Spandidos Publications Logo
  • About
    • About Spandidos
    • Aims and Scopes
    • Abstracting and Indexing
    • Editorial Policies
    • Reprints and Permissions
    • Job Opportunities
    • Terms and Conditions
    • Contact
  • Journals
    • All Journals
    • Oncology Letters
      • Oncology Letters
      • Information for Authors
      • Editorial Policies
      • Editorial Board
      • Aims and Scope
      • Abstracting and Indexing
      • Bibliographic Information
      • Archive
    • International Journal of Oncology
      • International Journal of Oncology
      • Information for Authors
      • Editorial Policies
      • Editorial Board
      • Aims and Scope
      • Abstracting and Indexing
      • Bibliographic Information
      • Archive
    • Molecular and Clinical Oncology
      • Molecular and Clinical Oncology
      • Information for Authors
      • Editorial Policies
      • Editorial Board
      • Aims and Scope
      • Abstracting and Indexing
      • Bibliographic Information
      • Archive
    • Experimental and Therapeutic Medicine
      • Experimental and Therapeutic Medicine
      • Information for Authors
      • Editorial Policies
      • Editorial Board
      • Aims and Scope
      • Abstracting and Indexing
      • Bibliographic Information
      • Archive
    • International Journal of Molecular Medicine
      • International Journal of Molecular Medicine
      • Information for Authors
      • Editorial Policies
      • Editorial Board
      • Aims and Scope
      • Abstracting and Indexing
      • Bibliographic Information
      • Archive
    • Biomedical Reports
      • Biomedical Reports
      • Information for Authors
      • Editorial Policies
      • Editorial Board
      • Aims and Scope
      • Abstracting and Indexing
      • Bibliographic Information
      • Archive
    • Oncology Reports
      • Oncology Reports
      • Information for Authors
      • Editorial Policies
      • Editorial Board
      • Aims and Scope
      • Abstracting and Indexing
      • Bibliographic Information
      • Archive
    • Molecular Medicine Reports
      • Molecular Medicine Reports
      • Information for Authors
      • Editorial Policies
      • Editorial Board
      • Aims and Scope
      • Abstracting and Indexing
      • Bibliographic Information
      • Archive
    • World Academy of Sciences Journal
      • World Academy of Sciences Journal
      • Information for Authors
      • Editorial Policies
      • Editorial Board
      • Aims and Scope
      • Abstracting and Indexing
      • Bibliographic Information
      • Archive
    • International Journal of Functional Nutrition
      • International Journal of Functional Nutrition
      • Information for Authors
      • Editorial Policies
      • Editorial Board
      • Aims and Scope
      • Abstracting and Indexing
      • Bibliographic Information
      • Archive
    • International Journal of Epigenetics
      • International Journal of Epigenetics
      • Information for Authors
      • Editorial Policies
      • Editorial Board
      • Aims and Scope
      • Abstracting and Indexing
      • Bibliographic Information
      • Archive
    • Medicine International
      • Medicine International
      • Information for Authors
      • Editorial Policies
      • Editorial Board
      • Aims and Scope
      • Abstracting and Indexing
      • Bibliographic Information
      • Archive
  • Articles
  • Information
    • Information for Authors
    • Information for Reviewers
    • Information for Librarians
    • Information for Advertisers
    • Conferences
  • Language Editing
Spandidos Publications Logo
  • About
    • About Spandidos
    • Aims and Scopes
    • Abstracting and Indexing
    • Editorial Policies
    • Reprints and Permissions
    • Job Opportunities
    • Terms and Conditions
    • Contact
  • Journals
    • All Journals
    • Biomedical Reports
      • Information for Authors
      • Editorial Policies
      • Editorial Board
      • Aims and Scope
      • Abstracting and Indexing
      • Bibliographic Information
      • Archive
    • Experimental and Therapeutic Medicine
      • Information for Authors
      • Editorial Policies
      • Editorial Board
      • Aims and Scope
      • Abstracting and Indexing
      • Bibliographic Information
      • Archive
    • International Journal of Epigenetics
      • Information for Authors
      • Editorial Policies
      • Editorial Board
      • Aims and Scope
      • Abstracting and Indexing
      • Bibliographic Information
      • Archive
    • International Journal of Functional Nutrition
      • Information for Authors
      • Editorial Policies
      • Editorial Board
      • Aims and Scope
      • Abstracting and Indexing
      • Bibliographic Information
      • Archive
    • International Journal of Molecular Medicine
      • Information for Authors
      • Editorial Policies
      • Editorial Board
      • Aims and Scope
      • Abstracting and Indexing
      • Bibliographic Information
      • Archive
    • International Journal of Oncology
      • Information for Authors
      • Editorial Policies
      • Editorial Board
      • Aims and Scope
      • Abstracting and Indexing
      • Bibliographic Information
      • Archive
    • Medicine International
      • Information for Authors
      • Editorial Policies
      • Editorial Board
      • Aims and Scope
      • Abstracting and Indexing
      • Bibliographic Information
      • Archive
    • Molecular and Clinical Oncology
      • Information for Authors
      • Editorial Policies
      • Editorial Board
      • Aims and Scope
      • Abstracting and Indexing
      • Bibliographic Information
      • Archive
    • Molecular Medicine Reports
      • Information for Authors
      • Editorial Policies
      • Editorial Board
      • Aims and Scope
      • Abstracting and Indexing
      • Bibliographic Information
      • Archive
    • Oncology Letters
      • Information for Authors
      • Editorial Policies
      • Editorial Board
      • Aims and Scope
      • Abstracting and Indexing
      • Bibliographic Information
      • Archive
    • Oncology Reports
      • Information for Authors
      • Editorial Policies
      • Editorial Board
      • Aims and Scope
      • Abstracting and Indexing
      • Bibliographic Information
      • Archive
    • World Academy of Sciences Journal
      • Information for Authors
      • Editorial Policies
      • Editorial Board
      • Aims and Scope
      • Abstracting and Indexing
      • Bibliographic Information
      • Archive
  • Articles
  • Information
    • For Authors
    • For Reviewers
    • For Librarians
    • For Advertisers
    • Conferences
  • Language Editing
Login Register Submit
  • This site uses cookies
  • You can change your cookie settings at any time by following the instructions in our Cookie Policy. To find out more, you may read our Privacy Policy.

    I agree
Search articles by DOI, keyword, author or affiliation
Search
Advanced Search
presentation
Molecular Medicine Reports
Join Editorial Board Propose a Special Issue
Print ISSN: 1791-2997 Online ISSN: 1791-3004
Journal Cover
April-2018 Volume 17 Issue 4

Full Size Image

Sign up for eToc alerts
Recommend to Library

Journals

International Journal of Molecular Medicine

International Journal of Molecular Medicine

International Journal of Molecular Medicine is an international journal devoted to molecular mechanisms of human disease.

International Journal of Oncology

International Journal of Oncology

International Journal of Oncology is an international journal devoted to oncology research and cancer treatment.

Molecular Medicine Reports

Molecular Medicine Reports

Covers molecular medicine topics such as pharmacology, pathology, genetics, neuroscience, infectious diseases, molecular cardiology, and molecular surgery.

Oncology Reports

Oncology Reports

Oncology Reports is an international journal devoted to fundamental and applied research in Oncology.

Experimental and Therapeutic Medicine

Experimental and Therapeutic Medicine

Experimental and Therapeutic Medicine is an international journal devoted to laboratory and clinical medicine.

Oncology Letters

Oncology Letters

Oncology Letters is an international journal devoted to Experimental and Clinical Oncology.

Biomedical Reports

Biomedical Reports

Explores a wide range of biological and medical fields, including pharmacology, genetics, microbiology, neuroscience, and molecular cardiology.

Molecular and Clinical Oncology

Molecular and Clinical Oncology

International journal addressing all aspects of oncology research, from tumorigenesis and oncogenes to chemotherapy and metastasis.

World Academy of Sciences Journal

World Academy of Sciences Journal

Multidisciplinary open-access journal spanning biochemistry, genetics, neuroscience, environmental health, and synthetic biology.

International Journal of Functional Nutrition

International Journal of Functional Nutrition

Open-access journal combining biochemistry, pharmacology, immunology, and genetics to advance health through functional nutrition.

International Journal of Epigenetics

International Journal of Epigenetics

Publishes open-access research on using epigenetics to advance understanding and treatment of human disease.

Medicine International

Medicine International

An International Open Access Journal Devoted to General Medicine.

Journal Cover
April-2018 Volume 17 Issue 4

Full Size Image

Sign up for eToc alerts
Recommend to Library

  • Article
  • Citations
    • Cite This Article
    • Download Citation
    • Create Citation Alert
    • Remove Citation Alert
    • Cited By
  • Similar Articles
    • Related Articles (in Spandidos Publications)
    • Similar Articles (Google Scholar)
    • Similar Articles (PubMed)
  • Download PDF
  • Download XML
  • View XML
Article

Effect of garlic on rats with chronic intermittent hypoxia combined with diabetes mellitus

  • Authors:
    • Yinglan Peng
    • Ke Hu
  • View Affiliations / Copyright

    Affiliations: Division of Respiratory Disease, Renmin Hospital of Wuhan University, Wuhan, Hubei 430060, P.R. China
  • Pages: 6174-6184
    |
    Published online on: February 7, 2018
       https://doi.org/10.3892/mmr.2018.8568
  • Expand metrics +
Metrics: Total Views: 0 (Spandidos Publications: | PMC Statistics: )
Metrics: Total PDF Downloads: 0 (Spandidos Publications: | PMC Statistics: )
Cited By (CrossRef): 0 citations Loading Articles...

This article is mentioned in:


Abstract

The present study investigated the effect of garlic (G) on serum, liver, renal and cerebral parameters of rats with chronic intermittent hypoxia (CIH) combined with diabetes mellitus (DM). A total of 32 rats were divided into eight groups, with 4 rats/group. A total of three models were established, including CIH, DM and CIH‑DM, and an additional healthy control (C) group. Rats in C‑G, CIH‑G, DM‑G and CIH‑DM‑G groups were injected with a G extract daily. Serum, liver, renal and cerebral parameters were detected. The results demonstrated that the rats' weight increased gradually, but at a slower rate in the CIH, DM and CIH‑DM groups compared with the healthy rats. Blood glucose increased in the DM and CIH‑DM groups compared with the healthy control group, while insulin level increased in the CIH group, but decreased in the DM and CIH‑DM groups, resulting in increased homeostatic model assessment of insulin resistance (HOMA‑IR) value in the CIH group, compared with healthy controls. Serum thiobarbituric acid reactive substances (TBARS), glutathione S‑transferase (GST), uric acid (UA), urine protein (UP), total cholesterol (TC), triglycerides (TG), total lipids (TL), aspartate aminotransferase (AST), alanine aminotransferase (ALT), lactate dehydrogenase (LDH), alkaline phosphatase (ALP) and acid phosphatase (ACP) increased in the CIH, DM and CIH‑DM groups, while albumin and superoxide dismutase (SOD) decreased in all model groups compared with healthy controls. Nitric oxide (NO) increased in the DM and CIH‑DM groups but decreased in the CIH group, compared with the control group. Glutathione peroxidase (GSH‑Px) increased in the CIH group but decreased in the DM and CIH‑DM groups, compared with the control group. Glutathione reductase (GR) increased in the DM group but decreased in the CIH and CIH‑DM groups, compared with the control group. Liver TBARS and GST increased, while AST, ALT, LDH, ALP, ACP, catalase activity (CAT) and SOD decreased in the CIH, DM and CIH‑DM groups, compared with the control group. Liver GSH‑Px decreased in the DM and CIH‑DM groups, compared with the control group. Renal TBARS in the DM and CIH‑DM groups increased compared with the control group. Renal GST increased while CAT and SOD decreased in the CIH, DM and CIH‑DM groups, compared with the control group. Cerebral TBARS increased in the CIH, DM and CIH‑DM groups and LDH increased in the DM and CIH‑DM groups, compared with the control group. Cerebral LDH in CIH decreased compared with the control group. G treatment improved weight gain, blood insulin and HOMA‑IR in the DM and CIH‑DM groups, reduced blood glucose in the DM and CIH‑DM groups, and insulin and HOMA‑IR in the CIH group, compared with the respective G‑untreated groups. G treatment increased serum SOD in CIH‑G, DM‑G and CIH‑DM‑G groups, GSH‑Px and albumin in the DM‑G and CIH‑DM‑G groups, and GR in the DM‑G group, compared with the respective G‑untreated groups. G treatment decreased serum TBARS, UA, UP, TC, TG, TL, AST, ALT, LDH and ACP in the CIH‑G, DM‑G and CIH‑DM‑G groups; NO in the DM‑G group; GST and GR in the CIH‑G and CIH‑DM‑G groups; and ALP in the DM‑G and CIH‑DM‑G groups, compared with the respective G‑untreated groups. Liver AST, ALT, LDH, ALP, CAT, SOD in the CIH‑G, DM‑G and CIH‑DM‑G groups increased as a result of G treatment. GSH‑Px increased in the DM‑G and CIH‑DM‑G groups, ACP in the CIH‑G and DM‑G groups, renal CAT in the CIH‑DM‑G group, and renal SOD in the CIH‑G and CIH‑DM‑G groups, compared with the respective G‑untreated groups. Liver and cerebral TBARS decreased in all G‑treated experimental groups, and liver and renal GST, and cerebral LDH decreased in the DM‑G and CIH‑DM‑G groups, compared with the respective G‑untreated groups. The present study concluded that G aided in the recovery of homeostasis and metabolism in rats with CIH combined with DM, and protected rats' organs from damage induced by CIH combined with DM.

Introduction

Obstructive sleep apnea hypopnea syndrome (OSAHS) is a common clinically treated disease characterized by repeated obstruction of the upper airways during sleep and by frequently interrupted breathing (1). Multiple factors, such as obesity, may lead to the obstruction of the upper airways leading to OSAHS (2). OSAHS is commonly accompanied by snoring. Symptoms of OSAHS may be present for years or even decades without identification. During the daytime, OSAHS patients might become conditioned to the daytime tiredness and the sleep disturbance will increase (3). Usually, an adult or adolescent with severe long-standing OSAHS will fall asleep for brief periods in the daytime, which will influence his or her behavior, with unwelcome results. Children with severe OSAHS will appear over-tired or hyperactive (4).

Numerous treatments are used for OSAHS (5). Relinquishing smoking and alcohol is recommended, and is helpful for relaxing the central nervous system (6). Another useful treatment is weight loss and physical training, which can correct sleep apnea (7). However, evidence on medications for treating OSAHS is insufficient. At present, only a few common medicines, including fluoxetine, paroxetine, acetazolamide and tryptophan, have been confirmed as possessing positive effects (8). Therefore, the causes and mechanisms of OSAHS pathogenesis, and effective treatments and protection are required.

Chronic intermittent hypoxia (CIH), characterized by periods of low oxygen, is the most common physiological characteristic of OSAHS. Diabetes mellitus (DM), particularly type II DM (T2DM), is one of the risk factors of OSAHS (9–11). However, data on the association between DM and CIH are scarce. Based on the hypothesis that OSAHS is a risk factor of T2DM, researchers have investigated the association between CIH and DM (12).

According to Vatansever et al (13), hypoxia may lead to insulin resistance. Clinical experiments conducted by Louis et al (14) demonstrated that under intermittent hypoxia, healthy volunteers demonstrated decreasing insulin sensitivity and glucose utilization. Reichmuth et al (15) determined that as the degree of OSAHS worsens, the risk of T2DM increases from 2.8 to 14.75%. All of the above studies indicate that OSAHS is one of the causes of DM.

OSAHS is associated with stimulation of oxidative stress (OS) (16). According to Lavie et al (17), thiobarbituric acid reactive substances (TBARS) may be used to estimate the degree of OS. Multiple other metabolic dysfunctions are associated with OSAHS, such as the dysfunction of lipid metabolism, which result in symptoms similar to those of DM (18). Certain metabolic dysfunctions occur in organs during OSAHS, including chronic injury to the liver, alteration in enzyme homeostasis, and renal hypoxia and endothelia dysfunction in the kidney (19,20). Previous studies have also focused on the association of OSAHS with alterations in brain morphology (21,22).

Although many studies have focused on the association between OSAHS or CIH with DM, few efficient therapies are available for the treatment of OSAHS combined with DM. Garlic (G; Allium sativum) is one of the most popular herbs used worldwide, particularly as a spice. As a member of the Liliaceae family, G is used in folk medicine. G was a medicine listed in the Egyptian Codex Ebers from 1,550 BC (23). G is hypothesized to be an effective remedy for heart problems, headaches, insect bites, the immune system and tumors (24,25). Previous investigations reported that G may be an effective medicine for the treatment of DM, particularly due to its antioxidant and protective effects, including reducing cardiovascular risk factors, decreasing cholesterol, inhibiting low density lipoprotein oxidation, hyperlipidemia, atherosclerosis, thrombosis, hypertension and diabetes (26,27).

To the best of our knowledge, there is currently no data available on the effect of G on CIH and CIH combined with DM (CIH-DM). By determining multiple indices in the serum, liver, kidney and brain, the present study aimed to investigate the protective effect of G on rats with CIH-DM.

Materials and methods

Animals

A total of 32 specific pathogen-free male Wistar rats (60–70 days old, 250–280 g) were obtained from Kangda Biotechnology Co., Ltd. (Qingdao, China). The rats were individually housed in polycarbonate cages with wire lids under a 12-h light/dark cycle, 22–25°C and 50–70% humidity at the Animal Research Center of Wuhan University (Wuhan, China). Standard laboratory diet was supplied with unlimited access to water. All animal experiments were performed in accordance with the National Institutes of Health Principles of Laboratory Animal Care (28), the European Guidelines for the Protection of Animals used for Scientific Purposes (29). The Animal Research Ethics Committee of Renmin Hospital of Wuhan University (Wuhan, China) approved the animal welfare and experimental protocols.

G extract preparation

G bulbs (Beijing Dongsheng Group, Beijing, China), peeled on crushed ice, were used for preparation of an aqueous G extract. A total of 50 g peeled G was cut into pieces, homogenized in liquid nitrogen and dissolved in 70 ml pre-cooling 0.9% NaCl. A blender was used to perform homogenization and the samples were blended with a 30 sec burst for 10 min. The solution was collected and centrifuged at 2,000 × g for 10 min at 25°C. Clear supernatant was collected and diluted in 100 ml saline. The concentration of G preparation was adjusted to 500 mg/ml based on the weight of the primary material (50 g/100 ml). G extract was stored at −20°C for 3 days.

Experimental groups and models

A total of 32 rats were allowed to adapt to the laboratory conditions for a week and then randomly divided into eight groups: Control (C), CIH, DM, CIH-DM, C-G, CIH-G, DM-G and CIH-DM-G.

Rats in the C group were untreated and given standard laboratory diet and free access to water. Rats in the CIH group, supplied with standard laboratory diet and unlimited water, were treated in a hypobaric hypoxia chamber (OxycyclerA84A-chamber; BioSpherix, Ltd., Parish, NY, USA) with 5-min cycles of 90 sec hypoxia (5% O2) and 210 sec normoxia (21% O2), 8 h/day for 3 weeks during light exposure. The pressure was kept at 69.3 kPa (520 mm Hg), corresponding to an altitude of 3,000 m to induce pathophysiological effects (30). All experiments were performed between 9:00 a.m. and 5:00 p.m.

Rats in the DM group were injected intraperitoneally with a single dose of streptozotocin (50 mg/kg; Sigma-Aldrich; Merck KGaA, Darmstadt, Germany) dissolved in a freshly prepared citrate buffer (0.1 M, pH 4.5; Beyotime Institute of Biotechnology, Shanghai, China). A high-fat diet (cat. no. D12451; Research Diets, Inc., New Brunswick, NJ, USA) was used as a daily diet. A total of 1 week following injection with streptozotocin, the blood glucose level was detected in the tail vein blood using a glucose meter (Optium Xceed; Abbott Pharmaceutical Co., Ltd., Lake Bluff, IL, USA). If the blood glucose level exceeded 250 mg/dl, rats were considered diabetic. Non-diabetic rats were excluded from the study. At least 3 rats were included in each group.

Rats in the CIH-DM group were subjected to the same protocol as the DM group. Rats confirmed positive for diabetes were subsequently exposed to the same hypoxia conditions as aforementioned for the CIH group.

All G-treatment groups were intraperitoneally injected 500 mg/kg/day G extract for 7 weeks. All experiments lasted for 7 weeks, including the first week for establishing the DM model and 6 weeks for establishing CIH. Rat weight was measured 1 day prior to the experiment (day 0) and then weekly on days 7, 14, 21, 28, 35, 42 and 49 of the experiment.

Blood glucose, insulin levels and homeostasis model assessment of insulin resistance (HOMA-IR)

Rats were fasted overnight and blood samples were collected by retro-orbital bleeding between 7:00-8:00 a.m. prior to and during the experiment weekly. Fresh blood was used for determination of blood glucose by a glucose meter and then centrifuged at 3,000 × g for 15 min at 25°C to separate the serum. Fasting insulin level was determined using a Rat Insulin ELISA kit (10-1145-01; Mercodia AB, Uppsala, Sweden). HOMA-IR was calculated using the following equation (31): Fasting insulin (µU/ml) × fasting glucose (mg/dl)/22.5.

Tissue collection

At the end of the experiment, all rats were sacrificed using sodium pentobarbital anesthesia according to the Guide for the Care and Use of Laboratory Animals (32). Blood samples were collected and serum was separated, as aforementioned. The liver, kidney, pancreas and brain were removed immediately and weighed. The organs were washed with chilled saline solution and cut into pieces. Tissues were homogenized to 10% weight/volume with pre-cooling phosphate buffered saline (pH 7.4) containing 1.15% KCl using Potter-Elvehjem-Type Tissue Grinders (Thermo Fisher Scientific, Inc., Waltham, MA, USA) and centrifuged at 10,000 × g for 30 min at 4°C. The supernatant was separated for subsequent enzyme assays.

Index detections in serum and tissues

Lipid peroxide levels were measured as thiobarbituric acid reactive substances and the products of the reactions were measured with a Lipid Peroxidation (MDA) Assay kit (ab118970; Abcam, Cambridge, UK) as previously described (33). Nitric oxide (NO) levels were measured with a Total Nitric Oxide Assay Kit (S0024; Beyotime Institute of Biotechnology). Superoxide dismutase (SOD; 19160-1KT-F; Sigma-Aldrich; Merck KGaA), glutathione S-transferase (GST; CS410-1KT; Sigma-Aldrich; Merck KGaA), glutathione peroxidase (GST-Px; CGP-1KT; Sigma-Aldrich; Merck KGaA), glutathione reductase (GR; GRSA-1KT; Sigma-Aldrich; Merck KGaA), catalase activity (CAT; CAT100; Sigma-Aldrich; Merck KGaA), uric acid (UA; MAK077; Sigma-Aldrich; Merck KGaA), albumin (MAK124; Sigma-Aldrich; Merck KGaA), aspartate aminotransferase (AST; MAK055; Sigma-Aldrich; Merck KGaA), total lipids (TL; MAK040; Sigma-Aldrich; Merck KGaA), alanine aminotransferase (ALT; MAK052, Sigma-Aldrich; Merck KGaA), lactate dehydrogenase (LDH; MAK066; Sigma-Aldrich; Merck KGaA), alkaline phosphatases (ALP; AP0100; Sigma-Aldrich; Merck KGaA) and acid phosphatases (ACP; CS0740; Sigma-Aldrich; Merck KGaA) were measured with corresponding assay kits (Sigma-Aldrich; Merck KGaA). Urine protein (UP; JL21197-48T), total cholesterol (TC, JL13847-48T) and triglycerides (TG, JL13528-48T) were measured with corresponding assay kits (Shanghai Jianglai Biotechnology Co., Ltd., Shanghai, China).

Statistical analysis

Data are expressed as the mean ± standard deviation and were analyzed by SPSS (version 19.0; IBM Corp., Armonk, NY, USA). One-way analysis of variance (ANOVA) was used to compare values at different time points in each group. One-way ANOVA and Bonferroni's post hoc test were used for multiple comparisons with 95% confidence intervals. P<0.05 was considered to indicate a statistically significant difference.

Results

Alterations in body weight

The average weight in the C, CIH, DM and CIH-DM groups increased with time (Fig. 1A). The increase in weight in the C group was significantly elevated at each time point from day 14 onwards compared with the CIH, DM and CIH-DM groups (P<0.05). The CIH group weighed significantly more than the DM and CIH-DM groups at each time point from day 14 onwards (all P<0.05). However, the increase in weight in the DM group was similar to that in the CIH-DM group. These results indicate that induction of CIH, DM and CIH-DM models in rats influenced the increase in weight over the experimental period. The influence of the DM model on weight was more evident compared with the CIH model.

Figure 1.

Comparisons of rats' weight between different groups at different time points. Alterations in body weight in rats form (A) C, CIH, DM and CIH-DM groups, (B) C-G, CIH-G, DM-G and CIH-DM-G groups, (C) C and C-G groups, (D) CIH and CIH-G groups, (E) DM and DM-G groups, and (F) CIH-DM and CIH-DM-G groups. *P<0.05 vs. the respective group without G treatment; ⋆P<0.05 vs. the C group; ▲P<0.05 vs. the CIH group; #P<0.05 vs. the C-G group. C, control; CIH, chronic intermittent hypoxia; DM, diabetes mellitus; CIH-DM, chronic intermittent hypoxia combined with diabetes mellitus; G, garlic.

The average weight in the C-G, CIH-G, DM-G and CIH-DM-G groups also increased with time (Fig. 1B). The weight of rats from the C-G group was increased compared with any other group at each time point from day 21 onwards (all P<0.05), while the other three groups were not significantly different from each other throughout the experiment. It may therefore be concluded that, in spite of G treatment, the weight of rats with DM, CIH and CIH-DM remained lower compared with the healthy C rats.

Pairwise comparisons revealed no significant difference in weight between the C group and the C-G group or the CIH group and the CIH-G group (Fig. 1C and D, respectively). However, the increase in weight was significantly elevated in the DM-G group compared with the DM group and in the CIH-DM-G group compared with the CIH-DM group, from day 21 onwards (Fig. 1E and F, respectively; all P<0.05) The above results demonstrate that G treatment exhibited a positive effect on the weight of rats in the DM and CIH-DM groups.

Blood glucose

As demonstrated in Fig. 2A, the change of blood glucose in rats in the C and CIH groups were steady during the experiments. However, serum glucose in rats in the DM and CIH-DM groups significantly increased compared with C group, and remained high from the day 7 to the end of the experiment (P<0.05). These results indicate that when rats had DM or CIH-DM, the blood glucose increased to an abnormal level, but CIH would not induce increased blood glucose alone.

Figure 2.

Comparisons of blood glucose levels between different groups. Blood glucose in rats from (A) C, CIH, DM and CIH-DM groups, (B) C-G, CIH-G, DM-G and CIH-DM-G groups, (C) C and C-G groups, (D) CIH and CIH-G groups, (E) DM and DM-G groups, and (F) CIH-DM and CIH-DM-G groups. *P<0.05 vs. the respective group without G treatment; ⋆P<0.05 vs. the C group; ▲P<0.05 vs. the CIH group; #P<0.05 vs. the C-G group; ∆P<0.05 vs. the CIH-G group; □P<0.05 vs. the DM-G group. C, control; CIH, chronic intermittent hypoxia; DM, diabetes mellitus; CIH-DM, chronic intermittent hypoxia combined with diabetes mellitus; G, garlic.

Following G treatment, blood glucose levels in rats from the DM group demonstrated a decreasing tendency from day 7 onwards. At each time point, blood glucose in the DM-G and CIH-DM-G groups was increased compared with the C-G and CIH-G groups (all P<0.05; Fig. 2B).

By pairwise comparisons, there was no significant difference in blood glucose levels between the C group and the C-G group, or between the CIH group and the CIH-G group (Fig. 2C and D). However, following G treatment, blood glucose levels in the DM-G group and the CIH-DM-G decreased significantly compared with the respective untreated groups (all P<0.05; Fig. 2E and F). The above results indicate that G treatment decreased the high blood glucose induced by DM or CIH-DM.

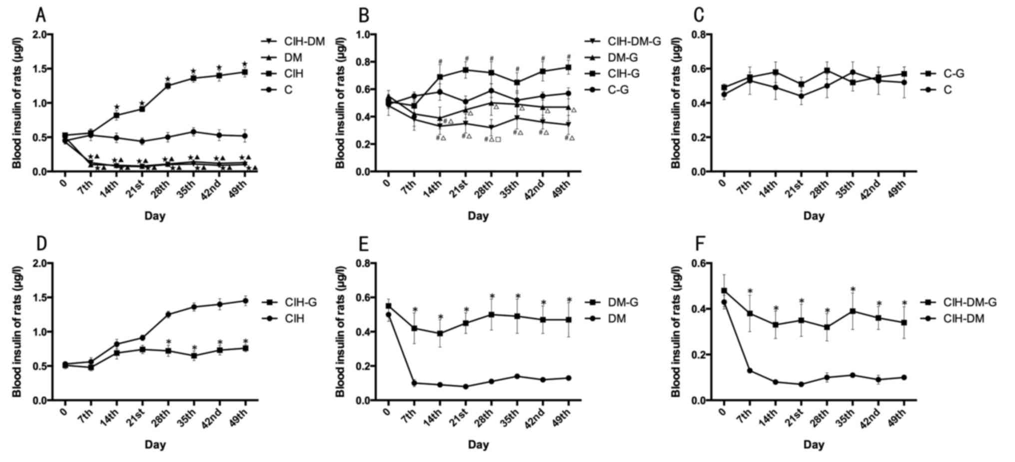
Blood insulin

The average level of blood insulin in rats with CIH was significantly increased compared with that in the C group from day 14 onwards, while insulin levels in the DM and the CIH-DM group were significantly lower compared with the C and the CIH group from day 7 onwards (all P<0.05). The above results, suggest that CIH increased blood insulin levels in rats, while the induction of DM and CIH-DM models decreased blood insulin levels (Fig. 3A).

Figure 3.

Comparisons of blood insulin levels between different groups. Blood insulin in rats from the (A) C, CIH, DM and CIH-DM groups, (B) C-G, CIH-G, DM-G and CIH-DM-G groups, (C) C and C-G groups, (D) CIH and CIH-G groups, (E) DM and DM-G groups, and (F) CIH-DM and CIH-DM-G groups. *P<0.05 vs. the respective group without G treatment; ⋆P<0.05 vs. the C group; ▲P<0.05 vs. the CIH group; #P<0.05 vs. the C-G group; ∆P<0.05 vs. the CIH-G group; □P<0.05 vs. the DM-G group. C, control; CIH, chronic intermittent hypoxia; DM, diabetes mellitus; CIH-DM, chronic intermittent hypoxia combined with diabetes mellitus; G, garlic.

Following G treatment, the average level of blood insulin in rats with DM remained not significantly different from the C-G group (Fig. 3B). Significant differences were observed between the C-G group and both the CIH-DM-G group and the CIH-G group, from day 14 onwards (all P<0.05). The results indicate that G treatment did improve blood insulin in rats with DM, but with not in rats with CIH or CIH-DM.

Pairwise comparisons revealed that there was no significant difference in blood insulin levels between the C group and the C-G group (Fig. 3C). In the CIH-G group, the blood insulin level was significantly lower than that of the CIH group at each time point from day 28 onwards (P<0.05; Fig. 3D), suggesting that G treatment decreased the high level of blood insulin induced by CIH. Following G treatment, from day 7 onwards, blood insulin levels in the DM-G and CIH-DM-G groups were significantly increased compared with the respective groups untreated with G (all P<0.05; Fig. 3E and F), indicating that G treatment increased blood insulin in rat models of DM and CIH-DM.

HOMA-IR values

HOMA-IR values were significantly increased in the CIH group compared with all other groups (P<0.05; Fig. 4A). An elevated HOMA-IR value indicated high insulin resistance in the CIH group.

Figure 4.

Comparisons of rat HOMA-IR in different groups. HOMA-IR in rats from the (A) C, CIH, DM and CIH-DM groups, (B) C-G, CIH-G, DM-G and CIH-DM-G groups, (C) C and C-G groups, (D) CIH and CIH-G groups, (E) DM and DM-G groups, (F) CIH-DM and CIH-DM-G groups. *P<0.05 vs. the respective group without G treatment; ⋆P<0.05 vs. the C group; ▲P<0.05 vs. the CIH group; #P<0.05 vs. the C-G group; ∆P<0.05 vs. the CIH-G group; □P<0.05 vs. the DM-G group. HOMA-IR, homeostasis model assessment of insulin resistance; C, control; CIH, chronic intermittent hypoxia; DM, diabetes mellitus; CIH-DM, chronic intermittent hypoxia combined with diabetes mellitus; G, garlic.

Following G treatment, there was no significant difference in HOMA-IR values between the C-G group and the CIH-G group (Fig. 4B). In the DM-G group, the HOMA-IR value was significantly increased compared with that in the C-G group from day 7 to day 42 (all P<0.05), while on the day 49 of the experiment, the HOMA-IR value in the DM-G group decreased to a level similar to all other groups including the C group. In the CIH-DM-G group, the HOMA-IR value was significantly increased compared with the C-G group between days 7–35 of treatment (all P<0.05).

There was no significant difference in the HOMA-IR values between the C group and the C-G group (Fig. 4C). From day 28 onwards, the HOMA-IR value was significantly lower in the CIH-G group compared with the CIH group (P<0.05; Fig. 4D). HOMA-IR values in the DM-G and CIH-DM-G groups were significantly increased compared with the respective G-untreated controls (all P<0.05; Fig. 4E and F). The above results indicate that G treatment significantly altered the insulin resistance in all experimental groups.

Serum parameters

Serum TBARS values in all experimental groups without and with G treatment were increased compared with the C and C-G groups, respectively (all P<0.05). Pairwise comparisons revealed that, following G treatment, TBARS values were significantly decreased in all G-treated experimental groups compared with the values in the corresponding G-untreated groups (all P<0.05; Fig. 5A).

Figure 5.

Comparisons of serum parameters in rats from different groups. Serum levels of (A) TBARS, (B) NO, (C) GST, (D) GSH-Px, (E) GR, (F) UA, (G) UP, (H) albumin, (I) TC, (J) TG, (K) TL, (L) AST, (M) ALT, (N) LDH, (O) ALP, (P) ACP and (Q) SOD. *P<0.05 vs. the respective group without G treatment; ⋆P<0.05 vs. the C group; ▲P<0.05 vs. the CIH group; #P<0.05 vs. the C-G group; ∆P<0.05 vs. the CIH-G group; ■P<0.05 vs. the DM group; □P<0.05 vs. the DM-G group. C, control; CIH, chronic intermittent hypoxia; DM, diabetes mellitus; CIH-DM, chronic intermittent hypoxia combined with diabetes mellitus; G, garlic; TBARS, thiobarbituric acid reactive substances; NO, nitric oxide; GST, glutathione S-transferase; GSH-Px, glutathione peroxidase; GR, glutathione reductase; UA, uric acid; UP, urine protein; TC, total cholesterol; TG, triglycerides; TL, total lipids; AST, aspartate aminotransferase; ALT, alanine aminotransferase; LDH, lactate dehydrogenase; ALP, alkaline phosphatases; ACP, acid phosphatases; SOD, superoxide dismutase.

Serum NO level in the CIH group was significantly lower than that in the C group (P<0.05), while it was increased in the DM and CIH-DM groups compared with that in the C group (both P<0.05; Fig. 5B). The NO level in the DM-G and CIH-DM-G groups was significantly increased compared with that in the C-G group (both P<0.05; Fig. 5B). Additionally, NO levels in the DM and CIH-DM groups with and without G treatment were significantly increased compared with that in the CIH group with and without G treatment, respectively (all P<0.05). Pairwise comparisons revealed that NO levels in the DM-G group was significantly lower compared with that in the DM group (P<0.05). The above results indicate that CIH induced a decrease of serum NO level in rats, while DM or CIH-DM increased NO levels in rats. The G treatment could decrease the serum NO level induced by DM; however, it could not induce this decrease in rats with CIH or CIH-DM.

Serum GST levels in the CIH and CIH-DM groups were significantly increased compared with that in the C group (Fig. 5C; both P<0.05). Pairwise comparisons revealed that serum GST levels in the CIH-G group and the CIH-DM-G group were lower compared with the CIH group and the CIH-DM group, respectively (both P<0.05). The above results indicate that CIH and CIH-DM demonstrated elevated serum GST levels compared with the control and that G treatment decreased serum GST levels in rat models of CIH and CIH-DM.

Serum GSH-Px levels in the CIH group were significantly increased compared with that in the C group (P<0.05; Fig. 5D). The GSH-Px levels in the CIH-DM group were significantly elevated compared with the DM group (P<0.05; Fig. 5D). Serum levels of GSH-Px in the DM and CIH-DM groups were significantly lower than those in the C and CIH groups (both P<0.05; Fig. 5D). Serum GSH-Px in the DM-G group was significantly lower than that in the other G-treated groups (all P<0.05). Pairwise comparisons revealed that, serum GSH-Px levels in the DM-G and CIH-DM-G groups were increased compared with the corresponding G-untreated groups (both P<0.05). These results indicate that CIH induces an increase in serum levels of GSH-Px in rats, while models of DM and CIH-DM demonstrated decreased levels of serum GSH-Px compared with healthy controls. G treatment decreased the serum GSH-Px in the rats with CIH to the normal level, but increased the serum GSH-Px in the rats with CIH-DM to the normal level. G treatment also increased the serum GSH-Px in the rats with DM, but not back to the healthy level.

Serum GR levels in the CIH and CIH-DM groups were both significantly lower compared with the C and DM groups, respectively (both P<0.05; Fig. 5E), and DM group levels were significantly elevated compared with that in the C group (P<0.05). Serum GR levels in the CIH-G group were significantly lower than those in the C-G, DM-G and CIH-DM-G groups (P<0.05). Pairwise comparisons of serum GR levels revealed that in the CIH-G and CIH-DM-G groups, G treatment resulted in an increase of the GR level compared with the respective G-untreated model groups (both P<0.05). GR level in the DM-G group was lower than that of the DM group (P<0.05).

Serum UA and UP levels in all experimental groups (G-untreated) were significantly increased compared with the level in the C group (all P<0.05; Fig. 5F and G). Pairwise comparisons revealed that in all model groups, G treatment significantly decreased UA and UP levels compared with the respective G-untreated groups (P<0.05).

Serum albumin in the DM and CIH-DM groups was significantly lower than that in the C and CIH groups (both P<0.05; Fig. 5H). Serum albumin in the DM-G group was lower than that in the C-G group (P<0.05). Additionally, serum albumin levels in the CIH-DM-G group were significantly lower than any other G-treated group (all P<0.05; Fig. 5H). Pairwise comparisons revealed that serum albumin in the DM-G group was significantly increased compared with that in the DM group (P<0.05).

Serum TC levels were elevated in all model groups (G-untreated) compared with the level in the C group (all P<0.05; Fig. 5I). Serum TC levels in the DM-G and CIH-DM-G groups were lower than those in the CIH-G group (P<0.05). Pairwise comparisons revealed that, following G treatment, serum TC levels decreased significantly in all G-treated model groups compared with the corresponding G-untreated groups (all P<0.05).

Serum TG levels in the DM and CIH-DM groups were significantly increased compared with the levels in the C group (both P<0.05; Fig. 5J). Pairwise comparison revealed that, following G treatment, serum TG levels decreased compared with all the levels in the corresponding G-untreated groups (all P<0.05).

Serum TL levels were significantly increased in all model groups compared with the level in the C group (all P<0.05; Fig. 5K). Serum TL levels in the CIH-G and CIH-DM-G groups were both increased compared with the C-G and DM-G groups, respectively (both P<0.05). Pairwise comparisons revealed that, following G treatment, serum TL levels decreased in all groups, including the C group, compared with the levels in the corresponding G-untreated groups (all P<0.05).

Serum AST, ALT and LDH levels significantly increased in all model groups compared with the levels in the C group (all P<0.05; Fig. 5L-N, respectively). A significant increase in AST, ALT and LDH was also observed in the CIH and CIH-DM groups compared with the DM group. The CIH-DM group demonstrated significantly increased levels of serum AST, ALT and LDH compared with the levels in the CIH group (all P<0.05). Serum AST, ALT and LDH in the CIH group were significantly increased compared with the C and DM groups (all P<0.05). Pairwise comparisons revealed that G treatment significantly decreased serum levels of AST, ALT and LDH compared with the levels in the respective G-untreated model groups (all P<0.05). Additionally, serum levels of ALT were significantly increased in the CIH-G and CIH-DM-G groups compared with the level in the C-G group (P<0.05; Fig. 5M).

Serum ALP levels in all experimental groups (G-untreated) were increased compared with the C group (all P<0.05; Fig. 5O). CIH-DM demonstrated elevated ALP levels compared with the CIH group (P<0.05). Serum ALP levels in the CIH-G and CIH-DM-G groups were both increased compared with the level in the C-G group (both P<0.05). Pairwise comparisons revealed that serum ALP levels in the DM-G and CIH-DM-G groups were lower than those of the respective G-untreated groups (both P<0.05).

Serum ACP levels were significantly increased in all experimental groups (G-untreated) compared with the level in the C group (all P<0.05; Fig. 5P). Serum APC levels in the CIH group were significantly lower than those of the DM and CIH-DM groups (both P<0.05). Serum ACP in the CIH-DM-G group was increased compared with the C-G group (P<0.05). Pairwise comparisons demonstrated that, following G treatment, serum ACP levels decreased significantly in all groups compared with the respective G-untreated groups (all P<0.05).

Serum SOD decreased in all experimental groups (G-untreated) compared with the C group (all P<0.05). CIH-DM group levels of SOD decreased significantly compared with the level in the DM group (P<0.05). Pairwise comparisons revealed that serum SOD levels increased significantly following G treatment in all model groups compared with the respective G-untreated groups (all P<0.05; Fig. 5Q).

Liver parameters

Liver TBARS levels were elevated in all model groups compared with the level in the C group (all P<0.05; Fig. 6A). Liver TBARS levels were also elevated in the CIH-DM group compared with the DM group (P<0.05). Pairwise comparisons revealed that G treatment resulted in the decrease of liver TBARS in all model groups compared with the respective G-untreated groups (P<0.05).

Figure 6.

Comparison of liver parameters between different groups. Liver levels of (A) TBARS, (B) GST, (C) GSH-Px, (D) AST, (E) ALT, (F) LDH, (G) ALP, (H) ACP, (I) CAT and (J) SOD. *P<0.05 vs. the respective group without G treatment; ⋆P<0.05 vs. the C group; ▲P<0.05 vs. the CIH group; #P<0.05 vs. the C-G group; ∆P<0.05 vs. the CIH-G group; ■P<0.05 vs. the DM group; □P<0.05 vs. the DM-G group. C, control; CIH, chronic intermittent hypoxia; DM, diabetes mellitus; CIH-DM, chronic intermittent hypoxia combined with diabetes mellitus; G, garlic; TBARS, thiobarbituric acid reactive substances; GST, glutathione S-transferase; GSH-Px, glutathione peroxidase; AST, aspartate aminotransferase; ALT, alanine aminotransferase; LDH, lactate dehydrogenase; ALP, alkaline phosphatases; ACP, acid phosphatases; CAT, catalase activity; SOD, superoxide dismutase.

Liver GST levels were significantly elevated in all model groups with and without G treatment compared with the C group with and without G treatment, respectively (all P<0.05; Fig. 6B). Pairwise comparisons revealed that liver TBARS levels decreased significantly only in the DM group following G treatment (P<0.05)

Liver GSH-Px levels in the DM and CIH-DM groups decreased significantly compared with the levels in the C and CIH groups (both P<0.05; Fig. 6C). Liver GSH-Px in the DM-G group was significantly increased compared with that in the C-G and CIH-DM-G groups (both P<0.05). Pairwise comparisons revealed that liver GSH-Px levels in the DM-G and CIH-DM-G groups were significantly increased compared with the levels in the respective G-untreated groups (both P<0.05).

Liver AST, ALT, LDH and ALP levels in all experimental groups (G-untreated) were decreased compared with the levels in the respective C groups (all P<0.05, Fig. 6D-G). Liver AST levels in the CIH-DM group were increased compared with the DM group (P<0.05; Fig. 6D). Liver AST, ALT and LDH in the CIH-G and CIH-DM-G groups were lower than the levels in the respective C-G groups (all P<0.05; Fig. 6D-F). Pairwise comparisons reveled that G treatment significantly increased AST, ALT, LDH and ALP levels in all model groups compared with the levels in the respective G-untreated groups (all P<0.05; Fig. 6D-F).

Liver ACP, CAT and SOD levels decreased significantly in all model groups compared with the respective control groups (all P<0.05; Fig. 6H-J). Liver ACP levels in all experimental G-treated groups were elevated compared with the C-G group (all P<0.05; Fig. 6H). Pairwise comparisons revealed that, except for the APC levels in the CIH-DM-G group, APC, CAT and SOD levels in all model groups were significantly increased following G treatment (all P<0.05; Fig. 6H-J).

Renal parameters

Renal TBARS levels in the DM and CIH-DM groups were significantly increased compared with the level in the C group (both P<0.05; Fig. 7A). Renal GST levels in all experimental groups untreated and treated with G were elevated compared with the C and C-G groups, respectively (all P<0.05; Fig. 7B). Pairwise comparisons revealed that renal levels of GST in the CIH-G, DM-G and CIH-DM-G groups were lower than those of the respective G-untreated groups (both P<0.05). Renal CAT and SOD levels decreased in all model groups treated and untreated with G compared with the levels in the respective C-G and C groups, respectively (all P<0.05; Fig. 7C and D).

Figure 7.

Comparison of renal parameters between different groups. Renal levels of (A) TBARS, (B) GST, (C) CAT and (D) SOD. *P<0.05 vs. the respective group without G treatment; ⋆P<0.05 vs. the C group; ▲P<0.05 vs. the CIH group; #P<0.05 vs. the C-G group; ∆P<0.05 vs. the CIH-G group; ■P<0.05 vs. the DM group; □P<0.05 vs. the DM-G group. C, control; CIH, chronic intermittent hypoxia; DM, diabetes mellitus; CIH-DM, chronic intermittent hypoxia combined with diabetes mellitus; G, garlic; TBARS, thiobarbituric acid reactive substances; GST, glutathione S-transferase; CAT, catalase activity; SOD, superoxide dismutase.

Cerebral parameters

Cerebral TBARS levels were elevated in the CIH, DM and CIH-DM groups compared with the levels in the C group (all P<0.05; Fig. 8A). In all model groups, G treatment reduced the TBARs levels compared with the levels in the respective G-untreated groups (P<0.05). The CIH, DM and CIH-DM models exhibited no significant effect on cerebral GST in rats. Furthermore, G treatment had no significant effect on cerebral GST levels in rats (Fig. 8B).

Figure 8.

Comparison of cerebral parameters between different groups. Cerebral levels of (A) TBARS, (B) GST and (C) LDH. *P<0.05 vs. the respective group without G treatment; ⋆P<0.05 vs. the C group; ▲P<0.05 vs. the CIH group; #P<0.05 vs. the C-G group; ∆P<0.05 vs. the CIH-G group; ■P<0.05 vs. the DM group; □P<0.05 vs. the DM-G group. C, control; CIH, chronic intermittent hypoxia; DM, diabetes mellitus; CIH-DM, chronic intermittent hypoxia combined with diabetes mellitus; G, garlic; TBARS, thiobarbituric acid reactive substances; GST, glutathione S-transferase; LDH, lactate dehydrogenase.

Cerebral LDH levels in the CIH group were lower than those in the C, DM and CIH-DM groups (all P<0.05; Fig. 8C). Cerebral LDH levels in the DM and CIH-DM groups were increased compared with the levels in the C group (both P<0.05). Cerebral LDH levels in the DM group were elevated compared with the levels in the CIH-DM group (P<0.05). Cerebral LDH levels in the CIH-G group were lower than those in any other G-treated group (all P<0.05). The DM-G and CIH-DM-G groups demonstrated increased levels of cerebral LDH compared with the levels in the C-G and CIH-G groups (all P<0.05). Pairwise comparisons revealed that cerebral LDH levels in the DM-G and CIH-DM-G groups were lower than those of the respective G-untreated groups (both P<0.05).

Discussion

In the present study, G extract was used to treat rats with CIH, DM and CIH-DM. G extract demonstrated beneficial effects on certain aspects of CIH, DM and CIH-DM. It was determined that body weight in the CIH, DM and CIH-DM groups decreased compared with healthy rats from day 14 of the experiment onwards, which was consistent with results obtained by other research groups (34,35). G injection increased weight of the DM and CIH-DM groups, but not the CIH rats, and G improved body weight and appetite of rats with DM or CIH-DM.

According to Orekhov and Grunwald (36), G may reduce hyperlipidemia and hypertension and prevent DM and thrombus formation. In the present study it was demonstrated that, in rat models of DM and CIH-DM, blood glucose increased markedly, while blood glucose in rats with CIH was similar to the levels observed in healthy controls. These results indicated that DM resulted in high levels of blood glucose. Following G treatment, blood glucose in rats with DM decreased with time; however, it did not recover to the healthy level. The decreasing tendency in blood glucose levels in the DM group was more evident compared with the CIH-DM group, suggesting that CIH may be one of the factors influencing blood glucose levels and G treatment could aid in the control of blood glucose, as suggested in a previous report (36).

Augusti and Sheela (37) demonstrated that G was an insulin secretagogue in diabetic rats. By detecting insulin, the present study demonstrated that CIH induced elevated blood insulin levels with time, while in the DM and CIH-DM groups insulin levels decreased. These results indicated that the effect of the DM model on blood insulin in rats may be more significant than the effect of CIH. G treatment efficiently decreased blood insulin of the CIH, DM and CIH-DM groups. G treatment increased blood insulin to the healthy level only in the DM group, while CIH and CIH-DM insulin levels remained abnormal following treatment. The above results are consistent with a previous report (37).

In the present study, the HOMA-IR level was elevated in the CIH group but did not increase in the CIH-DM group. This observation suggested that IR was primarily induced by CIH. G treatment recovered the HOMA-IR to the healthy level in the DM and CIH-DM groups. The above results indicated that G demonstrated a protective effect in rats with IR.

Increased TBARS levels in serum and organs indicated elevated levels of lipid peroxides. Elevated serum NO levels in rats with DM and CIH-DM suggested that oxidative stress (OS) was enhanced in DM and CIH-DM rats. Seo et al (38) reported elevated TBARS levels in erythrocytes and the liver in rats with DM, indicating that hyperglycemia may increase the OS. The results of the present study supported the above hypothesis. Following G treatment, TBARS decreased markedly in serum and organs (except for the kidney). The results of the present study demonstrated that G improves antioxidant enzyme activities in serum and organs.

In order to protect molecules from ROS and free radicals, cells stimulate antioxidant defense systems including SOD, CAT, GR and GSH-Px. According to Harman (39), SOD converts superoxide anions into H2O2 by CAT or into glutathione disulfide (GSSG) by GSH-Px. GR catalyzes cleavage of GSSG into GSH (40). In the present study, the activity of CAT and SOD in serum, and CAT, GSH-Px and SOD in the liver and kidney in CIH, DM and CIH-DM models decreased, as did serum GR in the CIH and CIH-DM groups, while serum GR markedly increased in the DM group. Except for the kidney in the CIH and DM groups, garlic efficiently improved the activities of CAT, GR, GSH-Px and SOD in serum and organs in all model groups, demonstrating the potency of garlic to remove superoxide anions.

Additionally, serum AST, ALT, LDH, ALP and ACP, and cerebral LDH increased markedly in the DM and CIH-DM groups, while liver AST, ALT, LDH, ALP and ACP, and cerebral LDH in decreased in CIH rats. The above results suggest the possibility of hepatic dysfunction and the leakage of these enzymes from liver cell cytosol into the blood stream, as previously suggested by Concepción Navarro et al (41). Cerebral LDH levels in rats in the CIH-DM group were similar to the levels in the DM group in the present study, suggesting that DM was the predominant factor influencing cerebral LDH. The research conducted by Larcan et al (42) supported the results of the present study. Except for serum ALP and cerebral LDH in the CIH group, and liver ACP in the CIH-DM group, G treatment reduced the activities of ALP and APC in serum and increased them in the liver, suggesting a therapeutic and protective effect of G on CIH, DM and CIH-DM models, as previously hypothesized by Ohaeri (43).

GST serves a role in detoxification and metabolism of xenobiotic and endobiotic compounds (44). Elevated levels of GST in serum and organs of rats in the CIH, DM or CIH-DM groups in the present study indicated that defense mechanisms were stimulated. G therapy decreased GST levels in serum and organs, suggesting that G could protect the body from imbalance between free radicals and anti-oxidants, as previously suggested by Anwar and Meki (45).

CIH, DM and CIH-DM induced elevated serum TC, TG and TL, while serum albumin decreased in DM and CIH-DM but not in CIH rats. Abnormal albumin was induced predominantly by DM, as previously suggested (46,47). G aided in the regulation of serum albumin, TC, TG and TL in rats with CIH, DM and CIH-DM, indicating that G may regulate lipid metabolism. In addition, increased secretion of UA and UP indicates elevated free radical production due to the activation of the xanthine oxidase enzyme system (48). In the present study, UA and UP levels increased in the CIH, DM and CIH-DM groups, suggesting dysregulation of metabolism. As a result of G therapy, UA and UP decreased, demonstrating that G may regulate metabolism.

In a conclusion, to the best of our knowledge, the present study is the first to demonstrate the anti-oxidant, alexeteric and protective effects of G in the context of regulating the imbalance of glucose, insulin and lipid metabolisms in rat models of CIH, DM and CIH-DM. The present study suggested that garlic might ameliorate the disorders of homeostasis and metabolism induced by CIH combined with DM.

Acknowledgements

The present study was supported by Dr Ke Hu and Renmin Hospital of Wuhan University (Wuhan China).

References

1 

Lin Z: Advancement on obstructive sleep apnea hypopnea syndrome (OSAHS) in last decade. Chin Arch Otolaryngol Head Neck Surgery. 11:43–45. 2004.(In Chinese).

2 

de Sousa AG, Cercato C, Mancini MC and Halpern A: Obesity and obstructive sleep apnea-hypopnea syndrome. Obesity Rev. 9:340–354. 2008. View Article : Google Scholar

3 

Taxy JB: Surgical pathology of the head and neck. Mod Pathol. 5:6691992.PubMed/NCBI

4 

Halbower AC, Degaonkar M, Barker PB, Earley CJ, Marcus CL, Smith PL, Prahme MC and Mahone EM: Childhood obstructive sleep apnea associates with neuropsychological deficits and neuronal brain injury. Plos Med. 3:e3012006. View Article : Google Scholar : PubMed/NCBI

5 

Choo J: Michael Friedman sleep apnea and snoring-surgical and non-surgical therapy 2008 Saunders Elsevier 452 pages, $249.00. Otolaryngology-Head and Neck Surgery. 142 Suppl:S43. 2010. View Article : Google Scholar

6 

Eva AC, Eduardo EE, José MB, José MLC and Enrique SR: Obstructive sleep apnea syndrome (OSAS). Review of the literature. Med Oral Patol Oral Cir Bucal. 17:e925–e929. 2012.PubMed/NCBI

7 

Iftikhar IH, Kline and Youngstedt SD: Effects of exercise training on sleep apnea: A meta-analysis. Lung. 192:175–184. 2014. View Article : Google Scholar : PubMed/NCBI

8 

Qaseem A, Dallas P, Owens DK, Starkey M, Holty JE and Shekelle P; Clinical Guidelines Committee of the American College of Physicians, : Diagnosis of obstructive sleep apnea in adults: A clinical practice guideline from the American college of physicians. Ann Intern Med. 161:210–220. 2014. View Article : Google Scholar : PubMed/NCBI

9 

Peng Y, Kline DD, Dick TE and Prabhakar NR: Chronic intermittent hypoxia enhances carotid body chemoreceptor response to low oxygen. Adv Exp Med Biol. 499:33–38. 2001. View Article : Google Scholar : PubMed/NCBI

10 

Ma L, Zhang J and Liu Y: Roles and mechanisms of obstructive sleep apnea-hypopnea syndrome and chronic intermittent hypoxia in atherosclerosis: Evidence and prospective. Oxid Med Cell Longev. 2016:1–10. 2016. View Article : Google Scholar

11 

Torrella M, Castells I, Gimenez-Perez G, Recasens A, Miquel M, Simó O, Barbeta E and Sampol G: Intermittent hypoxia is an independent marker of poorer glycaemic control in patients with uncontrolled type 2 diabetes. Diabetes Metab. 41:312–318. 2015. View Article : Google Scholar : PubMed/NCBI

12 

Liu YY, Sun ZL, Li ZX, Jiang W and Feng XR: Relation between obstructive sleep apnea-hypopnea syndrome and type-2 diabetes mellitus. Clin J Med Officer. 2006.(In Chinese).

13 

Vatansever E, Surmen-Gur E, Ursavas A and Karadag M: Obstructive sleep apnea causes oxidative damage to plasma lipids and proteins and decreases adiponectin levels. Sleep Breath. 15:275–282. 2011. View Article : Google Scholar : PubMed/NCBI

14 

Louis M and Punjabi NM: Effects of acute intermittent hypoxia on glucose metabolism in awake healthy volunteers. J Appl Physiol (1985). 106:1538–1544. 2009. View Article : Google Scholar : PubMed/NCBI

15 

Reichmuth KJ, Austin D, Skatrud JB and Young T: Association of sleep apnea and type II diabetes: A population-based study. Am J Respir Crit Care Med. 172:1590–1595. 2005. View Article : Google Scholar : PubMed/NCBI

16 

Lavie L: Obstructive sleep apnoea syndrome-an oxidative stress disorder. Sleep Med Rev. 7:35–51. 2003. View Article : Google Scholar : PubMed/NCBI

17 

Lavie L, Vishnevsky A and Lavie P: Evidence for lipid peroxidation in obstructive sleep apnea. Sleep. 27:123–128. 2004.PubMed/NCBI

18 

Statsenko ME and Talagaev SV: The influence of obstructive sleep apnea syndrome on lipid metabolism and atherosclerotic lesion of carotid arteries in patients with arterial hypertension. Russian J Cardiol. 110:52–56. 2014.(In Russian). View Article : Google Scholar

19 

Tanné F, Gagnadoux F, Chazouillères O, Fleury B, Wendum D, Lasnier E, Lebeau B, Poupon R and Serfaty L: Chronic liver injury during obstructive sleep apnea. Hepatology. 41:1290–1296. 2005. View Article : Google Scholar : PubMed/NCBI

20 

Abuyassin B, Sharma K, Ayas NT and Laher I: Obstructive sleep apnea and kidney disease: A potential bidirectional relationship? J Clin Sleep Med. 11:915–924. 2015.PubMed/NCBI

21 

Macey PM, Henderson LA, Macey KE, Alger JR, Frysinger RC, Woo MA, Harper RK, Yan-Go FL and Harper RM: Brain morphology associated with obstructive sleep apnea. American J Respir Crit Care Med. 166:1382–1387. 2002. View Article : Google Scholar

22 

Morrell MJ, McRobbie DW, Quest RA, Cummin AR, Ghiassi R and Corfield DR: Changes in brain morphology associated with obstructive sleep apnea. Sleep Med. 4:451–454. 2003. View Article : Google Scholar : PubMed/NCBI

23 

Ahmed N, Laverick L, Sammons J, Zhang H, Maslin DJ and Hassan HT: Ajoene, a garlic-derived natural compound, enhances chemotherapy-induced apoptosis in human myeloid leukaemia CD34-positive resistant cells. Anticancer Res. 21:3519–3523. 2001.PubMed/NCBI

24 

Macan H, Uykimpang R, Alconcel M, Takasu J, Razon R, Amagase H and Niihara Y: Aged garlic extract may be safe for patients on warfarin therapy. J Nutr. 136 3 Suppl:S793–S795. 2006. View Article : Google Scholar

25 

Belman S: Onion and garlic oils inhibit tumor promotion. Carcinogenesis. 4:1063–1065. 1983. View Article : Google Scholar : PubMed/NCBI

26 

Ashraf R, Aamir K, Shaikh AR and Ahmed T: Effects of garlic on dyslipidemia in patients with type 2 diabetes mellitus. J Ayub Med Coll Abbottabad. 17:60–64. 2005.PubMed/NCBI

27 

Lee YM, Gweon OC, Seo YJ, Im J, Kang MJ, Kim MJ and Kim JI: Antioxidant effect of garlic and aged black garlic in animal model of type 2 diabetes mellitus. Nutr Res Pract. 3:156–161. 2009. View Article : Google Scholar : PubMed/NCBI

28 

Committee for the Update of the Guide for the Care and Use of Laboratory Animals, Institute for Laboratory Animal Research, Division on Earth and Life Studies and National Research Council, . Guide for the Care and Use of Laboratory Animals. The National Academies Press; Washington, D.C.: 1996

29 

Louhimies S: Revised EU legislation on the protection of animals used for scientific purposes. Directive 2010/63/EU. J Shellfish Res. 30:2011.

30 

Muhm JM, Rock PB, McMullin DL, Jones SP, Lu IL, Eilers KD, Space DR and McMullen A: Effect of aircraft-cabin altitude on passenger discomfort. N Engl J Med. 357:18–27. 2007. View Article : Google Scholar : PubMed/NCBI

31 

Geloneze B, Vasques AC, Stabe CF, et al: HOMA1-IR and HOMA2-IR indexes in identifying insulin resistance and metabolic syndrome: Brazilian Metabolic Syndrome Study (BRAMS). Arquivos Brasileiros De Endocrinologia E Metabologia. 53:281–287. 2009. View Article : Google Scholar : PubMed/NCBI

32 

Albus U: Guide for the Care and Use of Laboratory Animals, 8th Ed. Laboratory Animals. 46:267–268. 2012. View Article : Google Scholar

33 

Thayer WS: Serum lipid peroxides in rats treated chronically with adriamycin. Biochem Pharmacol. 33:2259–2263. 1984. View Article : Google Scholar : PubMed/NCBI

34 

Pozo ME, Cave A, Köroğlu OA, Litvin DG, Martin RJ, Di Fiore J and Kc P: Effect of postnatal intermittent hypoxia on growth and cardiovascular regulation of rat pups. Neonatology. 102:107–113. 2012. View Article : Google Scholar : PubMed/NCBI

35 

Sahin K, Onderci M, Tuzcu M, Ustundag B, Cikim G, Ozercan IH, Sriramoju V, Juturu V and Komorowski JR: Effect of chromium on carbohydrate and lipid metabolism in a rat model of type 2 diabetes mellitus: The fat-fed, streptozotocin-treated rat. Metabolism. 56:1233–1240. 2007. View Article : Google Scholar : PubMed/NCBI

36 

Orekhov AN and Grünwald J: Effects of garlic on atherosclerosis. Nutrition. 13:656–663. 1997. View Article : Google Scholar : PubMed/NCBI

37 

Augusti KT and Sheela CG: Antiperoxide effect of S-allyl cysteine sulfoxide, an insulin secretagogue, in diabetic rats. Experientia. 52:115–119. 1996. View Article : Google Scholar : PubMed/NCBI

38 

Seo YJ, Gweon OH, Seo YJ, Lee YM, Kang MJ and Kim JI: Effect of garlic and aged black garlic on hyperglycemia and dyslipidemia in animal model of type 2 diabetes mellitus. J Food Sci Nutr. 14:1–7. 2009.

39 

Harman D: The aging process: Major risk factor for disease and death. Proc Natl Acad Sci USA. 88:pp. 5360–5363. 1991; View Article : Google Scholar : PubMed/NCBI

40 

Moron MS, Depierre JW and Mannervik B: Levels of glutathione, glutathione reductase and glutathione S-transferase activities in rat lung and liver. Biochim Biophys Acta. 582:67–78. 1979. View Article : Google Scholar : PubMed/NCBI

41 

Concepción Navarro M, Pilar Montilla M, Martín A, Jiménez J and Pilar Utrilla M: Free radicals scavenger and antihepatotoxic activity of Rosmarinus. Planta Med. 59:312–314. 1993. View Article : Google Scholar : PubMed/NCBI

42 

Larcan A, Lambert H, Laprevote-Heully MC and Delorme N: Light and electron microscopic study of hepatic lesions in the course of hyperlactatemia in diabetic patients (author's transl). Diabete Metab. 5:103–112. 1979.(In French). PubMed/NCBI

43 

Ohaeri OC: Effect of garlic oil on the levels of various enzymes in the serum and tissue of streptozotocin diabetic rats. Biosci Rep. 21:19–24. 2001. View Article : Google Scholar : PubMed/NCBI

44 

Ji X, Zhang P, Armstrong RN and Gilliland GL: The three-dimensional structure of a glutathione S-transferase from the mu gene class. Structural analysis of the binary complex of isoenzyme 3-3 and glutathione at 2.2-A resolution. Biochemistry. 31:10169–10184. 1992. View Article : Google Scholar : PubMed/NCBI

45 

Anwar MM and Meki AR: Oxidative stress in streptozotocin-induced diabetic rats: Effects of garlic oil and melatonin. Comp Biochem Physiol A Mol Integr Physiol. 135:539–547. 2003. View Article : Google Scholar : PubMed/NCBI

46 

Yao Q, Shin MK, Jun JC, Hernandez KL, Aggarwal NR, Mock JR, Gay J, Drager LF and Polotsky VY: Effect of chronic intermittent hypoxia on triglyceride uptake in different tissues. J Lipid Res. 54:1058–65. 2013. View Article : Google Scholar : PubMed/NCBI

47 

Vergès B: Anomalies of lipid metabolism in diabetes mellitus. Rev Med Interne. 12:277–281. 1991.(In French). View Article : Google Scholar : PubMed/NCBI

48 

Németh I, Tálosi G, Papp A and Boda D: Xanthine oxidase activation in mild gestational hypertension. Hypertens Pregnancy. 21:1–11. 2002. View Article : Google Scholar

Related Articles

  • Abstract
  • View
  • Download
  • Twitter
Copy and paste a formatted citation
Spandidos Publications style
Peng Y and Hu K: Effect of garlic on rats with chronic intermittent hypoxia combined with diabetes mellitus. Mol Med Rep 17: 6174-6184, 2018.
APA
Peng, Y., & Hu, K. (2018). Effect of garlic on rats with chronic intermittent hypoxia combined with diabetes mellitus. Molecular Medicine Reports, 17, 6174-6184. https://doi.org/10.3892/mmr.2018.8568
MLA
Peng, Y., Hu, K."Effect of garlic on rats with chronic intermittent hypoxia combined with diabetes mellitus". Molecular Medicine Reports 17.4 (2018): 6174-6184.
Chicago
Peng, Y., Hu, K."Effect of garlic on rats with chronic intermittent hypoxia combined with diabetes mellitus". Molecular Medicine Reports 17, no. 4 (2018): 6174-6184. https://doi.org/10.3892/mmr.2018.8568
Copy and paste a formatted citation
x
Spandidos Publications style
Peng Y and Hu K: Effect of garlic on rats with chronic intermittent hypoxia combined with diabetes mellitus. Mol Med Rep 17: 6174-6184, 2018.
APA
Peng, Y., & Hu, K. (2018). Effect of garlic on rats with chronic intermittent hypoxia combined with diabetes mellitus. Molecular Medicine Reports, 17, 6174-6184. https://doi.org/10.3892/mmr.2018.8568
MLA
Peng, Y., Hu, K."Effect of garlic on rats with chronic intermittent hypoxia combined with diabetes mellitus". Molecular Medicine Reports 17.4 (2018): 6174-6184.
Chicago
Peng, Y., Hu, K."Effect of garlic on rats with chronic intermittent hypoxia combined with diabetes mellitus". Molecular Medicine Reports 17, no. 4 (2018): 6174-6184. https://doi.org/10.3892/mmr.2018.8568
Follow us
  • Twitter
  • LinkedIn
  • Facebook
About
  • Spandidos Publications
  • Careers
  • Cookie Policy
  • Privacy Policy
How can we help?
  • Help
  • Live Chat
  • Contact
  • Email to our Support Team