Spandidos Publications Logo
  • About
    • About Spandidos
    • Aims and Scopes
    • Abstracting and Indexing
    • Editorial Policies
    • Reprints and Permissions
    • Job Opportunities
    • Terms and Conditions
    • Contact
  • Journals
    • All Journals
    • Oncology Letters
      • Oncology Letters
      • Information for Authors
      • Editorial Policies
      • Editorial Board
      • Aims and Scope
      • Abstracting and Indexing
      • Bibliographic Information
      • Archive
    • International Journal of Oncology
      • International Journal of Oncology
      • Information for Authors
      • Editorial Policies
      • Editorial Board
      • Aims and Scope
      • Abstracting and Indexing
      • Bibliographic Information
      • Archive
    • Molecular and Clinical Oncology
      • Molecular and Clinical Oncology
      • Information for Authors
      • Editorial Policies
      • Editorial Board
      • Aims and Scope
      • Abstracting and Indexing
      • Bibliographic Information
      • Archive
    • Experimental and Therapeutic Medicine
      • Experimental and Therapeutic Medicine
      • Information for Authors
      • Editorial Policies
      • Editorial Board
      • Aims and Scope
      • Abstracting and Indexing
      • Bibliographic Information
      • Archive
    • International Journal of Molecular Medicine
      • International Journal of Molecular Medicine
      • Information for Authors
      • Editorial Policies
      • Editorial Board
      • Aims and Scope
      • Abstracting and Indexing
      • Bibliographic Information
      • Archive
    • Biomedical Reports
      • Biomedical Reports
      • Information for Authors
      • Editorial Policies
      • Editorial Board
      • Aims and Scope
      • Abstracting and Indexing
      • Bibliographic Information
      • Archive
    • Oncology Reports
      • Oncology Reports
      • Information for Authors
      • Editorial Policies
      • Editorial Board
      • Aims and Scope
      • Abstracting and Indexing
      • Bibliographic Information
      • Archive
    • Molecular Medicine Reports
      • Molecular Medicine Reports
      • Information for Authors
      • Editorial Policies
      • Editorial Board
      • Aims and Scope
      • Abstracting and Indexing
      • Bibliographic Information
      • Archive
    • World Academy of Sciences Journal
      • World Academy of Sciences Journal
      • Information for Authors
      • Editorial Policies
      • Editorial Board
      • Aims and Scope
      • Abstracting and Indexing
      • Bibliographic Information
      • Archive
    • International Journal of Functional Nutrition
      • International Journal of Functional Nutrition
      • Information for Authors
      • Editorial Policies
      • Editorial Board
      • Aims and Scope
      • Abstracting and Indexing
      • Bibliographic Information
      • Archive
    • International Journal of Epigenetics
      • International Journal of Epigenetics
      • Information for Authors
      • Editorial Policies
      • Editorial Board
      • Aims and Scope
      • Abstracting and Indexing
      • Bibliographic Information
      • Archive
    • Medicine International
      • Medicine International
      • Information for Authors
      • Editorial Policies
      • Editorial Board
      • Aims and Scope
      • Abstracting and Indexing
      • Bibliographic Information
      • Archive
  • Articles
  • Information
    • Information for Authors
    • Information for Reviewers
    • Information for Librarians
    • Information for Advertisers
    • Conferences
  • Language Editing
Spandidos Publications Logo
  • About
    • About Spandidos
    • Aims and Scopes
    • Abstracting and Indexing
    • Editorial Policies
    • Reprints and Permissions
    • Job Opportunities
    • Terms and Conditions
    • Contact
  • Journals
    • All Journals
    • Biomedical Reports
      • Information for Authors
      • Editorial Policies
      • Editorial Board
      • Aims and Scope
      • Abstracting and Indexing
      • Bibliographic Information
      • Archive
    • Experimental and Therapeutic Medicine
      • Information for Authors
      • Editorial Policies
      • Editorial Board
      • Aims and Scope
      • Abstracting and Indexing
      • Bibliographic Information
      • Archive
    • International Journal of Epigenetics
      • Information for Authors
      • Editorial Policies
      • Editorial Board
      • Aims and Scope
      • Abstracting and Indexing
      • Bibliographic Information
      • Archive
    • International Journal of Functional Nutrition
      • Information for Authors
      • Editorial Policies
      • Editorial Board
      • Aims and Scope
      • Abstracting and Indexing
      • Bibliographic Information
      • Archive
    • International Journal of Molecular Medicine
      • Information for Authors
      • Editorial Policies
      • Editorial Board
      • Aims and Scope
      • Abstracting and Indexing
      • Bibliographic Information
      • Archive
    • International Journal of Oncology
      • Information for Authors
      • Editorial Policies
      • Editorial Board
      • Aims and Scope
      • Abstracting and Indexing
      • Bibliographic Information
      • Archive
    • Medicine International
      • Information for Authors
      • Editorial Policies
      • Editorial Board
      • Aims and Scope
      • Abstracting and Indexing
      • Bibliographic Information
      • Archive
    • Molecular and Clinical Oncology
      • Information for Authors
      • Editorial Policies
      • Editorial Board
      • Aims and Scope
      • Abstracting and Indexing
      • Bibliographic Information
      • Archive
    • Molecular Medicine Reports
      • Information for Authors
      • Editorial Policies
      • Editorial Board
      • Aims and Scope
      • Abstracting and Indexing
      • Bibliographic Information
      • Archive
    • Oncology Letters
      • Information for Authors
      • Editorial Policies
      • Editorial Board
      • Aims and Scope
      • Abstracting and Indexing
      • Bibliographic Information
      • Archive
    • Oncology Reports
      • Information for Authors
      • Editorial Policies
      • Editorial Board
      • Aims and Scope
      • Abstracting and Indexing
      • Bibliographic Information
      • Archive
    • World Academy of Sciences Journal
      • Information for Authors
      • Editorial Policies
      • Editorial Board
      • Aims and Scope
      • Abstracting and Indexing
      • Bibliographic Information
      • Archive
  • Articles
  • Information
    • For Authors
    • For Reviewers
    • For Librarians
    • For Advertisers
    • Conferences
  • Language Editing
Login Register Submit
  • This site uses cookies
  • You can change your cookie settings at any time by following the instructions in our Cookie Policy. To find out more, you may read our Privacy Policy.

    I agree
Search articles by DOI, keyword, author or affiliation
Search
Advanced Search
presentation
Molecular Medicine Reports
Join Editorial Board Propose a Special Issue
Print ISSN: 1791-2997 Online ISSN: 1791-3004
Journal Cover
July-2015 Volume 12 Issue 1

Full Size Image

Sign up for eToc alerts
Recommend to Library

Journals

International Journal of Molecular Medicine

International Journal of Molecular Medicine

International Journal of Molecular Medicine is an international journal devoted to molecular mechanisms of human disease.

International Journal of Oncology

International Journal of Oncology

International Journal of Oncology is an international journal devoted to oncology research and cancer treatment.

Molecular Medicine Reports

Molecular Medicine Reports

Covers molecular medicine topics such as pharmacology, pathology, genetics, neuroscience, infectious diseases, molecular cardiology, and molecular surgery.

Oncology Reports

Oncology Reports

Oncology Reports is an international journal devoted to fundamental and applied research in Oncology.

Experimental and Therapeutic Medicine

Experimental and Therapeutic Medicine

Experimental and Therapeutic Medicine is an international journal devoted to laboratory and clinical medicine.

Oncology Letters

Oncology Letters

Oncology Letters is an international journal devoted to Experimental and Clinical Oncology.

Biomedical Reports

Biomedical Reports

Explores a wide range of biological and medical fields, including pharmacology, genetics, microbiology, neuroscience, and molecular cardiology.

Molecular and Clinical Oncology

Molecular and Clinical Oncology

International journal addressing all aspects of oncology research, from tumorigenesis and oncogenes to chemotherapy and metastasis.

World Academy of Sciences Journal

World Academy of Sciences Journal

Multidisciplinary open-access journal spanning biochemistry, genetics, neuroscience, environmental health, and synthetic biology.

International Journal of Functional Nutrition

International Journal of Functional Nutrition

Open-access journal combining biochemistry, pharmacology, immunology, and genetics to advance health through functional nutrition.

International Journal of Epigenetics

International Journal of Epigenetics

Publishes open-access research on using epigenetics to advance understanding and treatment of human disease.

Medicine International

Medicine International

An International Open Access Journal Devoted to General Medicine.

Journal Cover
July-2015 Volume 12 Issue 1

Full Size Image

Sign up for eToc alerts
Recommend to Library

  • Article
  • Citations
    • Cite This Article
    • Download Citation
    • Create Citation Alert
    • Remove Citation Alert
    • Cited By
  • Similar Articles
    • Related Articles (in Spandidos Publications)
    • Similar Articles (Google Scholar)
    • Similar Articles (PubMed)
  • Download PDF
  • Download XML
  • View XML
Article

Ginsenoside Rg3 sensitizes human non‑small cell lung cancer cells to γ-radiation by targeting the nuclear factor-κB pathway

  • Authors:
    • Lei Wang
    • Xiankui Li
    • Yi‑Min Song
    • Bin Wang
    • Fu‑Rui Zhang
    • Rui Yang
    • Hua‑Qi Wang
    • Guo‑Jun Zhang
  • View Affiliations / Copyright

    Affiliations: Department of Respiratory Medicine, The First Affiliated Hospital of Zhengzhou University, Zhengzhou, Henan 450052, P.R. China, Department of Biochemistry and Molecular Biology, School of Basic Medicine, Tianjin Medical University, Tianjin 300060, P.R. China, Department of Pathology, The First Affiliated Hospital of Zhengzhou University, Zhengzhou, Henan 450052, P.R. China, Department of Orthopedics, General Hospital of Pingdingshan Shenma Medical Group, Pingdingshan, Henan 467000, P.R. China
  • Pages: 609-614
    |
    Published online on: February 27, 2015
       https://doi.org/10.3892/mmr.2015.3397
  • Expand metrics +
Metrics: Total Views: 0 (Spandidos Publications: | PMC Statistics: )
Metrics: Total PDF Downloads: 0 (Spandidos Publications: | PMC Statistics: )
Cited By (CrossRef): 0 citations Loading Articles...

This article is mentioned in:



Abstract

At present, it is elusive how non‑small cell lung cancer (NSCLC) develops resistance to γ‑radiation; however, the transcription factor nuclear factor‑κB (NF‑κB) and NF‑κB‑regulated gene products have been proposed as mediators. Ginsenoside Rg3 is a steroidal saponin, which was isolated from Panax ginseng. Ginsenoside Rg3 possesses high pharmacological activity and has previously been shown to suppress NF‑κB activation in various types of tumor cell. Therefore, the present study aimed to determine whether Rg3 could suppress NF‑κB activation in NSCLC cells and sensitize NSCLC to γ‑radiation, using an NSCLC cell line and NSCLC xenograft. A clone formation assay and lung tumor xenograft experiment were used to assess the radiosensitizing effects of ginsenoside Rg3. NF‑κB/inhibitor of NF‑κB (IκB) modulation was ascertained using an electrophoretic mobility shift assay and western blot analysis. NF‑κB‑regulated gene products were monitored by western blot analysis. The present study demonstrated that ginsenoside Rg3 was able to sensitize A549 and H1299 lung carcinoma cells to γ‑radiation and significantly enhance the efficacy of radiation therapy in C57BL/6 mice bearing a Lewis lung carcinoma cell xenograft tumor. Furthermore, ginsenoside Rg3 suppressed NF‑κB activation, phosphorylation of IκB protein and expression of NF‑κB‑regulated gene products (cyclin D1, c‑myc, B‑cell lymphoma 2, cyclooxygenase‑2, matrix metalloproteinase‑9 and vascular endothelial growth factor), a number of which were induced by radiation therapy and mediate radioresistance. In conclusion, the results of the present study suggested that ginsenoside Rg3 may potentiate the antitumor effects of radiation therapy in NSCLC by suppressing NF‑κB activity and NF‑κB‑regulated gene products, leading to the inhibition of tumor progression.

Introduction

Lung cancer is the leading cause of cancer-associated mortality and was responsible for 160,340 estimated mortalities in the United States in 2012, >80% of which were diagnosed as non-small cell lung cancer (NSCLC) (1). The treatment for NSCLC includes stage-dependent therapy, surgery, radiotherapy and chemotherapy. In addition, adjuvant methods, including molecular-targeted therapy, are vital choices (2). As a therapeutic strategy for the treatment of NSCLC, irradiation is the first choice under many circumstances. However, only ~20% of patients achieve complete pathological responses to irradiation, due to problems with radioresistance and toxicity (3). Efforts to improve this rate have focused on overcoming the resistance of NSCLC to radiation therapy by increasing the radiation dose, or by using radiosensitizers that may decrease its toxic effect (4); however, currently neither of these approaches has resulted in significantly improved outcomes.

Certain types of Chinese drugs have been shown to provide a rich resource for the identification of anticancer drugs. Previous and ongoing studies by our group focused on observing the anticancer activity of ginseng and related Chinese medicines. The roots of Panax ginseng have been used in the treatment of various disorders (5). Keum et al (6) previously reported that in HL-60 human pro-myelocytic leukemia cells, the antitumor effects of ginsenoside Rg3 are caused by inhibition of 12-O-tetradecanoylphorbol-13-acetate-induced activation of nuclear factor κB (NF-κB) (6). Since NF-κB inhibitors have radiosensitizing potential (7), the present study hypothesized that ginsenoside Rg3 may also radiosensitize NSCLC cells.

In the present study, the hypothesis that ginsenoside Rg3 may be able to radiosensitize NSCLC cells was investigated by measuring the effects of ginsenoside Rg3 on the growth of cultured NSCLC cells and NSCLC xenografts in C57BL/6 mice, both of which were exposed to radiation. The present study demonstrated that ginsenoside Rg3 sensitized NSCLC to radiation by down-regulating NF-κB-regulated gene products, leading to inhibition of tumor progression.

Materials and methods

Materials and cell culture

Raw ginseng (Jilin province, China) was steamed at 120°C using an autoclave (Techeng Machinery Equipment Ltd., Shanghai, China) for 2 h; the Rg3 content was then measured using high performance liquid chromatography, as previously reported by Kim et al (8). Primary polyclonal antibodies against inhibitor of NF-κB (IκB; sc-371), phosphorylated (p)-IκB (sc-52943), matrix metalloproteinase-9 (MMP-9; sc-10737), cyclooxygenase-2 (COX-2; sc-23984), vascular endothelial growth factor (VEGF; sc-7269), B-cell lymphoma 2 (Bcl-2; sc-492) and β-actin (sc-8432) were diluted according to the manufacturer’s instructions and were obtained from Santa Cruz Biotechnology, Inc. (Dallas, TX, USA). Primary polyclonal antibodies against cyclin D (#2922) and c-myc (#9402) were obtained from Cell Signaling Technology, Inc. (Danvers, MA, USA). Horseradish peroxidase-conjugated secondary antibodies (1:4,000) were obtained from Santa Cruz Biotechnology, Inc. Parental A549 and H1299 human lung carcinoma cells, and the Lewis lung carcinoma cell line (LLC) were obtained from the Cell Center of the Chinese Academy of Medical Sciences (Beijing, China). Dulbecco’s modified Eagle’s medium (DMEM) and fetal bovine serum were purchased from Gibco Life Technologies (Carlsbad, CA, USA). All of the cell lines were cultured in DMEM supplemented with 10% fetal bovine serum, and maintained at 37°C in a humidified atmosphere containing 5% CO2. Cells in the exponential growth phase were used for subsequent experiments. The NF-κB Electrophoretic Mobility Shift assay (EMSA) kit was obtained from Viagene Biotech (Ningbo, China).

Stable cell lines were generated by transfecting A549 cells with the pNF-κB-TA-Luc reporter construct (Beyotime Institute of Biotechnology, Haimen, China) using GeneJuice® transfection reagent (Novagen®; EMD Millipore, Billerica, MA, USA), according to the manufacturer’s instructions. The plasmid pNF-κB-TA-Luc contains the luciferase gene sequence driven by an artificial promoter element with four NF-κB binding sites. Cells with genomic incorporation were selected on the basis of antibiotic resistance (geneticin; Invitrogen Life Technologies, Carlsbad, CA, USA). The newly generated cell line A549-pN-κB-TA-Luc was cultured in DMEM supplemented with geneticin (800 μg/ml) and was split (1:5) every seven days. The medium was refreshed after a growth period of six days. Lipopolysaccharide (1 μg/ml; Sigma-Aldrich, St. Louis, MO, USA) was added and incubated for 4 h at room temperature. Luciferase activity was then examined using a Luciferase Assay kit (Promega Corp., Madison, WI, USA) to evaluate the reporter response.

Clonogenic survival assay

A549 and H1299 cells were treated with vehicle (acetone; 2 μM) or 25 μM ginsenoside Rg3 for 24 h and were then irradiated with a single dose of 0, 1, 2, 4, 6, 8 and 10 Gy using a 60Co unit (FHC50; Shanghai Medical Instrument Factory, Shanghai, China) at room temperature. Ginsenoside Rg3 was rinsed away by washing cells in sterile saline over 3 h, and the cells were trypsinized and replated in 60-mm Petri dishes at an appropriate cell density: 0 Gy, 40/ml; 1 Gy, 60/ml; 2 Gy, 1.5×102/ml; 4 Gy, 3.0×102/ml; 6 Gy, 8.0×102/ml, 8 Gy, 1.6×103/ml; 10 Gy, 5.0×103/ml. Colony formation was achieved by incubation for 10–14 days. At the end of the experiment the cells were stained with Giemsa (Beyotime Institute of Biotechnology) and the colonies were counted. The plating efficiency (PE) and survival fraction (SF) were calculated using the following equations: PE=(colony number/inoculating cell number) ×100%; SF=PE (tested group)/PE (0 Gy group) ×100%. A dose-survival curve was obtained for each experiment and used for calculating survival parameters. Parallel samples were set at each radiation dosage. The survival curve was plotted using Origin 7.5 software (OriginLab Corporation, Northampton, MA, USA), using the following equation: SF=1−(1−e−D/D0)N. The cellular radiosensitivity (mean lethal dose, D0), the capacity for sublethal damage repair (quasi-threshold dose, Dq) and the extrapolation number (N) were calculated according to the multitarget, single-hit model. The D0 values were used to calculate sensitizer enhancement ratios (SER) (9).

In vivo antitumor effects of ginsenoside Rg3 with or without radiation

Six-week-old male C57BL/6 mice provided by Zhengzhou University (Zhengzhou, China) were used in the present study. All experiments were approved by the Ethical Committee of Zhengzhou University Health Science Center (Zhengzhou, China). The mice were maintained in a climate-controlled room at 20°C with a 12 h light/dark cycle and had free access to standard mice chow and water. A total of 0.2 ml LLC cells (1×107 cells/ml) were injected subcutaneously into the right hind leg of C57BL/6 mice. Tumor volume was determined using caliper measurements of the tumor length (L) and width (W), according to the following formula: Tumor volume=0.5236× W2 × L (10). Treatment was initiated when the tumors in each group had reached an average volume of 200 mm3, at ~6 days post innoculation. The mice were randomly assigned to the following treatment groups (n=8): Untreated controls; irradiation only; ginsenoside Rg3 only (10 mg/kg twice per week, orally); and combination of ginsenoside Rg3 and irradiation. Mice in the control and radiation-only groups were administrated with the acetone vehicle. Tumors in the legs were exposed to 8 Gy of γ-radiation using a 60Co irradiator at a rate of 1 Gy/min immediately following treatment with the drug. The time for the tumor volume to increase by five baseline values was calculated for each mouse. The median times and standard errors were calculated for each group.

EMSA

Protein (15 μg) was extracted from cell nuclei using a nuclear extraction kit (Viagene Biotech); the protein was then prepared, stored and qualified by methods described previously (11). No reducing agents were added to the EMSAs. EMSA was performed using a DNA-Protein Binding Detection kit (Viagene Biotech), according to the manufacturer’s instructions. Briefly, an NF-κB oligonucleotide probe (5′-AGTTGAGGGGACTTTCCCAGGC-3′) was labeled with biotin. The binding reaction was carried out in a 10-μl mixture containing 1 μl 10X incubation buffer, 1 μl poly(deoxyinosinic-deoxycytidylic) and nuclear extracts. Following a 20-min incubation at room temperature, 0.5 μl biotin-labeled probe was added to the samples. Following a further incubation for 20 min at room temperature, the samples were separated by 6% non-denaturing polyacrylamide gel (Applygen Technologies, Inc., Beijing, China), at 150 V for 2 h at 4°C. Subsequently, the gel was dried and exposed to X-ray film (Kodak, Tokyo, Japan).

Assay of NF-κB transcription/promoter activity

A total of 5×104 viable A549-pNF-κB-TA-Luc cells were seeded into each well of a 24-well plate. After 12 h, the cells were exposed to 60Co radiation (8 Gy) and were then harvested 3 or 6 h later. In the combination group, the cells were pretreated with 25 μM ginsenoside Rg3 24 h prior to irradiation. Luciferase activity was examined using a Luciferase Assay kit (Promega Corp.).

Western blot analysis

Whole cell lysate were collected and protein concentrations were determined using a Bradford protein Assay kit (P1511; Applygen Technologies, Inc.). Protein (40 mg) was denatured and fractionated using 12% SDS-PAGE and then electrophoretically transferred to polyvinylidene fluoride membranes (Pall Corporation, Port Washington, NY, USA). Membranes were blocked using Tris-buffered saline with Tween-20 (TBST) of 5% non-fat milk (Applygen Technologies, Inc. Applygen Technologies, Inc.) for 1 h. The membranes were subsequently probed with primary antibodies for IκB, p-IκB, MMP-9, COX-2, VEGF, cyclin D, c-myc, Bcl-2 and β-actin. The blots were then probed with appropriate horseradish peroxidase-conjugated secondary antibodies (Santa Cruz Biotechnology, Inc.). Blots were developed using a Supersignal Chemiluminescent Detection kit (Pierce Biotechnology, Inc., Rockford, IL, USA) and protein bands were visualized using a Kodak Image Station 400 and Kodak 1D 3.6 software (Kodak). β-actin was used as an internal control.

Statistical analysis

Unless otherwise stated, values are expressed as the mean ± standard deviation. For comparisons between groups, a one-way analysis of variance was used. The significance of the difference between the means of two variables was determined using a paired Student’s t-test. SPSS 13.0 software (SPSS, Inc., Chicago, IL, USA) was used for all statistical analyses. P<0.05 was considered to indicate a difference, and P<0.01 was considered to indicate a statistically significant difference.

Results

Ginsenoside Rg3 radiosensitizes NSCLC cells in vitro

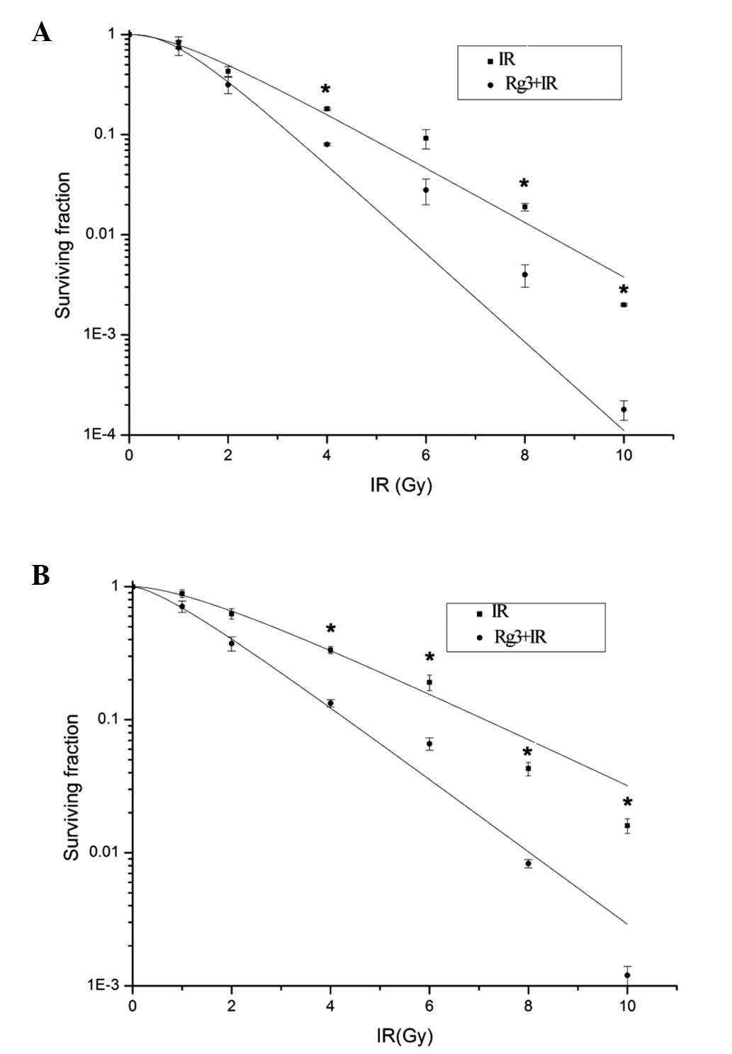
To examine the radiosensitizing effects of Rg3 on NSCLC cells in vitro, a clonogenic survival assay was conducted using A549 and H1299 cells. Prior to irradiation the cells were pretreated with vehicle or ginsenoside Rg3. At the end of the experiment the colonies were counted, and survival curves were generated for the vehicle-treated and ginsenoside Rg3-treated cell groups (Fig. 1). For the A549 cell line (Fig. 1A), the radiobiological parameters of ginsenoside Rg3-treated cells were: D0=0.971, Dq=1.021 and N=2.752; whereas the parameters of the vehicle-treated cells were D0=1.612, Dq=1.135 and N=2.124. The SER for the A549 cells was SER=D0(vehicle)/D0(Rg3)=1.671. For the H1299 cell line, (Fig. 1B) the radiobiological parameters of ginsenoside Rg3-treated cells were: D0=1.583, Dq=0.674 and N=1.538, whereas the parameters of the vehicle-treated cells were D0=2.598, Dq=1.463 and N=1.793. The SER for the H1229 cells was SER=D0 (vehicle)/D0(Rg3)=1.639. These results indicated that ginsenoside Rg3 may possess significant radio-sensitizing effects in A549 and H1299 cells.

Figure 1

Dose-survival curves of (A) A549 and (B) H1299 human lung carcinoma cells following irradiation, with or without ginsenoside Rg3 treatment 24 h prior to irradiation. In the IR groups (■), the cells were exposed to various doses of radiation. In Rg3+IR groups (•), the cells were pretreated with Rg3 (25 μM). The results are expressed as the mean ± standard deviation. *P<0.01 vs. corresponding Rg3+IR group. IR, irradiation group; Rg3+IR, combination group.

Ginsenoside Rg3 radiosensitizes NSCLC in vivo

The radio-sensitizing effects of ginsenoside Rg3 on NSCLC were also determined in vivo, using an LLC xenograft model in C57BL/6 mice. Based on tumor volume measurements calculated following tumor cell implantation, the mice were randomized into four groups (n=8), as described in the Materials and methods. Treatment with ginsenoside Rg3 was initiated after randomization. In the untreated vehicle group, the time for the normalized tumor volume to reach five times the original volume was five days; for the ginsenoside Rg3-treated group the time was six days; for the irradiation-treated group the time was 14 days; and for the combined ginsenoside Rg3/irradiation-treated group the time was 22 days (Fig. 2). The enhancement factor was calculated as 1.78, as determined by dividing the normalized tumor growth delay of the combined groups (17 days) by the absolute tumor growth delay of the radiation-only group (nine days).

Figure 2

Ginsenoside Rg3 sensitizes tumors to radiation in C57BL/6 mice inoculated with Lewis lung carcinoma cells (LLC). Tumor volume of mice treated with control, Rg3, IR and a combination of Rg3+IR. Rg3 was administered following inoculation of LLC cells, when the tumor sizes were palpable (~200 mm3, ~6 day post inoculation). Rg3 was administered orally twice per week, and IR was given once or combined with Rg3. Tumors were measured daily using Vernier calipers and calculated. IR, irradiation. Data are presented as the mean ± standard deviation.

Ginsenoside Rg3 suppresses radiation-induced NF-κB activation

Radiation induces cell death through DNA damage. In order to prevent these injuries, numerous signaling pathways in tumor cells are stimulated, among which the NF-κB pathway has been shown to have a key role (12). Furthermore, NF-κB has previously been identified as a direct target of ginsenoside Rg3 (6). Therefore, the present study investigated the effects of ginsenoside Rg3 on radiation-induced NF-κB activation. Irradiation increased NF-κB DNA binding activity, which was suppressed by pretreatment with ginsenoside Rg3 (Fig. 3A). These results were confirmed by NF-κB luciferase reporter assays (Fig. 3B). These data suggested that ginsenoside Rg3 may suppress radiation-induced NF-κB activation in NSCLC cells.

Figure 3

Ginsenoside Rg3 inhibits DNA binding and reporter gene expression in response to IR. (A) Rg3 inhibited DNA binding in response to IR. A549 human lung carcinoma cells were exposed to IR and harvested after 6 h. Nuclear extracts were probed for NF-κB activation by electrophoretic mobility shift assay. (B) Rg3 inhibited reporter gene expression in response to IR. A549 cells stably transfected with the NF-κB luciferase reporter plasmid, were treated with IR (8 Gy) with or without Rg3 pretreatment (25 μM) for 24 h. Six hours after IR, the relative NF-κB activity was measured by luciferase assay. In the Rg3 group, the cells were treated with Rg3 (25 μM) for 24 h. The results are presented as relative activity compared with untreated control cells, and are presented as the mean ± standard deviation from three assay wells. The experiment was repeated three times. *P<0.05 vs. the IR group; **P<0.01 vs. the control or IR group. NF-κB, nuclear factor kappa B; IR, irradiation.

Ginsenoside Rg3 inhibits radiation-induced IκB phosphorylation and degradation

In order to investigate how ginsenoside Rg3 was able to suppress radiation-induced NF-κB activation, the phosphorylation status of IκB was determined by western blot analysis. IκB phosphorylation leads to degradation of IκB and the release of cytoplasmic NF-κB for nuclear translocation and DNA binding (7). Irradiation decreased the protein expression levels of IκB, which was most obvious 3 h after radiation, whereas treatment with ginsenoside Rg3 (25 μM) significantly inhibited this radiation-induced decrease in IκB protein expression levels (Fig. 4).

Figure 4

Ginsenoside Rg3 inhibits radiation-induced activation of proteins upstream of NF-κB. IR induced IκBa degradation and phosphorylation, which was inhibited by Rg3. A549 human lung carcinoma cells were exposed to 6 Gy radiation and incubated for the indicated times. Cytoplasmic extracts were prepared and subjected to western blotting using anti-IκBa and anti-pIκBa antibodies. NF-κB, nuclear factor kappa B; IR, irradiation; IκBa, inhibitor of NF-κB.

Ginsenoside Rg3 downregulates the protein expression levels of NF-κB-regulated genes

NF-κB regulates tumor radioresistance through regulating the expression of Bcl-2, cyclin D1, c-myc, COX-2, VEGF and MMP-9 (13). Therefore, the present study examined the effects of radiation and ginsenoside Rg3 on the protein expression levels of these gene products by western blot analysis in the A549 cell line (Fig. 5). Treatment with ginsenoside Rg3 downregulated radiation-induced expression of Bcl-2, cyclin D1, c-myc, COX-2, VEGF and MMP-9. These results suggested that ginsenoside Rg3 may sensitize NSCLC cells to radiation through modulation of NF-κB-regulated gene products.

Figure 5

Ginseonside Rg3 downregulates the protein expression levels of NF-κB-regulated gene products in A549 human lung carcinoma cells. Western blotting demonstrated that a combination of Rg3 and radiation inhibited the expression levels of NF-κB-dependent gene products, including B-cell lymphoma 2 (Bcl-2), cyclin D1, c-myc, cyclooxygenase (COX)-2, vascular endothelial growth factor (VEGF) and matrix metalloproteinase (MMP)-9.

Discussion

Radiotherapy has an important role in NSCLC therapy; however, radioresistance and toxicity are barriers to its successful application. Radiosensitizers are designed to enhance the destruction of tumor cells, whilst exhibiting reduced adverse effects on normal tissues, which may partly solve the radioresistance problem. Research regarding radiosensitizers has focused on proteins associated with cell signaling and growth receptors (14). As a key transcription factor, NF-κB regulates numerous genes participating in cell proliferation, invasion, angiogenesis, metastasis, suppression of apoptosis and treatment resistance in tumors (13). Numerous inhibitors of NF-κB have been shown to possess radiosensitizing effects (15–19). Therefore, targeting the NF-κB pathway may provide a novel method for improving current radiosensitizing effects in NSCLC.

Numerous studies have investigated radiosensitizer compounds; however, several of these compounds have been shown to be too toxic (20). Due to their immune-regulating effects, various Asian herbs have been reported to exhibit radiosensitizing effects in vivo as well as in vitro (21–23). Ginseng is widely used in numerous cultures, particularly in China, for the prevention and treatment of numerous types of disease, including cancer (24). Ginsenoside Rg3 is a major ginseng saponin derived from heat-processed ginseng (Sun Ginseng), which has been reported to possess anti-inflammatory and anti-tumor promoting effects via inhibiting NF-κB activation (6). Due to the key role of NF-κB in radio-resistance, the present study investigated the radiosensitizing effects of ginsenoside Rg3.

The clonogenic assay is a common method used to evaluate the effects of radiation on cell death. To study the radiosensitizing effects of ginsenoside Rg3 on NSCLC, two lung carcinoma cell lines, A549 and H1299, were selected. The SER in the two cell lines was shown to be >1, which suggested that ginsenoside Rg3 exhibits radiosensitizing effects on these cells. Furthermore, the radiosensitizing effects of ginsenoside Rg3 were observed in C57BL/6 mice bearing LLC xenografts. These results indicated that ginsenoside Rg3 has the tendency to increase the curative effects of radiation therapy without obvious toxic effects, thus suggesting that ginsenoside Rg3 may possess vast potential as a novel radiosensitizer.

To study the mechanisms underlying the radiosensitizing effects of ginsenoside Rg3, EMSA and luciferase reporter assays were performed. The radiosensitizing effects of ginsenoside Rg3 were most obvious at 8 Gy (data not shown); therefore, this dosage level was selected for the subsequent studies. The EMSA demonstrated that NF-κB DNA binding activity was markedly increased following 8 Gy irradiation, and this effect was inhibited by pretreatment with ginsenoside Rg3. The luciferase reporter assay also demonstrated that treatment with ginsenoside Rg3 inhibited radiation-induced NF-κB expression.

NF-κB is a ubiquitous eukaryotic transcription factor and is a dimer of Rel family proteins. NF-κB is inhibited by IκB and is usually sequestered in the cytoplasm, where it loses its DNA binding effect. However, when cells are exposed to extracellular stimulation, IκB is degraded, following phosphorylation, and NF-κB can subsequently translocate into the nucleus, where it triggers the transcription of a wide array of genes that are crucial for diverse physiological responses (13). Numerous distinct NF-κB activation pathways have been described (25). Among them, the classical pathway has been the most-well studied. Following exposure to irradiation, IKB kinase β, which is necessary and sufficient for phosphorylation of IκB, is activated. IκB is then degraded following phosphorylation, resulting in the release of NF-κB protein. NF-κB may then translocate into the nucleus, where it binds DNA sites, and various genes responsible for irradiation resistance are stimulated (26). The results of the present study demonstrated that by inhibiting phosphorylation of IκB, ginsenoside Rg3 inhibited the radiation-induced activation of NF-κB, resulting in a radio-sensitizing effect. However, there may be other potential targets for the radiosensitizing effects of ginsenoside Rg3, including its anti-angiogenic effect (27).

In conclusion, the present study demonstrated that ginsenoside Rg3 exhibited a radiosensitizing effect in NSCLC cell lines and a xenograft model. Furthermore, the clinical verification of ginsenoside Rg3 as a radiosensitizer of NSCLC is of considerable interest, due to its affordability, immune regulating effect, ease of oral administration and lack of toxicity. All of these properties make ginsenoside Rg3 a promising novel anti-tumor agent for the treatment of NSCLC.

References

1 

Siegel R, Naishadham D and Jemal A: Cancer statistics, 2012. CA Cancer J Clin. 62:10–29. 2012. View Article : Google Scholar : PubMed/NCBI

2 

Lal R, Enting D and Kristeleit H: Systemic treatment of non-small-cell lung cancer. Eur J Cancer. 47:S375–S377. 2011. View Article : Google Scholar : PubMed/NCBI

3 

Cole AJ, Hanna GG, Jain S and O’Sullivan JM: Motion management for radical radiotherapy in non-small cell lung cancer. Clin Oncol (R Coll Radiol). 26:67–80. 2014. View Article : Google Scholar

4 

Wardman P: Chemical radiosensitizers for use in radiotherapy. Clin Oncol (R Coll Radiol). 19:397–417. 2007. View Article : Google Scholar

5 

Jia L, Zhao Y and Liang XJ: Current evaluation of the millennium phytomedicine- ginseng (II): Collected chemical entities, modern pharmacology and clinical applications emanated from traditional Chinese medicine. Curr Med Chem. 16:2924–2942. 2009. View Article : Google Scholar :

6 

Keum YS, Han SS, Chun KS, et al: Inhibitory effects of the ginsenoside Rg3 on phorbol ester-induced cyclooxygenase-2 expression, NF-kappaB activation and tumor promotion. Mutat Res. 523–524:75–85. 2003. View Article : Google Scholar

7 

Munshi A, Kurland JF, Nishikawa T, et al: Inhibition of constitutively activated nuclear factor-kappaB radiosensitizes human melanoma cells. Mol Cancer Ther. 3:985–992. 2004.PubMed/NCBI

8 

Kim WY, Kim JM, Han SB, et al: Steaming of ginseng at high temperature enhances biological activity. J Nat Prod. 63:1702–1704. 2000. View Article : Google Scholar

9 

Wang Z, Cook T, Alber S, et al: Adenoviral gene transfer of the human inducible nitric oxide synthase gene enhances the radiation response of human colorectal cancer associated with alterations in tumor vascularity. Cancer Res. 64:1386–1395. 2004. View Article : Google Scholar : PubMed/NCBI

10 

Miyake H, Tolcher A and Gleave ME: Antisense Bcl-2 oligodeoxynucleotides inhibit progression to androgen-independence after castration in the Shionogi tumor model. Cancer Res. 59:4030–4034. 1999.PubMed/NCBI

11 

Takada Y, Khuri FR and Aggarwal BB: Protein farnesyltransferase inhibitor (SCH 66336) abolishes NF-kappaB activation induced by various carcinogens and inflammatory stimuli leading to suppression of NF-kappaB-regulated gene expression and up-regulation of apoptosis. J Biol Chem. 279:26287–26299. 2004. View Article : Google Scholar : PubMed/NCBI

12 

Kunnumakkara AB, Diagaradjane P, Guha S, et al: Curcumin sensitizes human colorectal cancer xenografts in nude mice to gamma-radiation by targeting nuclear factor-kappaB-regulated gene products. Clin Cancer Res. 14:2128–2136. 2008. View Article : Google Scholar : PubMed/NCBI

13 

Shen HM and Tergaonkar V: NFkappaB signaling in carcinogenesis and as a potential molecular target for cancer therapy. Apoptosis. 14:348–363. 2009. View Article : Google Scholar : PubMed/NCBI

14 

Yu SD, Liu FY and Wang QR: Notch inhibitor: a promising carcinoma radiosensitizer. Asian Pac J Cancer Prev. 13:5345–5351. 2012. View Article : Google Scholar

15 

Aravindan N, Madhusoodhanan R, Ahmad S, Johnson D and Herman TS: Curcumin inhibits NFkappaB mediated radio-protection and modulate apoptosis related genes in human neuroblastoma cells. Cancer Biol Ther. 7:569–576. 2008. View Article : Google Scholar : PubMed/NCBI

16 

Johnson GE, Ivanov VN and Hei TK: Radiosensitization of melanoma cells through combined inhibition of protein regulators of cell survival. Apoptosis. 13:790–802. 2008. View Article : Google Scholar : PubMed/NCBI

17 

Raffoul JJ, Wang Y, Kucuk O, Forman JD, Sarkar FH and Hillman GG: Genistein inhibits radiation-induced activation of NF-kappaB in prostate cancer cells promoting apoptosis and G2/M cell cycle arrest. BMC Cancer. 6:1072006. View Article : Google Scholar : PubMed/NCBI

18 

Sun Y, St Clair DK, Fang F, et al: The radiosensitization effect of parthenolide in prostate cancer cells is mediated by nuclear factor-kappaB inhibition and enhanced by the presence of PTEN. Mol Cancer Ther. 6:2477–2486. 2007. View Article : Google Scholar : PubMed/NCBI

19 

Kamer S, Ren Q and Dicker AP: Differential radiation sensitization of human cervical cancer cell lines by the proteasome inhibitor velcade (bortezomib, PS-341). Arch Gynecol Obstet. 279:41–46. 2009. View Article : Google Scholar

20 

Eberhardt W, Pöttgen C and Stuschke M: Chemoradiation paradigm for the treatment of lung cancer. Nat Clin Pract Oncol. 3:188–199. 2006. View Article : Google Scholar : PubMed/NCBI

21 

Block WD, Merkle D, Meek K and Lees-Miller SP: Selective inhibition of the DNA-dependent protein kinase (DNA-PK) by the radiosensitizing agent caffeine. Nucleic Acids Res. 32:1967–1972. 2004. View Article : Google Scholar : PubMed/NCBI

22 

Chendil D, Ranga RS, Meigooni D, Sathishkumar S and Ahmed MM: Curcumin confers radiosensitizing effect in prostate cancer cell line PC-3. Oncogene. 23:1599–1607. 2004. View Article : Google Scholar : PubMed/NCBI

23 

Raffoul JJ, Banerjee S, Singh-Gupta V, et al: Down-regulation of apurinic/apyrimidinic endonuclease 1/redox factor-1 expression by soy isoflavones enhances prostate cancer radiotherapy in vitro and in vivo. Cancer Res. 67:2141–2149. 2007. View Article : Google Scholar : PubMed/NCBI

24 

Shibata S: Chemistry and cancer preventing activities of ginseng saponins and some related triterpenoid compounds. J Korean Med Sci. 16:S28–S37. 2001. View Article : Google Scholar : PubMed/NCBI

25 

Van Waes C: Nuclear factor-κB in development, prevention, and threapy of cancer. Clin Cancer Res. 13:1076–1082. 2007. View Article : Google Scholar : PubMed/NCBI

26 

Li N and Karin M: Ionizing radiation and short wavelength UV activate NF-kappaB through two distinct mechanisms. Proc Natl Acad Sci USA. 95:13012–13017. 1998. View Article : Google Scholar : PubMed/NCBI

27 

Kim JW, Jung SY, Kwon YH, et al: Ginsenoside Rg3 attenuates tumor angiogenesis via inhibiting bioactivities of endothelial progenitor cells. Cancer Biol Ther. 13:504–515. 2012. View Article : Google Scholar : PubMed/NCBI

Related Articles

  • Abstract
  • View
  • Download
  • Twitter
Copy and paste a formatted citation
Spandidos Publications style
Wang L, Li X, Song YM, Wang B, Zhang FR, Yang R, Wang HQ and Zhang GJ: Ginsenoside Rg3 sensitizes human non‑small cell lung cancer cells to γ-radiation by targeting the nuclear factor-κB pathway. Mol Med Rep 12: 609-614, 2015.
APA
Wang, L., Li, X., Song, Y., Wang, B., Zhang, F., Yang, R. ... Zhang, G. (2015). Ginsenoside Rg3 sensitizes human non‑small cell lung cancer cells to γ-radiation by targeting the nuclear factor-κB pathway. Molecular Medicine Reports, 12, 609-614. https://doi.org/10.3892/mmr.2015.3397
MLA
Wang, L., Li, X., Song, Y., Wang, B., Zhang, F., Yang, R., Wang, H., Zhang, G."Ginsenoside Rg3 sensitizes human non‑small cell lung cancer cells to γ-radiation by targeting the nuclear factor-κB pathway". Molecular Medicine Reports 12.1 (2015): 609-614.
Chicago
Wang, L., Li, X., Song, Y., Wang, B., Zhang, F., Yang, R., Wang, H., Zhang, G."Ginsenoside Rg3 sensitizes human non‑small cell lung cancer cells to γ-radiation by targeting the nuclear factor-κB pathway". Molecular Medicine Reports 12, no. 1 (2015): 609-614. https://doi.org/10.3892/mmr.2015.3397
Copy and paste a formatted citation
x
Spandidos Publications style
Wang L, Li X, Song YM, Wang B, Zhang FR, Yang R, Wang HQ and Zhang GJ: Ginsenoside Rg3 sensitizes human non‑small cell lung cancer cells to γ-radiation by targeting the nuclear factor-κB pathway. Mol Med Rep 12: 609-614, 2015.
APA
Wang, L., Li, X., Song, Y., Wang, B., Zhang, F., Yang, R. ... Zhang, G. (2015). Ginsenoside Rg3 sensitizes human non‑small cell lung cancer cells to γ-radiation by targeting the nuclear factor-κB pathway. Molecular Medicine Reports, 12, 609-614. https://doi.org/10.3892/mmr.2015.3397
MLA
Wang, L., Li, X., Song, Y., Wang, B., Zhang, F., Yang, R., Wang, H., Zhang, G."Ginsenoside Rg3 sensitizes human non‑small cell lung cancer cells to γ-radiation by targeting the nuclear factor-κB pathway". Molecular Medicine Reports 12.1 (2015): 609-614.
Chicago
Wang, L., Li, X., Song, Y., Wang, B., Zhang, F., Yang, R., Wang, H., Zhang, G."Ginsenoside Rg3 sensitizes human non‑small cell lung cancer cells to γ-radiation by targeting the nuclear factor-κB pathway". Molecular Medicine Reports 12, no. 1 (2015): 609-614. https://doi.org/10.3892/mmr.2015.3397
Follow us
  • Twitter
  • LinkedIn
  • Facebook
About
  • Spandidos Publications
  • Careers
  • Cookie Policy
  • Privacy Policy
How can we help?
  • Help
  • Live Chat
  • Contact
  • Email to our Support Team