Spandidos Publications Logo
  • About
    • About Spandidos
    • Aims and Scopes
    • Abstracting and Indexing
    • Editorial Policies
    • Reprints and Permissions
    • Job Opportunities
    • Terms and Conditions
    • Contact
  • Journals
    • All Journals
    • Oncology Letters
      • Oncology Letters
      • Information for Authors
      • Editorial Policies
      • Editorial Board
      • Aims and Scope
      • Abstracting and Indexing
      • Bibliographic Information
      • Archive
    • International Journal of Oncology
      • International Journal of Oncology
      • Information for Authors
      • Editorial Policies
      • Editorial Board
      • Aims and Scope
      • Abstracting and Indexing
      • Bibliographic Information
      • Archive
    • Molecular and Clinical Oncology
      • Molecular and Clinical Oncology
      • Information for Authors
      • Editorial Policies
      • Editorial Board
      • Aims and Scope
      • Abstracting and Indexing
      • Bibliographic Information
      • Archive
    • Experimental and Therapeutic Medicine
      • Experimental and Therapeutic Medicine
      • Information for Authors
      • Editorial Policies
      • Editorial Board
      • Aims and Scope
      • Abstracting and Indexing
      • Bibliographic Information
      • Archive
    • International Journal of Molecular Medicine
      • International Journal of Molecular Medicine
      • Information for Authors
      • Editorial Policies
      • Editorial Board
      • Aims and Scope
      • Abstracting and Indexing
      • Bibliographic Information
      • Archive
    • Biomedical Reports
      • Biomedical Reports
      • Information for Authors
      • Editorial Policies
      • Editorial Board
      • Aims and Scope
      • Abstracting and Indexing
      • Bibliographic Information
      • Archive
    • Oncology Reports
      • Oncology Reports
      • Information for Authors
      • Editorial Policies
      • Editorial Board
      • Aims and Scope
      • Abstracting and Indexing
      • Bibliographic Information
      • Archive
    • Molecular Medicine Reports
      • Molecular Medicine Reports
      • Information for Authors
      • Editorial Policies
      • Editorial Board
      • Aims and Scope
      • Abstracting and Indexing
      • Bibliographic Information
      • Archive
    • World Academy of Sciences Journal
      • World Academy of Sciences Journal
      • Information for Authors
      • Editorial Policies
      • Editorial Board
      • Aims and Scope
      • Abstracting and Indexing
      • Bibliographic Information
      • Archive
    • International Journal of Functional Nutrition
      • International Journal of Functional Nutrition
      • Information for Authors
      • Editorial Policies
      • Editorial Board
      • Aims and Scope
      • Abstracting and Indexing
      • Bibliographic Information
      • Archive
    • International Journal of Epigenetics
      • International Journal of Epigenetics
      • Information for Authors
      • Editorial Policies
      • Editorial Board
      • Aims and Scope
      • Abstracting and Indexing
      • Bibliographic Information
      • Archive
    • Medicine International
      • Medicine International
      • Information for Authors
      • Editorial Policies
      • Editorial Board
      • Aims and Scope
      • Abstracting and Indexing
      • Bibliographic Information
      • Archive
  • Articles
  • Information
    • Information for Authors
    • Information for Reviewers
    • Information for Librarians
    • Information for Advertisers
    • Conferences
  • Language Editing
Spandidos Publications Logo
  • About
    • About Spandidos
    • Aims and Scopes
    • Abstracting and Indexing
    • Editorial Policies
    • Reprints and Permissions
    • Job Opportunities
    • Terms and Conditions
    • Contact
  • Journals
    • All Journals
    • Biomedical Reports
      • Information for Authors
      • Editorial Policies
      • Editorial Board
      • Aims and Scope
      • Abstracting and Indexing
      • Bibliographic Information
      • Archive
    • Experimental and Therapeutic Medicine
      • Information for Authors
      • Editorial Policies
      • Editorial Board
      • Aims and Scope
      • Abstracting and Indexing
      • Bibliographic Information
      • Archive
    • International Journal of Epigenetics
      • Information for Authors
      • Editorial Policies
      • Editorial Board
      • Aims and Scope
      • Abstracting and Indexing
      • Bibliographic Information
      • Archive
    • International Journal of Functional Nutrition
      • Information for Authors
      • Editorial Policies
      • Editorial Board
      • Aims and Scope
      • Abstracting and Indexing
      • Bibliographic Information
      • Archive
    • International Journal of Molecular Medicine
      • Information for Authors
      • Editorial Policies
      • Editorial Board
      • Aims and Scope
      • Abstracting and Indexing
      • Bibliographic Information
      • Archive
    • International Journal of Oncology
      • Information for Authors
      • Editorial Policies
      • Editorial Board
      • Aims and Scope
      • Abstracting and Indexing
      • Bibliographic Information
      • Archive
    • Medicine International
      • Information for Authors
      • Editorial Policies
      • Editorial Board
      • Aims and Scope
      • Abstracting and Indexing
      • Bibliographic Information
      • Archive
    • Molecular and Clinical Oncology
      • Information for Authors
      • Editorial Policies
      • Editorial Board
      • Aims and Scope
      • Abstracting and Indexing
      • Bibliographic Information
      • Archive
    • Molecular Medicine Reports
      • Information for Authors
      • Editorial Policies
      • Editorial Board
      • Aims and Scope
      • Abstracting and Indexing
      • Bibliographic Information
      • Archive
    • Oncology Letters
      • Information for Authors
      • Editorial Policies
      • Editorial Board
      • Aims and Scope
      • Abstracting and Indexing
      • Bibliographic Information
      • Archive
    • Oncology Reports
      • Information for Authors
      • Editorial Policies
      • Editorial Board
      • Aims and Scope
      • Abstracting and Indexing
      • Bibliographic Information
      • Archive
    • World Academy of Sciences Journal
      • Information for Authors
      • Editorial Policies
      • Editorial Board
      • Aims and Scope
      • Abstracting and Indexing
      • Bibliographic Information
      • Archive
  • Articles
  • Information
    • For Authors
    • For Reviewers
    • For Librarians
    • For Advertisers
    • Conferences
  • Language Editing
Login Register Submit
  • This site uses cookies
  • You can change your cookie settings at any time by following the instructions in our Cookie Policy. To find out more, you may read our Privacy Policy.

    I agree
Search articles by DOI, keyword, author or affiliation
Search
Advanced Search
presentation
Oncology Reports
Join Editorial Board Propose a Special Issue
Print ISSN: 1021-335X Online ISSN: 1791-2431
Journal Cover
November-2018 Volume 40 Issue 5

Full Size Image

Sign up for eToc alerts
Recommend to Library

Journals

International Journal of Molecular Medicine

International Journal of Molecular Medicine

International Journal of Molecular Medicine is an international journal devoted to molecular mechanisms of human disease.

International Journal of Oncology

International Journal of Oncology

International Journal of Oncology is an international journal devoted to oncology research and cancer treatment.

Molecular Medicine Reports

Molecular Medicine Reports

Covers molecular medicine topics such as pharmacology, pathology, genetics, neuroscience, infectious diseases, molecular cardiology, and molecular surgery.

Oncology Reports

Oncology Reports

Oncology Reports is an international journal devoted to fundamental and applied research in Oncology.

Experimental and Therapeutic Medicine

Experimental and Therapeutic Medicine

Experimental and Therapeutic Medicine is an international journal devoted to laboratory and clinical medicine.

Oncology Letters

Oncology Letters

Oncology Letters is an international journal devoted to Experimental and Clinical Oncology.

Biomedical Reports

Biomedical Reports

Explores a wide range of biological and medical fields, including pharmacology, genetics, microbiology, neuroscience, and molecular cardiology.

Molecular and Clinical Oncology

Molecular and Clinical Oncology

International journal addressing all aspects of oncology research, from tumorigenesis and oncogenes to chemotherapy and metastasis.

World Academy of Sciences Journal

World Academy of Sciences Journal

Multidisciplinary open-access journal spanning biochemistry, genetics, neuroscience, environmental health, and synthetic biology.

International Journal of Functional Nutrition

International Journal of Functional Nutrition

Open-access journal combining biochemistry, pharmacology, immunology, and genetics to advance health through functional nutrition.

International Journal of Epigenetics

International Journal of Epigenetics

Publishes open-access research on using epigenetics to advance understanding and treatment of human disease.

Medicine International

Medicine International

An International Open Access Journal Devoted to General Medicine.

Journal Cover
November-2018 Volume 40 Issue 5

Full Size Image

Sign up for eToc alerts
Recommend to Library

  • Article
  • Citations
    • Cite This Article
    • Download Citation
    • Create Citation Alert
    • Remove Citation Alert
    • Cited By
  • Similar Articles
    • Related Articles (in Spandidos Publications)
    • Similar Articles (Google Scholar)
    • Similar Articles (PubMed)
  • Download PDF
  • Download XML
  • View XML
Article

Tanshinone IIA can inhibit MiaPaCa‑2 human pancreatic cancer cells by dual blockade of the Ras/Raf/MEK/ERK and PI3K/AKT/mTOR pathways

  • Authors:
    • Chin‑Cheng Su
  • View Affiliations / Copyright

    Affiliations: Tumor Research Center of Integrative Medicine, Changhua Christian Hospital, Changhua 50006, Taiwan, R.O.C.
  • Pages: 3102-3111
    |
    Published online on: August 23, 2018
       https://doi.org/10.3892/or.2018.6670
  • Expand metrics +
Metrics: Total Views: 0 (Spandidos Publications: | PMC Statistics: )
Metrics: Total PDF Downloads: 0 (Spandidos Publications: | PMC Statistics: )
Cited By (CrossRef): 0 citations Loading Articles...

This article is mentioned in:



Abstract

Tanshinone IIA (Tan‑IIA; C19H18O3) is derived from Danshen (the roots of Salvia miltiorrhiza), and has been reported to possess anti‑inflammatory and antioxidant activities. Tan‑IIA can inhibit BxPC‑3 human pancreatic cancer cells in vitro through inducing endoplasmic reticulum stress and apoptosis via mitochondrial pathways. However, the efficacy and molecular mechanisms of Tan‑IIA in human pancreatic cancer have not yet been elucidated. The transmembrane tyrosine kinases, including insulin‑like growth factor 1 receptor (IGF1R), vascular endothelial growth factor receptor (VEGFR) or epidermal growth factor receptor (EGFR) have been implicated in the survival and metastasis of cancer. In addition, the Ras/Raf/mitogen‑activated protein kinase kinase (MEK)/extracellular signal‑regulated kinase (ERK) and phosphoinositide 3‑kinase (PI3K)/protein kinase B (AKT)/mammalian target of rapamycin (mTOR) pathways are the most commonly dysregulated kinase cascades in human cancer. The present study aimed to investigate the efficacy and molecular mechanisms of Tan‑IIA in MiaPaCa‑2 human pancreatic carcinoma cells. The protein expression levels of EGFR, IGF1R, VEGFR, Ras, PI3K, AKT, mTOR, Raf, MEK, ERK and phosphatase and tensin homolog (PTEN) were detected in Tan‑IIA‑treated MiaPaCa‑2 cells by western blotting. The results demonstrated that the protein expression levels of EGFR, IGF1R, VEGFR, Ras, Raf, MEK, ERK, PI3K, AKT, mTOR and PTEN were decreased in MiaPaCa‑2 cells treated with various concentrations of Tan‑IIA for different durations. In conclusion, these findings indicated that Tan‑IIA may inhibit MiaPaCa‑2 human pancreatic cancer cells; the molecular mechanisms underlying this inhibitory effect may be involved in downregulating EGFR, IGF1R and VEGFR expression, and dual blockade of the Ras/Raf/MERK/ERK and PI3K/AKT/mTOR pathways.

Introduction

Pancreatic cancer was revealed to be the fourth leading cause of cancer-associated mortality in the USA in 2016, and the estimated number of deaths caused by pancreatic cancer for that year is 21,450 in men and 20,330 in women (1). Numerous efforts and chemotherapeutic advancements have been made to improve the efficacy of pancreatic cancer treatment; however, the results remain unsatisfactory (2–4). Therefore, there is an urgent need to develop novel therapeutic agents for pancreatic cancer.

It is well documented that transmembrane tyrosine kinases are strongly associated with the proliferation and metastasis of numerous types of human cancer (5,6). The phosphoinositide 3-kinase (PI3K)/protein kinase B (AKT)/mammalian target of rapamycin (mTOR) and Ras/Raf/mitogen-activated protein kinase kinase (MEK)/extracellular signal-regulated kinase (ERK) pathways are two of the most frequently dysregulated kinase cascades in human cancer. These pathways signify important signal transduction mechanisms, which accelerate the proliferation and survival of cancers via activation of growth factor receptors, such as insulin-like growth factor 1 receptor (IGF1R), vascular endothelial growth factor receptor (VEGFR) and epidermal growth factor receptor (EGFR) (7,8). Either through somatic mutations or epigenetic modifications, the individual downstream constituents of these signaling cascades can induce tumorigenesis and resistance to anticancer treatments, and these constituents have been reported to be frequently transformed in malignant tumors (9).

Tanshinone-IIA (Tan-IIA) is an active component of the plant-derived traditional Chinese medicine Danshen, which has been reported to possess anticancer potential (2,3). Tan-IIA is able to inhibit the protein expression levels of MCL1, B-cell lymphoma 2 (Bcl-2) family apoptosis regulator; tumor protein, translationally-controlled 1 and Bcl-extra large, in order to destroy mitochondrial function and increase Bcl-2-associated X protein and caspase-3 expression, thus inducing apoptosis of BxPC-3 human pancreatic cancer cells (10). Furthermore, Tan-IIA increases protein kinase R-like endoplasmic reticulum kinase, activating transcription factor 6, caspase-12 and CCAAT-enhancer-binding protein homologous protein expression, in order to induce apoptosis of BxPC-3 pancreatic cancer cells in vitro (11). It has also been reported that Tan-IIA may exert cytotoxic effects on MiaPaCa-2 human pancreatic cancer cells (12). The present study aimed to detect the protein expression levels of IGF1R, VEGFR, EGFR, PI3K, AKT, mTOR, Ras, Raf, MEK, ERK and phosphatase and tensin homolog (PTEN) in MiaPaCa-2 human pancreatic cancer cells following treatment with Tan-IIA.

Materials and methods

Chemicals and reagents

Tan-IIA (molecular formula, C19H18O3; CAS No., 568-72-9) was purchased from Sigma-Aldrich; Merck KGaA (Darmstadt, Germany). The MiaPaCa-2 human pancreatic cancer cell line (BCRC No. 60139) was obtained from the Food Industry Research and Development Institute (Hsinchu, Taiwan). MTT, sodium deoxycholate, leupeptin, Triton X-100, Tris/HCl, RNase A, sodium orthovanadate, sodium pyruvate, HEPES and mouse anti-β-actin (cat no. A5441, MW 43 kDa) were obtained from Sigma-Aldrich; Merck KGaA. Dimethyl sulfoxide (DMSO), potassium phosphate and TE buffer were purchased from Merck KGaA. Fetal bovine serum (FBS), Dulbecco's modified Eagle's medium (DMEM), trypsin-EDTA, penicillin-streptomycin and glutamine were obtained from Gibco; Thermo Fisher Scientific, Inc. (Waltham, MA, USA). Buffer (10X TG-SDS), Tween-20 and glycine were obtained from Amresco, LLC (Solon, OH, USA). BioMax film was obtained from Kodak (Rochester, NY, USA). Other materials and reagents not specified were obtained from Sigma-Aldrich; Merck KGaA or Merck KGaA.

Antibodies

Anti-VEGFR (cat. no. NB100-527, MW 151 kDa) was obtained from Novus Biologicals, LLC (Littleton, CO, USA); anti-EGFR (cat. no. 2239, MW 175 kDa), anti-IGF1R (cat. no. 3018, MW 95 kDa), anti-Ras (cat. no. 3339, MW 21 kDa), anti-Raf (cat. no. 12552, MW 75 kDa), anti-MEK (cat. no. 9126, MW 45 kDa), anti-ERK (cat. no. 4695, MW 42–44 kDa), anti-PI3K (cat. no. 4292, MW 85 kDa), anti-AKT (cat. no. 3063, MW 60 kDa), anti-mTOR (cat. no. 2983, MW 289 kDa) and anti-PTEN cat. no. 9559, MW 54 kDa) antibodies were all obtained from Cell Signaling Technology, Inc. (Danvers, MA, USA).

Cell culture

The MiaPaCa-2 cells were maintained in DMEM containing 10% FBS and 1% penicillin/streptomycin (10,000 U/ml penicillin, 10 mg/ml streptomycin) at 37°C in a humidified atmosphere containing 5% CO2.

Cytotoxicity assay

The cytotoxicity of Tan-IIA in MiaPaCa-2 cells was evaluated by MTT assay in triplicate, as previously described (10). Briefly, the MiaPaCa-2 cells were plated in 96-well plates at a density of 1×104 cells/well and were treated with various concentrations (0, 1, 3, 9, 15, 30 and 60 µg/ml) of Tan-IIA for different durations (24, 48 and 72 h). Subsequently, the cells were incubated with 100 µl MTT (1 mg/ml) in fresh complete DMEM for 2 h. The surviving cells converted MTT to formazan, as presented by a blue-purple color when dissolved in DMSO at 37°C for 2 h. Absorbance was measured using an ELISA microplate reader at 590 nm. The relative percentage of cell viability was calculated by dividing the absorbance of treated cells by that of the control in each experiment, using the following formula: Proliferation rate (%) = (OD test - OD blank) × 100, where OD test and OD blank are the optical density of the test substance and the blank control, respectively.

Western blotting

The effects of Tan-IIA on the protein expression levels of EGFR, IGF1R, VEGFR, Ras, PI3K, AKT, mTOR, Raf, MEK, ERK and PTEN were detected in MiaPaCa-2 cells. The MiaPaCa-2 cells were treated with various concentrations of Tan-IIA (0, 3, 6 and 12 µg/ml) for 48 h, or with various concentrations of Tan-IIA (0, 1.5, 3 and 6 µg/ml) for 72 h, after which the expression levels of EGFR, IGF1R, VEGFR, Ras, PI3K, AKT, mTOR, Raf, MEK, ERK and PTEN were evaluated by western blotting. Alternatively, MiaPaCa-2 cells were treated with Tan-IIA (6 µg/ml) for various durations (0, 24, 48 and 72 h), after which the proteins expression levels of EGFR, IGF1R, VEGFR, Ras, PI3K, AKT, mTOR, Raf, MEK, ERK and PTEN were evaluated by western blotting.

Western blot analysis was conducted, as previously described (10). Briefly, after treatment, the cells were lysed in ice-cold whole cell extract buffer containing protease inhibitors (cat. no. 20-188; Merck KGaA). The lysate was agitated for 30 min at 4°C and centrifuged at 12,281 × g for 10 min. Protein concentration was measured using a bicinchoninic acid protein assay kit (Pierce; Thermo Fisher Scientific, Inc.). Equal amounts of protein (10 µg) were then subjected to electrophoresis using 10–15% SDS-polyacrylamide gels. To verify equal protein loading (10 µg) and transfer, proteins were transferred to polyvinylidene difluoride membranes, which were blocked overnight at 4°C using blocking buffer [5% non-fat dried milk in solution containing 50 mM Tris/HCl (pH 8.0), 2 mM CaCl2, 80 mM sodium chloride, 0.05% Tween-20 and 0.02% sodium azide]. The membranes were then incubated with the specific primary antibodies (1:1,000) for 2 h at 25°C and were washed three times with Tris-buffered saline-0.05% Tween-20 (TBST). Subsequently, the membranes were incubated with anti-rabbit (cat. no. sc-2004) or anti-mouse (cat. no. sc-2005) immunoglobulin G-horseradish peroxidase-conjugated secondary antibodies (1:5,000; Santa Cruz Biotechnology Inc., Dallas, TX, USA). The membranes were then washed a further three times for 10 min with TBST. Finally, the protein bands were visualized on X-ray film and were analyzed using the enhanced chemiluminescence detection system (PerkinElmer, Inc., Waltham, MA, USA) and ImageJ 1.4.4p (National Institutes of Health, Bethesda, MD, USA) software analysis. β-actin was used as an internal control in all western blots. Results are presented as the means ± standard deviation of three experiments.

Statistical analysis

The statistical significance of the differences between groups was assessed using SPSS software version 20 (IBM Corp., Armonk, NY, USA). Data were analyzed using one-way analysis of variance followed by Dunnett's test. P<0.05 was considered to indicate a statistically significant difference.

Results

Cytotoxicity of Tan-IIA in MiaPaCa-2 cells

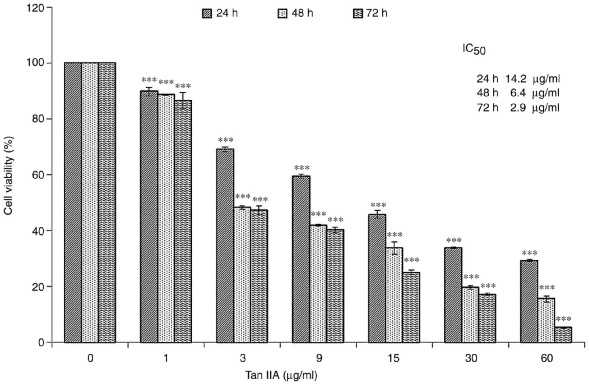
MiaPaCa-2 cells were cultured with various concentrations (0, 1, 3, 9, 15, 30 and 60 µg/ml) of Tan-IIA for different durations (24, 48 and 72 h). Following Tan-IIA treatment for 24, 48 and 72 h, the half maximum inhibitory concentration values for Tan-IIA were 14.2, 6.4 and 2.9 µg/ml, respectively. These results revealed that Tan-IIA may inhibit the proliferation of MiaPaCa-2 human pancreatic cancer cells in a time- and dose-dependent manner (Fig. 1).

Figure 1.

Cytotoxicity of Tan-IIA in MiaPaCa-2 cells. Cytotoxicity of Tan-IIA in MiaPaCa-2 cells was determined using the MTT assay. MiaPaCa-2 cells were cultured with various concentrations (0, 1, 3, 9, 15, 30 and 60 µg/ml) of Tan-IIA for different durations (24, 48 and 72 h). The results revealed that Tan-IIA inhibited the proliferation of MiaPaCa-2 human pancreatic cancer cells in a time- and dose-dependent manner. The IC50 values were 14.2, 6.4 and 2.9 µg/ml, respectively. Results are presented as the means ± standard deviation of three experiments. ***P<0.001 vs. the control group. IC50, half-maximum inhibitory concentration; Tan-IIA, Tanshinone-IIA.

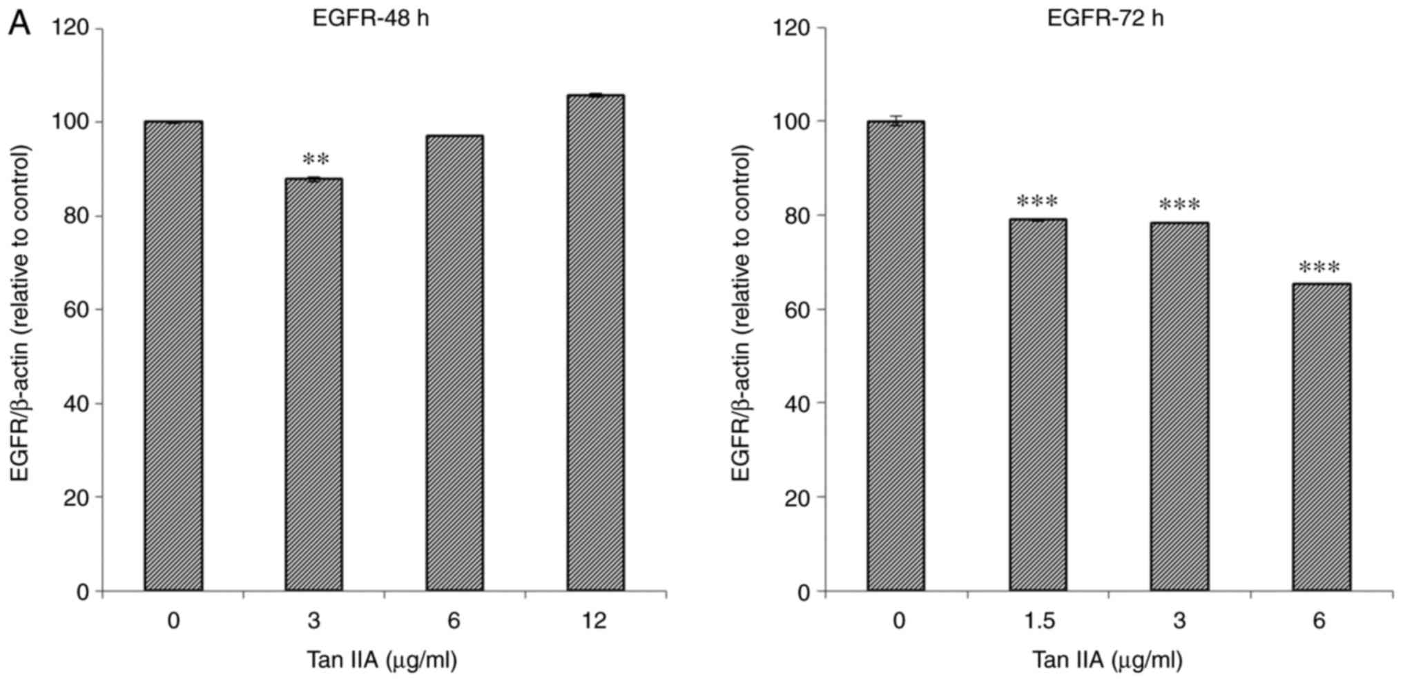
Dose-dependent effects of Tan-IIA on the protein expression levels of EGFR, IGF1R, VEGFR, Ras, Raf, MEK, ERK, PI3K, AKT, mTOR and PTEN in MiaPaCa-2 cells

MiaPaCa-2 cells were treated with various concentrations (0, 3, 6 and 12 µg/ml) of Tan-IIA for 48 h or with various concentrations (0, 1.5, 3 and 6 µg/ml) of Tan-IIA for 72 h, after which the protein expression levels were evaluated by western blot analysis (Fig. 2). The results revealed that Tan-IIA significantly decreased the protein expression levels of Ras (Fig. 2D and M), Raf (Fig. 2E and L), MEK (Fig. 2F and M), ERK (Fig. 2G and M), AKT (Fig. 2I and L) and PTEN (Fig. 2K and L) at 48 and 72 h. However, the protein expression levels of IGF1R (Fig. 2C and M) and PI3K (Fig. 2H and L) were significantly decreased only in response to 48 h treatment. The protein expression levels of mTOR (Fig. 2J and L) were significantly decreased only in response to 72 h treatment. The protein expression levels of EGFR (Fig. 2A and L) were significantly decreased in response to all concentrations of Tan-IIA after 72 h and in response to 3 µg/ml Tan-IIA after 48 h.

Figure 2.

Dose-dependent effects of Tan-IIA on the protein expression levels of EGFR, IGF1R, VEGFR, Ras, Raf, MEK, ERK, PI3K, AKT, mTOR and PTEN in MiaPaCa-2 cells. The MiaPaCa-2 cells were treated with various concentrations (0, 3, 6 and 12 µg/ml) of Tan-IIA for 48 h or with various concentrations (0, 1.5, 3 and 6 µg/ml) of Tan-IIA for 72 h, and the protein expression levels were evaluated by western blot analysis. Protein expression levels of (A) EGFR. **P<0.01, ***P<0.001 compared with the control group. AKT, protein kinase B; EGFR, epidermal growth factor receptor; ERK, extracellular signal-regulated kinase; IGF1R, insulin-like growth factor 1 receptor; MEK, mitogen-activated protein kinase kinase; mTOR, mammalian target of rapamycin; PI3K, phosphoinositide 3-kinase; PTEN, phosphatase and tensin homolog; VEGFR, vascular endothelial growth factor receptor. Protein expression levels of (B) VEGFR, (C) IGF1R, (D) Ras, (E) Raf. ***P<0.001 compared with the control group. AKT, protein kinase B; EGFR, epidermal growth factor receptor; ERK, extracellular signal-regulated kinase; IGF1R, insulin-like growth factor 1 receptor; MEK, mitogen-activated protein kinase kinase; mTOR, mammalian target of rapamycin; PI3K, phosphoinositide 3-kinase; PTEN, phosphatase and tensin homolog; VEGFR, vascular endothelial growth factor receptor. Protein expression levels of (F) MEK, (G) ERK, (H) PI3K, (I) AKT **P<0.01, ***P<0.001 compared with the control group. AKT, protein kinase B; EGFR, epidermal growth factor receptor; ERK, extracellular signal-regulated kinase; IGF1R, insulin-like growth factor 1 receptor; MEK, mitogen-activated protein kinase kinase; mTOR, mammalian target of rapamycin; PI3K, phosphoinositide 3-kinase; PTEN, phosphatase and tensin homolog; VEGFR, vascular endothelial growth factor receptor. (J) mTOR and (K) PTEN. (L and M) Representative images of western blots. **P<0.01, ***P<0.001 compared with the control group. AKT, protein kinase B; EGFR, epidermal growth factor receptor; ERK, extracellular signal-regulated kinase; IGF1R, insulin-like growth factor 1 receptor; MEK, mitogen-activated protein kinase kinase; mTOR, mammalian target of rapamycin; PI3K, phosphoinositide 3-kinase; PTEN, phosphatase and tensin homolog; VEGFR, vascular endothelial growth factor receptor.

Time-dependent effects of Tan-IIA on the protein expression levels of EGFR, IGF1R, VEGFR, Ras, Raf, MEK, ERK, PI3K, AKT, mTOR and PTEN in MiaPaCa-2 cells

MiaPaCa-2 cells were treated with Tan-IIA (6 µg/ml) for various durations (0, 24, 48 and 72 h) and the protein expression levels were evaluated by western blot analysis (Fig. 3). The results revealed that Tan-IIA significantly decreased the protein expression levels of EGFR (Fig. 3A and L), IGF1R (Fig. 3B and L), Raf (Fig. 3E and L) and MEK (Fig. 3F and L) in a time-dependent manner. However, the protein expression levels of ERK (Fig. 3G and L) and AKT (Fig. 3I and M) were significantly decreased only at 48 and 72 h; the protein expression levels of VEGFR (Fig. 3C and L) and mTOR (Fig. 3J and M) were significantly decreased only at 72 h; and PTEN (Fig. 3K and M) was only significantly decreased at 24 h. Tan-IIA significantly decreased the protein expression levels of Ras (Fig. 3D and L) and PI3K (Fig. 3H and M) at 24, 48 and 72 h, but expression was slightly higher at 48 h than at 24 and 72 h.

Figure 3.

Time-dependent effects of Tan-IIA on the protein expression levels of EGFR, IGF1R, VEGFR, Ras, Raf, MEK, ERK, PI3K, AKT, mTOR and PTEN in MiaPaCa-2 cells. MiaPaCa-2 cells were treated with Tan-IIA (6 µg/ml) for various durations (0, 24, 48 and 72 h) and the protein expression levels were evaluated by western blotting. Protein expression levels of (A) EGFR, (B) IGF1R, (C) VEGFR, (D) Ras, (E) Raf, (F) MEK *P<0.05, **P<0.01, ***P<0.001 compared with the control group. AKT, protein kinase B; EGFR, epidermal growth factor receptor; ERK, extracellular signal-regulated kinase; IGF1R, insulin-like growth factor 1 receptor; MEK, mitogen-activated protein kinase kinase; mTOR, mammalian target of rapamycin; PI3K, phosphoinositide 3-kinase; PTEN, phosphatase and tensin homolog; VEGFR, vascular endothelial growth factor receptor. Protein expression levels of (G) ERK, (H) PI3K, (I) AKT, (J) mTOR and (K) PTEN. (L and M) Representative images of western blots. *P<0.05, ***P<0.001 compared with the control group. AKT, protein kinase B; EGFR, epidermal growth factor receptor; ERK, extracellular signal-regulated kinase; IGF1R, insulin-like growth factor 1 receptor; MEK, mitogen-activated protein kinase kinase; mTOR, mammalian target of rapamycin; PI3K, phosphoinositide 3-kinase; PTEN, phosphatase and tensin homolog; VEGFR, vascular endothelial growth factor receptor.

Discussion

Ras is the most frequently mutated oncogene in human cancer (13). ERK belongs to the mitogen-activated protein kinase (MAPK) pathway, and dysregulation of the Ras/Raf/MAPK signal pathway has been well documented in tumorigenesis (14–16). AKT has an important role in apoptosis and cell production. Furthermore, PI3K can stimulate cellular survival and proliferation, and is required for activation of AKT (7,8). It is well known that the PI3K/Akt/mTOR pathway enables the proliferation and survival of cancer driven by growth factor receptors. The PI3K/Akt/mTOR pathway is another of the most frequently dysregulated kinase cascades in human cancer (9). Novel PI3K/AKT/mTOR pathway-targeting drugs can overcome everolimus resistance in pancreatic neuroendocrine tumors and cell lines (17). In pre-clinical and clinical studies, both Ras/Raf/MEK/ERK and PI3K/Akt/mTOR cascade inhibitors have been examined for possible uses (18–20). Natural products and their derivatives can overpower MAPK signaling and the PI3K pathways activated by oncogenic Ras (21).

The present results demonstrated that MiaPaCa-2 cells treated with Tan-IIA exhibited decreased protein expression levels of EGFR, IGF1R, VEGFR, Ras, Raf, MEK, ERK, PI3K, AKT and mTOR. These findings indicated that one of the molecular mechanisms through which Tan-IIA inhibits MiaPaCa-2 cells may be via decreasing EGFR, IGFR and VEGFR expression, and inhibiting the Ras/Raf/MEK/ERK and PI3K/Akt/mTOR pathway cascades. To the best of our knowledge, the present study is the first to reveal that Tan-IIA may inhibit MiaPaCa-2 pancreatic cancer cells through decreasing the protein expression levels of EGFR, IGFR and VEGFR, and inducing a dual blockade of Ras/Raf/MEK/ERK and PI3K/Akt/mTOR pathways (Fig. 4). Although advances have been made in systemic therapies, the use of adjuvant treatment in pancreatic cancer remains uncertain; and the 5-year survival rate for patients with early stage pancreatic cancer remains <25% (22). Further in vivo studies regarding the chemotherapeutic potential of Tan-IIA in human pancreatic cancer are required.

Figure 4.

Proposed model for the molecular mechanisms underlying the inhibitory effects of Tan-IIA on Mia PaCa-2 cells. AKT, protein kinase B; EGFR, epidermal growth factor receptor; ERK, extracellular signal-regulated kinase; IGF1R, insulin-like growth factor 1 receptor; MEK, mitogen-activated protein kinase kinase; mTOR, mammalian target of rapamycin; PI3K, phosphoinositide 3-kinase; PTEN, phosphatase and tensin homolog; VEGFR vascular endothelial growth factor receptor.

Acknowledgements

Not applicable.

Funding

The present study was supported by a grant from Changhua Christian Hospital (grant no. 103-CCHICO-003).

Availability of data and materials

All data generated or analyzed during this study are included in this published article.

Author contributions

CCS was involved in designing, performing the experiments and manuscript submission.

Ethics approval and consent to participate

Not applicable.

Patient consent for publication

Not applicable.

Competing interests

The author declares that they have no competing interests.

References

1 

Siegel RL, Miller KD and Jemal A: Cancer Statistics, 2016. Cancer J Clinical. 66:7–30. 2016. View Article : Google Scholar

2 

Che AJ, Zhang JY, Li CH, Chen XF, Hu ZD and Chen XG: Separation and determination of active components in Radix Salviae miltiorrhizae and its medicinal preparations by nonaqueous capillary electrophoresis. J Sep Sci. 27:569–575. 2004. View Article : Google Scholar : PubMed/NCBI

3 

Zhou L, Zuo Z and Chow MS: Danshen: An overview of its chemistry, pharmacology, pharmacokinetics, and clinical use. J Clin Pharmacol. 45:1345–1359. 2005. View Article : Google Scholar : PubMed/NCBI

4 

Conroy T, Desseigne F, Ychou M, Bouché O, Guimbaud R, Bécouarn Y, Adenis A, Raoul JL, Gourgou-Bourgade S, de la Fouchardière C, et al: FOLFIRINOX versus gemcitabine for metastatic pancreatic cancer. N Engl J Med. 364:1817–1825. 2011. View Article : Google Scholar : PubMed/NCBI

5 

Yuen JS and Macaulay VM: Targeting the type 1 insulin-like growth factor receptor as a treatment for cancer. Expert Opin Ther Targets. 12:589–603. 2008. View Article : Google Scholar : PubMed/NCBI

6 

Chitnis MM, Yuea JS, Protheroe AS, Pollak M and Macaulay VM: The type 1 insulin-like growth factor receptor pathway. Clin Cancer Res. 14:6364–6370. 2008. View Article : Google Scholar : PubMed/NCBI

7 

Santarpia L, Lippman SM and El-Naggar AK: Targeting the MAPK-RAS-RAF signaling pathway in cancer therapy. Expert Opin Ther Targets. 16:103–119. 2012. View Article : Google Scholar : PubMed/NCBI

8 

Liu P, Cheng H, Roberts TM and Zhao JJ: Targeting the phosphoinositide 3-kinase pathway in cancer. Nat Rev Drug Discov. 8:627–644. 2009. View Article : Google Scholar : PubMed/NCBI

9 

McCubrey JA, Steelman LS, Kempf CR, Chappell WH, Abrams SL, Stivala F, Malaponte G, Nicoletti F, Libra M, Basecke J, et al: Therapeutic resistance resulting from mutations in Raf/MEK/ERK and PI3K/PTEN/Akt/mTOR signaling pathways. J Cell Physiol. 226:2762–2781. 2011. View Article : Google Scholar : PubMed/NCBI

10 

Huang CY, Chiu TL, Kuo SJ, Chien SY, Chen DR and Su CC: Tanshinone IIA inhibits the growth of pancreatic cancer BxPC-3 cells by decreasing protein expression of TCTP, MCL-1 and Bcl-xL. Mol Med Rep. 7:1045–1049. 2013. View Article : Google Scholar : PubMed/NCBI

11 

Su CC: Tanshinone IIA could inhibit pancreatic cancer BxPC-3 cells through increasing PERK, ATF6, caspase-12 and CHOP expression to induce apoptosis. J Biomedical Sci Engineering. 8:149–159. 2015. View Article : Google Scholar

12 

Fronza M, Murillo R, Ślusarczyk S, Adams M, Hamburger M, Heinzmann B, Laufer S and Merfort I: In vitro cytotoxic activity of abietane diterpenes from Peltodon longipes as well as Salvia miltiorrhiza and Salvia sahendica. Bioorg Med Chem. 19:4876–4881. 2011. View Article : Google Scholar : PubMed/NCBI

13 

Kranenburgm O, Gebbink MF and Voest EE: Stimulation of angiogenesis by Ras proteins. Biochim Biophys Acta. 1654:23–37. 2004.PubMed/NCBI

14 

Boonstra J, Rijken P, Humbel B, Cremers F, Verkleij A and van Bergen en Henegouwen P: The epidermal growth factor. Cell Biol Int. 19:413–430. 1995. View Article : Google Scholar : PubMed/NCBI

15 

Cary LA, Han DC and Guan JL: Integrin-mediated signal transduction pathways. Histol Histopathol. 14:1001–1009. 1999.PubMed/NCBI

16 

Stacey DW: Cyclin D1 serves as a cell cycle regulatory switch in actively proliferating cells. Curr Opin Cell Biol. 15:158–163. 2003. View Article : Google Scholar : PubMed/NCBI

17 

Vandamme T, Beyens M, de Beeck KO, Dogan F, van Koetsveld PM, Pauwels P, Mortier G, Vangestel C, de Herder W, Van Camp G, et al: Long-term acquired everolimus resistance in pancreatic neuroendocrine tumours can be overcome with novel PI3K-AKT-mTOR inhibitors. Br J Cancer. 114:650–658. 2016. View Article : Google Scholar : PubMed/NCBI

18 

McCubrey JA, Steelman LS, Chappell WH, Abrams SL, Franklin RA, Montalto G, Cervello M, Nicoletti F, Fagone P, Malaponte G, et al: Mutations and deregulation of Ras/Raf/MEK/ERK and PI3K/PTEN/Akt/mTOR cascades which alter therapy response. Oncotarget. 3:954–987. 2012. View Article : Google Scholar : PubMed/NCBI

19 

Sebolt-Leopold JS: Advances in the development of cancer therapeutics directed against the Ras-mitogen-activated protein kinase pathway. Clin Cancer Res. 14:3651–3656. 2008. View Article : Google Scholar : PubMed/NCBI

20 

Haura EB, Ricart AD, Larson TG, Stella PJ, Bazhenova L, Miller VA, Cohen RB, Eisenberg PD, Selaru P, Wilner KD, et al: A phase II study of PD-0325901, an oral MEK inhibitor, in previously treated patients with advanced non-small cell lung cancer. Clin Cancer Res. 16:2450–2457. 2010. View Article : Google Scholar : PubMed/NCBI

21 

Quah SY, Tan MS, Teh YH and Stanslas J: Pharmacological modulation of oncogenic Ras by natural products and their derivatives: Renewed hope in the discovery of novel anti-Ras drugs. Pharmacol Ther. 162:35–57. 2016. View Article : Google Scholar : PubMed/NCBI

22 

Goodman MD and Saif MW: Adjuvant therapy for pancreatic cancer. JOP. 15:87–90. 2014.PubMed/NCBI

Related Articles

  • Abstract
  • View
  • Download
  • Twitter
Copy and paste a formatted citation
Spandidos Publications style
Su CC: Tanshinone IIA can inhibit MiaPaCa‑2 human pancreatic cancer cells by dual blockade of the Ras/Raf/MEK/ERK and PI3K/AKT/mTOR pathways. Oncol Rep 40: 3102-3111, 2018.
APA
Su, C. (2018). Tanshinone IIA can inhibit MiaPaCa‑2 human pancreatic cancer cells by dual blockade of the Ras/Raf/MEK/ERK and PI3K/AKT/mTOR pathways. Oncology Reports, 40, 3102-3111. https://doi.org/10.3892/or.2018.6670
MLA
Su, C."Tanshinone IIA can inhibit MiaPaCa‑2 human pancreatic cancer cells by dual blockade of the Ras/Raf/MEK/ERK and PI3K/AKT/mTOR pathways". Oncology Reports 40.5 (2018): 3102-3111.
Chicago
Su, C."Tanshinone IIA can inhibit MiaPaCa‑2 human pancreatic cancer cells by dual blockade of the Ras/Raf/MEK/ERK and PI3K/AKT/mTOR pathways". Oncology Reports 40, no. 5 (2018): 3102-3111. https://doi.org/10.3892/or.2018.6670
Copy and paste a formatted citation
x
Spandidos Publications style
Su CC: Tanshinone IIA can inhibit MiaPaCa‑2 human pancreatic cancer cells by dual blockade of the Ras/Raf/MEK/ERK and PI3K/AKT/mTOR pathways. Oncol Rep 40: 3102-3111, 2018.
APA
Su, C. (2018). Tanshinone IIA can inhibit MiaPaCa‑2 human pancreatic cancer cells by dual blockade of the Ras/Raf/MEK/ERK and PI3K/AKT/mTOR pathways. Oncology Reports, 40, 3102-3111. https://doi.org/10.3892/or.2018.6670
MLA
Su, C."Tanshinone IIA can inhibit MiaPaCa‑2 human pancreatic cancer cells by dual blockade of the Ras/Raf/MEK/ERK and PI3K/AKT/mTOR pathways". Oncology Reports 40.5 (2018): 3102-3111.
Chicago
Su, C."Tanshinone IIA can inhibit MiaPaCa‑2 human pancreatic cancer cells by dual blockade of the Ras/Raf/MEK/ERK and PI3K/AKT/mTOR pathways". Oncology Reports 40, no. 5 (2018): 3102-3111. https://doi.org/10.3892/or.2018.6670
Follow us
  • Twitter
  • LinkedIn
  • Facebook
About
  • Spandidos Publications
  • Careers
  • Cookie Policy
  • Privacy Policy
How can we help?
  • Help
  • Live Chat
  • Contact
  • Email to our Support Team