Spandidos Publications Logo
  • About
    • About Spandidos
    • Aims and Scopes
    • Abstracting and Indexing
    • Editorial Policies
    • Reprints and Permissions
    • Job Opportunities
    • Terms and Conditions
    • Contact
  • Journals
    • All Journals
    • Oncology Letters
      • Oncology Letters
      • Information for Authors
      • Editorial Policies
      • Editorial Board
      • Aims and Scope
      • Abstracting and Indexing
      • Bibliographic Information
      • Archive
    • International Journal of Oncology
      • International Journal of Oncology
      • Information for Authors
      • Editorial Policies
      • Editorial Board
      • Aims and Scope
      • Abstracting and Indexing
      • Bibliographic Information
      • Archive
    • Molecular and Clinical Oncology
      • Molecular and Clinical Oncology
      • Information for Authors
      • Editorial Policies
      • Editorial Board
      • Aims and Scope
      • Abstracting and Indexing
      • Bibliographic Information
      • Archive
    • Experimental and Therapeutic Medicine
      • Experimental and Therapeutic Medicine
      • Information for Authors
      • Editorial Policies
      • Editorial Board
      • Aims and Scope
      • Abstracting and Indexing
      • Bibliographic Information
      • Archive
    • International Journal of Molecular Medicine
      • International Journal of Molecular Medicine
      • Information for Authors
      • Editorial Policies
      • Editorial Board
      • Aims and Scope
      • Abstracting and Indexing
      • Bibliographic Information
      • Archive
    • Biomedical Reports
      • Biomedical Reports
      • Information for Authors
      • Editorial Policies
      • Editorial Board
      • Aims and Scope
      • Abstracting and Indexing
      • Bibliographic Information
      • Archive
    • Oncology Reports
      • Oncology Reports
      • Information for Authors
      • Editorial Policies
      • Editorial Board
      • Aims and Scope
      • Abstracting and Indexing
      • Bibliographic Information
      • Archive
    • Molecular Medicine Reports
      • Molecular Medicine Reports
      • Information for Authors
      • Editorial Policies
      • Editorial Board
      • Aims and Scope
      • Abstracting and Indexing
      • Bibliographic Information
      • Archive
    • World Academy of Sciences Journal
      • World Academy of Sciences Journal
      • Information for Authors
      • Editorial Policies
      • Editorial Board
      • Aims and Scope
      • Abstracting and Indexing
      • Bibliographic Information
      • Archive
    • International Journal of Functional Nutrition
      • International Journal of Functional Nutrition
      • Information for Authors
      • Editorial Policies
      • Editorial Board
      • Aims and Scope
      • Abstracting and Indexing
      • Bibliographic Information
      • Archive
    • International Journal of Epigenetics
      • International Journal of Epigenetics
      • Information for Authors
      • Editorial Policies
      • Editorial Board
      • Aims and Scope
      • Abstracting and Indexing
      • Bibliographic Information
      • Archive
    • Medicine International
      • Medicine International
      • Information for Authors
      • Editorial Policies
      • Editorial Board
      • Aims and Scope
      • Abstracting and Indexing
      • Bibliographic Information
      • Archive
  • Articles
  • Information
    • Information for Authors
    • Information for Reviewers
    • Information for Librarians
    • Information for Advertisers
    • Conferences
  • Language Editing
Spandidos Publications Logo
  • About
    • About Spandidos
    • Aims and Scopes
    • Abstracting and Indexing
    • Editorial Policies
    • Reprints and Permissions
    • Job Opportunities
    • Terms and Conditions
    • Contact
  • Journals
    • All Journals
    • Biomedical Reports
      • Information for Authors
      • Editorial Policies
      • Editorial Board
      • Aims and Scope
      • Abstracting and Indexing
      • Bibliographic Information
      • Archive
    • Experimental and Therapeutic Medicine
      • Information for Authors
      • Editorial Policies
      • Editorial Board
      • Aims and Scope
      • Abstracting and Indexing
      • Bibliographic Information
      • Archive
    • International Journal of Epigenetics
      • Information for Authors
      • Editorial Policies
      • Editorial Board
      • Aims and Scope
      • Abstracting and Indexing
      • Bibliographic Information
      • Archive
    • International Journal of Functional Nutrition
      • Information for Authors
      • Editorial Policies
      • Editorial Board
      • Aims and Scope
      • Abstracting and Indexing
      • Bibliographic Information
      • Archive
    • International Journal of Molecular Medicine
      • Information for Authors
      • Editorial Policies
      • Editorial Board
      • Aims and Scope
      • Abstracting and Indexing
      • Bibliographic Information
      • Archive
    • International Journal of Oncology
      • Information for Authors
      • Editorial Policies
      • Editorial Board
      • Aims and Scope
      • Abstracting and Indexing
      • Bibliographic Information
      • Archive
    • Medicine International
      • Information for Authors
      • Editorial Policies
      • Editorial Board
      • Aims and Scope
      • Abstracting and Indexing
      • Bibliographic Information
      • Archive
    • Molecular and Clinical Oncology
      • Information for Authors
      • Editorial Policies
      • Editorial Board
      • Aims and Scope
      • Abstracting and Indexing
      • Bibliographic Information
      • Archive
    • Molecular Medicine Reports
      • Information for Authors
      • Editorial Policies
      • Editorial Board
      • Aims and Scope
      • Abstracting and Indexing
      • Bibliographic Information
      • Archive
    • Oncology Letters
      • Information for Authors
      • Editorial Policies
      • Editorial Board
      • Aims and Scope
      • Abstracting and Indexing
      • Bibliographic Information
      • Archive
    • Oncology Reports
      • Information for Authors
      • Editorial Policies
      • Editorial Board
      • Aims and Scope
      • Abstracting and Indexing
      • Bibliographic Information
      • Archive
    • World Academy of Sciences Journal
      • Information for Authors
      • Editorial Policies
      • Editorial Board
      • Aims and Scope
      • Abstracting and Indexing
      • Bibliographic Information
      • Archive
  • Articles
  • Information
    • For Authors
    • For Reviewers
    • For Librarians
    • For Advertisers
    • Conferences
  • Language Editing
Login Register Submit
  • This site uses cookies
  • You can change your cookie settings at any time by following the instructions in our Cookie Policy. To find out more, you may read our Privacy Policy.

    I agree
Search articles by DOI, keyword, author or affiliation
Search
Advanced Search
presentation
Molecular Medicine Reports
Join Editorial Board Propose a Special Issue
Print ISSN: 1791-2997 Online ISSN: 1791-3004
Journal Cover
August-2017 Volume 16 Issue 2

Full Size Image

Sign up for eToc alerts
Recommend to Library

Journals

International Journal of Molecular Medicine

International Journal of Molecular Medicine

International Journal of Molecular Medicine is an international journal devoted to molecular mechanisms of human disease.

International Journal of Oncology

International Journal of Oncology

International Journal of Oncology is an international journal devoted to oncology research and cancer treatment.

Molecular Medicine Reports

Molecular Medicine Reports

Covers molecular medicine topics such as pharmacology, pathology, genetics, neuroscience, infectious diseases, molecular cardiology, and molecular surgery.

Oncology Reports

Oncology Reports

Oncology Reports is an international journal devoted to fundamental and applied research in Oncology.

Experimental and Therapeutic Medicine

Experimental and Therapeutic Medicine

Experimental and Therapeutic Medicine is an international journal devoted to laboratory and clinical medicine.

Oncology Letters

Oncology Letters

Oncology Letters is an international journal devoted to Experimental and Clinical Oncology.

Biomedical Reports

Biomedical Reports

Explores a wide range of biological and medical fields, including pharmacology, genetics, microbiology, neuroscience, and molecular cardiology.

Molecular and Clinical Oncology

Molecular and Clinical Oncology

International journal addressing all aspects of oncology research, from tumorigenesis and oncogenes to chemotherapy and metastasis.

World Academy of Sciences Journal

World Academy of Sciences Journal

Multidisciplinary open-access journal spanning biochemistry, genetics, neuroscience, environmental health, and synthetic biology.

International Journal of Functional Nutrition

International Journal of Functional Nutrition

Open-access journal combining biochemistry, pharmacology, immunology, and genetics to advance health through functional nutrition.

International Journal of Epigenetics

International Journal of Epigenetics

Publishes open-access research on using epigenetics to advance understanding and treatment of human disease.

Medicine International

Medicine International

An International Open Access Journal Devoted to General Medicine.

Journal Cover
August-2017 Volume 16 Issue 2

Full Size Image

Sign up for eToc alerts
Recommend to Library

  • Article
  • Citations
    • Cite This Article
    • Download Citation
    • Create Citation Alert
    • Remove Citation Alert
    • Cited By
  • Similar Articles
    • Related Articles (in Spandidos Publications)
    • Similar Articles (Google Scholar)
    • Similar Articles (PubMed)
  • Download PDF
  • Download XML
  • View XML
Article

Protective effect of lutein on ARPE-19 cells upon H2O2-induced G2/M arrest

  • Authors:
    • Huijun Liu
    • Weiwei Liu
    • Xin Zhou
    • Chongde Long
    • Xielan Kuang
    • Jie Hu
    • Yan Tang
    • Lanying Liu
    • Jia He
    • Zixin Huang
    • Yuting Fan
    • Guorong Jin
    • Qingjiong Zhang
    • Huangxuan Shen
  • View Affiliations / Copyright

    Affiliations: State Key Laboratory of Ophthalmology, Zhongshan Ophthalmic Center, Sun Yat‑sen University, Guangzhou, Guangdong 510060, P.R. China
  • Pages: 2069-2074
    |
    Published online on: June 21, 2017
       https://doi.org/10.3892/mmr.2017.6838
  • Expand metrics +
Metrics: Total Views: 0 (Spandidos Publications: | PMC Statistics: )
Metrics: Total PDF Downloads: 0 (Spandidos Publications: | PMC Statistics: )
Cited By (CrossRef): 0 citations Loading Articles...

This article is mentioned in:


Abstract

Oxidative damage is a key factor for the pathogenesis of age‑related macular degeneration (AMD), therefore, anti-oxidative stress is a valuable method for the prevention or treatment of AMD. The aim of the present study was to reveal the protective mechanism of lutein on retinal pigment epithelium (RPE) cells subjected to oxidative stress. Acute retinal pigment epithelial 19 (ARPE‑19) cells were exposed to oxidative stress induced by H2O2 following lutein pretreatment. The activities of caspases, level of intracellular reactive oxygen species (ROS) and cell cycle were analyzed using flow cytometry. The expression levels of cell cycle regulatory proteins and inflammation‑associated genes were detected using western blot and reverse transcription‑polymerase chain reaction analyses, respectively. The data showed that oxidative stress reduced cell viability, and increased total apoptosis and ROS generation, however, lutein prevented cells from oxidative stress‑induced damage. In addition, oxidative damage triggered G2/M phase arrest of the ARPE‑19 cells, which was reversed by lutein in a concentration‑dependent manner, through the activation of cyclin‑dependent kinase 1 and cell division cycle 25C, and degradation of cyclin B1. These results demonstrated that lutein may be an effective antioxidant, which can be applied in the prevention of AMD, or other age-related diseases associated with oxidative damage.

Introduction

Age-related macular degeneration (AMD) is the leading cause of visual loss among individuals >65 years of age in developed countries (1). The most common type of AMD, also termed the ‘dry-type’, is initiated by the death of retinal pigment epithelium (RPE) cells and eventually results in the degeneration of photoreceptors, which leads to visual loss (2,3). AMD is a multifactorial disease; aging, genetic background, cigarette smoking, oxidative damage and chronic inflammation are all factors, which contribute to its onset and progression (4–6).

It is well established that oxidative stress is important in the pathogenesis of AMD (7,8). The retina requires a higher oxygen concentration, compared with other organs, in order to maintain the high metabolic rate of photoreceptors. The higher the level of oxygen consumed, the more reactive oxygen species (ROS) is produced. In addition, the daily phagocytosis of shed photoreceptor outer segments leads to the generation of free radicals and toxic oxidized materials in RPE cells. Therefore, RPE cells are susceptible to long-term oxidative stress, and oxidative stress induces the dysfunction of RPE cells, contributing to the development of AMD (2,9). There remains no effective treatment for the dominant type of AMD, and current interventions are commonly focused on prevention rather than treatment. Antioxidant supplements have been used to reduce the risk of AMD, and dietary lutein is considered to act as a protector against visual impairment from AMD (10).

Lutein is a type of carotenoid, which forms human macular pigments with zeaxanthin in the retina, inhibiting noxious blue light into retina and contributing to strengthening of the antioxidant defense of RPE cells (11,12). The human body cannot synthesize lutein. The sources of lutein are primarily dietary in origin, for example, green leafy vegetables, including spinach and cabbage; fruits, including grapes and kiwis; egg yolks, and corn (13). It is reported that the risks of the onset and progression of AMD are negatively correlated with lutein concentration in the macula (5,14).

Lutein has already been used in the healthcare setting (15), however, the exact molecular mechanism underlying the protective effect of lutein against stress remains to be fully elucidated. To better understand the function of lutein, the present study aimed to examine its underlying mechanism and widen its areas of application.

Materials and methods

Cell culture

The acute retinal pigment epithelial 19 (ARPE-19) human RPE cell line was obtained from the American Type Culture Collection (Manassas, VA, USA). The cells were cultured in high glucose Dulbecco's modified Eagle's medium (DMEM; HyClone; GE Healthcare Life Sciences, Logan, UT, USA) with 10% fetal bovine serum (Thermo Fisher Scientific, Inc., Waltham, MA, USA), penicillin (100 U/ml) and streptomycin (50 U/ml) in a 5% CO2-humidified environment at 37°C.

Lutein and H2O2 treatment

The cells were seeded at a density of 4×103 per well in 96-well plates and 8×105 per dish in 60 mm dishes, and then cultured with lutein (Aladdin Chemical Co., Ltd., Shanghai, China) at concentrations of 0, 1, 5, 10 and 15 µM for 12 h at 37°C. Lutein was dissolved in dimethyl sulfoxide (DMSO; MP Biomedicals, Illkirch, France) with a stock concentration of 1 mM and maintained in the dark. Following washing once with PBS, the RPE cells were incubated in culture media containing 0, 200, 400, 600, 800, 1,000, 1,200, 1,600 and 2,000 µM H2O2 (Guangzhou Chemical Reagent Factory, Guangzhou, China) for 12 or 24 h at 37°C prior to the specific assays.

3-(4,5-dimethyl-2-thiazolyl)-2,5-diphenyl-2-H-tetrazolium-bromide (MTT) assay

Following treatment with lutein or H2O2, the RPE cells were washed in PBS and incubated at 37°C in DMEM containing 0.25 mg/ml MTT. After 4 h, the MTT solution was removed and 150 µl DMSO was added to each well. The optical densities at 490 nm were read on a microplate spectrophotometer (Biotek Instruments, Inc., Winooski, VT, USA).

Measurement of apoptosis, ROS levels and cell cycle

The RPE cells pretreated with lutein for 24 h were incubated with 800 µM H2O2 for another 24 h. The cell apoptosis, ROS levels and cell cycle were detected using a multicaspase kit, oxidative stress kit and cell cycle kit, respectively (Muse™; Merck Millipore, Darmstadt, Germany). All procedures were performed according to the manufacturer's protocols. The Muse™ Cell Analyzer software (version 1.3) was used for accurate statistical analysis.

Reverse transcription-quantitative polymerase chain reaction (RT-qPCR) analysis

Total RNA was extracted with TRIzol reagent (Takara Bio, Inc., Shiga, Japan). A 1 µg sample of RNA was reverse transcribed using a PrimeScript™ RT reagent kit (Takara Bio, Inc.), and the mixtures were incubated at 37°C for 15 min and 85°C for 5 sec. Subsequently, 1 µl (10 ng/µl) DNA was added to 5 µl SYBR Green I, 0.5 µl (10 µM) forward primer, 0.5 µl (10 µM) reverse primer and 3 µl ddH2O, using the Universal qPCR kit (Kapa Biosystems, Wilmington, MA, USA). The qPCR was performed on a LightCycler® 96 sequence detection system (Roche Diagnostics, Basel, Switzerland) according to the manufacturer's protocol. The LightCycler® 96 application software version 1.1 was used for data collection and analysis. Relative quantitative analysis of interleukin (IL)-6, IL-8 and tumor necrosis factor-α (TNF-α) mRNAs were performed using the 2−ΔΔCq method with normalization to glyceraldehyde-3-phosphate dehydrogenase (GAPDH) mRNA (16). The system settings were as follows: Preincubation at 95°C for 60 sec and amplification at 72°C for 10 sec for 45 cycles, and melting at 97°C for 1 sec. The primer sets were designed as shown in Table I.

Table I.

Primers used for reverse transcription-quantitative polymerase chain reaction analysis.

Table I.

Primers used for reverse transcription-quantitative polymerase chain reaction analysis.

PrimerSequence (5′→3′)
GAPDH F:CCCGCTTCGCTCTCTGCTCC
R:ACCAGGCGCCAATACGACC
IL-6 F:ACAGCCACTCACCTCTTCAG
R:GAAGCATCCATCTTTTTCAGCCA
IL-8 F:GAGCTCTGTCTGGACCCCA
R:TCTTCACTGATTCTTGGATACCA
TNF-α F:GGGACCTCTCTCTAATCAGCC
R:GGTTTCGAAGTGGTGGTCTTG

[i] F, forward; R, reverse; GAPDH, glyceraldehyde-3-phosphate dehydrogenase; IL, interleukin; TNF-α, tumor necrosis factor-α.

Western blot analysis

The cell proteins were extracted on ice using lysis buffer solution (20 mM Tris HCl, 150 mM NaCl, 10% glycerol, 1% NP-40, 2.1 g NaF, 1 mM PMSF, 1 mM Na3VO4, 10 µg/ml aptotin, 2 µg/ml leupeptin and 420 ml H2O) containing phosphatase inhibitor (PhosSTOP; Merck Millipore). Protein concentrations were measured using a bicinchoninic acid assay kit (catalog no. C503021, Sangon Biotech Co., Ltd., Shanghai, China). A total of 20 µg protein from each sample was loaded onto 10% gels and subjected to SDS-PAGE, prior to transfer onto a nitrocellulose membrane for 75 min. The membrane was sealed with 5% defatted milk for 1 h, incubated with primary antibodies at 4°C overnight, and washed with 1X TBST for 10 min three times. The membrane was then incubated with secondary antibodies for 1 h at room temperature and washed with 1X TBST for 10 min three times. The ECL reagent Immobilon™ Western (EMD Millipore, Billerica, MA, USA) was added to the membranes for 1–3 min, and the immunofluorescence reaction was observed using a western blot luminescence imaging system (Tanon-5200; Tanon, Shanghai, China) and image analysis software (Gel Image System Ver. 4.2.5; Tonon). The antibodies used included tubulin α (cat. no. AF7010; Affinity Biotech, Kansas, MO, USA, GAPDH (cat. no. 60004–1-Ig; Proteintech Group, Inc., Wuhan, China), cyclin-dependent kinase 1 (CDK1; cat. no. BM1028; Boster Biotech, Wuhan, China), cyclin B1 (cat. no. BM0766; Boster Biotech) and cell division cycle 25C (CDC25C; cat. no. BM2728; Boster Biotech). The primary antibodies were diluted 1:500 and an anti-mouse IgG horseradish peroxidase-conjugated secondary antibody (catalog. no. 7076S) or an anti-rabbit IgG Alexa Fluor® 555-conjugated secondary antibody (catalog no. 4413) from Cell Signaling Technology, Inc., Danvers, MA, USA, were diluted 1:2,000.

Statistical analysis

Each experiment was performed in triplicate. All analyses were performed using SPSS version 22.0 (IBM SPSS, Armonk, NY, USA). The data are expressed as the mean ± standard deviation and were statistically compared using Student's t-test. P<0.05 was considered to indicate a statistically significant difference.

Results

Cell viability of RPE cells following treatment with lutein and H2O2

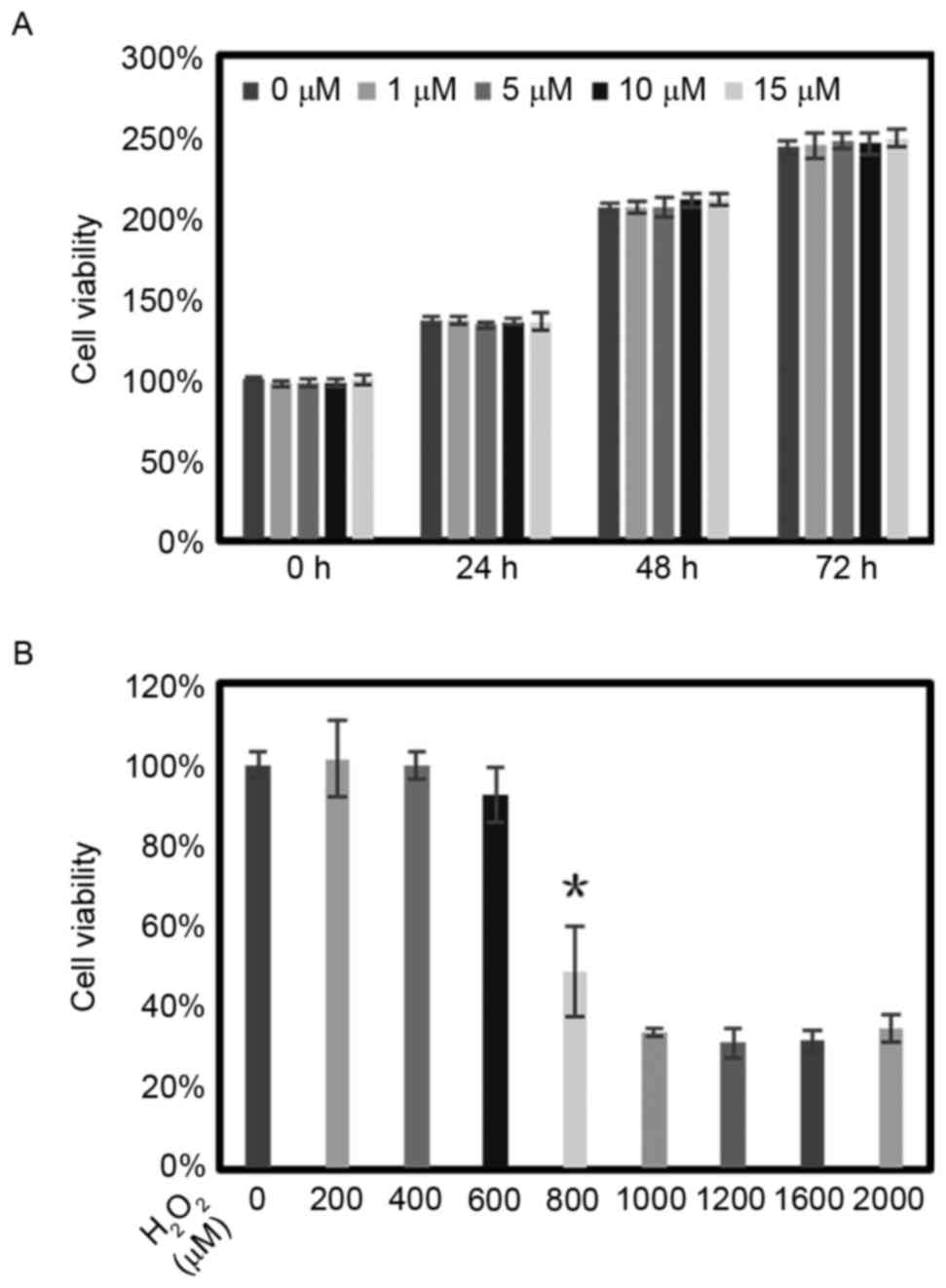
The cytotoxicity of lutein was assessed using an MTT assay for 3 days. Different concentrations of lutein were added to the cultural media of RPE cells. Compared with the control group of RPE cells cultured without treatment, the cell viability and proliferation of the RPE cells remained unchanged with concentrations of lutein up to 15 µM (Fig. 1A).

Figure 1.

Viabilities of RPE cells following lutein and H2O2 treatment. (A) RPE cells were treated with lutein (0, 1, 5, 10 and 15 µM) for 3 days and cell viability was assessed using an MTT assay. (B) Dose-responses of RPE cells to treatment with H2O2 (0–2,000 µM) were detected using an MTT assay, with viabilities expressed as a percentage of the control. *P<0.05 for cell viability reduction by 50%, compared with the control at 24 h. The data are presented as the mean ± standard deviation of results from six samples in each group. RPE, retinal pigment epithelium; MTT, 3-(4,5-dimethyl-2-thiazolyl)-2,5-diphenyl-2-H-tetrazolium-bromide.

The RPE cells were treated with different concentrations of H2O2 (0–2,000 µM) for 24 h. Cell viability was also evaluated using an MTT assay. The results revealed that the cell viability reduced to ~50% of that in the control when the concentration of H2O2 reached 800 µM (Fig. 1B). Based on this result, 800 µM was selected as the concentration for inducing apoptosis and the production of ROS.

Lutein increases cell viability, and decreases apoptosis and ROS in RPE cells exposed to H2O2 stress

In the experiments, H2O2 reduced the cell viability of the RPE cells to 43.66% of the control. Lutein reversed the reduction in cell viability in a dose-dependent manner. When pretreated with lutein at concentrations of 5, 10 and 15 µM, the cell viability of the RPE cells was increased to 49.95, 65.39 and 74.32 of the control, respectively (Fig. 2A).

Figure 2.

Lutein protects RPE cells from cell toxicity, cell apoptosis and intracellular ROS elevation induced by H2O2. (A) Different doses of lutein were added 12 h prior to treating the RPE cells with H2O2. After 24 h, the cell viability was quantified using a 3-(4,5-dimethyl-2-thiazolyl)-2,5-diphenyl-2-H-tetrazolium-bromide assay. RPE cells were treated with lutein (0, 5, 10 and 15 µM) for 12 h and then challenged with H2O2 (800 µM). The levels of (B) caspases and (C) ROS were quantified using flow cytometry. *P<0.05, vs. control; #P<0.05, vs. cells treated with H2O2 only. The experiments were repeated at least three times. RPE, retinal pigment epithelium; ROS, reactive oxygen species.

The expression levels of total caspases in the RPE cells increased to 66.3% when the cells were exposed to H2O2, compared with 11.1% in the control group. Lutein inhibited the increased expression of total caspases in a concentration-dependent manner. Following retreatment with lutein at concentrations of 5 and 10 µM, the expression of total caspases in RPE cells reduced to 49.3 and 26.9%, respectively. (Fig. 2B).

In the RPE cells treated with H2O2, the ROS levels increased to 65.21%, compared with 10.76% in the control group. Lutein reversed the elevation in ROS levels. The ROS levels reduced to 52.8 and 42.4% when the RPE cells were pretreated with 5 and 10 µM lutein, respectively (Fig. 2C).

Lutein increases the expression of IL-6, IL-8 and TNF-α inflammatory cytokines in RPE cells treated with H2O2

In the present study, H2O2 markedly increased the expression levels of the IL-6, IL-8 and TNF-α inflammatory cytokines in the RPE cells (Fig. 3). When the RPE cells were pretreated with lutein at a concentration of 10 µM, the transcription levels of these inflammatory cytokines were also elevated, although pretreatment with lutein at a concentration of 5 µM did not alter the expression of these inflammatory cytokines.

Figure 3.

Lutein increases the expression of inflammatory cytokines in RPE cells exposed to oxidative damage by H2O2. The RPE cells were pretreated with different doses of lutein for 24 h and then exposed to H2O2 for another 24 h. The mRNA levels for IL-6, IL-8 and TNF-α in the treated cells were determined as fold of the control. The data are presented as the mean ± standard deviation of four repeated experiments in each group. *P<0.05, vs. control; #P<0.05, vs. cells treated with H2O2 only. RPE, retinal pigment epithelium; IL, interleukin; TNF-α, tumor necrosis factor-α.

Lutein reduces RPE G2/M phase arrest induced by H2O2

When the concentration of H2O2 reached 400 µM, cell cycle arrest of the RPE cells was observed in the G2/M phase. (Fig. 4A). It was found that, in the RPE cells treated with 600 µM H2O2, the proportion of cells in the G2/M phase was 47.3%, compared with 35.9% in the control group. Lutein reversed the increased proportion of cells in the G2/M phase in a concentration-dependent manner. When the cells were pretreated with 5 and 10 µM lutein, the proportions of RPE cells in the G2/M phase were reduced to 40.8 and 33.4%, respectively (Figs. 4B and 5A).

Figure 4.

Cell cycle phases of RPE cells exposed to H2O2 with or without lutein pretreatment. (A) RPE cells were subjected to 0, 100, 200, 400 and 800 µM of H2O2. Flow cytometry results of cell cycle phases are shown. (B) RPE cells pretreated with lutein (5, 10 and 15 µM) for 24 h were exposed to H2O2 (600 µM) for 24 h. Flow cytometry results of cell cycle phases are shown. All the experiments were repeated three times. RPE, retinal pigment epithelium.

Figure 5.

Lutein attenuates the G2/M phase arrest induced by oxidative stress. (A) RPE cells were pretreated with lutein (0, 5, 10 and 15 µM) for 24 h and then challenged with or without H2O2 for 24 h. A histogram of the cell cycle phases of the RPE cells is shown. (B) Expression levels of CDK1, CDC25C and cyclin B1 were determined using western blot analysis; α-tubulin and GAPDH were used as internal controls. (C) Densitometric analyses of the protein expression levels of CDK1, cyclin B1 and CDC25C from the western blots are shown. *P<0.05, vs. control; #P<0.05 and ##P<0.01, vs. cells treated with H2O2 only. Analysis was repeated at least three times. RPE, retinal pigment epithelium; CDK2, cyclin-dependent kinase 1; CDC25C, cell division cycle 25C; GAPDH, glyceraldehyde-3-phosphate dehydrogenase.

Lutein attenuates RPE cell cycle arrest in the G2/M phase by activating CDK1 and CDC25C, and decreasing cyclin B1

When the RPE cells were treated with H2O2, the expression levels of CDK1 and CDC25C were inhibited, and the protein expression of of cyclin B1 was increased in the cells. However, the inactivation of CDK1 and CDC25C, and increase of cyclin B1 were attenuated when lutein was added to the cells (Fig. 5B and C).

Discussion

In the present study, it was demonstrated that the oxidative stress triggered by H2O2 decreased cell viability, increased intracellular ROS and increased apoptosis in RPE cells. It was noted that marked G2/M phase arrest occurred in the RPE cells when subjected to H2O2 and for the first time, to the best of our knowledge, it was found that lutein attenuated this G2/M arrest in a concentration-dependent manner.

Lutein is present at a high concentration in the macula of the eye (17). It contains several double bonds, which react with ROS to scavenge free radicals (1). Lutein functions as a cytoprotective antioxidant in a direct anti-apoptotic or indirect anti-oxidation manner (12,18). In addition, the reversal of G2/M phase arrest observed in oxidative stressed cells induced by lutein contribute to its role in cell protection.

When DNA is damaged, the G2 checkpoint inhibits cells entering mitosis. The cell cycle arrest provides an opportunity for repair and inhibits proliferation of the damaged cells (19). In Hl299 cells, DNA damage and G2/M phase arrest were found to be induced by oxidative damage, whereas an antioxidant in red seaweed Gracilaria tenuistipitata protected the cells from DNA damage and G2/M arrest (20). The results of the present study demonstrated that lutein protected cell viability and reversed G2/M arrest of RPE cells under oxidative stress.

Cell cycle progression is regulated by various factors, including CDKs and cyclins. The cyclin B1/CDK1 complex regulates cell cycle progression from the G2 to M phase, and cyclins accumulate steadily during the G2 phase and are rapidly eliminated as cells exit mitosis. The activation of CDK1 kinase is an ordered process, which triggers the initiation of mitosis. CDC25 is also a key regulator, which activates CDK1 and drives cell cycle progression (21). In the present study, when the RPE cells were subjected to oxidative stress, a significant increase in cyclin B1 and deceases in CDK1 and CDC25C were observed, which suggested that cell cycle progression was inhibited prior to entering the mitosis phase. This suggestion was confirmed by the analysis of cell cycle using flow cytometry, as RPE cells in the G2/M phase increased when exposed to H2O2. However, lutein protected the RPE cells from G2/M phase arrest by degrading the cyclin B1 protein, and increasing the activities of CDK1 and CDC25C in a concentration-dependent manner. As the results of the flow cytometry indicated, fewer RPE cells were arrested in the G2/M phase when treated with lutein.

Increasing evidence has indicated the role of inflammation in the pathogenesis of AMD. Inflammatory proteins make up the composition of drusen in AMD, and RPE cells are a rich resource of inflammatory cytokines (11,22,23). Lutein prevents the proteasome from inactivation by photo-oxidative damage and alters the expression of the inflammatory-associated genes, monocyte chemoattractant protein-1, IL-8 and complement factor H in RPE cells (11). Lutein also exerts an anti-inflammatory effect in the ischemic/hypoxic retina by reducing the expression of IL-1β and cyclooxygenase 2 in rMC-1 cells (24). The present study demonstrated that H2O2 treatment upregulated the expression of the inflammation-associated genes, IL-6, IL-8 and TNF-α. At concentrations >10 µM, lutein increased the expression levels of IL-6, IL-8 and TNF-α. These results improve current understanding of the effect of lutein on inflammation and indicated the potential cytotoxic effect of lutein; therefore, the use of large concentrations of lutein requires caution (25).

In conclusion, the present study demonstrated that lutein protected RPE cells from oxidative damage, and reversed G2/M phase arrest through activating CDK1 and CDC25C, and degrading the protein expression of cyclin B1. As AMD is a disease prevailing worldwide and a socioeconomic burden requiring resolution, dietary lutein supplementation may offer a suitable measure for preventing AMD.

Acknowledgements

The present study was supported by the National Natural Science Foundation of China (grant nos. 81270914 and 81670874) to H.X.S.

References

1 

Koushan K, Rusovici R, Li W, Ferguson LR and Chalam KV: The role of lutein in eye-related disease. Nutrients. 5:1823–1839. 2013. View Article : Google Scholar : PubMed/NCBI

2 

Holz FG, Schmitz-Valckenberg S and Fleckenstein M: Recent developments in the treatment of age-related macular degeneration. J Clin Invest. 124:1430–1438. 2014. View Article : Google Scholar : PubMed/NCBI

3 

Wenzel A, Grimm C, Samardzija M and Remé CE: Molecular mechanisms of light-induced photoreceptor apoptosis and neuroprotection for retinal degeneration. Prog Retin Eye Res. 24:275–306. 2005. View Article : Google Scholar : PubMed/NCBI

4 

Richer S, Stiles W, Statkute L, Pulido J, Frankowski J, Rudy D, Pei K, Tsipursky M and Nyland J: Double-masked, placebo-controlled, randomized trial of lutein and antioxidant supplementation in the intervention of atrophic age-related macular degeneration: The Veterans LAST study (Lutein Antioxidant Supplementation Trial). Optometry. 75:216–230. 2004. View Article : Google Scholar : PubMed/NCBI

5 

Seddon JM, Ajani UA, Sperduto RD, Hiller R, Blair N, Burton TC, Farber MD, Gragoudas ES, Haller J, Miller DT, et al: Dietary carotenoids, vitamins A, C, and E, and advanced age-related macular degeneration. Eye Disease Case-Control Study Group. JAMA. 272:1413–1420. 1994. View Article : Google Scholar : PubMed/NCBI

6 

Zarbin MA: Current concepts in the pathogenesis of age-related macular degeneration. Arch Ophthalmol. 122:598–614. 2004. View Article : Google Scholar : PubMed/NCBI

7 

Cai J, Nelson KC, Wu M, Sternberg P Jr and Jones DP: Oxidative damage and protection of the RPE. Prog Retin Eye Res. 19:205–221. 2000. View Article : Google Scholar : PubMed/NCBI

8 

Liang FQ and Godley BF: Oxidative stress-induced mitochondrial DNA damage in human retinal pigment epithelial cells: A possible mechanism for RPE aging and age-related macular degeneration. Exp Eye Res. 76:397–403. 2003. View Article : Google Scholar : PubMed/NCBI

9 

Kang KH, Lemke G and Kim JW: The PI3K-PTEN tug-of-war, oxidative stress and retinal degeneration. Trends Mol Med. 15:191–198. 2009. View Article : Google Scholar : PubMed/NCBI

10 

Tan JS, Wang JJ, Flood V, Rochtchina E, Smith W and Mitchell P: Dietary antioxidants and the long-term incidence of age-related macular degeneration: The Blue Mountains Eye Study. Ophthalmology. 115:334–341. 2008. View Article : Google Scholar : PubMed/NCBI

11 

Bian Q, Gao S, Zhou J, Qin J, Taylor A, Johnson EJ, Tang G, Sparrow JR, Gierhart D and Shang F: Lutein and zeaxanthin supplementation reduces photooxidative damage and modulates the expression of inflammation-related genes in retinal pigment epithelial cells. Free Radic Biol Med. 53:1298–1307. 2012. View Article : Google Scholar : PubMed/NCBI

12 

Silvan JM, Reguero M and de Pascual-Teresa S: A protective effect of anthocyanins and xanthophylls on UVB-induced damage in retinal pigment epithelial cells. Food Funct. 7:1067–1076. 2016. View Article : Google Scholar : PubMed/NCBI

13 

Sommerburg O, Keunen JE, Bird AC and van Kuijk FJ: Fruits and vegetables that are sources for lutein and zeaxanthin: The macular pigment in human eyes. Br J Ophthalmol. 82:907–910. 1998. View Article : Google Scholar : PubMed/NCBI

14 

Obana A, Hiramitsu T, Gohto Y, Ohira A, Mizuno S, Hirano T, Bernstein PS, Fujii H, Iseki K, Tanito M and Hotta Y: Macular carotenoid levels of normal subjects and age-related maculopathy patients in a Japanese population. Ophthalmology. 115:147–157. 2008. View Article : Google Scholar : PubMed/NCBI

15 

Age-Related Eye Disease Study 2 Research Group, . Lutein + zeaxanthin and omega-3 fatty acids for age-related macular degeneration: The age-related eye disease study 2 (AREDS2) randomized clinical trial. JAMA. 309:2005–2015. 2013. View Article : Google Scholar : PubMed/NCBI

16 

Livak KJ and Schmittgen TD: Analysis of relative gene expression data using real-time quantitative PCR and the 2(−Delta Delta C(T)) method. Methods. 25:402–408. 2001. View Article : Google Scholar : PubMed/NCBI

17 

Abdel-AAl el SM, Akhtar H, Zaheer K and Ali R: Dietary sources of lutein and zeaxanthin carotenoids and their role in eye health. Nutrients. 5:1169–1185. 2013. View Article : Google Scholar : PubMed/NCBI

18 

Aimjongjun S, Sutheerawattananonda M and Limpeanchob N: Silk lutein extract and its combination with vitamin E reduce UVB-mediated oxidative damage to retinal pigment epithelial cells. J Photochem Photobiol B. 124:34–41. 2013. View Article : Google Scholar : PubMed/NCBI

19 

Stark GR and Taylor WR: Control of the G2/M transition. Mol Biotechnol. 32:227–248. 2006. View Article : Google Scholar : PubMed/NCBI

20 

Yang JI, Yeh CC, Lee JC, Yi SC, Huang HW, Tseng CN and Chang HW: Aqueous extracts of the edible Gracilaria tenuistipitata are protective against H2O2-induced DNA damage, growth inhibition and cell cycle arrest. Molecules. 17:7241–7254. 2012. View Article : Google Scholar : PubMed/NCBI

21 

Li L, Gu B, Zhou F, Chi J, Wang F, Peng G, Xie F, Qing J, Feng D, Lu S and Yao K: Human herpesvirus 6 suppresses T cell proliferation through induction of cell cycle arrest in infected cells in the G2/M phase. J Virol. 85:6774–6783. 2011. View Article : Google Scholar : PubMed/NCBI

22 

Anderson DH, Radeke MJ, Gallo NB, Chapin EA, Johnson PT, Curletti CR, Hancox LS, Hu J, Ebright JN, Malek G, et al: The pivotal role of the complement system in aging and age-related macular degeneration: Hypothesis re-visited. Prog Retin Eye Res. 29:95–112. 2010. View Article : Google Scholar : PubMed/NCBI

23 

Cherepanoff S, McMenamin P, Gillies MC, Kettle E and Sarks SH: Bruch's membrane and choroidal macrophages in early and advanced age-related macular degeneration. Br J Ophthalmol. 94:918–925. 2010. View Article : Google Scholar : PubMed/NCBI

24 

Li SY, Fung FK, Fu ZJ, Wong D, Chan HH and Lo AC: Anti-inflammatory effects of lutein in retinal ischemic/hypoxic injury: In vivo and in vitro studies. Invest Ophthalmol Vis Sci. 53:5976–5984. 2012. View Article : Google Scholar : PubMed/NCBI

25 

Murthy RK, Ravi K, Balaiya S, Brar VS and Chalam KV: Lutein protects retinal pigment epithelium from cytotoxic oxidative stress. Cutan Ocul Toxicol. 33:132–137. 2014. View Article : Google Scholar : PubMed/NCBI

Related Articles

  • Abstract
  • View
  • Download
  • Twitter
Copy and paste a formatted citation
Spandidos Publications style
Liu H, Liu W, Zhou X, Long C, Kuang X, Hu J, Tang Y, Liu L, He J, Huang Z, Huang Z, et al: Protective effect of lutein on ARPE-19 cells upon H2O2-induced G2/M arrest. Mol Med Rep 16: 2069-2074, 2017.
APA
Liu, H., Liu, W., Zhou, X., Long, C., Kuang, X., Hu, J. ... Shen, H. (2017). Protective effect of lutein on ARPE-19 cells upon H2O2-induced G2/M arrest. Molecular Medicine Reports, 16, 2069-2074. https://doi.org/10.3892/mmr.2017.6838
MLA
Liu, H., Liu, W., Zhou, X., Long, C., Kuang, X., Hu, J., Tang, Y., Liu, L., He, J., Huang, Z., Fan, Y., Jin, G., Zhang, Q., Shen, H."Protective effect of lutein on ARPE-19 cells upon H2O2-induced G2/M arrest". Molecular Medicine Reports 16.2 (2017): 2069-2074.
Chicago
Liu, H., Liu, W., Zhou, X., Long, C., Kuang, X., Hu, J., Tang, Y., Liu, L., He, J., Huang, Z., Fan, Y., Jin, G., Zhang, Q., Shen, H."Protective effect of lutein on ARPE-19 cells upon H2O2-induced G2/M arrest". Molecular Medicine Reports 16, no. 2 (2017): 2069-2074. https://doi.org/10.3892/mmr.2017.6838
Copy and paste a formatted citation
x
Spandidos Publications style
Liu H, Liu W, Zhou X, Long C, Kuang X, Hu J, Tang Y, Liu L, He J, Huang Z, Huang Z, et al: Protective effect of lutein on ARPE-19 cells upon H2O2-induced G2/M arrest. Mol Med Rep 16: 2069-2074, 2017.
APA
Liu, H., Liu, W., Zhou, X., Long, C., Kuang, X., Hu, J. ... Shen, H. (2017). Protective effect of lutein on ARPE-19 cells upon H2O2-induced G2/M arrest. Molecular Medicine Reports, 16, 2069-2074. https://doi.org/10.3892/mmr.2017.6838
MLA
Liu, H., Liu, W., Zhou, X., Long, C., Kuang, X., Hu, J., Tang, Y., Liu, L., He, J., Huang, Z., Fan, Y., Jin, G., Zhang, Q., Shen, H."Protective effect of lutein on ARPE-19 cells upon H2O2-induced G2/M arrest". Molecular Medicine Reports 16.2 (2017): 2069-2074.
Chicago
Liu, H., Liu, W., Zhou, X., Long, C., Kuang, X., Hu, J., Tang, Y., Liu, L., He, J., Huang, Z., Fan, Y., Jin, G., Zhang, Q., Shen, H."Protective effect of lutein on ARPE-19 cells upon H2O2-induced G2/M arrest". Molecular Medicine Reports 16, no. 2 (2017): 2069-2074. https://doi.org/10.3892/mmr.2017.6838
Follow us
  • Twitter
  • LinkedIn
  • Facebook
About
  • Spandidos Publications
  • Careers
  • Cookie Policy
  • Privacy Policy
How can we help?
  • Help
  • Live Chat
  • Contact
  • Email to our Support Team