Spandidos Publications Logo
  • About
    • About Spandidos
    • Aims and Scopes
    • Abstracting and Indexing
    • Editorial Policies
    • Reprints and Permissions
    • Job Opportunities
    • Terms and Conditions
    • Contact
  • Journals
    • All Journals
    • Oncology Letters
      • Oncology Letters
      • Information for Authors
      • Editorial Policies
      • Editorial Board
      • Aims and Scope
      • Abstracting and Indexing
      • Bibliographic Information
      • Archive
    • International Journal of Oncology
      • International Journal of Oncology
      • Information for Authors
      • Editorial Policies
      • Editorial Board
      • Aims and Scope
      • Abstracting and Indexing
      • Bibliographic Information
      • Archive
    • Molecular and Clinical Oncology
      • Molecular and Clinical Oncology
      • Information for Authors
      • Editorial Policies
      • Editorial Board
      • Aims and Scope
      • Abstracting and Indexing
      • Bibliographic Information
      • Archive
    • Experimental and Therapeutic Medicine
      • Experimental and Therapeutic Medicine
      • Information for Authors
      • Editorial Policies
      • Editorial Board
      • Aims and Scope
      • Abstracting and Indexing
      • Bibliographic Information
      • Archive
    • International Journal of Molecular Medicine
      • International Journal of Molecular Medicine
      • Information for Authors
      • Editorial Policies
      • Editorial Board
      • Aims and Scope
      • Abstracting and Indexing
      • Bibliographic Information
      • Archive
    • Biomedical Reports
      • Biomedical Reports
      • Information for Authors
      • Editorial Policies
      • Editorial Board
      • Aims and Scope
      • Abstracting and Indexing
      • Bibliographic Information
      • Archive
    • Oncology Reports
      • Oncology Reports
      • Information for Authors
      • Editorial Policies
      • Editorial Board
      • Aims and Scope
      • Abstracting and Indexing
      • Bibliographic Information
      • Archive
    • Molecular Medicine Reports
      • Molecular Medicine Reports
      • Information for Authors
      • Editorial Policies
      • Editorial Board
      • Aims and Scope
      • Abstracting and Indexing
      • Bibliographic Information
      • Archive
    • World Academy of Sciences Journal
      • World Academy of Sciences Journal
      • Information for Authors
      • Editorial Policies
      • Editorial Board
      • Aims and Scope
      • Abstracting and Indexing
      • Bibliographic Information
      • Archive
    • International Journal of Functional Nutrition
      • International Journal of Functional Nutrition
      • Information for Authors
      • Editorial Policies
      • Editorial Board
      • Aims and Scope
      • Abstracting and Indexing
      • Bibliographic Information
      • Archive
    • International Journal of Epigenetics
      • International Journal of Epigenetics
      • Information for Authors
      • Editorial Policies
      • Editorial Board
      • Aims and Scope
      • Abstracting and Indexing
      • Bibliographic Information
      • Archive
    • Medicine International
      • Medicine International
      • Information for Authors
      • Editorial Policies
      • Editorial Board
      • Aims and Scope
      • Abstracting and Indexing
      • Bibliographic Information
      • Archive
  • Articles
  • Information
    • Information for Authors
    • Information for Reviewers
    • Information for Librarians
    • Information for Advertisers
    • Conferences
  • Language Editing
Spandidos Publications Logo
  • About
    • About Spandidos
    • Aims and Scopes
    • Abstracting and Indexing
    • Editorial Policies
    • Reprints and Permissions
    • Job Opportunities
    • Terms and Conditions
    • Contact
  • Journals
    • All Journals
    • Biomedical Reports
      • Information for Authors
      • Editorial Policies
      • Editorial Board
      • Aims and Scope
      • Abstracting and Indexing
      • Bibliographic Information
      • Archive
    • Experimental and Therapeutic Medicine
      • Information for Authors
      • Editorial Policies
      • Editorial Board
      • Aims and Scope
      • Abstracting and Indexing
      • Bibliographic Information
      • Archive
    • International Journal of Epigenetics
      • Information for Authors
      • Editorial Policies
      • Editorial Board
      • Aims and Scope
      • Abstracting and Indexing
      • Bibliographic Information
      • Archive
    • International Journal of Functional Nutrition
      • Information for Authors
      • Editorial Policies
      • Editorial Board
      • Aims and Scope
      • Abstracting and Indexing
      • Bibliographic Information
      • Archive
    • International Journal of Molecular Medicine
      • Information for Authors
      • Editorial Policies
      • Editorial Board
      • Aims and Scope
      • Abstracting and Indexing
      • Bibliographic Information
      • Archive
    • International Journal of Oncology
      • Information for Authors
      • Editorial Policies
      • Editorial Board
      • Aims and Scope
      • Abstracting and Indexing
      • Bibliographic Information
      • Archive
    • Medicine International
      • Information for Authors
      • Editorial Policies
      • Editorial Board
      • Aims and Scope
      • Abstracting and Indexing
      • Bibliographic Information
      • Archive
    • Molecular and Clinical Oncology
      • Information for Authors
      • Editorial Policies
      • Editorial Board
      • Aims and Scope
      • Abstracting and Indexing
      • Bibliographic Information
      • Archive
    • Molecular Medicine Reports
      • Information for Authors
      • Editorial Policies
      • Editorial Board
      • Aims and Scope
      • Abstracting and Indexing
      • Bibliographic Information
      • Archive
    • Oncology Letters
      • Information for Authors
      • Editorial Policies
      • Editorial Board
      • Aims and Scope
      • Abstracting and Indexing
      • Bibliographic Information
      • Archive
    • Oncology Reports
      • Information for Authors
      • Editorial Policies
      • Editorial Board
      • Aims and Scope
      • Abstracting and Indexing
      • Bibliographic Information
      • Archive
    • World Academy of Sciences Journal
      • Information for Authors
      • Editorial Policies
      • Editorial Board
      • Aims and Scope
      • Abstracting and Indexing
      • Bibliographic Information
      • Archive
  • Articles
  • Information
    • For Authors
    • For Reviewers
    • For Librarians
    • For Advertisers
    • Conferences
  • Language Editing
Login Register Submit
  • This site uses cookies
  • You can change your cookie settings at any time by following the instructions in our Cookie Policy. To find out more, you may read our Privacy Policy.

    I agree
Search articles by DOI, keyword, author or affiliation
Search
Advanced Search
presentation
Molecular Medicine Reports
Join Editorial Board Propose a Special Issue
Print ISSN: 1791-2997 Online ISSN: 1791-3004
Journal Cover
2014-February Volume 9 Issue 2

Full Size Image

Sign up for eToc alerts
Recommend to Library

Journals

International Journal of Molecular Medicine

International Journal of Molecular Medicine

International Journal of Molecular Medicine is an international journal devoted to molecular mechanisms of human disease.

International Journal of Oncology

International Journal of Oncology

International Journal of Oncology is an international journal devoted to oncology research and cancer treatment.

Molecular Medicine Reports

Molecular Medicine Reports

Covers molecular medicine topics such as pharmacology, pathology, genetics, neuroscience, infectious diseases, molecular cardiology, and molecular surgery.

Oncology Reports

Oncology Reports

Oncology Reports is an international journal devoted to fundamental and applied research in Oncology.

Experimental and Therapeutic Medicine

Experimental and Therapeutic Medicine

Experimental and Therapeutic Medicine is an international journal devoted to laboratory and clinical medicine.

Oncology Letters

Oncology Letters

Oncology Letters is an international journal devoted to Experimental and Clinical Oncology.

Biomedical Reports

Biomedical Reports

Explores a wide range of biological and medical fields, including pharmacology, genetics, microbiology, neuroscience, and molecular cardiology.

Molecular and Clinical Oncology

Molecular and Clinical Oncology

International journal addressing all aspects of oncology research, from tumorigenesis and oncogenes to chemotherapy and metastasis.

World Academy of Sciences Journal

World Academy of Sciences Journal

Multidisciplinary open-access journal spanning biochemistry, genetics, neuroscience, environmental health, and synthetic biology.

International Journal of Functional Nutrition

International Journal of Functional Nutrition

Open-access journal combining biochemistry, pharmacology, immunology, and genetics to advance health through functional nutrition.

International Journal of Epigenetics

International Journal of Epigenetics

Publishes open-access research on using epigenetics to advance understanding and treatment of human disease.

Medicine International

Medicine International

An International Open Access Journal Devoted to General Medicine.

Journal Cover
2014-February Volume 9 Issue 2

Full Size Image

Sign up for eToc alerts
Recommend to Library

  • Article
  • Citations
    • Cite This Article
    • Download Citation
    • Create Citation Alert
    • Remove Citation Alert
    • Cited By
  • Similar Articles
    • Related Articles (in Spandidos Publications)
    • Similar Articles (Google Scholar)
    • Similar Articles (PubMed)
  • Download PDF
  • Download XML
  • View XML
Article

Carnosol inhibits cell adhesion molecules and chemokine expression by tumor necrosis factor-α in human umbilical vein endothelial cells through the nuclear factor-κB and mitogen-activated protein kinase pathways

  • Authors:
    • Hui Yao
    • Yufeng Chen
    • Longjuan Zhang
    • Xiaosheng He
    • Xiaowen He
    • Lei Lian
    • Xiaojian Wu
    • Ping Lan
  • View Affiliations / Copyright

    Affiliations: Department of Colorectal Surgery, The Sixth Affiliated Hospital of Sun Yat-Sen University, Guangdong Gastrointestinal Hospital, Guangzhou, Guangdong 510655, P.R. China, Laboratory of Surgery, The First Affiliated Hospital of Sun Yat-sen University, Guangzhou, Guangdong 510080, P.R. China
  • Pages: 476-480
    |
    Published online on: December 3, 2013
       https://doi.org/10.3892/mmr.2013.1839
  • Expand metrics +
Metrics: Total Views: 0 (Spandidos Publications: | PMC Statistics: )
Metrics: Total PDF Downloads: 0 (Spandidos Publications: | PMC Statistics: )
Cited By (CrossRef): 0 citations Loading Articles...

This article is mentioned in:



Abstract

Inflammatory bowel diseases (IBD) are gastrointestinal disorders associated with chronic inflammatory processes. Carnosol has been demonstrated to possess anti-inflammatory properties. This study examined the suppressive effect of carnosol on the expression of cell adhesion molecules (CAMs) and chemokines in human umbilical vein endothelial cells (HUVECs) and the possible underlying mechanism. The effect of carnosol on CAM and chemokine expression in HUVECs was identified by western blotting and ELISA, respectively. nuclear factor (NF)-κB activation of HUVECs was analyzed using the TransAM NF-κB Family kit. The effect of carnosol on the tumor necrosis factor (TNF)-α-induced activation of the NF-κB and mitogen-activated protein kinase (MAPK) pathways, and was subsequently analyzed using western blotting. Carnosol not only inhibited TNF-α-induced protein expression of intercellular adhesion molecule (ICAM)-1, vascular cell adhesion molecule (VCAM)-1 and E-selectin in HUVECs, but also suppressed interleukin (IL)-8 and monocyte chemoattractant protein (MCP)-1 expression. In addition, carnosol inhibited the TNF-α-induced phosphorylation of p-65 and IκB-α, as well as the activation of NF-κB. The same result was observed in TNF-α-stimulated phosphorylation of ERK1/2 and p-38. It was demonstrated that carnosol inhibited TNF-α-induced CAM and chemokine expression in HUVECs. The underlying mechanism may be associated with the blocking of the NF-κB and MAPK pathways. These results indicate that carnosol may be a novel therapeutic agent for targeting endothelial cells in IBDs.

Introduction

Inflammatory bowel disease (IBD), comprising Crohn’s disease (CD) and ulcerative colitis (UC), is considered to be a chronic relapsing disorder involving inflammation of the gastrointestinal tract (1). Numerous IBD patients suffer from a relapse of the disease; therefore ideal therapeutic strategies are imperative.

Although the precise etiology of IBD is not well understood, certain substantial advances have been made. Among the complex pathogenesis of IBD, leukocyte recruitment is a common event, occurring in the initiation and progression of the disease (2). This recruitment is regulated by cell adhesion molecules (CAMs) (3) and chemokines (4), expressed by endothelial cells, which are activated during the development of IBD. The overexpression of CAMs [intercellular adhesion molecule (ICAM)-I, vascular cell adhesion molecule (VCAM)-1 and mucosal vascular addressin cell adhesion molecule (MAdCAM)-1] (5) and increasing production of chemokines [interleukin (IL)-8 and monocyte chemoattractant protein (MCP)-1] (4) have been identified in IBD patients. As CAMs and chemokines have pivotal roles in the development of IBD, targeting these molecules appears to be a promising therapeutic option.

Carnosol is an oxidation product of carnosic acid (CA), carnosol and CA are phenolic diterpenes and major components of rosemary and sage extracts (6). It has been reported that carnosol and CA possess potent anti-microbial (7), anti-inflammatory (8), neuroprotective (9), anti-oxidant (10) and antitumor properties (11).

CA has been shown to attenuate the expression of adhesion molecules in IL-1β stimulated human umbilical vein endothelial cells (HUVECs) (12). Further research has demonstrated that carnosol may suppress tumor necrosis factor (TNF)-α-induced ICAM-1 expression by inhibiting IκB kinase beta (IKK-β) activity or upregulating heme-oxygenase-1 expression (13). However, whether carnosol is capable of inhibiting the TNF-α-induced expression of other CAMs, the production of proinflammatory cytokines in endothelial cells and the inhibition of other potential signaling pathways, remains unknown. This study examined the ability of carnosol to inhibit the expression of CAMs (ICAM-I, VCAM-1 and E-selectin) and the production of chemokines (IL-8 and MCP-1) in HUVECs, and also investigated the possible mechanisms underlying the anti-inflammatory activity of carnosol.

Materials and methods

Cell culture

HUVECs were isolated from human umbilical veins by treatment with collagenase (0.1%). Subsequently, the cells were collected and cultured in EGM-2 medium (Lonza Inc., Walkersville, MD, USA) with 10% foetal bovine serum (FBS, Life Technology, Carlsbad, CA, USA), 100 IU/ml penicillin and 100 μg/ml streptomycin (Life Technology). All cells were incubated at 37°C in an atmosphere of 95% air:5% CO2. The purity of the HUVECs was 98% and was evaluated by morphology and immunofluorescent staining for cluster of differentiation (CD)31 and von Willebrand factor (Santa Cruz Biotechnology, Santa Cruz, CA, USA). HUVECs achieved confluence in the flasks and cells from between three to five passages were used for the experiment.

Cell viability assay

Cell viability was determined by using a Cell Counting kit-8 (CCK-8) assay (Dojindo Molecular, Kumamoto, Japan) as described previously (14). The HUVECs were seeded onto a 96-well plate at a density of 1×106 cells/ml followed by preincubation with various concentrations (1, 5 and 10 μmol/l) of carnosol (Cayman Chemical Company, Ann Arbor, MI, USA) and TNF-α (Life Technology) for 24 h. Subsequently 10 μl CCK-8 solution was added to each well for an additional 2 h, and the absorbance at 450 nm was assessed with a microplate reader (Multiskan MK3, Thermo Labsystems, Vantaa, Finland).

Western blotting

HUVECs were washed with pre-chilled phosphate-buffered saline and lysed in radioimmunoprecipitation assay buffer. Following sonication (Sonicator Q700; QSonica LLC, Newtown, CT, USA), the lysate was centrifuged (14,000 × g for 15 min at 4°C) and the supernatant was transferred to a tube. The protein content was quantified with a bicinchoninic acid protein assay kit (Keygen Biotech, Nanjing, China). Total proteins were separated by electrophoresis on SDS-polyacrylamide gels and were subsequently electroblotted onto polyvinylidene fluoride membranes. The indicated primary antibodies were incubated, washed and visualized by incubation with a horseradish peroxidase (HRP)-conjugated secondary antibody (goat anti-rabbit IgG and goat anti-mouse IgG; 1:2,500, Santa Cruz Biotechnology) and the enhanced chemiluminescence plus detection system (Amersham, Arlington Heights, IL, USA). CAM expression was detected with anti-ICAM-1, anti-VCAM-1 and anti-E-selectin mouse monoclonal antibodies, respectively (1:1,000, Santa Cruz Biotechnology). The activation of NF-κB and mitogen-activated protein kinase (MAPK) was detected with anti-p-65, anti-phospho-p-65, anti-phospho-IκB-α (mouse monoclonal), anti-extracellular-signal regulated kinase (ERK) 1/2, anti-p-38, anti-phospho-ERK1/2 and anti-phospho-p-38 rabbit monoclonal antibodies (1:1,000, Cell Signaling Technology, Danvers, MA, USA).

ELISA

HUVECs were plated into the wells of a 24-well cluster plate at a density of 5×104 cells/ml/well. Subsequently, the cell culture supernatants were harvested by centrifugation at 800 × g for 5 min at 4°C to remove cell debris and were frozen at −80°C. Supernatant samples were thawed once and assayed for IL-8 and MCP-1 content in duplicate using a commercially available ELISA kit (R&D systems, Abingdon, UK), as previously reported (15).

Assay of transcription factor NF-κB

NF-κB activity was measured using the TransAM NF-κB Family kit, according to the manufacturer’s instructions (Active Motif, Carlsbad, CA, USA). The samples were analyzed in a 96-well plate containing the immobilized NF-κB consensus site (5′-GGGACTTTCC-3′) oligonucleotide. Nuclear extracts were prepared for analysis of NF-κB activity; the activated form of NF-κB p-65 and p-50 subunits in the nuclear extract bind to this oligonucleotide, respectively. Using antibodies against the p-65 and p-50 subunits and a HRP-conjugated secondary antibody, the developing solution of the TransAM NF-κB Family kit was added to produce a blue color and subsequently quantified with the microplate reader (Multiskan MK3, Thermo Labsystems) at 450 nm. Data from triplicate wells were expressed as the mean ± standard deviation (SD).

Statistical analysis

All experiments were repeated a minimum of three times. The results were expressed as the mean ± SD using SPSS 13.0 statistical software (SPSS Inc., Chicago, IL, USA). Statistical analyses were performed using one-way analysis of variance, followed by Duncan’s multiple range test. P<0.05 was considered to indicate a statistically significant difference.

Results

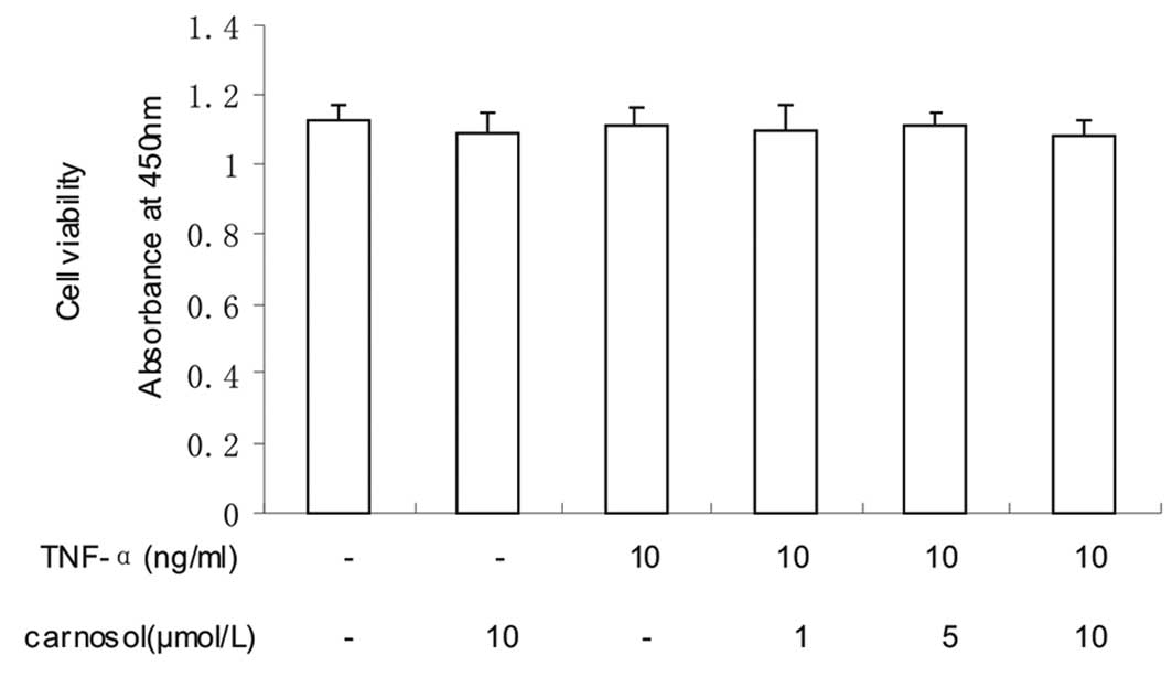
Effect of carnosol on cell viability

The effect of carnosol on cell viability was investigated using CCK-8. The results revealed that the viability of the HUVECs was not significantly influenced by carnosol (Fig. 1).

Figure 1

Effect of carnosol on cell viability. Cells were divided into six groups: Control, carnosol only, tumor necrosis factor (TNF)-α only, low-carnosol, mid-carnosol and high-carnosol groups. Human umbilical vein endothelial cells (HUVECs) were seeded in 96-well plates at a density of 1×106 cells/ml followed by preincubation with various drug concentrations for 24 h. Subsequently, cell survival was measured by Cell Counting kit-8 assay. Values are provided as the mean ± standard deviation and depicted by vertical bars (n=3). The mean values of the treated groups did not exhibit any significant differences from those of the control group (P>0.05).

Carnosol inhibits TNF-α-induced CAM expression levels

Western blotting was performed in order to investigate whether carnosol affects TNF-α-induced CAM expression in HUVECs. Compared with the control group, the TNF-α only group revealed that TNF-α significantly increased the expression of ICAM-1, VCAM-1 and E-selectin in HUVECs (Fig. 2). However, when the cells were pretreated with 5 and 10 μmol of carnosol, the expression was markedly inhibited in a dose-dependent manner.

Figure 2

Effect of carnosol on tumor necrosis factor (TNF)-α-induced the expression of cell adhesion molecules (CAMs) in human umbilical vein endothelial cells (HUVECs). Cells were divided into five groups: Control, TNF-α only, low-carnosol, mid-carnosol and high-carnosol groups. All cells were pretreated with the indicated concentration of carnosol for 18 h and subsequently stimulated with TNF-α (10 ng/ml) for 6 h. Subsequently the cells were collected and analyzed by western blotting. Each electrophoregram was representative of three independent experiments. ICAM-1, intercellular adhesion molecule; VCAM-1, vascular cell adhesion molecule-1.

Carnosol inhibits IL-8 and MCP-1 expression in HUVECs induced by TNF-α

The ELISA results revealed that TNF-α enhanced IL-8 expression in HUVECs (Fig. 3). However, following treatment with carnosol only, IL-8 expression was not identified to have a significant difference. Pretreatment with higher doses of carnosol may inhibit IL-8 expression more markedly. Pretreatment with higher doses (5 μmol/l and 10 μmol/l) of carnosol may inhibit MCP-1 expression more markedly than a lower dose (1 μmol/l).

Figure 3

Influence of carnosol in production of proinflammatory chemokines in human umbilical vein endothelial cells (HUVECs). Cells were divided into six groups: Control, carnosol only, tumor necrosis factor (TNF)-α only, low-carnosol, mid-carnosol and high-carnosol groups. Cells were seeded onto 24-well cluster plates at a concentration of 90%. Subsequently, cells were administered the indicated concentration of carnosol for 18 h, and stimulated with TNF-α (10 ng/ml) for 6 h. (A) Interleukin (IL)-8 and (B) monocyte chemoattractant protein (MCP)-1 contents were measured by ELISA. Data are expressed as the mean ± standard deviation of three separate experiments. Mean values were significantly different from those of the control group: #P<0.05. Mean values were significantly different from those of the TNF-α only group: *P<0.05.

Carnosol inhibits TNF-α-induced NF-κB activation

Western blotting was used to investigate whether carnosol affected TNF-α-induced NF-κB activation in HUVECs. Compared with the control group, carnosol had no impact on the phosphorylation of p-65 and IκB-α in HUVECs, while TNF-α significantly increased their phosphorylation. When pretreated with 5 and 10 μmol carnosol, the phosphorylation levels of p-65 and IκB-α, but not the total p-65 expression, were reduced in a dose-dependent manner (Fig. 4).

Figure 4

Effect of carnosol on tumor necrosis factor (TNF)-α-induced nuclear factor (NF)-κB activation in human umbilical vein endothelial cells (HUVECs). Cells were divided into six groups: Control, carnosol only, TNF-α only, low-carnosol, mid-carnosol and high-carnosol groups. Cells of the carnosol pretreatment groups were treated with the indicated concentrations of carnosol for 24 h and subsequently stimulated with TNF-α (10 ng/ml) for 30 min. Cells were harvested and examined by western blotting against p-65, phosphorylated p-65 and phosphorylated IκB-α. Each electrophoregram is representative of the results of three independent experiments.

Carnosol reduces TNF-α-induced activation of NF-κB p-65 and p-50

The nuclear translocation of p-50 and p-65 proteins of the NF-κB family of transcription factors were measured. Compared with the control group, a greater number of p-50 and p-65 proteins were located when the cells had been treated with TNF-α only (Fig. 5). Following pretreatment with carnosol, the total quantities of the two proteins were significantly reduced. These results supported the view that NF-κB-DNA binding activity was inhibited, in a dose-dependent manner, by the pretreatment of HUVECs with carnosol prior to TNF-α stimulation.

Figure 5

Carnosol inhibited tumor necrosis factor (TNF)-α-induced nuclear factor (NF)-κB-DNA binding activity in human umbilical vein endothelial cells (HUVECs). Four groups were set up: Control, TNF-α only, mid-carnosol and high-carnosol groups. Cells were subjected to the indicated concentration of carnosol for 18 h and stimulated with TNF-α (10 ng/ml) for 6 h. Nuclear extracts were prepared and analyzed for activation of NF-κB p-65 and p-50 by using the TransAM NF-κB Family kit. Values are provided as the mean ± standard deviation and are depicted by vertical bars (n=3). Mean values were significantly different from those of the control group: #P<0.05. Mean values were significantly different from those of the TNF-α only group: *P<0.05.

Effects of carnosol on MAPK signaling

Western blotting was performed in order to investigate the effect of carnosol on TNF-α-induced MAPK activation in HUVECs. The results demonstrated that TNF-α significantly enhanced the phosphorylated expression of ERK1/2 and p38, but not that of total ERK1/2 and p38, in HUVECs (Fig. 6). Furthermore, pretreatment with carnosol was shown to decrease their expression in a dose-dependent manner.

Figure 6

Carnosol inhibited tumor necrosis factor (TNF)-α-stimulated phospholation of ERK1/2 and p38 in human umbilical vein endothelial cells (HUVECs). Cells were divided into four groups: Control, TNF-α only, mid-carnosol and high-carnosol groups. Cells were pretreated with the indicated concentrations of carnosol for 24 h and stimulated with TNF-α (10 ng/ml) for 30 min. Subsequently the cells were harvested and subjected to western blotting against ERK1/2, phosphorylated (Pi) ERK1/2, p-38, and Pi-p-38. Each electrophoregram is representative of the results of three independent experiments.

Discussion

Endothelial activation induced by proinflammatory cytokines is crucial in the inflammation process, as it is directly responsible for the proinflammatory cytokines recruiting the leukocytes into the inflamed focus from blood vessels during the inflammation process. During the inflammatory process, the levels of several proinflammatory cytokines were elevated, which induced the expression of adhesion molecules, monocyte adhesion and chemokine release (16). CAMs, including VCAM-1, ICAM-1 and E-selectin, were increasingly expressed by these endothelial cells (16), in addition to the production of IL-8 and MCP-1 (4).

The stimulatory effect of TNF-α on CAM expression and chemokine production in HUVECs observed in our study concurs with that observed in previous reports (13,17,18). The present study revealed that carnosol reduced the expression of VCAM-1, ICAM-1 and E-selectin and the production of IL-8 and MCP-1 in TNF-α-stimulated HUVECs in a dose-dependent manner. These adhesion molecules have been verified as critical for the recruitment of inflammatory cells to the endothelium (19). Furthermore, previous studies have demonstrated that the functional blocking of these adhesion molecules was capable of suppressing T cell adhesion to endothelial cells (20) and that reducing the production of chemokines (21) may be a treatment for IBD. The results of the present study suggested that carnosol may retard the endothelial inflammatory process by suppressing the secretion of chemoattractant molecules and the production of chemokines.

Furthermore, this secretion of chemoattractant molecules and the production of chemokines is always dependent on the activities of NF-κB (13) and MAPK (4). The analysis in the present study indicated that carnosol suppressed TNF-α-induced NF-κB activation. Numerous genes involved in the development of IBDs are regulated by NF-κB. In addition, activated NF-κB has been identified in the inflamed gut of IBD patients (22). NF-κB is composed of p-65 and p-50 subunits, and inactive NF-κB dimers are sequestered in the cytosol in association with various inhibitory molecules of the IκB-α family. In response to TNF-α, IκB-α is phosphorylated, which in turn is targeted for ubiquitination- and proteasome-dependent degradation (23). Previous studies have demonstrated that the active forms of MAPK are upregulated in patients with IBD (24). The present study demonstrated that carnosol inhibited the phosphorylation of ERK1/2 and p-38 in TNF-α-stimulated HUVECs. Due to the fact that the phosphorylation of ERK1/2 and p-38 is associated with the CAM expression of endothelial cells (25), it was hypothesized that the molecular mechanism underlying the anti-inflammatory activity of carnosol is associated with its inhibitory effect on the MAPK pathway. As demonstrated in a previous study, the inhibition of MAPK- and NF-κB-signaling pathways may suppress IBD (26). Therefore, it may be assumed that carnosol may have promising anti-inflammatory ability by its inhibition of the MAPK and NF-κB pathways, leading to a reduction in CAMs and chemokines.

There are emerging therapeutic agents for IBD treatment which specifically target the endothelium. Natalizumab, the first anti-α4-integrin inhibitor, demonstrated significant therapeutic benefit for the treatment of CD, by blocking the interaction of α4 expressing leukocytes with their ligands, including E-selectin and VCAM-1 (27). Another drug, the soluble epoxide hydrolase hydrolase inhibitor, also demonstrated high potential for the treatment of IBD by decreasing the levels of IFN-γ, TNF-α, MCP-1, VCAM-1 and NF-κB signals (28). In the present study, it was demonstrated that carnosol may also inhibit the expression of CAMs and chemokines associated with leukocyte recruitment.

In conclusion, the current study demonstrated that carnosol may provide an effective approach for the treatment of chronic inflammation, including IBDs. This anti-inflammatory effect may be due to its ability to inhibit the production of CAMs (ICAM-I, VCAM-1 and E-selectin) and chemokines (IL-8 and MCP-1), which increase leukocyte infiltration to the inflammatory tissues. Furthermore, the molecular mechanism underlying this effect may be associated with the inhibitory effect of carnosol on the NF-κB and MAPK pathways.

Acknowledgements

This study was partially sponsored by the National Natural Science Foundation of China (grant nos. 91029702 and 81072046).

References

1 

Khor B, Gardet A and Xavier RJ: Genetics and pathogenesis of inflammatory bowel disease. Nature. 474:307–317. 2011. View Article : Google Scholar

2 

Danese S: Inflammation and the mucosal microcirculation in inflammatory bowel disease: the ebb and flow. Curr Opin Gastroenterol. 23:384–389. 2007. View Article : Google Scholar : PubMed/NCBI

3 

Ghosh N, Chaki R and Mandal SC: Inhibition of selective adhesion molecules in treatment of inflammatory bowel disease. Int Rev Immunol. 31:410–427. 2012. View Article : Google Scholar : PubMed/NCBI

4 

Cheng Q, McKeown SJ, Santos L, Santiago FS, Khachigian LM, Morand EF and Hickey MJ: Macrophage migration inhibitory factor increases leukocyte-endothelial interactions in human endothelial cells via promotion of expression of adhesion molecules. J Immunol. 185:1238–1247. 2010. View Article : Google Scholar

5 

Danese S and Fiocchi C: Etiopathogenesis of inflammatory bowel diseases. World J Gastroenterol. 12:4807–4812. 2006.PubMed/NCBI

6 

Ninomiya K, Matsuda H, Shimoda H, Nishida N, Kasajima N, Yoshino T, Morikawa T and Yoshikawa M: Carnosic acid, a new class of lipid absorption inhibitor from sage. Bioorg Med Chem Lett. 14:1943–6. 2004. View Article : Google Scholar : PubMed/NCBI

7 

Weckesser S, Engel K, Simon-Haarhaus B, Wittmer A, Pelz K and Schempp CM: Screening of plant extracts for antimicrobial activity against bacteria and yeasts with dermatological relevance. Phytomedicine. 14:508–516. 2007. View Article : Google Scholar : PubMed/NCBI

8 

Poeckel D, Greiner C, Verhoff M, et al: Carnosic acid and carnosol potently inhibit human 5-lipoxygenase and suppress pro-inflammatory responses of stimulated human polymorphonuclear leukocytes. Biochem Pharmacol. 76:91–97. 2008. View Article : Google Scholar

9 

Kim SJ, Kim JS, Cho HS, Lee HJ, Kim SY, Kim S, Lee SY and Chun HS: Carnosol, a component of rosemary (Rosmarinus officinalis L.) protects nigral dopaminergic neuronal cells. Neuroreport. 17:1729–1733. 2006.PubMed/NCBI

10 

Satoh T, Izumi M, Inukai Y, et al: Carnosic acid protects neuronal HT22 cells through activation of the antioxidant-responsive element in free carboxylic acid- and catechol hydroxyl moieties-dependent manners. Neurosci Lett. 434:260–265. 2008. View Article : Google Scholar

11 

Johnson JJ, Syed DN, Suh Y, Heren CR, Saleem M, Siddiqui IA and Mukhtar H: Disruption of androgen and estrogen receptor activity in prostate cancer by a novel dietary diterpene carnosol: implications for chemoprevention. Cancer Prev Res (Phila). 3:1112–1123. 2010. View Article : Google Scholar : PubMed/NCBI

12 

Yu YM, Lin CH, Chan HC and Tsai HD: Carnosic acid reduces cytokine-induced adhesion molecules expression and monocyte adhesion to endothelial cells. Eur J Nutr. 48:101–106. 2009. View Article : Google Scholar : PubMed/NCBI

13 

Lian KC, Chuang JJ, Hsieh CW, Wung BS, Huang GD, Jian TY and Sun YW: Dual mechanisms of NF-kappaB inhibition in carnosol-treated endothelial cells. Toxicol Appl Pharmacol. 245:21–35. 2010. View Article : Google Scholar : PubMed/NCBI

14 

Adachi D, Oda T, Yagasaki H, Nakasato K, Taniguchi T, D’Andrea AD, Asano S and Yamashita T: Heterogeneous activation of the Fanconi anemia pathway by patient-derived FANCA mutants. Hum Mol Genet. 11:3125–3134. 2002. View Article : Google Scholar : PubMed/NCBI

15 

Scaldaferri F, Sans M, Vetrano S, et al: Crucial role of the protein C pathway in governing microvascular inflammation in inflammatory bowel disease. J Clin Invest. 117:1951–1960. 2007. View Article : Google Scholar : PubMed/NCBI

16 

Vestweber D: Adhesion and signaling molecules controlling the transmigration of leukocytes through endothelium. Immunol Rev. 218:178–196. 2007. View Article : Google Scholar : PubMed/NCBI

17 

Ley K, Laudanna C, Cybulsky MI and Nourshargh S: Getting to the site of inflammation: the leukocyte adhesion cascade updated. Nat Rev Immunol. 7:678–689. 2007. View Article : Google Scholar : PubMed/NCBI

18 

Baggiolini M and Loetscher P: Chemokines in inflammation and immunity. Immunol Today. 21:418–420. 2000. View Article : Google Scholar : PubMed/NCBI

19 

Lehmann JC, Jablonski-Westrich D, Haubold U, Gutierrez-Ramos JC, Springer T and Hamann A: Overlapping and selective roles of endothelial intercellular adhesion molecule-1 (ICAM-1) and ICAM-2 in lymphocyte trafficking. J Immunol. 171:2588–2593. 2003. View Article : Google Scholar : PubMed/NCBI

20 

Reiss Y and Engelhardt B: T cell interaction with ICAM-1-deficient endothelium in vitro: transendothelial migration of different T cell populations is mediated by endothelial ICAM-1 and ICAM-2. Int Immunol. 11:1527–1539. 1999.PubMed/NCBI

21 

Funakoshi T, Yamashita K, Ichikawa N, et al: A novel NF-kappaB inhibitor, dehydroxymethylepoxyquinomicin, ameliorates inflammatory colonic injury in mice. J Crohns Colitis. 6:215–225. 2002. View Article : Google Scholar

22 

Andresen L, Jørgensen VL, Perner A, Hansen A, Eugen-Olsen J and Rask-Madsen J: Activation of nuclear factor kappaB in colonic mucosa from patients with collagenous and ulcerative colitis. Gut. 54:503–509. 2005. View Article : Google Scholar : PubMed/NCBI

23 

Viatour P, Merville MP, Bours V and Chariot A: Phosphorylation of NF-kappaB and IkappaB proteins: implications in cancer and inflammation. Trends Biochem Sci. 30:43–52. 2005. View Article : Google Scholar : PubMed/NCBI

24 

Mitsuyama K, Suzuki A, Tomiyasu N, et al: Pro-inflammatory signaling by Jun-N-terminal kinase in inflammatory bowel disease. Int J Mol Med. 17:449–455. 2006.PubMed/NCBI

25 

Scaldaferri F, Sans M, Vetrano S, et al: The role of MAPK in governing lymphocyte adhesion to and migration across the microvasculature in inflammatory bowel disease. Eur J Immunol. 39:290–300. 2009. View Article : Google Scholar : PubMed/NCBI

26 

Hollenbach E, Neumann M, Vieth M, Roessner A, Malfertheiner P and Naumann M: Inhibition of p38 MAP kinase- and RICK/NF-kappaB-signaling suppresses inflammatory bowel disease. FASEB J. 18:1550–1552. 2004.PubMed/NCBI

27 

Ghosh S and Panaccione R: Anti-adhesion molecule therapy for inflammatory bowel disease. Therap Adv Gastroenterol. 3:239–258. 2010. View Article : Google Scholar : PubMed/NCBI

28 

Zhang W, Yang AL, Liao J, et al: Soluble epoxide hydrolase gene deficiency or inhibition attenuates chronic active inflammatory bowel disease in IL-10(−/−) mice. Dig Dis Sci. 57:2580–2591. 2012.

Related Articles

  • Abstract
  • View
  • Download
  • Twitter
Copy and paste a formatted citation
Spandidos Publications style
Yao H, Chen Y, Zhang L, He X, He X, Lian L, Wu X and Lan P: Carnosol inhibits cell adhesion molecules and chemokine expression by tumor necrosis factor-α in human umbilical vein endothelial cells through the nuclear factor-κB and mitogen-activated protein kinase pathways. Mol Med Rep 9: 476-480, 2014.
APA
Yao, H., Chen, Y., Zhang, L., He, X., He, X., Lian, L. ... Lan, P. (2014). Carnosol inhibits cell adhesion molecules and chemokine expression by tumor necrosis factor-α in human umbilical vein endothelial cells through the nuclear factor-κB and mitogen-activated protein kinase pathways. Molecular Medicine Reports, 9, 476-480. https://doi.org/10.3892/mmr.2013.1839
MLA
Yao, H., Chen, Y., Zhang, L., He, X., He, X., Lian, L., Wu, X., Lan, P."Carnosol inhibits cell adhesion molecules and chemokine expression by tumor necrosis factor-α in human umbilical vein endothelial cells through the nuclear factor-κB and mitogen-activated protein kinase pathways". Molecular Medicine Reports 9.2 (2014): 476-480.
Chicago
Yao, H., Chen, Y., Zhang, L., He, X., He, X., Lian, L., Wu, X., Lan, P."Carnosol inhibits cell adhesion molecules and chemokine expression by tumor necrosis factor-α in human umbilical vein endothelial cells through the nuclear factor-κB and mitogen-activated protein kinase pathways". Molecular Medicine Reports 9, no. 2 (2014): 476-480. https://doi.org/10.3892/mmr.2013.1839
Copy and paste a formatted citation
x
Spandidos Publications style
Yao H, Chen Y, Zhang L, He X, He X, Lian L, Wu X and Lan P: Carnosol inhibits cell adhesion molecules and chemokine expression by tumor necrosis factor-α in human umbilical vein endothelial cells through the nuclear factor-κB and mitogen-activated protein kinase pathways. Mol Med Rep 9: 476-480, 2014.
APA
Yao, H., Chen, Y., Zhang, L., He, X., He, X., Lian, L. ... Lan, P. (2014). Carnosol inhibits cell adhesion molecules and chemokine expression by tumor necrosis factor-α in human umbilical vein endothelial cells through the nuclear factor-κB and mitogen-activated protein kinase pathways. Molecular Medicine Reports, 9, 476-480. https://doi.org/10.3892/mmr.2013.1839
MLA
Yao, H., Chen, Y., Zhang, L., He, X., He, X., Lian, L., Wu, X., Lan, P."Carnosol inhibits cell adhesion molecules and chemokine expression by tumor necrosis factor-α in human umbilical vein endothelial cells through the nuclear factor-κB and mitogen-activated protein kinase pathways". Molecular Medicine Reports 9.2 (2014): 476-480.
Chicago
Yao, H., Chen, Y., Zhang, L., He, X., He, X., Lian, L., Wu, X., Lan, P."Carnosol inhibits cell adhesion molecules and chemokine expression by tumor necrosis factor-α in human umbilical vein endothelial cells through the nuclear factor-κB and mitogen-activated protein kinase pathways". Molecular Medicine Reports 9, no. 2 (2014): 476-480. https://doi.org/10.3892/mmr.2013.1839
Follow us
  • Twitter
  • LinkedIn
  • Facebook
About
  • Spandidos Publications
  • Careers
  • Cookie Policy
  • Privacy Policy
How can we help?
  • Help
  • Live Chat
  • Contact
  • Email to our Support Team