Spandidos Publications Logo
  • About
    • About Spandidos
    • Aims and Scopes
    • Abstracting and Indexing
    • Editorial Policies
    • Reprints and Permissions
    • Job Opportunities
    • Terms and Conditions
    • Contact
  • Journals
    • All Journals
    • Oncology Letters
      • Oncology Letters
      • Information for Authors
      • Editorial Policies
      • Editorial Board
      • Aims and Scope
      • Abstracting and Indexing
      • Bibliographic Information
      • Archive
    • International Journal of Oncology
      • International Journal of Oncology
      • Information for Authors
      • Editorial Policies
      • Editorial Board
      • Aims and Scope
      • Abstracting and Indexing
      • Bibliographic Information
      • Archive
    • Molecular and Clinical Oncology
      • Molecular and Clinical Oncology
      • Information for Authors
      • Editorial Policies
      • Editorial Board
      • Aims and Scope
      • Abstracting and Indexing
      • Bibliographic Information
      • Archive
    • Experimental and Therapeutic Medicine
      • Experimental and Therapeutic Medicine
      • Information for Authors
      • Editorial Policies
      • Editorial Board
      • Aims and Scope
      • Abstracting and Indexing
      • Bibliographic Information
      • Archive
    • International Journal of Molecular Medicine
      • International Journal of Molecular Medicine
      • Information for Authors
      • Editorial Policies
      • Editorial Board
      • Aims and Scope
      • Abstracting and Indexing
      • Bibliographic Information
      • Archive
    • Biomedical Reports
      • Biomedical Reports
      • Information for Authors
      • Editorial Policies
      • Editorial Board
      • Aims and Scope
      • Abstracting and Indexing
      • Bibliographic Information
      • Archive
    • Oncology Reports
      • Oncology Reports
      • Information for Authors
      • Editorial Policies
      • Editorial Board
      • Aims and Scope
      • Abstracting and Indexing
      • Bibliographic Information
      • Archive
    • Molecular Medicine Reports
      • Molecular Medicine Reports
      • Information for Authors
      • Editorial Policies
      • Editorial Board
      • Aims and Scope
      • Abstracting and Indexing
      • Bibliographic Information
      • Archive
    • World Academy of Sciences Journal
      • World Academy of Sciences Journal
      • Information for Authors
      • Editorial Policies
      • Editorial Board
      • Aims and Scope
      • Abstracting and Indexing
      • Bibliographic Information
      • Archive
    • International Journal of Functional Nutrition
      • International Journal of Functional Nutrition
      • Information for Authors
      • Editorial Policies
      • Editorial Board
      • Aims and Scope
      • Abstracting and Indexing
      • Bibliographic Information
      • Archive
    • International Journal of Epigenetics
      • International Journal of Epigenetics
      • Information for Authors
      • Editorial Policies
      • Editorial Board
      • Aims and Scope
      • Abstracting and Indexing
      • Bibliographic Information
      • Archive
    • Medicine International
      • Medicine International
      • Information for Authors
      • Editorial Policies
      • Editorial Board
      • Aims and Scope
      • Abstracting and Indexing
      • Bibliographic Information
      • Archive
  • Articles
  • Information
    • Information for Authors
    • Information for Reviewers
    • Information for Librarians
    • Information for Advertisers
    • Conferences
  • Language Editing
Spandidos Publications Logo
  • About
    • About Spandidos
    • Aims and Scopes
    • Abstracting and Indexing
    • Editorial Policies
    • Reprints and Permissions
    • Job Opportunities
    • Terms and Conditions
    • Contact
  • Journals
    • All Journals
    • Biomedical Reports
      • Information for Authors
      • Editorial Policies
      • Editorial Board
      • Aims and Scope
      • Abstracting and Indexing
      • Bibliographic Information
      • Archive
    • Experimental and Therapeutic Medicine
      • Information for Authors
      • Editorial Policies
      • Editorial Board
      • Aims and Scope
      • Abstracting and Indexing
      • Bibliographic Information
      • Archive
    • International Journal of Epigenetics
      • Information for Authors
      • Editorial Policies
      • Editorial Board
      • Aims and Scope
      • Abstracting and Indexing
      • Bibliographic Information
      • Archive
    • International Journal of Functional Nutrition
      • Information for Authors
      • Editorial Policies
      • Editorial Board
      • Aims and Scope
      • Abstracting and Indexing
      • Bibliographic Information
      • Archive
    • International Journal of Molecular Medicine
      • Information for Authors
      • Editorial Policies
      • Editorial Board
      • Aims and Scope
      • Abstracting and Indexing
      • Bibliographic Information
      • Archive
    • International Journal of Oncology
      • Information for Authors
      • Editorial Policies
      • Editorial Board
      • Aims and Scope
      • Abstracting and Indexing
      • Bibliographic Information
      • Archive
    • Medicine International
      • Information for Authors
      • Editorial Policies
      • Editorial Board
      • Aims and Scope
      • Abstracting and Indexing
      • Bibliographic Information
      • Archive
    • Molecular and Clinical Oncology
      • Information for Authors
      • Editorial Policies
      • Editorial Board
      • Aims and Scope
      • Abstracting and Indexing
      • Bibliographic Information
      • Archive
    • Molecular Medicine Reports
      • Information for Authors
      • Editorial Policies
      • Editorial Board
      • Aims and Scope
      • Abstracting and Indexing
      • Bibliographic Information
      • Archive
    • Oncology Letters
      • Information for Authors
      • Editorial Policies
      • Editorial Board
      • Aims and Scope
      • Abstracting and Indexing
      • Bibliographic Information
      • Archive
    • Oncology Reports
      • Information for Authors
      • Editorial Policies
      • Editorial Board
      • Aims and Scope
      • Abstracting and Indexing
      • Bibliographic Information
      • Archive
    • World Academy of Sciences Journal
      • Information for Authors
      • Editorial Policies
      • Editorial Board
      • Aims and Scope
      • Abstracting and Indexing
      • Bibliographic Information
      • Archive
  • Articles
  • Information
    • For Authors
    • For Reviewers
    • For Librarians
    • For Advertisers
    • Conferences
  • Language Editing
Login Register Submit
  • This site uses cookies
  • You can change your cookie settings at any time by following the instructions in our Cookie Policy. To find out more, you may read our Privacy Policy.

    I agree
Search articles by DOI, keyword, author or affiliation
Search
Advanced Search
presentation
Molecular Medicine Reports
Join Editorial Board Propose a Special Issue
Print ISSN: 1791-2997 Online ISSN: 1791-3004
Journal Cover
December-2018 Volume 18 Issue 6

Full Size Image

Sign up for eToc alerts
Recommend to Library

Journals

International Journal of Molecular Medicine

International Journal of Molecular Medicine

International Journal of Molecular Medicine is an international journal devoted to molecular mechanisms of human disease.

International Journal of Oncology

International Journal of Oncology

International Journal of Oncology is an international journal devoted to oncology research and cancer treatment.

Molecular Medicine Reports

Molecular Medicine Reports

Covers molecular medicine topics such as pharmacology, pathology, genetics, neuroscience, infectious diseases, molecular cardiology, and molecular surgery.

Oncology Reports

Oncology Reports

Oncology Reports is an international journal devoted to fundamental and applied research in Oncology.

Experimental and Therapeutic Medicine

Experimental and Therapeutic Medicine

Experimental and Therapeutic Medicine is an international journal devoted to laboratory and clinical medicine.

Oncology Letters

Oncology Letters

Oncology Letters is an international journal devoted to Experimental and Clinical Oncology.

Biomedical Reports

Biomedical Reports

Explores a wide range of biological and medical fields, including pharmacology, genetics, microbiology, neuroscience, and molecular cardiology.

Molecular and Clinical Oncology

Molecular and Clinical Oncology

International journal addressing all aspects of oncology research, from tumorigenesis and oncogenes to chemotherapy and metastasis.

World Academy of Sciences Journal

World Academy of Sciences Journal

Multidisciplinary open-access journal spanning biochemistry, genetics, neuroscience, environmental health, and synthetic biology.

International Journal of Functional Nutrition

International Journal of Functional Nutrition

Open-access journal combining biochemistry, pharmacology, immunology, and genetics to advance health through functional nutrition.

International Journal of Epigenetics

International Journal of Epigenetics

Publishes open-access research on using epigenetics to advance understanding and treatment of human disease.

Medicine International

Medicine International

An International Open Access Journal Devoted to General Medicine.

Journal Cover
December-2018 Volume 18 Issue 6

Full Size Image

Sign up for eToc alerts
Recommend to Library

  • Article
  • Citations
    • Cite This Article
    • Download Citation
    • Create Citation Alert
    • Remove Citation Alert
    • Cited By
  • Similar Articles
    • Related Articles (in Spandidos Publications)
    • Similar Articles (Google Scholar)
    • Similar Articles (PubMed)
  • Download PDF
  • Download XML
  • View XML
Article Open Access

Bidirectional effects of moxifloxacin on the pro‑inflammatory response in lipopolysaccharide‑stimulated mouse peritoneal macrophages

  • Authors:
    • Zhenyu Qiu
    • Hongxia Yuan
    • Na Li
    • Xinjuan Yang
    • Xuemei Hu
    • Fengtai Su
    • Baiyi Chen
  • View Affiliations / Copyright

    Affiliations: Department of Infectious Diseases, The First Hospital of China Medical University, Shenyang, Liaoning 110001, P.R. China, Department of Infectious Diseases, The First Hospital of Jinzhou Medical University, Jinzhou, Liaoning 121001, P.R. China
    Copyright: © Qiu et al. This is an open access article distributed under the terms of Creative Commons Attribution License [CC BY_NC 4.0].
  • Pages: 5399-5408
    |
    Published online on: October 22, 2018
       https://doi.org/10.3892/mmr.2018.9569
  • Expand metrics +
Metrics: Total Views: 0 (Spandidos Publications: | PMC Statistics: )
Metrics: Total PDF Downloads: 0 (Spandidos Publications: | PMC Statistics: )
Cited By (CrossRef): 0 citations Loading Articles...

This article is mentioned in:



Abstract

Sepsis is a systemic inflammatory condition in response to life‑threatening infections, and macrophages are a key source of inflammatory cytokines. Moxifloxacin (MXF) has antibacterial activity in Gram‑positive and Gram‑negative bacteria. The present study investigated the effects of MXF on a lipopolysaccharide (LPS)‑stimulated inflammatory response and gene expression in macrophages. Peritoneal macrophages were isolated from male C57BL/6J mice and treated with LPS and/or MXF. The mRNA and protein expression of toll‑like receptor 4 (TLR4), sphingosine kinase 1 (SPHK1) and nuclear factor (NF)‑κB was determined by quantitative polymerase chain reaction, western blotting and immunofluorescence analysis. The expression of tumor necrosis factor (TNF)‑α and interleukin (IL)‑6 was determined with ELISAs. The data demonstrated that MXF dose‑dependently decreased the viability of macrophages, and 8 and 16 µg/ml MXF prevented the LPS‑induced increase in TLR4, SPHK1, NF‑κB p65, TNF‑α and IL‑6 expression. The inhibition was most effective at a concentration of 16 µg/ml MXF, whereas, 64 µg/ml MXF exerted a pro‑inflammatory effect. Collectively, the data demonstrated a bidirectional effect of MXF: Lower MXF concentrations (8 and 16 µg/ml) inhibited the inflammatory response; however, a higher MXF concentration (64 µg/ml) had a pro‑inflammatory effect on LPS‑treated mouse peritoneal macrophages. In conclusion, these results suggested the importance of MXF as an inhibitor of the inflammatory response at an optimal dose. MXF inhibition of the inflammatory response may be mediated by TLR4 signaling.

Introduction

Sepsis is a leading cause of mortality in hospitals in the USA, which is characterized by a systemic inflammatory response to life-threatening infection and results in widespread tissue injury. Macrophages mediate the innate and adaptive immune response, by producing inflammatory cytokines and cell scavenging (1,2). Macrophages and their monocyte precursors are distributed in every type of tissue in the body. Upon tissue damage or infection, monocytes are rapidly recruited to the lesion site, where they differentiate into tissue macrophages (2–4). Severe sepsis has been demonstrated to induce macrophage dysfunction (2–4). A previous study demonstrated that the endotoxin lipopolysaccharide (LPS) is a ligand of toll-like receptor 4 (TLR4) (5), and the expression of TLR4 is a key determinant of LPS response intensity and susceptibility in a mouse model of infection (6). Furthermore, myeloid differentiation factor 2 (MD-2) is able to bind to TLR4 to form the TLR4/MD-2 complex (7). Following LPS binding to TLR-4/MD-2, toll/interleukin 1 receptor/resistance protein (TIR) domain-containing adaptors are recruited to activate intracellular signaling pathways, including the translocation of nuclear factor (NF)-κB to the nucleus and production of pro-inflammatory cytokines, including interleukin (IL)-6 and tumor necrosis factor (TNF)-α (8–10). Therefore, TLR4 and its downstream signaling pathways serve a critical role in the regulation of sepsis and sepsis-associated disorders (11,12). As targeting individual inflammatory cytokines in septic states is not a successful strategy, TLR4 is a potential therapeutic target for alleviation of sepsis-induced inflammatory response (13). In addition, sphingosine kinase 1/sphingosine-1-phosphate (SPHK1/S1P) is upregulated in phagocytes and peritoneal phagocytes from patients with severe sepsis (14), suggesting their involvement in sepsis development. LPS may activate the SPHK1/S1P signaling axis in a number of cell types, including macrophages, to trigger the translocation of SPHK1 to the plasma membrane where it converts its substrate sphingosine to the bioactive sphingolipid S1P (15). SPHK1 is increasingly recognized as an important mediator of the inflammatory response elicited by various inflammatory stimuli, including LPS, TNF-α and IL-1β, and involves TLR signaling (16–20). Therefore, further study of the role of these mediators in sepsis development and response may aid the development of novel strategies to effectively control sepsis.

Quinolones (QNs) are synthetic, broad-spectrum antimicrobial agents that are clinically used against Gram-positive and Gram-negative bacteria (21). These antimicrobial agents have been demonstrated to modify immune and inflammatory responses in vivo and in vitro (21). In this regard, anti-infection treatment should not only consider the bacterial sensitivity and antibiotic potency; however additionally, the association between the in vivo efficacy and immunoregulatory effects of antibiotics. Moxifloxacin (MXF) is a fluoroquinolone that is effective against Gram-positive and Gram-negative bacteria (22). Its bidirectional effects on the activation and inhibition of the immune response were demonstrated by its effects on the production of a number of cytokines (including TNF-α and IL6) in human and murine leukocytes (23). Similar immunomodulatory effects of fluoroquinolones in inflammatory states and infection have additionally been demonstrated in various previous in vitro studies; for example, clinically relevant concentrations of MXF were demonstrated to inhibit the synthesis of inflammatory mediators, including IL-1, TNF-α, IL-6 and IL-8, in human peripheral blood mononuclear cells and endothelial cells following LPS stimulation (24).

However, whether MXF affects the LPS-stimulated macrophage inflammatory reaction and whether the regulatory pathway involves TLR4 and SPHK1 remains to be elucidated. In the present study, an in vitro sepsis inflammatory reaction model was initially established in LPS-stimulated mouse peritoneal macrophages. The effects of MXF on pro-inflammatory factor secretion and the underlying mechanisms were subsequently investigated. To assess the effect of MXF on the inflammatory response in LPS-stimulated macrophages, TLR4, SPHK1 and pro-inflammatory factor expression levels were determined by reverse transcription-quantitative polymerase chain reaction (RT-qPCR), western blotting and ELISAs. The present study demonstrated that the TLR4 and SPHK1 pathways mediated the inhibitory effect of MXF on pro-inflammatory factor expression.

Materials and methods

Isolation and purification of mouse peritoneal macrophages

The present study was approved by the Institutional Care and Use Committee, Experimental Animal Centre of Jinzhou Medical University (Jinzhou, China). A total of 200 male C57BL/6J mice (6–8 weeks old; 20–25 g weight) were obtained from our animal center and housed in standard Plexiglas cages under a controlled temperature (21–25°C) and 50% humidity with food and water available ad libitum under a 12 h light/dark cycle with lights on at 6:00 a.m. Food supply was restricted 3 days prior to the experiments to achieve a target weight of 85% their expected weight under conditions of unrestricted food access.

To isolate and purify mouse peritoneal macrophages, the mice were euthanized and 70% ethanol was subsequently sprayed onto the abdomen. The outer layer of the peritoneum was incised using scissors, and ice-cold RPMI-1640 (cat. no. SH30809.01; HyClone; Thermo Fisher Scientific, Inc., Logan, UT, USA) was subsequently injected into the peritoneal cavity using a 5 ml syringe. Subsequent to gently massaging the peritoneum to dislodge any attached cells into the RPMI-1640 medium, the fluid from the peritoneum was collected into a tube using a 5 ml syringe, kept on ice, and centrifuged at 250 × g at 4°C for 5 min. The supernatant was discarded prior to resuspension of cells in RPMI-1640 supplemented with 10% fetal bovine serum (FBS; cat. no. FSP500; ExCell Bio, Shanghai, China), 100 U/ml penicillin and 3.7 g/l NaHCO3, and counted using a hemocytometer. Cells were then added into 6-well tissue culture plates at a density of 1×106 cells/well and cultured for 2 h at 37°C to ensure their adherence to the substrate; non-adherent cells were removed by gently washing with warm PBS three times. In total, 90% pure macrophages were collected for the experiments following a previous study (25).

Macrophage treatment

Macrophages were seeded in 6-well plates at a density of 5×105 cells/well or 12-well plates at a density of 2×105 cells/well, cultured overnight and subsequently exposed to different conditions of external stimulations and cultured for 24 h at 37°C in a cell culture incubator with 95% air and 5% CO2: i) Control group (normal peritoneal macrophages without any treatment); ii) LPS group (normal peritoneal macrophages treated with 500 ng/ml LPS); iii) 8MXF/LPS group (normal peritoneal macrophages treated with 8 µg/ml MXF and 500 ng/ml LPS for 2 h); iv) 16MXF/LPS group (normal peritoneal macrophages treated with 16 µg/ml MXF and 500 ng/ml LPS for 2 h); v) 32MXF/LPS group (normal peritoneal macrophages treated with 32 µg/ml MXF and 500 ng/ml LPS for 2 h; and vi) 64MXF/LPS group (normal peritoneal macrophages treated with 64 µg/ml MXF and 500 ng/ml LPS for 2 h). Subsequently, total cellular RNA and protein were extracted from these treated macrophages for RT-qPCR and western blotting, or cells were fixed in 4% formaldehyde at the room temperature for 20 min prior to immunostaining.

Cell viability MTT assay

Macrophages were seeded in 96-well culture plates at a density of 5×103 cells/well and cultured at 37°C for 24 h, prior to the addition of various doses of MXF (0, 50, 100, 200, 400, 800 and 1,600 µg/ml) for 24 h. MTT solution was added to each well to reach a final concentration of 5 mg/ml. After a 2-h incubation at 37°C, the culture medium was replaced with 200 µl dimethyl sulfoxide to solubilize the formazan crystals produced by MTT. The absorbance was measured at 490 nm with a spectrophotometer and the percentage of viable cells was calculated. The experiment was set to five replicates and repeated at least three times. The growth inhibition was calculated by the equation: % cell viability=(ODc-ODt)/(ODc-ODblank) ×100; where ODt and ODc are the optical densities in treated cultures and control cultures, respectively.

RT-qPCR

Total RNA was isolated from the treated macrophages using an RNeasy Mini kit (BioTeke Corporation, Beijing, China) and reverse transcribed into cDNA with the M-MuLV Reverse Transcriptase kit (BioTeke Corporation) and incubated at 42°C for 50 min according to the manufacturer's protocols. qPCR was performed in an Exicycler™ 96 Detection system (Bioneer Corporation, Daejeon, Korea) with 10 µl reaction mixture, containing 5 µl SYBR green Master mix (Applied Biosystems; Thermo Fisher Scientific, Inc., Waltham, MA, USA), 0.5 µl (10 µM) of each forward and reverse primer, and 4 µl cDNA template with the FastStart SYBR Green Reagents kit (Sigma-Aldrich; Merck KGaA, Darmstadt, Germany) according to the manufacturer's protocol. The qPCR conditions were 95°C for 10 min and 40 cycles of 95°C for 10 sec, 60°C for 20 sec, 72°C for 30 sec and held at 4°C. The primers were synthesized by Invitrogen (Thermo Fisher Scientific, Inc.) and the sequences were as follows: SPHK1 forward, 5′-ACGAGCAGGTGACTAATGAAGA-3′ and reverse, 5′-GTGCCCACTGTGAAACGAA-3′; NF-κB forward, 5′-AGCATTAACCTCCTGGAGACG-3′ and reverse, 5′-TTGGGAGCACTGCTTTGGAT-3′; TLR4 forward, 5′-GTAGAGATGAATACCTCCTTAGTGT-3′ and reverse, 5′-TTTTACAGCGACCAATAAGTATCAG-3′; β-actin forward, 5′-CTGTGCCCATCTACGAGGGCTAT-3′ and reverse, 5′-TTTGATGTCACGCACGATTTCC-3′. The relative expression level of mRNA was analyzed using the 2−∆∆Cq method, where ΔΔCq=ΔCqtreated-ΔCqcontrol according to a previous study (26).

Protein extraction and western blotting

Treated peritoneal macrophages were washed with ice-cold PBS twice, lysed in ice-cold radioimmunoprecipitation assay buffer (50 mM Tris-HCl pH 7.4, 150 mM NaCl, 1% NP-40, 0.1% sodium dodecyl sulfate, 0.5% sodium deoxycholate, 2 mM ethylenediaminetetraacetic acid, 50 mM NaF, 10 µg/ml leupeptin, 2 mM Na3VO4, 15 µg/ml aprotinin and 1 mM phenylmethane sulfonyl fluoride) on ice for 30 min, homogenized using a vortex and centrifuged 13,000 × g at 4°C for 15 min. The supernatant was transferred into a fresh tube and kept on ice, and the protein concentration was determined with a Bradford assay (Bio-Rad Laboratories, Inc., Hercules, CA, USA). Equal amounts of protein samples (30 µg/lane) were loaded and separated by SDS-PAGE (10% gels), and electrically transferred onto polyvinylidene fluoride membranes at 30 V for 1 h. Following a rinse in tap water, the membranes were blocked in 5% (w/v) fat-free milk at room temperature for 1 h and incubated overnight with primary antibodies against TLR4 (19811-1-AP; Proteintech, Rosemont, IL, USA) at a dilution of 1:500, SPHK1 (10670-1-AP; Proteintech) at a dilution of 1:1,000 and β-actin (CAB340MI22; Cloud-Clone Corp, Atlanta, GA, USA) at a dilution of 1:500, NF-κB (10745-1-AP, Proteintech) at a dilution of 1:500, or PKA (55388-1-AP, Proteintech) at a dilution of 1:500, at 4°C overnight. The membranes were subsequently incubated with horseradish peroxidase (HRP)-conjugated goat anti-rabbit immunoglobulin G secondary antibodies (ZB-2305; OriGene Technologies, Inc., Beijing, China) at a dilution of 1:2,000 at room temperature for 90 min. Following three washes with Tris-based saline-0.1%Tween 20 (T8220; Beijing Solarbio Science & Technology Co., Ltd., Beijing, China), the blots were visualized with enhanced chemiluminescence (Thermo Fisher Scientific, Inc.) according to the manufacturer's protocol, and the images were captured using the Kodak Image Station 4000R scanner (Kodak, Rochester, NY, USA). The band intensity of the target proteins was quantified using ImageJ software version 1.5.0 (National Institutes of Health, Bethesda, MD, USA).

Immunofluorescence

Cultured macrophages were fixed in 4% paraformaldehyde at room temperature for 30 min and subsequently incubated with 1% Triton X-100 for 15 min followed by 1 h of blocking in 5% goat serum (Beyotime Biotechnology, Shanghai, China) at the room temperature. Subsequently, the macrophages from different treatment groups were incubated with specific primary antibodies, including mouse anti-TLR4 (1:100; 19811-1-AP; Proteintech), anti-SPHK1 (1:1,000; 10670-1-AP; Proteintech) and anti-NF-κB p65 (1:1,000; 10745-1-AP; Proteintech) at 4°C overnight. Subsequently, macrophages were incubated with Cy3-conjugated secondary anti-mouse antibody (1:2,000; SA00009-1; Proteintech) at them room temperature for 1 h and the macrophages were mounted onto glass slides with mounting medium containing DAPI. Images were captured at 400× magnifications using a Nikon epifluorescence microscope (Nikon Eclipse E800; Nikon Corporation, Tokyo, Japan). Analysis was performed for 30–50 cells from each sample using the Image Pro Plus 6.0 (Media Cybernetics, Inc., Rockville, MD, USA) and a total of 150–500 cells per treatment group were statistically analyzed.

ELISA

Macrophages were seeded into 24-well culture plates at a density of 1×105 cells/well and subsequently treated as detailed above. The supernatant was collected through centrifugation at 1,000 × g at 4°C for 10 min to assess the expression levels of IL-6 (at a dilution of 1:4, cat. no. SEA079Mu) and TNF-α (cat. no. SEA133Mu) using these ELISA kits according to the manufacturer's protocols (OriGene Technologies, Inc.).

Statistical analysis

The data were expressed as the mean ± standard error of three repeated experiments and analyzed using one-way analysis of variance followed by Tukey's post-hoc test. All statistical analyses were performed by using Graphpad Prism 5.0 (GraphPad Software, Inc., La Jolla, CA, USA). P<0.05 was considered to indicate a statistically significant difference.

Results

Assessment of MXF half maximal inhibitory concentration (IC50) in mouse macrophages

In the present study, a cell viability MTT assay was initially performed to determine cell viability (cytotoxicity) following macrophage treatment with different concentrations of MXF in the presence or absence of 500 ng/ml LPS for 24 h. Higher MXF doses decreased the cell viability and increased the cell inhibition rate (Table I). The IC50 of MXF was 294.8 µg/ml, whereas, IC50 of MXF plus LSP was 281.82 µg/ml (Tables I and II).

Table I.

Viability of mouse peritoneal macrophages following treatment with MXF for 24 h.

Table I.

Viability of mouse peritoneal macrophages following treatment with MXF for 24 h.

MXF, µ/mlMeanSDCell inhibition, %
00.5350.032–
500.4360.02518.44
1000.4200.01321.50
2000.3700.02330.89
4000.1810.01566.23
8000.1210.00577.45
1,6000.1080.01179.88

[i] Half maximal inhibitory concentration, 294.8 µg/ml. MXF, moxifloxacin.

Table II.

Viability of mouse peritoneal macrophages following treatment with LPS and MXF for 24 h.

Table II.

Viability of mouse peritoneal macrophages following treatment with LPS and MXF for 24 h.

TreatmentMeanSDCell inhibition, %
0 mg/ml0.5570.0320.00
0 mg/l MXF + 500 ng/ml LPS0.5490.0181.44
50 mg/l MXF + 500 ng/ml LPS0.4450.03020.14
100 mg/l MXF + 500 ng/ml LPS0.4210.01124.49
200 mg/l MXF + 500 ng/ml LPS0.3670.02534.17
400 mg/l MXF + 500 ng/ml LPS0.1820.01867.25
800 mg/l MXF + 500 ng/ml LPS0.1190.00478.55
1,600 mg/l MXF + 500 ng/ml LPS0.1140.01579.61

[i] Half maximal inhibitory concentration, 281.82 µg/ml. MXF, moxifloxacin; LPS, lipopolysaccharide.

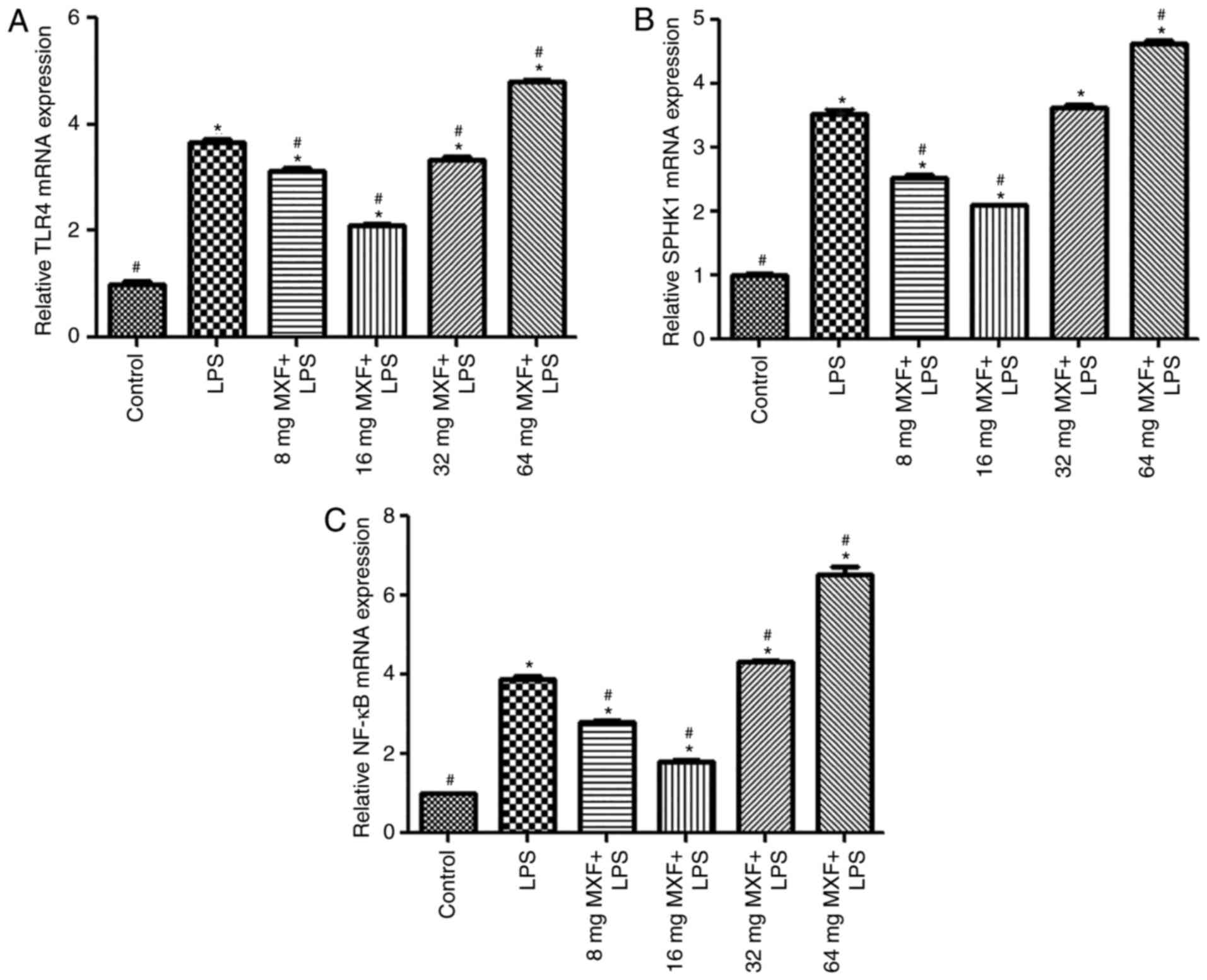
Bidirectional effects of MXF on the expression of TLR4, SPHK1 and NF-κB mRNA following treatment with LPS

To assess the effects of MXF on the inflammatory response of macrophages, LPS was used to induce the inflammatory response. It was observed that LPS significantly induced the expression of TLR4 (P<0.05; Fig. 1A), SPHK1 (P<0.05; Fig. 1B) and NF-κB (P<0.05; Fig. 1C) mRNA, compared with the control group. At doses of 8 and 16 µg/ml, MXF significantly decreased the expression levels of TLR4, SPHK1 and NF-κB mRNA compared with the LPS group (P<0.05), suggesting that MXF had an inhibitory effect on the inflammatory reaction at lower doses. In contrast, the higher MXF doses (32 and 64 µg/ml) increased the expression levels of TLR4 (32 µg/ml, P<0.05; 64 µg/ml, P<0.05), SPHK1 (64 µg/ml; P<0.05) and NF-κB (32 µg/ml, P<0.05; 64 µg/ml, P<0.05) mRNA compared with LPS treatment alone, suggesting that high doses of MXF promoted the inflammatory response, although 32 µg/ml MXF had no significant effect on SPHK1 mRNA expression (P>0.05).

Figure 1.

Effects of MXF on the mRNA expression of TLR4, SPHK1 and NF-κB in LPS-stimulated macrophages. Expression levels of (A) TLR4, (B) SPHK1 and (C) NF-κB mRNA were assessed by quantitative polymerase chain reaction assays. The data are expressed as mean ± standard error of the mean. *P<0.05 vs. the control group; #P<0.05 vs. the LPS group. MXF, moxifloxacin; TLR4, toll-like receptor 4; SPHK1, sphingosine kinase 1; NF-κB, nuclear factor-κB; LPS, lipopolysaccharide.

Bidirectional effects of MXF on the protein expression of TLR4, SPHK1 and NF-κB p65 following LPS treatment

Western blotting (Fig. 2) and immunofluorescence analysis (Fig. 3) was performed to detect alterations in TLR4 (Figs. 2A, 3A and D), SPHK1 (Figs. 2B, 3B and E) and NF-κB p65 (Figs. 2C, 3C and F) following treatment with LPS. Western blotting demonstrated that the protein expression levels of TLR4, SPHK1 and NF-κB p65 increased following treatment with LPS, compared with the control group (P<0.05). MXF treatment at 8 and 16 µg/ml downregulated the expression of TLR4 (P<0.05), SPHK1 (P<0.05) and NF-κB p65 (P<0.05), compared with the LPS alone group. These results suggested that low MXF doses prevented the effects of LPS on the expression of these proteins in intestinal macrophages. However, at doses of 32 µg/ml, MXF had no significant effect on SPHK1 (P>0.05) and NF-κB p65 (P>0.05) protein expression; however, increased TLR4 expression (P<0.05) compared with the LPS alone group. At 64 µg/ml, MXF increased NF-κB p65 (P<0.05) expression; however, had no effect on TLR4 (P>0.05) and SPHK1 (P>0.05) expression, compared with the LPS alone group. These results suggested that MXF promoted the inflammatory response at higher doses, whereas MXF suppressed the inflammatory response at lower doses.

Figure 2.

Effects of MXF on the protein expression of TLR4, SPHK1 and NF-κB in LPS-stimulated macrophages by western blotting. Expression levels of (A) TLR4, (B) SPHK1 and (C) NF-κB proteins were measured by western blot analysis. The data are expressed as the mean ± standard error of the mean. *P<0.05 vs. the control group; #P<0.05 vs. the LPS group. MXF, moxifloxacin; TLR4, toll-like receptor 4; SPHK1, sphingosine kinase 1; NF-κB, nuclear factor- κB; LPS, lipopolysaccharide.

Figure 3.

Effects of MXF on the protein expression of TLR4, SPHK1, and NF-κB in LPS-stimulated macrophages by immunofluorescence. Treated macrophages were assessed by immunofluorescence analysis of (A) TLR4, (B) SPHK1 and (C) NF-κB. (D) TLR4, (E) SPHK1 and (F) NF-κB immunofluorescence was quantitatively analyzed. Blue indicates DAPI staining and red indicates (A) TLR4, (B) SPHK1 and (C) NF-κB. The data are expressed as the mean ± standard error of the mean. *P<0.05 vs. the control group; #P<0.05 vs. the LPS group. MXF, moxifloxacin; TLR4, toll-like receptor 4; SPHK1, sphingosine kinase 1; NF-κB, nuclear factor- κB; LPS, lipopolysaccharide.

The immunofluorescence experiments demonstrated that the expression of TLR4, SPHK1 and NF-κB p65 was significantly increased by treatment with LPS compared with the control group (P<0.05; Fig. 3). Treatment with MXF at doses of 8 and 16 µg/ml decreased the expression of TLR4 (P<0.05), SPHK1 (P<0.05) and NF-κB p65 (P<0.05) compared with the LPS alone group. However, at doses of 32 and 64 µg/ml, MXF had no significant effects on the expression of TLR4 (P>0.05), SPHK1 (P>0.05) or NF-κB p65 (P>0.05). These results suggested that lower MXF doses inhibited the effects of LPS on the expression of these proteins in intestinal macrophages.

Effects of MXF on IL-6 and TNF-α production following LPS stimulation

After 24 h of treatment with LPS, the ELISA data demonstrated treatment with LPS resulted in a significant increase of IL-6 and TNF-α expression (P<0.05; Fig. 4) compared with the control group. At doses of 8 and 16 µg/ml, MXF decreased the expression of IL-6 (both P<0.05) and TNF-α (P<0.05 at 8 µg/ml and P<0.05 at 16 µg/ml), compared with the LPS alone group. MXF at 32 µg/ml did not affect the production of IL-6 and TNF-α (P>0.05), whereas, MXF at 64 µg/ml significantly increased the expression levels of IL-6 and TNF-α in macrophages, compared with the LPS alone group (P<0.05). These results supported the effects of MXF on the production of IL-6 and TNF-α by LPS-stimulated intestinal macrophages.

Figure 4.

Effects of MXF on IL-6 and TNF-α secretion in LPS-stimulated macrophages. Concentrations of (A) IL-6 and (B) TNF-α in the culture supernatant were measured by ELISAs. The data are expressed as the mean ± standard error of the mean. *P<0.05 vs. the control group; #P<0.05 vs. the LPS group. MXF, moxifloxacin; IL, interleukin; TNF-α, tumor necrosis factor α; LPS, lipopolysaccharide.

Effects of MXF on the expression of protein kinase A (PKA) in LPS-stimulated macrophages

As PKA may mediate the effect of MXF on the regulation of synthesis and secretion of these cytokines (27), PKA protein expression in LPS and MXF-treated macrophages was determined (Fig. 5). It was demonstrated that LPS induced PKA expression, whereas low MXF doses prevented the effects of LPS on PKA expression. Higher MXF doses did not exert inhibitory effects, suggesting that the effects of MXF on the synthesis and secretion of the investigated cytokines may be through PKA suppression in macrophages.

Figure 5.

Effects of MXF on the expression of PKA in LPS-stimulated macrophages. Macrophages were treated with 500 ng/ml LPS in combination with or without different doses of MXF for 2 h and subsequently subjected to protein extraction and western blotting. Bands were quantified by densitometry. *P<0.05 vs. the control group; #P<0.05 vs. the LPS group. PKA, protein kinase A; LPS, lipopolysaccharide; MXF, moxifloxacin.

Discussion

In the present study, it was demonstrated that treatment of macrophages with 16 µg/ml MXF had the most optimum inhibitory effect on LPS-stimulated expression of NF-κB, TLR4, SPHK1, IL-6 and TNF-α in mouse peritoneal macrophages. However, this inhibitory effect was attenuated at higher doses of MXF (32 µg/ml) and MXF at 64 µg/ml exerted opposing effects on the expression of these proteins in LPS-treated macrophages. These results suggested that low doses MXF had an inhibitory effect on the inflammatory response, whereas MXF at high doses promoted inflammation. These data were consistent with those reported in a previous study that demonstrated the bidirectional effects of MXF on inflammation (28).

Macrophages are responsible for the clearance of pathogens and additionally instruct other immune cells, and thus have a central role in protecting the host. However, they may additionally contribute to the pathogenesis of inflammatory and degenerative diseases (29). In the present study, mouse peritoneal macrophages were isolated and cultured to further investigate the inflammation-induced molecular mechanisms. The prototypical LPS was used as the endotoxin, due to its ability to bind to the CD14/TLR4/MD-2 receptor complex in macrophages and other cell types, to induce the secretion of pro-inflammatory cytokines, including NF-κB and transcription factor AP-1 (30,31). Activation of NF-κB stimulates a number of inflammation-associated transcription factors to subsequently induce the expression of various cytokines, including TNF-α and IL-1/6/8, in addition to adhesins, which may induce the inflammatory response (32,33). Dysregulation of inflammation causes upregulation of cytokines and adhesion expression, which is involved in numerous inflammatory disorders, including endotoxemia and sepsis (34,35). IL-6 and TNF-α are the two most notable pro-inflammatory cytokines secreted by macrophages, and hypersecretion of these cytokines induces widespread tissue damage in the body (36,37). In the present study, LPS was utilized as an agent to induce a pro-inflammatory state. It was demonstrated that the expression of TLR4 and NF-κB, and the secretion of IL-6 and TNF-α was significantly induced by treatment with LPS, which was consistent with the LPS-induced pro-inflammatory states demonstrated in previous studies (38,39).

Purswani et al (40) demonstrated that MXF was able to regulate the inflammatory reaction in alveolar macrophages and peripheral blood monocytes by decreasing TNF and IL-12 expression, in addition to increasing IL-10 expression. In a previous in vitro study, MXF was demonstrated to prevent the LPS-induced increase in TNF-α, IL-1 and IL-6 expression in THP-1 cells, cultured from human peripheral blood monocytes (41). The inhibitory effects of MXF on the synthesis and secretion of these cytokines may be associated intracellular signal transduction mechanisms, including the cyclic adenosine monophosphate (cAMP) and PKA pathways (1).

In the present study, MXF doses between 8 and 64 µg/ml were used, which mimicked human clinical doses; MXF is typically administered at 400 mg twice a day in adults, and the half-life of MXF is 11.5–15.6 h after a single oral dose in human volunteers (42–44). One hour after taking MXF, the peak plasma concentration is ~4.1 mg/l after 1 h, and can reach a plasma concentration of 13.5±0.42 mg/l following a single oral dose of 400 mg MXF in a volunteer subject (42–44). The present data demonstrated that the IC50 of MXF was 294.8 mg/l, and the maximum concentration of MXF used was 64 mg/l, which was far below the IC50 of 294.8 mg/l, although it was theoretically a very high dose compared with the clinical dosage. The inhibitory effect of QNs on the synthesis of TNF-α may be mediated via a decrease in cAMP degradation, induced by the inhibition of phosphodiesterase (45). There is a close association between the decreased synthesis of intracellular TNF-α and cAMP, since cAMP is additionally a key second messenger (45). MXF may manipulate the function of topoisomerase II and IV, which influence multiple transcription factors and enzymes to interfere with DNA replication, transcription, repair and recombination during cell proliferation and repair (46). Ceramide and sphingosine are phosphorylated by SPHK1 to produce S1P, which inhibits cell apoptosis and promotes cell proliferation through a number of mechanisms, whereas QNs inhibit cell proliferation via an opposite mechanism (47,48). Therefore, MXF may inhibit cell proliferation and NF-κB activity, potentially via inhibition of SPHK1 and topoisomerases. This is a potential mechanism for the observed effects of MXF on inflammation (27).

QNs may affect the transcription factors via direct regulation of cell-membrane receptor activities and various intracellular kinase pathways. However, there is little evidence to suggest that the drug directly binds to the corresponding receptors (including TLR4) or kinases. In the present study, it was demonstrated that low and higher (8 vs. 16 µg/ml) doses of MXF resulted in the same directional alterations in TLR4 and SHPHK1 expression and cytokine secretion in LPS-stimulated macrophages, which suggested that the QNs, receptors and kinases together influence or respond to the inflammation reaction, although the underlying mechanism of the pro-inflammatory effects of MXF at high doses (64 µg/ml) remain to be elucidated. It was hypothesized that this observed phenomenon may be due to the functional integrity impairment of the macrophages.

Moxifloxacin is a fourth-generation QN that has a strong antibacterial activity in Gram-positive and Gram-negative bacteria, and thus has wide clinical uses. In recent years, a number of studies have demonstrated the immunomodulatory effects of MXF (49–52). Anti-infection therapies should not only consider the sensitivity and potency of antibacterial agents; however, the association between antibacterial in vivo efficacy and immunoregulation additionally requires consideration. The application of antibacterial agents is not limited to the treatment of infections; however, may additionally be developed as treatment for diseases of the immune system. Therefore, future studies investigating the immunoregulatory effects of MXF may lead to future clinical applications and further clarification of the underlying mechanisms.

To the best of the authors' knowledge, the present study was the first to investigate the effects of MXF on TLR4 and SPHK1 expression in macrophages, and demonstrated a bidirectional influence of MXF, which may be an important mechanism of the effect of MXF on inflammation. The exact underlying mechanisms of the effect of MXF on TLR4 and SPHK1 expression require further investigation.

Acknowledgements

Not applicable.

Funding

The present study was partially supported by the Liaoning Province Natural Science Foundation of China (grant no. 2015020364).

Availability of data and materials

The datasets used and/or analyzed during the present study are available from the corresponding author on reasonable request.

Authors' contributions

ZQ and BC designed the study. ZQ, HY and NL collected and analyzed the data. ZQ, HY, NL, XY, XH and FS contributed samples collection and intellectual input. ZQ drafted and wrote the manuscript. ZQ and BC revised the manuscript critically for intellectual content. All authors gave intellectual input to the study and approved the final version of the manuscript.

Ethics approval and consent to participate

The animal study was approved by the Institutional Care and Use Committee, Experimental Animal Centre of Jinzhou Medical University (Jinzhou, China).

Patient consent for publication

Not applicable.

Competing interests

The authors declare that they have no competing interests.

References

1 

Underhill DM and Ozinsky A: Phagocytosis of microbes: Complexity in action. Annu Rev Immunol. 20:825–852. 2002. View Article : Google Scholar : PubMed/NCBI

2 

Huang X, Venet F, Wang YL, Lepape A, Yuan Z, Chen Y, Swan R, Kherouf H, Monneret G, Chung CS and Ayala A: PD-1 expression by macrophages plays a pathologic role in altering microbial clearance and the innate inflammatory response to sepsis. Proc Natl Acad Sci USA. 106:6303–6308. 2009. View Article : Google Scholar : PubMed/NCBI

3 

Munoz C, Carlet J, Fitting C, Misset B, Blériot JP and Cavaillon JM: Dysregulation of in vitro cytokine production by monocytes during sepsis. J Clin Invest. 88:1747–1754. 1991. View Article : Google Scholar : PubMed/NCBI

4 

Ayala A and Chaudry IH: Immune dysfunction in murine polymicrobial sepsis: Mediators, macrophages, lymphocytes and apoptosis. Shock. 6 Suppl 1:S27–S38. 1996. View Article : Google Scholar : PubMed/NCBI

5 

Wittebole X, Coyle SM, Kumar A, Goshima M, Lowry SF and Calvano SE: Expression of tumour necrosis factor receptor and Toll-like receptor 2 and 4 on peripheral blood leucocytes of human volunteers after endotoxin challenge: A comparison of flow cytometric light scatter and immunofluorescence gating. Clin Exp Immunol. 141:99–106. 2005. View Article : Google Scholar : PubMed/NCBI

6 

Kalis C, Kanzler B, Lembo A, Poltorak A, Galanos C and Freudenberg MA: Toll-like receptor 4 expression levels determine the degree of LPS-susceptibility in mice. Eur J Immunol. 33:798–805. 2003. View Article : Google Scholar : PubMed/NCBI

7 

Fitzgerald KA, Rowe DC and Golenbock DT: Endotoxin recognition and signal transduction by the TLR4/MD2-complex. Microbes Infect. 6:1361–1367. 2004. View Article : Google Scholar : PubMed/NCBI

8 

Medzhitov R, Preston-Hurlburt P and Janeway CA Jr: A human homologue of the drosophila toll protein signals activation of adaptive immunity. Nature. 388:394–397. 1997. View Article : Google Scholar : PubMed/NCBI

9 

Poltorak A, He X, Smirnova I, Liu MY, Van Huffel C, Du X, Birdwell D, Alejos E, Silva M, Galanos C, et al: Defective LPS signaling in C3H/HeJ and C57BL/10ScCr mice: Mutations in Tlr4 gene. Science. 282:2085–2088. 1998. View Article : Google Scholar : PubMed/NCBI

10 

Hoshino K, Takeuchi O, Kawai T, Sanjo H, Ogawa T, Takeda Y, Takeda K and Akira S: Cutting edge: Toll-like receptor 4 (TLR4)-deficient mice are hyporesponsive to lipopolysaccharide: Evidence for TLR4 as the Lps gene product. J Immunol. 162:3749–3752. 1999.PubMed/NCBI

11 

Xu H, Su Z, Wu J, Yang M, Penninger JM, Martin CM, Kvietys PR and Rui T: The alarmin cytokine, high mobility group box 1, is produced by viable cardiomyocytes and mediates the lipopolysaccharide-induced myocardial dysfunction via a TLR4/phosphatidylinositol 3-kinase gamma pathway. J Immunol. 184:1492–1498. 2010. View Article : Google Scholar : PubMed/NCBI

12 

Brubaker SW, Bonham KS, Zanoni I and Kagan JC: Innate immune pattern recognition: A cell biological perspective. Annu Rev Immunol. 33:257–290. 2015. View Article : Google Scholar : PubMed/NCBI

13 

Feng Y, Gao J, Cui Y, Li M, Li R, Cui C and Cui J: Neuroprotective effects of resatorvid against traumatic brain injury in rat: Involvement of neuronal autophagy and TLR4 signaling pathway. Cell Mol Neurobiol. 37:155–168. 2017. View Article : Google Scholar : PubMed/NCBI

14 

Spiegel S and Milstien S: The outs and the ins of sphingosine-1-phosphate in immunity. Nat Rev Immunol. 11:403–415. 2011. View Article : Google Scholar : PubMed/NCBI

15 

Vyas V, Ashby CR Jr, Olgun NS, Sundaram S, Salami O, Munnangi S, Pekson R, Mahajan P and Reznik SE: Inhibition of sphingosine kinase prevents lipopolysaccharide-induced preterm birth and suppresses proinflammatory responses in a murine model. Am J Pathol. 185:862–869. 2015. View Article : Google Scholar : PubMed/NCBI

16 

Matloubian M, Lo CG, Cinamon G, Lesneski MJ, Xu Y, Brinkmann V, Allende ML, Proia RL and Cyster JG: Lymphocyte egress from thymus and peripheral lymphoid organs is dependent on S1P receptor 1. Nature. 427:355–360. 2004. View Article : Google Scholar : PubMed/NCBI

17 

Tarrasón G, Aulí M, Mustafa S, Dolgachev V, Domènech MT, Prats N, Domínguez M, López R, Aguilar N, Calbet M, et al: The sphingosine-1-phosphate receptor-1 antagonist, W146, causes early and short-lasting peripheral blood lymphopenia in mice. Int Immunopharmacol. 11:1773–1779. 2011. View Article : Google Scholar : PubMed/NCBI

18 

Fukuhara S, Simmons S, Kawamura S, Inoue A, Orba Y, Tokudome T, Sunden Y, Arai Y, Moriwaki K, Ishida J, et al: The sphingosine-1-phosphate transporter Spns2 expressed on endothelial cells regulates lymphocyte trafficking in mice. J Clin Invest. 122:1416–1426. 2012. View Article : Google Scholar : PubMed/NCBI

19 

Camaré C, Trayssac M, Garmy-Susini B, Mucher E, Sabbadini R, Salvayre R and Negre-Salvayre A: Oxidized LDL-induced angiogenesis involves sphingosine 1-phosphate: Prevention by anti-S1P antibody. Br J Pharmacol. 172:106–118. 2015. View Article : Google Scholar : PubMed/NCBI

20 

Vettorazzi S, Bode C, Dejager L, Frappart L, Shelest E, Klaßen C, Tasdogan A, Reichardt HM, Libert C, Schneider M, et al: Glucocorticoids limit acute lung inflammation in concert with inflammatory stimuli by induction of SphK1. Nat Commun. 6:77962015. View Article : Google Scholar : PubMed/NCBI

21 

Haruki T, Miyazaki D, Matsuura K, Terasaka Y, Noguchi Y, Inoue Y and Yamagami S: Comparison of toxicities of moxifloxacin, cefuroxime, and levofloxacin to corneal endothelial cells in vitro. J Cataract Refract Surg. 40:1872–1878. 2014. View Article : Google Scholar : PubMed/NCBI

22 

Miravitlles M and Anzueto A: Moxifloxacin: A respiratory fluoroquinolone. Expert Opin Pharmacother. 9:1755–1772. 2008. View Article : Google Scholar : PubMed/NCBI

23 

Shukla P, Verma AK, Dwivedi P, Yadav A, Gupta PK, Rath SK and Mishra PR: Moxifloxacin-loaded nanoemulsions having tocopheryl succinate as the integral component improves pharmacokinetics and enhances survival in E. coli-induced complicated intra-abdominal infection. Mol Pharm. 11:4314–4326. 2014. View Article : Google Scholar : PubMed/NCBI

24 

Blau H, Klein K, Shalit I, Halperin D and Fabian I: Moxifloxacin but not ciprofloxacin or azithromycin selectively inhibits IL-8, IL-6, ERK1/2, JNK, and NF-kappaB activation in a cystic fibrosis epithelial cell line. Am J Physiol Lung Cell Mol Physiol. 292:L343–L352. 2007. View Article : Google Scholar : PubMed/NCBI

25 

Lan Q, Yin MZ and Li SP: Separation cultivation and identification of rat peritoneal macrophagee. J Wuhan Univ Technol. 31:40–42. 2009.

26 

Livak KJ and Schmittgen TD: Analysis of relative gene expression data using real-time quantitative PCR and the 2(-Delta Delta C(T)) method. Methods. 25:402–408. 2001. View Article : Google Scholar : PubMed/NCBI

27 

Weiss T, Shalit I, Blau H, Werber S, Halperin D, Levitov A and Fabian I: Anti-inflammatory effects of moxifloxacin on activated human monocytic cells: Inhibition of NF-kappaB and mitogen-activated protein kinase activation and of synthesis of proinflammatory cytokines. Antimicrob Agents Chemother. 48:1974–1982. 2004. View Article : Google Scholar : PubMed/NCBI

28 

Kim A, Lim KS, Lee H, Chung H, Yoon SH, Yu KS, Cho JY, Jang IJ and Chung JY: A thorough QT study to evaluate the QTc prolongation potential of two neuropsychiatric drugs, quetiapine and escitalopram, in healthy volunteers. Int Clin Psychopharmacol. 31:210–217. 2016. View Article : Google Scholar : PubMed/NCBI

29 

O'Neill LA, Kishton RJ and Rathmell J: A guide to immunometabolism for immunologists. Nat Rev Immunol. 16:553–565. 2016. View Article : Google Scholar : PubMed/NCBI

30 

Kopp F, Kupsch S and Schromm AB: Lipopolysaccharide-binding protein is bound and internalized by host cells and colocalizes with LPS in the cytoplasm: Implications for a role of LBP in intracellular LPS-signaling. Biochim Biophys Acta. 1863:660–672. 2016. View Article : Google Scholar : PubMed/NCBI

31 

Pahwa R, Devaraj S and Jialal I: The effect of the accessory proteins, soluble CD14 and lipopolysaccharide-binding protein on Toll-like receptor 4 activity in human monocytes and adipocytes. Int J Obes (Lond). 40:907–911. 2016. View Article : Google Scholar : PubMed/NCBI

32 

Cardenas H, Arango D, Nicholas C, Duarte S, Nuovo GJ, He W, Voss OH, Gonzalez-Mejia ME, Guttridge DC, Grotewold E and Doseff AI: Dietary apigenin exerts immune-regulatory activity in vivo by reducing NF-κB activity, halting leukocyte infiltration and restoring normal metabolic function. Int J Mol Sci. 17:3232016. View Article : Google Scholar : PubMed/NCBI

33 

Lee AS, Jung YJ, Thanh TN, Lee S, Kim W, Kang KP and Park SK: Paricalcitol attenuates lipopolysaccharide-induced myocardial inflammation by regulating the NF-κB signaling pathway. Int J Mol Med. 37:1023–1029. 2016. View Article : Google Scholar : PubMed/NCBI

34 

Frieri M, Kumar K and Boutin A: Review: Immunology of sinusitis, trauma, asthma, and sepsis. Allergy Rhinol (Providence). 6:205–214. 2015. View Article : Google Scholar : PubMed/NCBI

35 

Zhao H, Zheng Q, Hu X, Shen H and Li F: Betulin attenuates kidney injury in septic rats through inhibiting TLR4/NF-κB signaling pathway. Life Sci. 144:185–193. 2016. View Article : Google Scholar : PubMed/NCBI

36 

Kim YS, Hwang JW, Jang JH, Son S, Seo IB, Jeong JH, Kim EH, Moon SH, Jeon BT and Park PJ: Trapa japonica pericarp extract reduces LPS-induced inflammation in macrophages and acute lung injury in mice. Molecules. 21:3922016. View Article : Google Scholar : PubMed/NCBI

37 

Sugiyama K, Muroi M, Kinoshita M, Hamada O, Minai Y, Sugita-Konishi Y, Kamata Y and Tanamoto K: NF-κB activation via MyD88-dependent Toll-like receptor signaling is inhibited by trichothecene mycotoxin deoxynivalenol. J Toxicol Sci. 41:273–279. 2016. View Article : Google Scholar : PubMed/NCBI

38 

van der Mark VA, Ghiboub M, Marsman C, Zhao J, van Dijk R, Hiralall JK, Ho-Mok KS, Castricum Z, de Jonge WJ, Oude Elferink RP and Paulusma CC: Phospholipid flippases attenuate LPS-induced TLR4 signaling by mediating endocytic retrieval of Toll-like receptor 4. Cell Mol Life Sci. 74:715–730. 2017. View Article : Google Scholar : PubMed/NCBI

39 

Jurga AM, Rojewska E, Makuch W and Mika J: Lipopolysaccharide from Rhodobacter sphaeroides (TLR4 antagonist) attenuates hypersensitivity and modulates nociceptive factors. Pharm Biol. 56:275–286. 2018. View Article : Google Scholar : PubMed/NCBI

40 

Purswani MU, Eckert SJ, Arora HK and Noel GJ: Effect of ciprofloxacin on lethal and sublethal challenge with endotoxin and on early cytokine responses in a murine in vivo model. J Antimicrob Chemother. 50:51–58. 2002. View Article : Google Scholar : PubMed/NCBI

41 

Shalit I, Halperin D, Haite D, Levitov A, Romano J, Osherov N and Fabian I: Anti-inflammatory effects of moxifloxacin on IL-8, IL-1beta and TNF-alpha secretion and NFkappaB and MAP-kinase activation in human monocytes stimulated with Aspergillus fumigatus. J Antimicrob Chemother. 57:230–235. 2006. View Article : Google Scholar : PubMed/NCBI

42 

Zhang W, Su DH, Zhong HY and Jiang YS: Blood drug concentration and pharmacokinetic analysis of moxifloxacin hydrochloride tablets. Fujian Medical Journal. 3:68–71. 2013.

43 

Wise R, Andrews JM, Marshall G and Hartman G: Pharmacokinetics and inflammatory-fluid penetration of moxifloxacin following oral or intravenous administration. Antimicrob Agents Chemother. 43:1508–1510. 1999. View Article : Google Scholar : PubMed/NCBI

44 

Lubasch A, Keller I, Borner K, Koeppe P and Lode H: Comparative pharmacokinetics of ciprofloxacin, gatifloxacin, grepafloxacin, levofloxacin, trovafloxacin, and moxifloxacin after single oral administration in healthy volunteers. Antimicrob Agents Chemother. 44:2600–2603. 2000. View Article : Google Scholar : PubMed/NCBI

45 

Bailly S, Fay M, Roche Y and Gougerot-Pocidalo MA: Effects of quinolones on tumor necrosis factor production by human monocytes. Int J Immunopharmacol. 12:31–36. 1990. View Article : Google Scholar : PubMed/NCBI

46 

Houssaye S, Gutmann L and Varon E: Topoisomerase mutations associated with in vitro selection of resistance to moxifloxacin in Streptococcus pneumoniae. Antimicrob Agents Chemother. 46:2712–2715. 2002. View Article : Google Scholar : PubMed/NCBI

47 

Hait NC, Oskeritzian CA, Paugh SW, Milstien S and Spiegel S: Sphingosine kinases, sphingosine 1-phosphate, apoptosis and diseases. Biochim Biophys Acta. 1758:2016–2026. 2006. View Article : Google Scholar : PubMed/NCBI

48 

Xiong H, Wang J, Guan H, Wu J, Xu R, Wang M, Rong X, Huang K, Huang J, Liao Q, et al: SphK1 confers resistance to apoptosis in gastric cancer cells by downregulating Bim via stimulating Akt/FoxO3a signaling. Oncol Rep. 32:1369–1373. 2014. View Article : Google Scholar : PubMed/NCBI

49 

Huckle AW, Fairclough LC and Todd I: Prophylactic antibiotic use in COPD and the potential anti-inflammatory activities of antibiotics. Respir Care. 63:609–619. 2008. View Article : Google Scholar

50 

Beisswenger C, Honecker A, Kamyschnikow A, Bischoff M, Tschernig T and Bals R: Moxifloxacin modulates inflammation during murine pneumonia. Respir Res. 15:822014.PubMed/NCBI

51 

Chen TC and Chang SW: Moxifloxacin modulated TGF-β1-related interleukin-12 secretion in corneal fibroblasts. Invest Ophthalmol Vis Sci. 58:5692–5702. 2017. View Article : Google Scholar : PubMed/NCBI

52 

Uehara H, Das SK, Cho YK, Archer B and Ambati BK: Comparison of the anti-angiogenic and anti-inflammatory effects of two antibiotics: Clarithromycin versus moxifloxacin. Curr Eye Res. 41:474–484. 2016.PubMed/NCBI

Related Articles

  • Abstract
  • View
  • Download
  • Twitter
Copy and paste a formatted citation
Spandidos Publications style
Qiu Z, Yuan H, Li N, Yang X, Hu X, Su F and Chen B: Bidirectional effects of moxifloxacin on the pro‑inflammatory response in lipopolysaccharide‑stimulated mouse peritoneal macrophages. Mol Med Rep 18: 5399-5408, 2018.
APA
Qiu, Z., Yuan, H., Li, N., Yang, X., Hu, X., Su, F., & Chen, B. (2018). Bidirectional effects of moxifloxacin on the pro‑inflammatory response in lipopolysaccharide‑stimulated mouse peritoneal macrophages. Molecular Medicine Reports, 18, 5399-5408. https://doi.org/10.3892/mmr.2018.9569
MLA
Qiu, Z., Yuan, H., Li, N., Yang, X., Hu, X., Su, F., Chen, B."Bidirectional effects of moxifloxacin on the pro‑inflammatory response in lipopolysaccharide‑stimulated mouse peritoneal macrophages". Molecular Medicine Reports 18.6 (2018): 5399-5408.
Chicago
Qiu, Z., Yuan, H., Li, N., Yang, X., Hu, X., Su, F., Chen, B."Bidirectional effects of moxifloxacin on the pro‑inflammatory response in lipopolysaccharide‑stimulated mouse peritoneal macrophages". Molecular Medicine Reports 18, no. 6 (2018): 5399-5408. https://doi.org/10.3892/mmr.2018.9569
Copy and paste a formatted citation
x
Spandidos Publications style
Qiu Z, Yuan H, Li N, Yang X, Hu X, Su F and Chen B: Bidirectional effects of moxifloxacin on the pro‑inflammatory response in lipopolysaccharide‑stimulated mouse peritoneal macrophages. Mol Med Rep 18: 5399-5408, 2018.
APA
Qiu, Z., Yuan, H., Li, N., Yang, X., Hu, X., Su, F., & Chen, B. (2018). Bidirectional effects of moxifloxacin on the pro‑inflammatory response in lipopolysaccharide‑stimulated mouse peritoneal macrophages. Molecular Medicine Reports, 18, 5399-5408. https://doi.org/10.3892/mmr.2018.9569
MLA
Qiu, Z., Yuan, H., Li, N., Yang, X., Hu, X., Su, F., Chen, B."Bidirectional effects of moxifloxacin on the pro‑inflammatory response in lipopolysaccharide‑stimulated mouse peritoneal macrophages". Molecular Medicine Reports 18.6 (2018): 5399-5408.
Chicago
Qiu, Z., Yuan, H., Li, N., Yang, X., Hu, X., Su, F., Chen, B."Bidirectional effects of moxifloxacin on the pro‑inflammatory response in lipopolysaccharide‑stimulated mouse peritoneal macrophages". Molecular Medicine Reports 18, no. 6 (2018): 5399-5408. https://doi.org/10.3892/mmr.2018.9569
Follow us
  • Twitter
  • LinkedIn
  • Facebook
About
  • Spandidos Publications
  • Careers
  • Cookie Policy
  • Privacy Policy
How can we help?
  • Help
  • Live Chat
  • Contact
  • Email to our Support Team