Spandidos Publications Logo
  • About
    • About Spandidos
    • Aims and Scopes
    • Abstracting and Indexing
    • Editorial Policies
    • Reprints and Permissions
    • Job Opportunities
    • Terms and Conditions
    • Contact
  • Journals
    • All Journals
    • Oncology Letters
      • Oncology Letters
      • Information for Authors
      • Editorial Policies
      • Editorial Board
      • Aims and Scope
      • Abstracting and Indexing
      • Bibliographic Information
      • Archive
    • International Journal of Oncology
      • International Journal of Oncology
      • Information for Authors
      • Editorial Policies
      • Editorial Board
      • Aims and Scope
      • Abstracting and Indexing
      • Bibliographic Information
      • Archive
    • Molecular and Clinical Oncology
      • Molecular and Clinical Oncology
      • Information for Authors
      • Editorial Policies
      • Editorial Board
      • Aims and Scope
      • Abstracting and Indexing
      • Bibliographic Information
      • Archive
    • Experimental and Therapeutic Medicine
      • Experimental and Therapeutic Medicine
      • Information for Authors
      • Editorial Policies
      • Editorial Board
      • Aims and Scope
      • Abstracting and Indexing
      • Bibliographic Information
      • Archive
    • International Journal of Molecular Medicine
      • International Journal of Molecular Medicine
      • Information for Authors
      • Editorial Policies
      • Editorial Board
      • Aims and Scope
      • Abstracting and Indexing
      • Bibliographic Information
      • Archive
    • Biomedical Reports
      • Biomedical Reports
      • Information for Authors
      • Editorial Policies
      • Editorial Board
      • Aims and Scope
      • Abstracting and Indexing
      • Bibliographic Information
      • Archive
    • Oncology Reports
      • Oncology Reports
      • Information for Authors
      • Editorial Policies
      • Editorial Board
      • Aims and Scope
      • Abstracting and Indexing
      • Bibliographic Information
      • Archive
    • Molecular Medicine Reports
      • Molecular Medicine Reports
      • Information for Authors
      • Editorial Policies
      • Editorial Board
      • Aims and Scope
      • Abstracting and Indexing
      • Bibliographic Information
      • Archive
    • World Academy of Sciences Journal
      • World Academy of Sciences Journal
      • Information for Authors
      • Editorial Policies
      • Editorial Board
      • Aims and Scope
      • Abstracting and Indexing
      • Bibliographic Information
      • Archive
    • International Journal of Functional Nutrition
      • International Journal of Functional Nutrition
      • Information for Authors
      • Editorial Policies
      • Editorial Board
      • Aims and Scope
      • Abstracting and Indexing
      • Bibliographic Information
      • Archive
    • International Journal of Epigenetics
      • International Journal of Epigenetics
      • Information for Authors
      • Editorial Policies
      • Editorial Board
      • Aims and Scope
      • Abstracting and Indexing
      • Bibliographic Information
      • Archive
    • Medicine International
      • Medicine International
      • Information for Authors
      • Editorial Policies
      • Editorial Board
      • Aims and Scope
      • Abstracting and Indexing
      • Bibliographic Information
      • Archive
  • Articles
  • Information
    • Information for Authors
    • Information for Reviewers
    • Information for Librarians
    • Information for Advertisers
    • Conferences
  • Language Editing
Spandidos Publications Logo
  • About
    • About Spandidos
    • Aims and Scopes
    • Abstracting and Indexing
    • Editorial Policies
    • Reprints and Permissions
    • Job Opportunities
    • Terms and Conditions
    • Contact
  • Journals
    • All Journals
    • Biomedical Reports
      • Information for Authors
      • Editorial Policies
      • Editorial Board
      • Aims and Scope
      • Abstracting and Indexing
      • Bibliographic Information
      • Archive
    • Experimental and Therapeutic Medicine
      • Information for Authors
      • Editorial Policies
      • Editorial Board
      • Aims and Scope
      • Abstracting and Indexing
      • Bibliographic Information
      • Archive
    • International Journal of Epigenetics
      • Information for Authors
      • Editorial Policies
      • Editorial Board
      • Aims and Scope
      • Abstracting and Indexing
      • Bibliographic Information
      • Archive
    • International Journal of Functional Nutrition
      • Information for Authors
      • Editorial Policies
      • Editorial Board
      • Aims and Scope
      • Abstracting and Indexing
      • Bibliographic Information
      • Archive
    • International Journal of Molecular Medicine
      • Information for Authors
      • Editorial Policies
      • Editorial Board
      • Aims and Scope
      • Abstracting and Indexing
      • Bibliographic Information
      • Archive
    • International Journal of Oncology
      • Information for Authors
      • Editorial Policies
      • Editorial Board
      • Aims and Scope
      • Abstracting and Indexing
      • Bibliographic Information
      • Archive
    • Medicine International
      • Information for Authors
      • Editorial Policies
      • Editorial Board
      • Aims and Scope
      • Abstracting and Indexing
      • Bibliographic Information
      • Archive
    • Molecular and Clinical Oncology
      • Information for Authors
      • Editorial Policies
      • Editorial Board
      • Aims and Scope
      • Abstracting and Indexing
      • Bibliographic Information
      • Archive
    • Molecular Medicine Reports
      • Information for Authors
      • Editorial Policies
      • Editorial Board
      • Aims and Scope
      • Abstracting and Indexing
      • Bibliographic Information
      • Archive
    • Oncology Letters
      • Information for Authors
      • Editorial Policies
      • Editorial Board
      • Aims and Scope
      • Abstracting and Indexing
      • Bibliographic Information
      • Archive
    • Oncology Reports
      • Information for Authors
      • Editorial Policies
      • Editorial Board
      • Aims and Scope
      • Abstracting and Indexing
      • Bibliographic Information
      • Archive
    • World Academy of Sciences Journal
      • Information for Authors
      • Editorial Policies
      • Editorial Board
      • Aims and Scope
      • Abstracting and Indexing
      • Bibliographic Information
      • Archive
  • Articles
  • Information
    • For Authors
    • For Reviewers
    • For Librarians
    • For Advertisers
    • Conferences
  • Language Editing
Login Register Submit
  • This site uses cookies
  • You can change your cookie settings at any time by following the instructions in our Cookie Policy. To find out more, you may read our Privacy Policy.

    I agree
Search articles by DOI, keyword, author or affiliation
Search
Advanced Search
presentation
Molecular Medicine Reports
Join Editorial Board Propose a Special Issue
Print ISSN: 1791-2997 Online ISSN: 1791-3004
Journal Cover
June-2017 Volume 15 Issue 6

Full Size Image

Sign up for eToc alerts
Recommend to Library

Journals

International Journal of Molecular Medicine

International Journal of Molecular Medicine

International Journal of Molecular Medicine is an international journal devoted to molecular mechanisms of human disease.

International Journal of Oncology

International Journal of Oncology

International Journal of Oncology is an international journal devoted to oncology research and cancer treatment.

Molecular Medicine Reports

Molecular Medicine Reports

Covers molecular medicine topics such as pharmacology, pathology, genetics, neuroscience, infectious diseases, molecular cardiology, and molecular surgery.

Oncology Reports

Oncology Reports

Oncology Reports is an international journal devoted to fundamental and applied research in Oncology.

Experimental and Therapeutic Medicine

Experimental and Therapeutic Medicine

Experimental and Therapeutic Medicine is an international journal devoted to laboratory and clinical medicine.

Oncology Letters

Oncology Letters

Oncology Letters is an international journal devoted to Experimental and Clinical Oncology.

Biomedical Reports

Biomedical Reports

Explores a wide range of biological and medical fields, including pharmacology, genetics, microbiology, neuroscience, and molecular cardiology.

Molecular and Clinical Oncology

Molecular and Clinical Oncology

International journal addressing all aspects of oncology research, from tumorigenesis and oncogenes to chemotherapy and metastasis.

World Academy of Sciences Journal

World Academy of Sciences Journal

Multidisciplinary open-access journal spanning biochemistry, genetics, neuroscience, environmental health, and synthetic biology.

International Journal of Functional Nutrition

International Journal of Functional Nutrition

Open-access journal combining biochemistry, pharmacology, immunology, and genetics to advance health through functional nutrition.

International Journal of Epigenetics

International Journal of Epigenetics

Publishes open-access research on using epigenetics to advance understanding and treatment of human disease.

Medicine International

Medicine International

An International Open Access Journal Devoted to General Medicine.

Journal Cover
June-2017 Volume 15 Issue 6

Full Size Image

Sign up for eToc alerts
Recommend to Library

  • Article
  • Citations
    • Cite This Article
    • Download Citation
    • Create Citation Alert
    • Remove Citation Alert
    • Cited By
  • Similar Articles
    • Related Articles (in Spandidos Publications)
    • Similar Articles (Google Scholar)
    • Similar Articles (PubMed)
  • Download PDF
  • Download XML
  • View XML
Article

Preliminary analysis of the association between methylation of the ACE2 promoter and essential hypertension

  • Authors:
    • Rui Fan
    • Shu‑Qi Mao
    • Tian‑Lun Gu
    • Fa‑De Zhong
    • Min‑Li Gong
    • Ling‑Mei Hao
    • Feng‑Ying Yin
    • Chang‑Zheng Dong
    • Li‑Na Zhang
  • View Affiliations / Copyright

    Affiliations: Department of Preventive Medicine, Zhejiang Provincial Key Laboratory of Pathophysiology, School of Medicine, Ningbo University, Ningbo, Zhejiang 315211, P.R. China, The Central Blood Station of Ningbo, Ningbo, Zhejiang 315099, P.R. China, Clinical Laboratory, The Seventh Hospital of Ningbo, Ningbo, Zhejiang 315202, P.R. China, Clinical Laboratory, The First Hospital of Ningbo, Zhejiang 315010, P.R. China
  • Pages: 3905-3911
    |
    Published online on: April 11, 2017
       https://doi.org/10.3892/mmr.2017.6460
  • Expand metrics +
Metrics: Total Views: 0 (Spandidos Publications: | PMC Statistics: )
Metrics: Total PDF Downloads: 0 (Spandidos Publications: | PMC Statistics: )
Cited By (CrossRef): 0 citations Loading Articles...

This article is mentioned in:


Abstract

The aim of the present study was to investigate whether methylation of the angiotensin I converting enzyme 2 (ACE2) promoter increases the risk of essential hypertension (EH). A total of 96 patients with EH were recruited and 96 sex‑ and age‑matched healthy controls. Methylation of 5 CpG dinucleotides in the ACE2 promoter was quantified using bisulfite pyrosequencing. Logistic regression and multiple linear regression were used to adjust for confounding factors and the generalized multifactor dimensionality reduction (GMDR) method was applied to investigate high‑order interactions. Methylation of CpG4 (adjusted P=0.020) and CpG5 (adjusted P=0.036) was significantly higher in patients with EH, with frequency 97.56±5.65% and 12.75±4.15% in EH individuals and 95.73±9.11% and 11.47±3.67% in healthy controls. GMDR detected significant interaction among the 5 CpG sites (odds ratio=7.33, adjusted P=0.01). Furthermore, receiver operating characteristic curves identified that CpG5 methylation was a significant predictor of EH. Notably, CpG2 methylation was significantly higher in males than in females (adjusted P=0.018). Conversely, CpG5 methylation was significantly lower in males (adjusted P=0.032). These results indicated that aberrant methylation of the ACE2 promoter may be associated with EH risk. In addition, sex may significantly influence ACE2 methylation.

Introduction

Essential hypertension (EH) is a disorder characterized by high blood pressure of unknown cause and is a major risk factor for cardiovascular and cerebrovascular disease and a serious public health problem worldwide. The prevalence was at 26.7% in 2010 in China (1), this is predicted to increase to 29.2% globally by 2025 (2). EH may be closely associated with dysregulation of the renin-angiotensin system (RAS). However, the underlying molecular mechanisms that lead to the dysregulation remain to be elucidated; however, genetic alterations, environmental factors, gene-gene, and gene-environment interactions may be considered key factors (3,4).

The RAS is a master regulator of blood pressure. Angiotensin II is an important vasoconstrictor in this system, whereas angiotensin converting enzyme 2 (ACE2), the discovery of which was considered to be a breakthrough in 2000 (5,6), promotes vasodilation by degrading angiotensin II, and generating the vasodilators Ang 1–7 (7). Accordingly, increasing the expression of ACE2, which is located on chromosome Xp22, protects against increased blood pressure, whereas inhibition or deletion promotes EH (8). Previous genetic studies have identified polymorphisms in ACE2 as risk factors for EH in multiple populations, such as the Han-Chinese and Caucasian population (9,10).

DNA methylation, a common mechanism of reversible epigenetic regulation, usually occurs at cytosine residues in cytosine-phosphate-guanine (CpG) dinucleotides in mammalian cells (11). Environmental factors can affect DNA methylation levels in the genome and thus alter gene expression. Promoter hypermethylation silences genes, whereas hypomethylation promotes active transcription (12). Therefore, controlling methylation of relevant genes may provide novel opportunities to treat or prevent EH. Previous studies have determined that aberrant methylation of components of the RAS, including angiotensinogen, ACE, and angiotensin II receptor type 1 (AGTR1) was associated with the onset and development of EH (13–16). However, the association between EH and methylation of the ACE2 promoter remains to be elucidated. Therefore, the present study aimed to investigate whether aberrant methylation of the ACE2 promoter contributed to EH and the association with age, sex and other clinical indicators, as has been determined for other genes, including adducing 1 (17) and glucokinase (18).

Materials and methods

Sample collection

A total of 192 individuals, 96 patients with EH and 96 healthy controls, were recruited at The Seventh Hospital of Ningbo (Ningbo, China). Participants were from Han Chinese families who had been residing in Ningbo for a minimum of three generations and had no history of diabetes mellitus, secondary hypertension, myocardial infarction, stroke, renal failure, drug abuse or other serious diseases. Patients were categorized as hypertensive according to the ‘diagnostic gold standard’ (19) and had at least three consecutive measurements of systolic blood pressure (SBP) >140 mm Hg and/or diastolic blood pressure (DBP) >90 mm Hg (19). In addition, the hypertensive patients were newly diagnosed patients and had not received therapy for hypertension. Healthy controls had SBP and DBP <120 mm Hg and <80 mm Hg respectively, had no family history of hypertension in first degree relatives and had not received therapy for hypertension. A calibrated mercury sphygmomanometer with an adult-sized cuff was used to quantify the blood pressure according to standard protocols of the American Heart Association (20). Blood pressure was measured in the supine position twice ≥10 min apart by different trained technicians. Following a 12 h overnight fast, 5 ml blood samples were collected from the antecubital vein using vacutainer tubes containing EDTA and stored at −80°C for DNA extraction. The protocol of the present study was approved by the Ethics Committee of Ningbo Seventh Hospital of Ningbo (Ningbo, China) and written informed consent was obtained from all patients.

Biochemical analyses

Plasma levels of total cholesterol, triglyceride, alanine transaminase (ALT), uric acid, high-density lipoprotein (HDL), low-density lipoprotein (LDL), homocysteine (Hcy), and glucose were quantified enzymatically using an AU2700 automatic analyzer (Olympus Corporation, Tokyo, Japan). A Lab-Aid 820 nucleic acid extraction analyzer (Zeesan Biotech Co. Ltd., Xiamen, China) was used to extract genomic DNA from peripheral blood samples. DNA concentration was quantified using a NanoDrop 2000 ultramicro nucleic acid ultraviolet tester (Thermo Fisher Scientific, Inc., Waltham, MA, USA).

Pyrosequencing, a sequencing-by-synthesis technique, was used to determine the methylation levels. The target sequences were first treated with sodium bisulfite using an EpiTech Bisulfite kit (Qiagen GmbH, Hilden, Germany) to preferentially convert unmethylated cytosine residues to thymine and then amplified by polymerase chain reaction, finally ‘sequenced by synthesis’ using Pyromark Gold Q96 (Qiagen GmbH) as previously described (17,18,21). In addition, CpG island (CGI) was identified using MethPrimer (www.urogene.org/methprimer/) (22). CpG sites of interest and PCR primers were selected according to the general rules and advice of primer design as previously described (23) and the scores were automatically calculated by the PyroMark Assay Design, version 2.0.1.15 (Qiagen GmbH). Targets were amplified using a Mastercycler Nexus Gradient (Eppendorf, Hamburg, Germany) in reactions containing 8 µl DNase/RNase-free water, 12 µl ZymoTaq Premix (Zymo Research Corporation, Irvine, CA, USA), 2 µl bisulfite-converted DNA, and 1.5 µl each of forward (F) and reverse (R) primer. Reactions were initially denatured at 95°C for 10 min, amplified over 45 cycles at 95°C for 30 sec, 52.8°C for 40 sec, and 72°C for 50 sec, and extended at 72°C for 7 min. Targets were amplified with F 5′-GGGTAGATTAAGAGGTTAGAAG-3′ and R 5′-Biotin-ATT CAC CCC ATT CTC CTA-3′, and sequenced with primer 5′-TTATTAAAAATATAAAAATATTAG-3′.

Statistical analyses

Data were analyzed using PASW Statistics, version 18.0 (IBM SPSS, Armonk, NY, USA). Continuous variables, including DNA methylation, age, body mass index (BMI), total cholesterol, triglycerides, glucose, ALT, uric acid, HDL, LDL and Hcy were compared by Student's t-test or rank-sum test Pearson χ2 or Fisher's exact test were used to analyze the association between EH and categorical variables such as sex, smoking and alcohol consumption. Pearson correlation analysis was used to investigate interactions among the five CpG sites in the ACE2 promoter. Logistic regression and multiple linear regression were applied to adjust for confounding factors. Receiver operating characteristic (ROC) curves were constructed to determine the sensitivity of ACE2 methylation as a predictor of EH. P<0.05 was considered to indicate a statistically significant difference.

Generalized multifactor dimensionality reduction (GMDR) (http://www.ssg.uab.edu/gmdr/) was used to investigate potential high-order interactions between ACE2 promoter methylation and risk of EH. In this approach, high-dimensional data is reduced to a one-dimensional variable with two levels (high risk or low risk) (24). The method may detect interactions in small sample sizes, adjust for quantitative and discrete covariates and may be used dichotomous and continuous phenotypes. Additionally, this approach does not require a genetic model and is a non-parametric alternative to linear or logistic regression for the detection and characterization of interactions between genetic and environmental attributes (24). In the present study, the data set was randomly split into 10 subsets, of which 9 were used for training and one for testing. N factors were selected from the training set and combined in n-dimensional space. A number of parameters were provided to estimate training balanced accuracy, testing balanced accuracy, sign test P-value, and cross-validation consistency for each candidate interaction model. From the candidate models, the one with a sign test P-value of <0.05 and the highest cross-validation consistency, training, and testing balanced accuracy was identified to be the most suitable model (24).

Results

Patient characteristics and analysis of promoter methylation

A total of 96 patients with EH were recruited, along with 96 sex- and age-matched (±3 years) healthy controls. The characteristics of the study population are summarized in Table I.

Table I.

Characteristics of the study population (n=192).

Table I.

Characteristics of the study population (n=192).

CharacteristicHealthy (n=96)EH (n=96) t/χ2P-value
Age (years)56.32±8.2356.72±8.71−4.49       2.02×10−5b
Sex (M/F)38/5838/5801.000
Smoking (Y/N)17/7927/694.05   0.041b
Drinking (Y/N)31/6540/562.310.175
BMI (kg/m2)22.20±2.4023.62±3.28−3.48   0.001b
Total cholesterol (mmol/l)5.21±0.885.38±0.61−1.550.125
Triglycerides (mmol/l)1.21±0.681.43±0.72−2.25   0.027b
Glucose (mmol/l)4.91±0.794.90±0.310.140.888
ALT (IU/l)26.43±16.1828.44±11.95−0.960.340
HDL (mmol/l)8.01±6.352.07±5.616.53       3.32×10−9b
LDL (mmol/l)3.22±0.863.31±0.69−0.810.421
Uric acid (mmol/l)300.81±73.38325.75±83.07−2.68   0.009b
Hcy (µmol/l)9.38±2.0412.33±4.28−2.64   0.018b
CpG1 methylation (%)69.97±2.4069.07±5.091.42   0.147a
CpG2 methylation (%)35.20±2.5435.30±1.90−0.37   0.870a
CpG3 methylation (%)23.13±3.7523.18±4.250.09   0.055a
CpG4 methylation (%)95.73±9.1197.56±5.65−1.61     0.020a,b
CpG5 methylation (%)11.47±3.6712.75±4.15−2.45     0.036a,b

{ label (or @symbol) needed for fn[@id='tfn1-mmr-15-06-3905'] } Data are presented as the mean ± standard deviation

a P-values were adjusted by conditional logistic regression for age, sex, smoking, drinking, body mass index, triglycerides, HDL, uric acid and Hcy.

b P<0.05 vs. control group. Y, yes; N, no; BMI, body mass index; ALT, alanine transaminase; HDL, high-density lipoprotein; LDL, low-density lipoprotein; Hcy, homocysteine.

A CpG island (CGI) was identified in the ACE2 promoter using MethPrimer (22). Subsequently, a fragment containing five CpG dinucleotides in this island (ChrX:15621573-15622147) was selected (Fig. 1). The correlation among the five CpG sites is presented Fig. 1 (r<0.5).

Figure 1.

A total of 5 CpG sites were analyzed in ACE2. ACE2, angiotensin I converting enzyme 2; CGI, CpG island.

Promoter methylation and essential hypertension

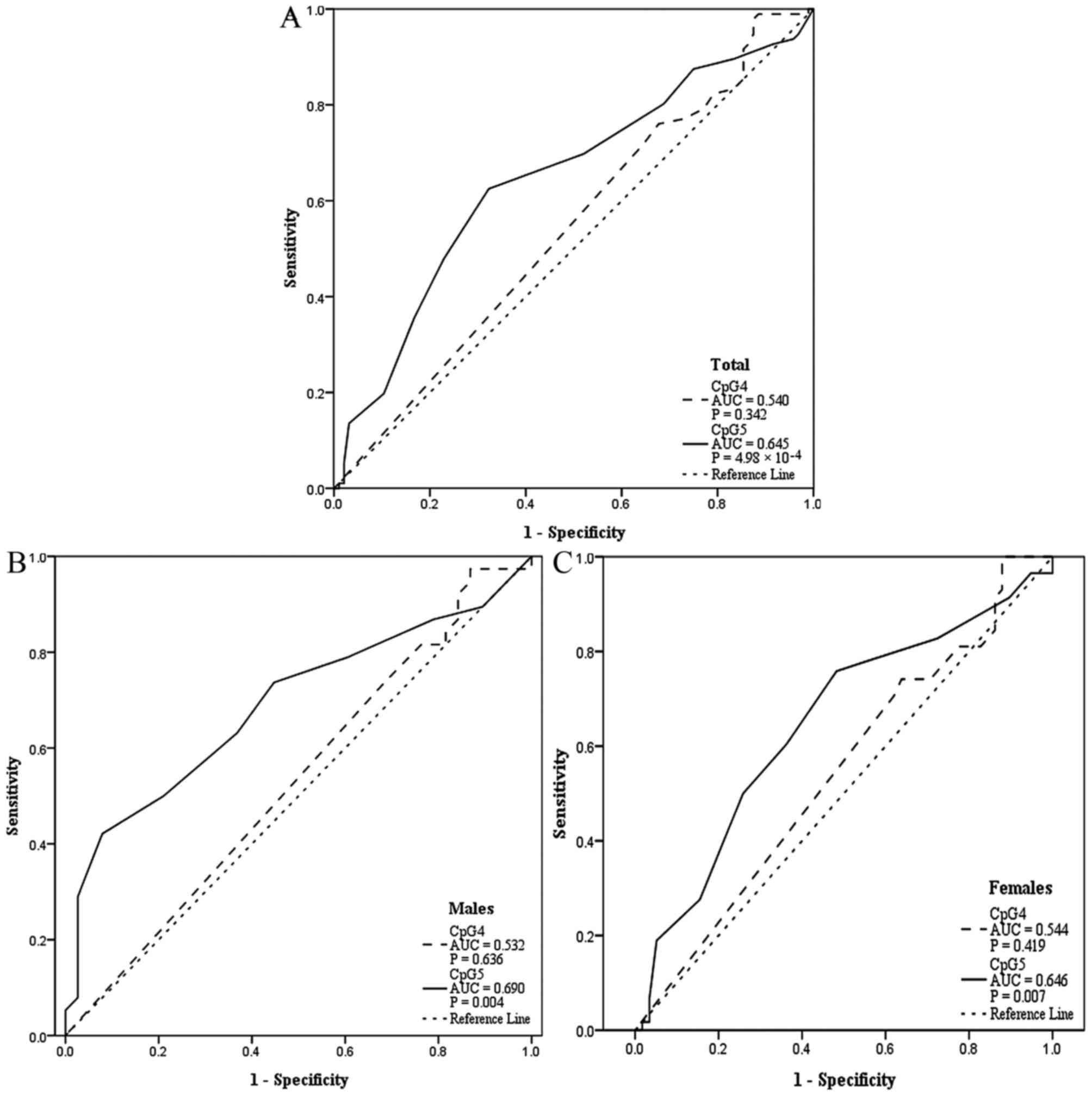
Methylation of ACE2 in CpG4 (adjusted P=0.020) and CpG5 (adjusted P=0.036) was significantly higher in cases of EH, with frequency 97.56±5.65% and 12.75±4.15% in patients with EH and 95.73±9.11% and 11.47±3.67% in healthy controls, respectively. However, EH was not significantly associated with methylation of the remaining three CpG sites following adjusting for age, sex, smoking, alcohol use, BMI, triglycerides, HDL, uric acid, and Hcy (Table I; Fig. 2). In addition, CpG5 methylation was determined to be a significant predictor of EH based on ROC curves (Fig. 3), with area under the curve was 0.645 for all patients (P=4.98×10−4), 0.690 for males (P=0.004), and 0.646 for females (P=0.007).

Figure 2.

Angiotensin I converting enzyme 2 CpG methylation in patients with essential hypertension (n=96) and healthy controls (n=96). P-values were adjusted by conditional logistic regression for age, sex, smoking, drinking, body mass index, triglycerides, high-density lipoprotein, uric acid and homocysteine.

Figure 3.

Receiver operating characteristic curves of angiotensin I converting enzyme 2 methylation in (A) total, (B) males and (C) females with essential hypertension. AUC, area under the curve.

GMDR was then used to investigate high-order interactions among the five CpG sites. The best models at various orders are summarized in Table II. The five-factor model had the best training balanced accuracy (0.72), testing balanced accuracy (0.65), and cross-validation consistency (10/10). The adjusted P-value was 0.01 following the sign test and the training odds ratio (OR) was 7.33 with 95% confidence interval (2.03, 26.49).

Table II.

GMDR models of high-order interaction among the five CpG sites in angiotensin I converting enzyme 2 promoter on essential hypertension risk.

Table II.

GMDR models of high-order interaction among the five CpG sites in angiotensin I converting enzyme 2 promoter on essential hypertension risk.

ModelTraining balanced accuracyTesting balanced accuracySign test (P-value)Cross-validation consistency
CpG50.620.62  9 (P=0.011a)10/10
CpG3, CpG50.630.577 (P=0.172)   6/10
CpG2, CpG3, CpG50.670.587 (P=0.172)   6/10
CpG1, CpG3, CpG4, CpG50.690.608 (P=0.055)   7/10
CpG1, CpG2, CpG3, CpG4, CpG50.720.65  9 (P=0.011a)10/10

{ label (or @symbol) needed for fn[@id='tfn4-mmr-15-06-3905'] } P-values were adjusted for age, sex, smoking, drinking, body mass index, triglycerides, high-density lipoprotein, uric acid, homocysteine using logistic regression in GMDR analysis.

a P<0.05 vs. control group. GMDR, generalized multifactor dimensionality reduction.

Association of clinical variables with promoter methylation

Methylation of CpG2 was significantly higher (adjusted P=0.018) in healthy males compared with healthy females, with frequency 36.21±2.21% and 34.71±1.40%, respectively. In contrast, CpG5 methylation was significantly lower (adjusted P=0.032) in males (10.97±4.28%) compared with females (13.91±3.66%) following adjusting for confounding factors (Table III; Fig. 4). As presented in Table I, significant differences between hypertensive and healthy subjects were also detected in age (P=2.02×10−5), smoking (P=0.041), BMI (P=0.001), triglyceride (P=0.027), HDL (P=3.32×10−9), uric acid (P=0.009) and Hcy (P=0.018). Therefore, a multiple linear regression was used to test whether these clinical variables were associated with ACE2 methylation in healthy controls. However, no significant difference was identified (data not shown).

Figure 4.

Difference in angiotensin I converting enzyme 2 methylation between healthy males (n=38) and healthy females (n=58). P-values were adjusted by logistical regression for age, smoking, drinking, body mass index, triglycerides, high-density lipoprotein, uric acid and homocysteine.

Table III.

Angiotensin I converting enzyme 2 CpG methylation in healthy males (n=38) and females (n=58).

Table III.

Angiotensin I converting enzyme 2 CpG methylation in healthy males (n=38) and females (n=58).

CharacteristicMalesFemales t/χ2P-value
Age (years)55.55±10.7956.83±6.06−0.660.51
Smoking (Y/N)17/210/5831.53           1.96×10−8b
Drinking (Y/N)21/1710/4815.18           9.77×10−5b
BMI (kg/m2)23.11±2.3521.54±2.053.46     0.001b
Total cholesterol (mmol/l)5.07±1.075.27±0.76−1.06   0.293
Triglycerides (mmol/l)1.44±0.871.06±0.472.46     0.017b
Glucose (mmol/l)4.86±1.204.94±0.330.43   0.669
ALT (IU/l)27.05±14.2925.98±17.290.32   0.752
HDL (mmol/l)5.16±6.589.85±5.44−3.79           2.62×10−4b
LDL (mmol/l)3.20±1.053.21±0.73−0.07   0.942
Uric acid (mmol/l)352.36±2.18266.23±50.486.88             6.52×10−10b
Hcy (µmol/l)12.07±8.189.21±1.172.14     0.039b
CpG1 methylation (%)70.92±5.5167.86±4.442.87     0.190a
CpG2 methylation (%)36.21±2.2134.71±1.403.73       0.018a,b
CpG3 methylation (%)23.42±3.0623.02±4.890.45     0.202a
CpG4 methylation (%)97.39±7.0997.67±4.52−0.24     0.124a
CpG5 methylation (%)10.97±4.2813.91±3.66−3.60       0.032a,b

{ label (or @symbol) needed for fn[@id='tfn6-mmr-15-06-3905'] } Data are presented as the mean ± standard deviation.

a P-values were adjusted by logistic regression for age, smoking, drinking, body mass index, triglycerides, HDL, uric acid and Hcy.

b P<0.05 vs. control group. Y, yes; N, no; ALT, alanine transaminase; HDL, high-density lipoprotein; LDL, low-density lipoprotein; Hcy, homocysteine.

Discussion

Previous studies have demonstrated that ACE2 polymorphisms are associated with risk of EH (9,10). Therefore, it is possible that aberrant methylation of the ACE2 promoter may also contribute to this risk. The results of the present study indicated that CpG4 and CpG5 in the ACE2 promoter were hypermethylated in patients with EH and a significant interaction among the five CpG sites was observed. Furthermore, the present study determined that methylation of CpG2 and CpG5 was significantly different between males and females. The observations of the present study elucidated the underlying mechanism of the pathogenesis of EH.

ACE2 counterbalances the effect of RAS by degrading the vasoconstrictor angiotensin II, and generating the vasodilators Ang 1–7 (7). Since its discovery in 2000 (5,6), ACE2 has been identified as a candidate gene that may be responsible for the development of EH and to the best of our knowledge, the present study was the first to examine the association between EH and the methylation status of the ACE2 promoter. Promoter hypermethylation inactivates transcription, whereas hypomethylation promotes active transcription (12). A previous study determined that promoter hypomethylation upregulated AGTR1 expression, a key gene in RAS that was closely associated with EH (25). Therefore, hypermethylation of CpG4 and CpG5 in the ACE2 promoter may reduce expression, promoting EH pathogenesis. However, as no expression analysis was performed in the current study, the observations are only correlative and not causal. Ongoing expression analysis is required to confirm the present findings.

As EH is a multifactorial disease, gene-gene and gene-environment interactions contribute to its onset and progression. However, due to the ‘curse of dimensionality,’ traditional statistical methods are unsuitable to detect these potential interactions. Non-parametric methods that do not require genetic models have been previously used to identify high-order interactions efficiently. One such method is GMDR, which accommodates qualitative and quantitative phenotypes, adjusts for discrete and continuous covariates and enhances prediction accuracy (24). Using this method, the present study detected a significant five-order interaction among the five CpG sites in the ACE2 promoter, an interaction that may contribute to the risk of EH. It is of note that there may be a 7.33-fold increased risk of developing EH in individuals with hypermethylation of all five CpG sites (OR=7.33). Nevertheless, this interaction is purely theoretical at present, based on statistical analyses, and it is only descriptive of variations in the population (24). The physiological relevance of such an interaction, if any, remains to be elucidated and should be investigated in future experiments.

It is of note, that as the ACE2 gene is located on the X chromosome and the prevalence and progression of EH, and the methylation of hypertension-associated genes have been determined to display sex differences (17,26). In order to maintain equal gene expression between males and females, one female X chromosome is randomly inactivated, a process termed X-inactivation (27). The inactive female X chromosome has higher methylation levels compared with the active female X chromosome in promoter CpG islands (28). However, the ACE2 gene location on Xp22 encompasses an area where genes are reported to escape from X-inactivation (29), which may lead to the methylation differences of ACE2 CpG2 and CpG5 between the two sexes observed in the current study. In addition, sex-specific hormones that modify DNA methylation (30) and sex differences in non-heritable risk factors for EH, including alcohol consumption, smoking, physical activity and a high-sodium diet, may also alter ACE2 methylation levels (31–34). Additionally, it is possible that site-specific differences, as observed between males and females in CpG2 and CpG5 methylation, may be due to heterogeneity in methylation of different CpG sites in the same promoter (35–38). This heterogeneity is biologically relevant; however, the mechanisms that drive site-specific methylation remain to be elucidated. It is of note that no association between ACE2 methylation and other clinical variables such as age and BMI was observed, therefore further investigation is required to confirm this result.

The present study had numerous strengths, and was able to draw conclusions by adjusting for confounding factors through the use of logistic and multiple linear regression and by overcoming the ‘curse of dimensionality’ through GMDR models. However, the following limitations have been identified: i) Cause-effect association between methylation of the ACE2 promoter and EH remains to be determined, as the survey was a case-control study; ii) only a fragment of the CpG island in the ACE2 promoter was analyzed; iii) the statistical analysis controlled for certain confounding factors, however, it is possible that other confounding factors that influence ACE2 methylation may have not been accounted for; iv) peripheral blood is a surrogate tissue for epigenetic studies, although previous studies have indicated that CpG methylation patterns are similar between peripheral blood and other tissues (39,40), as DNA methylation, may vary across tissues, similar analysis of ACE2 methylation in other tissues may be required; and v) no expression analysis was performed in the present study. Therefore, the observations of the current study can only be regarded as correlative. Ongoing expression analysis is required to confirm the results of the present study.

In conclusion, the observations of the present study provided evidence of the association between EH and hypermethylation of CpG4 and CpG5 in the ACE2 promoter and the interactions among CpG1-CpG5. It is of note, that methylation of ACE2 CpG5 may have predictive potential as a tool to estimate risk of EH in patients. Additionally, sex may affect ACE2 methylation. These observations further understanding of the pathogenesis of EH and may aid in the improvement of the diagnosis and treatment of patients with EH.

Acknowledgements

The present study was supported by the National Natural Science Foundation of China (grant no. 81373094), the K. C. Wong Magna Fund in Ningbo University, Ningbo Scientific Innovation Team for Environmental Hazardous Factor Control and Prevention (grant no. 2016C51001), Zhejiang Province Social development Research Project (grant no. 2016C33178), Ningbo Social Development Research Project (grant no. 2014C50051), Outstanding (Postgraduate) Dissertation Growth Foundation of Ningbo University (grant no. py2014015), and the Scientific Research Innovation Foundation of Ningbo University (grant no. G15070).

References

1 

Li D, Lv J, Liu F, Liu P, Yang X, Feng Y, Chen G and Hao M: Hypertension burden and control in mainland China: Analysis of nationwide data 2003–2012. Int J Cardiol. 184:637–644. 2015. View Article : Google Scholar : PubMed/NCBI

2 

Kearney PM, Whelton M, Reynolds K, Muntner P, Whelton PK and He J: Global burden of hypertension: Analysis of worldwide data. Lancet. 365:217–223. 2005. View Article : Google Scholar : PubMed/NCBI

3 

Pausova Z, Tremblay J and Hamet P: Gene-environment interactions in hypertension. Curr Hypertens Rep. 1:42–50. 1999. View Article : Google Scholar : PubMed/NCBI

4 

Zhu X, Chang YP, Yan D, Weder A, Cooper R, Luke A, Kan D and Chakravarti A: Associations between hypertension and genes in the renin-angiotensin system. Hypertension. 41:1027–1034. 2003. View Article : Google Scholar : PubMed/NCBI

5 

Donoghue M, Hsieh F, Baronas E, Godbout K, Gosselin M, Stagliano N, Donovan M, Woolf B, Robison K, Jeyaseelan R, et al: A novel angiotensin-converting enzyme-related carboxypeptidase (ACE2) converts angiotensin I to angiotensin 1–9. Circ Res. 87:E1–E9. 2000. View Article : Google Scholar : PubMed/NCBI

6 

Tipnis SR, Hooper NM, Hyde R, Karran E, Christie G and Turner AJ: A human homolog of angiotensin-converting enzyme. Cloning and functional expression as a captopril-insensitive carboxypeptidase. J Biol Chem. 275:33238–33243. 2000. View Article : Google Scholar : PubMed/NCBI

7 

Tallant EA and Clark MA: Molecular mechanisms of inhibition of vascular growth by angiotensin-(1–7). Hypertension. 42:574–579. 2003. View Article : Google Scholar : PubMed/NCBI

8 

Yagil Y and Yagil C: Hypothesis: ACE2 modulates blood pressure in the mammalian organism. Hypertension. 41:871–873. 2003. View Article : Google Scholar : PubMed/NCBI

9 

Lu N, Yang Y, Wang Y, Liu Y, Fu G, Chen D, Dai H, Fan X, Hui R and Zheng Y: ACE2 gene polymorphism and essential hypertension: An updated meta-analysis involving 11,051 subjects. Mol Biol Rep. 39:6581–6589. 2012. View Article : Google Scholar : PubMed/NCBI

10 

Patel SK, Wai B, Ord M, MacIsaac RJ, Grant S, Velkoska E, Panagiotopoulos S, Jerums G, Srivastava PM and Burrell LM: Association of ACE2 genetic variants with blood pressure, left ventricular mass, and cardiac function in Caucasians with type 2 diabetes. Am J Hypertens. 25:216–222. 2012. View Article : Google Scholar : PubMed/NCBI

11 

Razin A, Webb C, Szyf M, Yisraeli J, Rosenthal A, Naveh-Many T, Sciaky-Gallili N and Cedar H: Variations in DNA methylation during mouse cell differentiation in vivo and in vitro. Proc Natl Acad Sci USA. 81:pp. 2275–2279. 1984; View Article : Google Scholar : PubMed/NCBI

12 

Deaton AM and Bird A: CpG islands and the regulation of transcription. Genes Dev. 25:1010–1022. 2011. View Article : Google Scholar : PubMed/NCBI

13 

Bogdarina I, Welham S, King PJ, Burns SP and Clark AJ: Epigenetic modification of the renin-angiotensin system in the fetal programming of hypertension. Circ Res. 100:520–526. 2007. View Article : Google Scholar : PubMed/NCBI

14 

Rangel M, dos Santos JC, Ortiz PH, Hirata M, Jasiulionis MG, Araujo RC, Ierardi DF and Mdo C Franco: Modification of epigenetic patterns in low birth weight children: Importance of hypomethylation of the ACE gene promoter. PLoS One. 9:e1061382014. View Article : Google Scholar : PubMed/NCBI

15 

Wang F, Demura M, Cheng Y, Zhu A, Karashima S, Yoneda T, Demura Y, Maeda Y, Namiki M, Ono K, et al: Dynamic CCAAT/enhancer binding protein-associated changes of DNA methylation in the angiotensinogen gene. Hypertension. 63:281–288. 2014. View Article : Google Scholar : PubMed/NCBI

16 

Fan R, Mao S, Zhong F, Gong M, Yin F, Hao L and Zhang L: Association of AGTR1 promoter methylation levels with essential hypertension risk: A matched case-control study. Cytogenet Genome Res. 147:95–102. 2015. View Article : Google Scholar : PubMed/NCBI

17 

Zhang LN, Liu PP, Wang L, Yuan F, Xu L, Xin Y, Fei LJ, Zhong QL, Huang Y, Xu L, et al: Lower ADD1 gene promoter DNA methylation increases the risk of essential hypertension. PLoS One. 8:e634552013. View Article : Google Scholar : PubMed/NCBI

18 

Fan R, Wang WJ, Zhong QL, Duan SW, Xu XT, Hao LM, Zhao J and Zhang LN: Aberrant methylation of the GCK gene body is associated with the risk of essential hypertension. Mol Med Rep. 12:2390–2394. 2015.PubMed/NCBI

19 

European Society of Hypertension-European Society of Cardiology Guidelines Committee, . 2003 European Society of Hypertension-European Society of Cardiology guidelines for the management of arterial hypertension. J Hypertens. 21:1011–1053. 2003. View Article : Google Scholar : PubMed/NCBI

20 

Perloff D, Grim C, Flack J, Frohlich ED, Hill M, McDonald M and Morgenstern BZ: Human blood pressure determination by sphygmomanometry. Circulation. 88:2460–2470. 1993. View Article : Google Scholar : PubMed/NCBI

21 

Bassil CF, Huang Z and Murphy SK: Bisulfite pyrosequencing. Methods Mol Biol. 1049:95–107. 2013. View Article : Google Scholar : PubMed/NCBI

22 

Li LC and Dahiya R: MethPrimer: Designing primers for methylation PCRs. Bioinformatics. 18:1427–1431. 2002. View Article : Google Scholar : PubMed/NCBI

23 

Mikeska T, Felsberg J, Hewitt CA and Dobrovic A: Analysing DNA methylation using bisulphite pyrosequencing. Methods Mol Biol. 791:33–53. 2011. View Article : Google Scholar : PubMed/NCBI

24 

Lou XY, Chen GB, Yan L, Ma JZ, Zhu J, Elston RC and Li MD: A generalized combinatorial approach for detecting gene-by-gene and gene-by-environment interactions with application to nicotine dependence. Am J Hum Genet. 80:1125–1137. 2007. View Article : Google Scholar : PubMed/NCBI

25 

Pei F, Wang X, Yue R, Chen C, Huang J, Huang J, Li X and Zeng C: Differential expression and DNA methylation of angiotensin type 1A receptors in vascular tissues during genetic hypertension development. Mol Cell Biochem. 402:1–8. 2015. View Article : Google Scholar : PubMed/NCBI

26 

Jiang D, Zheng D, Wang L, Huang Y, Liu H, Xu L, Liao Q, Liu P, Shi X, Wang Z, et al: Elevated PLA2G7 gene promoter methylation as a gender-specific marker of aging increases the risk of coronary heart disease in females. PLoS One. 8:e597522013. View Article : Google Scholar : PubMed/NCBI

27 

Berletch JB, Yang F, Xu J, Carrel L and Disteche CM: Genes that escape from X inactivation. Hum Genet. 130:237–245. 2011. View Article : Google Scholar : PubMed/NCBI

28 

Hellman A and Chess A: Gene body-specific methylation on the active X chromosome. Science. 315:1141–1143. 2007. View Article : Google Scholar : PubMed/NCBI

29 

Carrel L and Willard HF: X-inactivation profile reveals extensive variability in X-linked gene expression in females. Nature. 434:400–404. 2005. View Article : Google Scholar : PubMed/NCBI

30 

Sebag IA, Gillis MA, Calderone A, Kasneci A, Meilleur M, Haddad R, Noiles W, Patel B and Chalifour LE: Sex hormone control of left ventricular structure/function: Mechanistic insights using echocardiography, expression, and DNA methylation analyses in adult mice. Am J Physiol Heart Circ Physiol. 301:H1706–H1715. 2011. View Article : Google Scholar : PubMed/NCBI

31 

Christensen BC, Houseman EA, Marsit CJ, Zheng S, Wrensch MR, Wiemels JL, Nelson HH, Karagas MR, Padbury JF, Bueno R, et al: Aging and environmental exposures alter tissue-specific DNA methylation dependent upon CpG island context. PLoS Genet. 5:e10006022009. View Article : Google Scholar : PubMed/NCBI

32 

Breitling LP, Yang R, Korn B, Burwinkel B and Brenner H: Tobacco-smoking-related differential DNA methylation: 27K discovery and replication. Am J Hum Genet. 88:450–457. 2011. View Article : Google Scholar : PubMed/NCBI

33 

Philibert RA, Plume JM, Gibbons FX, Brody GH and Beach SR: The impact of recent alcohol use on genome wide DNA methylation signatures. Front Genet. 3:542012. View Article : Google Scholar : PubMed/NCBI

34 

Ronn T, Volkov P, Davegårdh C, Dayeh T, Hall E, Olsson AH, Nilsson E, Tornberg A, Nitert M Dekker, Eriksson KF, et al: A six months exercise intervention influences the genome-wide DNA methylation pattern in human adipose tissue. PLoS Genet. 9:e10035722013. View Article : Google Scholar : PubMed/NCBI

35 

Alexeeff SE, Baccarelli AA, Halonen J, Coull BA, Wright RO, Tarantini L, Bollati V, Sparrow D, Vokonas P and Schwartz J: Association between blood pressure and DNA methylation of retrotransposons and pro-inflammatory genes. Int J Epidemiol. 42:270–280. 2013. View Article : Google Scholar : PubMed/NCBI

36 

Ishida K, Kobayashi T, Ito S, Komatsu Y, Yokoyama T, Okada M, Abe A, Murasawa A and Yoshie H: Interleukin-6 gene promoter methylation in rheumatoid arthritis and chronic periodontitis. J Periodontol. 83:917–925. 2012. View Article : Google Scholar : PubMed/NCBI

37 

Pogribny IP, Pogribna M, Christman JK and James SJ: Single-site methylation within the p53 promoter region reduces gene expression in a reporter gene construct: Possible in vivo relevance during tumorigenesis. Cancer Res. 60:588–594. 2000.PubMed/NCBI

38 

Zou B, Chim CS, Zeng H, Leung SY, Yang Y, Tu SP, Lin MC, Wang J, He H, Jiang SH, et al: Correlation between the single-site CpG methylation and expression silencing of the XAF1 gene in human gastric and colon cancers. Gastroenterology. 131:1835–1843. 2006. View Article : Google Scholar : PubMed/NCBI

39 

Fan S and Zhang X: CpG island methylation pattern in different human tissues and its correlation with gene expression. Biochem Biophys Res Commun. 383:421–425. 2009. View Article : Google Scholar : PubMed/NCBI

40 

Mirza S, Sharma G, Parshad R, Srivastava A, Gupta SD and Ralhan R: Clinical significance of promoter hypermethylation of ERβ and RARβ2 in tumor and serum DNA in Indian breast cancer patients. Ann Surg Oncol. 19:3107–3115. 2012. View Article : Google Scholar : PubMed/NCBI

Related Articles

  • Abstract
  • View
  • Download
  • Twitter
Copy and paste a formatted citation
Spandidos Publications style
Fan R, Mao SQ, Gu TL, Zhong FD, Gong ML, Hao LM, Yin FY, Dong CZ and Zhang LN: Preliminary analysis of the association between methylation of the ACE2 promoter and essential hypertension. Mol Med Rep 15: 3905-3911, 2017.
APA
Fan, R., Mao, S., Gu, T., Zhong, F., Gong, M., Hao, L. ... Zhang, L. (2017). Preliminary analysis of the association between methylation of the ACE2 promoter and essential hypertension. Molecular Medicine Reports, 15, 3905-3911. https://doi.org/10.3892/mmr.2017.6460
MLA
Fan, R., Mao, S., Gu, T., Zhong, F., Gong, M., Hao, L., Yin, F., Dong, C., Zhang, L."Preliminary analysis of the association between methylation of the ACE2 promoter and essential hypertension". Molecular Medicine Reports 15.6 (2017): 3905-3911.
Chicago
Fan, R., Mao, S., Gu, T., Zhong, F., Gong, M., Hao, L., Yin, F., Dong, C., Zhang, L."Preliminary analysis of the association between methylation of the ACE2 promoter and essential hypertension". Molecular Medicine Reports 15, no. 6 (2017): 3905-3911. https://doi.org/10.3892/mmr.2017.6460
Copy and paste a formatted citation
x
Spandidos Publications style
Fan R, Mao SQ, Gu TL, Zhong FD, Gong ML, Hao LM, Yin FY, Dong CZ and Zhang LN: Preliminary analysis of the association between methylation of the ACE2 promoter and essential hypertension. Mol Med Rep 15: 3905-3911, 2017.
APA
Fan, R., Mao, S., Gu, T., Zhong, F., Gong, M., Hao, L. ... Zhang, L. (2017). Preliminary analysis of the association between methylation of the ACE2 promoter and essential hypertension. Molecular Medicine Reports, 15, 3905-3911. https://doi.org/10.3892/mmr.2017.6460
MLA
Fan, R., Mao, S., Gu, T., Zhong, F., Gong, M., Hao, L., Yin, F., Dong, C., Zhang, L."Preliminary analysis of the association between methylation of the ACE2 promoter and essential hypertension". Molecular Medicine Reports 15.6 (2017): 3905-3911.
Chicago
Fan, R., Mao, S., Gu, T., Zhong, F., Gong, M., Hao, L., Yin, F., Dong, C., Zhang, L."Preliminary analysis of the association between methylation of the ACE2 promoter and essential hypertension". Molecular Medicine Reports 15, no. 6 (2017): 3905-3911. https://doi.org/10.3892/mmr.2017.6460
Follow us
  • Twitter
  • LinkedIn
  • Facebook
About
  • Spandidos Publications
  • Careers
  • Cookie Policy
  • Privacy Policy
How can we help?
  • Help
  • Live Chat
  • Contact
  • Email to our Support Team