Spandidos Publications Logo
  • About
    • About Spandidos
    • Aims and Scopes
    • Abstracting and Indexing
    • Editorial Policies
    • Reprints and Permissions
    • Job Opportunities
    • Terms and Conditions
    • Contact
  • Journals
    • All Journals
    • Oncology Letters
      • Oncology Letters
      • Information for Authors
      • Editorial Policies
      • Editorial Board
      • Aims and Scope
      • Abstracting and Indexing
      • Bibliographic Information
      • Archive
    • International Journal of Oncology
      • International Journal of Oncology
      • Information for Authors
      • Editorial Policies
      • Editorial Board
      • Aims and Scope
      • Abstracting and Indexing
      • Bibliographic Information
      • Archive
    • Molecular and Clinical Oncology
      • Molecular and Clinical Oncology
      • Information for Authors
      • Editorial Policies
      • Editorial Board
      • Aims and Scope
      • Abstracting and Indexing
      • Bibliographic Information
      • Archive
    • Experimental and Therapeutic Medicine
      • Experimental and Therapeutic Medicine
      • Information for Authors
      • Editorial Policies
      • Editorial Board
      • Aims and Scope
      • Abstracting and Indexing
      • Bibliographic Information
      • Archive
    • International Journal of Molecular Medicine
      • International Journal of Molecular Medicine
      • Information for Authors
      • Editorial Policies
      • Editorial Board
      • Aims and Scope
      • Abstracting and Indexing
      • Bibliographic Information
      • Archive
    • Biomedical Reports
      • Biomedical Reports
      • Information for Authors
      • Editorial Policies
      • Editorial Board
      • Aims and Scope
      • Abstracting and Indexing
      • Bibliographic Information
      • Archive
    • Oncology Reports
      • Oncology Reports
      • Information for Authors
      • Editorial Policies
      • Editorial Board
      • Aims and Scope
      • Abstracting and Indexing
      • Bibliographic Information
      • Archive
    • Molecular Medicine Reports
      • Molecular Medicine Reports
      • Information for Authors
      • Editorial Policies
      • Editorial Board
      • Aims and Scope
      • Abstracting and Indexing
      • Bibliographic Information
      • Archive
    • World Academy of Sciences Journal
      • World Academy of Sciences Journal
      • Information for Authors
      • Editorial Policies
      • Editorial Board
      • Aims and Scope
      • Abstracting and Indexing
      • Bibliographic Information
      • Archive
    • International Journal of Functional Nutrition
      • International Journal of Functional Nutrition
      • Information for Authors
      • Editorial Policies
      • Editorial Board
      • Aims and Scope
      • Abstracting and Indexing
      • Bibliographic Information
      • Archive
    • International Journal of Epigenetics
      • International Journal of Epigenetics
      • Information for Authors
      • Editorial Policies
      • Editorial Board
      • Aims and Scope
      • Abstracting and Indexing
      • Bibliographic Information
      • Archive
    • Medicine International
      • Medicine International
      • Information for Authors
      • Editorial Policies
      • Editorial Board
      • Aims and Scope
      • Abstracting and Indexing
      • Bibliographic Information
      • Archive
  • Articles
  • Information
    • Information for Authors
    • Information for Reviewers
    • Information for Librarians
    • Information for Advertisers
    • Conferences
  • Language Editing
Spandidos Publications Logo
  • About
    • About Spandidos
    • Aims and Scopes
    • Abstracting and Indexing
    • Editorial Policies
    • Reprints and Permissions
    • Job Opportunities
    • Terms and Conditions
    • Contact
  • Journals
    • All Journals
    • Biomedical Reports
      • Information for Authors
      • Editorial Policies
      • Editorial Board
      • Aims and Scope
      • Abstracting and Indexing
      • Bibliographic Information
      • Archive
    • Experimental and Therapeutic Medicine
      • Information for Authors
      • Editorial Policies
      • Editorial Board
      • Aims and Scope
      • Abstracting and Indexing
      • Bibliographic Information
      • Archive
    • International Journal of Epigenetics
      • Information for Authors
      • Editorial Policies
      • Editorial Board
      • Aims and Scope
      • Abstracting and Indexing
      • Bibliographic Information
      • Archive
    • International Journal of Functional Nutrition
      • Information for Authors
      • Editorial Policies
      • Editorial Board
      • Aims and Scope
      • Abstracting and Indexing
      • Bibliographic Information
      • Archive
    • International Journal of Molecular Medicine
      • Information for Authors
      • Editorial Policies
      • Editorial Board
      • Aims and Scope
      • Abstracting and Indexing
      • Bibliographic Information
      • Archive
    • International Journal of Oncology
      • Information for Authors
      • Editorial Policies
      • Editorial Board
      • Aims and Scope
      • Abstracting and Indexing
      • Bibliographic Information
      • Archive
    • Medicine International
      • Information for Authors
      • Editorial Policies
      • Editorial Board
      • Aims and Scope
      • Abstracting and Indexing
      • Bibliographic Information
      • Archive
    • Molecular and Clinical Oncology
      • Information for Authors
      • Editorial Policies
      • Editorial Board
      • Aims and Scope
      • Abstracting and Indexing
      • Bibliographic Information
      • Archive
    • Molecular Medicine Reports
      • Information for Authors
      • Editorial Policies
      • Editorial Board
      • Aims and Scope
      • Abstracting and Indexing
      • Bibliographic Information
      • Archive
    • Oncology Letters
      • Information for Authors
      • Editorial Policies
      • Editorial Board
      • Aims and Scope
      • Abstracting and Indexing
      • Bibliographic Information
      • Archive
    • Oncology Reports
      • Information for Authors
      • Editorial Policies
      • Editorial Board
      • Aims and Scope
      • Abstracting and Indexing
      • Bibliographic Information
      • Archive
    • World Academy of Sciences Journal
      • Information for Authors
      • Editorial Policies
      • Editorial Board
      • Aims and Scope
      • Abstracting and Indexing
      • Bibliographic Information
      • Archive
  • Articles
  • Information
    • For Authors
    • For Reviewers
    • For Librarians
    • For Advertisers
    • Conferences
  • Language Editing
Login Register Submit
  • This site uses cookies
  • You can change your cookie settings at any time by following the instructions in our Cookie Policy. To find out more, you may read our Privacy Policy.

    I agree
Search articles by DOI, keyword, author or affiliation
Search
Advanced Search
presentation
Molecular Medicine Reports
Join Editorial Board Propose a Special Issue
Print ISSN: 1791-2997 Online ISSN: 1791-3004
Journal Cover
May-2021 Volume 23 Issue 5

Full Size Image

Sign up for eToc alerts
Recommend to Library

Journals

International Journal of Molecular Medicine

International Journal of Molecular Medicine

International Journal of Molecular Medicine is an international journal devoted to molecular mechanisms of human disease.

International Journal of Oncology

International Journal of Oncology

International Journal of Oncology is an international journal devoted to oncology research and cancer treatment.

Molecular Medicine Reports

Molecular Medicine Reports

Covers molecular medicine topics such as pharmacology, pathology, genetics, neuroscience, infectious diseases, molecular cardiology, and molecular surgery.

Oncology Reports

Oncology Reports

Oncology Reports is an international journal devoted to fundamental and applied research in Oncology.

Experimental and Therapeutic Medicine

Experimental and Therapeutic Medicine

Experimental and Therapeutic Medicine is an international journal devoted to laboratory and clinical medicine.

Oncology Letters

Oncology Letters

Oncology Letters is an international journal devoted to Experimental and Clinical Oncology.

Biomedical Reports

Biomedical Reports

Explores a wide range of biological and medical fields, including pharmacology, genetics, microbiology, neuroscience, and molecular cardiology.

Molecular and Clinical Oncology

Molecular and Clinical Oncology

International journal addressing all aspects of oncology research, from tumorigenesis and oncogenes to chemotherapy and metastasis.

World Academy of Sciences Journal

World Academy of Sciences Journal

Multidisciplinary open-access journal spanning biochemistry, genetics, neuroscience, environmental health, and synthetic biology.

International Journal of Functional Nutrition

International Journal of Functional Nutrition

Open-access journal combining biochemistry, pharmacology, immunology, and genetics to advance health through functional nutrition.

International Journal of Epigenetics

International Journal of Epigenetics

Publishes open-access research on using epigenetics to advance understanding and treatment of human disease.

Medicine International

Medicine International

An International Open Access Journal Devoted to General Medicine.

Journal Cover
May-2021 Volume 23 Issue 5

Full Size Image

Sign up for eToc alerts
Recommend to Library

  • Article
  • Citations
    • Cite This Article
    • Download Citation
    • Create Citation Alert
    • Remove Citation Alert
    • Cited By
  • Similar Articles
    • Related Articles (in Spandidos Publications)
    • Similar Articles (Google Scholar)
    • Similar Articles (PubMed)
  • Download PDF
  • Download XML
  • View XML
Article

miR‑101‑3p negatively regulates inflammation in systemic lupus erythematosus via MAPK1 targeting and inhibition of the NF‑κB pathway

  • Authors:
    • Xiaoying Zhao
    • Sijia Li
    • Zhe Wang
    • Ning Bai
    • Yuan Feng
  • View Affiliations / Copyright

    Affiliations: Department of Hematology and Rheumatology, Hanzhong Central Hospital, Hanzhong, Shaanxi 723000, P.R. China, Department of Clinical Immunology, Xijing Hospital, Fourth Military Medical University, Xi'an, Shaanxi 710032, P.R. China, Department of Pathology, Hanzhong Central Hospital, Hanzhong, Shaanxi 723000, P.R. China, Department of Rheumatology and Immunology, Tangdu Hospital, Fourth Military Medical University, Xi'an, Shaanxi 710038, P.R. China
  • Article Number: 359
    |
    Published online on: March 12, 2021
       https://doi.org/10.3892/mmr.2021.11998
  • Expand metrics +
Metrics: Total Views: 0 (Spandidos Publications: | PMC Statistics: )
Metrics: Total PDF Downloads: 0 (Spandidos Publications: | PMC Statistics: )
Cited By (CrossRef): 0 citations Loading Articles...

This article is mentioned in:



Abstract

Systemic lupus erythematosus (SLE) is an autoimmune disease often used as a model in genomics research. The downregulation of microRNA‑101‑3p (miR‑101‑3p) participates in the progression of SLE, although the underlying mechanisms remain to be elucidated. The present study aimed to evaluate the specific roles of miR‑101‑3p in the SLE inflammatory response and its potential mechanisms. Reverse transcription‑quantitative (RT‑q) PCR was used to profile miR‑101‑3p expression in the peripheral blood mononuclear cells (PBMCs) from 40 female patients with SLE and 20 female healthy volunteers. The interactions between miR‑101‑3p and MAPK1 were identified and evaluated using dual‑luciferase reporter and RNA pull‑down assays. The levels of IL‑10 and IFN‑γ were evaluated by enzyme‑linked immunosorbent assay. The expression of NF‑κB p65 and phosphorylated IκBα were evaluated using western blotting. miR‑101‑3p expression was demonstrated to be downregulated in SLE PBMCs. miR‑101‑3p negatively regulated IL‑10 and IFN‑γ expression in SLE samples and was demonstrated to target MAPK1. Increases in MAPK1 expression eliminated miR‑101‑3p inhibition of IL‑10 and IFN‑γ. MAPK1 activated the NF‑κB pathway in SLE PBMCs and this activation was inhibited when miR‑101‑3p was overexpressed. In addition, treatment with BAY11‑7085 (NF‑κB activator) was demonstrated to reverse the inhibitory effects of miR‑101‑3p expression on both IL‑10 and IFN‑γ in SLE PBMCs. BAY11‑7082 also markedly reduced MAPK1‑induced increases in IL‑10 and IFN‑γ in SLE PBMCs. miR‑101‑3p overexpression attenuated the inflammatory response in SLE PBMCs by inhibiting the expression of MAPK1 and blocking the NF‑κB pathway. The results revealed a novel regulatory mechanism in SLE inflammation and offer a new direction for the development of SLE treatments.

Introduction

Systemic lupus erythematosus (SLE) is a serious autoimmune disease that predominantly affects women (1). SLE is characterized by widespread inflammation and tissue damage in multiple organs, including the blood vessels, liver, kidneys, skin, heart and joints (2). The hyperactivation of T and B lymphocytes as well as the increased expression of specific inflammatory cytokines directly contribute to the occurrence of SLE (3). A previous study demonstrated that SLE is characterized by a clear increase in IL-10, IL-2 and IFN-γ production during exacerbation (4). In clinical practice, hydroxychloroquine, corticosteroids and cyclophosphamide are commonly used in the treatment of SLE (5). However, these interventions are often accompanied by serious adverse events including blindness, osteoporosis and infertility (6), making the identification of novel targets for SLE treatment a high priority.

microRNAs (miRNAs/miRs) are important regulators involved in the pathogenesis of diverse autoimmune diseases, including SLE (7,8). Previous studies have demonstrated that several miRNAs, including miR-125b (9), miR-410 (10) and miR-15b (11), are downregulated in SLE and increasing evidence suggests that these and other miRNAs serve a pivotal regulatory role in SLE. For example, the downregulation of miR-633 increases the expression of inflammatory chemokines in SLE (12), while overexpression of miR-155 attenuates autoantibody production and inflammatory responses by increasing IL-21 signaling capacity in patients with SLE (13). Upregulation of miR-30a accelerates B cell proliferation and IgG antibody production in patients with SLE (14). Previous studies have identified miR-101-3p as an important regulator in the progression of inflammatory diseases. miR-101-3p is a diagnostic biomarker for several autoimmune disorders and attenuates the inflammation and fibroblast-like synoviocyte proliferation in rheumatoid arthritis via its interactions with prostaglandin-endoperoxide synthase 2 (15). Sun et al (16) demonstrated that miR-101-3p expression is decreased in SLE and that miR-101-3p overexpression reduces the production of inflammatory cytokines (IFN-γ, IL-6 and IL-17A) in the peripheral blood mononuclear cells (PBMCs) of SLE patients, making it a potential novel therapeutic target for SLE. However, the molecular mechanism underlying miR-101-3p activity in SLE remains to be elucidated. Therefore, it is necessary to explore the detailed molecular mechanism underlying the activities of miR-101-3p in SLE.

MAPKs, a family of serine/threonine kinases, are known to be closely linked to the pathogenesis of SLE (17). Blocking the activation of p38 MAPK reduces IFN-γ and IL-6 production in SLE samples (18). Notably, miR-101 is known to regulate the MAPK response by targeting MAPK phosphatase 1, influencing the secretion of the downstream inflammatory cytokines in SLE (19). However, the specific regulatory relationship between miR-101-3p and the MAPK proteins in SLE remains to be elucidated.

The NF-κB pathway is known to be a prototypical pro-inflammatory pathway (20), where NF-κB modulates the transcriptional activation of diverse genes involved in autoimmune diseases including SLE (21,22). Previous studies have reported that the NF-κB pathway serves a pivotal role in the pathology of SLE with the expression of several NF-κB pathway proteins experiencing marked upregulation in patients with SLE (23). Inhibition of NF-κB activity in SLE-prone mice visibly reduces the incidence and severity of the disease (18). Notably, miR-146a has been demonstrated to attenuate the development of SLE via its inhibition of the NF-κB pathway (24). In addition, following miR-101 suppression, the activation levels in the NF-κB signaling pathway increase significantly, inducing increased neuropathic pain (25). However, despite the ample evidence of their interaction, the exact relationship between miR-101-3p and the NF-κB pathway in SLE remains unclear.

The present study evaluated miR-101-3p expression in SLE PBMCs and its specific effects on the inflammatory response of these cells. The underlying mechanisms facilitating the interactions between miR-101-3p and MAPK1 or NF-κB were then determined with the aim of enhancing the understanding of their regulatory mechanism. The findings of the present study may identify a promising therapeutic target for SLE and elucidate the underlying mechanism of action for miR-101-3p in SLE.

Materials and methods

Patients

A total of 40 female patients with SLE and 20 healthy controls (HC), receiving treatment at Xijing Hospital, were enrolled in the present study between June 2016 and August 2018 and any SLE diagnoses were based on the revised criteria issued by the American College of Rheumatology in 1997 (26). All HC volunteers had no history of SLE, other autoimmune inflammatory disease or cancer. Patients with SLE and concurrent infection or additional inflammatory diseases were excluded from the study. Disease activity was assessed using the SLE Disease Activity Index (SLEDAI) (27). To exclude the influence of certain therapies on gene expression, all SLE medications were withheld 24 h before sampling. The characteristics of patients with SLE and HCs are described in Table I and no significant differences in age or serum creatinine were identified. The present study was approved by the Institutional Ethics Committee of the Xijing Hospital (approval no. 20181016) and written informed consent from both patients and volunteers were obtained prior to sample collection.

Table I.

The clinical characteristics of patients with SLE and HC.

Table I.

The clinical characteristics of patients with SLE and HC.

CharacteristicSLE (n=40)HC (n=20)P-value
Male:Female0:400:20–
Age34.7±1134.7±8.70.99
SLEDAI12.2±3.1––
Serum creatinine (µmol/l)78±20   75±200.70
Anti-dsDNA (IU/ml)234±27.9––
ESR (mm/h)85.6±24.111.5±4.6<0.0001
CRP (mg/l)61.5±28.4   6.52±1.65<0.0001
IgG (g/l)23.3±10.6––
C3 (g/l)0.68±0.23––
Clinical features (no. of patients)
  Arthritis10––
  Leukopenia13––
  Rash6––
  Serositis6––
  Leukopenia11––
  Oral ulcers8––
  Renal disease15––
Treatment (no. of patients)
  Hydroxychloroquine19––
  Prednisone18––
  None6––

[i] The data were presented as mean ± standard deviation. SLE, Systemic lupus erythematosus; HC, healthy control; SLEDAI, SLE Disease Activity Index; Anti-dsDNA, anti-double stranded DNA; ESR, erythrocyte sedimentation rate; CRP, C-reactive protein; IgG, immunoglobulin G; C3, complement 3.

Measurements of blood samples

Evaluations were completed using peripheral blood samples (10 ml) collected from patients with SLE (n=40) and HC (n=20) from the Xijing Hospital. The erythrocyte sedimentation rate (ESR) was measured using a modified Westergren method (Excyte ESR Non-Vacuum Tubes kit; cat. no. EX-10100; Vital Diagnostics Pty. Ltd.). An IMMAGE 800 fully automatic protein analyzer (Beckman Coulter, Inc.) was employed to test the levels of C-reactive protein (CRP) and complement 3 (C3). Anti-double stranded DNA (anti-dsDNA) and immunoglobulin G (IgG) antibodies were then evaluated using a human anti-dsDNA ELISA kit (cat. no. 69-98345; mskbio) or human IgG ELISA kit (cat. no. 69-99047; mskbio) respectively.

Cell culture

Peripheral blood samples were collected from patients with SLE and PBMCs were isolated by Ficoll-Paque density gradient centrifugation (GE Healthcare Bio-Sciences). Briefly, 4 ml Ficoll (GE Healthcare Bio-Sciences) was added to a centrifuge tube with the diluted peripheral blood (4 ml), and centrifuged at 1,000 × g for 30 min at 20°C. The PBMC layer was transferred into a new centrifuge tube, washed with 3× the volume of PBS, centrifuged at 250 × g for 10 min at 20°C, and then the supernatant was removed. The washing step was repeated once and then PBMCs were resuspended in PBS. PBMCs were maintained in RPMI1640 (HyClone; Cytiva) supplemented with 10% fetal bovine serum (HyClone; Cytiva) and grown at 37°C and 5% CO2. Logarithmic growth phase cells were used for all subsequent assays.

Cell transfection and treatment

The miR-101-3p mimics or inhibitor were used in either the overexpression or silencing of miR-101-3p, respectively. The MAPK1 gene was cloned into a pcDNA3.1 vector for MAPK1 overexpression (pcDNA3.1-MAPK1). Small interfering RNAs (siRNAs) that specifically targeted MAPK1 (si-MAPK1-1/2/3) were used to silence MAPK1. The mimics-NC, inhibitor-NC, pcDNA3.1 (empty vector) and si-NC served as the relevant negative controls of miR-101-3p mimics, miR-101-3p inhibitor, pcDNA3.1-MAPK1 and si-MAPK1-1/2/3, respectively. The sequences of oligonucleotides used were as follows: si-MAPK1-1, sense 5′-AGUUCGAGUAUACUUCAAGTT-3′ and antisense 5′-CUUGAUAGCGCUACGAACUTT-3′; si-MAPK1-2, sense 5′-CAUGGUAGUCACUAACAUATT-3′ and antisense 5′-UAUGUUAGUGACUACCAUGTT-3′; si-MAPK1-3, sense 5′-GAAGCGUGCAGGUUAACUTT-3′ and antisense 5′-GUACUGCAACGCACAUUUCTT-3′; si-NC, sense 5′-UUCUCCGAACGUGUCACGUTT-3′ and antisense 5′-ACGUGACACGUUCGGAGAATT-3′; miR-101-3p mimics, sense 5′-UACAGUACUGUGAUAACUGAA-3′ and antisense 5′-UUCAGUUAUCACAGUACUGUA-3′; mimics-NC, sense 5′-UUUGUACUACACAAAAGUACUG-3′ and antisense 5′-CAGUACUUUUGUGUAGUACAAA-3′; miR-101-3p inhibitor, 5′-UUCAGUUAUCACAGUACUGUA-3′; inhibitor NC, 5′-CAGUACUUUUGUGUAGUACAA-3′. All the above oligonucleotides or plasmids were purchased from Shanghai GenePharma Co., Ltd.. When the SLE PBMCs reached 60% confluence, they were transfected or co-transfected with the relevant oligonucleotides (30 nM) or plasmids (1.5 µg per well) using Lipofectamine® 3000 (Invitrogen; Thermo Fisher Scientific, Inc.) according to manufacturer's protocols. All cells were cultured for 48 h at 37°C with 5% CO2. The subsequent experiments were performed 48 h after transfection, when these cells were used for the assays of the regulatory mechanism of miR-101-3p/MAPK1 axis on inflammation and NF-κB pathway in SLE. To further explore the regulatory relationship between miR-101-3p/MAPK1 and the NF-κB pathway, BAY11-7085, an NF-κB activator and BAY11-7082, an NF-κB inhibitor, were used to activate or block the NF-κB pathway, respectively. SLE PBMCs transfected with miR-101-3p mimics were treated with 5 µmol/l BAY11-7085 and SLE PBMCs transfected with pcDNA3.1-MAPK1 were treated with 5 µmol/l BAY11-7082 for an additional 48 h. After the treatment, cells were used for the assays of the regulatory mechanism of miR-101-3p/MAPK1 associated with the NF-κB pathway in the inflammation of SLE. SLE PBMCs without treatment were considered as the Mock group.

Bioinformatics-based prediction and analyses

The online tools StarBase V2.0 (http://starbase.sysu.edu.cn/starbase2) and miRDB (http://mirdb.org) were employed to predict the possible target genes of miR-101-3p and the MAPK1 gene was simultaneously identified by both prediction tools. Notably, MAPK1 gene expression is upregulated in patients with SLE and correlates with inflammatory cytokine expression. MAPK1 (ERK2) was therefore selected as the target of miR-101-3p in the subsequent analyses.

Reverse transcription-quantitative (RT-q) PCR

Total RNA was extracted from PBMCS by TRIzol® reagent (Thermo Fisher Scientific, Inc.). The corresponding RNA was reverse transcribed into cDNA using an ExScript RT reagent kit (Takara Biotechnology Co., Ltd.) following DNase I (Sigma-Aldrich; Merck KGaA) treatment. Reverse transcription conditions were 55°C for 20 min and 80°C for 10 min. Then, RT-qPCR analysis was detected using the SYBR Green qPCR Master Mix (5 µl; Invitrogen; Thermo Fisher Scientific, Inc.) on an ABI 7500 real-time PCR system (Applied Biosystems; Thermo Fisher Scientific, Inc.). For the PCR experiments, the following primers were used (Table II): miR-101-3p, forward 5′-TCCGAAAGTCAATAGTGTC-3′ and reverse 5′-GTGCAGGGTCCGAGGT-3′; U6, forward 5′-CTCGCTTCGGCAGCACA-3′ and reverse 5′-AACGCTTCACGAATTTGCGT-3′; MAPK1 forward 5′-AGATTCCAGCCAGGATACA-3′ and reverse 5′-GCATAAAAGCCACAACTACC-3′; β-actin forward 5′-ACACCTTCTACAATGAGCTG-3′ and reverse, 5′-CTGCTTGCTGATCCACATCT-3′. U6 and β-actin were used for the normalization of miR-101-3p and MAPK1, respectively. The thermocycling conditions of PCR program included an initial denaturation step at 95°C for 3 min followed by 40 cycles at 95°C for 15 sec, 60°C for 30 sec and 72°C for 20 sec with a final 2 min extension step at 72°C. Relative expression levels were then calculated using the 2−ΔΔCq method (28).

Table II.

Sequences of siRNAs and primers.

Table II.

Sequences of siRNAs and primers.

Sequences
siMAPK1-1Forward: 5′-AGUUCGAGUAUACUUCAAGTT-3′
Reverse: 5′-CUUGAUAGCGCUACGAACUTT-3′
siMAPK1-2Forward: 5′-CAUGGUAGUCACUAACAUATT-3′
Reverse: 5′-UAUGUUAGUGACUACCAUGTT-3′
siMAPK1-3Forward: 5′-GAAGCGUGCAGGUUAACUTT-3′
Reverse: 5′-GUACUGCAACGCACAUUUCTT-3′
si-NCForward: 5′-UUCUCCGAACGUGUCACGUTT-3′
Reverse: 5′-ACGUGACACGUUCGGAGAATT-3′
miR-101-3pForward: 5′-TCCGAAAGTCAATAGTGTC-3′
Reverse: 5′-GTGCAGGGTCCGAGGT-3′
U6Forward: 5′-CTCGCTTCGGCAGCACA-3′
Reverse: 5′-AACGCTTCACGAATTTGCGT-3′
MAPK1Forward: 5′-AGATTCCAGCCAGGATACA-3′
Reverse: 5′-GCATAAAAGCCACAACTACC-3′
β-actinForward: 5′-ACACCTTCTACAATGAGCTG-3′
Reverse: 5′-CTGCTTGCTGATCCACATCT-3′

[i] si-, small interfering; si-MAPK, siRNA-MAPK; si-NC, siRNA-MAPK negative control.

Western blotting

Proteins were isolated in RIPA lysis buffer (Invitrogen; Thermo Fisher Scientific, Inc.) and quantified using a BCA assay kit (Invitrogen; Thermo Fisher Scientific, Inc.). The proteins (20 µg/lane) were then separated by 10–12% SDS-PAGE and transferred to a polyvinylidene fluoride membrane (EMD Millipore). The membrane was blocked using 5% skimmed milk at 37°C for 1 h. The membranes were then incubated with the appropriate primary antibodies, including GAPDH (1:1,000; cat. no. ab9485; Abcam), MAPK (1:2,000; cat. no. 4695; Cell Signaling Technology, Inc.), NF-κBp65 (1:2,000; cat. no. 8242; Cell Signaling Technology, Inc.) and phosphorylated (p-) IκBα (p-IκBα) (1:2,000; cat. no. 2859; Cell Signaling Technology, Inc.) overnight at 4°C. After incubation with an HRP-conjugated secondary antibody (1:5,000; cat. no. 12-348; Sigma-Aldrich; Merck KGaA) for 1 h at 25°C, the bands were visualized using an enhanced chemiluminescence kit (Invitrogen; Thermo Fisher Scientific, Inc.). The relative expression of each protein was then quantified using ImageJ version 1.46r (National Institutes of Health), normalized to GAPDH and standardized against the control (Mock or pcDNA3.1 + mimics-NC group).

Dual luciferase reporter gene (DLR) assay

PBMCs were co-transfected with luciferase PsiCHECK-2 (Promega Corporation) carrying MAPK1-wildtype (MAPK1-Wt) or MAPK1-mutant (MAPK1-Mut) (GenePharma) sequences and miR-101-3p mimics or inhibitors. The experimental methods were as follows: The Wt and Mut primers for the MAPK1 target fragments were designed and synthesized by Sangon Biotech Co., Ltd.. For the luciferase reporter assays, cells were seeded in a 48-well plate and the luciferase reporter vectors were co-transfected with miR-101-3p mimics, mimics-NC, miR-101-3p inhibitor or inhibitor-NC using Lipofectamine® 2000 (Invitrogen; Thermo Fisher Scientific, Inc.) and incubated at 37°C for 48 h. Relative luciferase activity was measured using a Dual Luciferase Reporter assay kit (Promega Corporation) following 48 h of transfection. Firefly luciferase activity was normalized to Renilla luciferase activity.

RNA pull-down assay

PBMCs were lysed using RIPA lysis buffer (Invitrogen; Thermo Fisher Scientific, Inc.) and then incubated with 3′-biotin-labeled miR-101-3p (Bio-miR-101-3p-Wt), 3′-biotin-labeled miR-101-3p with a mutation at the binding site between MAPK1 and miR-101-3p (Bio-miR-101-3p-Mut) or 3′-biotin-labeled miR-NC (Bio-miR-NC) (Shanghai GenePharma Co., Ltd.) for 1 h at 37°C. These samples were then incubated with streptavidin agarose beads (Invitrogen; Thermo Fisher Scientific, Inc.) for another 1 h at 37°C. The beads were subsequently washed twice with cold lysis buffer, thrice with low-salt buffer and once with high-salt buffer at 4°C. Finally, the RNA complexes bound to these beads were eluted and extracted for qRT-PCR analysis.

ELISA

IL-10 and IFN-γ levels in SLE PBMCs were evaluated using Human IL-10 ELISA kit (Abcam; cat. no. ab46034) and Human IFN-γ ELISA kit (Abcam; cat. no. ab174443), respectively. Briefly, PBMCs were incubated with specific primary antibodies for 30 min in coating buffer and then with peroxidase-labeled secondary antibody for 30 min. These samples were then incubated in TMB substrate (Sigma-Aldrich; Merck KGaA) for 10 min and the OD 450/550 nm values were determined using a microplate reader (Molecular Devices, LLC.).

Statistical analyses

Statistical analyses were performed using SPSS version 22.0 (IBM Corp.) software and the data are described as the mean ± standard deviation. The differences between two groups were evaluated using a paired t-test while the differences among multiple groups were assessed by one-way ANOVA followed by a Tukey's post-hoc test. Significant correlations were identified by Pearson correlation analysis. P<0.05 was considered to indicate a statistically significant difference.

Results

miR-101-3p is downregulated in SLE PBMCs

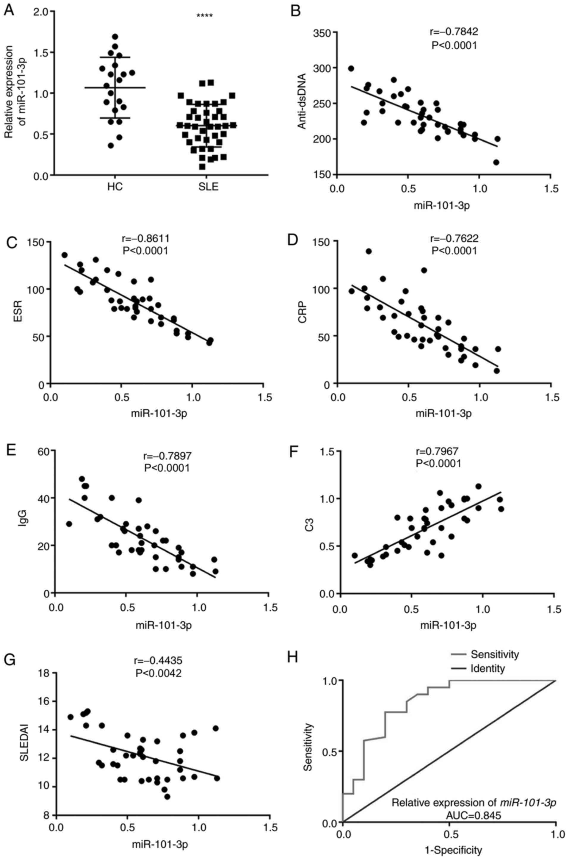
RT-qPCR confirmed that miR-101-3p is differently expressed in SLE PBMCs, with the data clearly showing that miR-101-3p expression was significantly downregulated in SLE PBMCs when compared with HC PBMCs (P<0.0001; Fig. 1A). miR-101-3p expression was negatively associated with anti-dsDNA, ESR, CRP, IgG and SLEDAI values (Fig. 1B-G) and positively associated with C3 in patients with SLE (P<0.0001; Fig. 1B-G). In addition, the receiver operating characteristic (ROC) curve was plotted and used to evaluate the diagnostic value of miR-101-3p in SLE. An area under the curve of 0.845 was obtained, which suggests that there may be some discriminatory power in the expression of this miRNA (Fig. 1H).

Figure 1.

miR-101-3p expression is downregulated in SLE PBMCs. (A) Relative expression of miR-101-3p in HC and SLE PBMCs at the mRNA level. ****P<0.0001 vs. HC. (B) Correlation between miR-101-3p and anti-dsDNA. (C) Correlation between miR-101-3p and ESR. (D) Correlation between miR-101-3p and CRP. (E) Correlation between miR-101-3p and IgG. (F) Correlation between miR-101-3p and C3 (G) correlation between miR-101-3p and SLEDAI. (H) ROC curves of miR-101-3p in diagnosis of SLE. miR, microRNA; SLE, systemic lupus erythematosus; PBMCs, peripheral blood mononuclear cells; HC, healthy control; dsDNA, double stranded DNA; ESR, erythrocyte sedimentation rate; CRP, C-reactive protein; C3, complement 3; SLEDAI, SLE Disease Activity Index; ROC, receiver operating characteristic; AUC, area under the curve.

miR-101-3p decreases IL-10 and IFN-γ expression in SLE PBMCs

To investigate the effects of miR-101-3p expression in SLE, the levels of IL-10 and IFN-γ were evaluated using ELISA. ELISA assays showed that IL-10 expression was significantly higher in SLE PBMCs when compared with HC PBMCs (P<0.0001; Fig. 2A) and that miR-101-3p expression was negatively associated with IL-10 concentration in SLE PBMCs (P=0.0002; Fig. 2B). In addition, IFN-γ expression increased in the SLE PBMCs when compared with the HC PBMCs (P<0.0001; Fig. 2C) and there was a negative correlation between IFN-γ and miR-101-3p expression in SLE PBMCs (P<0.0001; Fig. 2D). miR-101-3p expression was then manipulated using mimics and siRNAs, with these assays confirming these observations (Fig. 2E). IL-10 and IFN-γ concentration decreased in the presence of miR-101-3p mimics and increased in the presence of miR-101-3p inhibitors (P<0.01; Fig. 2F and G).

Figure 2.

miR-101-3p decreases IL-10 and IFN-γ expression in SLE PBMCs. (A) IL-10 level in HC and SLE PBMCs. ****P<0.0001 vs. HC. (B) Correlation between miR-101-3p and IL-10. (C) IFN-γ level in HC and SLE PBMCs. ****P<0.0001 vs. HC. (D) Correlation between miR-101-3p and IFN-γ. (E) Relative expression of miR-101-3p in SLE PBMCs transfected with miR-101-3p mimics/inhibitor at the mRNA level. **P<0.01 vs. mimics-NC; ##P<0.01 vs. inhibitor-NC. (F) IL-10 level in SLE PBMCs transfected with miR-101-3p mimics/inhibitor. **P<0.01 vs. mimics-NC; ##P<0.01 vs. inhibitor-NC. (G) IFN-γ level in SLE PBMCs transfected with miR-101-3p mimics/inhibitor. **P<0.01 vs. mimics-NC, ##P<0.01 vs. inhibitor-NC. miR, microRNA; SLE, systemic lupus erythematosus; PBMCs, peripheral blood mononuclear cells; HC, healthy control; Mock, SLE PBMCs without transfection; mimics-NC, miR-101-3p mimics negative control; inhibitor-NC, miR-101-3p inhibitor negative control.

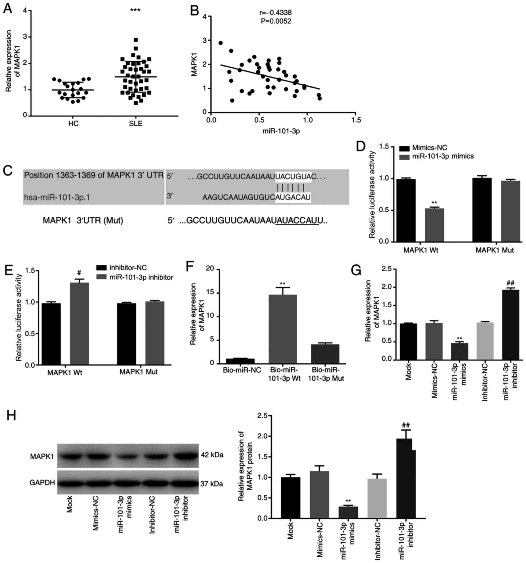
MAPK1 is a target of miR-101-3p

RT-qPCR results suggested that MAPK1 expression was significantly higher in SLE PBMCs compared with HC PBMCs (P<0.001; Fig. 3A), while miR-101-3p expression was demonstrated to be negatively associated with MAPK1 expression in SLE PBMCs (P<0.01) (Fig. 3B). MAPK1 was identified as a potential miR-101-3p target using the StarBase software (Fig. 3C) which was subsequently confirmed in a DLR assay. This assay showed that the relative luciferase activity of the reporter constructs was significantly decreased in SLE PBMCs following co-transfection with miR-101-3p mimics and MAPK1 Wt compared with SLE PBMCs co-transfected with mimics-NC and MAPK1 Wt (P<0.01; Fig. 3D), while the addition of the miR-101-3p inhibitor increased the luciferase activity of the Wt MAPK1 reporter in SLE PBMCs (P<0.05; Fig. 3E). RNA-pull down assays confirmed the interaction between MAPK1 and Bio-miR-101-3p-Wt and demonstrated that Bio-miR-101-3p-Mut with a mutated MAPK1 binding site failed to interact with this protein (P<0.01; Fig. 3F). Additionally, overexpression and silencing of miR-101-3p significantly decreased or increased the mRNA and protein expression of MAPK1 in SLE PBMCs, respectively (P<0.01; Fig. 3G and H).

Figure 3.

MAPK1 is a target of miR-101-3p. (A) MAPK1 expression in HC and SLE PBMCs. ***P<0.001 vs. HC. (B) Correlation between miR-101-3p and MAPK1. (C) A binding site predicted by an online target gene prediction software (starBase). (D and E) Interaction analyzed by dual luciferase reporter assay. **P<0.01 vs. mimics-NC, #P<0.05 vs. inhibitor-NC. (F) Interaction analyzed by RNA pull-down assay. **P<0.01 vs. Bio-NC and Bio-miR-101-3p Mut. (G and H) Relative mRNA and protein expression of MAPK1 in SLE PBMCs transfected with miR-101-3p mimics/inhibitor. **P<0.01 vs. mimics-NC, ##P<0.01 vs. inhibitor-NC. miR, microRNA; SLE, systemic lupus erythematosus; PBMCs, peripheral blood mononuclear cells; HC, healthy control; Mock, SLE PBMCs without transfection; mimics-NC, miR-101-3p mimics negative control; inhibitor-NC, miR-101-3p inhibitor negative control; Bio-NC, biotin RNA-labeled negative control; Bio-miR-101-3p Wt, biotin RNA-labeled miR-101-3p-wildtype; Bio-miR-101-3p Mut, biotin RNA-labeled miR-101-3p-mutant.

MAPK1 overexpression eliminates miR-101-3p inhibition of IL-10 and IFN-γ in SLE PBMCs

To explore the molecular mechanism of MAPK1 signaling in SLE, cellular signaling was evaluated when cells were treated with an MAPK1 inhibitor, si-MAPK1-1, −2 and −3. RT-qPCR results showed that SLE PBMC MAPK1 transcription was significantly decreased following the addition of si-MAPK1-1, −2 and −3 (P<0.01; Fig. 4A). si-MAPK1-2 was used for subsequent assays due to its relatively high silencing efficiency and was demonstrated to also significantly decrease the SLE PBMC expression of MAPK1 at the protein level (P<0.01; Fig. 4B). Notably, si-MAPK1-2 also significantly decreased IL-10 and IFN-γ expression in SLE PBMCs (P<0.01; Fig. 4C and D). In addition, when MAPK1 was overexpressed in these cells, following PBMCs transfection with pcDNA3.1-MAPK1 (P<0.01; Fig. 4E), IL-10 and IFN-γ both increased significantly eliminating any inhibitory effects of the miR-101-3p mimics (P<0.05; Fig. 4F and G).

Figure 4.

MAPK1 overexpression eliminates miR-101-3p inhibition of IL-10 and IFN-γ in SLE PBMCs. (A) Relative expression of MAPK1 in SLE PBMCs transfected with siRNA-MAPK (si-MAPK)1-1, −2 and −3 at the mRNA level. **P<0.01 vs. si-NC. (B) Relative expression of MAPK1 in SLE PBMCs transfected with si-MAPK1-2 at the protein level. **P<0.01 vs. si-NC. (C) IL-10 level in SLE PBMCs transfected with pcDNA3.1-MAPK1. **P<0.01 vs. si-NC. (D) IFN-γ level in SLE PBMCs transfected with pcDNA3.1-MAPK1. **P<0.01 vs. si-NC. (E) Relative expression of MAPK1 in SLE PBMCs transfected with pcDNA3.1-MAPK1 at the protein level. ##P<0.01 vs. pcDNA3.1. (F) IL-10 level in SLE PBMCs transfected with pcDNA3.1-MAPK1 and/or miR-101-3p mimics. **P<0.01, vs. pcDNA3.1+mimics-NC; #P<0.05 vs. pcDNA3.1+miR-101-3p mimics; &P<0.05 vs. pcDNA3.1-MAPK1+ mimics-NC. (G) IFN-γ level in SLE PBMCs transfected with pcDNA3.1-MAPK1 and/or miR-101-3p mimics. **P<0.01 vs. pcDNA3.1+mimics-NC; #P<0.05 vs. pcDNA3.1+miR-101-3p mimics; &P<0.05 vs. pcDNA3.1-MAPK1+ mimics-NC. miR, microRNA; SLE, systemic lupus erythematosus; PBMCs, peripheral blood mononuclear cells; si-, small interfering; Mock, SLE PBMCs without transfection; si-NC, siRNA-MAPK negative control; pcDNA3.1, empty pcDNA3.1; mimics-NC, miR-101-3p mimics negative control.

The NF-κB pathway is repressed by miR-101-3p

Given the results of the previous assays the present study proceeded to evaluate the regulatory relationship between miR-101-3p and the NF-κB pathway. The protein level of NF-κBp65 is a pivotal index to evaluate NF-κB pathway activity and the phosphorylation of IκBα causes the activation of NF-κB pathway. As shown in Fig. 5, the protein level of NF-κBp65 and the ratio of p-IκBα/total (t)-IκBα were significantly decreased in the presence of miR-101-3p mimics (P<0.01). In addition, MAPK1 overexpression increased the protein level of NF-κBp65 and the ratio of p-IκBα/t-IκBα in SLE PBMCs (P<0.01), which could be reversed following the addition of the miR-101-3p mimics (P<0.01).

Figure 5.

The NF-κB pathway is repressed by miR-101-3p. The expression of NF-κBp65 and the ratio of p-IκBα/t-IκBα in SLE PBMCs transfected with pcDNA3.1-MAPK1 and/or miR-101-3p mimics were measured by western blotting. **P<0.01 vs. pcDNA3.1+mimics-NC; #P<0.05, ##P<0.01 vs. pcDNA3.1+miR-101-3p mimics; &&P<0.01 vs. pcDNA3.1-MAPK1+mimics-NC. miR, microRNA; p-, phosphorylated; t-, total; SLE, systemic lupus erythematosus; PBMCs, peripheral blood mononuclear cells; NC, negative control.

miR-101-3p decreases IL-10 and IFN-γ expression in SLE PBMCs by inhibiting the NF-κB pathway

NF-κB pathway activities can be modulated via the addition of BAY11-7085 (NF-κB activator) or BAY11-7082 (NF-κB inhibitor). When cells were treated with BAY11-7085 a significant increase in IL-10 and IFN-γ expression levels was observed, even in the presence of miR-101-3p mimics (P<0.01). By contrast, treatment with BAY11-7082 significantly decreased IL-10 and IFN-γ expressions even in the presence of the pcDNA3.1-MAPK1 construct (P<0.01; Fig. 6).

Figure 6.

miR-101-3p decreased IL-10 and IFN-γ expression in systemic lupus erythematosus (SLE) peripheral blood mononuclear cells (PBMCs) by inhibiting the NF-κB pathway. (A) IL-10 and (B) IFN-γ level in SLE PBMCs transfected with miR-101-3p mimics and/or BAY11-7085 (NF-κB activator). **P<0.01 vs. mimics-NC, ##P<0.01 vs miR-101-3p mimics. (C) IL-10 and (D) IFN-γ level in SLE PBMCs transfected with pcDNA3.1-MAPK1 and/or BAY11-7082 (NF-κB inhibitor). **P<0.01 vs. pcDNA3.1; ##P<0.01 vs. pcDNA3.1-MAPK1. miR, microRNA; SLE, systemic lupus erythematosus; PBMCs, peripheral blood mononuclear cells; NC, negative control.

Discussion

SLE is a serious disorder of the immune system, which results from the interaction of a wide range of risk factors, including hormones, environmental signals and genetic factors (29). Aberrations in miRNA expression have been linked to SLE pathogenesis, with the expression of some miRNAs, including miR-98 (30), miR-1246 (31) and miR-17-5p (32) demonstrated to be decreased in SLE. Similar to the previous studies, miR-101-3p expression was markedly reduced in SLE in the current study. To date, SLE diagnosis is supported by a variety of indices including anti-dsDNA, ESR, CRP, IgG and C3 (33–36). Reduced expression of miR-98 is found to be associated with anti-dsDNA and SLEDAI in SLE PBMCs (37) while miR-203 expression is negatively associated with ESR and CRP in patients with SLE (38). The plasma levels of miR-145 and miR-183 are positively associated with complement C3 in patients with SLE (39) and the results of the present study confirm this. In the present study, miR-101-3p expression was negatively associated with anti-dsDNA, ESR, CRP, IgG and SLEDAI and positively associated with C3. In addition, ROC curve analysis demonstrated that miR-101-3p may possess some value as a diagnostic biomarker for SLE. As patients with SLE and concurrent infections or inflammatory diseases were excluded from the study, this application may be limited, but it does suggest that miR-101-3p may be used as an additional diagnostic marker for SLE.

The overproduction of pro-inflammatory cytokines is an important characteristic of SLE (40) and the production of IL-10 and IFN-γ, which act as regulators of this inflammatory response have been identified as critical mediators of SLE pathogenesis (41–44). In the present study, IL-10 and IFN-γ concentrations were demonstrated to be significantly higher in SLE PBMCs when compared with HC PBMCs, which was consistent with previous studies (45,46) and further supported the link between the inflammatory response and SLE pathogenesis. Previous studies have demonstrated that various miRNAs can attenuate the inflammatory response in SLE. Yang et al (19) demonstrated that miR-101 affects the secretion of inflammatory factors such as TNF-α, IFN, IL-1 and IL-10 via its regulation of the MAPK proteins in SLE. Liu et al (10) demonstrated that the overexpression of miR-410 significantly reduces IL-10 expression in T cells from patients with SLE and Sun et al (16) confirmed that the expression of inflammatory cytokines IL-17, IL-6 and IFN-γ increases in SLE PBMCs when miR-101-3p expression was reduced. The findings of the present study suggested that overexpression of miR-101-3p reduced IL-10 and IFN-γ expression in SLE PBMCs. Taken together, these data suggest that the overexpression of miR-101-3p may alleviate SLE progression by modulating the inflammatory response.

MAPK1 is involved in the regulation of cell proliferation, adhesion and differentiation (47,48). The production of inflammatory cytokines is responsible for the MAPKs (49) and increasing evidence suggests that there is a strong correlation between MAPK1 and miRNA expression during the inflammatory response. For instance, miR-320a is decreased in patients with myasthenia gravis and attenuates the expression of inflammatory cytokines via its targeting of MAPK1 (50). In acute lung injuries miR-342 suppresses lipopolysaccharide (LPS)-induced inflammatory responses by downregulating MAPK1 (51). In addition, miR-212-3p suppresses inflammatory cytokine production induced by the HBeAg via its targeted regulation of MAPK1 in the liver following HBV infection (52). The present study showed that MAPK1 was a direct target of miR-101-3p and that miR-101-3p could negatively regulate MAPK1 expression in SLE PBMCs. Given this, it was hypothesized that miR-101-3p participated in the development of SLE via its regulation of MAPK1 and that its underlying mechanism will be similar to those described above. Various studies have linked MAPK and the inflammation process. Shalini et al (53) reported that the specific p38 MAPK inhibitors prevent LPS-induced production of IFN-γ and TNF-α in atherosclerosis. Matsuzawa et al (54) demonstrated that p38 MAPK-mediated autophagy supports IFN-γ-mediated innate immunity and that p38 MAPK inhibitors attenuate IFN-γ-mediated bactericidal activity. Notably, Garcia-Rodriguez et al (55) demonstrated that MAPK1 gene expression is upregulated in patients with SLE and that this expression is strongly associated with IL-10 expression. Similarly, the present study found that silencing MAPK1 significantly increased IL-10 and IFN-γ expression in SLE PBMCs and eliminated the inhibitory effects of miR-101-3p mimics. These results further support the hypothesis that miR-101-3p relieved SLE-associated inflammation via its downregulation of MAPK1.

It has been documented that the protein level of NF-κBp65 and the ratio of p-IκBα/t-IκBα can be used to evaluate the activity of the NF-κB pathway in SLE (49,56,57). The present study explored the regulatory relationship between miR-101-3p and NF-κB pathway on the inflammation of SLE. Therefore, NF-κBp65 and the ratio of p-IκBα/t-IκBα were chosen to evaluate the activity of the NF-κB pathway. The NF-κB pathway is involved in the regulation of the inflammatory and immune responses (58) and miR-101 regulates the NF-κB pathway in several diseases. For example, miR-101 attenuates cisplatin chemoresistance by reducing NF-κB signaling in hepatocarcinoma (59) and miR-101 silencing facilitates the pathogenesis of neuropathic pain by promoting NF-κB activity (60). In the present study, the expression of NF-κB-related proteins in SLE PBMCs was markedly decreased following miR-101-3p overexpression, indicating that miR-101-3p may be involved in the development of SLE via its inhibition of the NF-κB pathway. Additionally, MAPK1 overexpression increased the NF-κB-related protein expression in SLE PBMCs, suggesting that MAPK1 promoted NF-κB signaling in these cells. Considering the interactions between miR-101-3p and MAPK1, it was hypothesized that miR-101-3p reduced MAPK1 expression inhibiting NF-κB signaling in SLE PBMCs. However, the specific regulatory mechanisms underlying these interactions remain to be elucidated.

Previous studies have demonstrated that inhibition of the NF-κB pathway attenuates the inflammatory response in autoimmune diseases. For instance, demethylzeylasteral alleviates the inflammatory response in lupus nephritis by restricting NF-κB signaling (61) and miR-146a inhibits inflammation in the kidney tissues during SLE via its regulation of the NF-κB pathway (62). In the present study, BAY11-7085 and BAY11-7082 were demonstrated to effectively reverse the inhibitory effects of miR-101-3p overexpression or promote the effects of MAPK1 overexpression in SLE PBMCs. These feedback experiments demonstrated that miR-101-3p reduces inflammation by inhibiting NF-κB signaling in SLE PBMCs. Taken together the results of the present study suggested that the overexpression of miR-101-3p could alleviate SLE via the inhibition of MAPK1 expression and the prevention of NF-κB signal transduction.

In conclusion, miR-101-3p is downregulated in SLE PBMCs and may be used as an additional diagnostic marker for SLE. miR-101-3p inhibited inflammation in SLE PBMCs via downregulation of MAPK1 and indirect prevention of NF-κB signaling. These results suggested that both miR-101-3p and its target MAPK1 may be promising therapeutic targets for SLE. However, there were some limitations to the present study. First, it was limited to the cellular level and further in vivo experiments are required to clarify the regulatory mechanism controlling miR-101-3p-mediated changes to the inflammatory response in SLE. Second, there are a number of other downstream targets and pathways of miR-101-3p that have not yet been evaluated in SLE, suggesting that future evaluations should consider using more high throughput technologies such as microarrays to evaluate more targets rapidly.

Acknowledgements

Not applicable.

Funding

This work was supported by the National Natural Science Foundation of China (grant no. 81401337).

Availability of data and materials

The datasets used and/or analyzed during the current study are available from the corresponding author on reasonable request.

Authors' contributions

XZ, YF and SL made substantial contributions to the conception and design of the study, acquisition of data and analysis and interpretation of data. ZW and NB took part in drafting the article and revising it critically for important intellectual content. ZW and NB were also responsible for performing the experiments and the analysis of the experimental data, and for the management of the whole project. XZ, SL, ZW and NB confirm the authenticity of all the raw data. All authors read and approved the final manuscript.

Ethics approval and consent to participate

The present study was approved by the Institutional Ethics Committee of the Xijing Hospital (approval no. 20181016) and written informed consent from both patients and volunteers were obtained prior to sample collection.

Patient consent for publication

Not applicable.

Competing interests

The authors declare that they have no competing interests.

References

1 

Zucchi D, Elefante E, Calabresi E, Signorini V, Bortoluzzi A and Tani C: One year in review 2019: Systemic lupus erythematosus. Clin Exp Rheumatol. 37:715–722. 2019.PubMed/NCBI

2 

Tsang-A-Sjoe M and Bultink IE: Systemic lupus erythematosus: Review of synthetic drugs. Expert Opin Pharmacother. 16:2793–2806. 2015. View Article : Google Scholar : PubMed/NCBI

3 

Aringer M: Inflammatory markers in systemic lupus erythematosus. J Autoimmun. 110:1023742020. View Article : Google Scholar : PubMed/NCBI

4 

Uzrail AH, Assaf AM and Abdalla SS: Correlations of expression levels of a panel of genes (IRF5, STAT4, TNFSF4, MECP2 and TLR7) and cytokine levels (IL-2, IL-6, IL-10, IL-12, IFN-γ and TNF-α) with systemic lupus erythematosus outcomes in Jordanian patients. Biomed Res Int. 2019:17038422019. View Article : Google Scholar : PubMed/NCBI

5 

Di Battista M, Marcucci E, Elefante E, Tripoli A, Governato G, Zucchi D, Tani C and Alunno A: One year in review 2018: Systemic lupus erythematosus. Clin Exp Rheumatol. 36:763–777. 2018.PubMed/NCBI

6 

Ali M, Firoz CK, Jabir NR, Rehan M, Khan MS and Tabrez S: An insight on the pathogenesis and treatment of systemic lupus erythematosus. Endocr Metab Immune Disord Drug Targets. 18:110–123. 2018. View Article : Google Scholar : PubMed/NCBI

7 

Katsuyama E, Yan M, Watanabe KS, Narazaki M, Matsushima S, Yamamura Y, Hiramatsu S, Ohashi K, Watanabe H, Katsuyama T, et al: Downregulation of miR-200a-3p, targeting CtBP2 complex, is involved in the hypoproduction of IL-2 in systemic lupus erythematosus-derived T cells. J Immunol. 198:4268–4276. 2017. View Article : Google Scholar : PubMed/NCBI

8 

Zheng B, Zhang P, Yuan L, Chhetri RK, Guo Y and Deng D: Effects of human umbilical cord mesenchymal stem cells on inflammatory factors and miR-181a in T lymphocytes from patients with systemic lupus erythematosus. Lupus. 29:126–135. 2020. View Article : Google Scholar : PubMed/NCBI

9 

Cao W, Qian G, Luo W, Liu X, Pu Y, Hu G, Han L, Yuan L, A X and Deng D: miR-125b is downregulated in systemic lupus erythematosus patients and inhibits autophagy by targeting UVRAG. Biomed Pharmacother. 99:791–797. 2018. View Article : Google Scholar : PubMed/NCBI

10 

Liu D, Zhang N, Zhang X, Qin M, Dong Y and Jin L: MiR-410 down-regulates the expression of interleukin-10 by targeting STAT3 in the pathogenesis of systemic lupus erythematosus. Cell Physiol Biochem. 39:303–315. 2016. View Article : Google Scholar : PubMed/NCBI

11 

Ren D, Liu F, Dong G, You M, Ji J, Huang Y, Hou Y and Fan H: Activation of TLR7 increases CCND3 expression via the downregulation of miR-15b in B cells of systemic lupus erythematosus. Cell Mol Immunol. 13:764–775. 2016. View Article : Google Scholar : PubMed/NCBI

12 

Chen S, Wang Y, Qin H, Lin J, Xie L, Chen S, Liang J and Xu J: Downregulation of miR-633 activated AKT/mTOR pathway by targeting AKT1 in lupus CD4+ T cells. Lupus. 28:510–519. 2019. View Article : Google Scholar : PubMed/NCBI

13 

Rasmussen TK, Andersen T, Bak RO, Yiu G, Sørensen CM, Stengaard-Pedersen K, Mikkelsen JG, Utz PJ, Holm CK and Deleuran B: Overexpression of microRNA-155 increases IL-21 mediated STAT3 signaling and IL-21 production in systemic lupus erythematosus. Arthritis Res Ther. 17:1542015. View Article : Google Scholar : PubMed/NCBI

14 

Liu Y, Dong J, Mu R, Gao Y, Tan X, Li Y, Li Z and Yang G: MicroRNA-30a promotes B cell hyperactivity in patients with systemic lupus erythematosus by direct interaction with Lyn. Arthritis Rheum. 65:1603–1611. 2013. View Article : Google Scholar : PubMed/NCBI

15 

Wei Q, Lv F, Zhang H, Wang X, Geng Q, Zhang X, Li T, Wang S, Wang Y and Cui Y: MicroRNA-101-3p inhibits fibroblast-like synoviocyte proliferation and inflammation in rheumatoid arthritis by targeting PTGS2. Biosci Rep. 40:BSR201911362020. View Article : Google Scholar : PubMed/NCBI

16 

Sun H, Guo F and Xu L: Downregulation of microRNA-101-3p participates in systemic lupus erythematosus progression via negatively regulating HDAC9. J Cell Biochem. 121:4310–4320. 2020. View Article : Google Scholar : PubMed/NCBI

17 

Gang C, Jiahui Y, Huaizhou W, Qing C, Dongbao Z and Qian S: Defects of mitogen-activated protein kinase in ICOS signaling pathway lead to CD4(+) and CD8(+) T-cell dysfunction in patients with active SLE. Cell Immunol. 258:83–89. 2009. View Article : Google Scholar : PubMed/NCBI

18 

Liu Y, Deng W, Meng Q, Qiu X, Sun D and Dai C: CD8+iTregs attenuate glomerular endothelial cell injury in lupus-prone mice through blocking the activation of p38 MAPK and NF-κB. Mol Immunol. 103:133–143. 2018. View Article : Google Scholar : PubMed/NCBI

19 

Yang J, Lu YW, Lu MM, Leng RX, Pan HF and Ye DQ: MicroRNA-101, mitogen-activated protein kinases and mitogen-activated protein kinases phosphatase-1 in systemic lupus erythematosus. Lupus. 22:115–120. 2013. View Article : Google Scholar : PubMed/NCBI

20 

Hellweg CE: The nuclear factor κB pathway: A link to the immune system in the radiation response. Cancer Lett. 368:275–289. 2015. View Article : Google Scholar : PubMed/NCBI

21 

Cao HY, Li D, Wang YP, Lu HX, Sun J and Li HB: The protection of NF-κB inhibition on kidney injury of systemic lupus erythematosus mice may be correlated with lncRNA TUG1. Kaohsiung J Med Sci. 36:354–362. 2020. View Article : Google Scholar : PubMed/NCBI

22 

Liu J, Huang X, Hao S, Wang Y, Liu M, Xu J, Zhang X, Yu T, Gan S, Dai D, et al: Peli1 negatively regulates noncanonical NF-κB signaling to restrain systemic lupus erythematosus. Nat Commun. 9:11362018. View Article : Google Scholar : PubMed/NCBI

23 

Ji L, Hou X, Liu W, Deng X, Jiang Z, Huang K and Li R: Paeoniflorin inhibits activation of the IRAK1-NF-κB signaling pathway in peritoneal macrophages from lupus-prone MRL/lpr mice. Microb Pathog. 124:223–229. 2018. View Article : Google Scholar : PubMed/NCBI

24 

Zhou C, Zhao L, Wang K, Qi Q, Wang M, Yang L, Sun P and Mu H: MicroRNA-146a inhibits NF-κB activation and pro-inflammatory cytokine production by regulating IRAK1 expression in THP-1 cells. Exp Ther Med. 18:3078–3084. 2019.PubMed/NCBI

25 

Zhang W, Yu T, Cui X, Yu H and Li X: Analgesic effect of dexmedetomidine in rats after chronic constriction injury by mediating microRNA-101 expression and the E2F2-TLR4-NF-κB axis. Exp Physiol. 105:1588–1597. 2020. View Article : Google Scholar : PubMed/NCBI

26 

Hochberg MC: Updating the American college of rheumatology revised criteria for the classification of systemic lupus erythematosus. Arthritis Rheum. 40:17251997. View Article : Google Scholar : PubMed/NCBI

27 

Bombardier C, Gladman DD, Urowitz MB, Caron D and Chang CH: Derivation of the SLEDAI. A disease activity index for lupus patients. The committee on prognosis studies in SLE. Arthritis Rheum. 35:630–640. 1992. View Article : Google Scholar : PubMed/NCBI

28 

Livak KJ and Schmittgen TD: Analysis of relative gene expression data using real-time quantitative PCR and the 2(-Delta Delta C(T)) method. Methods. 25:402–408. 2001. View Article : Google Scholar : PubMed/NCBI

29 

Fava A and Petri M: Systemic lupus erythematosus: Diagnosis and clinical management. J Autoimmun. 96:1–13. 2019. View Article : Google Scholar : PubMed/NCBI

30 

Xie L and Xu J: Role of MiR-98 and its underlying mechanisms in systemic lupus erythematosus. J Rheumatol. 45:1397–1405. 2018. View Article : Google Scholar : PubMed/NCBI

31 

Luo S, Liu Y, Liang G, Zhao M, Wu H, Liang Y, Qiu X, Tan Y, Dai Y, Yung S, et al: The role of microRNA-1246 in the regulation of B cell activation and the pathogenesis of systemic lupus erythematosus. Clin Epigenetics. 7:242015. View Article : Google Scholar : PubMed/NCBI

32 

Sarhan RA, Aboelenein HR, Sourour SK, Fawzy IO, Salah S and Abdelaziz AI: Targeting E2F1 and c-Myc expression by microRNA-17-5p represses interferon-stimulated gene MxA in peripheral blood mononuclear cells of pediatric systemic lupus erythematosus patients. Discov Med. 19:419–425. 2015.PubMed/NCBI

33 

Motawi TK, Mohsen DA, El-Maraghy SA and Kortam MA: MicroRNA-21, microRNA-181a and microRNA-196a as potential biomarkers in adult Egyptian patients with systemic lupus erythematosus. Chem Biol Interact. 260:110–116. 2016. View Article : Google Scholar : PubMed/NCBI

34 

Clancy R, El Bannoudi H, Rasmussen SE, Bornkamp N, Allen N, Dann R, Reynolds H, Buyon JP and Berger JS: Human low-affinity IgG receptor FcγRIIA polymorphism H131R associates with subclinical atherosclerosis and increased platelet activity in systemic lupus erythematosus. J Thromb Haemost. 17:532–537. 2019. View Article : Google Scholar : PubMed/NCBI

35 

Yuan W, Cao H, Wan P, Shi R, Zhou S and Zheng J: Clinical evaluation of total and high-avidity anti-dsDNA antibody assays for the diagnosis of systemic lupus erythematosus. Lupus. 28:1387–1396. 2019. View Article : Google Scholar : PubMed/NCBI

36 

Sun J, Li X, Zhou H, Liu X, Jia J, Xie Q, Peng S, Sun X, Wang Q and Yi L: Anti-GAPDH autoantibody is associated with increased disease activity and intracranial pressure in systemic lupus erythematosus. J Immunol Res. 2019:74307802019. View Article : Google Scholar : PubMed/NCBI

37 

Yuan S, Tang C, Chen D, Li F, Huang M, Ye J, He Z, Li W, Chen Y, Lin X, et al: miR-98 modulates cytokine production from human PBMCs in systemic lupus erythematosus by targeting IL-6 mRNA. J Immunol Res. 2019:98275742019. View Article : Google Scholar : PubMed/NCBI

38 

Li HS, Ning Y, Li SB, Shao PY, Chen SJ, Ye Q and Heng X: Expression and clinical significance of miR-181a and miR-203 in systemic lupus erythematosus patients. Eur Rev Med Pharmacol Sci. 21:4790–4796. 2017.PubMed/NCBI

39 

Lin LJ, Mai LJ, Chen G, Zhao EN, Xue M and Su XD: Expression and diagnostic value of plasma miR-145 and miR-183 in children with lupus nephritis. Zhongguo Dang Dai Er Ke Za Zhi. 22:632–637. 2020.(In Chinese). PubMed/NCBI

40 

Yao Y, Wang JB, Xin MM, Li H, Liu B, Wang LL, Wang LQ and Zhao L: Balance between inflammatory and regulatory cytokines in systemic lupus erythematosus. Genet Mol Res. 15:1–8. 2016. View Article : Google Scholar

41 

Godsell J, Rudloff I, Kandane-Rathnayake R, Hoi A, Nold MF, Morand EF and Harris J: Clinical associations of IL-10 and IL-37 in systemic lupus erythematosus. Sci Rep. 6:346042016. View Article : Google Scholar : PubMed/NCBI

42 

Yuan Y, Wang X, Ren L, Kong Y, Bai J and Yan Y: Associations between interleukin-10 gene polymorphisms and systemic lupus erythematosus risk: A meta-analysis with trial sequential analysis. Clin Exp Rheumatol. 37:242–253. 2019.PubMed/NCBI

43 

Liu M, Liu J, Hao S, Wu P, Zhang X, Xiao Y, Jiang G and Huang X: Higher activation of the interferon-gamma signaling pathway in systemic lupus erythematosus patients with a high type I IFN score: Relation to disease activity. Clin Rheumatol. 37:2675–2684. 2018. View Article : Google Scholar : PubMed/NCBI

44 

Kokic V, Martinovic Kaliterna D, Radic M, Perkovic D, Cvek M and Capkun V: Relationship between vitamin D, IFN-γ, and E2 levels in systemic lupus erythematosus. Lupus. 25:282–288. 2016. View Article : Google Scholar : PubMed/NCBI

45 

Jiao Q, Qian Q, Zhao Z, Fang F, Hu X, An J, Wu J and Liu C: Expression of human T cell immunoglobulin domain and mucin-3 (TIM-3) and TIM-3 ligands in peripheral blood from patients with systemic lupus erythematosus. Arch Dermatol Res. 308:553–561. 2016. View Article : Google Scholar : PubMed/NCBI

46 

Dahal LN, Basu N, Youssef H, Khanolkar RC, Barker RN, Erwig LP and Ward FJ: Immunoregulatory soluble CTLA-4 modifies effector T-cell responses in systemic lupus erythematosus. Arthritis Res Ther. 18:1802016. View Article : Google Scholar : PubMed/NCBI

47 

Bashanfer SAA, Saleem M, Heidenreich O, Moses EJ and Yusoff NM: Disruption of MAPK1 expression in the ERK signalling pathway and the RUNX1-RUNX1T1 fusion gene attenuate the differentiation and proliferation and induces the growth arrest in t(8;21) leukaemia cells. Oncol Rep. 41:2027–2040. 2019.PubMed/NCBI

48 

Zhu Y, Yang T, Duan J, Mu N and Zhang T: MALAT1/miR-15b-5p/MAPK1 mediates endothelial progenitor cells autophagy and affects coronary atherosclerotic heart disease via mTOR signaling pathway. Aging (Albany NY). 11:1089–1109. 2019. View Article : Google Scholar : PubMed/NCBI

49 

Aparicio-Soto M, Sánchez-Hidalgo M, Cárdeno A, Rosillo MÁ, Sánchez-Fidalgo S, Utrilla J, Martín-Lacave I and Alarcón-de-la-Lastra C: Dietary extra virgin olive oil attenuates kidney injury in pristane-induced SLE model via activation of HO-1/Nrf-2 antioxidant pathway and suppression of JAK/STAT, NF-κB and MAPK activation. J Nutr Biochem. 27:278–288. 2016. View Article : Google Scholar : PubMed/NCBI

50 

Cheng Z, Qiu S, Jiang L, Zhang A, Bao W, Liu P and Liu J: MiR-320a is downregulated in patients with myasthenia gravis and modulates inflammatory cytokines production by targeting mitogen-activated protein kinase 1. J Clin Immunol. 33:567–576. 2013. View Article : Google Scholar : PubMed/NCBI

51 

Zhu S, Song W, Sun Y, Zhou Y and Kong F: MiR-342 attenuates lipopolysaccharide-induced acute lung injury via inhibiting MAPK1 expression. Clin Exp Pharmacol Physiol. 47:1448–1454. 2020. View Article : Google Scholar : PubMed/NCBI

52 

Chen W, Bian H, Xie X, Yang X, Bi B, Li C, Zhang Y, Zhu Q, Song J, Qin C and Qi J: Negative feedback loop of ERK/CREB/miR-212-3p inhibits HBeAg-induced macrophage activation. J Cell Mol Med. 24:10935–10945. 2020. View Article : Google Scholar : PubMed/NCBI

53 

Shalini V, Pushpan CK, G S, A J and A H: Tricin, flavonoid from Njavara reduces inflammatory responses in hPBMCs by modulating the p38MAPK and PI3K/Akt pathways and prevents inflammation associated endothelial dysfunction in HUVECs. Immunobiology. 221:137–144. 2016. View Article : Google Scholar : PubMed/NCBI

54 

Matsuzawa T, Fujiwara E and Washi Y: Autophagy activation by interferon-γ via the p38 mitogen-activated protein kinase signalling pathway is involved in macrophage bactericidal activity. Immunology. 141:61–69. 2013. View Article : Google Scholar

55 

Garcia-Rodriguez S, Callejas-Rubio JL, Ortego-Centeno N, Zumaquero E, Ríos-Fernandez R, Arias-Santiago S, Navarro P, Sancho J and Zubiaur M: Altered AKT1 and MAPK1 gene expression on peripheral blood mononuclear cells and correlation with T-helper-transcription factors in systemic lupus erythematosus patients. Mediators Inflamm. 2012:4959342012. View Article : Google Scholar : PubMed/NCBI

56 

Shi X, Qian T, Li M, Chen F, Chen Y and Hao F: Aberrant low expression of A20 in tumor necrosis factor-α-stimulated SLE monocytes mediates sustained NF-κB inflammatory response. Immunol Invest. 44:497–508. 2015. View Article : Google Scholar : PubMed/NCBI

57 

Kong X, Zhang Z, Fu T, Ji J, Yang J and Gu Z: TNF-α regulates microglial activation via the NF-κB signaling pathway in systemic lupus erythematosus with depression. Int J Biol Macromol. 125:892–900. 2019. View Article : Google Scholar : PubMed/NCBI

58 

Sun SC: The non-canonical NF-κB pathway in immunity and inflammation. Nat Rev Immunol. 17:545–558. 2017. View Article : Google Scholar : PubMed/NCBI

59 

Chai Z, Yin X, Chen J, Shi J, Sun J, Liu C, Liu F and Cheng S: MicroRNA-101 modulates cisplatin chemoresistance in liver cancer cells via the DNA-PKcs signaling pathway. Oncol Lett. 18:3655–3663. 2019.PubMed/NCBI

60 

Liu JC, Xue DF, Wang XQ, Ai DB and Qin PJ: MiR-101 relates to chronic peripheral neuropathic pain through targeting KPNB1 and regulating NF-κB signaling. Kaohsiung J Med Sci. 35:139–145. 2019. View Article : Google Scholar : PubMed/NCBI

61 

Hu Q, Yang C, Wang Q, Zeng H and Qin W: Demethylzeylasteral (T-96) treatment ameliorates mice lupus nephritis accompanied by inhibiting activation of NF-κB pathway. PLoS One. 10:e01337242015. View Article : Google Scholar : PubMed/NCBI

62 

Fu HX, Fan XP, Li M, Liu MJ and Sun QL: MiR-146a relieves kidney injury in mice with systemic lupus erythematosus through regulating NF-κB pathway. Eur Rev Med Pharmacol Sci. 23:7024–7032. 2019.PubMed/NCBI

Related Articles

  • Abstract
  • View
  • Download
  • Twitter
Copy and paste a formatted citation
Spandidos Publications style
Zhao X, Li S, Wang Z, Bai N and Feng Y: miR‑101‑3p negatively regulates inflammation in systemic lupus erythematosus via MAPK1 targeting and inhibition of the NF‑κB pathway. Mol Med Rep 23: 359, 2021.
APA
Zhao, X., Li, S., Wang, Z., Bai, N., & Feng, Y. (2021). miR‑101‑3p negatively regulates inflammation in systemic lupus erythematosus via MAPK1 targeting and inhibition of the NF‑κB pathway. Molecular Medicine Reports, 23, 359. https://doi.org/10.3892/mmr.2021.11998
MLA
Zhao, X., Li, S., Wang, Z., Bai, N., Feng, Y."miR‑101‑3p negatively regulates inflammation in systemic lupus erythematosus via MAPK1 targeting and inhibition of the NF‑κB pathway". Molecular Medicine Reports 23.5 (2021): 359.
Chicago
Zhao, X., Li, S., Wang, Z., Bai, N., Feng, Y."miR‑101‑3p negatively regulates inflammation in systemic lupus erythematosus via MAPK1 targeting and inhibition of the NF‑κB pathway". Molecular Medicine Reports 23, no. 5 (2021): 359. https://doi.org/10.3892/mmr.2021.11998
Copy and paste a formatted citation
x
Spandidos Publications style
Zhao X, Li S, Wang Z, Bai N and Feng Y: miR‑101‑3p negatively regulates inflammation in systemic lupus erythematosus via MAPK1 targeting and inhibition of the NF‑κB pathway. Mol Med Rep 23: 359, 2021.
APA
Zhao, X., Li, S., Wang, Z., Bai, N., & Feng, Y. (2021). miR‑101‑3p negatively regulates inflammation in systemic lupus erythematosus via MAPK1 targeting and inhibition of the NF‑κB pathway. Molecular Medicine Reports, 23, 359. https://doi.org/10.3892/mmr.2021.11998
MLA
Zhao, X., Li, S., Wang, Z., Bai, N., Feng, Y."miR‑101‑3p negatively regulates inflammation in systemic lupus erythematosus via MAPK1 targeting and inhibition of the NF‑κB pathway". Molecular Medicine Reports 23.5 (2021): 359.
Chicago
Zhao, X., Li, S., Wang, Z., Bai, N., Feng, Y."miR‑101‑3p negatively regulates inflammation in systemic lupus erythematosus via MAPK1 targeting and inhibition of the NF‑κB pathway". Molecular Medicine Reports 23, no. 5 (2021): 359. https://doi.org/10.3892/mmr.2021.11998
Follow us
  • Twitter
  • LinkedIn
  • Facebook
About
  • Spandidos Publications
  • Careers
  • Cookie Policy
  • Privacy Policy
How can we help?
  • Help
  • Live Chat
  • Contact
  • Email to our Support Team