Spandidos Publications Logo
  • About
    • About Spandidos
    • Aims and Scopes
    • Abstracting and Indexing
    • Editorial Policies
    • Reprints and Permissions
    • Job Opportunities
    • Terms and Conditions
    • Contact
  • Journals
    • All Journals
    • Oncology Letters
      • Oncology Letters
      • Information for Authors
      • Editorial Policies
      • Editorial Board
      • Aims and Scope
      • Abstracting and Indexing
      • Bibliographic Information
      • Archive
    • International Journal of Oncology
      • International Journal of Oncology
      • Information for Authors
      • Editorial Policies
      • Editorial Board
      • Aims and Scope
      • Abstracting and Indexing
      • Bibliographic Information
      • Archive
    • Molecular and Clinical Oncology
      • Molecular and Clinical Oncology
      • Information for Authors
      • Editorial Policies
      • Editorial Board
      • Aims and Scope
      • Abstracting and Indexing
      • Bibliographic Information
      • Archive
    • Experimental and Therapeutic Medicine
      • Experimental and Therapeutic Medicine
      • Information for Authors
      • Editorial Policies
      • Editorial Board
      • Aims and Scope
      • Abstracting and Indexing
      • Bibliographic Information
      • Archive
    • International Journal of Molecular Medicine
      • International Journal of Molecular Medicine
      • Information for Authors
      • Editorial Policies
      • Editorial Board
      • Aims and Scope
      • Abstracting and Indexing
      • Bibliographic Information
      • Archive
    • Biomedical Reports
      • Biomedical Reports
      • Information for Authors
      • Editorial Policies
      • Editorial Board
      • Aims and Scope
      • Abstracting and Indexing
      • Bibliographic Information
      • Archive
    • Oncology Reports
      • Oncology Reports
      • Information for Authors
      • Editorial Policies
      • Editorial Board
      • Aims and Scope
      • Abstracting and Indexing
      • Bibliographic Information
      • Archive
    • Molecular Medicine Reports
      • Molecular Medicine Reports
      • Information for Authors
      • Editorial Policies
      • Editorial Board
      • Aims and Scope
      • Abstracting and Indexing
      • Bibliographic Information
      • Archive
    • World Academy of Sciences Journal
      • World Academy of Sciences Journal
      • Information for Authors
      • Editorial Policies
      • Editorial Board
      • Aims and Scope
      • Abstracting and Indexing
      • Bibliographic Information
      • Archive
    • International Journal of Functional Nutrition
      • International Journal of Functional Nutrition
      • Information for Authors
      • Editorial Policies
      • Editorial Board
      • Aims and Scope
      • Abstracting and Indexing
      • Bibliographic Information
      • Archive
    • International Journal of Epigenetics
      • International Journal of Epigenetics
      • Information for Authors
      • Editorial Policies
      • Editorial Board
      • Aims and Scope
      • Abstracting and Indexing
      • Bibliographic Information
      • Archive
    • Medicine International
      • Medicine International
      • Information for Authors
      • Editorial Policies
      • Editorial Board
      • Aims and Scope
      • Abstracting and Indexing
      • Bibliographic Information
      • Archive
  • Articles
  • Information
    • Information for Authors
    • Information for Reviewers
    • Information for Librarians
    • Information for Advertisers
    • Conferences
  • Language Editing
Spandidos Publications Logo
  • About
    • About Spandidos
    • Aims and Scopes
    • Abstracting and Indexing
    • Editorial Policies
    • Reprints and Permissions
    • Job Opportunities
    • Terms and Conditions
    • Contact
  • Journals
    • All Journals
    • Biomedical Reports
      • Information for Authors
      • Editorial Policies
      • Editorial Board
      • Aims and Scope
      • Abstracting and Indexing
      • Bibliographic Information
      • Archive
    • Experimental and Therapeutic Medicine
      • Information for Authors
      • Editorial Policies
      • Editorial Board
      • Aims and Scope
      • Abstracting and Indexing
      • Bibliographic Information
      • Archive
    • International Journal of Epigenetics
      • Information for Authors
      • Editorial Policies
      • Editorial Board
      • Aims and Scope
      • Abstracting and Indexing
      • Bibliographic Information
      • Archive
    • International Journal of Functional Nutrition
      • Information for Authors
      • Editorial Policies
      • Editorial Board
      • Aims and Scope
      • Abstracting and Indexing
      • Bibliographic Information
      • Archive
    • International Journal of Molecular Medicine
      • Information for Authors
      • Editorial Policies
      • Editorial Board
      • Aims and Scope
      • Abstracting and Indexing
      • Bibliographic Information
      • Archive
    • International Journal of Oncology
      • Information for Authors
      • Editorial Policies
      • Editorial Board
      • Aims and Scope
      • Abstracting and Indexing
      • Bibliographic Information
      • Archive
    • Medicine International
      • Information for Authors
      • Editorial Policies
      • Editorial Board
      • Aims and Scope
      • Abstracting and Indexing
      • Bibliographic Information
      • Archive
    • Molecular and Clinical Oncology
      • Information for Authors
      • Editorial Policies
      • Editorial Board
      • Aims and Scope
      • Abstracting and Indexing
      • Bibliographic Information
      • Archive
    • Molecular Medicine Reports
      • Information for Authors
      • Editorial Policies
      • Editorial Board
      • Aims and Scope
      • Abstracting and Indexing
      • Bibliographic Information
      • Archive
    • Oncology Letters
      • Information for Authors
      • Editorial Policies
      • Editorial Board
      • Aims and Scope
      • Abstracting and Indexing
      • Bibliographic Information
      • Archive
    • Oncology Reports
      • Information for Authors
      • Editorial Policies
      • Editorial Board
      • Aims and Scope
      • Abstracting and Indexing
      • Bibliographic Information
      • Archive
    • World Academy of Sciences Journal
      • Information for Authors
      • Editorial Policies
      • Editorial Board
      • Aims and Scope
      • Abstracting and Indexing
      • Bibliographic Information
      • Archive
  • Articles
  • Information
    • For Authors
    • For Reviewers
    • For Librarians
    • For Advertisers
    • Conferences
  • Language Editing
Login Register Submit
  • This site uses cookies
  • You can change your cookie settings at any time by following the instructions in our Cookie Policy. To find out more, you may read our Privacy Policy.

    I agree
Search articles by DOI, keyword, author or affiliation
Search
Advanced Search
presentation
Molecular Medicine Reports
Join Editorial Board Propose a Special Issue
Print ISSN: 1791-2997 Online ISSN: 1791-3004
Journal Cover
March-2015 Volume 11 Issue 3

Full Size Image

Sign up for eToc alerts
Recommend to Library

Journals

International Journal of Molecular Medicine

International Journal of Molecular Medicine

International Journal of Molecular Medicine is an international journal devoted to molecular mechanisms of human disease.

International Journal of Oncology

International Journal of Oncology

International Journal of Oncology is an international journal devoted to oncology research and cancer treatment.

Molecular Medicine Reports

Molecular Medicine Reports

Covers molecular medicine topics such as pharmacology, pathology, genetics, neuroscience, infectious diseases, molecular cardiology, and molecular surgery.

Oncology Reports

Oncology Reports

Oncology Reports is an international journal devoted to fundamental and applied research in Oncology.

Experimental and Therapeutic Medicine

Experimental and Therapeutic Medicine

Experimental and Therapeutic Medicine is an international journal devoted to laboratory and clinical medicine.

Oncology Letters

Oncology Letters

Oncology Letters is an international journal devoted to Experimental and Clinical Oncology.

Biomedical Reports

Biomedical Reports

Explores a wide range of biological and medical fields, including pharmacology, genetics, microbiology, neuroscience, and molecular cardiology.

Molecular and Clinical Oncology

Molecular and Clinical Oncology

International journal addressing all aspects of oncology research, from tumorigenesis and oncogenes to chemotherapy and metastasis.

World Academy of Sciences Journal

World Academy of Sciences Journal

Multidisciplinary open-access journal spanning biochemistry, genetics, neuroscience, environmental health, and synthetic biology.

International Journal of Functional Nutrition

International Journal of Functional Nutrition

Open-access journal combining biochemistry, pharmacology, immunology, and genetics to advance health through functional nutrition.

International Journal of Epigenetics

International Journal of Epigenetics

Publishes open-access research on using epigenetics to advance understanding and treatment of human disease.

Medicine International

Medicine International

An International Open Access Journal Devoted to General Medicine.

Journal Cover
March-2015 Volume 11 Issue 3

Full Size Image

Sign up for eToc alerts
Recommend to Library

  • Article
  • Citations
    • Cite This Article
    • Download Citation
    • Create Citation Alert
    • Remove Citation Alert
    • Cited By
  • Similar Articles
    • Related Articles (in Spandidos Publications)
    • Similar Articles (Google Scholar)
    • Similar Articles (PubMed)
  • Download PDF
  • Download XML
  • View XML
Article

Effects of mild induced hypothermia on hippocampal connexin 43 and glutamate transporter 1 expression following traumatic brain injury in rats

  • Authors:
    • Yue‑Hong Li
    • Chun‑Lai Zhang
    • Xiao‑Yan Zhang
    • Hong‑Xia Zhou
    • Ling‑Li Meng
  • View Affiliations / Copyright

    Affiliations: Department of Obstetrics and Gynecology, Tangshan Gongren Hospital, Tangshan, Hebei 063000, P.R. China, Department of Cardiology, Tangshan Gongren Hospital, Tangshan, Hebei 063000, P.R. China, School of Basic Medical Sciences, Hebei United University, Tangshan, Hebei 063000, P.R. China
  • Pages: 1991-1996
    |
    Published online on: November 12, 2014
       https://doi.org/10.3892/mmr.2014.2928
  • Expand metrics +
Metrics: Total Views: 0 (Spandidos Publications: | PMC Statistics: )
Metrics: Total PDF Downloads: 0 (Spandidos Publications: | PMC Statistics: )
Cited By (CrossRef): 0 citations Loading Articles...

This article is mentioned in:



Abstract

Traumatic brain injury (TBI) is a common cause of worldwide disability and mortality. Currently, the incidence and prevalence of TBI is markedly increasing and an effective therapy is lacking. Therapeutic hypothermia (32‑35˚C) has been reported to reduce intracranial pressure and induce putative neuroprotective effects. However, the underlying molecular mechanisms remain to be elucidated. The aim of the present study was to investigate the effects of mild induced hypothermia (MIH) on the expression of connexin 43 (Cx43) and glutamate transporter 1 (GLT‑1) in the hippocampus following TBI in rats. A rat model of TBI was created using a modified weight‑drop device, followed by 4 h of hypothermia (33˚C) or normothermia (37˚C). A wet‑dry weight method was used to assess brain edema and spatial learning ability was evaluated using a Morris water maze. The levels of Cx43 and GLT‑1 were detected by immunohistochemical and western blot analysis, respectively. The results demonstrated that MIH treatment improved TBI‑induced brain edema and neurological function deficits. In addition, therapeutic MIH significantly downregulated Cx43 expression and upregulated the levels of GLT‑1 in the hippocampus post‑TBI. These findings suggested that treatment with MIH may provide a novel neuroprotective therapeutic strategy for TBI through reversing the increase in Cx43 protein and the decrease in GLT‑1.

Introduction

Mild induced hypothermia (MIH) is considered to improve survival rate and provide a potential neuroprotective effect in acute neurological injury, with favorable neurological outcomes. Several studies have identified MIH as a potential therapeutic strategy for the treatment of traumatic brain injury (TBI) (1,2). The first study of MIH as a treatment option for patients with TBI was reported in 1945 (3). MIH, as a non-pharmacological measure, exerts a complex range of effects in the pathophysiological process of TBI. More specifically, MIH treatment may not only improve histopathological and behavioral outcomes, but also has the ability to reduce intracranial pressure in animal models and clinical trials of TBI (4,5). However, the molecular and cellular mechanisms underlying hypothermic protection remain to be elucidated. The neuroprotective mechanism of MIH is initially attributed to a reduction in the cerebral metabolic rate of oxygen (6). Several studies over the last decade have demonstrated that MIH was able to significantly enhance glucose utilization, inhibit free radical production and suppress inflammatory responses and apoptotic pathways. Additionally, previous studies have indicated that therapeutic MIH may improve traumatic outcomes, including the modulation of temperature-sensitive microRNA expression and suggested that MIH has a beneficial effect on the gene expression profile of the hippocampus following TBI in rats (7). On the basis of these findings, the present study assessed the hypothesis that MIH treatment has the ability to regulate the expression of connexin 43 (Cx43) and glutamate transporter 1 (GLT-1) in the hippocampus following TBI in rats.

Gap junctions, composed of proteins from the connexin family, enable intercellular communication between cells. It has been reported that gap junctions have important regulatory effects in essential cellular processes, including electrical coupling, metabolic transport, proliferation, differentiation and apoptosis (8). Cx43 is the most widely and highly expressed gap junction protein in several different tissues (9). In the central nervous system, Cx43 is mainly expressed in astrocytes and forms the major component protein in astrocytic gap junctions. In addition, astrocytes establish a glial network and communicate through gap junctions in the brain, indicating a potential neuroprotective role of astrocytic gap junctions. Mroue et al found that alterations in the expression of Cx43 could affect cellular fate (10) and several studies have demonstrated that Cx43 had a physiological and pathophysiological impact on a variety of systems (11,12). In addition, results from our previous study demonstrated that TBI stimulated the increased expression of Cx43 on the surface of astrocytes in rats (13). Ohsumi et al also investigated the expression and distribution of astrocytic Cx43 gap junctions in the hippocampus and the cortex following TBI, suggesting that Cx43 participates in the pathophysiological processes of brain damage (14). Notably, other studies have revealed that Cx43 is significantly enhanced in the selectively vulnerable CA1-CA2 region of the hippocampus following brain injury (15).

In addition to being gap-junctional proteins, connexins may exist in the form of unopposed halves of gap junction channels, termed hemichannels (16). Cx43-hemichannels in astrocytic gap junctions remain closed under normal physiological conditions but they may open following brain injury. Astrocytes have been demonstrated to release relatively large molecules, including adenosine triphosphate and glutamate, by the opening of Cx43-hemichannels, which was involved in the propagation of injury in the brain (17). Glutamate, a major excitatory neurotransmitter, causes excitotoxicity and neuronal cell death at high concentrations. Glutamate transport is the only mechanism involved in extracellular glutamate clearance (18). GLT-1, as the major glutamate transporter, is predominantly expressed in astrocytes. GLT-1 provides the majority of glutamate clearance capacity by transporting it into the intracellular space (19). Previous studies have demonstrated that the mRNA and protein levels of GLT-1 are depressed in the cortex following TBI, which contributes to an increase in extracellular glutamate concentration following TBI (20). Therefore, stimulating an increase in GLT-1 expression following brain injury may improve neuronal damage and functional deficit.

These findings suggest that Cx43 and GLT-1 may be potential targets for the treatment of TBI. In the present study, the potential therapeutic effect of MIH was investigated in a rat model of TBI and the possibility that treatment with MIH may reduce the increase in Cx43 expression and reverse post-traumatic GLT-1 suppression in the hippocampus following TBI was assessed.

Materials and methods

Animals and TBI model

All procedures were performed in accordance with the guidelines of the Chinese Council on Animal Protection and were approved by Hebei United University Committee for the use of animals in research (Tangshan, China). A total of 90 male Sprague-Dawley (SD) rats (aged 12–16 weeks and weighing 350–375 g) were purchased from Vital River Laboratory Animal Technology Co., Ltd. (Bejing, China). The rat model of TBI was induced by using a modified weight-drop device, as described previously by Marmarou et al (21). All animals were anesthetized with pentobarbital sodium (Nembutal; 60 mg/kg). A midline incision was made to expose the skull between the bregma and lambda suture lines and a steel disc (diameter, 10 mm; thickness, 3 mm) was adhered to the exposed skull using dental acrylic. Animals were moved onto a foam mattress underneath a weight-drop device, in which a 450 g weight falls freely through a vertical tube from a height of 1.5 m onto the steel disc. Animals in the sham group underwent the same surgical procedure without weight-drop impact. Following treatment, the rats were individually housed in separate cages. The rats were placed on warming pads for 24 h post-surgery, to aid them in maintaining a regular body temperature.

Sham, TBI normothermia and MIH treatment groups

The 90 male SD rats were randomly divided into three groups (n=30): Sham group, TBI normothermia group (37°C) and MIH-treated group (33°C). Mild hypothermia was induced, as described previously (22). The control of the temperature was initiated 30 min post-TBI. Temperature probes were used to measure temporalis muscle and rectal (core) temperature. Selective brain hypothermia was induced 30 min after injury, with a target hypothermic temperature achieved 40 min after TBI and maintained using cooled air and heating lamps for 4 h. Animals were then rewarmed slowly over a 1.5 h period. Rats were anesthetized and sacrificed at 6, 12, 24, 48 and 72 h following TBI.

Evaluation of brain edema

Brain edema was evaluated by analysis of brain water content, as described previously (23). Rat brains were separated and weighed immediately with a chemical balance to obtain a wet weight (WW). Following drying in a desiccating oven for 24 h at 100°C, dry tissues were weighed again to obtain a constant dry weight (DW). The percentage of water in the tissues was calculated according to the following formula: % brain water = (WW − DW)/WW) × 100.

Morris water maze test

Spatial learning ability was assessed using a Morris water maze, as described previously (24). The Morris water maze consists of a black circular pool (diameter, 180 cm; depth, 45 cm) filled with water to a depth of 30 cm (temperature, 26°C). The maze is divided into four equivalent quadrants: north (N), west (W), south (S) and east (E). A 2 cm submerged escape platform (12 cm diameter, 28 cm height, made opaque with paint) was placed in the middle of one of the quadrants, equidistant from the sidewall and the center of the pool. Rats were trained to find the platform prior to TBI or sham surgery. For each trial, the rat was randomly placed at a quadrant start point (N, S, E or W) facing the wall of the pool. The rats were permitted a maximum of 60 sec to escape to a platform, rats which failed to escape within 90 sec were placed on the platform for a maximum of 20 sec and returned to the cage for a new trial (intertrial interval 20 sec). The escape latency performance was recorded using a video camera and video tracking system (HVS Imaging, Hampton, UK). The average escape latency of a total of five trials was calculated. This test was conducted at 24, 48 and 72 h post TBI.

Immunohistochemical analysis

Immunohistochemical analysis was performed using an SABC immunohistochemistry kit (Wuhan Boster Biological Engineering Co., Ltd., Wuhan, China) according to the manufacturer’s instructions. Paraffin embedded brain tissue sections (5 μm) were heated for 30 min at 60°C, dewaxed and rehydrated, followed by microwave antigen retrieval procedures. In brief, sections in Citrate salt buffer (Wuhan Boster Biological Engineering Co., Ltd., Wuhan, China) were heated in a microwave oven for 5 min. Endogenous peroxidase was inactivated with 3% H2O2 for 10 min at room temperature. The sections were incubated in 5% bovine serum albumin (Gibco BRL, Carlsbad, CA, USA) solution for 20 min, to inhibit the nonspecific binding. Subsequently, sections were incubated overnight at 4°C with rabbit anti-Cx43, GLT-1 polyclonal antibodies (Santa Cruz Biotechnology Inc., Santa Cruz, CA, USA) diluted 1:50 and then with polyclonal horseradish peroxidase-conjugated anti-rabbit immunoglobulin G (IgG; Wuhan Boster Biological Engineering Co., Ltd., Wuhan, China) antibodies for 30 min. Diaminobenzidine (Wuhan Boster Biological Engineering Co., Ltd.) was used to reveal the immunohistochemical reaction.

Western blot analysis

Total proteins from the hippocampal CA1 regions were rapidly isolated and extracted. The concentration of total protein was measured using a bicinchoninic acid reagent (Solarbio Science and Technology Co., Ltd., Beijing, China). Samples were subjected to sodium dodecyl sulfate polyacrylamide gel electrophoresis. The proteins separated on the gel were transferred onto polyvinylidene difluoride membranes (Roche Diagnostics GmBH, Mannheim, Germany). Blots were inhibited with 5% fat-free dry milk for 2 h at room temperature and were incubated overnight at 4°C with rabbit anti-Cx43, GLT-1 and β-actin polyclonal antibody (Santa Cruz Biotechnology, Inc.; diluted 1:200). The blots were then incubated with horseradish peroxidase conjugated anti-rabbit IgG (Cell Signaling Technology, Inc., Danvers, MA, USA; diluted 1:5,000) for 2 h at room temperature. Following incubation, the immunoblot on the membrane was visible following development with an enhanced chemiluminescence detection system (ChemiDoc XRS; Bio Rad, Hercules, CA, USA) and the densitometric signals were quantified using an imaging program (Image Lab 4.1; Bio-Rad). The immunoreactive bands of all proteins expressed were normalized to the intensity of corresponding bands for β-actin. The results of the western blot analysis were analyzed using National Institutes of Health Image 1.41 software (Bethesda, MD, USA).

Statistical analysis

Data are presented as the mean ± standard deviation. SPSS 16.0 (SPSS, Inc., Chicago, IL, USA) was used for statistical analysis of the data. Statistical analysis was performed using analysis of variance and subsequently by the Student-Newman-Keuls post-hoc test or Student’s t-test (comparison of two means). P<0.05 was considered to indicate a statistically significant difference.

Results

MIH treatment attenuates TBI-induced brain edema

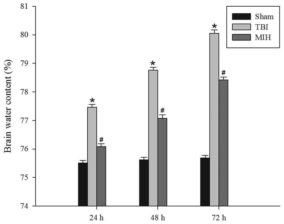
The wet-dry weight method was used to evaluate brain edema. As shown in Fig. 1, TBI induced a significant increase in brain edema at 24, 48 and 72 h compared with the sham group. However, treatment with MIH post-TBI significantly reduced brain edema compared with the TBI group at the corresponding time points.

Figure 1

Effect of post-TBI MIH on brain edema. Brain water content was assessed at 24, 48 and 72 h after TBI and calculated as the percentage of dry and wet weight. Bars represent the mean ± standard error (n=6). Brain water content significantly increased at 24, 48 and 72 h post TBI. Treatment with MIH for TBI markedly decreased brain water content at 24, 48 and 72 h. *P<0.05, vs. sham group; # P<0.05, vs. TBI group at the same time point. TBI, traumatic brain injury; MIH, mild induced hypothermia.

MIH treatment improves learning and memory ability

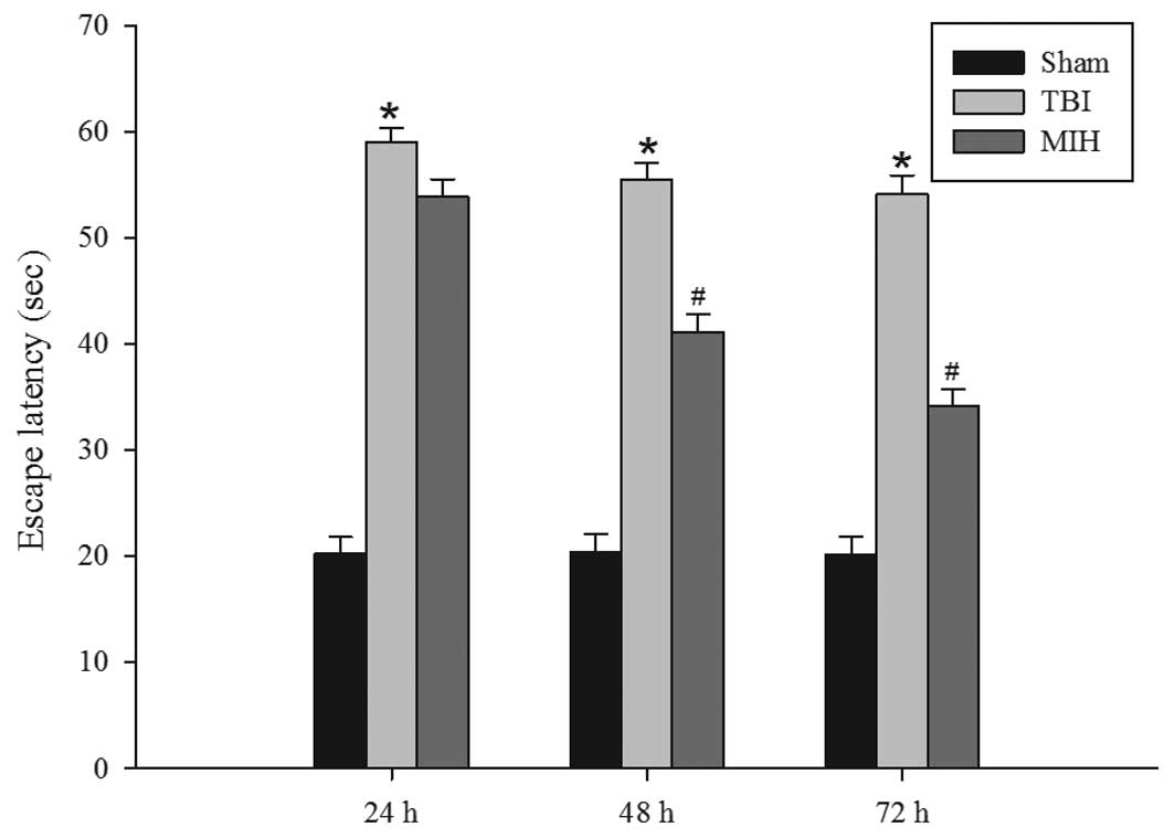
Following the observation that therapeutic MIH treatment attenuated brain edema post-TBI, the present study next assessed whether MIH was able to improve spatial learning ability using a Morris water maze. As shown in Fig. 2, TBI caused a significant deficit in spatial learning compared with the sham group at 24, 48 and 72 h. However, MIH treatment post-TBI markedly reduced the escape latency compared with the TBI group at 48 and 72 h.

Figure 2

Effect of post-TBI MIH on learning and memory ability. The escape latency performance was determined using a Morris water maze. Bars represent the mean ± standard error (n=6). The escape latency increased significantly at 24, 48 and 72 h after TBI. MIH therapy markedly decreased the time to identify the platform at 48 and 72 h. *P<0.05, vs. sham group; #P<0.05, vs. TBI group at the same time point. TBI, traumatic brain injury; MIH, mild induced hypothermia.

MIH treatment depresses Cx43 protein expression

Immunohistochemical analysis was used to determine the localization of Cx43 protein. As shown in Fig. 3A, the brown particles observed in the cells indicated positive results. The majority of brown particles appeared in the astrocytes of the hippocampus, particularly in the membranes of astrocytes and were occasionally expressed in the cytoplasm. Western blot analysis and immunohistochemical analysis revealed the levels of Cx43 expression in the different groups. As shown in Fig. 3B and C, the protein expression of Cx43 in the hippocampus was present at a consistently low level in the sham group, whereas Cx43 exhibited a significant increase at different time points in the TBI group. The expression of Cx43 protein in the hippocampus was increased at 6 h post TBI, peaked at 12 h and then gradually decreased, but remained higher than the expression levels in the sham group. Treatment with MIH following TBI caused a significant reduction in the TBI-induced upregulation of Cx43 expression compared with the TBI group at 12, 24 and 48 h.

Figure 3

Effect of post-TBI MIH on Cx43 expression. (A) Representative images of immunohistochemical staining of the Cx43 protein 12 h post TBI. (B) Western blot analysis of Cx43 bands in the hippocampus and (C) densitometry analysis of bands corresponding to β-actin. Optical densities of respective protein bands were analyzed with Image J software. The quantitative results of Cx43 are expressed as the mean of the ratio of densitometries of Cx43 to β-actin bands ± standard error. The expression of Cx43 significantly increased at 12, 24 and 48 h after TBI. MIH treatment markedly reduced the levels of Cx43 at 12, 24 and 48 h after TBI. *P<0.05, vs. sham group; *P<0.05, vs. TBI group at the same time point. TBI, traumatic brain injury; MIH, mild induced hypothermia; Cx43, connexin 43.

MIH treatment upregulates GLT-1 protein expression

The localization of GLT-1 protein was determined by immunohistochemical analysis. GLT-1, a membrane receptor, is predominantly expressed in astrocytes (Fig. 4A). Brown particles were mainly observed in the membranes of astrocytes in the hippocampus and, in part, in the cytoplasm. The levels of GLT-1 were detected by western blot analysis. In the sham group, GLT-1 protein in the hippocampus demonstrated basal expression. As shown in Fig. 4B and C, the expression of GLT-1 was suppressed at 6 h post TBI, persisted at a low level until 24 h after TBI and then gradually increased, but remained lower than the GLT-1 expression in the sham group. However, treatment with MIH significantly inhibited the downregulation of GLT-1 protein compared with the TBI groups at 6, 12, 24, 48 and 72 h.

Figure 4

Effect of post-TBI MIH on GLT-1 expression. (A) Representative images of immunohistochemical staining of the GLT-1 protein at 24 h post TBI. (B) Western blot analysis of GLT-1 bands in the hippocampus and (C) densitometry analysis of bands corresponding to β-actin. Optical densities of respective protein bands were analyzed with Image J software. The quantitative results of GLT-1 are expressed as the mean of the ratio of densitometries of GLT-1 to β-actin bands ± standard error. The expression of GLT-1 decreased significantly at 6, 12, 24, 48 and 72 h after TBI. MIH treatment markedly increased GLT-1 levels following TBI at the corresponding time points. *P<0.05, vs. sham group; #P<0.05, vs. TBI group at the same time point. TBI, traumatic brain injury; MIH, mild induced hypothermia; Cx43, connexin 43; GLT-1, glutamate transporter 1.

Discussion

TBI, an extremely complex neurological condition, leads to acute functional deficit in the brain. However, the molecular events underlying TBI remain to be elucidated. Currently, TBI is a serious health issue with additional social and psychological burdens and the increasing prevalence and high mortality rate of TBI poses a challenge in neurological research. The management of TBI aims to attenuate the amount of secondary brain injury occurring immediately following primary brain insult. Notably, several studies have revealed that MIH treatment following TBI contributes to a reduction in secondary cerebral damage and exerts significant neuroprotective effects (25). In the present study, the neuroprotective action of MIH was confirmed by reducing brain edema and facilitating the recovery of cognitive function in a rat model of TBI. The results suggested a potential role of MIH in limiting secondary damage and promoting improved functional outcome following TBI, which is consistent with the results of Marion and Bullock (26) and Dietrich et al (27). Furthermore, immunohistochemical results demonstrated that CX43 was widely located in the membrane of astrocytes and Cx43 was predominantly overexpressed in the hippocampal CA1 following TBI. The results of the present study clearly demonstrated that Cx43 immunoreactivity was increased in experimental models of brain injury. Cx43-hemichannels remain closed under normal physiological conditions but can open and release glutamate following TBI. Excessive extracellular glutamate following TBI contributes to excitotoxic cell death and is important in the development of secondary injuries (28). However, the levels of glutamate may be effectively controlled by astrocytic glutamate transporters, including GLT-1. The present study revealed that GLT-1 proteins were predominantly localized in astrocytes and were downregulated shortly following TBI. In conclusion, the downregulation of GLT-1 further exacerbated extracellular glutamate accumulation, which resulted in neuronal loss and associated neurological deficits, which have been associated with TBI-induced secondary brain injury in hippocampal tissues (18). Therefore, inhibition of Cx43-hemichannels or upregulation of the expression of GLT-1 can improve neural outcomes, representing novel therapeutic targets for reducing the severity of TBI.

In the present study, the therapeutic potential of MIH as a neuroprotective strategy for the treatment of TBI was investigated. MIH treatment following TBI was found to be beneficial for neurological recovery. In particular, MIH significantly attenuated brain edema and improved learning and memory ability following TBI in the rat model. However, the underlying mechanisms are yet to be elucidated. The protective effect of hypothermia may involve multiple pathways, including preventing the initiation of apoptotic/necrotic processes, reducing cellular/neuronal damage and inhibiting excitotoxicity (29). An important finding of the present study was that MIH treatment downregulated levels of Cx43 and upregulated the expression of GLT-1 in the hippocampus following TBI. Based on the available evidence, the beneficial effects of MIH in TBI treatment may be explained as follows: MIH reduced the protein expression of Cx43 in the astrocytes and decreased the release of extracellular glutamate from Cx43-hemichannels, or MIH also reversed GLT-1 reduction in the astrocytes and further enhanced the uptake of extracellular glutamate. Taken together, MIH may have the ability to balance glutamate content between intracellular and extracellular environments, therefore having a neuroprotective role following TBI.

MIH treatment exerts a neuroprotective effect on TBI by attenuating brain edema and improving neurological outcomes. These protective effects may be associated with reversing the increase in Cx43 and upregulation of GLT-1 levels following TBI. The present study provided evidence in vivo that MIH has the potential to become a valuable neuroprotective intervention in numerous neurological events.

Acknowledgements

The present study was supported by a grant from the Science and Technology Development Project of Tangshan City (no. 12140209A-31).

Abbreviations:

TBI

traumatic brain injury

MIH

mild induced hypothermia

Cx43

connexin 43

GLT-1

glutamate transporter 1

TH

therapeutic hypothermia

CNS

central nervous system

References

1 

Cheng SX, Zhang S, Sun HT and Tu Y: Effects of mild hypothermia treatment on rat hippocampal β-amyloid expression following traumatic brain injury. Ther Hypothermia Temp Manag. 3:132–139. 2013. View Article : Google Scholar : PubMed/NCBI

2 

Jia F, Mao Q, Liang YM and Jiang JY: Effect of post-traumatic mild hypothermia on hippocampal cell death after traumatic brain injury in rats. J Neurotrauma. 26:243–252. 2009. View Article : Google Scholar : PubMed/NCBI

3 

Fay T: Observations on generalized refrigeration in cases of severe cerebral trauma. Assoc Res Nerv Ment Dis Proc. 24:611–619. 1945.

4 

Kramer C, Freeman WD, Larson JS, et al: Therapeutic hypothermia for severe traumatic brain injury: a critically appraised topic. Neurologist. 18:173–177. 2012. View Article : Google Scholar : PubMed/NCBI

5 

Andrews PJ, Sinclair LH, Harris B, et al: Study of therapeutic hypothermia (32 to 35°C) for intracranial pressure reduction after traumatic brain injury (the Eurotherm3235Trial): outcome of the pilot phase of the trial. Trials. 14:1–8. 2013. View Article : Google Scholar

6 

Liu L and Yenari MA: Therapeutic hypothermia: neuroprotective mechanisms. Front Biosci. 12:816–825. 2007. View Article : Google Scholar

7 

Feng JF, Zhang KM, Jiang JY, Gao GY, Fu XA and Liang YM: Effect of therapeutic mild hypothermia on the genomics of the hippocampus after moderate traumatic brain injury in rats. Neurosurgery. 67:730–742. 2010. View Article : Google Scholar : PubMed/NCBI

8 

Laird DW: The gap junction proteome and its relationship to disease. Trends Cell Biol. 20:92–101. 2010. View Article : Google Scholar

9 

Márquez-Rosado L, Solan JL, Dunn CA, Norris RP and Lampe PD: Connexin43 phosphorylation in brain, cardiac, endothelial and epithelial tissues. Biochi Biophys Acta. 1818:1985–1992. 2012. View Article : Google Scholar

10 

Mroue R, El-Sabban M and Talhouk R: Connexins and the gap in context. Integ Biol. 3:255–266. 2011. View Article : Google Scholar

11 

Ongstad EL, O’Quinn MP, Ghatnekar GS, Yost MJ and Gourdie G: A connexin43 mimetic peptide promotes regenerative healing and improves mechanical properties in skin and heart. Adv Wound Care (New Rochelle). 2:55–62. 2013. View Article : Google Scholar

12 

Yu M, Zhang C, Li L, Dong S, Zhang N and Tong X: Cx43 reverses the resistance of A549 lung adenocarcinoma cells to cisplatin by inhibiting EMT. Oncol Rep. 31:2751–2758. 2014.PubMed/NCBI

13 

Sun LQ, Gao JL, Cui CM, et al: Astrocytic p-connexin43 regulates neuronal autophagy in the hippocampus following traumatic brain injury in rats. Mol Med Rep. 9:77–82. 2014.

14 

Ohsumi A, Nawashiro H, Otani N, Ooigawa H, Toyooka T and Shima K: Temporal and spatial profile of phosphorylated connexin43 after traumatic brain injury in rats. J Neurotrauma. 27:1255–1263. 2010. View Article : Google Scholar : PubMed/NCBI

15 

Rami A, Volkmann T and Winckler J: Effective reduction of neuronal death by inhibiting gap junctional intercellular communication in a rodent model of global transient cerebral ischemia. Exp Neurol. 170:297–304. 2001. View Article : Google Scholar : PubMed/NCBI

16 

Jiang S, Wang YQ, Xu CF, Li YN, Guo R and Li L: Involvement of connexin43 in the infrasonic noise-induced glutamate release by cultured astrocytes. Neurochem Res. 39:833–842. 2014. View Article : Google Scholar : PubMed/NCBI

17 

Obrenovitch TP and Urenjak J: Is high extracellular glutamate the key to excitotoxicity in traumatic brain injury? J Neurotrauma. 14:677–698. 1997. View Article : Google Scholar : PubMed/NCBI

18 

Yi JH and Hazell AS: Excitotoxic mechanisms and the role of astrocytic glutamate transporters in traumatic brain injury. Neurochem Int. 48:394–403. 2006. View Article : Google Scholar : PubMed/NCBI

19 

Wang X, Ma A, Zhu W, et al: The role of connexin 43 and hemichannels correlated with the astrocytic death following ischemia/reperfusion insult. Cell Mol Neurobiol. 33:401–410. 2013. View Article : Google Scholar : PubMed/NCBI

20 

Goodrich GS, Kabakov AY, Hameed MQ, Dhamne SC, Rosenberg PA and Rotenberg A: Ceftriaxone treatment after traumatic brain injury restores expression of the glutamate transporter, GLT-1, reduces regional gliosis and reduces post-traumatic seizures in the rat. J Neurotrauma. 30:1434–1441. 2013. View Article : Google Scholar : PubMed/NCBI

21 

Marmarou A, Foda MA, van den Brink W, Campbell J, Kita H and Demetriadou K: A new model of diffuse brain injury in rats: Part I: Pathophysiology and biomechanics. J Neurosurg. 80:291–300. 1994. View Article : Google Scholar : PubMed/NCBI

22 

Truettner JS, Alonso OF, Bramlett HM and Dietrich WD: Therapeutic hypothermia alters microRNA responses to traumatic brain injury in rats. J Cereb Blood Flow Metab. 31:1897–1907. 2011. View Article : Google Scholar : PubMed/NCBI

23 

Tang J, Liu J, Zhou C, et al: Mmp-9 deficiency enhances collagenase-induced intracerebral hemorrhage and brain injury in mutant mice. J Cereb Blood Flow Metab. 24:1133–1145. 2004. View Article : Google Scholar : PubMed/NCBI

24 

Hui-guo L, Kui L, Yan-ning Z and Yong-jian X: Apocynin attenuate spatial learning deficits and oxidative responses to intermittent hypoxia. Sleep Med. 11:205–212. 2010. View Article : Google Scholar : PubMed/NCBI

25 

Tokutomi T, Morimoto K, Miyagi T, Yamaguchi S, Ishikawa K and Shigemori M: Optimal temperature for the management of severe traumatic brain injury: effect of hypothermia on intracranial pressure, systemic and intracranial hemodynamics, and metabolism. Neurosurgery. 52:102–112. 2003.

26 

Marion D and Bullock MR: Current and future role of therapeutic hypothermia. J Neurotrauma. 26:455–467. 2009. View Article : Google Scholar : PubMed/NCBI

27 

Dietrich WD, Atkins CM and Bramlett HM: Protection in animal models of brain and spinal cord injury with mild to moderate hypothermia. J Neurotrauma. 26:301–312. 2009. View Article : Google Scholar : PubMed/NCBI

28 

Obrenovitch TP and Urenjak J: Is high extracellular glutamate the key to excitotoxicity in traumatic brain injury? J Neurotrauma. 14:677–698. 1997. View Article : Google Scholar : PubMed/NCBI

29 

Broessner G, Fischer M, Schubert G, Metzler B and Schmutzhard E: Update on therapeutic temperature management. Critical Care. 16:A12012.

Related Articles

  • Abstract
  • View
  • Download
  • Twitter
Copy and paste a formatted citation
Spandidos Publications style
Li YH, Zhang CL, Zhang XY, Zhou HX and Meng LL: Effects of mild induced hypothermia on hippocampal connexin 43 and glutamate transporter 1 expression following traumatic brain injury in rats. Mol Med Rep 11: 1991-1996, 2015.
APA
Li, Y., Zhang, C., Zhang, X., Zhou, H., & Meng, L. (2015). Effects of mild induced hypothermia on hippocampal connexin 43 and glutamate transporter 1 expression following traumatic brain injury in rats. Molecular Medicine Reports, 11, 1991-1996. https://doi.org/10.3892/mmr.2014.2928
MLA
Li, Y., Zhang, C., Zhang, X., Zhou, H., Meng, L."Effects of mild induced hypothermia on hippocampal connexin 43 and glutamate transporter 1 expression following traumatic brain injury in rats". Molecular Medicine Reports 11.3 (2015): 1991-1996.
Chicago
Li, Y., Zhang, C., Zhang, X., Zhou, H., Meng, L."Effects of mild induced hypothermia on hippocampal connexin 43 and glutamate transporter 1 expression following traumatic brain injury in rats". Molecular Medicine Reports 11, no. 3 (2015): 1991-1996. https://doi.org/10.3892/mmr.2014.2928
Copy and paste a formatted citation
x
Spandidos Publications style
Li YH, Zhang CL, Zhang XY, Zhou HX and Meng LL: Effects of mild induced hypothermia on hippocampal connexin 43 and glutamate transporter 1 expression following traumatic brain injury in rats. Mol Med Rep 11: 1991-1996, 2015.
APA
Li, Y., Zhang, C., Zhang, X., Zhou, H., & Meng, L. (2015). Effects of mild induced hypothermia on hippocampal connexin 43 and glutamate transporter 1 expression following traumatic brain injury in rats. Molecular Medicine Reports, 11, 1991-1996. https://doi.org/10.3892/mmr.2014.2928
MLA
Li, Y., Zhang, C., Zhang, X., Zhou, H., Meng, L."Effects of mild induced hypothermia on hippocampal connexin 43 and glutamate transporter 1 expression following traumatic brain injury in rats". Molecular Medicine Reports 11.3 (2015): 1991-1996.
Chicago
Li, Y., Zhang, C., Zhang, X., Zhou, H., Meng, L."Effects of mild induced hypothermia on hippocampal connexin 43 and glutamate transporter 1 expression following traumatic brain injury in rats". Molecular Medicine Reports 11, no. 3 (2015): 1991-1996. https://doi.org/10.3892/mmr.2014.2928
Follow us
  • Twitter
  • LinkedIn
  • Facebook
About
  • Spandidos Publications
  • Careers
  • Cookie Policy
  • Privacy Policy
How can we help?
  • Help
  • Live Chat
  • Contact
  • Email to our Support Team