Spandidos Publications Logo
  • About
    • About Spandidos
    • Aims and Scopes
    • Abstracting and Indexing
    • Editorial Policies
    • Reprints and Permissions
    • Job Opportunities
    • Terms and Conditions
    • Contact
  • Journals
    • All Journals
    • Oncology Letters
      • Oncology Letters
      • Information for Authors
      • Editorial Policies
      • Editorial Board
      • Aims and Scope
      • Abstracting and Indexing
      • Bibliographic Information
      • Archive
    • International Journal of Oncology
      • International Journal of Oncology
      • Information for Authors
      • Editorial Policies
      • Editorial Board
      • Aims and Scope
      • Abstracting and Indexing
      • Bibliographic Information
      • Archive
    • Molecular and Clinical Oncology
      • Molecular and Clinical Oncology
      • Information for Authors
      • Editorial Policies
      • Editorial Board
      • Aims and Scope
      • Abstracting and Indexing
      • Bibliographic Information
      • Archive
    • Experimental and Therapeutic Medicine
      • Experimental and Therapeutic Medicine
      • Information for Authors
      • Editorial Policies
      • Editorial Board
      • Aims and Scope
      • Abstracting and Indexing
      • Bibliographic Information
      • Archive
    • International Journal of Molecular Medicine
      • International Journal of Molecular Medicine
      • Information for Authors
      • Editorial Policies
      • Editorial Board
      • Aims and Scope
      • Abstracting and Indexing
      • Bibliographic Information
      • Archive
    • Biomedical Reports
      • Biomedical Reports
      • Information for Authors
      • Editorial Policies
      • Editorial Board
      • Aims and Scope
      • Abstracting and Indexing
      • Bibliographic Information
      • Archive
    • Oncology Reports
      • Oncology Reports
      • Information for Authors
      • Editorial Policies
      • Editorial Board
      • Aims and Scope
      • Abstracting and Indexing
      • Bibliographic Information
      • Archive
    • Molecular Medicine Reports
      • Molecular Medicine Reports
      • Information for Authors
      • Editorial Policies
      • Editorial Board
      • Aims and Scope
      • Abstracting and Indexing
      • Bibliographic Information
      • Archive
    • World Academy of Sciences Journal
      • World Academy of Sciences Journal
      • Information for Authors
      • Editorial Policies
      • Editorial Board
      • Aims and Scope
      • Abstracting and Indexing
      • Bibliographic Information
      • Archive
    • International Journal of Functional Nutrition
      • International Journal of Functional Nutrition
      • Information for Authors
      • Editorial Policies
      • Editorial Board
      • Aims and Scope
      • Abstracting and Indexing
      • Bibliographic Information
      • Archive
    • International Journal of Epigenetics
      • International Journal of Epigenetics
      • Information for Authors
      • Editorial Policies
      • Editorial Board
      • Aims and Scope
      • Abstracting and Indexing
      • Bibliographic Information
      • Archive
    • Medicine International
      • Medicine International
      • Information for Authors
      • Editorial Policies
      • Editorial Board
      • Aims and Scope
      • Abstracting and Indexing
      • Bibliographic Information
      • Archive
  • Articles
  • Information
    • Information for Authors
    • Information for Reviewers
    • Information for Librarians
    • Information for Advertisers
    • Conferences
  • Language Editing
Spandidos Publications Logo
  • About
    • About Spandidos
    • Aims and Scopes
    • Abstracting and Indexing
    • Editorial Policies
    • Reprints and Permissions
    • Job Opportunities
    • Terms and Conditions
    • Contact
  • Journals
    • All Journals
    • Biomedical Reports
      • Information for Authors
      • Editorial Policies
      • Editorial Board
      • Aims and Scope
      • Abstracting and Indexing
      • Bibliographic Information
      • Archive
    • Experimental and Therapeutic Medicine
      • Information for Authors
      • Editorial Policies
      • Editorial Board
      • Aims and Scope
      • Abstracting and Indexing
      • Bibliographic Information
      • Archive
    • International Journal of Epigenetics
      • Information for Authors
      • Editorial Policies
      • Editorial Board
      • Aims and Scope
      • Abstracting and Indexing
      • Bibliographic Information
      • Archive
    • International Journal of Functional Nutrition
      • Information for Authors
      • Editorial Policies
      • Editorial Board
      • Aims and Scope
      • Abstracting and Indexing
      • Bibliographic Information
      • Archive
    • International Journal of Molecular Medicine
      • Information for Authors
      • Editorial Policies
      • Editorial Board
      • Aims and Scope
      • Abstracting and Indexing
      • Bibliographic Information
      • Archive
    • International Journal of Oncology
      • Information for Authors
      • Editorial Policies
      • Editorial Board
      • Aims and Scope
      • Abstracting and Indexing
      • Bibliographic Information
      • Archive
    • Medicine International
      • Information for Authors
      • Editorial Policies
      • Editorial Board
      • Aims and Scope
      • Abstracting and Indexing
      • Bibliographic Information
      • Archive
    • Molecular and Clinical Oncology
      • Information for Authors
      • Editorial Policies
      • Editorial Board
      • Aims and Scope
      • Abstracting and Indexing
      • Bibliographic Information
      • Archive
    • Molecular Medicine Reports
      • Information for Authors
      • Editorial Policies
      • Editorial Board
      • Aims and Scope
      • Abstracting and Indexing
      • Bibliographic Information
      • Archive
    • Oncology Letters
      • Information for Authors
      • Editorial Policies
      • Editorial Board
      • Aims and Scope
      • Abstracting and Indexing
      • Bibliographic Information
      • Archive
    • Oncology Reports
      • Information for Authors
      • Editorial Policies
      • Editorial Board
      • Aims and Scope
      • Abstracting and Indexing
      • Bibliographic Information
      • Archive
    • World Academy of Sciences Journal
      • Information for Authors
      • Editorial Policies
      • Editorial Board
      • Aims and Scope
      • Abstracting and Indexing
      • Bibliographic Information
      • Archive
  • Articles
  • Information
    • For Authors
    • For Reviewers
    • For Librarians
    • For Advertisers
    • Conferences
  • Language Editing
Login Register Submit
  • This site uses cookies
  • You can change your cookie settings at any time by following the instructions in our Cookie Policy. To find out more, you may read our Privacy Policy.

    I agree
Search articles by DOI, keyword, author or affiliation
Search
Advanced Search
presentation
Molecular Medicine Reports
Join Editorial Board Propose a Special Issue
Print ISSN: 1791-2997 Online ISSN: 1791-3004
Journal Cover
October-2018 Volume 18 Issue 4

Full Size Image

Sign up for eToc alerts
Recommend to Library

Journals

International Journal of Molecular Medicine

International Journal of Molecular Medicine

International Journal of Molecular Medicine is an international journal devoted to molecular mechanisms of human disease.

International Journal of Oncology

International Journal of Oncology

International Journal of Oncology is an international journal devoted to oncology research and cancer treatment.

Molecular Medicine Reports

Molecular Medicine Reports

Covers molecular medicine topics such as pharmacology, pathology, genetics, neuroscience, infectious diseases, molecular cardiology, and molecular surgery.

Oncology Reports

Oncology Reports

Oncology Reports is an international journal devoted to fundamental and applied research in Oncology.

Experimental and Therapeutic Medicine

Experimental and Therapeutic Medicine

Experimental and Therapeutic Medicine is an international journal devoted to laboratory and clinical medicine.

Oncology Letters

Oncology Letters

Oncology Letters is an international journal devoted to Experimental and Clinical Oncology.

Biomedical Reports

Biomedical Reports

Explores a wide range of biological and medical fields, including pharmacology, genetics, microbiology, neuroscience, and molecular cardiology.

Molecular and Clinical Oncology

Molecular and Clinical Oncology

International journal addressing all aspects of oncology research, from tumorigenesis and oncogenes to chemotherapy and metastasis.

World Academy of Sciences Journal

World Academy of Sciences Journal

Multidisciplinary open-access journal spanning biochemistry, genetics, neuroscience, environmental health, and synthetic biology.

International Journal of Functional Nutrition

International Journal of Functional Nutrition

Open-access journal combining biochemistry, pharmacology, immunology, and genetics to advance health through functional nutrition.

International Journal of Epigenetics

International Journal of Epigenetics

Publishes open-access research on using epigenetics to advance understanding and treatment of human disease.

Medicine International

Medicine International

An International Open Access Journal Devoted to General Medicine.

Journal Cover
October-2018 Volume 18 Issue 4

Full Size Image

Sign up for eToc alerts
Recommend to Library

  • Article
  • Citations
    • Cite This Article
    • Download Citation
    • Create Citation Alert
    • Remove Citation Alert
    • Cited By
  • Similar Articles
    • Related Articles (in Spandidos Publications)
    • Similar Articles (Google Scholar)
    • Similar Articles (PubMed)
  • Download PDF
  • Download XML
  • View XML
Article

MicroRNA‑152 regulates insulin secretion and pancreatic β cell proliferation by targeting PI3Kα

  • Authors:
    • Li Chen
    • Haiyun Qian
    • Junli Xue
    • Juan Zhang
    • Hao Chen
  • View Affiliations / Copyright

    Affiliations: Department of Endocrinology, Jingzhou Central Hospital, The Second Clinical Medical College, Yangtze University, Jingzhou, Hubei 434020, P.R. China, Department of Cardiothoracic Surgery, Jingzhou Central Hospital, The Second Clinical Medical College, Yangtze University, Jingzhou, Hubei 434020, P.R. China
  • Pages: 4113-4121
    |
    Published online on: August 8, 2018
       https://doi.org/10.3892/mmr.2018.9359
  • Expand metrics +
Metrics: Total Views: 0 (Spandidos Publications: | PMC Statistics: )
Metrics: Total PDF Downloads: 0 (Spandidos Publications: | PMC Statistics: )
Cited By (CrossRef): 0 citations Loading Articles...

This article is mentioned in:



Abstract

An increasing number of microRNAs (miRNAs/miRs) are reported to have important roles in diabetes. Glucose‑stimulated insulin secretion and pancreatic β cell proliferation are essential in the control of metabolic disorder, however, the underlying molecular mechanisms remain unclear. The present study investigated the function of miR‑152 in diabetes. The results of reverse transcription‑quantitative polymerase chain reaction demonstrated that miR‑152 levels in the blood were markedly reduced in patients with diabetes compared with nondiabetic controls. In addition, a high blood glucose concentration was significantly associated with reduced miR‑152 expression. Furthermore, overexpression of miR‑152 using miR‑152 mimics promoted the proliferation of INS‑1 and MIN6 cells, as determined by an MTT assay, in addition to insulin secretion, while knockdown of miR‑152 using an inhibitor led to the opposite effects. Phosphatidylinositol 3‑kinase (PI3K) signaling has been reported to inhibit insulin secretion, however, the regulation of PI3K in the pancreatic β cell is poorly understood. The present study identified that PI3K catalytic subunit α (PI3Kα) was a direct target gene of miR‑152 using a luciferase reporter assay, and miR‑152 inhibited the expression of PI3Kα at the protein level, which was determined by western blotting. Therefore, the regulation of insulin secretion and pancreatic β cell proliferation may occur via the miR‑152/PI3Kα axis. The overexpression of PI3Kα in INS‑1 and MIN6 cells partially reduced the effects of miR‑152 overexpression on insulin secretion. Consistently, PI3Kα levels were reduced in murine pancreatic islets following treatment with 20 mM glucose, and increased in blood samples from patients with diabetes compared with healthy individuals. In conclusion, the results of the present study demonstrate that miR‑152 may have an important role in pancreatic β cell function, and established an association between miR‑152 and the PI3Kα axis. Therefore, targeting PI3Kα may be a potential therapeutic option for diabetes.

Introduction

Globally, type 2 diabetes (T2D) is a common chronic disease, which is characterized by high blood glucose levels and insulin resistance (1). Insulin is involved in the pathogenesis of T2D and metabolic syndrome. An inappropriate amount of insulin as a result of b-cell dysfunction is the hallmark of T2D. Decreased glycogen level is a hallmark of insulin resistance in hepatocytes (2). Members of the phosphatidylinositol 3-kinase (PI3K) family function in the regulation of islet mass and function (3). Although three different PI3K isoforms are expressed in the endocrine pancreas (4), the class 1 PI3K isoforms are the most investigated groups, with opposing roles in the regulation of insulin secretion (5). For example, the PI3K catalytic subunit α (PI3Kα/PIK3CA), also termed p110α, acts as a negative regulator of insulin secretion, while PI3Kβ/PIK3CB, also termed p110β, is a positive regulator of insulin secretion through distinct mechanisms that are separated from the catalytic activity (6,7). However, the regulation of PI3Kα in T2D is poorly understood.

MicroRNAs (miRNA/miRs) are a group of endogenous non-coding small RNAs that have a length of between 21 and 23 nucleotides and act as key regulators of post-transcriptional gene expression (8). miRNAs function by base pairing to the 3′ untranslated region of the target mRNA and act as specific gene silencers (9). Various studies have indicated that miRNAs regulate the multiple aspects in various metabolic diseases, including diabetes mellitus, endothelial function, obesity and metabolic syndrome (10,11). Among miRNAs, miR-152 was reported to regulate hepatic insulin resistance and glucose metabolism, and high glucose levels reduced the expression of miR-152 and subsequently impaired the synthesis of glycogen in hepatocytes (12). However, the mechanism underlying the miR-152 regulation cascade remains unclear.

The investigation of the molecular mechanisms involved in T2D strongly indicates that excess genes impair cell functions, leading to metabolically relevant cellular dysfunction, inflammation and oxidative stress.

Materials and methods

Cell culture

INS-1 and MIN6 cells were purchased from the American Type Culture Collection (Manassas, VA, USA) and cultured in low-glucose Dulbecco's modified Eagle's medium (DMEM; 5 mmol/l glucose; Gibco; Thermo Fisher Scientific, Inc., Waltham, MA, USA) supplemented with 10% fetal bovine serum (FBS; Invitrogen; Thermo Fisher Scientific, Inc.), 5.5 mM 2-mercaptoethanol, 100 U/ml penicillin and 0.1 mg/ml streptomycin (Invitrogen; Thermo Fisher Scientific, Inc.) at 37°C in a humidified chamber atmosphere with 5% CO2.

Reagents and transfection of INS-1 and MIN6 cells

The miR-152 mimic, miR-152 inhibitor, and miRNA mimic and inhibitor controls, were purchased from Shanghai GenePharma Co., Ltd. (Shanghai, China). The miR-152 mimic, GCAGTCTCAGTGCATGACAGA, miR-152 inhibitor, CCAUCUUUACCAGACAGUGUUA, inhibitor controls CAGUACUUUUGUGUAGUAC. HiPerFect transfection reagent (Qiagen GmbH, Hilden, Germany) was used for the transfection of miR-152 mimic and inhibitors, and controls. MIN6/INS-1 cells were cultured by plating 6×105 cells into 100-mm Petri dishes. A total of 250 pmol miR-152 mimic or inhibitor, or respective controls were transfected into cells. At 48 h following transfection, the expression of miR-152 and target genes were detected reverse transfection-quantitative polymerase chain reaction (RT-qPCR). Insulin (1 nmol/l) was purchased from United States Biological (Salem, MA, USA).

Blood sample collection

The present study was approved by the Ethics Committee of the Second Clinical Medical College, Yangtze University (Jingzhou, China) and written informed consent was obtained from all patients and healthy volunteers. Blood samples were collected from patients with T2D (n=50), of whom 24 were female and 26 were male, and patients were aged between 45 and 60. Normal subjects (n=20), of which 10 were female and 10 were male, were aged between 44 and 60. The samples were collected between January 2014 and November 2015 in Jingzhou Central Hospital. Patients with serious kidney diseases, malignancy and acute heart failure were excluded.

Experimental animals

A total of 40 Male C57BL/6J mice (age, 12 weeks; weight, 20–25 g) were provided by the Chinese Academy of Sciences affiliated Shanghai SLAC Laboratory Animal Co., Ltd. (Shanghai, China), and were originally purchased from Jackson Laboratory (Bar Harbor, ME, USA). All animal procedures were performed in accordance with the National Institutes of Health Animal Care and Use Guidelines (13) and approved by the Animal Ethics Committee at the Shanghai Institute of Geriatrics (Shanghai, China). Mice were housed in a clean animal laboratory at the Second Clinical Medical College, Yangtze University Experimental Animal Center. Mice were housed under specific pathogen free conditions with controlled room temperature (22.0±1.0°C), 0.05% CO2, a 12 h light/dark cycle (light, 8 am-8 pm), humidity of 40–60% and free access to water and food. Mice islets were isolated from the pancreata according to a previously described method by Lau et al (14). Adenovirus with miR-152 overexpression construct or the miR-152 inhibitor, and the relative controls were purchased from Shanghai GenePharma Co., Ltd. (Shanghai, China) and were transfected in freshly 2 ug isolated mouse pancreatic islets at a dose of 1×109 plaque forming units in 0.2 ml PBS for 72 h and collected for the following experiments.

Determination of glucose in blood samples

The glucose levels were determined by a routine laboratory method. The blood glucose levels in whole blood were examined at the Department of Clinical Laboratory of Jingzhou Central Hospital, The Second Clinical Medical College, Yangtze University using a Glucose assay kit (BioVision, Inc., Milpitas, CA, USA), according to the manufacturer's protocol.

Western blot analysis

Total protein was extracted from INS-1 and MIN6 cells using radioimmunoprecipitation assay lysis buffer (Sigma-Aldrich; Merck KGaA). After centrifugation at 12,000 × g for 20 min at 4°C, the supernatant was collected. The BCA protein assay was used to determine the protein concentration. Following mixing with 4X SDS loading buffer, proteins (30 µg) in each group were heated at 100°C for 5 min and separated on 10% SDS-polyacrylamide gels and transferred to a polyvinylidene fluoride membrane (EMD Millipore, Billerica, MA, USA). Following blocking with 8% non-fat dry milk at room temperature for 30 min, the membranes were probed with primary antibodies overnight at 4°C, followed by incubation with horseradish peroxidase (HRP)-conjugated second antibodies at room temperature for 1 h and detection with Signal Boost™ Immunoreaction Enhancer Kit (407207, EMD Millipore). The signals were recorded using X-ray film. The following antibodies were employed: PI3Kα (cat. no. sc-7174; Santa Cruz Biotechnology, Inc., Dallas, TX, USA, 1:1,000), β-actin (cat. no. sc-130300; Santa Cruz Biotechnology, Inc, 1:2,000), goat anti-mouse IgG-HRP, (cat. no. sc-2005; Santa Cruz Biotechnology, Inc. 1:3,000) and goat anti-rabbit IgG-HRP (cat. no. sc-2004; Santa Cruz Biotechnology, Inc. 1:3,000).

RNA isolation and RT-qPCR

Enriched miRNA was isolated using an miRNA isolation kit using whole blood samples from T2D patients and healthy controls (Takara Bio, Inc., Otsu, Japan). Total RNA was extracted from the pancreatic tissues or blood samples from T2D patients or cell lines using TRIzol method (Invitrogen; Thermo Fisher Scientific, Inc.). The concentration and purity of RNA was confirmed. First-strand cDNA synthesis was performed using a reverse transcription kit (iScript cDNA Synthesis kit; Bio-Rad Laboratories, Inc., Hercules, CA, USA). The following temperature protocol was used for reverse transcription: 25°C for 10 min, 42°C for 30 min and 85°C for 3 min. qPCR was performed using the TB Green™ Premix Dimer Eraser™, according to the manufacturer's protocol (RR091A, Takara Bio, Inc.) based on an ABI 7500 system (Applied Biosystems; Thermo Fisher Scientific, Inc.). Cycling parameters were as follows: 95°C for 5 min and then 40 cycles of 95°C for 15 sec and annealing/extension at 60°C for 1 min. The U6 small nucleolar RNA or GAPDH were used as the reference genes. The relative gene expression was normalized to U6 or GAPDH using the 2−ΔΔCq method (15). PI3Ka 5′-ATATGATGCAGCCATTGACC-3′ (forward) 5′-CTCCTGAAACCTCTCAAATTCTC-3′ (reverse) GAPDH, GAGAAGTATGACAACAGCCTC-3′ (forward) and 5′-ATGGACTGTGGTCATGAGTC-3′ (reverse). miR-152, 5′-ACTCTCGAGGCTTCTAAGCTGGGAACTTTGTC-3′ (forward) and 5′-ACTGAATTCCGCTTGTCTTGGACATATGGCACT-3′ (reverse); U6, 5′-CTCGCTTCGGCAGCACA-3′ (forward) and 5′-AACGCTTCACGAATTTGCGT-3′ (reverse). Each reaction was performed in triplicate.

MTT assay

An MTT kit (Roche Diagnostics, Indianapolis, IN, USA) was used to determine the proportion of viable MIN6 and INS-1 cells, 5×103 cells were seeded into 12-well plates, according to manufacturer's protocol. MTT (500 µg/ml) was added to DMEM medium for 3 h at 37°C. At the end of the incubation, MTT reagent was removed and the cells were dissolved in dimethyl sulfoxide. The absorbance value was measured at 570 nm on a microplate reader (Perkin Elmer EnSpire; Perkin Elmer, Inc., Waltham, MA, USA). Experiments were performed at least three times.

Insulin secretion measurements

Insulin secretion measurements were performed at 37°C in Krebs-Ringer bicarbonate buffer (115 mmol/l NaCl, 5 mmol/l KCl, 24 mmol/l NaHCO3, 2.5 mmol/l CaCl2, 1 mmol/l MgCl2, 10 mmol/l HEPES and 0.1% bovine serum albumin (Pierce; Thermo Fisher Scientific, Inc. pH 7.4). A total of 10 mouse islets were preincubated for 2 h in KRB per group, followed by incubation for 1 h in these basal buffers and further 30 min or 24 h incubation with 3 or 20 mM glucose. Acid/ethanol extraction was used to extract insulin from islets. Insulin secretion was also measured in 106 INS-1 and MIN6 cells following incubation with 3 or 20 mM glucose for 2 h incubation at 37°C. Samples were stored at −20°C until insulin levels were detected using an ELISA kit (cat. no. 80-INSMSU-E01, Mouse Ultrasensitive Insulin ELISA, ALPCO, Salem, NH, USA). Each experiment was repeated at least three times.

Luciferase reporter assay

TargetScan Human version 7.0 (www.targetscan.org) predicted that PI3Kα was a potential target of miR-152. The wild-type (WT) or mutant (MUT; without miR-152 binding site) human PI3Kα 3′UTR sequences were synthesized using QuikChange Multi Site-Directed Mutagenesis kit (Agilent Technologies, Inc., Santa Clara, CA, USA) and separately cloned into the pGL-3 luciferase reporter plasmid (Promega Corporation, Madison, WI, USA). The recombinant plasmids were termed pGL3-PI3Kα-WT and pGL3-PI3Kα-MUT. These plasmids were co-transfected with 50 nm miR-152 mimic or inhibitor or their negative control using Lipofectamine® 2000. Cell lysates were prepared and luciferase assays were performed 48 h following transfection. Luciferase activity was normalized to Renilla luciferase activity.

Statistical analysis

All statistical analyses were performed using GraphPad prism 6.0 (GraphPad Software, Inc. La Jolla, CA, USA). Data are presented as the mean ± standard deviation and P<0.05 was considered to indicate a statistically significant difference. One-way analysis of variance, followed by Fisher's least significant difference test, was performed to determine the statistical significance of differences between two groups. Pearson's correlation analysis was performed to determine the correlation between miR-152 and glucose levels in the blood of patients with T2D and healthy controls.

Results

The expression of miR-152 is significantly downregulated in patients with T2D

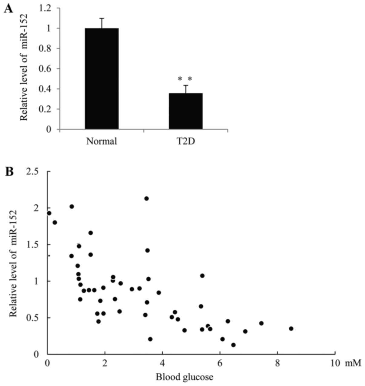
In order to investigate the function of miR-152 in diabetes, RT-qPCR was performed to measure miR-152 levels in the plasma of patients with T2D and healthy volunteers. As demonstrated in Fig. 1A, the expression of miR-152 was significantly decreased in patients with T2D compared with the control group. Furthermore, a significant inverse correlation between the miR-152 expression and blood glucose concentration was observed in patients with T2D, R=0.5424, P=0.0078 (Fig. 1B).

Figure 1.

The expression of miR-152 was significantly downregulated in patients with T2D. (A) Reverse transcription-quantitative polymerase chain reaction was performed to measure the miR-152 levels in whole blood samples from patients with T2D (n=50) and healthy volunteers (n=20). (B) A significant inverse correlation was observed between the expression of miR-152 and blood glucose concentration in patients with T2D, as determined by Pearson's correlation analysis. R=0.5424, P=0.0078 **P<0.01 vs. normal group. miR, microRNA; T2D, type 2 diabetes; normal group, healthy volunteers.

miR-152 enhances the insulin secretion and proliferation of pancreatic β cell lines

In order to investigate the exact function of miR-152 in pancreatic β cells, two pancreatic β cell lines, INS-1 and MIN6, were used. miR-152 mimic or miR-152 inhibitor, or respective controls, were transfected into INS-1 and MIN6 cells. At 48 h after transfection, RT-qPCR was performed to determine the miR-152 expression levels. As demonstrated in Fig. 2A and B, the expression of miR-152 was significantly higher in the miR-152 mimic-transfected cells, while the expression of miR-152 was significantly lower in miR-152 inhibitor-transfected cells, compared with respective control groups. Furthermore, in response to glucose stimulation (20 mM), transient transfection of miR-152 mimics significantly increased the insulin secretion, while the transfection of miR-152 inhibitor reduced insulin secretion stimulated by high glucose levels, compared with the respective transfection control groups (Fig. 2C and D). In addition, the effects of miR-152 on cell viability were also investigated using an MTT assay to confirm whether overexpression or knockdown of miR-152 affected cell viability. The results demonstrated that miR-152 overexpression markedly enhanced cell proliferation, while knockdown of miR-152 reduced cell proliferation, compared with their respective control groups (Fig. 2E and F).

Figure 2.

miR-152 enhanced the insulin secretion and proliferation of pancreatic β cell lines. Reverse transcription-quantitative polymerase chain reaction was performed to measure the miR-152 levels in (A) INS-1 and (B) MIN6 cells transfected with miR-152 mimic, miRNA mimic control, miR-152 inhibitor or miR-NC inhibitor control, n=5. (C) INS-1 and (D) MIN6 cells were transfected with miR-152 mimic, miRNA mimic control, miR-152 inhibitor or miR-NC inhibitor control for 48 h, followed by incubation with 3 or 20 mM glucose for 1 h. Glucose-stimulated insulin secretion was subsequently determined in each group, n=3. MTT assay was performed to investigate cell proliferation in (E) INS-1 and (F) MIN6 cells transfected with miR-152 mimic, miRNA mimic control, miR-152 inhibitor or miR-NC inhibitor control, n=5. *P<0.05 and **P<0.01 vs. mimic control or miR-NC. miR, microRNA; NC, negative control; miRNA, microRNA; OD, optical density.

Identification of PI3K-alpha as a target gene of miR-152

The above observations indicated that miR-152 may be required for glucose-stimulated insulin secretion and pancreatic β cell proliferation. Therefore, the present study subsequently investigated the specific genes suppressed by miR-152. TargetScan software was used to predict the putative target genes of miR-152. As demonstrated in Fig. 3A, PI3Kα was identified as a potential target gene of miR-152. To verify the targeting of PI3Kα by miR-152, wild-type PI3Kα 3′-untranslated region (UTR) containing the predicted miR-152 binding sites, or mutated versions of the PI3Kα 3′-UTR without the predicted miR-152 binding sites, were cloned into firefly luciferase reporter plasmids. Results of the luciferase reporter activity assay demonstrated that co-transfection of INS-1 and MIN6 cells with the wild-type PI3Kα 3′-UTR and miR-152 mimic reduced the luciferase activity, compared with control mimic-transfected cells (Fig. 3B). By contrast, co-transfection with the wild-type 3′-UTR and miR-152 inhibitors enhanced PI3Kα 3′-UTR luciferase activity, compared with the transfection control group (Fig. 3C). However, luciferase activity was not altered in cells that were co-transfected with the mutant PI3Kα 3′-UTR vector and miR-152 mimics, compared with the mimic control transfection group (Fig. 3D).

Figure 3.

Identification of PI3Kα as a target gene of miR-152. (A) PI3Kα was predicted to be a potential target gene of miR-152. Matches in seed regions are marked. The wild-type PI3Kα 3′-UTR with the putative miR-152 binding sites was subcloned into the pMiR-report vector, and a luciferase reporter assay was performed in MIN6 and INS-1 cells transfected with (B) miR-152 mimic or miRNA mimic control, or (C) miR-152 inhibitor or miR-NC inhibitor control, n=3. (D) Mutant PI3Kα 3′-UTR was subcloned into the pMiR-report vector, and a luciferase reporter assay was performed in MIN6 cells and INS-1 cells transfected with miR-152 mimic or miRNA mimic control, n=3. **P<0.01 vs. mimic control or miR-NC. PI3Kα, phosphatidylinositol 3-kinase catalytic subunit α; miR, microRNA; UTR, untranslated region; miRNA, microRNA; NC, negative control.

PI3Kα is involved in the miR-152-mediated pancreatic β cell proliferation and insulin secretion

It is established that the major function of miRNA is the negative regulation of target genes at the post-transcriptional level; therefore, the present study investigated the effects of miR-152 on the endogenous protein expression of PI3Kα. Results of western blot analysis demonstrated that, in miR-152 overexpressing INS-1 and MIN6 cells, the protein expression of PI3Kα was reduced, compared with transfection control cells (Fig. 4A). Conversely, the protein levels of PI3Kα were markedly increased following the transfection of miR-152 inhibitors, compared with the transfection control group (Fig. 4B). Based on these results, we hypothesized that PI3Kα may function as a downstream effector of miR-152. To verify this hypothesis, the pcDNA3.1-PI3Kα plasmid was constructed to restore the expression of PI3Kα in INS-1 and MIN6 cells. At 48 h following transfection, RT-qPCR was performed to analyze the mRNA levels of PI3Kα. As demonstrated in Fig. 4C, PI3Kα levels were significantly higher in the INS-1 and MIN6 cells transfected with PI3Kα overexpression plasmid, compared with the vector group. Subsequently, the effect of PI3Kα overexpression on miR-152-mediated insulin secretion and cell proliferation was investigated. As demonstrated in Fig. 4D, compared with the cells transfected with miR-152 mimic alone, transfection of INS-1 and MIN6 cells with the miR-152 mimic and PI3Kα overexpression plasmid abolished the effect of miR-152 mimics on glucose-stimulated insulin secretion. Similarly, the MTT assay revealed that PI3Kα overexpression reduced the effect of the miR-152 on the proliferation of INS-1 and MIN6 cells (Fig. 4E).

Figure 4.

PI3Kα is involved in miR-152-mediated pancreatic β cell proliferation and insulin secretion. Western blot analysis was performed to measure the protein expression of PI3Kα in INS-1 and MIN6 cells transfected with (A) miR-152 mimic or miRNA mimic control, or transfected with (B) miR-152 inhibitor or miR-NC inhibitor control, n=3. (C) Reverse transcription-quantitative polymerase chain reaction was performed to measure the mRNA expression of PI3Kα in INS-1 and MIN6 cells transfected with PI3Kα overexpression plasmid or vector, n=3. **P<0.01 vs. vector group. (D) Glucose-stimulated insulin secretion was measured in INS-1 and MIN6 cells transfected with miR-152 mimic, miRNA mimic control, miR-152 mimic + vector or miR-152 mimic + PI3Kα overexpression plasmid. Transfected cells were treated with 3 or 20 mM glucose. *P<0.05 vs. mimic control, n=5. (E) MTT assay was performed in INS-1 and MIN6 cells transfected with miR-152 mimic, miRNA mimic control, miR-152 mimic + vector or miR-152 mimic + PI3Kα overexpression plasmid. *P<0.05. n=3. PI3Kα, phosphatidylinositol 3-kinase catalytic subunit α; miR, microRNA; miRNA, microRNA; NC, negative control; OD, optical density.

The miR-152/PI3Kα axis regulates glucose-stimulated insulin secretion in murine pancreatic islets, and in patients with T2DM

The present study further determined the role of the miR-152/PI3Kα axis in glucose-stimulated insulin secretion in islets isolated from mice. As demonstrated in Fig. 5A and B, high-glucose treatment upregulated the expression of miR-152 and downregulated PI3Kα expression in murine pancreatic islets. Furthermore, in miR-152 overexpression islets, insulin secretion was markedly increased compared with mimic control-transfected islets following treatment with 20 mM glucose (Fig. 5C). By contrast, insulin secretion was suppressed when miR-152 was inhibited in islets, compared with control-transfected cells, following treatment with 20 mM glucose (Fig. 5D). In addition, the plasma PI3Kα levels were determined in patients with T2D and healthy controls using ELISA. As demonstrated in Fig. 5E, in the blood samples of patients with T2D, PI3Kα levels were significantly increased compared with healthy individuals (Fig. 5E). These observations strongly indicated that dysregulation of the miR-152 and PI3Kα axis may be involved in the development of T2D.

Figure 5.

The miR-152/PI3Kα axis regulated glucose-stimulated insulin secretion in murine pancreatic islets and patients with T2D. Freshly isolated mouse pancreatic islets were isolated and incubated with 3 or 20 mM glucose for 24 h. The expression of (A) miR-152 and (B) PI3Kα was analyzed using RT-qPCR, n=3. Pancreatic islets were transduced with (C) adenovirus vector or adenovirus miR-152, or transduced with (D) adenovirus NC and adenovirus miR-152 inhibitor. Cells were subsequently incubated with 3 or 20 mM glucose for 2 h and insulin secretion was measured, n=3. (E) RT-qPCR was performed to measure the PI3Kα levels in blood samples from patients with T2D (n=50) and healthy volunteers (n=20). For parts A and B, **P<0.01 vs. 3 mM glucose. For parts C and D, *P<0.05 vs. adenovirus vector or adenovirus NC. For part E, **P<0.01 vs. normal group. miR, microRNA; PI3Kα, phosphatidylinositol 3-kinase catalytic subunit α; T2D, type 2 diabetes; RT-qPCR, reverse transcription-quantitative polymerase chain reaction; NC, negative control; normal group, healthy volunteers.

Discussion

Diabetes is characterized by high levels of blood glucose, and a lack of insulin-producing pancreatic β cells is the major cause of type 1 diabetes, while increased insulin resistance leads to the development of T2D and metabolic syndrome (2,16). Increasing evidence has indicated that various types of miRNA may be involved in the pathogenesis of diabetes (17,18). It was previously reported that miR-9 controlled the expression of granuphilin-a and the secretory response of insulin-producing cells (19). In addition, by negatively regulating hepatic gluconeogenesis, miR-29a-c reduced fasting blood glucose levels (20), and miR-301a mediated the effect of interleukin (IL)-6 on the AKT/glycogen synthase kinase pathway and hepatic glycogenesis through the regulation of phosphatase and tensin homolog (PTEN) expression (21). Furthermore, miR-200s contributed to IL-6-induced insulin resistance in hepatocytes (22). However, reports concerning the function of miR-152 were different depending on the cancer and tissue type. For example, Huang et al (23) reported that miR-152 targeted PTEN to inhibit cell apoptosis and promote cancer cell proliferation in nasopharyngeal carcinoma cells. However, in hepatocellular carcinoma, miR-152 inhibited tumor cell growth by directly targeting rhotekin (24). These different functions of miR-152 may be observed as miR-152 has multiple target genes. The results of the present study demonstrated that miR-152 promoted insulin secretion and pancreatic β proliferation, and insulin is a critical factor in the pathogenesis of diabetes. According to the bioinformatics, although several potential targets for miR-152 were identified, the binding of PI3Kα was of significant importance. As PI3Kα was previously reported to be implicated in the development and progression of T2D (6), the present study focused on PI3Kα as a target of miR-152. Overexpression of miR-152 resulted in a marked decrease in the protein expression of PI3Kα in MIN6 and INS-1 cells, while inhibition of miR-152 led to increased PI3Kα expression. Therefore, miR-152 may be involved in the regulation of insulin secretion and pancreatic β cell proliferation via PI3Kα. Consistently, the expression of miR-152 was lower, while the expression of PI3Kα mRNA was higher, in patients with T2D compared with healthy controls. However, further research is required to validate these findings and compare PI3Kα protein expression in blood samples of patients T2D and healthy volunteers. The expression of miR-152 in the blood samples may be due to the secretion of circulating miRNAs. Investigation of the plasma miR-152 levels in the present study was performed with the aim of identifying novel blood-based biomarkers for T2D diagnosis and prognosis. In addition, miR-152 expression was also analyzed in murine pancreatic islets. The results demonstrated that high-glucose treatment upregulated the expression of miR-152 and downregulated PI3Kα expression. Furthermore, in miRNA-152 overexpression islets, compared with mimic control-transfected islets, insulin secretion was markedly increased following treatment with high-glucose.

To the best of our knowledge, the present study provides novel experimental evidence demonstrating that miR-152 may function as a potential candidate for treating diabetes. However, further investigation is required in future studies.

References

1 

Danaei G, Finucane MM, Lu Y, Singh GM, Cowan MJ, Paciorek CJ, Lin JK, Farzadfar F, Khang YH, Stevens GA, et al: National, regional, and global trends in fasting plasma glucose and diabetes prevalence since 1980: Systematic analysis of health examination surveys and epidemiological studies with 370 country-years and 2.7 million participants. Lancet. 378:31–40. 2011. View Article : Google Scholar : PubMed/NCBI

2 

Meshkani R and Adeli K: Hepatic insulin resistance, metabolic syndrome and cardiovascular disease. Clin Biochem. 42:1331–1346. 2009. View Article : Google Scholar : PubMed/NCBI

3 

Muller D, Huang GC, Amiel S, Jones PM and Persaud SJ: Gene expression heterogeneity in human islet endocrine cells in vitro: The insulin signalling cascade. Diabetologia. 50:1239–1242. 2007. View Article : Google Scholar : PubMed/NCBI

4 

Dominguez V, Raimondi C, Somanath S, Bugliani M, Loder MK, Edling CE, Divecha N, da Silva-Xavier G, Marselli L, Persaud SJ, et al: Class II phosphoinositide 3-kinase regulates exocytosis of insulin granules in pancreatic beta cells. J Biol Chem. 286:4216–4225. 2011. View Article : Google Scholar : PubMed/NCBI

5 

Kolic J, Manning Fox JE, Chepurny OG, Spigelman AF, Ferdaoussi M, Schwede F, Holz GG and MacDonald PE: PI3 kinases p110α and PI3K-C2β negatively regulate cAMP via PDE3/8 to control insulin secretion in mouse and human islets. Mol Metab. 5:459–471. 2016. View Article : Google Scholar : PubMed/NCBI

6 

Kolic J, Spigelman AF, Plummer G, Leung E, Hajmrle C, Kin T, Shapiro AM, Manning Fox JE and MacDonald PE: Distinct and opposing roles for the phosphatidylinositol 3-OH kinase catalytic subunits p110α and p110β in the regulation of insulin secretion from rodent and human beta cells. Diabetologia. 56:1339–1349. 2013. View Article : Google Scholar : PubMed/NCBI

7 

Aoyagi K, Ohara-Imaizumi M, Nishiwaki C, Nakamichi Y, Ueki K, Kadowaki T and Nagamatsu S: Acute inhibition of PI3K-PDK1-Akt pathway potentiates insulin secretion through upregulation of newcomer granule fusions in pancreatic β-cells. PLoS One. 7:e473812012. View Article : Google Scholar : PubMed/NCBI

8 

Herranz H and Cohen SM: MicroRNAs and gene regulatory networks: Managing the impact of noise in biological systems. Genes Dev. 24:1339–1344. 2010. View Article : Google Scholar : PubMed/NCBI

9 

Lytle JR, Yario TA and Steitz JA: Target mRNAs are repressed as efficiently by microRNA-binding sites in the 5′ UTR as in the 3′ UTR. Proc Natl Acad Sci USA. 104:pp. 9667–9672. 2007; View Article : Google Scholar : PubMed/NCBI

10 

Arunachalam G, Lakshmanan AP, Samuel SM, Triggle CR and Ding H: Molecular interplay between microRNA-34a and sirtuin1 in hyperglycemia-mediated impaired angiogenesis in endothelial cells: Effects of metformin. J Pharmacol Exp Ther. 356:314–323. 2016. View Article : Google Scholar : PubMed/NCBI

11 

Poy MN, Eliasson L, Krutzfeldt J, Kuwajima S, Ma X, Macdonald PE, Pfeffer S, Tuschl T, Rajewsky N, Rorsman P and Stoffel M: A pancreatic islet-specific microRNA regulates insulin secretion. Nature. 432:226–230. 2004. View Article : Google Scholar : PubMed/NCBI

12 

Wang S, Wang L, Dou L, Guo J, Fang W, Li M, Meng X, Man Y, Shen T, Huang X and Li J: MicroRNA 152 regulates hepatic glycogenesis by targeting PTEN. FEBS J. 283:1935–1946. 2016. View Article : Google Scholar : PubMed/NCBI

13 

National Research Council (US) Institute for Laboratory Animal Research, . The Development of Science-based Guidelines for Laboratory Animal Care: Proceedings of the November 2003 International Workshop. Washington (DC). National Academies Press (US); 2004;

14 

Lau T, Carlsson PO and Leung PS: Evidence for a local angiotensin-generating system and dose-dependent inhibition of glucose-stimulated insulin release by angiotensin II in isolated pancreatic islets. Diabetologia. 47:240–248. 2004. View Article : Google Scholar : PubMed/NCBI

15 

Livak KJ and Schmittgen TD: Analysis of relative gene expression data using real-time quantitative PCR and the 2 (-Delta Delta C(T)) method. Methods. 25:402–408. 2001. View Article : Google Scholar : PubMed/NCBI

16 

Leclercq IA, Da Silva Morais A, Schroyen B, Van Hul N and Geerts A: Insulin resistance in hepatocytes and sinusoidal liver cells: Mechanisms and consequences. J Hepatol. 47:142–156. 2007. View Article : Google Scholar : PubMed/NCBI

17 

Joglekar MV, Parekh VS and Hardikar AA: Islet-specific microRNAs in pancreas development, regeneration and diabetes. Indian J Exp Biol. 49:401–408. 2011.PubMed/NCBI

18 

Mao Y, Mohan R, Zhang S and Tang X: MicroRNAs as pharmacological targets in diabetes. Pharmacol Res. 75:37–47. 2013. View Article : Google Scholar : PubMed/NCBI

19 

Plaisance V, Abderrahmani A, Perret-Menoud V, Jacquemin P, Lemaigre F and Regazzi R: MicroRNA-9 controls the expression of Granuphilin/Slp4 and the secretory response of insulin-producing cells. J Biol Chem. 281:26932–26942. 2006. View Article : Google Scholar : PubMed/NCBI

20 

Liang J, Liu C, Qiao A, Cui Y, Zhang H, Cui A, Zhang S, Yang Y, Xiao X, Chen Y, et al: MicroRNA-29a-c decrease fasting blood glucose levels by negatively regulating hepatic gluconeogenesis. J Hepatol. 58:535–542. 2013. View Article : Google Scholar : PubMed/NCBI

21 

Dou L, Wang S, Sui X, Meng X, Shen T, Huang X, Guo J, Fang W, Man Y, Xi J and Li J: MiR-301a mediates the effect of IL-6 on the AKT/GSK pathway and hepatic glycogenesis by regulating PTEN expression. Cell Physiol Biochem. 35:1413–1424. 2015. View Article : Google Scholar : PubMed/NCBI

22 

Dou L, Zhao T, Wang L, Huang X, Jiao J, Gao D, Zhang H, Shen T, Man Y, Wang S and Li J: miR-200s contribute to interleukin-6 (IL-6)-induced insulin resistance in hepatocytes. J Biol Chem. 288:22596–22606. 2013. View Article : Google Scholar : PubMed/NCBI

23 

Huang S, Li X and Zhu H: MicroRNA-152 targets phosphatase and tensin homolog to inhibit apoptosis and promote cell migration of nasopharyngeal carcinoma cells. Med Sci Monit. 22:4330–4337. 2016. View Article : Google Scholar : PubMed/NCBI

24 

Zhou J, Zhang Y, Qi Y, Yu D, Shao Q and Liang J: MicroRNA-152 inhibits tumor cell growth by directly targeting RTKN in hepatocellular carcinoma. Oncol Rep. 37:1227–1234. 2017. View Article : Google Scholar : PubMed/NCBI

Related Articles

  • Abstract
  • View
  • Download
  • Twitter
Copy and paste a formatted citation
Spandidos Publications style
Chen L, Qian H, Xue J, Zhang J and Chen H: MicroRNA‑152 regulates insulin secretion and pancreatic β cell proliferation by targeting PI3Kα. Mol Med Rep 18: 4113-4121, 2018.
APA
Chen, L., Qian, H., Xue, J., Zhang, J., & Chen, H. (2018). MicroRNA‑152 regulates insulin secretion and pancreatic β cell proliferation by targeting PI3Kα. Molecular Medicine Reports, 18, 4113-4121. https://doi.org/10.3892/mmr.2018.9359
MLA
Chen, L., Qian, H., Xue, J., Zhang, J., Chen, H."MicroRNA‑152 regulates insulin secretion and pancreatic β cell proliferation by targeting PI3Kα". Molecular Medicine Reports 18.4 (2018): 4113-4121.
Chicago
Chen, L., Qian, H., Xue, J., Zhang, J., Chen, H."MicroRNA‑152 regulates insulin secretion and pancreatic β cell proliferation by targeting PI3Kα". Molecular Medicine Reports 18, no. 4 (2018): 4113-4121. https://doi.org/10.3892/mmr.2018.9359
Copy and paste a formatted citation
x
Spandidos Publications style
Chen L, Qian H, Xue J, Zhang J and Chen H: MicroRNA‑152 regulates insulin secretion and pancreatic β cell proliferation by targeting PI3Kα. Mol Med Rep 18: 4113-4121, 2018.
APA
Chen, L., Qian, H., Xue, J., Zhang, J., & Chen, H. (2018). MicroRNA‑152 regulates insulin secretion and pancreatic β cell proliferation by targeting PI3Kα. Molecular Medicine Reports, 18, 4113-4121. https://doi.org/10.3892/mmr.2018.9359
MLA
Chen, L., Qian, H., Xue, J., Zhang, J., Chen, H."MicroRNA‑152 regulates insulin secretion and pancreatic β cell proliferation by targeting PI3Kα". Molecular Medicine Reports 18.4 (2018): 4113-4121.
Chicago
Chen, L., Qian, H., Xue, J., Zhang, J., Chen, H."MicroRNA‑152 regulates insulin secretion and pancreatic β cell proliferation by targeting PI3Kα". Molecular Medicine Reports 18, no. 4 (2018): 4113-4121. https://doi.org/10.3892/mmr.2018.9359
Follow us
  • Twitter
  • LinkedIn
  • Facebook
About
  • Spandidos Publications
  • Careers
  • Cookie Policy
  • Privacy Policy
How can we help?
  • Help
  • Live Chat
  • Contact
  • Email to our Support Team