hence, the basic law of bone strengthening is to reinforce them (8,9). Based on its pharmacological effects of tonifying kidney and spleen, the Chinese formula JG was applied to prevent and treat PMOP.

Bone is a dynamic organ that undergoes continuous remodeling; that is, the osteoclasts resorb old and damaged bone, which is replaced with new bone by osteoblasts (15,16). The activity and balance of osteoclasts and osteoblasts maintain the structural integrity and bone mass. When bone resorption surpasses formation, bone mass decreases and osteoporosis may occur. PMOP is a disease that results from dramatic bone loss and increased bone destruction, owing to enhanced osteoclastogenesis without a corresponding increase in osteoblastic activity (2–4). The mouse monocyte/macrophage cell line RAW264.7, widely used as osteoclast precursor, exhibits a strong potential to differentiate into osteoclasts in the presence of RANKL (17). TRAP staining and F-actin immunofluorescence staining are usually used for osteoclast identification due to the abundant TRAP expression and podosome belt formation of mature osteoclasts (18). Results from the present study indicated that JG-containing serum treatment reduced the RANKL-induced osteoclast differentiation from RAW264.7, which indicated that JG may prevent osteoporosis by inhibiting osteoclastogenesis and osteoclastic bone resorption.

Osteoclasts are large, multinucleated cells that are derived from the monocyte/macrophage lineage. The RANK/RANKL pathway serves a crucial role in osteoclast differentiation and bone resorption (6,7). RANKL induces intracellular signals through its receptor, RANK, and regulates the expression of various down stream signaling molecules to exert their osteoclast-inducing effect (19,20). The cytoplasmic domain of RANK binds TRAF1, TRAF2, TRAF3, TRAF5, and TRAF6 to mediate the signals (21). TRAF6 is the most important of the TRAFs (22), which transmits signals to downstream targets such as NF-κB and the mitogen-activated protein kinase (MAPK) signaling pathways (23). NF-κB regulates target genes with its binding sites through classical or non-classical pathway activation. There are five members of the NF-κB family in mammals: p50/p105, p65/RelA, c-Rel, RelB and p52/p100. p50 and p52 expression is required for osteoclast precursors to differentiate into osteoclasts in response to RANKL (24,25). MAPK signaling pathways activate transcription factors of the activator protein 1 family, which includes Jun, Fos and Fos-related antigen, which subsequently regulate the expression of necessary and important genes for osteoclast differentiation. c-Fos is activated by a number of growth factors and cytokines, and serves a key role in RANKL-induced osteoclast differentiation. c-Fos gene deficient mice exhibited serious bone sclerosis owing to a complete block of osteoclast differentiation (26). In addition, c-Fos induces and activates NFATc1, which is another key transcription factor that affects osteoclast differentiation (27). NFATc1 is activated by calcium signaling and binds to its own promoter, thus turning on an autoregulatory loop. NFATc1 also promotes expression and activation of osteoclast-specific genes and proteins like TRAP, calcitonin receptor and cathepsin, which results in the termination of osteoclastic differentiation.

In the present study, key molecules of the RANK signaling pathway, including RANK, TRAF6, NF-κB (p50 and p52), NFATc1 and c-Fos were examined to investigate the effects of JG treatment on RANKL-induced osteoclastogenesis. The results demonstrated that RANKL stimulation increased mRNA and protein expression of NF-κB, c-Fos and NFATc1, and consequently led to osteoclast differentiation, which was consistent with the results of previous studies (19,20). It was also revealed that JG-containing serum significantly reduced the expression of RANK, c-Fos and NFATc1, and consequently inhibited RANKL-induced osteoclastogenesis. Decreased osteoclastogenesis reduces bone resorption and ultimately increases bone mass. Therefore, the results indicated a possible mechanism of JG on preventing and treating PMOP.

In conclusion, the present study demonstrated the effects of JG treatment on inhibiting osteoclast differentiation, which may be achieved through the RANK/RANKL signaling pathway. This study provides an experimental rationale for the application of JG in clinical therapy of PMOP.

Acknowledgements

This work was supported by the Natural Science Foundation of China (grant nos. 81574003 and 81473706), the Guiding Project Foundation of Fujian Science and Technology Department (grant no. 2015Y0069) and the Science Foundation of Fujian Province (grant nos. 2015J01690 and 2014J01355).

References

1 

Consensus development conference: Diagnosis, prophylaxis, and treatment of osteoporosis. Am J Med. 94:646–650. 1993. View Article : Google Scholar : PubMed/NCBI

2 

Pacifici R: Estrogen, cytokines, and pathogenesis of postmenopausal osteoporosis. J Bone Miner Res. 11:1043–1051. 1996. View Article : Google Scholar : PubMed/NCBI

3 

Seifert-Klauss V, Fillenberg S, Schneider H, Luppa P, Mueller D and Kiechle M: Bone loss in premenopausal, perimenopausal and postmenopausal women: Results of a prospective observational study over 9 years. Climacteric. 15:433–440. 2012. View Article : Google Scholar : PubMed/NCBI

4 

de Villiers TJ: Bone health and osteoporosis in postmenopausal women. Best Pract Res Clin Obstet Gynaecol. 23:73–85. 2009. View Article : Google Scholar : PubMed/NCBI

5 

Tella SH and Gallagher JC: Prevention and treatment of postmenopausal osteoporosis. J Steroid Biochem Mol Biol. 142:155–170. 2014. View Article : Google Scholar : PubMed/NCBI

6 

Lacey DL, Boyle WJ, Simonet WS, Kostenuik PJ, Dougall WC, Sullivan JK, San Martin J and Dansey R: Bench to bedside: Elucidation of the OPG-RANK-RANKL pathway and the development of denosumab. Nat Rev Drug Discov. 11:401–419. 2012. View Article : Google Scholar : PubMed/NCBI

7 

Bridgeman MB and Pathak R: Denosumab for the reduction of bone loss in postmenopausal osteoporosis: A review. Clin Ther. 33:1547–1559. 2011. View Article : Google Scholar : PubMed/NCBI

8 

Wang XX, Zhang YL and Huang QF: Discussion on the main pathogenesis in traditional Chinese medicine and etiology about primary osteoporosis. Zhong Xi Yi Jie He Xue Bao. 8:1119–1123. 2010.(In Chinese). View Article : Google Scholar : PubMed/NCBI

9 

Li DT, Li FY, Wang J, Liu JH, Yan N, Cheng YM, Hu AH, Jiang HY, Shi FL, Zhang MZ, et al: A study of diagnostic criteria for traditional Chinese medicine syndromes in osteoporosis. Zhong Xi Yi Jie He Xue Bao. 9:1326–1332. 2011.(In Chinese). View Article : Google Scholar : PubMed/NCBI

10 

Lin YP, Zhou RX and Guo SM: Effect of jiangu granule on quality of bone in model rats with osteoporosis induced by ovariectomy. Zhongguo Zhong Xi Yi Jie He Za Zhi. 24:431–434. 2004.(In Chinese). PubMed/NCBI

11 

Lin YP, Ma JH and Feng EY: Study on preventive effect of jiangu granule on osteoporosis in ovariectomized rats. Zhongguo Zhong Xi Yi Jie He Za Zhi. 22:369–371. 2002.(In Chinese). PubMed/NCBI

12 

Livak KJ and Schmittgen TD: Analysis of relative gene expression data using real-time quantitative PCR and the 2(-Delta Delta C(T)) method. Methods. 25:402–408. 2001. View Article : Google Scholar : PubMed/NCBI

13 

Ju D, Liu M, Zhao H and Wang J: Mechanisms of ‘kidney governing bones’ theory in traditional Chinese medicine. Front Med. 8:389–393. 2014. View Article : Google Scholar : PubMed/NCBI

14 

Li Y, Tong J, Zhou YJ and Xu XY: Research progress on anti-osteoporotic active ingredients and pharmacological action mechanism of traditional Chinese kidney-tonifying and bone-strengthening drugs. Zhongguo Zhong Yao Za Zhi. 40:1038–1043. 2015.(In Chinese). PubMed/NCBI

15 

Crockett JC, Rogers MJ, Coxon FP, Hocking LJ and Helfrich MH: Bone remodelling at a glance. J Cell Sci. 124:991–998. 2011. View Article : Google Scholar : PubMed/NCBI

16 

Hadjidakis DJ and Androulakis II: Bone remodeling. Ann NY Acad Sci. 1092:385–396. 2006. View Article : Google Scholar : PubMed/NCBI

17 

Kartsogiannis V and Ng KW: Cell lines and primary cell cultures in the study of bone cell biology. Mol Cell Endocrinol. 228:79–102. 2004. View Article : Google Scholar : PubMed/NCBI

18 

Väänänen HK, Zhao H, Mulari M and Halleen JM: The cell biology of osteoclast function. J Cell Sci. 113:377–381. 2000.PubMed/NCBI

19 

Liu C, Walter TS, Huang P, Zhang S, Zhu X, Wu Y, Wedderburn LR, Tang P, Owens RJ, Stuart DI, et al: Structural and functional insights of RANKL-RANK interaction and signaling. J Immunol. 184:6910–6919. 2010. View Article : Google Scholar : PubMed/NCBI

20 

Kuroda Y and Matsuo K: Molecular mechanisms of triggering, amplifying and targeting RANK signaling in osteoclasts. World J Orthop. 3:167–174. 2012. View Article : Google Scholar : PubMed/NCBI

21 

Inoue Ji, Ishida T, Tsukamoto N, Kobayashi N, Naito A, Azuma S and Yamamoto T: Tumor necrosis factor receptor-associated factor (TRAF) family: Adapter proteins that mediate cytokine signaling. Exp Cell Res. 254:14–24. 2000. View Article : Google Scholar : PubMed/NCBI

22 

Armstrong AP, Tometsko ME, Glaccum M, Sutherland CL, Cosman D and Dougall WC: A RANK/TRAF6-dependent signal transduction pathway is essential for osteoclast cytoskeletal organization and resorptive function. J Biol Chem. 277:44347–44356. 2002. View Article : Google Scholar : PubMed/NCBI

23 

Asagiri M and Takayanagi H: The molecular understanding of osteoclast differentiation. Bone. 40:251–264. 2007. View Article : Google Scholar : PubMed/NCBI

24 

Xing L, Bushnell TP, Carlson L, Tai Z, Tondravi M, Siebenlist U, Young F and Boyce BF: NF-kappaB p50 and p52 expression is not required for RANK-expressing osteoclast progenitor formation but is essential for RANK- and cytokine-mediated osteoclastogenesis. J Bone Miner Res. 17:1200–1210. 2002. View Article : Google Scholar : PubMed/NCBI

25 

Soysa NS and Alles N: NF-kappaB functions in osteoclasts. Biochem Biophys Res Commun. 378:1–5. 2009. View Article : Google Scholar : PubMed/NCBI

26 

Matsuo K, Owens JM, Tonko M, Elliott C, Chambers TJ and Wagner EF: Fosl1 is a transcriptional target of c-Fos during osteoclast differentiation. Nat Genet. 24:184–187. 2000. View Article : Google Scholar : PubMed/NCBI

27 

Zhao Q, Wang X, Liu Y, He A and Jia R: NFATc1: Functions in osteoclasts. Int J Biochem Cell Biol. 42:576–579. 2010. View Article : Google Scholar : PubMed/NCBI

Related Articles

  • Abstract
  • View
  • Download
  • Twitter
Copy and paste a formatted citation
Spandidos Publications style
Huang Y, Lin Y, Wu Y, Zeng J, Huang M, Guo S, Luo W, Lin H and Lin Y: Molecular mechanisms of the inhibitory effects of jiangu granule‑containing serum on RANKL‑induced osteoclastogenesis. Mol Med Rep 16: 8420-8426, 2017.
APA
Huang, Y., Lin, Y., Wu, Y., Zeng, J., Huang, M., Guo, S. ... Lin, Y. (2017). Molecular mechanisms of the inhibitory effects of jiangu granule‑containing serum on RANKL‑induced osteoclastogenesis. Molecular Medicine Reports, 16, 8420-8426. https://doi.org/10.3892/mmr.2017.7645
MLA
Huang, Y., Lin, Y., Wu, Y., Zeng, J., Huang, M., Guo, S., Luo, W., Lin, H., Lin, Y."Molecular mechanisms of the inhibitory effects of jiangu granule‑containing serum on RANKL‑induced osteoclastogenesis". Molecular Medicine Reports 16.6 (2017): 8420-8426.
Chicago
Huang, Y., Lin, Y., Wu, Y., Zeng, J., Huang, M., Guo, S., Luo, W., Lin, H., Lin, Y."Molecular mechanisms of the inhibitory effects of jiangu granule‑containing serum on RANKL‑induced osteoclastogenesis". Molecular Medicine Reports 16, no. 6 (2017): 8420-8426. https://doi.org/10.3892/mmr.2017.7645
Copy and paste a formatted citation
x
Spandidos Publications style
Huang Y, Lin Y, Wu Y, Zeng J, Huang M, Guo S, Luo W, Lin H and Lin Y: Molecular mechanisms of the inhibitory effects of jiangu granule‑containing serum on RANKL‑induced osteoclastogenesis. Mol Med Rep 16: 8420-8426, 2017.
APA
Huang, Y., Lin, Y., Wu, Y., Zeng, J., Huang, M., Guo, S. ... Lin, Y. (2017). Molecular mechanisms of the inhibitory effects of jiangu granule‑containing serum on RANKL‑induced osteoclastogenesis. Molecular Medicine Reports, 16, 8420-8426. https://doi.org/10.3892/mmr.2017.7645
MLA
Huang, Y., Lin, Y., Wu, Y., Zeng, J., Huang, M., Guo, S., Luo, W., Lin, H., Lin, Y."Molecular mechanisms of the inhibitory effects of jiangu granule‑containing serum on RANKL‑induced osteoclastogenesis". Molecular Medicine Reports 16.6 (2017): 8420-8426.
Chicago
Huang, Y., Lin, Y., Wu, Y., Zeng, J., Huang, M., Guo, S., Luo, W., Lin, H., Lin, Y."Molecular mechanisms of the inhibitory effects of jiangu granule‑containing serum on RANKL‑induced osteoclastogenesis". Molecular Medicine Reports 16, no. 6 (2017): 8420-8426. https://doi.org/10.3892/mmr.2017.7645
Follow us
  • Twitter
  • LinkedIn
  • Facebook
About
  • Spandidos Publications
  • Careers
  • Cookie Policy
  • Privacy Policy
How can we help?
  • Help
  • Live Chat
  • Contact
  • Email to our Support Team