Spandidos Publications Logo
  • About
    • About Spandidos
    • Aims and Scopes
    • Abstracting and Indexing
    • Editorial Policies
    • Reprints and Permissions
    • Job Opportunities
    • Terms and Conditions
    • Contact
  • Journals
    • All Journals
    • Oncology Letters
      • Oncology Letters
      • Information for Authors
      • Editorial Policies
      • Editorial Board
      • Aims and Scope
      • Abstracting and Indexing
      • Bibliographic Information
      • Archive
    • International Journal of Oncology
      • International Journal of Oncology
      • Information for Authors
      • Editorial Policies
      • Editorial Board
      • Aims and Scope
      • Abstracting and Indexing
      • Bibliographic Information
      • Archive
    • Molecular and Clinical Oncology
      • Molecular and Clinical Oncology
      • Information for Authors
      • Editorial Policies
      • Editorial Board
      • Aims and Scope
      • Abstracting and Indexing
      • Bibliographic Information
      • Archive
    • Experimental and Therapeutic Medicine
      • Experimental and Therapeutic Medicine
      • Information for Authors
      • Editorial Policies
      • Editorial Board
      • Aims and Scope
      • Abstracting and Indexing
      • Bibliographic Information
      • Archive
    • International Journal of Molecular Medicine
      • International Journal of Molecular Medicine
      • Information for Authors
      • Editorial Policies
      • Editorial Board
      • Aims and Scope
      • Abstracting and Indexing
      • Bibliographic Information
      • Archive
    • Biomedical Reports
      • Biomedical Reports
      • Information for Authors
      • Editorial Policies
      • Editorial Board
      • Aims and Scope
      • Abstracting and Indexing
      • Bibliographic Information
      • Archive
    • Oncology Reports
      • Oncology Reports
      • Information for Authors
      • Editorial Policies
      • Editorial Board
      • Aims and Scope
      • Abstracting and Indexing
      • Bibliographic Information
      • Archive
    • Molecular Medicine Reports
      • Molecular Medicine Reports
      • Information for Authors
      • Editorial Policies
      • Editorial Board
      • Aims and Scope
      • Abstracting and Indexing
      • Bibliographic Information
      • Archive
    • World Academy of Sciences Journal
      • World Academy of Sciences Journal
      • Information for Authors
      • Editorial Policies
      • Editorial Board
      • Aims and Scope
      • Abstracting and Indexing
      • Bibliographic Information
      • Archive
    • International Journal of Functional Nutrition
      • International Journal of Functional Nutrition
      • Information for Authors
      • Editorial Policies
      • Editorial Board
      • Aims and Scope
      • Abstracting and Indexing
      • Bibliographic Information
      • Archive
    • International Journal of Epigenetics
      • International Journal of Epigenetics
      • Information for Authors
      • Editorial Policies
      • Editorial Board
      • Aims and Scope
      • Abstracting and Indexing
      • Bibliographic Information
      • Archive
    • Medicine International
      • Medicine International
      • Information for Authors
      • Editorial Policies
      • Editorial Board
      • Aims and Scope
      • Abstracting and Indexing
      • Bibliographic Information
      • Archive
  • Articles
  • Information
    • Information for Authors
    • Information for Reviewers
    • Information for Librarians
    • Information for Advertisers
    • Conferences
  • Language Editing
Spandidos Publications Logo
  • About
    • About Spandidos
    • Aims and Scopes
    • Abstracting and Indexing
    • Editorial Policies
    • Reprints and Permissions
    • Job Opportunities
    • Terms and Conditions
    • Contact
  • Journals
    • All Journals
    • Biomedical Reports
      • Information for Authors
      • Editorial Policies
      • Editorial Board
      • Aims and Scope
      • Abstracting and Indexing
      • Bibliographic Information
      • Archive
    • Experimental and Therapeutic Medicine
      • Information for Authors
      • Editorial Policies
      • Editorial Board
      • Aims and Scope
      • Abstracting and Indexing
      • Bibliographic Information
      • Archive
    • International Journal of Epigenetics
      • Information for Authors
      • Editorial Policies
      • Editorial Board
      • Aims and Scope
      • Abstracting and Indexing
      • Bibliographic Information
      • Archive
    • International Journal of Functional Nutrition
      • Information for Authors
      • Editorial Policies
      • Editorial Board
      • Aims and Scope
      • Abstracting and Indexing
      • Bibliographic Information
      • Archive
    • International Journal of Molecular Medicine
      • Information for Authors
      • Editorial Policies
      • Editorial Board
      • Aims and Scope
      • Abstracting and Indexing
      • Bibliographic Information
      • Archive
    • International Journal of Oncology
      • Information for Authors
      • Editorial Policies
      • Editorial Board
      • Aims and Scope
      • Abstracting and Indexing
      • Bibliographic Information
      • Archive
    • Medicine International
      • Information for Authors
      • Editorial Policies
      • Editorial Board
      • Aims and Scope
      • Abstracting and Indexing
      • Bibliographic Information
      • Archive
    • Molecular and Clinical Oncology
      • Information for Authors
      • Editorial Policies
      • Editorial Board
      • Aims and Scope
      • Abstracting and Indexing
      • Bibliographic Information
      • Archive
    • Molecular Medicine Reports
      • Information for Authors
      • Editorial Policies
      • Editorial Board
      • Aims and Scope
      • Abstracting and Indexing
      • Bibliographic Information
      • Archive
    • Oncology Letters
      • Information for Authors
      • Editorial Policies
      • Editorial Board
      • Aims and Scope
      • Abstracting and Indexing
      • Bibliographic Information
      • Archive
    • Oncology Reports
      • Information for Authors
      • Editorial Policies
      • Editorial Board
      • Aims and Scope
      • Abstracting and Indexing
      • Bibliographic Information
      • Archive
    • World Academy of Sciences Journal
      • Information for Authors
      • Editorial Policies
      • Editorial Board
      • Aims and Scope
      • Abstracting and Indexing
      • Bibliographic Information
      • Archive
  • Articles
  • Information
    • For Authors
    • For Reviewers
    • For Librarians
    • For Advertisers
    • Conferences
  • Language Editing
Login Register Submit
  • This site uses cookies
  • You can change your cookie settings at any time by following the instructions in our Cookie Policy. To find out more, you may read our Privacy Policy.

    I agree
Search articles by DOI, keyword, author or affiliation
Search
Advanced Search
presentation
Oncology Letters
Join Editorial Board Propose a Special Issue
Print ISSN: 1792-1074 Online ISSN: 1792-1082
Journal Cover
May-2025 Volume 29 Issue 5

Full Size Image

Sign up for eToc alerts
Recommend to Library

Journals

International Journal of Molecular Medicine

International Journal of Molecular Medicine

International Journal of Molecular Medicine is an international journal devoted to molecular mechanisms of human disease.

International Journal of Oncology

International Journal of Oncology

International Journal of Oncology is an international journal devoted to oncology research and cancer treatment.

Molecular Medicine Reports

Molecular Medicine Reports

Covers molecular medicine topics such as pharmacology, pathology, genetics, neuroscience, infectious diseases, molecular cardiology, and molecular surgery.

Oncology Reports

Oncology Reports

Oncology Reports is an international journal devoted to fundamental and applied research in Oncology.

Experimental and Therapeutic Medicine

Experimental and Therapeutic Medicine

Experimental and Therapeutic Medicine is an international journal devoted to laboratory and clinical medicine.

Oncology Letters

Oncology Letters

Oncology Letters is an international journal devoted to Experimental and Clinical Oncology.

Biomedical Reports

Biomedical Reports

Explores a wide range of biological and medical fields, including pharmacology, genetics, microbiology, neuroscience, and molecular cardiology.

Molecular and Clinical Oncology

Molecular and Clinical Oncology

International journal addressing all aspects of oncology research, from tumorigenesis and oncogenes to chemotherapy and metastasis.

World Academy of Sciences Journal

World Academy of Sciences Journal

Multidisciplinary open-access journal spanning biochemistry, genetics, neuroscience, environmental health, and synthetic biology.

International Journal of Functional Nutrition

International Journal of Functional Nutrition

Open-access journal combining biochemistry, pharmacology, immunology, and genetics to advance health through functional nutrition.

International Journal of Epigenetics

International Journal of Epigenetics

Publishes open-access research on using epigenetics to advance understanding and treatment of human disease.

Medicine International

Medicine International

An International Open Access Journal Devoted to General Medicine.

Journal Cover
May-2025 Volume 29 Issue 5

Full Size Image

Sign up for eToc alerts
Recommend to Library

  • Article
  • Citations
    • Cite This Article
    • Download Citation
    • Create Citation Alert
    • Remove Citation Alert
    • Cited By
  • Similar Articles
    • Related Articles (in Spandidos Publications)
    • Similar Articles (Google Scholar)
    • Similar Articles (PubMed)
  • Download PDF
  • Download XML
  • View XML
Article Open Access

Expanding paclitaxel's therapeutic window: Investigating the pharmacokinetic, clinical formulation and mechanistic aspects of paclitaxel‑lipoate conjugate

  • Authors:
    • Saleh Abu‑Lafi
    • Mizied Falah
    • Mouhammad Zeidan
    • Mahmoud Rayan
    • Anwar Rayan
  • View Affiliations / Copyright

    Affiliations: Faculty of Pharmacy, Al‑Quds University, Abu‑Deis 144, Palestine, Research Center, Holy Family Hospital, Nazareth 1600000, Israel, Molecular Genetics and Virology Laboratory, Qasemi Research Center, Faculty of Science, Al‑Qasemi Academic College, Baka El‑Garbiah 3010000, Israel, Geriatric Department, Holy Family Hospital, Nazareth 16000, Israel, Department of Science and Technology, Faculty of Science, Al‑Qasemi Academic College, Baka El‑Garbiah 3010000, Israel
    Copyright: © Abu‑Lafi et al. This is an open access article distributed under the terms of Creative Commons Attribution License.
  • Article Number: 216
    |
    Published online on: March 5, 2025
       https://doi.org/10.3892/ol.2025.14962
  • Expand metrics +
Metrics: Total Views: 0 (Spandidos Publications: | PMC Statistics: )
Metrics: Total PDF Downloads: 0 (Spandidos Publications: | PMC Statistics: )
Cited By (CrossRef): 0 citations Loading Articles...

This article is mentioned in:



Abstract

Paclitaxel (PTX) is among the most widely used antimicrotubular chemotherapy agents available from natural sources. It has a wide range of antitumor effectiveness, particularly against breast, ovarian and lung malignancies. IDD‑1040 is a novel anticancer chemical conjugate that combines lipoic acid with PTX and demonstrates an anticancer efficiency superior to that of PTX alone. The aim of the present study was to investigate the analytical, formulation and pharmacokinetic aspects of IDD‑1040, shedding light on its pharmacological behavior and the possible mechanisms underlying its enhanced anticancer activity. IDD‑1040 was administered to mice as an intravenous bolus, and the pharmacokinetic parameters were determined over the following 7 days. The results revealed a total clearance of 1.689 l/h.kg, volume of distribution of 1.93 l/kg, average half‑life of 1.14 h and terminal half‑life of 8.64 h. Notably, the area under the curve of IDD‑1040 was >14‑fold higher than that of PTX, suggesting slower metabolism and that prodrug itself may have antitumor activity. An in vitro tubulin polymerization assay revealed distinct tubulin‑binding characteristics for IDD‑1040 compared with PTX. Due to the poor water solubility of IDD‑1040, a formulation development experiment was conducted. In total, 31 formulations were prepared that became transparent when diluted with water. In addition, some formulations achieved a relatively high drug content (12 mg/g) without the use of surfactants. Moreover, they included fewer excipients compared with the formulations diluted with water, suggesting a promising approach for drug formulation. In summary, IDD‑1040 exhibited extended circulation, efficient tissue distribution and reduced metabolite formation in vitro, warranting further exploration of its mechanisms of action and therapeutic potential. Future studies are recommended to assess the stability, pharmacokinetics and pharmacodynamics of these refined IDD‑1040 formulations to gauge their suitability for clinical application.

Introduction

Given that cancer is the second most prevalent cause of death worldwide after cardiovascular disease, the investigation and development of new and safe anticancer medications remains a top priority (1,2). For example, the National Center for Health Statistics predicted that in the United States in 2024 there would be ~2,001,140 new cases of cancer and ~611,720 cancer-related deaths (3).

The chemotherapeutic drug paclitaxel (PTX, brand name Taxol®) is a secondary metabolite that has been used for years to treat a variety of cancers (4–6). It is a diterpenoid pseudo-alkaloid, consisting of a taxane ring and an N-benzoylphenylisoserine group, that was first isolated from the bark of the Pacific yew tree (Taxus brevifolia) in 1963 (7). It belongs to the taxane family of medications and is known to prevent cancer cells from growing and dividing abnormally. PTX is used to treat a variety of malignancies, including breast (8–10), ovarian (11,12) and lung cancers (13). PTX has a mechanism of action (MoA) distinct from those of typical anticancer medications, which usually target DNA and RNA. Instead of attacking these genetic materials, PTX intervenes during the mitotic phase of cell division. It promotes the polymerization of tubulin and facilitates the assembly of microtubules, thereby stabilizing them. This can render the microtubules dysfunctional, leading to the cessation of cell growth (14,15).

While PTX has been shown to have clear benefits for the treatment of cancer, it also has several undesirable side effects, including hair loss, peripheral neuropathy, nausea and vomiting (16,17). Over time, cancer cells may become resistant to PTX, which compromises its effectiveness (18–21). Researchers are actively looking for strategies to address this issue by combining PTX with other drugs (22–24). In addition, there are two main strategies for increasing the effectiveness of PTX and overcoming its side effects. One is to synthesize analogs with more potent anticancer action. The other is to overcome the limitations of PTX by creating a prodrug. A variety of prodrugs can be produced by attaching small or large molecules to PTX.

In the present study, a small molecule prodrug, PTX-lipoate (IDD-1040), obtained by condensing a lipoic acid moiety with the PTX hydroxyl group at C2′ position to form an esterified PTX prodrug, was investigated (Fig. 1). Lipoate, also known as a-lipoic acid, possesses antioxidant properties (25). Our previous study on IDD-1040 showed that it exhibits superior inhibition of tumor growth and more powerful antitumor effects compared with PTX alone. Its effectiveness for slowing tumor growth is evident long after treatment has stopped, and its administration is associated with a low level of toxicity and a decreased mortality rate in mice (25). Collectively, these results clearly indicate the potential of IDD-1040 as a cancer treatment candidate and support its advancement to clinical testing. However, to use IDD-4010 most effectively in patients and support its development as a medication, it is crucial to have a complete understanding of its pharmacokinetic features. Pharmacokinetic studies have become the cornerstone of a strong drug development program. In the present case, they are necessary to increase the likelihood of this drug being approved for clinical use. Due to its structure (Fig. 1) and physicochemical properties, IDD-1040, like PTX, has very low water solubility (25). Both compounds are lipophilic and neutral, lacking any basic or acidic ionizability, which means that pH manipulation is not able to increase their solubility. Given that the poor aqueous solubility of PTX has presented an obstacle to its clinical application, the development a delivery system for IDD-1040 may also be expected to present considerable challenges.

Figure 1.

Chemical structures of paclitaxel, lipoate and the paclitaxel-lipoate conjugate IDD-1040.

The aim of the current study was to investigate the pharmacokinetic characteristics of the PTX-lipoate prodrug. It is hypothesized that conjugation with lipoic acid would increase the therapeutic effectiveness of PTX while reducing its side effects, thereby expanding the range of therapy options for patients.

Materials and methods

Chemicals and reagents

The synthesis of IDD-1040 was performed as detailed in our previous study (25). Following synthesis, IDD-1040 (100 µg) was stored under a nitrogen atmosphere at −18°C until subjected to analysis. Liquid chromatography-mass spectrometry (LC/MS)-grade acetonitrile (J.T. Baker; Thermo Fisher Scientific, Inc.) and LC/MS-grade methanol and water (Bio-Lab Ltd.) were utilized for the analytical experiments. The high-performance liquid chromatography (HPLC) cartridge employed was LiChroCART® 250-4 LiChrospher® 100 RP-18 (5 µm), while a LiChroCART® 4-4 LiChrospher® 100 RP-18 (5 µm) guard column was used to safeguard the integrity of the analytical column (both from Merck KGaA).

Instrumentation

High Performance Liquid Chromatography (HPLC) system (Thermo Fisher Scientific, Inc.) included an Accela pump with a degasser module, an Accela autosampler and an Accela photodiode-array (PDA) detector. To record the mass spectrum, the HPLC system was connected to a TSQ Quantum Access Max triple-stage quadrupole mass spectrometer (Thermo Fisher Scientific, Inc.) via a heated electrospray ionization (H-ESI) interface. Data acquisition and processing were performed using Xcalibur™ software version 4.3 (Thermo Fisher Scientific, Inc.).

Chromatographic conditions

Optimal chromatographic separation was achieved via the use of an isocratic mobile phase consisting of a binary solvent mixture of methanol:water, 82:18, v/v, at a constant flow rate of 1.0 ml/min, with a total run time of 7 min. The chromatographic oven temperature was maintained at 40°C, while the autosampler tray temperature was carefully controlled at 5°C. Samples with a volume of 5 µl were introduced into the column via a partial loop injection system, and the injection needle was thoroughly cleansed with 1 ml methanol:water, 80:20, v/v, between successive injections to prevent cross-contamination. The initial investigation of the optimal UV detection wavelength was conducted using the PDA detector within a spectral range of 200–300 nm. Final quantification was carried out at a fixed wavelength of 225 nm.

Mass spectrometric conditions

The mass spectrometer was configured to operate in positive ionization mode. The key operational parameters included an ionization spray voltage of 3.0 kV, a skimmer offset of 0 V and a capillary transfer tube temperature of 350°C. The nitrogen sheath gas and auxiliary gas flow rates were set at 35 and 30 l/min, respectively. The vaporizing temperature in the H-ESI source was maintained at a consistent 250°C, and a rapid scan time of 0.1 sec was employed.

Preparation of the standard and stock solutions

Stock solution A (1.0 mg/ml) was prepared by dissolving 10.0 mg IDD-1040 in acetonitrile in a 10.0-ml volumetric flask. Following this, stock solution B (0.1 mg/ml), was generated by diluting 1.0 ml stock solution A with acetonitrile in a 10.0-ml volumetric flask. These stock solutions were stored in a freezer at −20°C. To construct the linear calibration curve, eight standards were created, at concentrations of 10, 20, 50, 100, 200, 500, 750 and 1,000 µg/ml. To ensure accuracy, the calibration samples were meticulously prepared in duplicate and analyzed in duplicate as well.

MoA assessment
In vitro tubulin polymerization assay

To elucidate the MoA of IDD-1040, an in vitro tubulin polymerization assay was conducted. This MoA was investigated because IDD-1040 is a prodrug of PTX, which binds tubulin and stabilizes microtubules during cell division. The Tubulin Polymerization Assay Kit (cat. no. BK006P; Cytoskeleton, Inc.) was used. This assay is based on the original methodologies developed by Shelanski et al (26) and Lee and Timasheff (27), which demonstrated that the amount of light scattering by microtubules is directly proportional to the concentration of microtubule polymer.

Preparation of the cold tubulin polymerization buffer

To initiate the experiment, cold tubulin polymerization buffer was prepared as follows. A 750-µl volume of general tubulin buffer was combined with a 250-µl volume of tubulin glycerol buffer, and 10 µl GTP stock solution (100 mM) was added to the mixture. The general tubulin buffer was warmed to room temperature to facilitate tubulin ligand dilution in the next step.

Tubulin dilution

Tubulin (100 µl) was rapidly thawed and diluted with 210 µl tubulin polymerization buffer to achieve a final concentration of 3 mg/ml.

Sample preparation

The following samples were prepared: General tubulin buffer (negative control); PTX at a final concentration of 100 µM (positive control), as specified in the kit; IDD-1040 at a final concentration of 100 µM; and IDD-1040 at a final concentration of 500 µM. Then, 30 µl of each sample was added to 270 µl diluted tubulin.

Spectrophotometric analysis

The spectrophotometric analysis was conducted with an Evolution 300 spectrophotometer (Thermo Fisher Scientific, Inc.) equipped with a controlled heating system. Cuvettes with a volume of 750 µl were used. The samples were incubated at 37°C, and absorbance readings were taken at 340 nm for a total duration of 10 min, for 60 cycles of 10 sec each.

In vivo pharmacokinetic study

The in vivo experiment was performed by Pharmaseed Ltd., a good laboratory practice (GLP)-certified laboratory, following the guidelines of the Organisation for Economic Co-operation and Development Principles of GLP [C(97)186/final]. Animal handling was performed in accordance with the guidelines of the National Institutes of Health and the Association for Assessment and Accreditation of Laboratory Animal Care. The study was performed after approval by the Israel Board for Animal Experiments (approval no. GB06/68708), in compliance with the Israel Animal Welfare Act. The formulation used for in vivo studies consisted of 6 mg/ml of the active compound in solution containing 527 mg Cremophor EL (polyethoxylated castor oil surfactant) and 49.7% (v/v) dehydrated alcohol. Before administration, the solution was diluted to 0.3–1.2 mg/ml.

In the study, 39 CD-1 nude mice were divided into 13 groups (n=3/group), with each group representing a different time point. Mice were anesthetized with inhalational isoflurane, with induction using 3–4% isoflurane in oxygen and maintenance using 1–2% isoflurane in oxygen prior to dosing. Then, an intravenous bolus of 50 mg/kg IDD-1040 (5 mg/ml solution, 10 ml/kg dose volume) was administered via the tail vein. Blood samples were collected at time points of 0 h (pre-dose), 5 min, and 1, 3, 6, 8, 10, 12, 24, 48, 72, 120 and 168 h post-dose from the tail vein. A sparse sampling schedule was used in which 3 mice were tested at each time point and two samples were collected from each mouse. The mice were anesthetized by isoflurane inhalation prior to blood withdrawal. The blood samples were transferred to a heparinized tube and centrifuged at 7,500 × g at 4°C for 10 min. The resulting plasma was separated and kept frozen at −80°C prior to analysis. The plasma samples were analyzed for detection of the prodrug IDD-1040 and its PTX hydrolysis product. Pharmacokinetic parameters (Tables I and II) were computed from the data using PK Solutions-2 software, version 2 (Summit Research Services). The clearance (Cl) and volume of distribution (Vd) for IDD-1040 were calculated as follows: Cl=dose/area under the concentration-time curve) and Vd=Cl/ke (elimination rate constant).

Table I.

Pharmacokinetic parameters for IDD-1040.

Table I.

Pharmacokinetic parameters for IDD-1040.

Statistical measureC initial, ng/mlT1/2 A phase, hAUC, ng.h/mlT1/2 E phase, hT1/2 according to Vd and Cl, h
Mean25,8800.48429,5898.648.63
SEM2,4920.1112,2560.740.73

[i] C initial, initial concentration; T1/2, half-life; A, absorption phase; AUC, area under the curve; E phase, elimination phase; Vd, volume of distribution; Cl, clearance; SEM, standard error of the mean.

Table II.

Pharmacokinetic parameters for paclitaxel.

Table II.

Pharmacokinetic parameters for paclitaxel.

Statistical measureCmax at 3 h, ng/mlT1/2 A phase, hAUC, ng.h/mlT1/2 E phase, hT1/2 according to Vd and Cl
Average1400.57200116.6916.70
SEM3.40.151022.292.28

[i] Cmax, maximum concentration; T1/2, half-life; A phase, absorption phase; AUC, area under the curve; E phase, elimination phase; Vd, volume of distribution; Cl, clearance.

Development of IDD-1040 formulations: A formulation development experiment was conducted to address the poor aqueous solubility of IDD-1040. Initially, the solubility of IDD-1040 was assessed in various excipients suitable for parenteral administration, including dimethylacetamide (DMA), propylene glycol (PG), polyethylene glycol 400 (PEG 400), and ethanol. Subsequently, different formulations were prepared using these excipients, along with cosolvents, surfactants, and cyclodextrin. The excipients and their precise quantities for each formulation type are detailed in Tables III and IV.

Table III.

Composition of clear aqueous formulations organized by IDD-1040 concentration.

Table III.

Composition of clear aqueous formulations organized by IDD-1040 concentration.

A, 1 mg/g IDD-1040

Formulation no.

ComponentsF56F57F58F60F62F63F65F67F68F70F72
DMA, % w/w--111222444
PG, % w/w4050293949283848263646
HPCD, % w/w2722.531.52722.531.52722.531.52722.5

B, 1.8–3.2 mg/g IDD-1040

Formulation no.

ComponentsF44F90F91F92F93F94F40F17F36

IDD-1040, mg/kg1.8222222.83.23.2
DMA, % w/w444-4-477
Tween 80, % w/w-------10-
PG, % w/w504030202020504050
HPCD, % w/w20.725.225.22725.22720-19.4
Ethanol, % w/w--1020-----
PEG 400, % w/w----2020---

C, 4–10 mg/g IDD-1040

Formulation no.

ComponentsF16F30F12F18F27F49F45F46F48F87F88

IDD-1040, mg/kg44.555555.7771010
DMA, % w/w71077751010101010
Tween 80, % w/w101010-10101010101010
Cremophor EL, % w/w---10-------
PG, % w/w4040404050404040303015
HPCD, % w/w-16---20.3181822.522.522.5
Ethanol, % w/w---------1015

[i] DMA, dimethylacetamide; PG, propylene glycol; PEG, polyethylene glycol; HPCD, hydroxypropyl-b-cyclodextrin; % w/w, percentage by weight.

Table IV.

Homogeneous formulations of IDD-1040.

Table IV.

Homogeneous formulations of IDD-1040.

IDD-1040, mg/g

Variable56.58910.512
Formulation no.F32F80F81F82F83F95F96
DMA 100 mg/g50505075759085
PG 10 mg/g-150100150100100150
Ethanol 20 mg/g--100-100100100
PEG 400150------
Lipofundin800800750775725710665

[i] DMA, dimethylacetamide; PG, propylene glycol; PEG 400, polyethylene glycol 400.

Statistical analysis

One-way ANOVA followed by Tukey's HSD post-hoc test was employed to analyze the results of in vivo pharmacokinetic study using SPSS version 29 (IBM Corp.). P<0.05 was considered to indicate a statistically significant difference.

Results and Discussion

Purity of IDD-1040

The purity of IDD-1040 used in the present study was assessed using HPLC and LC-MS analyses. A single symmetric eluting peak is evident in the chromatogram, with a retention time of 5.39 min (Fig. 2). The R2 value of 0.9901 indicates excellent linearity, confirming the method's reliability for quantifying IDD-1040 within the tested concentration range. ESI-MS analysis revealed the presence of the sodiated stable adduct ion [M+Na]+ as the prominent peak, at an m/z value of 1,064 Da. Additionally, another, weaker peak, corresponding to the protonated IDD-1040 conjugate [M+H]+, is present, with a m/z value of 1,042 Da (Fig. 3).

Figure 2.

HPLC analysis of the synthesized IDD-1040. (A) Typical HPLC chromatogram at 225 nm for assessing the purity of IDD-1040. (B) Calibration plot showing the correlation of the area of the peak for IDD-1040 to the calculated concentration. The R2 value is >0.9901. HPLC, high-performance liquid chromatography; RT, retention time; SM, smoothing; NL, noise level; µAU, micro absorbance units.

Figure 3.

Electrospray ionization mass spectrum (ESI-MS) of IDD-1040. RT, retention time; AV, average; NL, noise level; + c ESI Q1 MS, positive-mode electrospray ionization quadrupole 1 mass spectrometry.

Pharmacokinetic analysis of IDD-1040 and PTX concentrations in mice following the intravenous administration of IDDD-1040

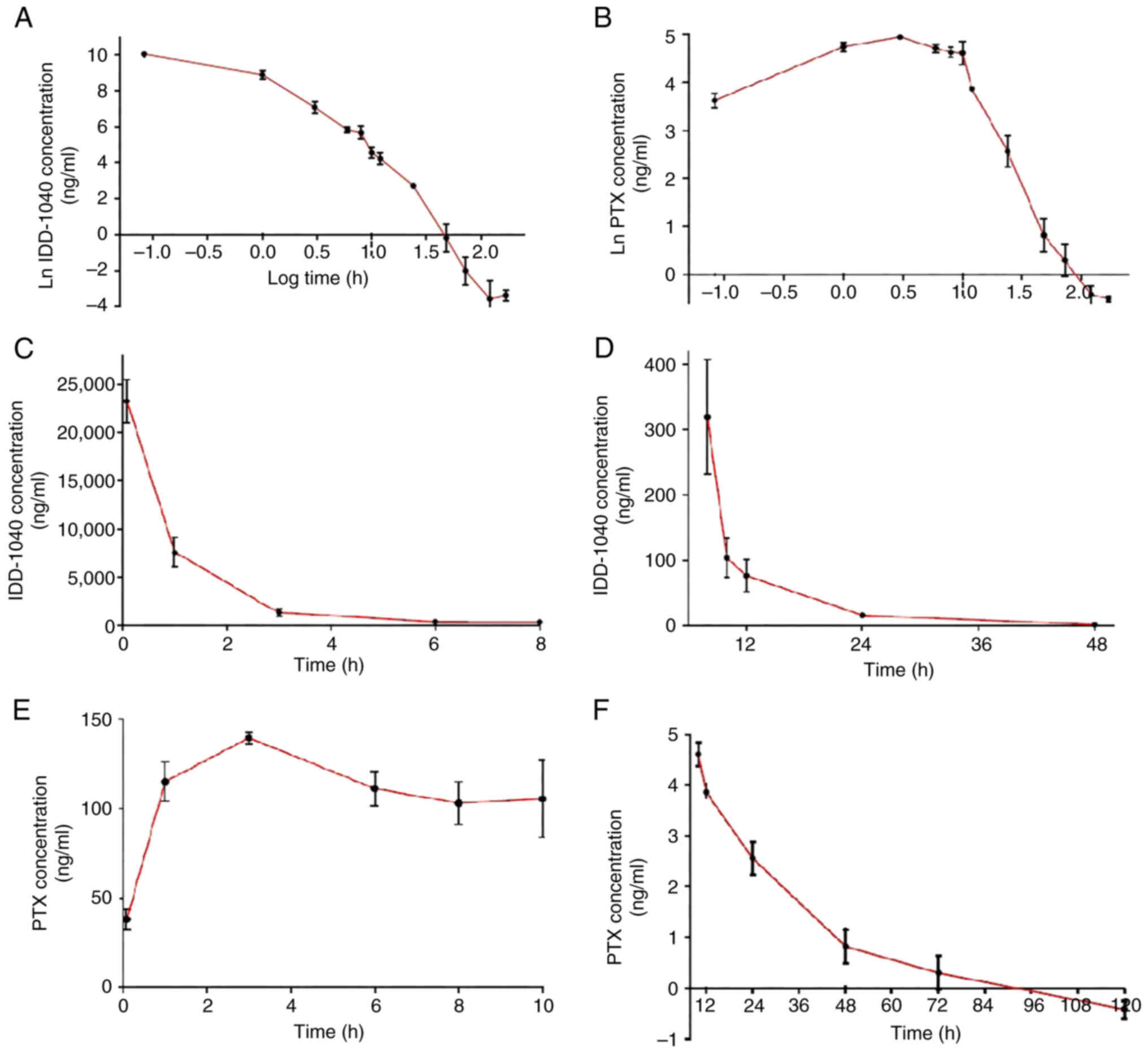
Female mice were intravenously dosed with a bolus of 50 mg/kg IDD-1040, and blood samples were collected at 13 time points, ranging from 0 h to 7 days. Plasma from these blood samples was analyzed to determine the concentration of the pro-drug IDD-1040 and its hydrolysis product, PTX, at each time point. Given the extended observation period, encompassing the metabolism and elimination of IDD-1040, the concentrations spanned six orders of magnitude. Consequently, a natural log-common log (ln-log) conversion was applied to facilitate the visualization of all the data collectively (Fig. 4A). Three distinct phases can be observed. First, the initial 1 h following administration is the distribution phase of the drug. Second, between 1 and 10 h post-injection, the drug undergoes a phase characterized by both metabolism and elimination. Third, the final phase is the terminal elimination phase, extending to 5 days. A parallel pattern is observed when the ln-log transformation of concentration data for the hydrolysis product PTX is examined. Up to 10 h, a primary phase marked by an increase in PTX concentration in the blood is evident, followed by a terminal elimination phase extending up to 5 days following the administration of IDD-1040 (Fig. 4B).

Figure 4.

Pharmacokinetic profiles of IDD-1040 and its metabolite PTX. An ln-log conversion was applied to facilitate the visualization of all data collectively for (A) IDD-1040 and (B) PTX. Line graphs showing the (C) initial and (D) terminal phases of the pharmacokinetics of IDD-1040, both of which show exponential decay. Pharmacokinetic profiles of PTX at the (E) initial and (F) terminal phases. PTX, paclitaxel; ln-log, natural log-common log.

The line graphs in Fig. 4C and D show the initial and terminal phases of the pharmacokinetics of IDD-1040. Both phases are shown as exponential decay curves from which corresponding rate constants (k values) can be determined. Parallel representations of the PTX profiles are presented in Fig. 4E and F. Pharmacokinetic parameters were computed from the data using PK Solutions-2 software version 2 and are presented in Tables I and II.

As indicated by the area under the curve (AUC) values in Table I and the calculated using the corresponding pharmacokinetic equations, the clearance for IDD-1040 is 1.689 l/h.kg, while the volume of distribution is 1.93 l/kg. This distribution exceeds the volume of systemic blood by >30-fold, which suggests extensive tissue distribution beyond the bloodstream. Utilizing these parameters, a half-life of 1.14 h was calculated for IDD-1040 in the central elimination phase, which is notably shorter than the terminal elimination half-life of 8.64 h.

Given that PTX is derived from the administration of IDD-1040, it is not feasible to estimate its clearance and volume of distribution using the data obtained (Table II). A notable observation arises when the data for IDD-1040 and PTX are compared: The AUC of IDD-1040 is >14-fold higher than that of PTX. This suggests that the conversion of IDD-1040 into its metabolite occurs slowly, and hints at the possibility that some of the biological activity previously observed for IDD-040 may be attributed to the prodrug itself.

While the data on the half-life of PTX in the literature vary and are challenging to compare against (28,29), it is generally noted that PTX exhibits a significantly shorter half-life than IDD-1040. Consequently, it is evident that the extended half-life of IDD-1040 observed in the current study was associated with the continuous release of PTX by the prodrug IDD-1040.

MoA assessment by in vitro tubulin polymerization assay

The results of the in vitro tubulin polymerization assay used to evaluate the MoA of IDD-1040 are presented in Fig. 5. The assay was conducted using PTX as a positive control, along with IDD-1040 at two different concentrations. The results demonstrated that PTX at a concentration of 10 µM increased tubulin polymerization by ~41.8% compared with that of the negative control. In comparison, IDD-1040 at a concentration of 50 µM increased tubulin polymerization by only ~9.1% compared with that of the negative control. The tubulin-binding characteristics exhibited by IDD-1040 appear to differ from those of PTX, suggesting a different MoA. The results of this assay provide valuable insights into the MoA of IDD-1040 and its interaction with tubulin, highlighting its potential as an anticancer agent with distinctive properties.

Figure 5.

Comparative analysis of the inhibition of tubulin polymerization by IDD-1040 and PTX. PTX, paclitaxel.

Clinical formulation development

The development of an effective formulation for a therapeutic agent with low aqueous solubility, such as IDD-1040, is a critical aspect of drug delivery, as it can markedly improve the pharmacokinetics and therapeutic efficacy of the drug. An aim of the present study was to improve the formulation of IDD-1040 to address the limitations associated with its current formulation, which comprises a vehicle primarily composed of Cremophor EL and dehydrated alcohol. As the aqueous solubility of PTX is very low, Cremophor EL was included in the formulation to increase the solubility of PTX. However, it is toxic and causes serious side effects (17), such as hypersensitivity, myelosupression, nephrotoxicity and neurotoxicity.

As aforementioned, IDD-1040 has low aqueous solubility and lacks ionizable functionalities, which renders pH adjustment ineffective for increasing its solubility; therefore, it is crucial to find another means of improving its delivery. Using the current formulation, the maximal concentration that resulted in a clear solution was 0.4 mg/ml; higher drug concentrations were milky. In an attempt to achieve a suitable parenteral formulation for IDD-1040, a formulation development experiment was conducted. In the first stage, the solubility of IDD-1040 in excipients suitable for parenteral administration was tested. IDD-1040 was found to be soluble in dimethylacetamide (DMA; 100 mg/g), propylene glycol (PG; 16 mg/g), polyethylene glycol 400 (PEG 400; 10 mg/g) and ethanol (20 mg/g). This profile differs from that reported in the literature for PTX, which is considered to be insoluble (<0.1 mg/ml) in PG and PEG 400 (30). The solvents found to solubilize the drug, together with cosolvents, surfactants and cyclodextrin, were then used to prepare and test several different IDD-1040 formulations. These were diluted with either water or Lipofundin (a commercial parenteral nutrition nanoemulsion). A total of 31 formulations diluted with water were found to be clear after preparation (Table III). These included 1–3 mg/g formulations using solvents and cyclodextrin. Formulations with higher drug concentrations (4–10 mg/g) containing the surfactant Tween™ 80 were also clear and exhibited a 25-fold increase in solubility compared with that of the reference formulation. When the drug was solubilized in solvent mixtures followed by dilution with Lipofundin instead of water, higher drug concentrations could be achieved (12 mg/g), resulting in visually homogeneous formulations (Table IV) with a high drug content. These were obtained without the use of surfactants and, overall, had fewer excipients compared with the formulations diluted with water.

Based on these results, the following are the key findings and their implications for the development of IDD-1040 formulations.

IDD-1040 solubility profile

The investigation began with an assessment of the solubility of IDD-1040 in various excipients suitable for parenteral administration. Notably, appreciable solubility was observed in DMA, PG, PEG 400 and ethanol. This solubility profile differs slightly from that of PTX, its parent compound, which is generally considered to be insoluble in PG and PEG 400. Understanding these solubility characteristics is crucial for formulating an effective delivery system.

Formulation approaches

In the subsequent stages of the present study, to develop a suitable parenteral formulation, various agents that had the potential to enhance the solubility of IDD-1040, including co-solvents, surfactants and cyclodextrin, were explored.

Co-solvents

It was observed that the formulations containing IDD-1040 in combination with the solvents DMA, PG, PEG 400 and ethanol resulted in clear solutions at drug concentrations of 1–3 mg/g. This suggests that co-solvent systems have the potential to increase the solubility of IDD-1040, which presents a method for improving the formulations.

Surfactants

The addition of Tween 80, a surfactant, resulted in an increase in IDD-1040 solubility in certain formulations, particularly at higher drug concentrations (4–10 mg/g). This increase in solubility indicates that this as a promising strategy for the development of formulations with a higher drug content and enhanced therapeutic efficacy.

Cyclodextrin

Cyclodextrin-based formulations also warrant consideration, as they yielded clear solutions at certain drug concentrations. The use of cyclodextrin may offer an alternative route for the improvement of IDD-1040 formulations.

Lipofundin

Notably, when the drug was solubilized in solvent mixtures and diluted with Lipofundin, higher drug concentrations (12 mg/g) could be achieved, resulting in visually homogeneous formulations. This approach is particularly appealing, as it achieves high levels of drug content without the need for additional surfactants and can reduce the amount of excipient required.

Clinical implications of alternative IDD-1040 formulations

The findings for the formulations prepared in the present study have important clinical implications. The low solubility and toxic nature of Cremophor EL, which is included in the current Taxol® formulation, have been associated with serious side effects. The successful development of alternative IDD-1040 formulations that have improved solubility and do not contain Cremophore EL should mitigate these side effects and increase patient safety. Furthermore, the ability to achieve higher drug concentrations in formulations is crucial for optimizing the therapeutic effects of IDD-1040. This should enable the reduction of dosing volumes and improve convenience of administration for patients.

Summary of findings

In the present comprehensive study, the compound IDD-1040, formed through the conjugation of lipoic acid and PTX, was investigated. The study has provided valuable insights into the analytical, pharmacokinetic and pharmacological aspects of IDD-1040, which aid in understanding the improved antitumor efficacy it has previously demonstrated compared with PTX alone. Pharmacokinetic analysis using PK Solutions-2 software revealed key parameters that characterize the behavior of IDD-1040 in vivo. When intravenously administered to mice, IDD-1040 exhibited a total clearance of 1.689 l/h.kg, a volume of distribution of 1.93 l/kg, an average half-life of 1.14 h, and a terminal half-life of 8.64 h. Particularly noteworthy is the markedly (>14-fold) higher AUC of IDD-1040 compared with that of PTX, indicating a slower conversion of IDD-1040 to its metabolites. This suggests that a considerable proportion of the antitumor activity of IDD-1040 can be attributed to the prodrug. The substantial volume of distribution observed for IDD-1040 reflects efficient absorption into tissues in the secondary compartment, possibly contributing to its enhanced antitumor effects. Furthermore, the results revealed a notably extended half-life of PTX when delivered via IDD-1040, indicating sustained release from the prodrug, which should offer a prolonged therapeutic effect and contribute to its enhanced therapeutic potential. To gain further insights into the MoA of IDD-1040, an in vitro tubulin polymerization assay was conducted, in which IDD-1040 was compared with PTX. This assay indicated that tubulin-binding by IDD-1040 is much lower than that by PTX, suggesting a unique MoA for the prodrug and highlighting its potential as an innovative anticancer agent.

Despite the extremely lipophilic nature of IDD-1040, its formulation with solvent mixtures and Lipofundin provided a reasonably high drug concentration (12 mg/g) with few excipients and no surfactant, indicating its potential for future use. Certain formulations explored show promise in improving the solubility and formulation of IDD-1040 and provide a foundation for further research aimed at optimizing the drug delivery of IDD-1040 and enhancing its therapeutic outcomes while minimizing toxicity concerns. In future studies, it is essential to assess the stability, pharmacokinetics and pharmacodynamics of these IDD-1040 formulations to determine their suitability for clinical use. Additionally, the compatibility of these formulations with different routes of administration requires investigation to explore their versatility for addressing various clinical scenarios.

IDD-1040 represents a marked advancement in cancer therapy, offering improved pharmacokinetics, enhanced anticancer efficacy and reduced side effects compared with conventional PTX formulations. The extended circulation, efficient tissue distribution, reduced metabolite formation and unique MoA of IDD-1040, as revealed through the in vitro tubulin polymerization assay, underscore the importance of further investigations into the MoA and therapeutic potential of IDD-1040. These findings strongly support the promise of IDD-1040 as a candidate for cancer treatment. Given its potential to make a substantial impact in the field of oncology, its advancement into clinical trials is highly recommended. Future studies should focus on optimizing the formulation, stability and clinical application of IDD-1040 to harness its full therapeutic potential.

Acknowledgements

Not applicable.

Funding

The current study was partially supported by the Israel Innovation Authority as an incubator project that was granted to IDD Therapeutics, Ltd., between 2010 and 2014, and the Israel Cancer Association (grant nos. 20191644 and 20180071, respectively). The Al-Qasemi Research Foundation covered the costs of language editing.

Availability of data and materials

The data generated in the present study may be requested from the corresponding author. Samples of the compounds may also be requested.

Authors' contributions

AR conceived the study, raised funds, designed the study and edited the final version of the manuscript. MR, SAL, MF and MZ designed parts of the study, interpreted the data, wrote up the conclusions and drafted the first version of the manuscript. AR and MF confirm the authenticity of all the raw data. All authors read and approved the final version of the manuscript.

Ethics approval and consent to participate

The Israel Board for Animal Experiments Committee approved in vivo experiment and protocols (certificate no. GB06/68708).

Patient consent for publication

Not applicable.

Competing interests

AR is the founder and chief executive officer of IDD Therapeutics, Ltd., which is the owner of intellectual property on IDD-1010. The other authors declare that they have no competing interests.

References

1 

Reyes-Farias M and Carrasco-Pozo C: The anti-cancer effect of quercetin: Molecular implications in cancer metabolism. Int J Mol Sci. 20:31772019. View Article : Google Scholar : PubMed/NCBI

2 

Alipour V, Rezapour A, Adel A, Pourtaleb A, Bazrafshan M, Ghaem Mohammadi MS and Jahangiri R: Economical evaluation of cancer types using intensity-modulated radiation therapy compared to 3d conformal radiation therapy: A systematic review. Iran J Public Health. 52:1355–1366. 2023.PubMed/NCBI

3 

Siegel RL, Giaquinto AN and Jemal A: Cancer statistics, 2024. CA Cancer J Clin. 74:12–49. 2024. View Article : Google Scholar : PubMed/NCBI

4 

Manthalkar L, Ajazuddin and Bhattacharya S: Evidence-based capacity of natural cytochrome enzyme inhibitors to increase the effectivity of antineoplastic drugs. Discov Oncol. 13:1422022. View Article : Google Scholar : PubMed/NCBI

5 

Tauro S, Dhokchawle B, Mohite P, Nahar D, Nadar S and Coutinho E: Natural anticancer agents: Their therapeutic potential, challenges,s and promising outcomes. Curr Med Chem. May 2–2023.(Epub ahead of print). PubMed/NCBI

6 

Ahmed Khalil A, Rauf A, Alhumaydhi FA, Aljohani ASM, Javed MS, Khan MA, Khan IA, El-Esawi MA, Bawazeer S, Bouyahya A, et al: Recent developments and anticancer therapeutics of paclitaxel: An update. Curr Pharm Des. 28:3363–3373. 2022. View Article : Google Scholar : PubMed/NCBI

7 

Wani MC, Taylor HL, Wall ME, Coggon P and McPhail AT: Plant antitumor agents. VI. The isolation and structure of taxol, a novel antileukemic and antitumor agent from Taxus brevifolia. J Am Chem Soc. 93:2325–2327. 1971. View Article : Google Scholar : PubMed/NCBI

8 

Seidman AD: Single-agent use of Taxol (paclitaxel) in breast cancer. Ann Oncol. 5 (Suppl 6):S17–S22. 1994.PubMed/NCBI

9 

Weaver BA: How Taxol/paclitaxel kills cancer cells. Mol Biol Cell. 25:2677–2681. 2014. View Article : Google Scholar : PubMed/NCBI

10 

Wilkinson SP: The kidney in cirrhosis. Tijdschr Gastroenterol. 19:155–169. 1976.PubMed/NCBI

11 

Ozols RF: Carboplatin and Taxol (paclitaxel) in advanced ovarian carcinoma. Ann Oncol. 5 (Suppl 6):S39–S43. 1994.PubMed/NCBI

12 

Einzig AI: Review of phase II trials of Taxol (paclitaxel) in patients with advanced ovarian cancer. Ann Oncol. 5 (Suppl 6):S29–S32. 1994.PubMed/NCBI

13 

Johnson DH, Chang AY and Ettinger DS: Taxol (paclitaxel) in the treatment of lung cancer: The eastern cooperative oncology group experience. Ann Oncol. 5 (Suppl 6):S45–S50. 1994.PubMed/NCBI

14 

Fanale D, Bronte G, Passiglia F, Calò V, Castiglia M, Di Piazza F, Barraco N, Cangemi A, Catarella MT, Insalaco L, et al: Stabilizing versus destabilizing the microtubules: A double-edge sword for an effective cancer treatment option? Anal Cell Pathol (Amst). 2015:6909162015.PubMed/NCBI

15 

Mukhtar E, Adhami VM and Mukhtar H: Targeting microtubules by natural agents for cancer therapy. Mol Cancer Ther. 13:275–284. 2014. View Article : Google Scholar : PubMed/NCBI

16 

Amaya C, Smith ER and Xu XX: Low intensity ultrasound as an antidote to taxane/paclitaxel-induced cytotoxicity. J Cancer. 13:2362–2373. 2022. View Article : Google Scholar : PubMed/NCBI

17 

Walker FE: Paclitaxel (TAXOL): Side effects and patient education issues. Semin Oncol Nurs. 9 (Suppl 2):S6–S10. 1993. View Article : Google Scholar : PubMed/NCBI

18 

Nagumo Y, Villareal MO, Isoda H and Usui T: RSK4 confers paclitaxel resistance to ovarian cancer cells, which is resensitized by its inhibitor BI-D1870. Biochem Biophys Res Commun. 679:23–30. 2023. View Article : Google Scholar : PubMed/NCBI

19 

Januškevičienė I and Petrikaitė V: Interaction of phenotypic sublines isolated from triple-negative breast cancer cell line MDA-MB-231 modulates their sensitivity to paclitaxel and doxorubicin in 2D and 3D assays. Am J Cancer Res. 13:3368–3383. 2023.PubMed/NCBI

20 

Li Y, Zeng Y, Mooney SM, Yin B, Mizokami A, Namiki M and Getzenberg RH: Resistance to paclitaxel increases the sensitivity to other microenvironmental stresses in prostate cancer cells. J Cell Biochem. 112:2125–2137. 2011. View Article : Google Scholar : PubMed/NCBI

21 

Patel A, Kalachand R, Busschots S, Doherty B, Kapros E, Lawlor D, Hall N and Stordal BK: Taxane monotherapy regimens for the treatment of recurrent epithelial ovarian cancer. Cochrane Database Syst Rev. 7:CD0087662022.PubMed/NCBI

22 

Wang L, Chen H, Wang F and Zhang X: The development of peptide-drug conjugates (PDCs) strategies for paclitaxel. Expert Opin Drug Deliv. 19:147–161. 2022. View Article : Google Scholar : PubMed/NCBI

23 

Wender PA, Galliher WC, Bhat NM, Pillow TH, Bieber MM and Teng NNH: Taxol-oligoarginine conjugates overcome drug resistance in-vitro in human ovarian carcinoma. Gynecol Oncol. 126:118–123. 2012. View Article : Google Scholar : PubMed/NCBI

24 

Nakamura J, Nakajima N, Matsumura K and Hyon SH: Water-soluble taxol conjugates with dextran and targets tumor cells by folic acid immobilization. Anticancer Res. 30:903–909. 2010.PubMed/NCBI

25 

Falah M, Rayan M and Rayan A: A novel paclitaxel conjugate with higher efficiency and lower toxicity: A new drug candidate for cancer treatment. Int J Mol Sci. 20:49652019. View Article : Google Scholar : PubMed/NCBI

26 

Shelanski ML, Gaskin F and Cantor CR: Microtubule assembly in the absence of added nucleotides. Proc Natl Acad Sci USA. 70:765–768. 1973. View Article : Google Scholar : PubMed/NCBI

27 

Lee JC and Timasheff SN: In vitro reconstitution of calf brain microtubules: Effects of solution variables. Biochemistry. 16:1754–1764. 1977. View Article : Google Scholar : PubMed/NCBI

28 

Liu X, Sun J, Chen X, Wang S, Scott H, Zhang X and Zhang Q: Pharmacokinetics, tissue distribution and anti-tumour efficacy of paclitaxel delivered by polyvinylpyrrolidone solid dispersion. J Pharm Pharmacol. 64:775–782. 2012. View Article : Google Scholar : PubMed/NCBI

29 

Shin HC, Cho H, Lai TC, Kozak KR, Kolesar JM and Kwon GS: Pharmacokinetic study of 3-in-1 poly(ethylene glycol)-block-poly(D, L-lactic acid) micelles carrying paclitaxel, 17-allylamino-17-demethoxygeldanamycin, and rapamycin. J Control Release. 163:93–99. 2012. View Article : Google Scholar : PubMed/NCBI

30 

Andersson BS and Way C: Parenternal Paclitaxel in a stable non-toxic formulation. Patent US5877205A. Filed June 28 1996; issued March 2, 1999.

Related Articles

  • Abstract
  • View
  • Download
  • Twitter
Copy and paste a formatted citation
Spandidos Publications style
Abu‑Lafi S, Falah M, Zeidan M, Rayan M and Rayan A: Expanding paclitaxel's therapeutic window: Investigating the pharmacokinetic, clinical formulation and mechanistic aspects of paclitaxel‑lipoate conjugate. Oncol Lett 29: 216, 2025.
APA
Abu‑Lafi, S., Falah, M., Zeidan, M., Rayan, M., & Rayan, A. (2025). Expanding paclitaxel's therapeutic window: Investigating the pharmacokinetic, clinical formulation and mechanistic aspects of paclitaxel‑lipoate conjugate. Oncology Letters, 29, 216. https://doi.org/10.3892/ol.2025.14962
MLA
Abu‑Lafi, S., Falah, M., Zeidan, M., Rayan, M., Rayan, A."Expanding paclitaxel's therapeutic window: Investigating the pharmacokinetic, clinical formulation and mechanistic aspects of paclitaxel‑lipoate conjugate". Oncology Letters 29.5 (2025): 216.
Chicago
Abu‑Lafi, S., Falah, M., Zeidan, M., Rayan, M., Rayan, A."Expanding paclitaxel's therapeutic window: Investigating the pharmacokinetic, clinical formulation and mechanistic aspects of paclitaxel‑lipoate conjugate". Oncology Letters 29, no. 5 (2025): 216. https://doi.org/10.3892/ol.2025.14962
Copy and paste a formatted citation
x
Spandidos Publications style
Abu‑Lafi S, Falah M, Zeidan M, Rayan M and Rayan A: Expanding paclitaxel's therapeutic window: Investigating the pharmacokinetic, clinical formulation and mechanistic aspects of paclitaxel‑lipoate conjugate. Oncol Lett 29: 216, 2025.
APA
Abu‑Lafi, S., Falah, M., Zeidan, M., Rayan, M., & Rayan, A. (2025). Expanding paclitaxel's therapeutic window: Investigating the pharmacokinetic, clinical formulation and mechanistic aspects of paclitaxel‑lipoate conjugate. Oncology Letters, 29, 216. https://doi.org/10.3892/ol.2025.14962
MLA
Abu‑Lafi, S., Falah, M., Zeidan, M., Rayan, M., Rayan, A."Expanding paclitaxel's therapeutic window: Investigating the pharmacokinetic, clinical formulation and mechanistic aspects of paclitaxel‑lipoate conjugate". Oncology Letters 29.5 (2025): 216.
Chicago
Abu‑Lafi, S., Falah, M., Zeidan, M., Rayan, M., Rayan, A."Expanding paclitaxel's therapeutic window: Investigating the pharmacokinetic, clinical formulation and mechanistic aspects of paclitaxel‑lipoate conjugate". Oncology Letters 29, no. 5 (2025): 216. https://doi.org/10.3892/ol.2025.14962
Follow us
  • Twitter
  • LinkedIn
  • Facebook
About
  • Spandidos Publications
  • Careers
  • Cookie Policy
  • Privacy Policy
How can we help?
  • Help
  • Live Chat
  • Contact
  • Email to our Support Team