Spandidos Publications Logo
  • About
    • About Spandidos
    • Aims and Scopes
    • Abstracting and Indexing
    • Editorial Policies
    • Reprints and Permissions
    • Job Opportunities
    • Terms and Conditions
    • Contact
  • Journals
    • All Journals
    • Oncology Letters
      • Oncology Letters
      • Information for Authors
      • Editorial Policies
      • Editorial Board
      • Aims and Scope
      • Abstracting and Indexing
      • Bibliographic Information
      • Archive
    • International Journal of Oncology
      • International Journal of Oncology
      • Information for Authors
      • Editorial Policies
      • Editorial Board
      • Aims and Scope
      • Abstracting and Indexing
      • Bibliographic Information
      • Archive
    • Molecular and Clinical Oncology
      • Molecular and Clinical Oncology
      • Information for Authors
      • Editorial Policies
      • Editorial Board
      • Aims and Scope
      • Abstracting and Indexing
      • Bibliographic Information
      • Archive
    • Experimental and Therapeutic Medicine
      • Experimental and Therapeutic Medicine
      • Information for Authors
      • Editorial Policies
      • Editorial Board
      • Aims and Scope
      • Abstracting and Indexing
      • Bibliographic Information
      • Archive
    • International Journal of Molecular Medicine
      • International Journal of Molecular Medicine
      • Information for Authors
      • Editorial Policies
      • Editorial Board
      • Aims and Scope
      • Abstracting and Indexing
      • Bibliographic Information
      • Archive
    • Biomedical Reports
      • Biomedical Reports
      • Information for Authors
      • Editorial Policies
      • Editorial Board
      • Aims and Scope
      • Abstracting and Indexing
      • Bibliographic Information
      • Archive
    • Oncology Reports
      • Oncology Reports
      • Information for Authors
      • Editorial Policies
      • Editorial Board
      • Aims and Scope
      • Abstracting and Indexing
      • Bibliographic Information
      • Archive
    • Molecular Medicine Reports
      • Molecular Medicine Reports
      • Information for Authors
      • Editorial Policies
      • Editorial Board
      • Aims and Scope
      • Abstracting and Indexing
      • Bibliographic Information
      • Archive
    • World Academy of Sciences Journal
      • World Academy of Sciences Journal
      • Information for Authors
      • Editorial Policies
      • Editorial Board
      • Aims and Scope
      • Abstracting and Indexing
      • Bibliographic Information
      • Archive
    • International Journal of Functional Nutrition
      • International Journal of Functional Nutrition
      • Information for Authors
      • Editorial Policies
      • Editorial Board
      • Aims and Scope
      • Abstracting and Indexing
      • Bibliographic Information
      • Archive
    • International Journal of Epigenetics
      • International Journal of Epigenetics
      • Information for Authors
      • Editorial Policies
      • Editorial Board
      • Aims and Scope
      • Abstracting and Indexing
      • Bibliographic Information
      • Archive
    • Medicine International
      • Medicine International
      • Information for Authors
      • Editorial Policies
      • Editorial Board
      • Aims and Scope
      • Abstracting and Indexing
      • Bibliographic Information
      • Archive
  • Articles
  • Information
    • Information for Authors
    • Information for Reviewers
    • Information for Librarians
    • Information for Advertisers
    • Conferences
  • Language Editing
Spandidos Publications Logo
  • About
    • About Spandidos
    • Aims and Scopes
    • Abstracting and Indexing
    • Editorial Policies
    • Reprints and Permissions
    • Job Opportunities
    • Terms and Conditions
    • Contact
  • Journals
    • All Journals
    • Biomedical Reports
      • Information for Authors
      • Editorial Policies
      • Editorial Board
      • Aims and Scope
      • Abstracting and Indexing
      • Bibliographic Information
      • Archive
    • Experimental and Therapeutic Medicine
      • Information for Authors
      • Editorial Policies
      • Editorial Board
      • Aims and Scope
      • Abstracting and Indexing
      • Bibliographic Information
      • Archive
    • International Journal of Epigenetics
      • Information for Authors
      • Editorial Policies
      • Editorial Board
      • Aims and Scope
      • Abstracting and Indexing
      • Bibliographic Information
      • Archive
    • International Journal of Functional Nutrition
      • Information for Authors
      • Editorial Policies
      • Editorial Board
      • Aims and Scope
      • Abstracting and Indexing
      • Bibliographic Information
      • Archive
    • International Journal of Molecular Medicine
      • Information for Authors
      • Editorial Policies
      • Editorial Board
      • Aims and Scope
      • Abstracting and Indexing
      • Bibliographic Information
      • Archive
    • International Journal of Oncology
      • Information for Authors
      • Editorial Policies
      • Editorial Board
      • Aims and Scope
      • Abstracting and Indexing
      • Bibliographic Information
      • Archive
    • Medicine International
      • Information for Authors
      • Editorial Policies
      • Editorial Board
      • Aims and Scope
      • Abstracting and Indexing
      • Bibliographic Information
      • Archive
    • Molecular and Clinical Oncology
      • Information for Authors
      • Editorial Policies
      • Editorial Board
      • Aims and Scope
      • Abstracting and Indexing
      • Bibliographic Information
      • Archive
    • Molecular Medicine Reports
      • Information for Authors
      • Editorial Policies
      • Editorial Board
      • Aims and Scope
      • Abstracting and Indexing
      • Bibliographic Information
      • Archive
    • Oncology Letters
      • Information for Authors
      • Editorial Policies
      • Editorial Board
      • Aims and Scope
      • Abstracting and Indexing
      • Bibliographic Information
      • Archive
    • Oncology Reports
      • Information for Authors
      • Editorial Policies
      • Editorial Board
      • Aims and Scope
      • Abstracting and Indexing
      • Bibliographic Information
      • Archive
    • World Academy of Sciences Journal
      • Information for Authors
      • Editorial Policies
      • Editorial Board
      • Aims and Scope
      • Abstracting and Indexing
      • Bibliographic Information
      • Archive
  • Articles
  • Information
    • For Authors
    • For Reviewers
    • For Librarians
    • For Advertisers
    • Conferences
  • Language Editing
Login Register Submit
  • This site uses cookies
  • You can change your cookie settings at any time by following the instructions in our Cookie Policy. To find out more, you may read our Privacy Policy.

    I agree
Search articles by DOI, keyword, author or affiliation
Search
Advanced Search
presentation
Molecular Medicine Reports
Join Editorial Board Propose a Special Issue
Print ISSN: 1791-2997 Online ISSN: 1791-3004
Journal Cover
July-2019 Volume 20 Issue 1

Full Size Image

Sign up for eToc alerts
Recommend to Library

Journals

International Journal of Molecular Medicine

International Journal of Molecular Medicine

International Journal of Molecular Medicine is an international journal devoted to molecular mechanisms of human disease.

International Journal of Oncology

International Journal of Oncology

International Journal of Oncology is an international journal devoted to oncology research and cancer treatment.

Molecular Medicine Reports

Molecular Medicine Reports

Covers molecular medicine topics such as pharmacology, pathology, genetics, neuroscience, infectious diseases, molecular cardiology, and molecular surgery.

Oncology Reports

Oncology Reports

Oncology Reports is an international journal devoted to fundamental and applied research in Oncology.

Experimental and Therapeutic Medicine

Experimental and Therapeutic Medicine

Experimental and Therapeutic Medicine is an international journal devoted to laboratory and clinical medicine.

Oncology Letters

Oncology Letters

Oncology Letters is an international journal devoted to Experimental and Clinical Oncology.

Biomedical Reports

Biomedical Reports

Explores a wide range of biological and medical fields, including pharmacology, genetics, microbiology, neuroscience, and molecular cardiology.

Molecular and Clinical Oncology

Molecular and Clinical Oncology

International journal addressing all aspects of oncology research, from tumorigenesis and oncogenes to chemotherapy and metastasis.

World Academy of Sciences Journal

World Academy of Sciences Journal

Multidisciplinary open-access journal spanning biochemistry, genetics, neuroscience, environmental health, and synthetic biology.

International Journal of Functional Nutrition

International Journal of Functional Nutrition

Open-access journal combining biochemistry, pharmacology, immunology, and genetics to advance health through functional nutrition.

International Journal of Epigenetics

International Journal of Epigenetics

Publishes open-access research on using epigenetics to advance understanding and treatment of human disease.

Medicine International

Medicine International

An International Open Access Journal Devoted to General Medicine.

Journal Cover
July-2019 Volume 20 Issue 1

Full Size Image

Sign up for eToc alerts
Recommend to Library

  • Article
  • Citations
    • Cite This Article
    • Download Citation
    • Create Citation Alert
    • Remove Citation Alert
    • Cited By
  • Similar Articles
    • Related Articles (in Spandidos Publications)
    • Similar Articles (Google Scholar)
    • Similar Articles (PubMed)
  • Download PDF
  • Download XML
  • View XML
Article

Callistephin enhances the protective effects of isoflurane on microglial injury through downregulation of inflammation and apoptosis

  • Authors:
    • Lili Zhao
    • Shibiao Chen
    • Tianyin Liu
    • Xiuhong Wang
    • Haijin Huang
    • Weicheng Liu
  • View Affiliations / Copyright

    Affiliations: Department of Anesthesiology, The First Affiliated Hospital of Nanchang University, Nanchang, Jiangxi 330006, P.R. China
  • Pages: 802-812
    |
    Published online on: May 22, 2019
       https://doi.org/10.3892/mmr.2019.10282
  • Expand metrics +
Metrics: Total Views: 0 (Spandidos Publications: | PMC Statistics: )
Metrics: Total PDF Downloads: 0 (Spandidos Publications: | PMC Statistics: )
Cited By (CrossRef): 0 citations Loading Articles...

This article is mentioned in:



Abstract

Microglia are the major immune cells in the central nervous system. Microglial activation can be beneficial or detrimental depending on the stimuli and the physiopathological environment. Microglial activation is involved in a variety of neurodegenerative disorders. Different anesthetic agents have exhibited diverse effects on microglial activation and the engulfment process. The anthocyanin callistephin has been demonstrated to have antioxidant and anti‑inflammatory properties, and these were assessed in the present study, with a focus on its effect on microglial activation. Mouse microglial cells C8‑4B were treated with 100 ng/µl lipopolysaccharide (LPS) and 1 ng/µl interferon‑γ. Cells were subsequently treated with 2% isoflurane, 100 µM callistephin or both. LPS promoted apoptosis in C8‑B4 cells, and this was reduced following treatment with isoflurane and callistephin. LPS‑treated C8‑B4 cells also exhibited enhanced production of reactive oxygen species and nitric oxide, excessive engulfment and increased caspase 3/7 activity. These detrimental alterations were suppressed following co‑treatment with isoflurane and callistephin. LPS‑induced apoptosis was facilitated via the expression of B‑cell lymphoma‑2 like 1 and poly (ADP‑ribose) polymerase, which were subsequently restored following treatment with isoflurane and callistephin. Callistephin was demonstrated to be involved in the modulation of inducible nitric oxide synthase, cytochrome c oxidase subunit 2, tumor necrosis factor‑α and nuclear factor‑κ B. Callistephin enhanced the protective effects of isoflurane by modulating engulfment and apoptosis in C8‑B4 cells. The potential underlying mechanism was identified to be the suppression of p38 phosphorylation. The present study thus suggested that the negative effects on microglial activity induced by LPS were ameliorated following treatment with callistephin, which also enhanced the effects of isoflurane. Callistephin may therefore constitute a candidate drug agent that may target inflammatory and growth regulatory signaling pathways, thus ameliorating certain aspects of neurodegenerative diseases.

Introduction

Microglial cells are the major immune cell in the central nervous system (CNS), responding against types of endogenous and exogenous stimuli, including infection by bacteria, viruses, prions and β-amyloid plaques (1). Microglia are activated upon exposure to different stimuli and, depending on the environmental context, this may be beneficial or detrimental to the functionality and physiology of the CNS (2). The effects of microglial phagocytosis are primarily beneficial, as it eliminates dead cells and induces cellular anti-inflammatory response. Removing dead or decaying cellular components may also prevent proinflammatory intracellular responses, thus contributing to a reduction in inflammatory burden (3). However, microglial activation and subsequent phagocytosis may exacerbate cell cytotoxicity and neuroinflammation (4). This may in turn cause a respiratory burst, producing toxic reactive oxygen/nitrogen species (ROS/RNS), which lead to oxidative damage (5). Cellular systems are constantly exposed to various toxic and mutagenic substances that cause the generation of reactive metabolites. These free radicals collectively induce oxidative stress, which may cause damage to the cellular components or the cells themselves, thus disturbing physiological functions. The protective strategies against oxidative stress primarily include the initiation of cellular detoxification systems, which, in the CNS, involves the recruitment of antioxidant enzymes in microglial cells.

Volatile anesthetics like isoflurane have been reported to reduce lipopolysaccharide (LPS) and interferon (IFN)-γ induced neuronal inflammation and apoptosis (6,7). However, the effect of volatile anesthetics on microglial phagocytosis/engulfment requires further elucidation, particularly regarding its potential detrimental consequences. The anesthetic propofol has been reported to reduce arterial blood flow in the brain, reducing intracranial pressure and maintaining the metabolic blood-oxygen supply ratio even during hypoxia, suggesting that it may have protective effects against hypoxic brain damage (8–10). Propofol may also serve a protective role via the modulation of Ca2+ and the reduction of free radicals in a γ-aminobutyric acid (GABA) and N-methyl-D-aspartate (NMDA) receptor dependent manner (11–14). All volatile anesthetics differ in potency, function and adverse effects when used in different physiological conditions (15,16). Isoflurane (2-chloro-2-(difluoromethoxy)-1,1, 1-trifluoro-ethane; CHF2-O-CHCl-CF3) is a halogenated ether used as inhalational anesthetic, and has been reported to exhibit preventative roles in neonatal hypoxia-ischemia induced brain injury (17) and neurodegenerative diseases (18). Isoflurane has also been reported to have beneficial effects in animal models of various other diseases, including LPS-induced acute lung inflammation and injury (19,20), glucose-induced oxidative stress (21), renal ischemia/reperfusion injury (22) and cardiac injury models (23).

Anthocyanins, glycosides of anthocyanidins, are the compounds responsible for colors observed in plants (24). Anthocyanins have recently attracted consideration due to their wide range of potential bio-pharmacological benefits, including anti-inflammatory, antioxidant, antiproliferative, antitumor and cardioprotective properties (24–28). Anthocyanin-rich extract administration to vitamin E-depleted rats has been demonstrated to have protective effects against tert-butyl hydroperoxide-induced hepatic toxicity by decreasing lipid peroxidation and DNA damage (29,30). Anthocyanins, being glucosides, have high water solubility, which allows them to be directly absorbed and dissolved in the blood (31), and may be incorporated into cellular membranous compartments, including the cytosol (32). Anthocyanins have also been reported to have free radical scavenging and antioxidant activity (33). Therefore, these glycosides may aid in the prevention of chronic pathophysiological conditions, particularly considering that oxidative stress is a key factor in the development of numerous pathologies, including neurodegenerative diseases (34,35). For instance, anthocyanin metabolites have been reported to protect PC12 cells and SH-SY5Y neuroblastoma cells from oxidative stress induced by hydrogen peroxide (36–38); and treatment of retinal ganglion cells with anthocyanidin components from bilberries has been reported to rescue cells from oxidative stress induced by peroxynitrite and to protect cells from excitotoxicity (39). Callistephin (pelargonidin-3-O-glucoside) is a glucoside consisting about 60–80% of the total anthocyanin content in strawberries (40). Callistephin is found in various berries, and has been prospectively used in a number of preventive studies (40). Callistephin has been reported to have high activity equivalence to Trolox, suggesting that it may be a potent intrinsic antioxidant and may suppress free radical generation (41).

Therefore, the present study was designed to evaluate the effects of callistephin and isoflurane on microglial engulfment induced by LPS and IFN-γ in mouse microglial cells. The study evaluated the association of callistephin with isoflurane in exerting anti-inflammatory and antioxidant effects in cells exposed to LPS.

Materials and methods

Cell culture

Mouse microglial cloned C8-B4 cells (CRL-2540™), isolated from the cerebellum of an 8-day old mouse, were procured from the American Type Culture Collection (Manassas, VA, USA). The C8-B4 microglial cells were cultured in Dulbecco's modified Eagle's medium (DMEM; Thermo Fisher Scientific, Inc., Waltham, MA, USA) containing 4 mM L-glutamine, 4,500 mg/l glucose, 1 mM sodium pyruvate, 1,500 mg/l sodium bicarbonate, and supplemented with 10% heat-inactivated fetal bovine serum (Thermo Fisher Scientific, Inc.), penicillin and streptomycin (100 U/ml), in an incubator (New Brunswick; Eppendorf, Hamburg, Germany) with a humidified atmosphere with 5% CO2, at 37°C. The culture medium was changed every 48–72 h to maintain the cell cultures.

LPS/IFN-γ treatment and isoflurane exposure

Mouse microglial C8-B4 cells were challenged with LPS and IFN-γ at 100 and 1 ng/µl concentrations, respectively, for 24 h at 37°C, as previously reported (41). Cells were exposed to isoflurane after 2 h of LPS/INF-γ administration, in an airtight chamber at the aforementioned temperature and atmospheric conditions. Isoflurane was supplemented via a vaporizer for 1 h. The isoflurane concentration was measured from the outlet of the chambers using an Infrared Gas Analyzer (GE Healthcare, Chicago, IL, USA). This was performed to ensure that the isoflurane was kept at a constant concentration for the duration of the treatment. The isoflurane-exposed cells were transferred from the airtight sealed chamber to normal cell culture conditions for further incubation at 37°C for 24 h. Following optimization and the establishment of anesthetic effect, a concentration of 2% isoflurane was used for further experimental procedures. Callistephin (Sigma-Aldrich; Merck KGaA, Darmstadt, Germany) was dissolved in dimethyl sulfoxide (DMSO), ensuring a final concentration of 0.1% DMSO in the cell cultures.

Cell viability analysis

Mouse microglial C8-B4 cells were plated at a density of 5,000 cells/well in 96-well plates for 24 h. The medium was removed and replaced with fresh medium. Cells were treated with LPS and INF-γ, followed by exposure to isoflurane as described earlier. Isoflurane was tested at concentrations of 1, 2, 4, 6, 8 and 10% in an independent viability optimization assay. Callistephin was tested at 50, 100, 150, 200, 300 and 400 µM concentrations for 24 h in an independent viability optimization assay. Following the previous tests for optimization of cell viability, 2% isoflurane and 200 µM callistephin were chosen for further experimental procedures. Microglial cell viability was determined by the Cell Titer Glo (CTG) 2.0 assay kit (Promega Corporation, Madison, WI, USA), according to a modified version of the manufacturer's protocol, since luminescence was stabilized for 15 min instead of 10 min. The CTG 2.0 assay is a consistent method of determining the number of viable cells in cultures. This is achieved via quantification of the amount of ATP present, which serves as an indicator of metabolically active cells. This method is a luminescent cell viability assay system ideal for automated high-throughput screening of cell proliferation and cytotoxicity assays (42). C8-B4 cells in 96-well plates were treated with CTG reagent, and luminescence was measured using an ELISA microplate spectrophotometer at 490 nm. Cell viability is presented as the percentage of viable cells as compared with the vehicle control (100%).

Cell engulfment analysis

Cell engulfment was assessed using Nile red polystyrene microspheres (1.0 µm; Sigma-Aldrich; Merck KGaA) at a concentration of 10,000 particles/ml cell culture. Microglial C8-B4 cells were exposed to different treatment conditions in 6-well culture plates for 24 h. Subsequently, Nile red polystyrene microspheres were added to the culture wells and incubated for 30 min at 37°C in a CO2 incubator with 5% CO2. Engulfment was facilitated by bovine serum albumin (BSA; Thermo Fisher Scientific, Inc.) supplementation as an opsonizing agent. Cells were washed with PBS and fixed with 100% methanol for 15 min at 4°C. Cells were permeabilized with 0.1% Triton X-100 diluted in PBS for 15 min, and blocked with 1% BSA for 30 min at room temperature. Following blocking, cells were incubated with rabbit monoclonal anti-Iba1 antibody (cat. no. ab178847; Abcam, Cambridge, UK; dilution, 1:1,000) in the dark at 4°C overnight, and incubated with horseradish peroxidase-conjugated goat anti-rabbit IgG secondary antibody (cat. no. ab6702; Abcam; dilution, 1:5,000) for 1 h at room temperature the following day. The cells were washed, and the nuclei were counterstained with Hoechst 33342 staining reagent for 10 min at room temperature. Fixed and stained cells were imaged under a fluorescence microscope (Zeiss AG, Oberkochen, Germany; magnification, ×40) equipped with a digital microscopic camera system. The percentage of engulfed microglial cells was calculated as: No. of microglial cells with fluorescent microspheres/total no. microglial cells ×100, and compared with the control.

Measurement of ROS in microglial cells

The antioxidant activity of callistephin in C8-B4 cells was determined by measuring the production of ROS using a fluorescent indicator kit, namely the dichlorofluorescein diacetate (DCFDA) assay kit (Thermo Fisher Scientific, Inc.), according to the manufacturer's instructions. Briefly, mouse microglial C8-B4 cells were plated at a density of 5,000 cells/well in 96-well plates for 24 h. The medium was removed and replaced with fresh medium. Cells were treated with LPS and IFN-γ, followed by exposure to isoflurane as described earlier. Cells were treated with 100 µM callistephin for 24 h. Subsequently, medium from the culture wells was removed and replaced with fresh medium containing DCFDA (20 µM). The plates were incubated at 37°C for 30 min, the DCFDA-containing medium was removed and the cells were washed. The amount of ROS production in cells was measured using a fluorescence ELISA microplate spectrophotometer at excitation and emission wavelengths of 495 and 529 nm, respectively. The relative fluorescence units (RFU) were counted for each treatment groups.

Measurement of total nitric oxide (NO) generation

The production of total NO in microglial C8-B4 cells was determined via the Greiss reagent assay kit (Invitrogen; Thermo Fisher Scientific, Inc.), according to the manufacturer's instructions. Briefly, mouse microglial C8-B4 cells were plated at a density of 5,000 cells/well in 96-well plates for 24 h. Following the addition of fresh medium, cells were treated with LPS and IFN-γ, exposed to isoflurane and treated with 100 µM callistephin for 24 h. Following incubation, culture medium from the treated plates was transferred to a 96-well plate for determination of total NO. The Griess reagent mixture was prepared by mixing equal volumes of Component A [N-(1-naphthyl)ethylenediamine] and Component B (sulfanilic acid). A total volume of 20 µl freshly prepared Griess reagent was added to each well of the 96-well plate, and incubated at room temperature for 30 min. The absorbance in each well was measured using an ELISA microplate spectrophotometer at 548 nm.

Measurement of caspase-3/7 activity in microglial cells

The apoptosis of microglial cells was further elucidated by analyzing the activation of caspases. Upon activation of apoptotic processes, executioner caspases-3 and 7 are frequently activated. Therefore, the levels of caspase-3/7 activity were verified using a Caspase-Glo 3/7 assay kit (Promega Corporation). The Caspase-Glo 3/7 assay is a pro-luminescent caspase-3/7 with the tetrapeptide DEVD bound to aminoluciferin. When caspase-3/7 are active, the DEVD-aminoluciferin is cleaved, releasing aminoluciferin, which has thermostable luciferase activity (43). The mouse microglial C8-B4 cells were plated at a density of 1×106 cells/well in 6-well plates. After 24 h, the medium was removed and replaced with fresh medium containing LPS and INF-γ, followed by exposure to isoflurane, as described earlier, and treatment with 100 µM callistephin for 24 h. Following incubation, caspase-Glo 3/7 assay was performed according to the manufacturer's instructions. The assay kit results in cell lysis which, upon the addition of caspase 3/7 assay reagent, produces a luminescent signal which is considered proportional to caspase 3/7 activity. The relative luminescence units (RLU) were counted in different treatment groups of cells using a spectrophotometer at 490 nm.

RNA isolation, cDNA synthesis, and semi-quantitative polymerase chain reaction (sqPCR)

C8-B4 cells were treated with LPS (100 ng/µl) and IFN-γ (1 ng/µl), isoflurane (2%), callistephin (100 µM) or a combination of the two for 24 h. Cells were collected, and RNA was isolated using TRIzol® reagent (ThermoFisher Scientific, Inc.), according to the manufacturer's instructions. RNA was quantified, and a total of 1 µg RNA per sample was subjected to cDNA synthesis using the Reverse Transcriptase SuperScript III kit (Thermo Fisher Scientific, Inc.) according to the manufacturer's protocol. The reaction was performed at 65°C for 5 min and then cooled on ice. Subsequently, the mixture containing the SuperScript III reverse transcriptase was incubated at 50°C for 1 h and at 70°C for 15 min. The obtained cDNA was subjected to PCR amplification with the iTaq DNA Polymerase (Bio-Rad Laboratories, Inc., Hercules, CA, USA) and dNTPs mix (Thermo Fisher Scientific, Inc.), using a Veriti™ Thermal Cycler (Applied Biosystems; Thermo Fisher Scientific, Inc.). The specific primers and thermocycling conditions used in the analysis were: Inducible nitric oxide synthase (iNOS) forward, 5′-GCAAACCCAAGGTCTACGTT-3′; iNOS reverse, 5′-GGAAAAGACTGCACCGAAGA-3′ (initial denaturation at 95°C for 5 min, followed by 35 cycles of 95°C for 1 min, 58°C for 1 min and 72°C for 1 min, with a final extension at 72°C for 10 min); tumor necrosis factor-α (TNF-α) forward, 5′-AGCACAGAAAGCATGATCCG-3′; TNF-α reverse, 5′-CTGATGAGAGGGAGGCCATT-3′ (initial denaturation at 95°C for 5 min, followed by 35 cycles of 95°C for 1 min, 59°C for 1 min and 72°C for 1 min, with a final extension at 72°C for 10 min); cytochrome c oxidase subunit 2 (COX-2) forward, 5′CCTGTGCCTGATGATTGC-3′; COX-2 reverse, 5′-CGGTGAAACTCTGGCTAG-3′ (initial denaturation at 95°C for 5 min, followed by 35 cycles of 95°C for 1 min, 58°C for 1 min and 72°C for 1 min, with a final extension at 72°C for 10 min); nuclear factor-κ B subunit/p65 (NF-κB-p65) forward, 5′-CCTCTGGCGAATGGCTTTAC-3′; NF-κB-p65 reverse, 5′-GCTATGGATACTGCGGTCTGG-3′ (initial denaturation at 95°C for 5 min, followed by 35 cycles of 95°C for 1 min, 60°C for 1 min and 72°C for 1 min, with a final extension at 72°C for 10 min); β-actin forward, 5′-ATCACTATTGGCAACGAGCG-3′; β-actin reverse 5′-TCAGCAATGCCTGGGTACAT-3′ (initial denaturation at 95°C for 5 min, followed by 35 cycles of 95°C for 1 min, 54°C for 30 sec and 72°C for 1 min, with a final extension at 72°C for 10 min). PCR products were separated via agarose gel electrophoresis (1.5%), and visualized using ethidium bromide. The agarose gels were scanned under UV light, and images were captured. The agarose gel bands were analyzed for band densitometry using Image J Software (version 1.5; National Institutes of Health, Bethesda, MD, USA).

Protein isolation and western blotting

Microglial C8-B4 cells, exposed to different treatment conditions in 6-well plates, were harvested by scraping, washed with cold PBS and pelleted by centrifugation at 5,000 × g for 10 min at 4°C. Cells were lysed in 0.5 ml cold cell lysis buffer [20 mM Tris pH 7.5, 1 mM EDTA, 150 mM NaCl, 2.5 mM sodium pyrophosphate, 1% Triton X-100, 1% sodium vanadate, 1 mM phenylmethylsulfonyl fluoride and a protease inhibitor cocktail (Sigma-Aldrich; Merck KGaA)] for 1 h in ice with intermittent vortex mixing. The cell lysate was centrifuged at 12,000 × g for 20 min at 4°C. The supernatant containing the total cellular protein was collected and the cell pellet was discarded. Protein estimation was performed from protein isolates using the Pierce bicinchoninic acid protein assay kit (Thermo Fisher Scientific, Inc.), according to the manufacturer's instructions. A total of 20 µg protein per sample was separated via 12% SDS-PAGE. Separated proteins were transferred onto polyvinylidene difluoride membranes using a western blot wet transfer system. Membranes with transferred proteins were blocked with 5% fat-free dried skimmed milk prepared in PBS with 0.1% Tween-20 (PBST) for 2 h at 4°C. Membranes were washed with PBST buffer and incubated with primary antibodies for different proteins overnight at 4°C. The following day, the membranes were washed and incubated with corresponding secondary antibodies for 1 h at room temperature. Protein bands were visualized using Pierce enhanced chemiluminescence detection reagent (Thermo Fisher Scientific, Inc.) on photographic film. The primary antibodies and respective dilutions used in the western blotting were: Anti-iNOS antibody (cat. no. ab3523; Abcam), 1:500 dilution; anti-Cox-2 antibody (cat. no. sc-1747; Santa Cruz Biotechnology, Inc., Dallas, TX, USA), 1:500 dilution; anti-NF-κB p65 antibody (cat. no. NB100-2176; Novus Biologicals, LLC, Littleton, CO, USA), 1:500 dilution; anti-GAPDH antibody (cat. no. MAB374; Merck KGaA), 1:500 dilution; anti-B-cell lymphoma 2 like 1 (Bcl-xL) antibody (cat. no. 2762; Cell Signaling Technology Inc., Danvers, MA, USA), 1:1,000 dilution; and poly (ADP-ribose) polymerase 1 (PARP) antibody (cat. no. 9542; Cell Signaling Technology Inc.), 1:1,000 dilution. The secondary antibodies used were: Horseradish peroxidase (HRP)-conjugated anti-rabbit (cat. no. ab6702; Abcam; dilution, 1:5,000), and HRP-conjugated anti-mouse (cat. no. ab97046; Abcam; dilution, 1:5,000).

Statistical analysis

Data are presented as the mean ± standard deviation of at least three independent experimental repeats. Data were analyzed using SPSS version 17 software (SPSS, Inc., Chicago, IL, USA) and the Systat SigmaPlot 11.0 statistical program (Systat Software Inc., San Jose, CA, USA). Data were statistically compared between groups using a one-way analysis of variance and Tukey's post-hoc test for multiple comparisons. P<0.05 was considered to indicate a statistically significant difference.

Results

Effects of isoflurane and callistephin on C8-B4 microglial cell viability

The neuroprotective effects of callistephin and isoflurane were evaluated in C8-B4 microglia exposed to inflammatory LPS/IFN-γ, using the CTG 2.0 method. Firstly, the effect of callistephin and isoflurane alone were assessed on C8-B4 cells in order to determine the effective cytotoxic concentration. The results presented in Fig. 1A indicated that callistephin did not affect cell viability at 50, 100, 150, 200 and 300 µM concentrations. The viability of cultured cells was decreased by 9% at 200 µM and 12% at 300 µM, but not significantly. However, callistephin at higher concentrations (400 µM) reduced cell viability by 18%, with statistical significance. This demonstrated that callistephin did not affect cell viability at moderate concentrations, but was slightly cytotoxic at concentrations >300 µM. Likewise, the effect of isoflurane exposure was also assessed on C8-4B cells. The results presented in Fig. 1B indicated that cell viability was unaffected with 1, 2, 4, 6 and 8% isoflurane. However, isoflurane was cytotoxic at 10% with statistical significance. At 10% isoflurane, 78% of cells were viable, which is indicative of the notable cytotoxicity of isoflurane at higher concentrations. Therefore, 100 µM callistephin and 2% isoflurane were used in the subsequent experiments, and similar concentrations have also been used in other studies (18,19,21,22).

Figure 1.

Effect of callistephin and isoflurane on the viability of LPS/IFN-γ-challenged cells. The viability of C8-B4 cells was verified following treatment with various concentrations of (A) callistephin and (B) isoflurane to determine the levels that caused significant cytotoxicity. (C) Control cells and cells challenged with LPS (100 ng/µl) and IFN-γ (1 ng/µl) were treated with 2% isoflurane, 100 µM callistephin or both, and cell viability was assayed and compared. The results indicated that isoflurane and callistephin may act synergistically and maintain cultured cells viable following the immune challenge. *P<0.05 vs. respective control; #P<0.05 vs. LPS/IFN-γ-challenged cells. LPS, lipopolysaccharide; IFN-γ, interferon-γ.

Subsequently, the effect of an immune challenge with 100 ng/µl LPS and 1 ng/µl IFN-γ on C8-B4 cells was assessed in the context of cell viability. Furthermore, the effect of treatment with isoflurane, callistephin or their combination on cell viability following the challenging step was also tested (Fig. 1C). The LPS/IFN-γ challenge to C8-B4 cells caused significant cytotoxicity, with 52±5% survival. The treatment of LPS/IFN-γ-challenged C8-B4 cells with 2% isoflurane had a preventative effect, with 68±5% survival (P<0.05 vs. control and vs. LPS/IFN-γ). Likewise, LPS/IFN-γ-challenged C8-B4 cells treated with 100 µM callistephin resulted in 74±6% survival (P<0.05 vs. control and vs. LPS/IFN-γ), meaning that callistephin exhibited a potent preventative effect. The combined treatment of LPS/IFN-γ-challenged C8-B4 cells with isoflurane and callistephin resulted in a strong synergistic effect. This co-treatment maintained survival at 91±6% (P<0.05 vs. LPS/IFN-γ; not significant vs. control). Therefore, these results indicated that the combination of callistephin and isoflurane maintained the viability of C8-B4 cells following an immune challenge with LPS/IFN-γ.

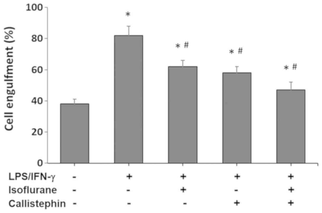
Effects of callistephin and isoflurane on microglial engulfment

Microglial phagocytosis involves engulfment of cellular material or entire cells. The process is followed by digestion of the material through lysosomal degradation (3,4). Cell engulfment was assessed using Nile red polystyrene microspheres, and the percentage of engulfed microglial cells is presented and compared with the control in Fig. 2. The control levels of microglial engulfment were 38±3% in the vehicle control. The challenge with LPS and IFN-γ increased the percentage of C8-B4 microglia engulfment to 82±6% (P<0.05 vs. control). Treatment with isoflurane, applied 2 h after the challenge with LPS and IFN-γ stimulation, caused a decrease in microglial engulfment to 62±4% (P<0.05 vs. LPS/IFN-γ and control). Similarly, treatment with callistephin decreased microglial engulfment to 58±4% (P<0.05 vs. LPS/IFN-γ and control). Lastly, co-treatment of LPS/IFN-γ-challenged C8-B4 microglial cells with isoflurane and callistephin decreased microglial engulfment to 47±5% (P<0.05 vs. LPS/IFN-γ and control). These results suggested that the combined effect of callistephin and isoflurane reduced the phagocytic responses of cultured microglia following an immune challenge with LPS/IFN-γ, which was expected considering the results of the cytotoxicity assay.

Figure 2.

Effect of callistephin and isoflurane on LPS/IFN-γ-induced engulfment. The phagocytic responses of control C8-B4 cells and cells challenged with LPS (100 ng/µl) and IFN-γ (1 ng/µl) were verified. Subsequently, challenged cells were treated with isoflurane, callistephin or co-treated with isoflurane and callistephin. The percentage of cell engulfment was compared between the different treatment groups. *P<0.05 vs. respective control; #P<0.05 vs. LPS/IFN-γ-challenged cells. LPS, lipopolysaccharide; IFN-γ, interferon-γ.

Callistephin prevents oxidative stress in microglia and enhances the effect of isoflurane

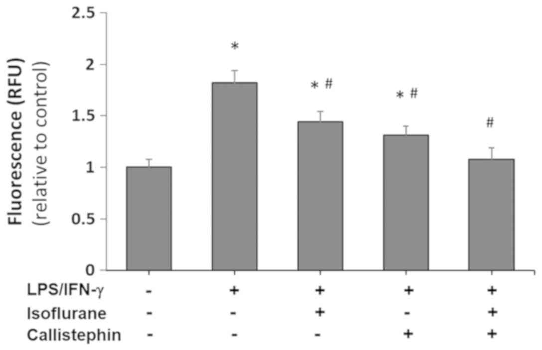
Metabolism of anthocyanins in the gut by microflora results in the production of phenolic acids and aldehydes. The metabolized anthocyanins have unique chemical structures derived from the parent compounds, and may be metabolized into phloroglucinol aldehyde (44,45). The possible beneficial health effects of anthocyanins may be therefore due to their metabolites. These have reported neuroprotective capabilities as they are thought to regulate the levels of oxidative stress mediators (44,46). Consequentially, the antioxidant potential of callistephin and the combination of callistephin and isoflurane were evaluated in C8-B4 microglia challenged with LPS and IFN-γ. A DCFDA assay was performed to assess the levels of ROS generated across the different treatment combinations (Fig. 3), and it demonstrated that ROS generation, (as indicated by RFU levels) drastically increased in LPS/IFN-γ-challenged C8-B4 cells by 1.82±0.12-fold compared with the control. LPS/IFN-γ-exposed C8-B4 cells treated with isoflurane alone produced 1.44-fold more ROS compared with control cells, while treatment with callistephin resulted in a 1.31-fold increase. The co-treatment of LPS/IFN-γ-challenged C8-B4 cells with isoflurane and callistephin prevented the production of ROS, as the RFU levels of the co-treatment group were similar to the control (P>0.05 vs. control). These results collectively indicated that callistephin may have been significantly effective in combination with isoflurane in reducing the oxidative stress generated following exposure to LPS/IFN-γ.

Figure 3.

Effect of callistephin and isoflurane on ROS generation. The levels of ROS generated in control (untreated) C8-B4 cells were verified via dichlorofluorescein diacetate. Subsequently, the levels of ROS of cells challenged with LPS (100 ng/µl) and IFN-γ (1 ng/µl) and treated with isoflurane, callistephin or in combination and ROS generation were determined as fold change relative to control, and compared between groups. *P<0.05 vs. control; #P<0.05 vs. LPS/IFN-γ. ROS, reactive oxygen species; LPS, lipopolysaccharide; IFN-γ, interferon-γ; RFU, relative fluorescence units.

Anti-inflammatory effects of callistephin and isoflurane on microglia

Nitrosative stress, caused by the generation and accumulation of toxic RNS, including NO and peroxynitrite, is capable of causing damage to vital cellular components. The damage may be generated, for instance, by modifications to S-nitrosylation, involved in protein homeostasis and the mitochondrial respiratory chain system (47). The generation of RNS and ROS is associated with diseases, including amyotrophic lateral sclerosis and Parkinson's disease (48). Neuroinflammatory processes may generate excess NO and peroxynitrite via activation of microglia, which is involved in the etiology and progression of certain neurodegenerative diseases (47–49). Therefore, compounds that effectively scavenge RNS or prevent NO generation may markedly suppress inflammatory responses in neuronal cells. This may be of therapeutic significance as it may ameliorate the symptoms of certain neurodegenerative diseases. Thus, the capabilities of callistephin and isoflurane in reducing the inflammatory responses in microglia challenged with LPS/INF-γ were evaluated. Common indicators of the inflammatory response in microglia include enhanced production of the inflammatory cytokine TNF-α (50) and the production of the proinflammatory proteins Cox-2 (51) and iNOS, the latter being responsible for the production of NO (52).

Firstly, NO levels in control and LPS/IFN-γ-challenged cells, treated with callistephin, isoflurane or both, were evaluated (Fig. 4). The results demonstrated that LPS/INF-γ induced a considerable increase in NO (32.6±2.3 µM) compared with the control (4.8±0.3 µM). The treatment of LPS-challenged C8-B4 cells with isoflurane led to a significant reduction in NO levels compared with the LPS/IFN-γ treatment (22.4±2.4 µM). Treatment with callistephin also resulted in a significant decrease in the NO levels (18.7±1.9 µM) compared with the LPS/IFN-γ treatment. The combination of callistephin and isoflurane prevented an increase in the NO levels following the immune challenge with LPS/IFN-γ, (9.2±2.2 µM; P>0.05 vs. control). Therefore, treatment with callistephin may have enhanced the protective effects of isoflurane in C8-B4 cells against nitrosative stress.

Figure 4.

Effect of callistephin and isoflurane on NO concentration. The levels of NO were measured in control C8-B4 cells, cells challenged with LPS (100 ng/µl) and IFN-γ (1 ng/µl), and challenged cells treated with isoflurane, callistephin or both. NO concentrations were determined using the Griess assay system, and absorbance was measured at 548 nm, with the NO concentration represented in µM. Overall, isoflurane, callistephin or co-treatment with both compounds resulted in a decrease in NO production. *P<0.05 vs. control; #P<0.05 vs. LPS/IFN-γ. NO, nitric oxide; LPS, lipopolysaccharide; IFN-γ, interferon-γ.

Secondly, the expression pattern of genes involved in inflammatory pathways were evaluated in the same treatment conditions. Thus, a semi-quantitative PCR analysis of iNOS, TNF-α, COX-2, and the p65 subunit of NF-κB was performed (Fig. 5A). The results revealed that LPS/IFN-γ exposure increased the expression of each gene compared with the control. LPS/IFN-γ-challenged C8-B4 cells treated with isoflurane exhibited lower expression levels for each gene, with the exception of NF-κB, whose expression was slightly increased. Challenged cells treated with callistephin exhibited lower expression levels of iNOS, TNF-α and COX-2, and slight increase in NF-κB levels. Lastly, the combination of callistephin with isoflurane reduced the expression level of iNOS, TNF-α and COX-2, while NF-κB expression was markedly reduced (Fig. 5A). The combined treatment was most effective on regulating the expression of iNOS gene, which is has been reported to be upregulated in certain neurodegenerative diseases (52,53). PCR also demonstrated that TNF-α and COX-2 expression were approximately equally suppressed by the combination of callistephin and isoflurane. However, NF-κB expression was only moderately reduced (Fig. 5A).

Figure 5.

Effect of callistephin and isoflurane on the expression of inflammatory genes and proteins. C8-B4 cells were treated with LPS (100 ng/µl) and IFN-γ (1 ng/µl), isoflurane (2%) and callistephin (100 µM) in the indicated combinations. (A) Gene expression was assessed via semi-quantitative polymerase chain reaction, using β-actin as control. The respective relative ratios of cDNA bands are indicated under each band. (B) Protein levels were assessed via western blotting using GAPDH as loading control. LPS, lipopolysaccharide; IFN-γ, interferon-γ; iNOS, inducible nitric oxide synthase; TNF-α, tumor necrosis factor-α; COX-2, cytochrome c oxidase subunit 2; NF-κB, nuclear factor-κ B subunit.

Lastly, the protein levels of iNOS, COX-2 and NF-κB were evaluated (Fig. 5B). The results indicated that C8-B4 cells challenged with LPS/IFN-γ exhibited higher levels of iNOS, COX-2 and NF-κB. The treatment of challenged C8-B4 cells with isoflurane or callistephin caused a reduction in the level of iNOS and COX-2 compared with the challenged cells. The combination of callistephin with isoflurane further reduced the expression levels of iNOS, COX-2 and NF-κB protein compared with the LPS/IFN-γ-challenged cells (Fig. 5B). The observations from gene and protein expression analysis suggested and strengthened the hypothesis that callistephin may synergistically interact with isoflurane to prevent microglial inflammation.

Callistephin and isoflurane protect against microglial inflammation via p38

Cell death induction in the context of inflammation is characterized by activation of caspase-3/7 (35), and this was also evaluated in the present study using a Caspase-Glo 3/7 assay. The results (Fig. 6) indicated that the activity of caspase-3/7 in C8-B4 cells challenged with LPS/IFN-γ increased 3.2-fold compared with the control (1-fold RFU). Treatment with isoflurane significantly decreased the caspase-3/7 activity levels (2.41-fold RFU) compared with LPS/IFN-γ challenged cells (P<0.05), yet they remained significantly higher than the control. Similarly, treatment with callistephin further decreased the caspase-3/7 activity (1.92-fold RFU) compared with LPS/IFN-γ challenge alone (P<0.05). Lastly, the combination of callistephin with isoflurane prevented an increase in caspase-3/7 activity (1.28-fold RFU) following the immune challenge with LPS/IFN-γ. The level of caspase activity observed with the co-treatment was significantly decreased compared with LPS/IFN-γ (P<0.05) and not significantly different compared with the control. These observations demonstrate that while isoflurane and callistephin may have suppressed the apoptosis in microglial cells, with callistephin being slightly more efficient, their combination may have synergistically prevented apoptosis in microglial cells challenged with LPS/IFN-γ.

Figure 6.

Effect of callistephin and isoflurane on microglial apoptosis. C8-B4 cells were treated with LPS (100 ng/µl) and IFN-γ (1 ng/µl), isoflurane (2%) and callistephin (100 µM) in the indicated combinations, and caspase activity was measured as an indicator of apoptosis using the Caspase 3/7-Glo. The luminescence was measured and calculated as the RLU change relative to the control. *P<0.05 vs. control; #P<0.05 vs. LPS/IFN-γ. LPS, lipopolysaccharide; IFN-γ, interferon-γ; RLU, relative luminescence units.

Microglial activation following CNS injury promotes phagocytosis, a process regulated by the mitogen-activated protein kinase (MAPK) p38 (54). p38 is a group of important intracellular signaling proteins that respond to cellular stress and inflammatory cytokines, including LPS challenge (54). Thus, to understand the probable mechanism underlying the observed effects of callistephin, its effect on the expression of proteins associated with cell growth signaling was evaluated (Fig. 7). The western blot analysis revealed that challenging C8-B4 cells with LPS/IFN-γ slightly downregulated the level of total p38, which was further recovered following treatment with isoflurane, callistephin or with their combination. The levels of phosphorylated p38 were upregulated in LPS/IFN-γ-challenged C8-B4 cells compared with the control group. This upregulation was decreased following treatment with isoflurane or callistephin. The combination of callistephin and isoflurane may have further reduced the challenge-induced increase in phosphorylation levels of p38.

Figure 7.

Effect of callistephin and isoflurane on p38 and apoptosis-associated proteins. C8-B4 cells were treated with LPS (100 ng/µl) and IFN-γ (1 ng/µl), isoflurane (2%) and callistephin (100 µM) in the indicated combinations. Protein expression was assessed via western blotting, using GAPDH as loading control. LPS, lipopolysaccharide; IFN-γ, interferon-γ; phospho, phosphorylated; Bcl-xL, B-cell lymphoma 2 like 1; PARP, poly (ADP-ribose) polymerase 1.

The relative levels of apoptosis-associated proteins Bcl-xL and PARP were further evaluated. The results (Fig. 7) suggested that LPS/IFN-γ-challenged C8-B4 cells may have exhibited reduced levels of Bcl-xL. This was further confirmed by analyzing PARP, as the presence of its cleaved form (89 kDa fragment) confirmed higher caspase activity following LPS/IFN-γ-challenge. Isoflurane or callistephin treatment may have elevated the levels of Bcl-xL and the activity of caspase-3 in LPS/IFN-γ-challenged C8-B4 cells. Likewise, compared with isoflurane, callistephin further reduced the level of cleaved-PARP, elevated following LPS/IFN-γ challenge. Furthermore, the combination of callistephin may have prevented alterations to the levels of both proteins compared with the control. These results suggest that LPS/IFN-γ-challenged microglial cells may have undergone inflammatory apoptotic cell death via p38 phosphorylation, and that the combination of callistephin and isoflurane may have prevented this apoptotic effect.

Discussion

Anthocyanins are a unique family of compounds with natural antioxidant properties that have attracted considerable attention for their therapeutic potential (24–30). Various types of berries, including blueberries, cranberries, chokeberries and lingonberries, contain a variety of polyphenolics with protective properties (24,32,33). Anthocyanin rich fractions have been reported to reduce oxidative stress, and to protect neurons from inflammatory response in the CNS (30). Anthocyanins may protect neurons from various damaging chemicals and processes, including carbon tetrachloride, psychological stress, d-galactose, accelerated senescence, ischemia/reperfusion or middle cerebral artery occlusion (55). Isoflurane is a volatile substance commonly used for neurosurgical procedures. Isoflurane, at clinically relevant concentrations, has been reported to reduce the inflammation, oxidative stress and NO production in microglia following exposure to LPS and IFN-γ in microglia (6,7). However, microglial overactivity may have detrimental consequences (2–4), as inflammation and phagocytosis may cause lasting harm to healthy neural tissue.

Thus, the present study aimed to understand the effects of isoflurane and callistephin following LPS/IFN-γ-induced inflammatory responses in mouse C8-4B microglial cells, and assessed the impact of callistephin in combination with isoflurane, a previously reported neuroprotective anesthetic agent (17–19). The results indicated that exposure to LPS/IFN-γ increased microglial engulfment, which is required for the removal of cell debris or damaging agents from the neural tissue (9). LPS/IFN-γ induced a strong immune response in microglia, which was verified by the increase in the expression inflammatory mediators like iNOS, TNF-α and COX-2, typical inflammation markers (47–49). The present results further suggested that treatment with isoflurane callistephin may have reduced microglial apoptosis by reducing p38 phosphorylation. Callistephin and isoflurane may have also reduced microglial engulfment responses and oxidative stress following an immune challenge. Notably, it is possible that callistephin may have enhanced the protective effects of isoflurane by suppressing inflammation and the consequent production of ROS and RNS.

The possible beneficial health effects of anthocyanin may be due to its metabolites, phenolic acids and poly-galacturonic acid, which have been shown to exhibit neuroprotective capabilities as they may regulate the levels of mediators of oxidative stress (44,45). Callistephin and kuromanin, anthocyanins derived from strawberries and black rice, were reported to exhibit neuroprotective effects against mitochondrial oxidative stress-induced death of cultured cerebellar granule neurons by reducing B-cell lymphoma-2 expression and reducing mitochondrial glutathione, and were also reported to reduce nitrosative stress (56,57). Two common phenolic acids, 4-hydroxybenzoic acid and protocatechuic acid, were observed to mitigate oxidative stress induced by hydrogen peroxide and may have suppressed neuronal cell death in cerebellar granule neurons (58). These reports seem to suggest that anthocyanins, including callistephin, may have neuroprotective and anti-inflammatory characteristics that may be of use in the treatment of certain aspects of neurodegenerative diseases.

Inflammatory immune responses in the CNS are primarily generated by microglia activation (4–6). The common markers of inflammatory responses in microglia include enhanced production of proinflammatory cytokines, including TNF-α (50), induction of proinflammatory proteins, including COX-2 (50) and promoting the activity of iNOS, which leads to the production of NO (52). In addition to oxidative stress, nitrosative stress, caused by the generation and accumulation of toxic RNS like NO and peroxynitrite, may damage various vital cellular components. The present study demonstrated that LPS/IFN-γ-challenged microglia overproduced ROS and NO, which may have potentiated apoptosis. The ROS generated by the immune challenge were subsequently suppressed by independent treatment with isoflurane and callistephin, while the combination of both caused a synergistic suppression of ROS generation. Similarly, LPS/IFN-γ exposure was also observed to increase NO, and treatment with isoflurane and callistephin reduced these levels, while the co-treatment further reduced these NO levels. This may have been achieved via reducing/suppressing the expression of TNF-α iNOS, COX-2 and NF-κB, which were seemingly overexpressed following exposure to LPS/IFN-γ. Notably, the combination of callistephin with isoflurane caused the greatest reduction in the expression levels of these inflammation indicators. In addition, protein levels were also suggestive of the same results.

LPS and IFN-γ are associated with injury in the CNS, and therefore promote microglial engulfment, phagocytosis and systemic inflammation (50–52). Injuries to the CNS cause activation of microglial cells, which migrate towards the injury site and eliminate decaying cells and other debris (59). Among various molecular mechanisms, MAPK p38 is an intracellular signaling pathway involved in cellular stress and inflammation responses (54). LPS is known to activate p38 by binding to Toll-like receptors, which are a class of pattern-recognition receptors in the innate immune system that induce inflammatory responses (54). A report has also indicated that p38 is involved in LPS-induced microglial phagocytosis of axonal debris (60). The present study further suggested that individual treatment with isoflurane and callistephin may have suppressed the phosphorylation of p38 caused by LPS/IFN-γ exposure. Furthermore, these treatments may have also reduced capspase-3 activation and decreased the expression of the apoptosis markers Bcl-xL and cleaved PARP. Just as for the inflammation markers, callistephin may have also enhanced the protective effects of isoflurane by synergistically modulating the protein levels of these apoptosis associated proteins and the phosphorylation levels of p38. Therefore, the modulation of p38 phosphorylation may be the underlying mechanism by which callistephin and isoflurane exert neuroprotective effects.

As discussed, isoflurane has been reported to have numerous neuroprotective effects: The reduction of neuronal inflammation and apoptosis (6,7); suppression of neonatal hypoxia-ischemia induced neuronal injury (15); suppression of oxidative stress; and reduction of the levels of pro-inflammatory mediators (19–21). Phytochemicals, namely callistephin, have also been reported to exhibit anti-inflammatory, antioxidant, antiproliferative and antitumoral properties (24–30), and also to ameliorate certain aspects of neurodegenerative diseases (34–39). The present study suggested that the combined use of isoflurane and callistephin may therefore further help prevent neuronal apoptosis and degeneration.

In conclusion, the present study suggested that callistephin may have maintained the viability of C8-B4 cells against an inflammatory shock through downregulation of caspase-3/7 activity. These results further support previous studies reporting on the neuroprotective effects of phenols by reducing oxidative stress-induced cell death in neuronal cells (24–30). The observations from gene and protein expression analyses indicated that callistephin, like isoflurane, may have interacted with signaling pathways and regulated gene expression and protein levels. Moreover, the present study also revealed that callistephin may have strengthened the neuroprotective effects of isoflurane in maintaining the viability of microglia and reducing inflammatory responses. Finally, single treatment or co-treatment with callistephin and isoflurane may have attenuated the immune response and improved cell viability via phosphorylation of p38. Overall the present study suggested that the use of callistephin may be of help in the treatment of aspects of neurodegenerative diseases associated with microglial activation.

Acknowledgements

Not applicable.

Funding

No funding was received.

Availability of data and materials

All data generated or analyzed during this study are included in this published article.

Authors' contributions

LZ conceived and supervised the present study, analyzed data and wrote the manuscript. SC, TL and XW performed experiments, analyzed data and assisted in the preparation of the manuscript. HH and WL analyzed data, performed literature search and assisted in the preparation of the manuscript. All authors read and approved the final manuscript.

Ethics approval and consent to participate

Not applicable.

Patient consent for publication

Not applicable.

Competing interests

The authors declare that they have no competing interests.

References

1 

Hanisch UK and Kettenmann H: Microglia: Active sensor and versatile effector cells in the normal and pathologic brain. Nat Neurosci. 10:1387–1394. 2007. View Article : Google Scholar : PubMed/NCBI

2 

Butovsky O, Landa G, Kunis G, Ziv Y, Avidan H, Greenberg N, Schwartz A, Smirnov I, Pollack A, Jung S and Schwartz M: Induction and blockage of oligodendrogenesis by differently activated microglia in an animal model of multiple sclerosis. J Clin Invest. 116:905–915. 2006. View Article : Google Scholar : PubMed/NCBI

3 

Poon IK, Hulett MD and Parish CR: Molecular mechanisms of late apoptotic/necrotic cell clearance. Cell Death Differ. 17:381–397. 2010. View Article : Google Scholar : PubMed/NCBI

4 

Lucin KM and Wyss-Coray T: Immune activation in brain aging and neurodegeneration: Too much or too little? Neuron. 64:110–122. 2009. View Article : Google Scholar : PubMed/NCBI

5 

Sierra A, Abiega O, Shahraz A and Neumann H: Janus-faced microglia: Beneficial and detrimental consequences of microglial phagocytosis. Front Cell Neurosci. 7:62013. View Article : Google Scholar : PubMed/NCBI

6 

Kim JA, Li L and Zuo Z: Delayed treatment with isoflurane attenuates lipopolysaccharide and interferon gamma-induced activation and injury of mouse microglial cells. Anesthesiology. 111:566–573. 2009. View Article : Google Scholar : PubMed/NCBI

7 

Xu X, Kim JA and Zuo Z: Isoflurane preconditioning reduces mouse microglial activation and injury induced by lipopolysaccharide and interferon-gamma. Neuroscience. 154:1002–1008. 2008. View Article : Google Scholar : PubMed/NCBI

8 

Hara M, Kai Y and Ikemoto Y: Propofol activates GABAA receptor-chloride ionophore complex in dissociated hippocampal pyramidal neurons of the rat. Anesthesiology. 79:781–788. 1993. View Article : Google Scholar : PubMed/NCBI

9 

Kochs E, Hoffman WE, Werner C, Thomas C, Albrecht RF and Schulte am Esch J: The effects of propofol on brain electrical activity, neurologic outcome, and neuronal damage following incomplete ischemia in rats. Anesthesiology. 76:245–252. 1992. View Article : Google Scholar : PubMed/NCBI

10 

Hans P, Bonhomme V, Collette J, Albert A and Moonen G: Propofol protects cultured rat hippocampal neurons against N-methyl-D-aspartate receptor-mediated glutamate toxicity. J Neurosurg Anesthesiol. 6:249–253. 1994. View Article : Google Scholar : PubMed/NCBI

11 

Daskalopoulos R, Korcok J, Farhangkhgoee P, Karmazyn M, Gelb AW and Wilson JX: Propofol protection of sodium-hydrogen exchange activity sustains glutamate uptake during oxidative stress. Anesth Analg. 93:1199–1204. 2001. View Article : Google Scholar : PubMed/NCBI

12 

Grasshoff C and Gillessen T: The effect of propofol on increased superoxide concentration in cultured rat cerebrocortical neurons after stimulation of N-methyl-d-aspartate receptors. Anesth Analg. 95:920–922. 2002. View Article : Google Scholar : PubMed/NCBI

13 

O'Shea SM, Wong LC and Harrison NL: Propofol increases agonist efficacy at the GABA(A) receptor. Brain Res. 852:344–348. 2000. View Article : Google Scholar : PubMed/NCBI

14 

Yano T, Nakayama R and Ushijima K: Intracerebroventricular propofol is neuroprotective against transient global ischemia in rats: Extracellular glutamate level is not a major determinant. Brain Res. 883:69–76. 2000. View Article : Google Scholar : PubMed/NCBI

15 

Burchell SR, Dixon BJ, Tang J and Zhang JH: Isoflurane provides neuroprotection in neonatal hypoxic ischemic brain injury. J Investig Med. 61:1078–1083. 2013. View Article : Google Scholar : PubMed/NCBI

16 

Khan KS, Hayes I and Buggy DJ: Pharmacology of anaesthetic agents II: Inhalation anaesthetic agents. Cont Edu Anaes Crit Care Pain. 14:601–611. 2014.

17 

Zhou Y, Lekic T, Fathali N, Ostrowski RP, Martin RD, Tang J and Zhang JH: Isoflurane posttreatment reduces neonatal hypoxic-ischemic brain injury in rats by the sphingosine-1-phosphate/phosphatidylinositol-3-kinase/Akt pathway. Stroke. 41:1521–1527. 2010. View Article : Google Scholar : PubMed/NCBI

18 

Zhao DA, Bi LY, Huang Q, Zhang FM and Han ZM: Isoflurane provides neuroprotection in neonatal hypoxic ischemic brain injury by suppressing apoptosis. Braz J Anesthesiol. 66:613–621. 2016. View Article : Google Scholar : PubMed/NCBI

19 

Chung IS, Kim JA, Kim JA, Choi HS, Lee JJ, Yang M, Ahn HJ and Lee SM: Reactive oxygen species by isoflurane mediates inhibition of nuclear factor κB activation in lipopolysaccharide-induced acute inflammation of the lung. Anesth Analg. 116:327–335. 2013. View Article : Google Scholar : PubMed/NCBI

20 

Harr JN, Moore EE, Stringham J, Wohlauer MV, Fragoso M, Jones WL, Gamboni F, Silliman CC and Banerjee A: Isoflurane prevents acute lung injury through ADP-mediated platelet inhibition. Surgery. 152:270–276. 2012. View Article : Google Scholar : PubMed/NCBI

21 

Kinoshita H, Matsuda N, Iranami H, Ogawa K, Hatakeyama N, Azma T, Kawahito S and Yamazaki M: Isoflurane pretreatment preserves adenosine triphosphate-sensitive K(+) channel function in the human artery exposed to oxidative stress caused by high glucose levels. Anesth Analg. 115:54–61. 2012. View Article : Google Scholar : PubMed/NCBI

22 

Kim M, Kim M, Kim N, D'Agati VD, Emala CW Sr and Lee HT: Isoflurane mediates protection from renal ischemia-reperfusion injury via sphingosine kinase and sphingosine-1-phosphate-dependent pathways. Am J Physiol Renal Physiol. 293:F1827–F1835. 2007. View Article : Google Scholar : PubMed/NCBI

23 

Lang XE, Wang X, Zhang KR, Lv JY, Jin JH and Li QS: Isoflurane preconditioning confers cardioprotection by activation of ALDH2. PLoS One. 8:e524692013. View Article : Google Scholar : PubMed/NCBI

24 

Moyer RA, Hummer KE, Finn CE, Frei B and Wrolstad RE: Anthocyanins, phenolics, and antioxidant capacity in diverse small fruits: Vaccinium, rubus, and ribes. J Agric Food Chem. 50:519–525. 2002. View Article : Google Scholar : PubMed/NCBI

25 

Mishra SK and Kim MK: Vitamin A and cancer risk. Vitamin A and Carotenoids: Chemistry, Analysis, Function and Effects. The Royal Society of Chemistry; London: pp. 485–500. 2012, View Article : Google Scholar

26 

Yeh CT and Yen GC: Induction of apoptosis by the Anthocyanidins through regulation of Bcl-2 gene and activation of c-Jun N-terminal kinase cascade in hepatoma cells. J Agric Food Chem. 53:1740–1749. 2005. View Article : Google Scholar : PubMed/NCBI

27 

Hou DX: Potential mechanisms of cancer chemoprevention by anthocyanins. Curr Mol Med. 3:149–159. 2003. View Article : Google Scholar : PubMed/NCBI

28 

Domitrovic R: The molecular basis for the pharmacological activity of anthocyans. Curr Med Chem. 18:4454–4469. 2011. View Article : Google Scholar : PubMed/NCBI

29 

Wang CJ, Wang JM, Lin WL, Chu CY, Chou FP and Tseng TH: Protective effect of Hibiscus anthocyanins against tert-butyl hydroperoxide-induced hepatic toxicity in rats. Food Chem Toxicol. 38:411–416. 2000. View Article : Google Scholar : PubMed/NCBI

30 

Ramirez-Tortosa C, Andersen ØM, Cabrita L, Gardner PT, Morrice PC, Wood SG, Duthie SJ, Collins AR and Duthie GG: Anthocyanin-rich extract decreases indices of lipid peroxidation and DNA damage in vitamin E-depleted rats. Free Radic Biol Med. 31:1033–1037. 2001. View Article : Google Scholar : PubMed/NCBI

31 

Tsuda T, Horio F and Osawa T: Absorption and metabolism of cyanidin 3-O-beta-D-glucoside in rats. FEBS Lett. 449:179–182. 1999. View Article : Google Scholar : PubMed/NCBI

32 

Youdim KA, Martin A and Joseph JA: Incorporation of the elderberry anthocyanins by endothelial cells increases protection against oxidative stress. Free Radic Biol Med. 29:51–60. 2000. View Article : Google Scholar : PubMed/NCBI

33 

Tsuda T, Horio F and Osawa T: The role of anthocyanins as an antioxidant under oxidative stress in rats. Biofactors. 13:133–139. 2000. View Article : Google Scholar : PubMed/NCBI

34 

Lin MT and Beal MF: Mitochondrial dysfunction and oxidative stress in neurodegenerative diseases. Nature. 443:787–795. 2006. View Article : Google Scholar : PubMed/NCBI

35 

Turner C and Schapira AH: Mitochondrial dysfunction in neurodegenerative disorders and ageing. Adv Exp Med Biol. 487:229–251. 2001. View Article : Google Scholar : PubMed/NCBI

36 

Heo HJ and Lee CY: Strawberry and its anthocyanins reduce oxidative stress-induced apoptosis in PC12 cells. J Agric Food Chem. 53:1984–1989. 2005. View Article : Google Scholar : PubMed/NCBI

37 

Tarozzi A, Merlicco A, Morroni F, Franco F, Cantelli-Forti G, Teti G, Falconi M and Hrelia P: Cyanidin 3-O-glucopyranoside protects and rescues SH-SY5Y cells against amyloid-beta peptide-induced toxicity. Neuroreport. 19:1483–1486. 2008. View Article : Google Scholar : PubMed/NCBI

38 

Tarozzi A, Morroni F, Hrelia S, Angeloni C, Marchesi A, Cantelli-Forti G and Hrelia P: Neuroprotective effects of anthocyanins and their in vivo metabolites in SH-SY5Y cells. Neurosci Lett. 424:36–40. 2007. View Article : Google Scholar : PubMed/NCBI

39 

Matsunaga N, Imai S, Inokuchi Y, Shimazawa M, Yokota S, Araki Y and Hara H: Bilberry and its main constituents have neuroprotective effects against retinal neuronal damage in vitro and in vivo. Mol Nutr Food Res. 53:869–877. 2009. View Article : Google Scholar : PubMed/NCBI

40 

Rice-Evans CA, Miller NJ and Paganga G: Structure-antioxidant activity relationships of flavonoids and phenolic acids. Free Radic Biol Med. 20:933–956. 1996. View Article : Google Scholar : PubMed/NCBI

41 

Ma H, Johnson SL, Liu W, DaSilva NA, Meschwitz S, Dain JA and Seeram NP: Evaluation of polyphenol anthocyanin-enriched extracts of blackberry, black raspberry, blueberry, cranberry, red raspberry, and strawberry for free radical scavenging, reactive carbonyl species trapping, anti-glycation, anti-β-amyloid aggregation, and microglial neuroprotective effects. Int J Mol Sci. 19:E4612018. View Article : Google Scholar : PubMed/NCBI

42 

Rahman MM, Ichiyanagi T, Komiyama T, Hatano Y and Konishi T: Superoxide radical- and peroxynitrite-scavenging activity of anthocyanins; structure-activity relationship and their synergism. Free Radic Res. 40:993–1002. 2006. View Article : Google Scholar : PubMed/NCBI

43 

Reimer TA, Anagnostopoulos I, Erdmann B, Lehmann I, Stein H, Daniel P, Dörken B and Rehm A: Reevaluation of the 22-1-1 antibody and its putative antigen, EBAG9/RCAS1, as a tumor marker. BMC Cancer. 5:472005. View Article : Google Scholar : PubMed/NCBI

44 

Ryu JH, Wang Z, Fan D, Han SH, Do SH and Zuo Z: Isoflurane attenuates mouse microglial engulfment induced by lipopolysaccharide and interferon-gamma possibly by inhibition of p38 mitogen-activated protein kinase. Neuroreport. 27:1101–1105. 2016. View Article : Google Scholar : PubMed/NCBI

45 

Fleschhut J, Kratzer F, Rechkemmer G and Kulling SE: Stability and biotransformation of variousdietary anthocyanins in vitro. Eur J Nutr. 45:7–18. 2006. View Article : Google Scholar : PubMed/NCBI

46 

Woodward G, Kroon P, Cassidy A and Kay C: Anthocyanin stability and recovery: Implications for the analysis of clinical and experimental samples. J Agric Food Chem. 57:5271–5278. 2009. View Article : Google Scholar : PubMed/NCBI

47 

Carreras MC, Franco MC, Peralta JG and Poderoso JJ: Nitric oxide, complex I, and the modulation of mitochondrial reactive species in biology and disease. Mol Aspects Med. 25:125–139. 2004. View Article : Google Scholar : PubMed/NCBI

48 

Chinta SJ and Andersen JK: Nitrosylation and nitration of mitochondrial complex I in Parkinson's disease. Free Radic Res. 45:53–58. 2011. View Article : Google Scholar : PubMed/NCBI

49 

Di Filippo M, Chiasserini D, Tozzi A, Picconi B and Calabresi P: Mitochondria and the link between neuroinflammation and neurodegeneration. J Alzheimers Dis. 20 (Suppl 2):S369–S379. 2010. View Article : Google Scholar : PubMed/NCBI

50 

Hensley K, Fedynyshyn J, Ferrell S, Floyd RA, Gordon B, Grammas P, Hamdheydari L, Mhatre M, Mou S, Pye QN, et al: Message and protein-level elevation of tumor necrosis factor alpha (TNF alpha) and TNF alpha-modulating cytokines in spinal cords of the G93A-SOD1 mouse model for amyotrophic lateral sclerosis. Neurobiol Dis. 14:74–80. 2003. View Article : Google Scholar : PubMed/NCBI

51 

Almer G, Guégan C, Teismann P, Naini A, Rosoklija G, Hays AP, Chen C and Przedborski S: Increased expression of the pro-inflammatory enzyme cyclooxygenase-2 in amyotrophic lateral sclerosis. Ann Neurol. 49:176–185. 2001. View Article : Google Scholar : PubMed/NCBI

52 

Almer G, Vukosavic S, Romero N and Przedborski S: Inducible nitric oxide synthase up-regulation in a transgenic mouse model of familial amyotrophic lateral sclerosis. J Neurochem. 72:2415–2425. 1999. View Article : Google Scholar : PubMed/NCBI

53 

Brown GC and Neher JJ: Inflammatory neurodegeneration and mechanisms of microglial killing of neurons. Mol Neurobiol. 41:242–247. 2010. View Article : Google Scholar : PubMed/NCBI

54 

Doyle SE, O'Connell RM, Miranda GA, Vaidya SA, Chow EK, Liu PT, Suzuki S, Suzuki N, Modlin RL, Yeh WC, et al: Toll-like receptors induce a phagocytic gene program through p38. J Exp Med. 199:81–90. 2004. View Article : Google Scholar : PubMed/NCBI

55 

Shin WH, Park SJ and Kim EJ: Protective effect of anthocyanins in middle cerebral artery occlusion and reperfusion model of cerebral ischemia in rats. Life Sci. 79:130–137. 2006. View Article : Google Scholar : PubMed/NCBI

56 

Kelsey N, Hulick W, Winter A, Ross E and Linseman D: Neuroprotective effects of anthocyanins on apoptosis induced by mitochondrial oxidative stress. Nutr Neurosci. 14:249–259. 2011. View Article : Google Scholar : PubMed/NCBI

57 

Winter AN, Ross EK, Khatter S, Miller K and Linseman DA: Chemical basis for the disparate neuroprotective effects of the anthocyanins, callistephin and kuromanin, against nitrosative stress. Free Radic Biol Med. 103:23–34. 2017. View Article : Google Scholar : PubMed/NCBI

58 

Winter AN, Brenner MC, Punessen N, Snodgrass M, Byars C, Arora Y and Linseman DA: Comparison of the neuroprotective and anti-inflammatory effects of the anthocyanin metabolites, protocatechuic acid and 4-hydroxybenzoic acid. Oxid Med Cell Longev. 2017:62970802017. View Article : Google Scholar : PubMed/NCBI

59 

Brown GC and Neher JJ: Microglial phagocytosis of live neurons. Nat Rev Neurosci. 15:209–216. 2014. View Article : Google Scholar : PubMed/NCBI

60 

Tanaka T, Ueno M and Yamashita T: Engulfment of axon debris by microglia requires p38 MAPK activity. J Biol Chem. 284:21626–21636. 2009. View Article : Google Scholar : PubMed/NCBI

Related Articles

  • Abstract
  • View
  • Download
  • Twitter
Copy and paste a formatted citation
Spandidos Publications style
Zhao L, Chen S, Liu T, Wang X, Huang H and Liu W: Callistephin enhances the protective effects of isoflurane on microglial injury through downregulation of inflammation and apoptosis. Mol Med Rep 20: 802-812, 2019.
APA
Zhao, L., Chen, S., Liu, T., Wang, X., Huang, H., & Liu, W. (2019). Callistephin enhances the protective effects of isoflurane on microglial injury through downregulation of inflammation and apoptosis. Molecular Medicine Reports, 20, 802-812. https://doi.org/10.3892/mmr.2019.10282
MLA
Zhao, L., Chen, S., Liu, T., Wang, X., Huang, H., Liu, W."Callistephin enhances the protective effects of isoflurane on microglial injury through downregulation of inflammation and apoptosis". Molecular Medicine Reports 20.1 (2019): 802-812.
Chicago
Zhao, L., Chen, S., Liu, T., Wang, X., Huang, H., Liu, W."Callistephin enhances the protective effects of isoflurane on microglial injury through downregulation of inflammation and apoptosis". Molecular Medicine Reports 20, no. 1 (2019): 802-812. https://doi.org/10.3892/mmr.2019.10282
Copy and paste a formatted citation
x
Spandidos Publications style
Zhao L, Chen S, Liu T, Wang X, Huang H and Liu W: Callistephin enhances the protective effects of isoflurane on microglial injury through downregulation of inflammation and apoptosis. Mol Med Rep 20: 802-812, 2019.
APA
Zhao, L., Chen, S., Liu, T., Wang, X., Huang, H., & Liu, W. (2019). Callistephin enhances the protective effects of isoflurane on microglial injury through downregulation of inflammation and apoptosis. Molecular Medicine Reports, 20, 802-812. https://doi.org/10.3892/mmr.2019.10282
MLA
Zhao, L., Chen, S., Liu, T., Wang, X., Huang, H., Liu, W."Callistephin enhances the protective effects of isoflurane on microglial injury through downregulation of inflammation and apoptosis". Molecular Medicine Reports 20.1 (2019): 802-812.
Chicago
Zhao, L., Chen, S., Liu, T., Wang, X., Huang, H., Liu, W."Callistephin enhances the protective effects of isoflurane on microglial injury through downregulation of inflammation and apoptosis". Molecular Medicine Reports 20, no. 1 (2019): 802-812. https://doi.org/10.3892/mmr.2019.10282
Follow us
  • Twitter
  • LinkedIn
  • Facebook
About
  • Spandidos Publications
  • Careers
  • Cookie Policy
  • Privacy Policy
How can we help?
  • Help
  • Live Chat
  • Contact
  • Email to our Support Team