Spandidos Publications Logo
  • About
    • About Spandidos
    • Aims and Scopes
    • Abstracting and Indexing
    • Editorial Policies
    • Reprints and Permissions
    • Job Opportunities
    • Terms and Conditions
    • Contact
  • Journals
    • All Journals
    • Oncology Letters
      • Oncology Letters
      • Information for Authors
      • Editorial Policies
      • Editorial Board
      • Aims and Scope
      • Abstracting and Indexing
      • Bibliographic Information
      • Archive
    • International Journal of Oncology
      • International Journal of Oncology
      • Information for Authors
      • Editorial Policies
      • Editorial Board
      • Aims and Scope
      • Abstracting and Indexing
      • Bibliographic Information
      • Archive
    • Molecular and Clinical Oncology
      • Molecular and Clinical Oncology
      • Information for Authors
      • Editorial Policies
      • Editorial Board
      • Aims and Scope
      • Abstracting and Indexing
      • Bibliographic Information
      • Archive
    • Experimental and Therapeutic Medicine
      • Experimental and Therapeutic Medicine
      • Information for Authors
      • Editorial Policies
      • Editorial Board
      • Aims and Scope
      • Abstracting and Indexing
      • Bibliographic Information
      • Archive
    • International Journal of Molecular Medicine
      • International Journal of Molecular Medicine
      • Information for Authors
      • Editorial Policies
      • Editorial Board
      • Aims and Scope
      • Abstracting and Indexing
      • Bibliographic Information
      • Archive
    • Biomedical Reports
      • Biomedical Reports
      • Information for Authors
      • Editorial Policies
      • Editorial Board
      • Aims and Scope
      • Abstracting and Indexing
      • Bibliographic Information
      • Archive
    • Oncology Reports
      • Oncology Reports
      • Information for Authors
      • Editorial Policies
      • Editorial Board
      • Aims and Scope
      • Abstracting and Indexing
      • Bibliographic Information
      • Archive
    • Molecular Medicine Reports
      • Molecular Medicine Reports
      • Information for Authors
      • Editorial Policies
      • Editorial Board
      • Aims and Scope
      • Abstracting and Indexing
      • Bibliographic Information
      • Archive
    • World Academy of Sciences Journal
      • World Academy of Sciences Journal
      • Information for Authors
      • Editorial Policies
      • Editorial Board
      • Aims and Scope
      • Abstracting and Indexing
      • Bibliographic Information
      • Archive
    • International Journal of Functional Nutrition
      • International Journal of Functional Nutrition
      • Information for Authors
      • Editorial Policies
      • Editorial Board
      • Aims and Scope
      • Abstracting and Indexing
      • Bibliographic Information
      • Archive
    • International Journal of Epigenetics
      • International Journal of Epigenetics
      • Information for Authors
      • Editorial Policies
      • Editorial Board
      • Aims and Scope
      • Abstracting and Indexing
      • Bibliographic Information
      • Archive
    • Medicine International
      • Medicine International
      • Information for Authors
      • Editorial Policies
      • Editorial Board
      • Aims and Scope
      • Abstracting and Indexing
      • Bibliographic Information
      • Archive
  • Articles
  • Information
    • Information for Authors
    • Information for Reviewers
    • Information for Librarians
    • Information for Advertisers
    • Conferences
  • Language Editing
Spandidos Publications Logo
  • About
    • About Spandidos
    • Aims and Scopes
    • Abstracting and Indexing
    • Editorial Policies
    • Reprints and Permissions
    • Job Opportunities
    • Terms and Conditions
    • Contact
  • Journals
    • All Journals
    • Biomedical Reports
      • Information for Authors
      • Editorial Policies
      • Editorial Board
      • Aims and Scope
      • Abstracting and Indexing
      • Bibliographic Information
      • Archive
    • Experimental and Therapeutic Medicine
      • Information for Authors
      • Editorial Policies
      • Editorial Board
      • Aims and Scope
      • Abstracting and Indexing
      • Bibliographic Information
      • Archive
    • International Journal of Epigenetics
      • Information for Authors
      • Editorial Policies
      • Editorial Board
      • Aims and Scope
      • Abstracting and Indexing
      • Bibliographic Information
      • Archive
    • International Journal of Functional Nutrition
      • Information for Authors
      • Editorial Policies
      • Editorial Board
      • Aims and Scope
      • Abstracting and Indexing
      • Bibliographic Information
      • Archive
    • International Journal of Molecular Medicine
      • Information for Authors
      • Editorial Policies
      • Editorial Board
      • Aims and Scope
      • Abstracting and Indexing
      • Bibliographic Information
      • Archive
    • International Journal of Oncology
      • Information for Authors
      • Editorial Policies
      • Editorial Board
      • Aims and Scope
      • Abstracting and Indexing
      • Bibliographic Information
      • Archive
    • Medicine International
      • Information for Authors
      • Editorial Policies
      • Editorial Board
      • Aims and Scope
      • Abstracting and Indexing
      • Bibliographic Information
      • Archive
    • Molecular and Clinical Oncology
      • Information for Authors
      • Editorial Policies
      • Editorial Board
      • Aims and Scope
      • Abstracting and Indexing
      • Bibliographic Information
      • Archive
    • Molecular Medicine Reports
      • Information for Authors
      • Editorial Policies
      • Editorial Board
      • Aims and Scope
      • Abstracting and Indexing
      • Bibliographic Information
      • Archive
    • Oncology Letters
      • Information for Authors
      • Editorial Policies
      • Editorial Board
      • Aims and Scope
      • Abstracting and Indexing
      • Bibliographic Information
      • Archive
    • Oncology Reports
      • Information for Authors
      • Editorial Policies
      • Editorial Board
      • Aims and Scope
      • Abstracting and Indexing
      • Bibliographic Information
      • Archive
    • World Academy of Sciences Journal
      • Information for Authors
      • Editorial Policies
      • Editorial Board
      • Aims and Scope
      • Abstracting and Indexing
      • Bibliographic Information
      • Archive
  • Articles
  • Information
    • For Authors
    • For Reviewers
    • For Librarians
    • For Advertisers
    • Conferences
  • Language Editing
Login Register Submit
  • This site uses cookies
  • You can change your cookie settings at any time by following the instructions in our Cookie Policy. To find out more, you may read our Privacy Policy.

    I agree
Search articles by DOI, keyword, author or affiliation
Search
Advanced Search
presentation
Molecular Medicine Reports
Join Editorial Board Propose a Special Issue
Print ISSN: 1791-2997 Online ISSN: 1791-3004
Journal Cover
September-2020 Volume 22 Issue 3

Full Size Image

Sign up for eToc alerts
Recommend to Library

Journals

International Journal of Molecular Medicine

International Journal of Molecular Medicine

International Journal of Molecular Medicine is an international journal devoted to molecular mechanisms of human disease.

International Journal of Oncology

International Journal of Oncology

International Journal of Oncology is an international journal devoted to oncology research and cancer treatment.

Molecular Medicine Reports

Molecular Medicine Reports

Covers molecular medicine topics such as pharmacology, pathology, genetics, neuroscience, infectious diseases, molecular cardiology, and molecular surgery.

Oncology Reports

Oncology Reports

Oncology Reports is an international journal devoted to fundamental and applied research in Oncology.

Experimental and Therapeutic Medicine

Experimental and Therapeutic Medicine

Experimental and Therapeutic Medicine is an international journal devoted to laboratory and clinical medicine.

Oncology Letters

Oncology Letters

Oncology Letters is an international journal devoted to Experimental and Clinical Oncology.

Biomedical Reports

Biomedical Reports

Explores a wide range of biological and medical fields, including pharmacology, genetics, microbiology, neuroscience, and molecular cardiology.

Molecular and Clinical Oncology

Molecular and Clinical Oncology

International journal addressing all aspects of oncology research, from tumorigenesis and oncogenes to chemotherapy and metastasis.

World Academy of Sciences Journal

World Academy of Sciences Journal

Multidisciplinary open-access journal spanning biochemistry, genetics, neuroscience, environmental health, and synthetic biology.

International Journal of Functional Nutrition

International Journal of Functional Nutrition

Open-access journal combining biochemistry, pharmacology, immunology, and genetics to advance health through functional nutrition.

International Journal of Epigenetics

International Journal of Epigenetics

Publishes open-access research on using epigenetics to advance understanding and treatment of human disease.

Medicine International

Medicine International

An International Open Access Journal Devoted to General Medicine.

Journal Cover
September-2020 Volume 22 Issue 3

Full Size Image

Sign up for eToc alerts
Recommend to Library

  • Article
  • Citations
    • Cite This Article
    • Download Citation
    • Create Citation Alert
    • Remove Citation Alert
    • Cited By
  • Similar Articles
    • Related Articles (in Spandidos Publications)
    • Similar Articles (Google Scholar)
    • Similar Articles (PubMed)
  • Download PDF
  • Download XML
  • View XML
Article Open Access

MicroRNA‑204‑5p inhibits the osteogenic differentiation of ankylosing spondylitis fibroblasts by regulating the Notch2 signaling pathway

  • Authors:
    • Jianjun Zhao
    • Yanyan Zhang
    • Bo Liu
  • View Affiliations / Copyright

    Affiliations: Department of Joint Surgery and Traumatic Orthopedics, Shouguang People's Hospital, Shouguang, Shandong 262700, P.R. China, Department of General Surgery, Shouguang People's Hospital, Shouguang, Shandong 262700, P.R. China, Department of Trauma Orthopedics, The No. 4 Hospital of Jinan, Jinan, Shandong 250031, P.R. China
    Copyright: © Zhao et al. This is an open access article distributed under the terms of Creative Commons Attribution License.
  • Pages: 2537-2544
    |
    Published online on: July 6, 2020
       https://doi.org/10.3892/mmr.2020.11303
  • Expand metrics +
Metrics: Total Views: 0 (Spandidos Publications: | PMC Statistics: )
Metrics: Total PDF Downloads: 0 (Spandidos Publications: | PMC Statistics: )
Cited By (CrossRef): 0 citations Loading Articles...

This article is mentioned in:



Abstract

Ankylosing spondylitis (AS) is a chronic inflammatory systemic disease and is difficult to detect in the early stages. The present study aimed to investigate the role of microRNA (miR)‑204‑5p in osteogenic differentiation of AS fibroblasts. Bone morphogenetic protein 2 (BMP‑2) was used to induce osteogenic differentiation. Cells were divided into the following groups: AS group, AS + BMP‑2 group, AS + BMP‑2 + miR‑negative control group, AS + BMP‑2 + miR‑204‑5p mimics group and AS + BMP‑2 + miR‑204‑5p mimics + pcDNA‑Notch2 group. The expression levels of miR‑204‑5p, Notch2, runt‑related transcription factor 2 (RUNX2) and osteocalcin were detected via reverse transcription‑quantitative PCR analysis. The binding site between Notch2 and miR‑204‑5p was predicted using TargetScan software and verified via the dual‑luciferase reporter assay. Alkaline phosphatase (ALP) activity was assessed via the ALP assay, while the mineralized nodules area was determined via the Alizarin Red S staining assay. The results demonstrated that Notch2 is a target gene of miR‑204‑5p. Furthermore, treatment with BMP‑2 significantly decreased miR‑204‑5p expression, and significantly increased ALP activity, the mineralized nodules area and the expression levels of Notch2, RUNX2 and osteocalcin in ligament fibroblasts (all P<0.05). Conversely, transfection with miR‑204‑5p mimics significantly increased miR‑204‑5p expression, and significantly decreased ALP activity, the mineralized nodules area and the expression levels of Notch2, RUNX2 and osteocalcin in ligament fibroblasts (all P<0.05). Notably, transfection with pcDNA‑Notch2 significantly reversed the inhibitory effects induced by miR‑204‑5p mimics on the osteogenic differentiation of ligament fibroblasts (all P<0.05). Furthermore, miR‑204‑5p inhibited the osteogenic differentiation of ligament fibroblasts in patients with AS by targeting Notch2. Thus, miR‑204‑5p may negatively regulate Notch2 expression and may be a potential therapeutic target for AS. Collectively, the results of the present study provide a theoretical basis for the effective treatment of patients with AS.

Introduction

Ankylosing spondylitis (AS) is a common chronic immune-mediated joint disease, which predominantly affects the spine and pelvis (1). Between May 2005 and May 2019, the total prevalence of AS in mainland China was 0.29% (2). AS is characterized by spinal pain, stiffness and new bone formation, which manifests ligament atrophy and joint stiffness (3). A previous study has demonstrated that there is no definite value in assessing the long-term prognosis and mortality of patients with AS (4). The number of patients with AS per 10,000 people is 23.8 in Europe, 16.7 in Asia, 31.9 in North America, 10.2 in Latin America and 7.4 in Africa (5). With the increasing incidence of AS, the therapeutic strategies of AS are also diversified, including the use of tumor necrosis factor blockers (6), radiotherapy (7), ultrasound combined exercise therapy (8) and surgical treatment (9). Furthermore, microRNAs (miRNAs/miRs) play a key role in regulating the immune function and autoimmunity (10). With the development of molecular targeting technology, research on miRNAs is of great interest for the treatment of AS.

miRNAs play a significant role in AS pathology by targeting the inflammation and bone remodeling genes (11). Notably, miR-204 regulates the transformation of mesenchymal stem cells into adipose and osteoblast cell lines (12). miR-204 is involved in the development of several diseases. For example, miR-204-5p plays a therapeutic role in aplastic anemic rats via the NF-kB signaling pathway (13), which is a target for AS treatment (14). Furthermore, the maintain bone morphogenetic protein (BMP)/SMAD (15), Wnt/β-catenin (16) and Notch (17) signaling pathways are involved in the process of AS. Specifically, the Notch2 signaling pathway is required to promote cell proliferation and maintain BMP signaling (18). There is a positive regulatory association between the Notch and NF-κB signaling pathways (19). However, whether miR-204-5p is involved in the regulation of the Notch signaling pathway, and whether it has an impact on osteogenic differentiation of AS fibroblasts have not yet been fully investigated.

BMP-2 is a member of the transforming growth factor-β superfamily that is synthesized and secreted by osteoblasts (20). BMP-2 is considered a common osteogenic agent, which can induce undifferentiated mesenchymal cells into cartilage and bone tissues (21). A previous study demonstrated that BMP-2 facilitates the osteogenic differentiation of bone marrow-derived mesenchymal stem cells by inducing alkaline phosphatase (ALP) activity, promoting mineralization, enhancing adherence and mediating the expression and activation of osteogenic markers (22).

In the current study mRNA expression was detected using reverse transcription-quantitative PCR (RT-qPCR). The binding site between Notch2 and miR-204-5p was predicted using TargetScan software and assessed via the dual-luciferase reporter assay. Moreover, ALP activity was assessed via the ALP assay, while the mineralized nodules area was determined via the Alizarin Red S staining assay. In addition, BMP-2 was used to induce osteogenic differentiation of AS fibroblasts, and the regulatory role of miR-204-5p on the osteogenic differentiation of AS fibroblasts, and the underlying molecular mechanism involving the Notch signaling pathway were assessed. Taken together, the results of the present study provide a theoretical basis for the treatment of patients with AS.

Materials and methods

Primary culture of ligament fibroblasts

A total of 20 patients with AS (20 men; age, 25–39 years; mean age, 30.2 years) who underwent surgical intervention at Shouguang People's Hospital between January 2016 and January 2018 were recruited in the present study. The bioptic tissues were collected from the 20 patients with AS. All patients were in the active stage, exhibiting inflammatory low back pain, notable ossification of the ankle joint, positive histocompatibility leukocyte antigen (HLA)-B27, and elevated levels of C-reactive protein and erythrocyte sedimentation rate (ESR). All patients met the New York Standard of the American College of Rheumatology revised in 1984 (23).

A total of 20 patients (20 men; age, 26–43 years; mean age, 31.5 years) who underwent hip arthroplasty for femoral neck fracture (excluding other types of osteoarthritis) between January 2017 and October 2017 were recruited as the control group in the present study. The hip ligament tissues were washed with physiological saline, immediately frozen in liquid nitrogen and stored at −80°C until further experimentation. The present study was approved by the Ethics Committee of Shouguang People's Hospital (approval no. SGSRMXY-2020-09) and written informed consent was provided by all patients prior to the study start.

The hip ligament tissues of patients with AS were rinsed three times with PBS supplemented with 300 U/ml penicillin and 300 µg/ml streptomycin (all Gibco; Thermo Fisher Scientific, Inc.). The ligament tissues were subsequently cut into 1-mm3-thick sections using ophthalmic scissors, and added into plates containing 5 ml serum-free DMEM medium and 0.2 µg/ml type I collagenase (all Invitrogen; Thermo Fisher Scientific, Inc.). The collagen fibers were removed by filtration at 1,000 r/min, through a 0.22 µm filter (EMD Millipore). The precipitated cells were cultured in DMEM medium supplemented with 20% serum and 1% streptomycin, at 37°C in 5% CO2 for 72 h.

Osteogenic differentiation of ligament fibroblasts

The osteogenic differentiation of ligament fibroblasts was induced by BMP-2 as previously described (24–26). Cells were divided into the following groups: AS group, AS + BMP-2 group, AS + BMP-2 + miR-negative control (NC) group, AS + BMP-2 + miR-204-5p mimics group and AS + BMP-2 + miR-204-5p mimics + pcDNA-Notch2 group. Cells were transfected with 50 nmol/l miR-204-5p mimics, miR-NC, pcDNA-Notch2 or pcDNA-NC (Shanghai GenePharma Co., Ltd.), using Lipofectamine® 2000 transfection reagent (Thermo Fisher Scientific, Inc.). The subsequent experiments were performed at 24 h post-transfection. Subsequently, cells were cultured in DMEM/H containing 10% fetal bovine serum, 0.05 mM vitamin C and 100 mM dexamethason (all Gibco; Thermo Fisher Scientific, Inc.). BMP-2 (200 ng/ml; Sigma-Aldrich; Merck KGaA) was added to all medium except the AS group. All cells were cultured in 5% CO2 at 37°C and induced for 14 days.

Reverse transcription-quantitative (RT-q)PCR

Total RNA was extracted from the hip ligament tissues and ligament fibroblasts using TRIzol® reagent (Invitrogen; Thermo Fisher Scientific, Inc.). Synthesis of cDNA using reverse transcriptase was performed with the PrimeScript RT Enzyme Mix I kit (Takara Bio, Inc.). The reaction mixtures were incubated at 37°C for 60 min, 95°C for 5 min and then held at 4°C. A total of 5 µl diluted RNA (1:20) was used to determine the concentration and purity of total RNA. miScript SYBR Green PCR kit (Qiagen, Inc.) was used to conduct the qPCR analysis. RT-qPCR was performed on an ABI7500 quantitative PCR machine (Thermo Fisher Scientific, Inc.). U6 was used as the internal control for miRNAs, and GAPDH served as the internal control for other genes. The primer sequences (Guangzhou Ruibo Biotechnology Co., Ltd.) are listed in Table I. The reaction conditions were as follows: 95°C for 10 min, followed by 40 cycles at 95°C for 10 sec, 60°C for 20 sec and 72°C for 34 sec. Relative expression levels were calculated using the 2−ΔΔCq method (27).

Table I.

Primer sequences used for quantitative PCR.

Table I.

Primer sequences used for quantitative PCR.

GeneSequence (5′-3′)
miR-204-5p (F) TTCCCTTTGTCATCCTATGCCT
miR-204-5p (R) TGGTGTCGTGGAGTCG
U6 (F) GCTTCGGCAGCACATATACTAAAAT
U6 (R) CGCTTCACGAATTTGCGTGTCAT
Notch2 (F) CACAGGGTTCATAGCCATCTC
Notch2 (R) GGAGGCGACCGAGAAGAT
RUNX2 (F) AGCTTCTGTCTGTGCCTTCTGG
RUNX2 (R) GGAGTAGAGAGGCAAGAGTTT
Osteocalcin (F) CTTTGTGTCCAAGCAGGA
Osteocalcin (R) CTGAAAGCCGATGTGGTCAE
GAPDH (F) GAAGGTGAAGGTCGGAGTC
GAPDH (R) GAAGATGGTGATGGGATTTC

[i] F, forward; R, reverse; miR, microRNA; RUNX2, runt-related transcription factor 2.

ALP staining and calcium salt deposition staining

After 7 days of culturing, cells (1×104 cells/well) from each group were collected and fixed. ALP activity was assessed using the ALP activity assay kit (cat. no. A059-2-2; Nanjing Jiancheng Bioengineering Institute) according to the manufacturer's protocol. ALP activity was measured at a wavelength of 520 nm, using a microplate reader (Molecular Devices LLC).

After 14 days of culturing, cells from each group were collected and stained with 2% Alizarin Red staining solution (pH 8.3; Nanjing KeyGen Biotech Co., Ltd.) at 37°C for 10 min. The solution was discarded, cells were washed with PBS and subsequently observed under a phase contrast microscope (light microscope), and the mineralized nodules area was counted at five high-power fields (magnification, ×100).

Western blotting

Ligament fibroblasts were lysed using RIPA lysate (Beyotime Institute of Biotechnology) at 4°C for 30 min. The supernatants were collected via centrifugation at 7,200 × g at 4°C for 10 min. Total protein was quantified using the bicinchoninic acid assay kit (Beyotime Institute of Biotechnology) and 60 µg protein/lane was separated via 10% separating gum and 5% concentrating gum. The separated proteins were subsequently transferred onto polyvinylidene difluoride membranes and blocked with 5% skim milk for 1 h at 37°C. The membranes were incubated with primary antibodies against: Notch2 (cat. no. ab8926), runt-related transcription factor 2 (RUNX2; cat. no. ab23981), osteocalcin (cat. no. ab93876), GAPDH (cat. no. ab9485) and rabbit anti-human (all 1:5,000 and from Abcam) overnight at 4°C. Following the primary incubation, membranes were incubated with horseradish peroxidase-labeled goat-anti-rabbit IgG secondary antibody (1:5,000; ca. no. ab6721; Abcam) for 1 h at 25°C. The protein blots were visualized using an enhanced chemiluminescence kit (Invitrogen; Thermo Fisher Scientific, Inc.). Protein bands were assessed using a luminescent image analysis software (Quantity One 1-D Analysis software; version 4.6.9; Bio-Rad Laboratories, Inc.). GAPDH was used as the internal control.

Dual-luciferase reporter assay

TargetScan software v3.0 (http://starbase.sysu.edu.cn.) was used to predict the targeting relationship between miR-204-5 and Notch2. A 3′-untranslated region (UTR) wild type (WT) plasmid of Notch2 (Notch2-3′-UTR-WT) was constructed according to the 3′-UTR sequence of Notch 2. Based on this plasmid, a binding site was mutated to construct a 3′-UTR mutant (MUT) plasmid (Notch2-3′-UTR-MUT). The construction and sequencing of the plasmids were performed by Sangon Biotech Co., Ltd. Subsequently, the constructed luciferase reporter plasmids, pmirGLO-Notch2-WT/pmirGLO-Notch2-MUT (Shanghai GenePharma Co., Ltd.) and miR-204-5p mimics/miR-NC were co-transfected into 293T cells (American Type Culture Collection) using Lipofectamine® 2000 transfection reagent (Thermo Fisher Scientific, Inc.). The luciferase activity was measured using the dual luciferase activity assay kit (Thermo Fisher Scientific, Inc.), 48 h post-transfection, and was normalized to Renilla luciferase activity.

Statistical analysis

Statistical analysis was performed using SPSS software (version 21.0; IBM Corp.) and data are presented as the mean ± standard deviation. All experiments were repeated three times. Unpaired Student's t-test was used to compare differences between two groups. One-way analysis of variance followed by Tukey's post hoc test was used to compare differences between multiple groups. P<0.05 was considered to indicate a statistically significant difference.

Results

Downregulation of miR-204-5p in hip capsules of patients with AS

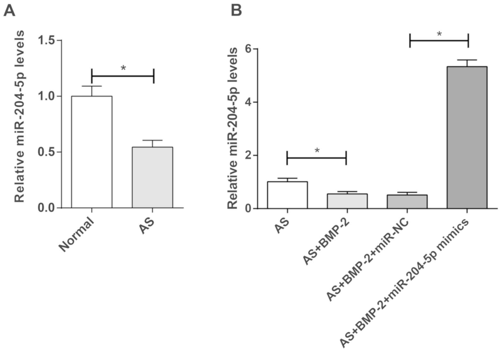
miR-204-5p expression was significantly lower in the hip joint capsules of patients with AS than in patients with femoral neck fracture (P<0.05; Fig. 1A). Additionally, miR-204-5p expression was significantly decreased in BMP-2-induced AS cells compared with untreated-cells (P<0.05; Fig. 1B). Furthermore, transfection of miR-204-5p mimics significantly increased miR-204-5p expression in BMP-2-induced AS cells (P<0.05; Fig. 1B).

Figure 1.

miR-204-5p expression in hip joint capsule tissues and ligament fibroblasts. (A) miR-204-5p expression in hip joint capsule tissues. (B) miR-204-5p expression in AS-derived ligament fibroblasts. U6 was used as the internal control. *P<0.05. miR, microRNA; AS, ankylosing spondylitis; BMP-2, bone morphogenetic protein 2; NC, negative control.

Upregulation of Notch2 expression in hip capsules of patients with AS

Notch2 mRNA expression was significantly higher in the hip joint capsules of patients with AS than that in patients with femoral neck fracture (P<0.05; Fig. 2A). Notch2 expression was significantly higher in the AS + BMP-2 group compared with the AS group, at both the mRNA and protein levels (P<0.05; Fig. 2B and C). Furthermore, the mRNA and protein levels of Notch2 were significantly decreased in the AS + BMP-2 + miR-204-5p mimics group compared with those in the AS + BMP-2 + miR-NC group (P<0.05; Fig. 2B and C).

Figure 2.

Notch2 expression in hip joint capsule tissues and ligament fibroblasts. (A) Notch2 expression in hip joint capsule tissues. (B) Notch2 mRNA expression in AS-derived ligament fibroblasts. (C) Notch2 protein expression in AS-derived ligament fibroblasts. GAPDH was used as the internal control. *P<0.05. AS, ankylosing spondylitis; BMP-2, bone morphogenetic protein 2; NC, negative control; miR, microRNA.

Notch2 is a target gene of miR-204-5p

The binding site for Notch2 and miR-204-5p was predicted using TargetScan software (Fig. 3A). The luciferase activity of cells co-transfected with miR-204-5p mimics and pmirGLO-Notch2-WT was significantly lower than those co-transfected with miR-204-5p mimics and pmirGLO-Notch2-MUT (P<0.05; Fig. 3B).

Figure 3.

Notch2 is the target gene of miR-204-5p. (A) The target site for Notch2 and miR-204-5p was predicted using TargetScan software. (B) Detection of dual-luciferase reporter activity. *P<0.05 vs. the miR-NC group. miR, microRNA; NC, negative control; UTR, untranslated region; WT, wild-type; MUT, mutant.

miR-204-5p inhibits osteogenic differentiation of ligament fibroblasts by targeting Notch2

The ALP activity of the AS + BMP-2 group was higher than that in the AS group (P<0.01; Fig. 4A). Furthermore, the ALP activity in the AS + BMP-2 + miR-204-5p mimics group was significantly lower than that in the AS + BMP-2 + miR-NC group (P<0.01; Fig. 4A). Notably, transfection with pcDNA-Notch2 significantly reversed the inhibitory effect induced by miR-204-5p mimics on the ALP activity of ligament fibroblasts (P<0.05; Fig. 4A).

Figure 4.

miR-204-5p inhibits the osteogenic differentiation of ligament fibroblasts by targeting Notch2. (A) ALP staining and (B) Alizarin Red S staining. *P<0.05 vs. the AS + BMP-2 + miR-204-5p mimics group; **P<0.01 vs. the AS and AS + BMP-2 + miR-NC groups, respectively. miR, microRNA; ALP, alkaline phosphatase; AS, ankylosing spondylitis; BMP-2, bone morphogenetic protein 2; NC, negative control; OD, optical density.

The mineralized nodules area in the AS + BMP-2 group was significantly increased compared with the AS group (P<0.01; Fig. 4B). Furthermore, the mineralized nodules area in the AS + BMP-2 + miR-204-5p mimics group was significantly decreased compared with the AS + BMP-2 + miR-NC group (P<0.01; Fig. 4B). Notably, transfection with pcDNA-Notch2 significantly reversed the inhibitory effect induced by miR-204-5p mimics on the mineralized nodules area of ligament fibroblasts (P<0.05; Fig. 4B).

miR-204-5p inhibits the expression of RUNX2 and osteocalcin by targeting Notch2

Transfection with pcDNA-Notch2 significantly increased Notch2 protein expression in ligament fibroblasts (P<0.01; Fig. 5A). The expression of RUNX2 and osteocalcin in the AS + BMP-2 group were significantly increased compared with the AS group, at both the mRNA and protein levels (P<0.01; Fig. 5B and C). Furthermore, the expression of RUNX2 and osteocalcin in the AS + BMP-2 + miR-204-5p mimics group were significantly decreased compared with the AS + BMP-2 + miR-NC group, at both the mRNA and protein levels (P<0.01; Fig. 5B and C). Notably, transfection with pcDNA-Notch2 significantly reversed the inhibitory effect induced by miR-204-5p mimics on the expression of RUNX2 and osteocalcin in ligament fibroblasts (P<0.05; Fig. 5B and C).

Figure 5.

miR-204-5p inhibits the expression of RUNX2 and osteocalcin. (A) Notch2 protein expression following transfection with pcDNA-Notch2. (B) mRNA expression of RUNX2 and osteocalcin. (C) Protein expression of RUNX2 and osteocalcin. GAPDH was used as the internal control. *P<0.05 vs. the AS + BMP-2 + miR-204-5p mimics group; **P<0.01 vs. the AS and AS + BMP-2 + miR-NC groups, respectively. miR, microRNA; RUNX2, runt-related transcription factor 2; AS, ankylosing spondylitis; BMP-2, bone morphogenetic protein 2; NC, negative control.

Discussion

AS is an autoimmune disease characterized by fibroblast ossification (28). Notably, inhibition of the ossification of AS fibroblasts is a common treatment for patients with AS (28). The present study aimed to determine whether miR-204-5p regulates the Notch signaling pathway, and subsequently affects the osteogenic differentiation of AS fibroblasts. The results demonstrated that miR-204-5p expression decreased in the hip capsule tissues of patients with AS, and Notch2 was identified as the target gene of miR-204-5p. Furthermore, miR-204-5p inhibited the osteogenic differentiation of AS fibroblasts by downregulating the expression of Notch2, RUNX2 and osteocalcin. Heterotopic ossification is one of the most prominent features of AS (29), and osteogenic differentiation of fibroblasts plays a key role in the heterotopic ossification of AS (30). miRNAs play important roles in regulating cell-cell interactions between osteoclasts and fibroblasts (31). For example, miR-204-5p is involved in the adjustability of adipogenesis and osteogenic differentiation of bone marrow stem cells (32). Zhang et al (33) reported that downregulating miR-204-5p expression increases RUNX2 expression and promotes osteoblast proliferation. Consistent with previous findings, the results of the present study demonstrated the overexpression of miR-204-5p inhibited RUNX2 expression, thereby inhibiting osteogenic differentiation of fibroblasts. In addition, overexpression of miR-204 has been reported to promote adipocyte differentiation and inhibit osteogenic differentiation, while miR-204 knockdown exerts the opposite effects (34). Taken together, these results suggest that miR-204-5p inhibits osteogenic differentiation, and thus can be used to treat patients with AS.

The results of the present study demonstrated that miR-204-5p inhibited the osteogenic differentiation of fibroblasts by targeting Notch2. Lee et al (35) and Cai et al (36) have reported that Notch2 is a target gene of miR-204-5p. In addition, Notch family members and their ligands are involved in the formation of articular cartilage at different locations, and the coordination of the ossification and extension of growth plates (37). Notably, the Notch signaling pathway significantly enhances BMP-2-induced osteogenesis of embryonic fibroblasts (38). BMP-2 is a well-known bone formation stimulating factor (39). However, downregulation of miR-204 expression by BMP-2 increases RUNX2 expression and enhances osteogenic differentiation (40). miR-204-5p also functions in inhibiting the osteogenic differentiation of AS fibroblasts by targeting RUNX2 (41).

RUNX2 and osteocalcin are key factors involved in the bone-repair process (42). The level of RUNX2 mRNA is higher in patients with AS than that in healthy controls (43). RUNX2 controls the differentiation and formation of osteoblasts by upregulating the transcription of the BMP-2 gene to differentiate osteoblast precursors into osteocytes (44). Furthermore, suppressing RUNX2 can initiate osteogenic differentiation, which participates in the anti-osteogenic differentiation of AS fibroblasts (45). The results of the present study indicated that miR-204-5p inhibited the osteogenic differentiation of fibroblasts by inhibiting RUNX2 expression. Yu et al (41) demonstrated that miR-204-5p positively regulates RUNX2 expression to promote osteogenic differentiation of calcific aortic valve disease. Conversely, Wang et al (46) reported that miR-204 inhibits RUNX2 expression and plays a negative role in regulating osteogenic differentiation. These previous findings suggest that the inhibition of RUNX2 expression contributes to the inhibitory effect induced by miR-204-5p on osteogenic differentiation.

Osteocalcin is the principle non-collagen component of the bone, which is considered a specific indicator of bone formation (47). Osteocalcin expression is notably higher in patients with AS than that in the control group (48). Furthermore, osteocalcin expression is significantly higher in patients with ankle stiffness and hip involvement than that in healthy controls (49). In the current study, osteocalcin expression was decreased in AS. miR-204-5p controls the osteogenic differentiation of fibroblasts by inhibiting osteocalcin expression (31). Thus, when miR-204-5p is inhibited, osteocalcin expression increases (31). Additionally, the expression of osteocalcin is downregulated by inhibiting RUNX2 expression and disrupting the activation of RUNX2 (50). Taken together, these results suggest that miR-204-5p is an important target to inhibit osteogenic differentiation through inhibiting the expression of RUNX2 and osteocalcin.

The current study had some limitations. Firstly, a relatively small number of studies have come from China, which limited the ability to identify the relationships between the miR-204-5p and AS. Moreover, the mechanism of miR-204-5p regulation on AS was only based on the experiments in vitro, and thus requires further investigation in vivo. In addition, the detailed mechanisms of action of miR-204-5p on AS are yet to be elucidated.

The present study investigated the osteogenic differentiation of ligament fibroblasts from patients with AS. The results demonstrated that miR-204-5p inhibited the expression of RUNX2 and osteocalcin in AS ligament fibroblasts by targeting Notch2, which provides a theoretical basis for the effective treatment of AS.

Acknowledgements

Not applicable.

Funding

No funding was received.

Availability of data and materials

The datasets used and/or analyzed during the current study are available from the corresponding author on reasonable request.

Authors' contributions

JZ: Substantial contributions to the conception and design of the work. YZ: Substantial contributions to acquisition of data. BL: Substantial contributions to interpretation of data. JZ and YZ: Performed the experiments. BL: Performed the data analysis. JZ and YZ: Drafting the manuscript and revising it critically for important intellectual content. BL: Revised the manuscript for critically important intellectual content. JZ, YZ and BL: Final approval of the version to be published. JZ, YZ and BL: Agreement to be accountable for all aspects of the work in ensuring that questions related to the accuracy or integrity of any part of the work are appropriately investigated and resolved. All authors read and approved the final manuscript.

Ethics approval and consent to participate

The present study was approved by the Ethics Committee of Shouguang People's Hospital (Shouguang, China; approval no. SGSRMXY-2020-09) and written informed consent was provided by all patients prior to the study start.

Patient consent for publication

Not applicable.

Competing interests

The authors declare that they have no competing interests.

References

1 

Robinson PC, Leo PJ, Pointon JJ, Harris J, Cremin K, Bradbury LA, Stebbings S, Harrison AA; Australian Osteoporosis Genetics Consortium; Wellcome Trust Case Control Consortium, ; et al: Exome-wide study of ankylosing spondylitis demonstrates additional shared genetic background with inflammatory bowel disease. NPJ Genom Med. 1:160082016. View Article : Google Scholar : PubMed/NCBI

2 

Zhao J, Huang C, Huang H, Pan JK, Zeng LF, Luo MH, Liang GH, Yang WY and Liu J: Prevalence of ankylosing spondylitis in a Chinese population: A systematic review and meta-analysis. Rheumatol Int. 40:859–872. 2020. View Article : Google Scholar : PubMed/NCBI

3 

Raychaudhuri SP and Deodhar A: The classification and diagnostic criteria of ankylosing spondylitis. J Autoimmun. 48:128–133. 2014. View Article : Google Scholar : PubMed/NCBI

4 

Ahsan T, Erum U, Jabeen R and Khowaja D: Ankylosing Spondylitis: A rheumatology clinic experience. Pak J Med Sci. 32:365–368. 2016.PubMed/NCBI

5 

Dean LE, Jones GT, MacDonald AG, Downham C, Sturrock RD and Macfarlane GJ: Global prevalence of ankylosing spondylitis. Rheumatology (Oxford). 53:650–657. 2014. View Article : Google Scholar : PubMed/NCBI

6 

Jethwa H and Bowness P: The interleukin (IL)-23/IL-17 axis in ankylosing spondylitis: New advances and potentials for treatment. Clin Exp Immunol. 183:30–36. 2016. View Article : Google Scholar : PubMed/NCBI

7 

Darby SC, Doll R, Gill SK and Smith PG: Long term mortality after a single treatment course with X-rays in patients treated for ankylosing spondylitis. Br J Cancer. 55:179–190. 1987. View Article : Google Scholar : PubMed/NCBI

8 

Şilte Karamanlioğlu D, Aktas I, Ozkan FU, Kaysin M and Girgin N: Effectiveness of ultrasound treatment applied with exercise therapy on patients with ankylosing spondylitis: A double-blind, randomized, placebo-controlled trial. Rheumatol Int. 36:653–661. 2016. View Article : Google Scholar : PubMed/NCBI

9 

Wang T, Wang D, Cong Y, Yin C, Li S and Chen X: Evaluating a posterior approach for surgical treatment of thoracolumbar pseudarthrosis in Ankylosing Spondylitis. Clin Spine Surg. 30:E13–E18. 2017. View Article : Google Scholar : PubMed/NCBI

10 

Wang M, Wang L, Zhang X, Yang X, Li X, Xia Q, Chen M, Han R, Liu R, Xu S and Pan F: Overexpression of miR-31 in Peripheral Blood Mononuclear Cells (PBMC) from patients with Ankylosing Spondylitis. Med Sci Monit. 23:5488–5494. 2017. View Article : Google Scholar : PubMed/NCBI

11 

Perez-Sanchez C, Font-Ugalde P, Ruiz-Limon P, Lopez-Pedrera C, Castro-Villegas MC, Abalos-Aguilera MC, Barbarroja N, Arias-de la Rosa I, Lopez-Montilla MD, Escudero-Contreras A, et al: Circulating microRNAs as potential biomarkers of disease activity and structural damage in Ankylosing Spondylitis patients. Hum Mol Genet. 27:875–890. 2018. View Article : Google Scholar : PubMed/NCBI

12 

He H, Chen K, Wang F, Zhao L, Wan X, Wang L and Mo Z: miR-204-5p promotes the adipogenic differentiation of human adipose-derived mesenchymal stem cells by modulating DVL3 expression and suppressing Wnt/β-catenin signaling. Int J Mol Med. 35:1587–1595. 2015. View Article : Google Scholar : PubMed/NCBI

13 

Wang Y, Niu ZY, Guo YJ, Wang LH, Lin FR and Zhang JY: IL-11 promotes the treatment efficacy of hematopoietic stem cell transplant therapy in aplastic anemia model mice through a NF-κB/microRNA-204/thrombopoietin regulatory axis. Exp Mol Med. 49:e4102017. View Article : Google Scholar : PubMed/NCBI

14 

Roozbehkia M, Mahmoudi M, Aletaha S, Rezaei N, Fattahi MJ, Jafarnezhad-Ansariha F, Barati A and Mirshafiey A: The potent suppressive effect of β-d-mannuronic acid (M2000) on molecular expression of the TLR/NF-kB Signaling Pathway in ankylosing spondylitis patients. Int Immunopharmacol. 52:191–196. 2017. View Article : Google Scholar : PubMed/NCBI

15 

Wang G, Cai J, Zhang J and Li C: Mechanism of triptolide in treating ankylosing spondylitis through the anti-ossification effect of the BMP/Smad signaling pathway. Mol Med Rep. 17:2731–2737. 2018.PubMed/NCBI

16 

Zou Y, Yang X, Yuan S, Zhang P, Ye Y and Li Y: Downregulation of dickkopf-1 enhances the proliferation and osteogenic potential of fibroblasts isolated from ankylosing spondylitis patients via the Wnt/β-catenin signaling pathway in vitro. Connect Tissue Res. 57:200–211. 2016. View Article : Google Scholar : PubMed/NCBI

17 

Xu W, Liang CG, Li YF, Ji YH, Qiu WJ and Tang XZ: Involvement of Notch1/Hes signaling pathway in ankylosing spondylitis. Int J Clin Exp Pathol. 8:2737–2745. 2015.PubMed/NCBI

18 

Zhou Y, Tanzie C, Yan Z, Chen S, Duncan M, Gaudenz K, Li H, Seidel C, Lewis B, Moran A, et al: Notch2 regulates BMP signaling and epithelial morphogenesis in the ciliary body of the mouse eye. Proc Natl Acad Sci USA. 110:8966–8971. 2013. View Article : Google Scholar : PubMed/NCBI

19 

Ruan ZB, Fu XL, Li W, Ye J, Wang RZ and Zhu L: Effect of notch1,2,3 genes silicing on NF-κB signaling pathway of macrophages in patients with atherosclerosis. Biomed Pharmacother. 84:666–673. 2016. View Article : Google Scholar : PubMed/NCBI

20 

Smith DM, Cooper GM, Mooney MP, Marra KG and Losee JE: Bone morphogenetic protein 2 therapy for craniofacial surgery. J Craniofac Surg. 19:1244–1259. 2008. View Article : Google Scholar : PubMed/NCBI

21 

Khosla S, Westendorf JJ and Oursler MJ: Building bone to reverse osteoporosis and repair fractures. J Clin Invest. 118:421–428. 2008. View Article : Google Scholar : PubMed/NCBI

22 

Sun J, Li J, Li C and Yu Y: Role of bone morphogenetic protein-2 in osteogenic differentiation of mesenchymal stem cells. Mol Med Rep. 12:4230–4237. 2015. View Article : Google Scholar : PubMed/NCBI

23 

van der Linden SM, Valkenburg HA, de Jongh BM and Cats A: The risk of developing ankylosing spondylitis in HLA-B27 positive individuals. A Comparison of Relatives of Spondylitis patients with the general population. Arthritis Rheum. 27:241–249. 1984. View Article : Google Scholar : PubMed/NCBI

24 

Hupkes M, Sotoca AM, Hendriks JM, van Zoelen EJ and Dechering KJ: MicroRNA miR-378 promotes BMP2-induced osteogenic differentiation of mesenchymal progenitor cells. BMC Mol Biol. 15:12014. View Article : Google Scholar : PubMed/NCBI

25 

Kanayama S, Kaito T, Kitaguchi K, Ishiguro H, Hashimoto K, Chijimatsu R, Otsuru S, Takenaka S, Makino T, Sakai Y, et al: ONO-1301 Enhances in vitro osteoblast differentiation and in vivo bone formation induced by bone morphogenetic protein. Spine (Phila Pa 1976). 43:E616–E624. 2018. View Article : Google Scholar : PubMed/NCBI

26 

Jung JI, Park KY, Lee Y, Park M and Kim J: Vitamin C-linker-conjugated tripeptide AHK stimulates BMP-2-induced osteogenic differentiation of mouse myoblast C2C12 cells. Differentiation. 101:1–7. 2018. View Article : Google Scholar : PubMed/NCBI

27 

Livak KJ and Schmittgen TD: Analysis of relative gene expression data using real-time quantitative PCR and the 2(-Delta Delta C(T)) method. Methods. 25:402–408. 2001. View Article : Google Scholar : PubMed/NCBI

28 

Qin X, Jiang T, Liu S, Tan J, Wu H, Zheng L and Zhao J: Effect of metformin on ossification and inflammation of fibroblasts in ankylosing spondylitis: An in vitro study. J Cell Biochem. 119:1074–1082. 2018. View Article : Google Scholar : PubMed/NCBI

29 

Zou YC, Yang XW, Yuan SG, Zhang P and Li YK: Celastrol inhibits prostaglandin E2-induced proliferation and osteogenic differentiation of fibroblasts isolated from ankylosing spondylitis hip tissues in vitro. Drug Des Devel Ther. 10:933–948. 2016.PubMed/NCBI

30 

Zhou YY, Huang RY, Lin JH, Xu YY, He XH and He YT: Bushen-Qiangdu-Zhilv decoction inhibits osteogenic differentiation of rat fibroblasts by regulating connexin 43. Exp Ther Med. 12:347–353. 2016. View Article : Google Scholar : PubMed/NCBI

31 

Yu F, Cui Y, Zhou X and Han J: Osteogenic differentiation of human ligament fibroblasts induced by conditioned medium of osteoclast-like cells. Biosci Trends. 5:46–51. 2011. View Article : Google Scholar : PubMed/NCBI

32 

Shang G, Wang Y, Xu Y, Zhang S, Sun X, Guan H, Zhao X, Wang Y, Li Y and Zhao G: Long non-coding RNA TCONS_00041960 enhances osteogenesis and inhibits adipogenesis of rat bone marrow mesenchymal stem cell by targeting miR-204-5p and miR-125a-3p. J Cell Physiol. 233:6041–6051. 2018. View Article : Google Scholar : PubMed/NCBI

33 

Zhang YY, Zhou JB, Zeng XW, Zhao FM and Zhan XQ: Effects of puerarin on proliferation of osteoblasts and Runx2-targeting miRNAs. Chinese Pharmacological Bulletin. 32:1457–1462. 2016.

34 

Zhao J, Wang C, Song Y and Fang B: Arsenic trioxide and microRNA-204 display contrary effects on regulating adipogenic and osteogenic differentiation of mesenchymal stem cells in aplastic anemia. Acta Biochim Biophys Sin (Shanghai). 46:885–893. 2014. View Article : Google Scholar : PubMed/NCBI

35 

Lee H, Kim KR, Cho NH, Hong SR, Jeong H, Kwon SY, Park KH, An HJ, Kim TH, Kim I, et al: MicroRNA expression profiling and Notch1 and Notch2 expression in minimal deviation adenocarcinoma of uterine cervix. World J Surg Oncol. 12:3342014. View Article : Google Scholar : PubMed/NCBI

36 

Cai B, Zheng Y, Ma S, Xing Q, Wang X, Yang B, Yin G and Guan F: BANCR contributes to the growth and invasion of melanoma by functioning as a competing endogenous RNA to upregulate Notch2 expression by sponging miR-204. Int J Oncol. 51:1941–1951. 2017. View Article : Google Scholar : PubMed/NCBI

37 

Hayes AJ, Dowthwaite GP, Webster SV and Archer CW: The distribution of Notch receptors and their ligands during articular cartilage development. J Anat. 202:495–502. 2003. View Article : Google Scholar : PubMed/NCBI

38 

Wei Y, Mou D, Lian J, Luo J and Tang M: Role of Notch signaling in BMP2-induced osteogenic differentiation of MEFs and its mechanism. Chin J Cell Biol. 40:478–489. 2018.

39 

Wegman F, Bijenhof A, Schuijff L, Oner FC, Dhert WJ and Alblas J: Osteogenic differentiation as a result of BMP-2 plasmid DNA based gene therapy in vitro and in vivo. Eur Cell Mater. 21:230–242. 2011. View Article : Google Scholar : PubMed/NCBI

40 

Song R, Fullerton DA, Ao L, Zhao KS and Meng X: An epigenetic regulatory loop controls pro-osteogenic activation by TGF-β1 or bone morphogenetic protein 2 in human aortic valve interstitial cells. J Biol Chem. 292:8657–8666. 2017. View Article : Google Scholar : PubMed/NCBI

41 

Yu C, Li L, Xie F, Guo S, Liu F, Dong N and Wang Y: LncRNA TUG1 sponges miR-204-5p to promote osteoblast differentiation through upregulating Runx2 in aortic valve calcification. Cardiovasc Res. 114:168–179. 2018. View Article : Google Scholar : PubMed/NCBI

42 

Liu Z, Yao X, Yan G, Xu Y, Yan J, Zou W and Wang G: Mediator MED23 cooperates with RUNX2 to drive osteoblast differentiation and bone development. Nat Commun. 7:111492016. View Article : Google Scholar : PubMed/NCBI

43 

Huang J, Song G, Yin Z, Fu Z and Ye Z: MiR-29a and messenger RNA expression of bone turnover markers in canonical Wnt pathway in patients with ankylosing spondylitis. Clin Lab. 63:955–960. 2017. View Article : Google Scholar : PubMed/NCBI

44 

Yang LQ, Dong CJ and Zhu S: Osteogenesis-related factor Runx2 expression in necrotic femoral head tissue: Study protocol for a non-randomized, parallel-controlled trial. Chinese Journal of Tissue Engineering Research. 2016.

45 

Zhou YY, Liu HX, Jiang N, Feng XH, Feng XY, Zhang HQ, Wu ZK, Liang HY, Jiang Q and Chen P: Elemene, the essential oil of Curcuma wenyujin, inhibits osteogenic differentiation in ankylosing spondylitis. Joint Bone Spine. 82:100–103. 2015. View Article : Google Scholar : PubMed/NCBI

46 

Wang Y, Chen S, Deng C, Li F, Wang Y, Hu X, Shi F and Dong N: MicroRNA-204 targets Runx2 to Attenuate BMP-2-induced osteoblast differentiation of human aortic valve interstitial cells. J Cardiovasc Pharmacol. 66:63–71. 2015. View Article : Google Scholar : PubMed/NCBI

47 

Franck H and Keck E: Serum osteocalcin and vitamin D metabolites in patients with ankylosing spondylitis. Ann Rheum Dis. 52:343–346. 1993. View Article : Google Scholar : PubMed/NCBI

48 

Kwon SR, Lim MJ, Suh CH, Park SG, Hong YS, Yoon BY, Kim HA, Choi HJ and Park W: Dickkopf-1 level is lower in patients with ankylosing spondylitis than in healthy people and is not influenced by anti-tumor necrosis factor therapy. Rheumatol Int. 32:2523–2527. 2012. View Article : Google Scholar : PubMed/NCBI

49 

Solmaz D, Bulbul H, Uslu S, Kozaci LD, Karaca N and Akar S: AB0157 serum level of the vascular endothelial growth factor is elevated in Ankylosing Spondylitis and Osteocalcin may be related with osteoproliferation. BMJ. 74 (Suppl 2):AB01572015.

50 

Jeon MJ, Kim JA, Kwon SH, Kim SW, Park KS, Park SW, Kim SY and Shin CS: Activation of peroxisome proliferator-activated receptor-gamma inhibits the Runx2-mediated transcription of osteocalcin in osteoblasts. J Biol Chem. 278:23270–23277. 2003. View Article : Google Scholar : PubMed/NCBI

Related Articles

  • Abstract
  • View
  • Download
  • Twitter
Copy and paste a formatted citation
Spandidos Publications style
Zhao J, Zhang Y and Liu B: MicroRNA‑204‑5p inhibits the osteogenic differentiation of ankylosing spondylitis fibroblasts by regulating the Notch2 signaling pathway. Mol Med Rep 22: 2537-2544, 2020.
APA
Zhao, J., Zhang, Y., & Liu, B. (2020). MicroRNA‑204‑5p inhibits the osteogenic differentiation of ankylosing spondylitis fibroblasts by regulating the Notch2 signaling pathway. Molecular Medicine Reports, 22, 2537-2544. https://doi.org/10.3892/mmr.2020.11303
MLA
Zhao, J., Zhang, Y., Liu, B."MicroRNA‑204‑5p inhibits the osteogenic differentiation of ankylosing spondylitis fibroblasts by regulating the Notch2 signaling pathway". Molecular Medicine Reports 22.3 (2020): 2537-2544.
Chicago
Zhao, J., Zhang, Y., Liu, B."MicroRNA‑204‑5p inhibits the osteogenic differentiation of ankylosing spondylitis fibroblasts by regulating the Notch2 signaling pathway". Molecular Medicine Reports 22, no. 3 (2020): 2537-2544. https://doi.org/10.3892/mmr.2020.11303
Copy and paste a formatted citation
x
Spandidos Publications style
Zhao J, Zhang Y and Liu B: MicroRNA‑204‑5p inhibits the osteogenic differentiation of ankylosing spondylitis fibroblasts by regulating the Notch2 signaling pathway. Mol Med Rep 22: 2537-2544, 2020.
APA
Zhao, J., Zhang, Y., & Liu, B. (2020). MicroRNA‑204‑5p inhibits the osteogenic differentiation of ankylosing spondylitis fibroblasts by regulating the Notch2 signaling pathway. Molecular Medicine Reports, 22, 2537-2544. https://doi.org/10.3892/mmr.2020.11303
MLA
Zhao, J., Zhang, Y., Liu, B."MicroRNA‑204‑5p inhibits the osteogenic differentiation of ankylosing spondylitis fibroblasts by regulating the Notch2 signaling pathway". Molecular Medicine Reports 22.3 (2020): 2537-2544.
Chicago
Zhao, J., Zhang, Y., Liu, B."MicroRNA‑204‑5p inhibits the osteogenic differentiation of ankylosing spondylitis fibroblasts by regulating the Notch2 signaling pathway". Molecular Medicine Reports 22, no. 3 (2020): 2537-2544. https://doi.org/10.3892/mmr.2020.11303
Follow us
  • Twitter
  • LinkedIn
  • Facebook
About
  • Spandidos Publications
  • Careers
  • Cookie Policy
  • Privacy Policy
How can we help?
  • Help
  • Live Chat
  • Contact
  • Email to our Support Team