Spandidos Publications Logo
  • About
    • About Spandidos
    • Aims and Scopes
    • Abstracting and Indexing
    • Editorial Policies
    • Reprints and Permissions
    • Job Opportunities
    • Terms and Conditions
    • Contact
  • Journals
    • All Journals
    • Oncology Letters
      • Oncology Letters
      • Information for Authors
      • Editorial Policies
      • Editorial Board
      • Aims and Scope
      • Abstracting and Indexing
      • Bibliographic Information
      • Archive
    • International Journal of Oncology
      • International Journal of Oncology
      • Information for Authors
      • Editorial Policies
      • Editorial Board
      • Aims and Scope
      • Abstracting and Indexing
      • Bibliographic Information
      • Archive
    • Molecular and Clinical Oncology
      • Molecular and Clinical Oncology
      • Information for Authors
      • Editorial Policies
      • Editorial Board
      • Aims and Scope
      • Abstracting and Indexing
      • Bibliographic Information
      • Archive
    • Experimental and Therapeutic Medicine
      • Experimental and Therapeutic Medicine
      • Information for Authors
      • Editorial Policies
      • Editorial Board
      • Aims and Scope
      • Abstracting and Indexing
      • Bibliographic Information
      • Archive
    • International Journal of Molecular Medicine
      • International Journal of Molecular Medicine
      • Information for Authors
      • Editorial Policies
      • Editorial Board
      • Aims and Scope
      • Abstracting and Indexing
      • Bibliographic Information
      • Archive
    • Biomedical Reports
      • Biomedical Reports
      • Information for Authors
      • Editorial Policies
      • Editorial Board
      • Aims and Scope
      • Abstracting and Indexing
      • Bibliographic Information
      • Archive
    • Oncology Reports
      • Oncology Reports
      • Information for Authors
      • Editorial Policies
      • Editorial Board
      • Aims and Scope
      • Abstracting and Indexing
      • Bibliographic Information
      • Archive
    • Molecular Medicine Reports
      • Molecular Medicine Reports
      • Information for Authors
      • Editorial Policies
      • Editorial Board
      • Aims and Scope
      • Abstracting and Indexing
      • Bibliographic Information
      • Archive
    • World Academy of Sciences Journal
      • World Academy of Sciences Journal
      • Information for Authors
      • Editorial Policies
      • Editorial Board
      • Aims and Scope
      • Abstracting and Indexing
      • Bibliographic Information
      • Archive
    • International Journal of Functional Nutrition
      • International Journal of Functional Nutrition
      • Information for Authors
      • Editorial Policies
      • Editorial Board
      • Aims and Scope
      • Abstracting and Indexing
      • Bibliographic Information
      • Archive
    • International Journal of Epigenetics
      • International Journal of Epigenetics
      • Information for Authors
      • Editorial Policies
      • Editorial Board
      • Aims and Scope
      • Abstracting and Indexing
      • Bibliographic Information
      • Archive
    • Medicine International
      • Medicine International
      • Information for Authors
      • Editorial Policies
      • Editorial Board
      • Aims and Scope
      • Abstracting and Indexing
      • Bibliographic Information
      • Archive
  • Articles
  • Information
    • Information for Authors
    • Information for Reviewers
    • Information for Librarians
    • Information for Advertisers
    • Conferences
  • Language Editing
Spandidos Publications Logo
  • About
    • About Spandidos
    • Aims and Scopes
    • Abstracting and Indexing
    • Editorial Policies
    • Reprints and Permissions
    • Job Opportunities
    • Terms and Conditions
    • Contact
  • Journals
    • All Journals
    • Biomedical Reports
      • Information for Authors
      • Editorial Policies
      • Editorial Board
      • Aims and Scope
      • Abstracting and Indexing
      • Bibliographic Information
      • Archive
    • Experimental and Therapeutic Medicine
      • Information for Authors
      • Editorial Policies
      • Editorial Board
      • Aims and Scope
      • Abstracting and Indexing
      • Bibliographic Information
      • Archive
    • International Journal of Epigenetics
      • Information for Authors
      • Editorial Policies
      • Editorial Board
      • Aims and Scope
      • Abstracting and Indexing
      • Bibliographic Information
      • Archive
    • International Journal of Functional Nutrition
      • Information for Authors
      • Editorial Policies
      • Editorial Board
      • Aims and Scope
      • Abstracting and Indexing
      • Bibliographic Information
      • Archive
    • International Journal of Molecular Medicine
      • Information for Authors
      • Editorial Policies
      • Editorial Board
      • Aims and Scope
      • Abstracting and Indexing
      • Bibliographic Information
      • Archive
    • International Journal of Oncology
      • Information for Authors
      • Editorial Policies
      • Editorial Board
      • Aims and Scope
      • Abstracting and Indexing
      • Bibliographic Information
      • Archive
    • Medicine International
      • Information for Authors
      • Editorial Policies
      • Editorial Board
      • Aims and Scope
      • Abstracting and Indexing
      • Bibliographic Information
      • Archive
    • Molecular and Clinical Oncology
      • Information for Authors
      • Editorial Policies
      • Editorial Board
      • Aims and Scope
      • Abstracting and Indexing
      • Bibliographic Information
      • Archive
    • Molecular Medicine Reports
      • Information for Authors
      • Editorial Policies
      • Editorial Board
      • Aims and Scope
      • Abstracting and Indexing
      • Bibliographic Information
      • Archive
    • Oncology Letters
      • Information for Authors
      • Editorial Policies
      • Editorial Board
      • Aims and Scope
      • Abstracting and Indexing
      • Bibliographic Information
      • Archive
    • Oncology Reports
      • Information for Authors
      • Editorial Policies
      • Editorial Board
      • Aims and Scope
      • Abstracting and Indexing
      • Bibliographic Information
      • Archive
    • World Academy of Sciences Journal
      • Information for Authors
      • Editorial Policies
      • Editorial Board
      • Aims and Scope
      • Abstracting and Indexing
      • Bibliographic Information
      • Archive
  • Articles
  • Information
    • For Authors
    • For Reviewers
    • For Librarians
    • For Advertisers
    • Conferences
  • Language Editing
Login Register Submit
  • This site uses cookies
  • You can change your cookie settings at any time by following the instructions in our Cookie Policy. To find out more, you may read our Privacy Policy.

    I agree
Search articles by DOI, keyword, author or affiliation
Search
Advanced Search
presentation
Molecular Medicine Reports
Join Editorial Board Propose a Special Issue
Print ISSN: 1791-2997 Online ISSN: 1791-3004
Journal Cover
July-2014 Volume 10 Issue 1

Full Size Image

Sign up for eToc alerts
Recommend to Library

Journals

International Journal of Molecular Medicine

International Journal of Molecular Medicine

International Journal of Molecular Medicine is an international journal devoted to molecular mechanisms of human disease.

International Journal of Oncology

International Journal of Oncology

International Journal of Oncology is an international journal devoted to oncology research and cancer treatment.

Molecular Medicine Reports

Molecular Medicine Reports

Covers molecular medicine topics such as pharmacology, pathology, genetics, neuroscience, infectious diseases, molecular cardiology, and molecular surgery.

Oncology Reports

Oncology Reports

Oncology Reports is an international journal devoted to fundamental and applied research in Oncology.

Experimental and Therapeutic Medicine

Experimental and Therapeutic Medicine

Experimental and Therapeutic Medicine is an international journal devoted to laboratory and clinical medicine.

Oncology Letters

Oncology Letters

Oncology Letters is an international journal devoted to Experimental and Clinical Oncology.

Biomedical Reports

Biomedical Reports

Explores a wide range of biological and medical fields, including pharmacology, genetics, microbiology, neuroscience, and molecular cardiology.

Molecular and Clinical Oncology

Molecular and Clinical Oncology

International journal addressing all aspects of oncology research, from tumorigenesis and oncogenes to chemotherapy and metastasis.

World Academy of Sciences Journal

World Academy of Sciences Journal

Multidisciplinary open-access journal spanning biochemistry, genetics, neuroscience, environmental health, and synthetic biology.

International Journal of Functional Nutrition

International Journal of Functional Nutrition

Open-access journal combining biochemistry, pharmacology, immunology, and genetics to advance health through functional nutrition.

International Journal of Epigenetics

International Journal of Epigenetics

Publishes open-access research on using epigenetics to advance understanding and treatment of human disease.

Medicine International

Medicine International

An International Open Access Journal Devoted to General Medicine.

Journal Cover
July-2014 Volume 10 Issue 1

Full Size Image

Sign up for eToc alerts
Recommend to Library

  • Article
  • Citations
    • Cite This Article
    • Download Citation
    • Create Citation Alert
    • Remove Citation Alert
    • Cited By
  • Similar Articles
    • Related Articles (in Spandidos Publications)
    • Similar Articles (Google Scholar)
    • Similar Articles (PubMed)
  • Download PDF
  • Download XML
  • View XML
Article

Anti-fibrotic effects of specific-siRNA targeting of the receptor for advanced glycation end products in a rat model of experimental hepatic fibrosis

  • Authors:
    • Xiao-Gang Cai
    • Jin-Rong Xia
    • Wei-Dong Li
    • Feng-Lin Lu
    • Juan Liu
    • Qin Lu
    • Hong Zhi
  • View Affiliations / Copyright

    Affiliations: Department of Gastroenterology, Zhongda Hospital, School of Medicine, Southeast University, Nanjing, Jiangsu 210009, P.R. China
  • Pages: 306-314
    |
    Published online on: May 2, 2014
       https://doi.org/10.3892/mmr.2014.2207
  • Expand metrics +
Metrics: Total Views: 0 (Spandidos Publications: | PMC Statistics: )
Metrics: Total PDF Downloads: 0 (Spandidos Publications: | PMC Statistics: )
Cited By (CrossRef): 0 citations Loading Articles...

This article is mentioned in:



Abstract

Since the receptor for advanced glycation end products (RAGE)-ligand axis has been demonstrated to be important in fibrogenesis, rat models may be used to assess whether specific small interfering RNAs (siRNAs) that target RAGE are able to reduce the progression of hepatic fibrosis. However, the effect of RAGE-targeted siRNA on established hepatic fibrosis remains to be elucidated. In the present study, RAGE-specific siRNA expression vectors were constructed prior to the animal experiment. Sprague-Dawley rats were treated initially with olive oil (2 ml/kg) or 50% CCl4 (2 ml/kg; CCl4/olive oil=1:1) twice per week for six weeks to generate the fibrosis model. The rats were then treated with phosphate‑buffered saline, a RAGE-specific siRNA expression vector, at different doses or a non-specific siRNA expression vector twice weekly via tail vein injection for up to six weeks, and were sacrificed at week two, four or six. Compared with the control groups, RAGE‑specific siRNA therapy significantly decreased RAGE mRNA and protein expression in rat livers (P<0.01). Following six weeks of RAGE gene-silencing treatment, the liver function, which was assessed by analyzing serum levels of alanine aminotransferase (ALT), aspartate aminotransferase (AST), alkaline phosphatase (ALP) and total bilirubin (TBIL), improved to varying degrees (P<0.01). The expression of nuclear factor-κB (NF-κB) significantly decreased following RAGE gene‑silencing therapy (P<0.01). In addition, the serum levels of inflammatory cytokines, including tumor necrosis factor‑α (TNF-α) and interleukin-6 (IL-6), and extracellular matrix (ECM) components, including hyaluronic acid (HA), laminin (LN) and procollagen type III (PCIII) also decreased (P<0.01). Furthermore, the expression of α-smooth muscle actin (α-SMA) and collagen I, which indicate the activation of hepatic stellate cells (HSCs), were downregulated following RAGE gene-silencing therapy (P<0.01). Furthermore, the inflammatory activity grade and fibrosis stage of rat livers also significantly improved compared with the control groups following RAGE gene-silencing therapy. Specific targeting of RAGE using siRNA may inhibit RAGE gene expression effectively in the rat hepatic fibrosis model and attenuate the progression of established hepatic fibrosis. This therapeutic effect may be mediated via inhibition of the expression of NF-κB. These findings suggest that RAGE may be a new target to prevent hepatic fibrosis.

Introduction

Liver cirrhosis, which is the end stage of several types of liver disease, is a global problem due to a lack of efficient therapies. Hepatic fibrosis is a necessary step in the development of liver cirrhosis. Therefore, the prevention and reversal of fibrosis is of high priority. Hepatic fibrosis is a pathological process that involves the deposition of extracellular matrix (ECM) (1) due to wound healing that is initiated in response to continuous injuries to liver tissue. Hepatic stellate cells (HSCs), which are located in the subendothelial space of Disse between hepatocytes and sinusoidal endothelial cells, have been identified as a major cellular source of ECM in liver injury, and the activation of HSCs is regarded as central to the pathogenesis of hepatic fibrosis (2–4). When the liver suffers injuries, inflammatory cells, injured hepatocytes and bile duct cells may generate or secrete substances that initiate the activation of HSCs, including cytokines, reactive oxygen species and nitric oxide. During this activation process, HSCs undergo phenotype transformation from vitamin-A-storing quiescent cells to myofibroblasts and autocrine and paracrine stimulation may enhance this activation. Subsequently, the robust increase in collagen synthesis that occurs leads to the accumulation of ECM and thus hepatic fibrosis (5).

The receptor for advanced glycation end products (RAGE) is a member of the immunoglobulin super family of receptors (6). RAGE is a multiligand receptor and its ligands include advanced glycation end products, high mobility group family proteins, members of the S100/calgranulin proinflammatory cytokine family, β-amyloid peptide and other ligands (7,8). The binding of these ligands to RAGE results in the generation of intracellular oxidative stress and subsequent activation of the transcription factor nuclear factor-κB (NF-κB) (9,10). In addition, interaction of RAGE with these ligands enhances receptor expression and initiates a positive feedback loop that results in sustained RAGE upregulation (11).

RAGE is expressed in a broad range of cell types, including cardiomyocytes, vascular cells and inflammatory cells and, thus, is observed in HSCs (11,12). Several studies have demonstrated that hepatic RAGE expression is increased in animal models of chronic liver disease and liver cirrhosis. In a rat model of liver fibrosis, which is induced by bile duct ligation or thioacetamide treatment, the RAGE transcript is markedly upregulated (13). In addition, a number of studies have demonstrated that RAGE expression is upregulated during the transdifferentiation and subsequent migration of HSCs to myofibroblasts (14). A previous study by our group demonstrated that RAGE gene silencing effectively prevented liver fibrosis (15). In the present study, to assess the therapeutic effects of RAGE gene silencing on hepatic fibrosis and to investigate the mechanistic details, the effects of specific RAGE-targeted small interfering RNA (siRNA) on the carbon tetrachloride (CCl4)-induced rat model of hepatic fibrosis were investigated.

Materials and methods

Preparation of specific RAGE-targeted siRNA

Rat RAGE mRNA (GeneBank number, NM-053336.1) was used as the target sequence. RNA-designing software (https://rnaidesigner.lifetechnologies.com/rnaiexpress/setOption.do?designOption=sirna&pid=8819012764449116449) was used to model the secondary structures of rat RAGE mRNA. In total, five pairs of 19 nt siRNA sequences were designed based on the target sequence and its complementary sequence (specificity of sequences were confirmed using BLAST). They were then converted into short RNA oligonucleotide sequences that formed hairpin structures. BglII and KpnI restriction enzyme sites and a 9-bp loop, which forms the hairpin structure, were added to the two terminuses of the sequences. The final oligonucleotides were named GR125, GR126, GR127, GR128 and GR129. The siRNA sequences used were: GR125 (targeting RAGE mRNA 151–169) forward, 5′-GATCCCCGCCAACCCAGAAGCTAGAATTCAAGAGATCTAGCTTCTGG GTTGGCTTTTTTGTA-3′ and reverse, 5′-AAAAAAGCCAACCCAGAAGCTAGAA CTCTTGAATTCTAGCTTCTGGGTTGGCGGG-3′; GR126 (targeting RAGE mRNA 394–412) forward, 5′-GATCCCCGTGAATCCTGCCTCTGAAC TTCAAGAGAGTTCAGAGGCAGG ATTCACTTTTTTG TAC-3′ and reverse, 5′-AAAAAAGTGAATCCTGCCTCTGAACTCTCTTGAAGTTCAG AGGCAGGATTCACGGG-3′; GR127 (targeting RAGE mRNA 438–456) forward, 5′-GATCCCCGCCTCTGAACTCACAGCCATTCAAGAGATGGCTGTGAGTTCA GAGGCTTTTTTGTAC-3′ and reverse, 5′-AAAAAAGCCTCTGAACTCACAGCCATCTCTTGAAT GGCTGTGAGTTCAGAGGCGGG-3′; GR128 (targeting RAGE mRNA 780–798) forward, 5′-GATCCCCGAAGG TGGAACAGTCGCTCTT CAAGAGAGAGCGACTGTTCC ACCTTCTTTTTTGTAC-3′ and reverse, 5′-AAAAAAGAA GGTGGAACAGTCGCTCTCTCTTGAAGAGCGACTGTTC CACCTTCGGG-3′; GR129 (targeting RAGE mRNA 1136–1154) forward, 5′-GATCCCCGCGAAAACGACAACCCAGATTCAAGAGATCTGGGTTGTCGT TTTCGCTTTTTT GTAC-3′ and reverse, 5′-AAAAAAGCGAAAACGACAACCCAGATCTCTT GAATCTGGGTTGTCGTTTTCGCGGG-3′.

The BglII and KpnI restriction sites and the hairpin structure sequences were also added to the two ends of another pair of non-specific siRNA oligonucleotide sequences (not homologous to rat RAGE mRNA; confirmed using BLAST). It was named NS. NS forward, 5′-GATCCCCTTCTCCGAACGTGTCACGTTT CAAGAGAACGTGACACGTTCGGAGAATTTTTTGATC-3′ and reverse, 5′-AAAAAATTCTCCGAA CGTGTCACGTTCTCTTGAAACGTGACACGTTCGGAGAAGGG-3′.

Construction of specific siRNA expression vectors

The vector pAKD.CMV.bGlobin.eGFP.H1.shRNA was first linearized by restriction enzyme digestion at the BglII and KpnI sites and then re-connected using the annealed double-stranded DNA fragments GR125, GR126, GR127, GR128 or GR129. Thus, the RAGE-specific siRNA expression vectors pAKD-GR125, pAKD-GR126, pAKD-GR127, pAKD-GR128 and pAKD-GR129 were constructed. The non-specific siRNA expression vector pAKD-NS, which also expressed green fluorescent protein (GFP), was constructed and used as the control.

Cell transfection

RAGE siRNA expression vectors (pAKD-GR125, pAKD-GR126, pAKD-GR127, pAKD-GR128 and pAKD-GR129) were transfected into primary rat HSCs separately at multiplicities of infections (MOIs) of 20, 100, 200 and 1,000. Untreated and unspecific siRNA-transfected primary rat HSCs served as the controls. The medium was replaced with serum-free Dulbecco’s modified Eagle’s medium prior to transfection. Total RNA was extracted and the RAGE mRNA levels were determined using quantitative polymerase chain reaction (qPCR) following incubation for 48 h.

The specific siRNA expression vectors that resulted in maximum inhibition of RAGE gene expression were selected and transfected into primary rat HSCs and cultured for five days. Untreated and unspecific siRNA-transfected primary rat HSCs were used as the controls. The cells were harvested following incubation for 24, 48 or 72 h, respectively, and the total RNA was extracted. The efficiency of RAGE gene silencing was assessed using qPCR.

Animal model and protocol

Six-week-old male Sprague-Dawley (SD) rats weighing 200±30 g were purchased from the Shanghai Laboratory Animal Center of the Chinese Academy of Sciences (Shanghai, China). They were housed in the Animal Experiment Center of Medical College, Southeast University (Nanjing, China) under a 12-h dark/light cycle, and water and a standard diet were available ad libitum. The SD rats (n=108) were divided randomly into two groups: A normal control group (NC; n=18) and a model group (n=90). The rats in the NC group were injected intraperitoneally with refined olive oil (2 ml/kg) twice weekly for six weeks and the rats in the model group were injected intraperitoneally with 50% CCl4 (2 ml/kg; CCl4/olive oil=1:1) twice weekly for six weeks to generate the hepatic fibrosis model. The successfully established model rats were then divided randomly into five groups, including the fibrosis model group (FM; n=18), the low-dose therapeutic group (LT; n=18), the medium-dose therapeutic group (MT; n=18), the high-dose therapeutic group (HT; n=18) and the non-specific siRNA control group (NS; n=18). The rats in the NC group and the FM group were injected with physiological saline (2 ml/kg) via the tail vein twice weekly for six weeks. The rats in the LT, MT and HT groups were injected with specific recombinant RAGE-targeted siRNA expression vectors at doses of 4×108, 2×109 or 1×1010 particles via tail vein injections twice weekly for six weeks. The rats in the NS group were injected with recombinant non-specific siRNA expression vectors at a dose of 1×1010 via tail vein injections twice weekly for six weeks. In total, six rats from the NC group and each of the other groups were sacrificed two, four or six weeks after injection. All rats were sacrificed three days after their final injection. Following sacrification, blood was obtained from the cardiac cavity and the liver was removed, weighed and processed.

The study protocol was approved by the Animal Research Ethics Committee of Medical College, Southeast University (Nanjing, China).

Biochemical analysis of serum

Serum was collected from the blood samples by centrifuging at 10,000 × g for 8 min at 4°C. The serum levels of alanine aminotransferase (ALT), aspartate aminotransferase (AST), alkaline phosphatase (ALP) and total bilirubin (TBIL) were measured using a Beckman LX20 autoanalyzer. The serum levels of tumor necrosis factor-α (TNF-α), interleukin-6 (IL-6), hyaluronic acid (HA), procollagen type III (PCIII) and laminin (LN) were determined using radioimmunoassays, according to the methods of Barouch et al (16).

Histological examination

Serial sections of liver tissue were prepared for pathological examination by staining with hematoxylin and eosin (H&E) and Masson. Two pathologists examined the slides independently under a light microscope. The severity of inflammation activity and fibrosis were graded based on the Knodell HAI evaluation system and Ishak-modified system (17,18). Inflammatory activity grading and fibrosis staging were recorded using five random fields, and the mean value was used for analysis.

Total RNA extraction and qPCR assay

Total RNA was extracted from rat liver samples using TRIzol reagent (Invitrogen, St. Louis, MO, USA) according to the manufacturer’s instructions. The RNA purity and concentration were determined and RNA was then reverse transcribed. qPCR was performed using a LightCycler PCR instrument with SYBR® green as the detection fluorophore (Applied Biosystems, Foster City, CA, USA). The thermal profile for PCR consisted of activation at 95°C for 3 min, followed by 40 cycles of PCR at 95°C for 20 sec, 60°C for 30 sec, and 72°C for 60 sec. Hepatic mRNA expression of type I collagen (collagen I), RAGE, α-smooth muscle actin (α-SMA) and NF-κB were evaluated using qPCR with β-actin used as the endogenous control. The ΔΔCT method was used to calculate relative differences in the expression levels of each target gene.

Recombinant virus expression by fluorescence microscopy analysis

Sections of rapidly frozen liver tissue were generated using a freezing microtome and were observed under a fluorescence microscope. The amount of recombinant virus expression was assessed based on GFP expression.

Statistical analysis

Data are expressed as the mean ± standard deviation. Statistical analyses were performed with the SPSS statistical software package (version 17.0; SPSS, Inc., Chicago, IL, USA) using a one-way analysis of variance or independent-samples t-tests, as appropriate. P<0.05 was considered to indicate a statistically significant difference.

Results

Effect of specific RAGE-targeted siRNA on RAGE expression in primary rat HSCs

As compared with the untreated primary rat HSCs (blank) and the cells treated with pAKD-NS, the expression of RAGE mRNA was significantly downregulated in primary rat HSCs treated with pAKD-GR125 (P<0.05), pAKD-GR126 (P<0.05), pAKD-GR127 (P<0.05), pAKD-GR128 (P<0.05) and pAKD-GR129 (P<0.05). The levels of RAGE mRNA decreased in a dose-dependent manner over MOIs of 20–1,000. In particular, the largest decrease was observed following treatment with pAKD-GR126 at an MOI of 1,000 (Fig. 1). The expression of RAGE mRNA was downregulated in primary rat HSCs treated with pAKD-GR126 at 24 h (P<0.05), 48 h (P<0.05) and 72 h (P<0.05) compared with the blank cells. However, the inhibition of RAGE mRNA expression was not different between the treatment groups (P>0.05; Fig. 2). These results indicated that the RAGE-specific siRNA expressed by the pAKD-GR126 vector effectively inhibited RAGE gene expression. Therefore, pAKD-GR126 was selected for use in the subsequent animal experiment.

Figure 1

Effect of different doses of RAGE-specific siRNA on the expression of RAGE mRNA in primary rat hepatic stellate cells. The expression of RAGE mRNA relative to β-actin mRNA was quantified using quantitative polymerase chain reaction. The changes were expressed as the percentage of the respective blank. *P<0.01 vs. blank and #P<0.01 vs. pAKD-NS. RAGE, receptor for advanced glycation end products; siRNA, small interfering RNA; MOI, multiplicity of infections; NC, normal control.

Figure 2

Effect of RAGE-specific siRNA on the expression of RAGE mRNA in primary rat HSCs at various time-points. The expression of RAGE mRNA relative to β-actin mRNA was quantified using quantitative polymerase chain reaction and the changes were expressed as the percentage of the respective blank.*P<0.01 vs. blank and #P<0.01 vs. pAKD-NS 48 h. RAGE, receptor for advanced glycation end products; HSCs, hepatic stellate cells; siRNA, small interfering RNA.

Observation of GFP expression in transfected cells

The GFP gene expressed by the pAKD-GR126 vector was used to trace siRNA expression. Whether the vector was transfected into liver tissues was judged from the expression of the GFP. Following sacrification, sections of rapidly frozen liver tissue were generated using a freezing microtome and were observed under a fluorescence microscope. Bright GFP fluorescence was observed in the liver tissues of therapeutic groups (LT, MT and HT group) and the NS group; however, not in the FM or NC groups (Fig. 3). These results demonstrated that pAKD-GR126 was successfully transfected into the rat model and expressed in liver tissues.

Figure 3

Expression of GFP in liver tissues. GFP fluorescence of liver tissues in the different groups was detected using a fluorescence microscope. (A) Fluorescence image of the liver tissue in the NC group; (B) fluorescence image of the liver tissue in the FM group; (C) fluorescence image of the liver tissue in the LT group; (D) fluorescence image of the liver tissue in the MT group; (E) fluorescence image of the liver tissue in the HT group, (F) fluorescence image of the liver tissue in the NS group. A-F, magnification, ×100. NC, normal control; FM, fibrosis model; LT, low-dose therapeutic; MT, medium-dose therapeutic; HT, high-dose therapeutic; NS, non-specific siRNA control; GFP, green fluorescent protein.

Effect of RAGE suppression on histological changes in rat liver

A histological analysis of the rat liver sections was conducted, which were collected three days after the final injections, based on H&E and Masson staining. In the FM and NS groups, robust piecemeal or bridging necrosis, inflammatory-cell infiltration and connective tissue hyperplasia were observed in the portal area, and pseudo-lobular formation was also observed, whereas no hepatocellular necrosis, inflammatory cell infiltration or fibroplasia was observed in the NC group. Compared with the FM and NS groups, the severity of hepatic inflammation and fibroplasia was significantly decreased in the therapeutic groups (Fig. 4). Using Knodell HAI and Ishak-modified systems, the inflammatory activity was graded and the fibrosis of rat livers was staged in each group. The inflammatory activity and fibrosis scores were significantly different among the six groups (χ2=24.915, P<0.01 and χ2=27.580, P<0.01, respectively; Table I), and the scores of each therapeutic group were significantly different compared with the FM group and the NS group (P<0.01). These results suggested that RAGE may be important in inflammatory activity and the formation of fibrosis in rat liver.

Figure 4

Histological examination of the effect of specific RAGE-targeted siRNA on rat hepatic fibrosis based on H&E and Masson staining. (A and B) NC; (C and D) FM; (E and F) LT; (G and H) MT; (I and J) HT; (K and L) NS. (A, C, E, G, I and K) H&E staining (magnification, ×40); (B, D, F, H, J and L) Masson staining (magnification, ×100). RAGE, receptor for advanced glycation end products; NC, normal control; FM, fibrosis model; LT, low-dose therapeutic; MT, medium-dose therapeutic; HT, high-dose therapeutic; NS, non-specific siRNA control; H&E, hematoxylin and eosin; siRNA, small interfering RNA.

Table I

Effects of specific RAGE-targeted siRNA on rat liver tissue inflammation and fibrosis.

Table I

Effects of specific RAGE-targeted siRNA on rat liver tissue inflammation and fibrosis.

GroupnInflammation gradeAverage rankFibrosis stageAverage rank


0IIIIIIIV0IIIIIIIV
NC6300002.50300002.00
FM60002428.00a0001526.75a
LT60231015.33a,b0132015.58a,b
MT60330012.75a,b0321012.17a,b
HT61320010.33a,b0420010.00a,b
NS60012325.83a0000628.00a

{ label (or @symbol) needed for fn[@id='tfn1-mmr-10-01-0306'] } The rank sum test of the grade of inflammation in six groups, χ2=24.915, P<0.01. The rank sum test of the fibrosis stage in six groups, χ2=27.580, P<0.01.

a P<0.01 vs. NC;

b P<0.01 vs. FM.

{ label (or @symbol) needed for fn[@id='tfn4-mmr-10-01-0306'] } RAGE, receptor for advanced glycation end products; NC, normal control; FM, fibrosis model; LT, low-dose therapeutic; MT, medium-dose therapeutic; HT, high-dose therapeutic; NS, non-specific siRNA control; siRNA, small interfering RNA.

Effect of RAGE suppression on the liver function of rats

The serum levels of ALT, AST, ALP and TBIL reflect liver function and hepatocyte injury in the liver. Compared with the therapeutic groups and the NC group, the levels of serum ALT, AST, ALP and TBIL in the FM group and the NS group were significantly higher (P<0.01; Table II). When compared with the FM group, following six weeks of RAGE suppression therapy, the serum levels of ALT in the LT, MT and HT groups were reduced by 65.04 (P<0.01), 72.42 (P<0.01) and 81.24% (P<0.01), respectively. AST was reduced by 55.22 (P<0.01), 63.60 (P<0.01) and 71.46% (P<0.01). ALP decreased by 39.79 (P<0.01), 52.07 (P<0.01) and 60.51% (P<0.01) and TBIL decreased by 39.61 (P<0.01), 60.39 (P<0.01) and 74.12% (P<0.01), respectively. These results demonstrated that the suppression of RAGE inhibits the increase in ALT, AST, ALP and TBIL. In addition, every therapeutic group also demonstrated statistically significant differences (P<0.01) in all four biochemical markers following 2, 4 or 6 weeks of injections, indicating that the effect of RAGE gene silencing therapy on serum ALT, AST, ALP and TBIL may depend on time to a certain degree.

Table II

Effect of specific RAGE-targeted siRNA on ALT, AST, ALP and TBIL levels in rats.

Table II

Effect of specific RAGE-targeted siRNA on ALT, AST, ALP and TBIL levels in rats.

TimeNCFMLTMTHTNS
ALT (U/l)Week 241.0±2.0308.8±17.1a146.5±9.8a,b121.2±8.4a,b92.0±7.2a,b305.0±13.1a
Week 441.0±3.6286.7±11.3a108.0±8.3a,b91.3±7.6a,b68.3±6.7a,b288.5±9.7a
Week 642.7±2.5270.8±13.2a94.7±9.5a,b74.7±6.7a,b50.8±5.5a,b279.3±8.5a
AST (U/l)Week 296.7±4.7396.2±10.2a197.2±6.8a,b181.3±8.8a,b176.0±6.1a,b405.3±9.4a
Week 493.0±5.6380.5±4.5a182.8±6.5a,b153.2±5.9a,b130.5±6.4a,b377.7±5.9a
Week 695.7±9.1366.2±9.0a164.0±9.4a,b133.3±6.6a,b104.5±6.7a,b371.2±7.6a
ALP (U/l)Week 288.0±4.6291.0±7.8a223.3±4.8a,b205.8±6.2a,b189.8±8.2a,b291.8±6.4a
Week 482.7±4.0278.3±9.1a186.2±4.7a,b149.5±5.2a,b134.3±5.9a,b283.5±4.9a
Week 686.7±4.2272.7±6.0a164.2±5.4a,b130.7±7.4a,b107.7±8.3a,b271.0±7.3a
TBIL (μmol/l)Week 24.1±0.229.9±0.8a19.2±0.6a,b16.8±0.7a,b13.2±0.7a,b29.5±0.6a
Week 44.2±0.127.8±0.7a16.8±0.6a,b12.8±0.6a,b8.6±0.6a,b27.9±0.8a
Week 64.1±0.225.5±0.9a15.4±0.8a,b10.1±0.7a,b6.6±0.9a,b24.3±0.6a

a P<0.01 vs. NC;

b P<0.01 vs. FM.

{ label (or @symbol) needed for fn[@id='tfn7-mmr-10-01-0306'] } RAGE, receptor for advanced glycation end products; NC, normal control; FM, fibrosis model; LT, low-dose therapeutic; MT, medium-dose therapeutic; HT, high-dose therapeutic; NS, non-specific siRNA control; ALT, alanine aminotransferase; AST, aspartate aminotransferase; ALP, alkaline phosphatase; TBIL, total bilirubin; siRNA, small interfering RNA.

RAGE-specific siRNA significantly reduces fibrosis-marker levels in rat serum

HA, LN and PCIII are the main components of ECM and their serum levels may indirectly reflect the progression of hepatic fibrogenesis. The levels of serum HA, LN and PCIII were significantly lower in the therapeutic groups and the NC group (P<0.01; Table III) than in the FM and NS groups. As compared with the FM group, following six weeks of RAGE-suppression therapy, the levels of HA in the LT, MT and HT groups were reduced by 26.30 (P<0.01), 38.71 (P<0.01) and 50.16% (P<0.01), respectively. LN was reduced by 9.34 (P<0.01), 16.91 (P<0.01) and 31.08% (P<0.01), and PCIII decreased by 26.62 (P<0.01), 41.20 (P<0.01) and 50.26% (P<0.01), respectively. These results demonstrated that the suppression of RAGE significantly decreased the levels of serum PCIII, HA and LN in rats.

Table III

Effect of RAGE-targeted siRNA on markers of fibrosis (HA, LN and PCIII) in rats.

Table III

Effect of RAGE-targeted siRNA on markers of fibrosis (HA, LN and PCIII) in rats.

TimeNCFMLTMTHTNS
HA (μg/l)Week 2111.3±6.1431.7±6.3a325.7±5.2a,b280.0±6.1a,b244.7±6.3a,b418.0±10.0a
Week 4115.3±4.2422.0±5.1a309.2±6.4a,b263.3±5.9a,b227.0±6.4a,b411.7±7.3a
Week 6115.0±5.3410.7±3.6a302.7±4.8a,b251.7±5.9a,b204.7±5.6a,b403.7±6.1a
LN (μg/l)Week 284.7±5.7231.0±6.7a216.7±6.2a,b206.5±4.1a,b194.5±6.2a,b230.5±8.4a
Week 483.7±4.2227.2±5.8a208.0±5.3a,b197.3±5.4a,b168.7±6.2a,b220.7±9.2a
Week 685.7±2.5221.7±6.0a201.0±4.2a,b184.2±4.9a,b152.8±5.1a,b218.3±5.7a
PCIII (μg/l)Week 2108.0±2.0366.0±7.4a310.5±5.4a,b275.0±6.3a,b239.2±4.4a,b374.7±5.3a
Week 4105.0±5.6356.5±7.9a279.5±7.3a,b232.5±6.7a,b195.0±5.9a,b366.0±4.2a
Week 6107.3±6.8351.2±4.2a257.7±7.4a,b206.5±6.5a,b174.7±6.1a,b360.8±4.7a

a P<0.01 vs. NC;

b P<0.01 vs. FM.

{ label (or @symbol) needed for fn[@id='tfn10-mmr-10-01-0306'] } RAGE, receptor for advanced glycation end products; NC, normal control; FM, fibrosis model; LT, low-dose therapeutic; MT, medium-dose therapeutic; HT, high-dose therapeutic; NS, non-specific siRNA control; HA, hyaluronic acid; LN, laminin; PCIII, procollagen type III; siRNA, small interfering RNA.

Effect of specific RAGE-targeting siRNA on RAGE expression in rat liver tissues

RAGE mRNA expression in rat liver tissues was evaluated using qPCR. The mRNA expression of RAGE was low in normal rat liver tissues and it increased significantly following six weeks of CCl4 injections (P<0.01; Fig. 5). Following RAGE gene-silencing therapy, the mRNA expression of RAGE in rats with hepatic fibrosis decreased. Following six weeks of therapy using a specific siRNA that targeted RAGE, the relative mRNA expression of RAGE in the LT, MT and HT groups decreased by 32.75 (P<0.01), 39.74 (P<0.01) and 51.53% (P<0.01), respectively, (Fig. 4) compared with the FM group. The mRNA expression of RAGE in the NS group was not significantly different from that in the FM group (P>0.05). These results demonstrated that RAGE gene silencing effectively inhibited the expression of RAGE in rat livers.

Figure 5

Relative mRNA expression of RAGE in rat liver tissues of the different groups. *P<0.01 vs. NC; #P<0.01 vs. FM. RAGE, receptor for advanced glycation end products; FM, fibrosis model; NC, normal control; FM, fibrosis model; LT, low-dose therapeutic; MT, medium-dose therapeutic; HT, high-dose therapeutic; NS, non-specific siRNA control.

Effect of the inhibition of RAGE, using specific siRNA, on the expression of NF-κB

The mRNA expression of NF-κB in rat liver tissues was evaluated using qPCR. NF-κB mRNA expression was low in normal rat liver tissues and CCl4 injections caused a marked increase in the mRNA expression of NF-κB (P<0.01; Fig. 6). NF-κB mRNA expression in rats with hepatic fibrosis decreased following RAGE gene-silencing therapy. Following six weeks of therapy using specific RAGE-targeted siRNA, the relative expression of NF-κB mRNA in the LT, MT and HT groups decreased by 20.81 (P<0.01), 34.39 (P<0.01) and 47.96% (P<0.01), respectively, (Fig. 5) compared with the FM group. No significant difference in NF-κB mRNA expression was identified between the FM and NS groups (P>0.05).

Figure 6

Relative mRNA expression of NF-κB in rat liver tissues of the different groups. *P<0.01 vs. NC; #P<0.01 vs. FM. FM, fibrosis model; NF-κB, nuclear factor-κB; NC, normal control; FM, fibrosis model; LT, low-dose therapeutic; MT, medium-dose therapeutic; HT, high-dose therapeutic; NS, non-specific siRNA control.

RAGE suppression-mediated inhibition of HSC activation

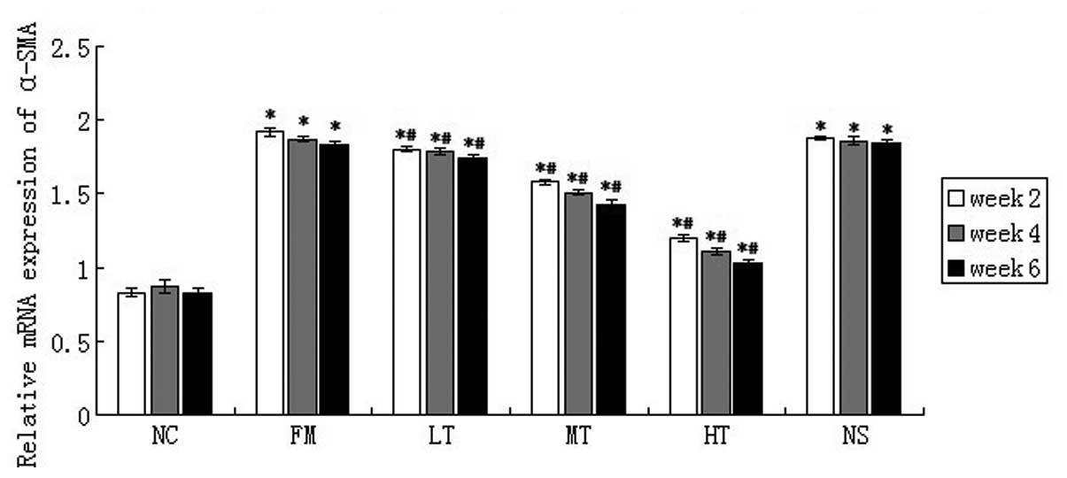
The expression of α-SMA is an important marker that may indicate the activation of HSCs. The mRNA expression of α-SMA in rat liver tissues was evaluated using qPCR. As compared with the NC group, CCl4 induced a strong upregulation of α-SMA mRNA, and RAGE-specific siRNA treatment significantly attenuated α-SMA mRNA expression. Following six weeks of RAGE gene-silencing therapy, when compared with the FM group, the relative expression of α-SMA mRNA in the LT, MT and HT group decreased by 4.92 (P<0.01), 21.86 (P<0.01) and 43.72% (P<0.01), respectively, and no significant difference in the mRNA expression of α-SMA was identified between the NS and FM groups (P>0.05; Fig. 7). These results suggested that RAGE suppression may inhibit HSC activation in vivo.

Figure 7

Relative mRNA expression of α-SMA in rat liver tissues of the different groups. *P<0.01 vs. NC; #P<0.01 vs. FM. FM, fibrosis model; α-SMA, α-smooth muscle actin; NC, normal control; FM, fibrosis model; LT, low-dose therapeutic; MT, medium-dose therapeutic; HT, high-dose therapeutic; NS, non-specific siRNA control.

Effect of the suppression of RAGE using specific siRNAs on the mRNA expression of collagen I

The mRNA expression of collagen I in rat liver tissues was evaluated using qPCR. Collagen I is another important marker that indicates the activation of HSCs. Compared with the NC group, CCl4 injection markedly upregulated collagen I mRNA expression. Following RAGE-specific siRNA treatment for six weeks, the expression of collagen I mRNA significantly decreased in the LT group (28.83%; P<0.01), the MT group (43.24%; P<0.01) and the HT group (51.35%; P<0.01; Fig. 8) as compared with the FM group. No significant difference in collagen I mRNA expression was observed between the NS and FM groups (P>0.05; Fig. 8). These results also demonstrated the possible effect of the inhibition of RAGE suppression on HSC activation in vivo.

Figure 8

Relative mRNA expression of collagen I in rat liver tissues of the different groups. *P<0.01 vs. NC; #P<0.01 vs. FM. FM, fibrosis model; NC, normal control; FM, fibrosis model; LT, low-dose therapeutic; MT, medium-dose therapeutic; HT, high-dose therapeutic; NS, non-specific siRNA control.

Inhibition of the protein expression of RAGE, NF-κB, α-SMA and collagen I by RAGE gene silencing

Following six weeks of RAGE gene-silencing therapy, rat livers were collected and the protein expression of RAGE, NF-κB, α-SMA and collagen I was evaluated using western blot analysis. The protein expression of these four markers demonstrated a similar trend to that of their respective mRNA expression profiles. The protein expression of RAGE, NF-κB, α-SMA and collagen I was significantly higher in the fibrosis model and was attenuated by RAGE gene-silencing therapy (P<0.01; Fig. 9). These results indicated that these four molecules may be used as biomarkers of RAGE gene-silencing therapy, which attenuates rat hepatic fibrosis.

Figure 9

Effect of specific RAGE-targeted siRNA on the expression of 42-kD RAGE, 42-kD α-SMA, 50-kD NF-κB and 120-kD collagen I in rats. (A) Protein expression of 42-kD RAGE, 42-kD α-SMA, 50-kD NF-κB and 120-kD collagen I were determined using western blot analysis. (B) Amount of RAGE, α-SMA, NF-κB and collagen I was expressed relative to β-actin protein and was determined using densitometric scanning. The changes were expressed as the percentage of NC. *P<0.01 vs. NC; #P<0.01 vs. FM. RAGE, receptor for advanced glycation end products; α-SMA, α-smooth muscle actin; NF-κB, nuclear factor-κB; siRNA, small interfering RNA; NC, normal control; FM, fibrosis model; LT, low-dose therapeutic; MT, medium-dose therapeutic; HT, high-dose therapeutic; NS, non-specific siRNA control.

Discussion

The present study reported, for the first time, to the best of our knowledge, the mechanisms of therapeutic effects of specific RAGE-targeting siRNA on CCl4-induced hepatic fibrosis in rats. The RAGE-ligand axis has been demonstrated to be important in fibrogenesis and a previous study by our group demonstrated that RAGE gene silencing effectively prevented liver fibrosis in a rat model (15). However, the effect of siRNA targeted to RAGE on established hepatic fibrosis was yet to be elucidated.

In the present study, SD rats were used to generate a model of CCl4-induced hepatic fibrosis. Following six weeks of CCl4 injections, the liver-function biomarkers (ALT, AST, ALP and TBIL), the grade of hepatitis and the stage of hepatic fibrosis were much higher in the rats in the FM group than in those in the NC group, and the majority of rats in the FM group had ascites. These results indicated that the rat hepatic fibrosis model was established following six weeks of intraperitoneal injections with CCl4. Following interference with the RAGE-specific siRNAs, the rats in the therapeutic groups demonstrated improved liver functions compared with those in the FM and NS groups (P<0.01; Table II), and the hepatitis grade and the hepatic fibrosis stage were also lower. These data revealed the therapeutic effect of specific RAGE-targeted siRNA on CCl4-induced hepatic fibrosis in rats. These data demonstrated that RAGE mRNA and protein expression levels were low in the NC group and were increased in the FM group; however, following therapy with specific RAGE-targeted siRNA at varying doses, RAGE expression decreased to differing degrees (P<0.01; Figs. 5 and 9). These data, together with the progression of hepatic fibrosis observed in the FM group, indicated that RAGE was involved in the development of hepatic fibrosis. Furthermore, based on the expression of NF-κB observed during hepatic fibrogenesis and its repression following therapy, RAGE may promote hepatic fibrosis via the NF-κB pathway. In the present study, the NF-κB mRNA and protein levels were significantly higher in the FM group than in the NC or NS groups. In addition, NF-κB expression in the therapeutic groups was reduced compared with the FM and NS groups (Figs. 6 and 9) in parallel with RAGE expression. These data indicate that NF-κB expression was inhibited by RAGE gene silencing. NF-κB comprises a family of transcription factors that includes RelA (p65), NF-κB1 (p50 and p105), NF-κB2 (p52 and p100), c-Rel and RelB. These factors are key regulators of genes involved in inflammation, immunity, wound healing and acute-phase responses, proliferation and apoptosis (19,20). NF-κB is retained in an inactive form in the cytoplasm via its association with one of the IκB inhibitory proteins, including IκB-α (21). Following cellular stimulation, IκB-α is phosphorylated and undergoes proteolysis in the proteasome complex, which enables NF-κB to translocate into the nucleus where it regulates the expression of >200 genes that affect cell growth, survival and inflammation (22,23). The binding of RAGE ligands to RAGE results in the generation of intracellular oxygen free radicals (24,25). With persistent ligand binding, the elevated cellular oxidative stress finally leads to the activation of the redox-sensitive transcription factor NF-κB and subsequent NF-κB-dependent gene expression (11,14,24,25). Since the RAGE promoter is itself controlled by NF-κB (26), the sustained activation of NF-κB results in the upregulation of RAGE, which then further ensures maintenance and amplification of the signal, thereby enabling perpetual activation of NF-κB.

In addition, there is a growing body of evidence demonstrating that NF-κB may be important in HSC activation. The expression of α-SMA and collagen I, which reflect HSC activation, was also lower in the therapeutic groups when compared with the FM and NS groups (Figs. 7–9). These data demonstrated that following RAGE gene-silencing-mediated reduction in the expression of NF-κB and its regulated cytokines, HSC activation may decrease. Quiescent HSCs demonstrate minimal levels of NF-κB and contrast to activated HSCs that exhibit nuclear NF-κB associated with constitutive expression of NF-κB-regulated genes, including intercellular adhesion molecule-1, monocyte chemoattractant protein-1, TNF-α and IL-6 (27,28).

Furthermore, NF-κB is a cardinal regulator of the inflammatory response by controlling the expression of genes encoding cytokines. The accumulation of pro-inflammatory cytokines provokes quiescent HSCs to undergo significant morphological and functional changes, together termed ‘activation’, and they transdifferentiate into proliferative, fibrogenic and contractile myofibroblast-like cells, which are considered to be the primary ECM-producing cells during pathogenic fibrosis (29–31). In the present study, the serum levels of TNF-α and IL-6 demonstrated similar trends to NF-κB as they are regulated by NF-κB. Consequently, ECM synthesis also decreased and the degradation of ECM increased, resulting in reduced ECM deposition, which was evidenced by the reduced levels of HA, LN and PCIII (Table III). The inhibition of HSC activation and degradation of ECM may attenuate and even reverse the progression of hepatic fibrosis.

In conclusion, the present study demonstrated that specific RAGE-targeted siRNA inhibited RAGE gene expression effectively in a CCl4-induced rat model of hepatic fibrosis and attenuated the progression of established hepatic fibrosis. Furthermore, the antifibrotic effect of RAGE gene silencing may be mediated by the inhibition of NF-κB expression, which mediates the inflammatory response and the activation of HSCs. These findings, together with a previous study by our group (15), suggested that RAGE may be a new target for combating liver fibrosis and that RAGE-specific siRNA may be an effective candidate for preventing liver fibrogenesis.

Acknowledgements

This study was funded by the Natural Science Foundation of Jiangsu Province, China (no. BK2009284).

References

1 

Anthony PP, Ishak KG, Nayak NC, Poulsen HE, Scheuer PJ and Sobin LH: The morphology of cirrhosis. Recommendations on definition, nomenclature, and classification by a working group sponsored by the World Health Organization. J Clin Pathol. 31:395–414. 1978. View Article : Google Scholar : PubMed/NCBI

2 

Friedman SL, Roll FJ, Boyles J and Bissell DM: Hepatic lipocytes: the principal collagen-producing cells of normal rat liver. Proc Natl Acad Sci USA. 82:8681–8685. 1985. View Article : Google Scholar : PubMed/NCBI

3 

Rippe RA: Life or death: the fate of the hepatic stellate cell following hepatic injury. Hepatology. 27:1447–1448. 1998. View Article : Google Scholar : PubMed/NCBI

4 

Brandão DF, Ramalho LN, Ramalho FS, Zucoloto S, de Martinelli AL and de Silva OC: Liver cirrhosis and hepatic stellate cells. Acta Cir Bras. 21(Suppl 1): 54–57. 2006.

5 

Lee UE and Friedman SL: Mechanisms of hepatic fibrogenesis. Best Pract Res Clin Gastroenterol. 25:195–206. 2011. View Article : Google Scholar

6 

Neeper M, Schmidt AM, Brett J, et al: Cloning and expression of a cell surface receptor for advanced glycosylation end products of proteins. J Biol Chem. 267:14998–15004. 1992.PubMed/NCBI

7 

Sparvero LJ, Asafu-Adjei D, Kang R, et al: RAGE (Receptor for Advanced Glycation Endproducts), RAGE ligands, and their role in cancer and inflammation. J Transl Med. 7:172009. View Article : Google Scholar : PubMed/NCBI

8 

Schmidt AM, Yan SD, Yan SF and Stern DM: The biology of the receptor for advanced glycation end products and its ligands. Biochim Biophys Acta. 1498:99–111. 2000. View Article : Google Scholar : PubMed/NCBI

9 

Wautier MP, Chappey O, Corda S, Stern DM, Schmidt AM and Wautier JL: Activation of NADPH oxidase by AGE links oxidant stress to altered gene expression via RAGE. Am J Physiol Endocrinol Metab. 280:E685–E694. 2001.PubMed/NCBI

10 

Mohamed AK, Bierhaus A, Schiekofer S, Tritschler H, Ziegler R and Nawroth PP: The role of oxidative stress and NF-kappaB activation in late diabetic complications. Biofactors. 10:157–167. 1999. View Article : Google Scholar : PubMed/NCBI

11 

Fehrenbach H, Weiskirchen R, Kasper M and Gressner AM: Up-regulated expression of the receptor for advanced glycation end products in cultured rat hepatic stellate cells during transdifferentiation to myofibroblasts. Hepatology. 34:943–952. 2001. View Article : Google Scholar : PubMed/NCBI

12 

Brett J, Schmidt AM, Yan SD, et al: Survey of the distribution of a newly characterized receptor for advanced glycation end products in tissues. Am J Pathol. 143:1699–1712. 1993.PubMed/NCBI

13 

Lohwasser C, Neureiter D, Popov Y, Bauer M and Schuppan D: Role of the receptor for advanced glycation end products in hepatic fibrosis. World J Gastroenterol. 15:5789–5798. 2009. View Article : Google Scholar : PubMed/NCBI

14 

Guimarães EL, Empsen C, Geerts A and van Grunsven LA: Advanced glycation end products induce production of reactive oxygen species via the activation of NADPH oxidase in murine hepatic stellate cells. J Hepatol. 52:389–397. 2010.PubMed/NCBI

15 

Xia JR, Liu NF and Zhu NX: Specific siRNA targeting the receptor for advanced glycation end products inhibits experimental hepatic fibrosis in rats. Int J Mol Sci. 9:638–661. 2008. View Article : Google Scholar

16 

Barouch DH, Liu J, Li H, et al: Vaccine protection against acquisition of neutralization-resistant SIV challenges in rhesus monkeys. Nature. 482:89–93. 2012. View Article : Google Scholar : PubMed/NCBI

17 

Desmet VJ, Knodell RG, Ishak KG, Black WC, Chen TS, Craig R, Kaplowitz N, Kiernan TW and Wollman J: Formulation and application of a numerical scoring system for assessing histological activity in asymptomatic chronic active hepatitis. [Hepatology 1981;1:431–435]. J Hepatol. 38:382–386. 2003.PubMed/NCBI

18 

Ishak K, Baptista A, Bianchi L, et al: Histological grading and staging of chronic hepatitis. J Hepatol. 22:696–699. 1995. View Article : Google Scholar : PubMed/NCBI

19 

Karin M and Lin A: NF-kappaB at the crossroads of life and death. Nat Immunol. 3:221–227. 2002. View Article : Google Scholar : PubMed/NCBI

20 

Luo JL, Kamata H and Karin M: The anti-death machinery in IKK/NF-kappaB signaling. J Clin Immunol. 25:541–550. 2005. View Article : Google Scholar : PubMed/NCBI

21 

Haskill S, Beg AA, Tompkins SM, et al: Characterization of an immediate-early gene induced in adherent monocytes that encodes I kappa B-like activity. Cell. 65:1281–1289. 1991. View Article : Google Scholar : PubMed/NCBI

22 

Beg AA, Finco TS, Nantermet PV and Baldwin AS Jr: Tumor necrosis factor and interleukin-1 lead to phosphorylation and loss of I kappa B alpha: a mechanism for NF-kappa B activation. Mol Cell Biol. 13:3301–3310. 1993.PubMed/NCBI

23 

Aggarwal BB: Nuclear factor-kappaB: the enemy within. Cancer Cell. 6:203–208. 2004.PubMed/NCBI

24 

Yan SD, Schmidt AM, Anderson GM, et al: Enhanced cellular oxidant stress by the interaction of advanced glycation end products with their receptors/binding proteins. J Biol Chem. 269:9889–9897. 1994.PubMed/NCBI

25 

Yan SD, Stern D and Schmidt AM: What’s the RAGE? The receptor for advanced glycation end products (RAGE) and the dark side of glucose. Eur J Clin Invest. 27:179–181. 1997.

26 

Li J and Schmidt AM: Characterization and functional analysis of the promoter of RAGE, the receptor for advanced glycation end products. J Biol Chem. 272:16498–16506. 1997. View Article : Google Scholar : PubMed/NCBI

27 

Hellerbrand C, Jobin C, Licato LL, Sartor RB and Brenner DA: Cytokines induce NF-kappaB in activated but not in quiescent rat hepatic stellate cells. Am J Physiol. 275:G269–G278. 1998.PubMed/NCBI

28 

Hellerbrand, Wang SC, Tsukamoto H, Brenner DA and Rippe RA: Expression of intracellular adhesion molecule 1 by activated hepatic stellate cells. Hepatology. 24:670–676. 1996. View Article : Google Scholar : PubMed/NCBI

29 

Liu C, Tao Q, Sun M, et al: Kupffer cells are associated with apoptosis, inflammation and fibrotic effects in hepatic fibrosis in rats. Lab Invest. 90:1805–1816. 2010. View Article : Google Scholar : PubMed/NCBI

30 

Senoo H, Yoshikawa K, Morii M, Miura M, Imai K and Mezaki Y: Hepatic stellate cell (vitamin A-storing cell) and its relative - past, present and future. Cell Biol Int. 34:1247–1272. 2010. View Article : Google Scholar : PubMed/NCBI

31 

Otogawa K, Ogawa T, Shiga R, Ikeda K and Kawada N: Induction of tropomyosin during hepatic stellate cell activation and the progression of liver fibrosis. Hepatol Int. 3:378–383. 2009. View Article : Google Scholar : PubMed/NCBI

Related Articles

  • Abstract
  • View
  • Download
  • Twitter
Copy and paste a formatted citation
Spandidos Publications style
Cai X, Xia J, Li W, Lu F, Liu J, Lu Q and Zhi H: Anti-fibrotic effects of specific-siRNA targeting of the receptor for advanced glycation end products in a rat model of experimental hepatic fibrosis. Mol Med Rep 10: 306-314, 2014.
APA
Cai, X., Xia, J., Li, W., Lu, F., Liu, J., Lu, Q., & Zhi, H. (2014). Anti-fibrotic effects of specific-siRNA targeting of the receptor for advanced glycation end products in a rat model of experimental hepatic fibrosis. Molecular Medicine Reports, 10, 306-314. https://doi.org/10.3892/mmr.2014.2207
MLA
Cai, X., Xia, J., Li, W., Lu, F., Liu, J., Lu, Q., Zhi, H."Anti-fibrotic effects of specific-siRNA targeting of the receptor for advanced glycation end products in a rat model of experimental hepatic fibrosis". Molecular Medicine Reports 10.1 (2014): 306-314.
Chicago
Cai, X., Xia, J., Li, W., Lu, F., Liu, J., Lu, Q., Zhi, H."Anti-fibrotic effects of specific-siRNA targeting of the receptor for advanced glycation end products in a rat model of experimental hepatic fibrosis". Molecular Medicine Reports 10, no. 1 (2014): 306-314. https://doi.org/10.3892/mmr.2014.2207
Copy and paste a formatted citation
x
Spandidos Publications style
Cai X, Xia J, Li W, Lu F, Liu J, Lu Q and Zhi H: Anti-fibrotic effects of specific-siRNA targeting of the receptor for advanced glycation end products in a rat model of experimental hepatic fibrosis. Mol Med Rep 10: 306-314, 2014.
APA
Cai, X., Xia, J., Li, W., Lu, F., Liu, J., Lu, Q., & Zhi, H. (2014). Anti-fibrotic effects of specific-siRNA targeting of the receptor for advanced glycation end products in a rat model of experimental hepatic fibrosis. Molecular Medicine Reports, 10, 306-314. https://doi.org/10.3892/mmr.2014.2207
MLA
Cai, X., Xia, J., Li, W., Lu, F., Liu, J., Lu, Q., Zhi, H."Anti-fibrotic effects of specific-siRNA targeting of the receptor for advanced glycation end products in a rat model of experimental hepatic fibrosis". Molecular Medicine Reports 10.1 (2014): 306-314.
Chicago
Cai, X., Xia, J., Li, W., Lu, F., Liu, J., Lu, Q., Zhi, H."Anti-fibrotic effects of specific-siRNA targeting of the receptor for advanced glycation end products in a rat model of experimental hepatic fibrosis". Molecular Medicine Reports 10, no. 1 (2014): 306-314. https://doi.org/10.3892/mmr.2014.2207
Follow us
  • Twitter
  • LinkedIn
  • Facebook
About
  • Spandidos Publications
  • Careers
  • Cookie Policy
  • Privacy Policy
How can we help?
  • Help
  • Live Chat
  • Contact
  • Email to our Support Team