Spandidos Publications Logo
  • About
    • About Spandidos
    • Aims and Scopes
    • Abstracting and Indexing
    • Editorial Policies
    • Reprints and Permissions
    • Job Opportunities
    • Terms and Conditions
    • Contact
  • Journals
    • All Journals
    • Oncology Letters
      • Oncology Letters
      • Information for Authors
      • Editorial Policies
      • Editorial Board
      • Aims and Scope
      • Abstracting and Indexing
      • Bibliographic Information
      • Archive
    • International Journal of Oncology
      • International Journal of Oncology
      • Information for Authors
      • Editorial Policies
      • Editorial Board
      • Aims and Scope
      • Abstracting and Indexing
      • Bibliographic Information
      • Archive
    • Molecular and Clinical Oncology
      • Molecular and Clinical Oncology
      • Information for Authors
      • Editorial Policies
      • Editorial Board
      • Aims and Scope
      • Abstracting and Indexing
      • Bibliographic Information
      • Archive
    • Experimental and Therapeutic Medicine
      • Experimental and Therapeutic Medicine
      • Information for Authors
      • Editorial Policies
      • Editorial Board
      • Aims and Scope
      • Abstracting and Indexing
      • Bibliographic Information
      • Archive
    • International Journal of Molecular Medicine
      • International Journal of Molecular Medicine
      • Information for Authors
      • Editorial Policies
      • Editorial Board
      • Aims and Scope
      • Abstracting and Indexing
      • Bibliographic Information
      • Archive
    • Biomedical Reports
      • Biomedical Reports
      • Information for Authors
      • Editorial Policies
      • Editorial Board
      • Aims and Scope
      • Abstracting and Indexing
      • Bibliographic Information
      • Archive
    • Oncology Reports
      • Oncology Reports
      • Information for Authors
      • Editorial Policies
      • Editorial Board
      • Aims and Scope
      • Abstracting and Indexing
      • Bibliographic Information
      • Archive
    • Molecular Medicine Reports
      • Molecular Medicine Reports
      • Information for Authors
      • Editorial Policies
      • Editorial Board
      • Aims and Scope
      • Abstracting and Indexing
      • Bibliographic Information
      • Archive
    • World Academy of Sciences Journal
      • World Academy of Sciences Journal
      • Information for Authors
      • Editorial Policies
      • Editorial Board
      • Aims and Scope
      • Abstracting and Indexing
      • Bibliographic Information
      • Archive
    • International Journal of Functional Nutrition
      • International Journal of Functional Nutrition
      • Information for Authors
      • Editorial Policies
      • Editorial Board
      • Aims and Scope
      • Abstracting and Indexing
      • Bibliographic Information
      • Archive
    • International Journal of Epigenetics
      • International Journal of Epigenetics
      • Information for Authors
      • Editorial Policies
      • Editorial Board
      • Aims and Scope
      • Abstracting and Indexing
      • Bibliographic Information
      • Archive
    • Medicine International
      • Medicine International
      • Information for Authors
      • Editorial Policies
      • Editorial Board
      • Aims and Scope
      • Abstracting and Indexing
      • Bibliographic Information
      • Archive
  • Articles
  • Information
    • Information for Authors
    • Information for Reviewers
    • Information for Librarians
    • Information for Advertisers
    • Conferences
  • Language Editing
Spandidos Publications Logo
  • About
    • About Spandidos
    • Aims and Scopes
    • Abstracting and Indexing
    • Editorial Policies
    • Reprints and Permissions
    • Job Opportunities
    • Terms and Conditions
    • Contact
  • Journals
    • All Journals
    • Biomedical Reports
      • Information for Authors
      • Editorial Policies
      • Editorial Board
      • Aims and Scope
      • Abstracting and Indexing
      • Bibliographic Information
      • Archive
    • Experimental and Therapeutic Medicine
      • Information for Authors
      • Editorial Policies
      • Editorial Board
      • Aims and Scope
      • Abstracting and Indexing
      • Bibliographic Information
      • Archive
    • International Journal of Epigenetics
      • Information for Authors
      • Editorial Policies
      • Editorial Board
      • Aims and Scope
      • Abstracting and Indexing
      • Bibliographic Information
      • Archive
    • International Journal of Functional Nutrition
      • Information for Authors
      • Editorial Policies
      • Editorial Board
      • Aims and Scope
      • Abstracting and Indexing
      • Bibliographic Information
      • Archive
    • International Journal of Molecular Medicine
      • Information for Authors
      • Editorial Policies
      • Editorial Board
      • Aims and Scope
      • Abstracting and Indexing
      • Bibliographic Information
      • Archive
    • International Journal of Oncology
      • Information for Authors
      • Editorial Policies
      • Editorial Board
      • Aims and Scope
      • Abstracting and Indexing
      • Bibliographic Information
      • Archive
    • Medicine International
      • Information for Authors
      • Editorial Policies
      • Editorial Board
      • Aims and Scope
      • Abstracting and Indexing
      • Bibliographic Information
      • Archive
    • Molecular and Clinical Oncology
      • Information for Authors
      • Editorial Policies
      • Editorial Board
      • Aims and Scope
      • Abstracting and Indexing
      • Bibliographic Information
      • Archive
    • Molecular Medicine Reports
      • Information for Authors
      • Editorial Policies
      • Editorial Board
      • Aims and Scope
      • Abstracting and Indexing
      • Bibliographic Information
      • Archive
    • Oncology Letters
      • Information for Authors
      • Editorial Policies
      • Editorial Board
      • Aims and Scope
      • Abstracting and Indexing
      • Bibliographic Information
      • Archive
    • Oncology Reports
      • Information for Authors
      • Editorial Policies
      • Editorial Board
      • Aims and Scope
      • Abstracting and Indexing
      • Bibliographic Information
      • Archive
    • World Academy of Sciences Journal
      • Information for Authors
      • Editorial Policies
      • Editorial Board
      • Aims and Scope
      • Abstracting and Indexing
      • Bibliographic Information
      • Archive
  • Articles
  • Information
    • For Authors
    • For Reviewers
    • For Librarians
    • For Advertisers
    • Conferences
  • Language Editing
Login Register Submit
  • This site uses cookies
  • You can change your cookie settings at any time by following the instructions in our Cookie Policy. To find out more, you may read our Privacy Policy.

    I agree
Search articles by DOI, keyword, author or affiliation
Search
Advanced Search
presentation
Molecular Medicine Reports
Join Editorial Board Propose a Special Issue
Print ISSN: 1791-2997 Online ISSN: 1791-3004
Journal Cover
December-2024 Volume 30 Issue 6

Full Size Image

Sign up for eToc alerts
Recommend to Library

Journals

International Journal of Molecular Medicine

International Journal of Molecular Medicine

International Journal of Molecular Medicine is an international journal devoted to molecular mechanisms of human disease.

International Journal of Oncology

International Journal of Oncology

International Journal of Oncology is an international journal devoted to oncology research and cancer treatment.

Molecular Medicine Reports

Molecular Medicine Reports

Covers molecular medicine topics such as pharmacology, pathology, genetics, neuroscience, infectious diseases, molecular cardiology, and molecular surgery.

Oncology Reports

Oncology Reports

Oncology Reports is an international journal devoted to fundamental and applied research in Oncology.

Experimental and Therapeutic Medicine

Experimental and Therapeutic Medicine

Experimental and Therapeutic Medicine is an international journal devoted to laboratory and clinical medicine.

Oncology Letters

Oncology Letters

Oncology Letters is an international journal devoted to Experimental and Clinical Oncology.

Biomedical Reports

Biomedical Reports

Explores a wide range of biological and medical fields, including pharmacology, genetics, microbiology, neuroscience, and molecular cardiology.

Molecular and Clinical Oncology

Molecular and Clinical Oncology

International journal addressing all aspects of oncology research, from tumorigenesis and oncogenes to chemotherapy and metastasis.

World Academy of Sciences Journal

World Academy of Sciences Journal

Multidisciplinary open-access journal spanning biochemistry, genetics, neuroscience, environmental health, and synthetic biology.

International Journal of Functional Nutrition

International Journal of Functional Nutrition

Open-access journal combining biochemistry, pharmacology, immunology, and genetics to advance health through functional nutrition.

International Journal of Epigenetics

International Journal of Epigenetics

Publishes open-access research on using epigenetics to advance understanding and treatment of human disease.

Medicine International

Medicine International

An International Open Access Journal Devoted to General Medicine.

Journal Cover
December-2024 Volume 30 Issue 6

Full Size Image

Sign up for eToc alerts
Recommend to Library

  • Article
  • Citations
    • Cite This Article
    • Download Citation
    • Create Citation Alert
    • Remove Citation Alert
    • Cited By
  • Similar Articles
    • Related Articles (in Spandidos Publications)
    • Similar Articles (Google Scholar)
    • Similar Articles (PubMed)
  • Download PDF
  • Download XML
  • View XML
Article Open Access

Role and clinical value of serum hsa_tsr011468 in lung adenocarcinoma

  • Authors:
    • Ping Zhao
    • Kui Zhu
    • Cuihua Xie
    • Sinan Liu
    • Xiang Chen
  • View Affiliations / Copyright

    Affiliations: Department of Laboratory Medicine, Nantong First People's Hospital and The Second Affiliated Hospital of Nantong University, Medical School of Nantong University, Nantong, Jiangsu 226001, P.R. China, Department of Laboratory Medicine, Rugao Hospital of Traditional Chinese Medicine, Nantong, Jiangsu 226001, P.R. China, Department of Laboratory Medicine, Nantong First People's Hospital and The Second Affiliated Hospital of Nantong University, Medical School of Nantong University, Nantong, Jiangsu 226001, P.R. China
    Copyright: © Zhao et al. This is an open access article distributed under the terms of Creative Commons Attribution License.
  • Article Number: 226
    |
    Published online on: October 4, 2024
       https://doi.org/10.3892/mmr.2024.13350
  • Expand metrics +
Metrics: Total Views: 0 (Spandidos Publications: | PMC Statistics: )
Metrics: Total PDF Downloads: 0 (Spandidos Publications: | PMC Statistics: )
Cited By (CrossRef): 0 citations Loading Articles...

This article is mentioned in:



Abstract

Transfer RNA‑derived small RNAs (tsRNAs) are novel non‑coding RNAs that are associated with the pathogenesis of various diseases. However, their association with lung adenocarcinoma (LUAD) has not been studied comprehensively. Therefore, the present study aimed to explore the diagnostic value of a tsRNA, hsa_tsr011468, in LUAD. The OncotRF database was used to screen tsRNAs and reverse transcription‑quantitative PCR (RT‑qPCR) was performed to detect the expression levels of hsa_tsr011468 in various samples. Subsequently, the diagnostic and prognostic values of hsa_tsr011468 for LUAD were determined via receiver operating characteristic (ROC) curve and survival curve analyses, and by assessing clinicopathological parameters. In addition, both nuclear and cytoplasmic RNA were extracted to assess the location of hsa_tsr011468. The OncotRF database identified high expression of hsa_tsr011468 in LUAD. In addition, the results of RT‑qPCR showed that the relative expression levels of hsa_tsr011468 in the serum and tissues of patients with LUAD were higher than those in normal controls. Furthermore, its expression was lower in postoperative serum samples than in preoperative serum samples from patients with LUAD. ROC and survival curves indicated that hsa_tsr011468 had good diagnostic and prognostic value. Furthermore, the clinicopathological analysis revealed that hsa_tsr011468 was associated with tumor size. In addition, hsa_tsr011468 was mainly localized in the cytoplasm of LUAD cells. The present study indicated that hsa_tsr011468 has good diagnostic value and, therefore, could be employed as a serum marker for LUAD.

Introduction

The estimated data for 2022 indicated that 12.5% of all new cancer cases and 18.7% of total cancer deaths worldwide were associated with lung cancer (1). Notably, research has indicated that the incidence of lung cancer in most countries will continue to rise until 2035, highlighting it as a significant global public health concern (2). Moreover, lung adenocarcinoma (LUAD) has been estimated to account for ~40% of all lung cancer cases (3). Therefore, it is crucial to identify new biomarkers that can accurately diagnose LUAD.

With technological advancements and the broad use of high-throughput RNA sequencing technology, the role of transfer RNA (tRNA)-derived small RNAs (tsRNAs), as a new type of non-coding small RNA, has been determined in the medical field (4,5). The length of tsRNAs is generally 18–40 nucleotides, which mainly includes tRNA-derived RNA fragments (tRfs) and tRNA halves. Depending on the cleavage site of the parent tRNA, tRfs can be categorized into four types: tRF-1, tRF-3, tRF-5 and i-tRF, while tRNA-derived stress-induced RNAs (tiRNAs) can be classified into 5′ and 3′ tiRNAs (6,7). Furthermore, it has been indicated that tiRNAs are crucially involved in gene expression modulation, protein translation inhibition and epigenetic regulation, all of which contribute to viral replication and intercellular communication (8). Moreover, tsRNAs, as untranslated RNA molecules, serve various roles in different types of cancer. For example, tsRNA-42 has been reported to be inactivated in chronic lymphocytic leukemia primarily through promoter methylation (9). Additionally, epigallocatechin gallate can promote ferroptosis in non-small cell lung cancer by downregulating tsRNA-13502 (10). Furthermore, the downregulation of tRFdb-3013a/b has been shown to be associated with a poor prognosis for survival in patients with colon and rectal adenocarcinoma (11). In addition, tsRNAs have been reported to be associated with cancer development, and may have oncogenic or oncostatic functions (12).

Several studies on tsRNAs have indicated that they can serve as novel biomarkers for the diagnosis of various diseases (13). For example, tRF-Pro-AGG-004 and tRF-Leu-CAG-002 in the serum have been identified as novel biomarkers for diagnosing pancreatic cancer (14). Furthermore, tRNA-26576 has been shown to enhance the proliferation of breast cancer cells, indicating its potential as a diagnostic marker and therapeutic target for breast cancer (15). However, there is limited research on the role of small molecule RNAs in LUAD. At present, the studies on small molecule RNAs and screening mechanisms have mainly focused on microRNAs (miRNAs) (16,17). tsRNAs are highly stable and abundant in various body fluids, and are extensively involved in pathological processes (18), sometimes more so than miRNAs; therefore, the identification of abnormally expressed tsRNAs in LUAD may improve clinical diagnosis and prognosis.

The present study aimed to investigate LUAD-related tsRNAs using the OncotRF database. Reverse transcription-quantitative PCR (RT-qPCR) analysis of the differential expression of tsRNAs in serum and tissue samples from patients with LUAD and normal subjects was conducted to identify hsa_tsr011468. Moreover, receiver operating characteristic (ROC) curves and survival analyses were performed to evaluate the diagnostic and prognostic value of hsa_tsr011468 in LUAD. The relative expression levels of hsa_tsr011468 in the preoperative and postoperative serum samples from patients with LUAD were also compared to assess its dynamic monitoring ability. Additionally, functional enrichment analyses of Gene Ontology (GO) and Kyoto Encyclopedia of Genes and Genomes (KEGG) predicted target genes and signaling pathways, providing new research directions for exploring effective biomarkers and specific mechanisms of action in LUAD.

Materials and methods

Collection of serum and tissue specimens

Serum samples were collected from a total of 84 patients with LUAD (mean patient age: 64±9 years, male-to-female ratio: 45%) and 88 healthy individuals (mean patient age: 59±9 years, male-to-female ratio: 63%) between April 2020 and April 2022 from Nantong First People's Hospital (Nantong, China). A total of 70 of the 84 patients diagnosed with LUAD underwent surgery, and postoperative serum samples were also collected for analysis. Furthermore, 20 serum samples were collected from patients with squamous cell carcinoma (SCC) (mean patient age: 66±8 years, male-to-female ratio: 54%) and 20 serum samples were collected from patients with large cell carcinoma (LCC) (mean patient age: 62±9 years, male-to-female ratio: 67%) at The Affiliated Hospital of Nantong University (Nantong, China) between September 2023 and May 2024. A total of 42 LUAD tissue samples (mean patient age: 66±9 years, male-to-female ratio: 57%) and their corresponding paired paracancerous tissue samples (2–3 cm away from the tumor) were collected between April 2020 and April 2022 from the Affiliated Hospital of Nantong University. None of the patients from whom tissues were collected underwent prior radiotherapy or chemotherapy. The present study was approved by the First People's Hospital of Nantong City (approval no. 2023KT197) and the Affiliated Hospital of Nantong University (approval no. 2019-L071), and was performed in accordance with The Declaration of Helsinki.

Cell culture

The human LUAD cell lines (A549, NCI-H1299 and PC9) and the human normal lung epithelial cell line BEAS-2B used in the present study were obtained from The Cell Bank of Type Culture Collection of The Chinese Academy of Sciences. The cells were cultured in RPMI 1640 medium (Corning, Inc.) supplemented with 10% fetal bovine serum (Gibco; Thermo Fisher Scientific, Inc.) and 1% penicillin-streptomycin. Cells were passaged by trypsin digestion when they entered the logarithmic growth phase and reached a maximum of 70–80% confluence. Passage was performed 1–2 times per experiment. The medium was changed when the cells reached 80% density, approximately once every 2 days. The cells were observed microscopically to be of good condition with a translucent appearance and intact cell membranes. The cells were cultured in an incubator at 37°C and 5% CO2 until they reached the logarithmic growth phase for subsequent experiments.

LUAD tissue, cell and serum RNA extraction

Total RNA was extracted from cells (A549, NCI-H1299 and PC9), LUAD serum and milled tissue using TRIzol® reagent (Invitrogen; Thermo Fisher Scientific, Inc.). The concentration and purity of acquired RNA were assessed using a UV spectrophotometer. The RNA was then subjected to RT or was stored at −80°C.

Database screening

The OncotRF database (http://bioinformatics.zju.edu.cn/OncotRF/) was utilized to screen meaningful tsRNAs in LUAD. Basic information on tsRNAs was obtained and defined using the tsRBase database(https://ngdc.cncb.ac.cn/databasecommons/database/id/7266#:~:text=Taken%20together,%20tsRBase%20is%20the%20most%20comprehensive%20and%20systematic%20tsRNA), the tsRFun database (https://rna.sysu.edu.cn/tsRFun/), and the UCSC database (https://genome.ucsc.edu/). TargetScan (https://www.targetscan.org/vert_80/), miRanda (http://mirtoolsgallery.tech/mirtoolsgallery/node/1055), RNAhybrid (https://bibiserv.cebitec.uni-bielefeld.de/rnahybrid/submission.html/) and tRFTar (http://www.rnanut.net/tRFTar/) databases were used to predict target gene of selected tsRNA. KOBAS software (http://bioinfo.org/kobas) was used to perform GO and KEGG pathway analyses.

Evaluation of hsa_tsr011468 assay

The linearity of hsa_tsr011468 was evaluated using continuous 10-fold dilutions of hsa_tsr011468 cDNA extracted from A549 cells. Mixed serum samples, prepared by combining multiple normal human sera, were maintained at room temperature for 0, 4, 8, 12 and 24 h, and were subjected to repeated freeze-thaw cycles for 1, 3, 5, 7 and 9 times. Subsequently, the expression levels of these samples were measured using RT-qPCR to analyze their stability. The specificity of the hsa_tsr011468 mRNA assay was evaluated by unimodal dissolution curve. RNA integrity was assessed by electrophoresis on 1% agarose gels containing ethidium bromide. The PCR product and the loading buffer were mixed in proportion and loaded into the agarose gel for electrophoresis. After 43 min of separation at 110 V, the results were observed in comparison to DNA markers.

RT-qPCR

RNA concentration and purity were evaluated using UV spectrophotometry, while RNA integrity was determined through agarose gel electrophoresis (2% concentration). RNA was then used to synthesize cDNA using the Revert Aid First Strand cDNA Synthesis Kit (Thermo Fisher Scientific, Inc.) according to the manufacturer's instructions. The amplification conditions were as follows: Incubation at 42°C for 60 min and 70°C for 5 min, followed by maintenance at 4°C. The cDNA was then utilized as a template for qPCR amplification to detect the expression of target genes. The reaction mix comprised SYBR Green I Mix (ABclonal Biotech Co., Ltd.), forward primer, reverse primer, cDNA and DEPC water in a ratio of 10:1:1:3:5. The qPCR reaction was performed using the QuantStudioQ5 system (Thermo Fisher Scientific, Inc.), and the cycle conditions were as follows: 95°C for 10 min, followed by 40 cycles of 95°C for 15 sec and 60°C for 30 sec. The primers used for qPCR analysis were: 5′-tRNA-Ala-AGC-11-1_L25, forward 5′-GGGGGAATTAGCTCAAATGG′, reverse 5′-AGTGCAGGGTCCGAGGTATT-3′, based on its sequence 5′-GGGGAATTAGCTCAAATGGTAGAGC-3′; 5′-M-tRNA-Gln-CTG-5-1_L24, forward 5′-CGGGTTCCATGGTGTAATGG-3′, reverse 5′-AGTGCAGGGTCCGAGGTATT-3′, based on its sequence 5′-GGTTCCATGGTGTAATGGTTAGCA-3′; 3′-mito-tRNA-Arg-TCG_L25, forward 5′-CGCGCGTTATGATAATCATATTTAC-3′, reverse 5′-AGTGCAGGGTCCGAGGTATT-3′, based on its sequence 5′-TTATGATAATCATATTTACCAACCA-3′; 3′-M-tRNA-Glu-TTC-4-2_L28, forward 5′-GTTCGATTCCCGGTCAGG-3′, reverse 5′-AGTGCAGGGTCCGAGGTATT-3′, based on its sequence 5′-CCGGGTTCGATTCCCGGTCAGGGAACCA-3′; 3′-M-tRNA-iMet-CAT-1-8_L24, forward 5′-CGGATCGAAACCATCCTCTG-3′, reverse 5′-AGTGCAGGGTCCGAGGTATT-3′, based on its sequence 5′-GATCGAAACCATCCTCTGCTACCA-3′; hsa_tsr011468, forward 5′-CCTCGTGGCGCAATGG-3′ and reverse 5′-AGTGCAGGGTCCGAGGTATT-3′, based on its sequence 5′-GACCTCGTGGCGCAATGGTAGCGC-3′ (all from GeneAdv Co., Ltd.). The sequences of the above molecules were obtained from the tsRBase. U6 was employed as a standard control and its primer sequence was: Forward 5′-CGCTTCGGCAGCCACATATAC-3′ and reverse 5′-TTCACGAATTTGCGTGTCATC-3′. 18S rRNA was also employed as a standard control and its primer sequence was: Forward 5′-CGGCTACCACATCCAAGGAA-3′ and reverse 5′-GCTGGAATTACCGCGGCT-3′ (Guangzhou RiboBio Co., Ltd.). The expression levels of the product were determined using the 2−ΔΔCq method (19).

Nuclear and cytoplasmic RNA extraction assay

Trypsin digestion of adherent cells (A549, NCI-H1299, PC9 and BEAS-2B) was performed and the cell precipitate was collected. Nuclear and cytoplasmic RNA were extracted using a Nucleus and Cytoplasmic Protein Extraction Kit (Beyotime Institute of Biotechnology), where the protease inhibitor was substituted with an RNase inhibitor. The extracted RNA was reverse transcribed and stored at −80°C for qPCR analysis.

Statistical analysis

All data were statistically analyzed using GraphPad 8.0 (Dotmatics). The data are presented as the mean ± SD. Unpaired Student's t-tests were performed to compare the results between patients with LUAD and healthy controls, as well as between lung cancer cells and normal lung epithelial cells. Paired Student's t-tests were performed to compare pre-operative and post-operative serum samples, as well as tumor and paracancerous tissue samples from patients with LUAD. A one-way ANOVA followed by Bonferroni post hoc test was used to compare the differences in the levels of hsa_tsr011468 in mixed sera at different times and the number of freeze-thaw cycles. Associations between hsa_tsr011468 expression and clinicopathological features were analyzed using the χ2 test or Fisher's exact test. The log-rank test was employed to compare Kaplan-Meier survival curves. The diagnostic and combined diagnostic values of hsa_tsr011468 and other serum diagnostic markers for lung cancer were evaluated via receiver ROC analysis, with the area under the curve (AUC) values assessed. To determine the use of hsa_tsr011468, Cyfra21-1, CEA and SCC antigen to distinguish patients with LUAD from healthy controls, sensitivity, specificity, overall accuracy, positive predictive value and negative predictive value were calculated as follows: Sensitivity=number of true positives/total number of patients with LUAD in the population; Specificity=number of true negatives/total number of healthy controls in the population; Overall accuracy=(true positive + true negative)/total number of samples; Positive predictive value=true positive/(true positive + false positive); Negative predictive value=true negative/(true negative + false negative). P<0.05 was considered to indicate a statistically significant difference.

Results

Database screening and validation of hsa_tsr011468 by qPCR

The OncotRF database was searched to investigate the significance of tsRNAs in LUAD. The search results were ranked based on the criterion of log2 fold-change and the top three ranked 3′tRF and 5′tRF were selected for validation (Fig. 1A). To further screen for tsRNAs significantly associated with LUAD, the expression of the top three ranked 3′tRF and 5′tRF were analyzed in 12 pairs of LUAD tissues. The results showed that 5′-tRNA-Trp-CCA-2-1_L24 was differentially expressed in LUAD tissues compared with in paracancerous tissues (Fig. 1B). This finding was later confirmed by the addition of 30 pairs of tissues to assess their relative expression levels; the results indicated that the expression of 5′-tRNA-Trp-CCA-2-1_L24 was higher in LUAD tissues than that in paracancerous tissues (Fig. 1C). Furthermore, to simplify the nomenclature of 5′-tRNA-Trp-CCA-2-1_L24, the tsRBase database was searched using molecular data, which revealed that 5′-tRNA-Trp-CCA-2-1_L24 could be named hsa_tsr011468 (Fig. 1D).

Figure 1.

Screening for hsa_tsr011468. (A) OncotRF database was screened to identify highly expressed tRFs in LUAD. (B) Screening of tRFs highly expressed in LUAD tissues by reverse transcription-quantitative PCR. (C) Relative expression levels of hsa_tsr011468 in LUAD tissues. (D) Sequence of hsa_tsr011468. *P<0.05, **P<0.01. LUAD, lung adenocarcinoma; tRF, tRNA-derived RNA fragment; ns, not significant.

Methodological evaluation of hsa_tsr011468

Detailed information was obtained and the molecular structure of hsa_tsr011468 was determined using the tsRFun database (Fig. 2A). Furthermore, the UCSC database was utilized to identify the chromosomal location of hsa_tsr011468, which was chr 17:19,508,181-19,508,204 (Fig. 2B). The length of the hsa_tsr011468 PCR product was confirmed to be ~75 bp through agarose gel electrophoresis (Fig. 2C).

Figure 2.

Identification of hsa_tsr011468. Database search results showed the (A) structure and (B) chromosomal localization of hsa_tsr011468. (C) Agarose gel electrophoresis of the PCR product of hsa_tsr011468. (D) Linearity of hsa_tsr011468 and U6. (E) Detection of hsa_tsr011468 expression in mixed sera after 0, 4, 8, 12 and 24 h of storage at room temperature. (F) Detection of the expression of hsa_tsr011468 in mixed sera after repeating freeze-thaw cycles 1, 3, 5, 7 and 9 times. (G) Smooth and single-peak-specific melting curves for hsa_tsr011468 and U6. tRNA, transfer RNA; tsRNA, tRNA-derived small RNA; ns, not significant.

To ensure the reliability of the experimental results, a methodological evaluation of hsa_tsr011468 was conducted. The regression equation for hsa_tsr011468 was Y=−1.357 × X + 24.37 (R2=0.960) and for U6 was Y=−1.429 × X + 22.72 (R2=0.935), indicating good linearity for hsa_tsr011468 (Fig. 2D). Subsequently, the relative expression levels of hsa_tsr011468 were measured in the mixed sera after being incubated for varying durations or being subjected to different numbers of freeze-thaw cycles. The RT-qPCR results indicated that there were no significant changes in the expression levels of hsa_tsr011468, demonstrating that hsa_tsr011468 exhibits good stability (Fig. 2E and F). The specificity of the PCR amplification was validated by a smooth single-peak melting curve (Fig. 2G). These data indicated that all experiments on hsa_tsr011468 had good reliability.

Clinical advantages of hsa_tsr011468 as a serum marker for LUAD

A total of 20 serum samples were collected from patients with LCC, SCC, and LUAD (mean patient age: 63±8 years, male-to-female ratio: 33%), and 20 samples were collected from normal controls (mean patient age: 58±8 years, male-to-female ratio: 54%). The expression levels of hsa_tsr011468 in these non-small cell lung cancer were detected by RT-qPCR. It was revealed that the expression of hsa_tsr011468 was not statistically different in the serum of patients with SCC and LCC compared with that from healthy controls; however, the expression of hsa_tsr011468 was significantly higher in serum samples from patients with LUAD compared with those from normal subjects (Fig. 3A). These findings suggested that hsa_tsr011468 can be used as a specific diagnostic indicator of LUAD to distinguish it from other types of non-small cell lung cancer.

Figure 3.

Diagnostic value of hsa_tsr011468. (A) Expression of hsa_tsr011468 in serum samples from patients with LUAD, SCC and LCC, and normal controls. (B) Relative expression levels of hsa_tsr011468 in LUAD serum samples. (C) Expression of hsa_tsr011468 in cell lines. **P<0.01, ***P<0.001 vs. BEAS-2B or as indicated. LCC, large cell carcinoma; LUAD, lung adenocarcinoma; SCC, squamous cell carcinoma.

To validate that hsa_tsr011468 can serve as a serum diagnostic marker for LUAD, we continued to collect and expand the sample size, ultimately totaling 84 serum samples from patients with LUAD and 88 control samples from healthy subjects for qPCR analysis. The results indicated that the relative expression levels of hsa_tsr011468 were higher in samples from patients with LUAD compared with those from normal controls (Fig. 3B). Furthermore, the expression levels of hsa_tsr011468 were elevated in LUAD cell lines (Fig. 3C). Subsequently, the 84 patients with LUAD were categorized into high-expression (n=42) and low-expression (n=42) groups based on the median expression of hsa_tsr011468, in order to investigate the association between hsa_tsr011468 and clinicopathological features. Tumor-node-metastasis classification was performed according to the eighth edition of tumor-node-metastasis staging developed by the International Association for the Study of Lung Cancer (20). The χ2 test and Fisher's exact test revealed that hsa_tsr011468 was associated with tumor size (Table I). Overall, these data indicated that hsa_tsr011468 could serve as a specific biomarker for LUAD.

Table I.

Relationship of hsa_tsr011468 expression with clinicopathological features in patients with lung adenocarcinoma.

Table I.

Relationship of hsa_tsr011468 expression with clinicopathological features in patients with lung adenocarcinoma.

hsa_tsr011468 expression

CharacteristicCases (n=84)High (n=42)Low (n=42)P-value
Age, years 0.498
  ≤60311417
  >60532825
Sex 0.059
  Male26179
  Female582533
Tumor size, cm 0.023a
  <5542232
  ≥5302010
Tumor differentiation 0.078
  Well + Moderate482028
  Poor362214
Lymphatic metastasis 0.503
  No512724
  Yes331518
TNM stage 0.818
  I–II552728
  III–IV291514
Smoking status 0.287
  Smoker18117
  Never-smoker663135
Serum ProGRP, pg/ml 0.801
  ≤50633132
  >50211110
Serum Cyfra21-1, ng/ml 0.763
  ≤3.3713635
  >3.31367
Serum NSE, ng/ml 0.533
  ≤16723537
  >161275
Serum CEA, ng/ml 0.067
  ≤5713239
  >513103
Serum SCC antigen, mg/l 0.313
  <1.5743539
  ≥1.51073

a P<0.05. TNM, tumor-node-metastasis; ProGRP, progastrin-releasing peptide; Cyfra21-1, cytokeratin 19 fragment; NSE, neuron-specific enolase; CEA, carcinoembryonic antigen; SCC, squamous cell carcinoma.

Diagnostic value of hsa_tsr011468 in LUAD

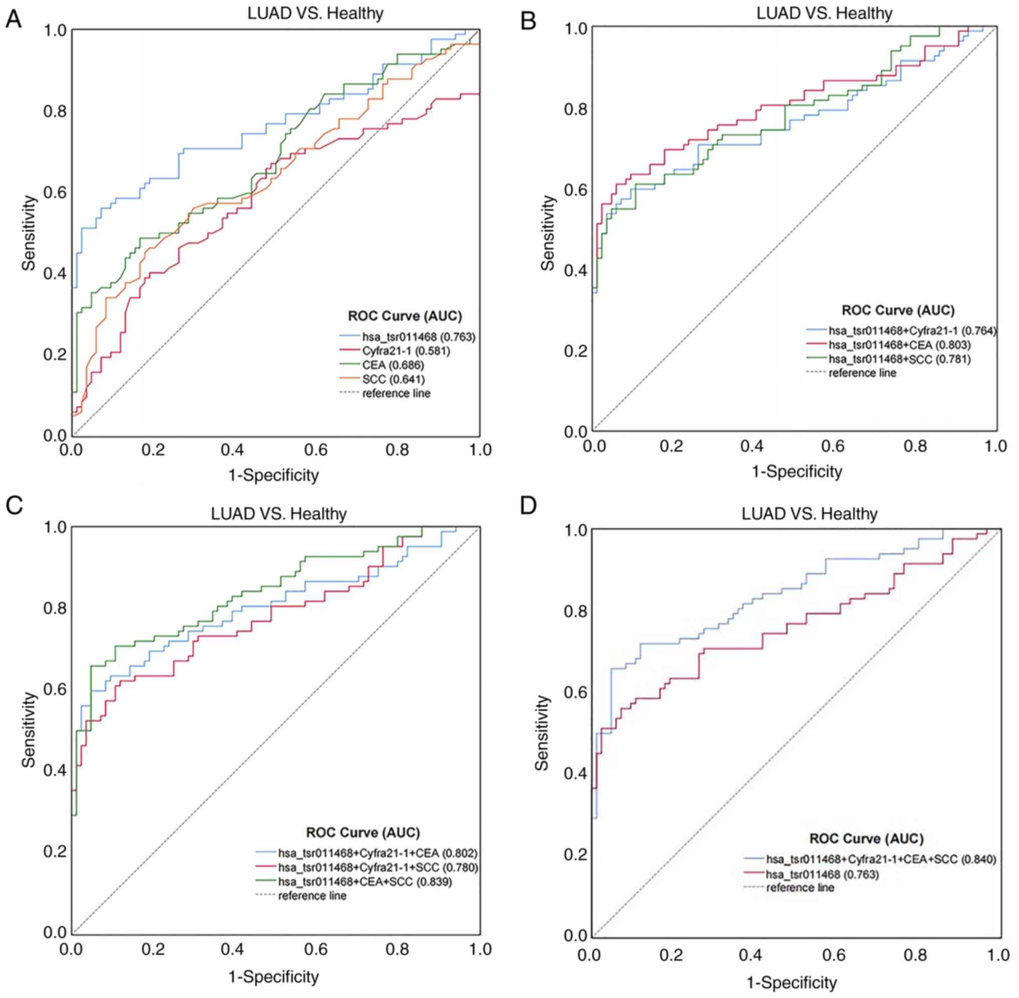
As aforementioned, hsa_tsr011468 is significantly associated with LUAD and is a highly expressed molecule in this type of cancer; therefore, it may be considered a potential LUAD biomarker. However, its diagnostic value in LUAD requires further investigation. The results of ROC analysis showed that the AUC values of the common lung cancer diagnostic markers cytokeratin 19 fragment, carcinoembryonic antigen (CEA) and SCC antigen were 0.581, 0.686 and 0.641, respectively, whereas the AUC value of hsa_tsr011468 was 0.763, indicating a better diagnostic value (Fig. 4A). When combined with other common lung cancer diagnostic indicators, the AUC value for hsa_tsr011468 was notably increased (Fig. 4B and C). Furthermore, the AUC value increased to 0.840 after hsa_tsr011468 was combined with all common lung cancer indicators (Fig. 4D). In addition, the sensitivity of the diagnosis increased from 57.14 to 67.86% when combined with all other common indicators of lung cancer (Table II).

Figure 4.

Evaluation of the diagnostic use of hsa_tsr011468 in LUAD. (A) ROC analysis of the independent use of plasma hsa_tsr011468, Cyfra21-1, CEA and SCC antigen in distinguishing patients with LUAD from healthy controls. (B) ROC curve analysis of the combined diagnostic value of hsa_tsr011468 + Cyfra21-1, CEA or SCC. (C) ROC curve analysis of the combined diagnostic value of hsa_tsr011468 + Cyfra21-1 + CEA or SCC, and of hsa_tsr011468 + CEA + SCC. (D) ROC curve analysis of the combined diagnostic value of hsa_tsr011468 + Cyfra21-1 + CEA + SCC. AUC, area under the curve; CEA, carcinoembryonic antigen; Cyfra21-1, cytokeratin 19 fragment; LUAD, lung adenocarcinoma; ROC, receiver operating characteristic; SCC, squamous cell carcinoma.

Table II.

Use of hsa_tsr011468, Cyfra21-1, CEA and SCC antigen to distinguish patients with LUAD from healthy controls.

Table II.

Use of hsa_tsr011468, Cyfra21-1, CEA and SCC antigen to distinguish patients with LUAD from healthy controls.

IndicatorSEN (%)SPE (%)ACCU (%)PPV (%)NPV (%)
hsa_tsr01146857.1492.0575.0087.2769.23
Cyfra21-115.4893.1855.2368.4253.59
CEA15.4894.3255.8172.2253.90
SCC antigen11.9078.4144.7734.4848.25
hsa_tsr011468 + Cyfra21-164.2986.3675.5881.8271.70
hsa_tsr011468 + CEA59.5287.5073.8481.9769.37
hsa_tsr011468 + SCC antigen59.5273.8666.8668.4965.66
hsa_tsr011468 + Cyfra21-1 + CEA66.6786.3676.7466.6786.36
hsa_tsr011468 + Cyfra21-1 + SCC antigen66.6769.3268.0267.4768.54
hsa_tsr011468 + CEA + SCC antigen60.7170.4565.7066.2365.26
hsa_tsr011468 + Cyfra21-1+ CEA + SCC antigen67.8669.3268.6167.8669.32

[i] SEN, sensitivity; SPE, specificity; ACCU, overall accuracy; PPV, positive predictive value; NPV, negative predictive value; Cyfra21-1, cytokeratin 19 fragment; CEA, carcinoembryonic antigen; SCC, squamous cell carcinoma.

Dynamic monitoring of hsa_tsr011468 in LUAD

To investigate the dynamic monitoring capability of hsa_tsr011468, preoperative and postoperative sera were collected from 70 patients with LUAD for qPCR analysis. The results revealed that the relative expression levels of hsa_tsr011468 in the postoperative sera from patients was significantly lower than that in the preoperative sera (Fig. 5A). Furthermore, patients with LUAD were divided into high- and low-expression groups based on hsa_tsr011468 serum expression for Kaplan-Meier survival analysis and the survival curves were compared using the log-rank test. As shown in Fig. 5B, the disease-free survival time of the low-expression group was longer compared with that in the high-expression group. Moreover, the overall survival of the low-expression group of hsa_tsr011468 was higher than that of the high-expression group, providing additional evidence of the dynamic monitoring capability and prognostic significance of hsa_tsr011468.

Figure 5.

Dynamic monitoring and prognostic ability of hsa_tsr011468 in LUAD. (A) Serum expression levels of hsa_tsr011468 in preoperative and postoperative patients with LUAD. (B) Kaplan-Meier curve analysis of hsa_tsr011468 expression for disease-free survival and overall survival in patients with LUAD. **P<0.01. LUAD, lung adenocarcinoma.

Prediction of downstream regulatory mechanisms for hsa_tsr011468

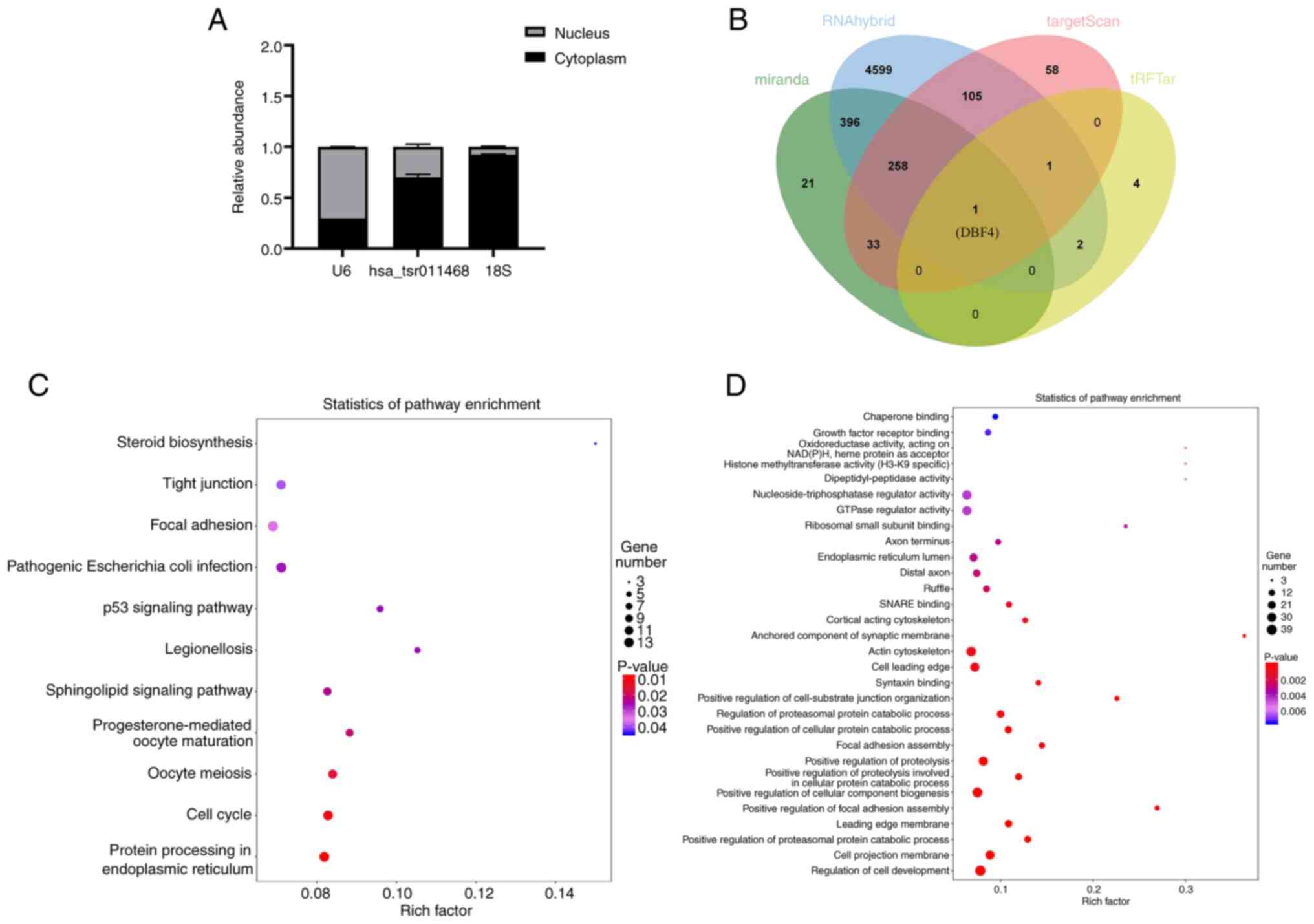
The aforementioned experiments highlighted the significance of hsa_tsr011468 as a potential biomarker for LUAD. The present study also investigated its potential mechanism in LUAD and observed via cellular localization experiments that hsa_tsr011468, consistent with control 18S, was predominantly located in the cytoplasm (Fig. 6A). Subsequently, TargetScan, miRanda, RNAhybrid and tRFTar databases were used to predict the downstream target molecules of hsa_tsr011468, and a Venn diagram was generated. The analysis revealed an overlapping gene in these databases: DBF4 (Fig. 6B). In addition, KEGG bioinformatics analysis revealed that it was associated with the ‘p53 signaling pathway’, ‘Cell cycle’ and ‘Protein processing in endoplasmic reticulum’ (Fig. 6C). GO bioinformatics revealed that hsa_tsr011468 was associated with the ‘regulation of cell development’, ‘cell projection membrane’ and ‘ctin cytoskeleton’ (Fig. 6D). Therefore, hsa_tsr011468 may regulate LUAD progression at the cellular level via DBF4.

Figure 6.

Mechanistic studies of hsa_tsr011468 in LUAD. (A) Localization of hsa_tsr011468 in LUAD. (B) Venn diagram plotting of hsa_tsr011468 database prediction results. (C) Kyoto Encyclopedia of Genes and Genomes and (D) Gene Ontology functional enrichment analyses of hsa_tsr011468. LUAD, lung adenocarcinoma.

Discussion

Epidemiological data indicated that, in 2022, lung cancer was the most common type of cancer in China and accounted for the largest number of cancer-related deaths (21). LUAD is the most prevalent subtype of lung cancer, and researchers are increasingly investigating various functions of non-coding RNAs in LUAD. Specifically, long non-coding RNAs and circular RNAs have demonstrated potential as biomarkers for the detection, progression and drug resistance mechanisms of LUAD, thereby presenting new opportunities for scientific investigation (22–25). However, there are few studies on tsRNAs in LUAD. Therefore, the present study evaluated the effect of hsa_tsr011468 on LUAD pathogenesis and its potential as a LUAD marker.

tsRNAs are RNA molecules cut from mature tRNA or pre-RNA that have a specific sequence structure and biological function (26). A growing number of studies have shown that aberrant expression of tsRNAs affects tumor development, and is indicative of early diagnosis and prognosis. For example, tRF-19-3L7L73JD expression in preoperative patients with gastric cancer was observed to be reduced compared with that in postoperative and healthy individuals, indicating its potential as a clinical diagnostic indicator for gastric cancer (27). Furthermore, the expression of 5′-tRF-GlyGCC in the plasma of patients with colorectal cancer was significantly higher than that in healthy individuals, and the AUC value of the working characteristics of the subjects verified that 5′-tRF-GlyGCC had a better diagnostic value than CEA or CA19-9 (28). Additionally, hsa_tsr016141 has been reported to have more diagnostic value than CA724 in gastric cancer (29). The aforementioned studies showed that tsRNAs have potential for cancer diagnosis, and provide new directions for cancer prognosis and targeted therapies.

The present study screened the OncotRF database and identified the highly expressed tsRNA, hsa_tsr011468, in LUAD. Statistical data on clinicopathological features showed that hsa_tsr011468 was associated with tumor size. ROC curve analysis was conducted to assess the diagnostic value of hsa_tsr011468 compared with other lung cancer indicators in LUAD, and a survival curve was generated to evaluate the prognostic value of hsa_tsr011468. Furthermore, GO and KEGG analyses revealed that the downstream target molecule of hsa_tsr011468 may be DBF4. DBF4 acts as a crucial cell cycle regulator by binding to cell division cycle 7 to form a DBF4-dependent kinase, which serves a role in positively regulating DNA replication in the nuclear cell cycle and in regulating cell cycle phase transitions, and is significant in tumor development (30,31). In addition, the ‘p53 signaling pathway’ was identified as an enriched KEGG pathway. Notably, p53 is a classical signaling pathway that regulates cell survival and death, which has also been shown to be significant in a number of studies on the mechanism of RNA molecule-regulated cancer (32,33). A previous analysis of 201 microarray samples from various genetically engineered mouse breast cancer models indicated that p53-altered mammary tumors had elevated DBF4 mRNA expression (34). In addition, p53 as a transcription factor can regulate the expression of various genes including those associated with the cell cycle (35–37). However, further experiments are needed to verify the specific mechanisms regarding whether DBF4 can act as a target gene to affect the p53 pathway and hsa_tsr011468.

The present study has some limitations. Primarily, insufficient clinicopathological features related to LUAD were assessed, leading to an incomplete analysis of the results. Recently, EGFR mutation status, EML4-ALK and PD-L1 expression have been introduced as new targets and research directions for clinical lung cancer treatment (38–40); however, the present study lacks a discussion of these factors. Therefore, these factors will be explored in subsequent studies on the specific mechanism and targeted therapy of hsa_tsr011468 in LUAD to further determine the role of hsa_tsr011468 in LUAD.

In conclusion, the present study analyzed significant tsRNAs in LUAD. Firstly, RT-qPCR analysis of LUAD serum and tissue samples was performed, which indicated that patients with LUAD had increased expression of hsa_tsr011468. Subsequently, the ROC curve and survival analyses showed that hsa_tsr011468 had a good diagnostic and prognostic value. By comparing the relative expression levels of hsa_tsr011468 in the preoperative and postoperative serum of patients, it was revealed that its expression was decreased in the postoperative serum of patients. This finding suggested that hsa_tsr011468 may possess strong dynamic detection capabilities. Therefore, it could be proposed that hsa_tsr011468 may serve as a potential novel serological biomarker for LUAD. Finally, the target genes and signaling pathways of hsa_tsr011468 in LUAD were predicted, establishing a foundation for further research into its specific mechanism of action.

Acknowledgements

Not applicable.

Funding

This work was financially supported by the Nantong Science and Technology Project (grant nos. MS22021001 and 20231044312).

Availability of data and materials

The data generated in the present study may be requested from the corresponding author.

Authors' contributions

PZ and KZ performed the experiments, analyzed and interpreted the data, and wrote the paper. CX contributed reagents, materials, analysis tools and collected data. SL and CX conceived and designed the experiments, and wrote the paper. PZ and KZ confirm the authenticity of all the raw data. All authors read and approved the final version of the manuscript.

Ethics approval and consent for participation

The present study was approved by the Nantong First People's Hospital and Affiliated Hospital of Nantong University (approval nos. 2023KT197 and 2019-L071) and all participants provided written informed consent for this study.

Patient consent for publication

Not applicable.

Competing interests

The authors declare that they have no competing interests.

References

1 

Bray F, Laversanne M, Sung H, Ferlay J, Siegel RL, Soerjomataram I and Jemal A: Global cancer statistics 2022: GLOBOCAN estimates of incidence and mortality worldwide for 36 cancers in 185 countries. CA Cancer J Clin. 74:229–263. 2024. View Article : Google Scholar : PubMed/NCBI

2 

Luo G, Zhang Y, Etxeberria J, Arnold M, Cai X, Hao Y and Zou H: Projections of lung cancer incidence by 2035 in 40 countries worldwide: Population-based study. JMIR Public Health Surveill. 9:e436512023. View Article : Google Scholar : PubMed/NCBI

3 

Lu T, Yang X, Huang Y, Zhao M, Li M, Ma K, Yin J, Zhan C and Wang Q: Trends in the incidence, treatment, and survival of patients with lung cancer in the last four decades. Cancer Manag Res. 11:943–953. 2019. View Article : Google Scholar : PubMed/NCBI

4 

Chen Q, Zhang X, Shi J, Yan M and Zhou T: Origins and evolving functionalities of tRNA-derived small RNAs. Trends Biochem Sci. 46:790–804. 2021. View Article : Google Scholar : PubMed/NCBI

5 

Kumar P, Anaya J, Mudunuri SB and Dutta A: Meta-analysis of tRNA derived RNA fragments reveals that they are evolutionarily conserved and associate with AGO proteins to recognize specific RNA targets. BMC Biol. 12:782014. View Article : Google Scholar : PubMed/NCBI

6 

Lee YS, Shibata Y, Malhotra A and Dutta A: A novel class of small RNAs: tRNA-derived RNA fragments (tRFs). Genes Dev. 23:2639–2649. 2009. View Article : Google Scholar : PubMed/NCBI

7 

Zhang Y, Gu X, Li Y, Huang Y and Ju S: Multiple regulatory roles of the transfer RNA-derived small RNAs in cancers. Genes Dis. 11:597–613. 2023. View Article : Google Scholar : PubMed/NCBI

8 

Wen JT, Huang ZH, Li QH, Chen X, Qin HL and Zhao Y: Research progress on the tsRNA classification, function, and application in gynecological malignant tumors. Cell Death Discov. 7:3882021. View Article : Google Scholar : PubMed/NCBI

9 

Veneziano D, Tomasello L, Balatti V, Palamarchuk A, Rassenti LZ, Kipps TJ, Pekarsky Y and Croce CM: Dysregulation of different classes of tRNA fragments in chronic lymphocytic leukemia. Proc Natl Acad Sci USA. 116:24252–24258. 2019. View Article : Google Scholar : PubMed/NCBI

10 

Wang S, Wang R, Hu D, Zhang C, Cao P, Huang J and Wang B: Epigallocatechin gallate modulates ferroptosis through downregulation of tsRNA-13502 in non-small cell lung cancer. Cancer Cell Int. 24:2002024. View Article : Google Scholar : PubMed/NCBI

11 

Tan L, Wu X, Tang Z, Chen H, Cao W, Wen C, Zou G and Zou H: The tsRNAs (tRFdb-3013a/b) serve as novel biomarkers for colon adenocarcinomas. Aging (Albany NY). 16:4299–4326. 2024.PubMed/NCBI

12 

Balatti V, Nigita G, Veneziano D, Drusco A, Stein GS, Messier TL, Farina NH, Lian JB, Tomasello L, Liu CG, et al: tsRNA signatures in cancer. Proc Natl Acad Sci USA. 114:8071–8076. 2017. View Article : Google Scholar : PubMed/NCBI

13 

Li J, Zhu L, Cheng J and Peng Y: Transfer RNA-derived small RNA: A rising star in oncology. Semin Cancer Biol. 75:29–37. 2021. View Article : Google Scholar : PubMed/NCBI

14 

Jin F, Yang L, Wang W, Yuan N, Zhan S, Yang P, Chen X, Ma T and Wang Y: A novel class of tsRNA signatures as biomarkers for diagnosis and prognosis of pancreatic cancer. Mol Cancer. 20:952021. View Article : Google Scholar : PubMed/NCBI

15 

Zhou J, Wan F, Wang Y, Long J and Zhu X: Small RNA sequencing reveals a novel tsRNA-26576 mediating tumorigenesis of breast cancer. Cancer Manag Res. 11:3945–3956. 2019. View Article : Google Scholar : PubMed/NCBI

16 

Jiang J, Shi S, Zhang W, Li C, Sun L, Ge Q and Li X: Circ_RPPH1 facilitates progression of breast cancer via miR-1296-5p/TRIM14 axis. Cancer Biol Ther. 25:23607682024. View Article : Google Scholar : PubMed/NCBI

17 

Xia M, Chen J, Hu Y, Qu B, Bu Q and Shen H: miR-10b-5p promotes tumor growth by regulating cell metabolism in liver cancer via targeting SLC38A2. Cancer Biol Ther. 25:23156512024. View Article : Google Scholar : PubMed/NCBI

18 

Zong T, Yang Y, Zhao H, Li L, Liu M, Fu X, Tang G, Zhou H, Aung LHH, Li P, et al: tsRNAs: Novel small molecules from cell function and regulatory mechanism to therapeutic targets. Cell Prolif. 54:e129772021. View Article : Google Scholar : PubMed/NCBI

19 

Livak KJ and Schmittgen TD: Analysis of relative gene expression data using real-time quantitative PCR and the 2(−Delta Delta C(T)) Method. Methods. 25:402–408. 2001. View Article : Google Scholar : PubMed/NCBI

20 

Goldstraw P, Chansky K, Crowley J, Rami-Porta R, Asamura H, Eberhardt WE, Nicholson AG, Groome P, Mitchell A, Bolejack V, et al: The IASLC lung cancer staging project: Proposals for Revision of the TNM Stage Groupings in the Forthcoming (Eighth) Edition of the TNM classification for lung cancer. J Thorac Oncol. 11:39–51. 2016. View Article : Google Scholar : PubMed/NCBI

21 

Xia C, Dong X, Li H, Cao M, Sun D, He S, Yang F, Yan X, Zhang S, Li N and Chen W: Cancer statistics in China and United States, 2022: Profiles, trends, and determinants. Chin Med J (Engl). 135:584–590. 2022. View Article : Google Scholar : PubMed/NCBI

22 

Chen Z, Hu Z, Sui Q, Huang Y, Zhao M, Li M, Liang J, Lu T, Zhan C, Lin Z, et al: LncRNA FAM83A-AS1 facilitates tumor proliferation and the migration via the HIF-1α/glycolysis axis in lung adenocarcinoma. Int J Biol Sci. 18:522–535. 2022. View Article : Google Scholar : PubMed/NCBI

23 

Liu X, Feng Y, Wang L, Shi L, Ji K, Hu N, Du Y, Liu M and Wang M: Silencing of circ_0088036 inhibits growth and invasion of lung adenocarcinoma through miR-203/SP1 axis. J Biochem Mol Toxicol. 38:e236842024. View Article : Google Scholar : PubMed/NCBI

24 

Zhang LX, Gao J, Long X, Zhang PF, Yang X, Zhu SQ, Pei X, Qiu BQ, Chen SW, Lu F, et al: The circular RNA circHMGB2 drives immunosuppression and anti-PD-1 resistance in lung adenocarcinomas and squamous cell carcinomas via the miR-181a-5p/CARM1 axis. Mol Cancer. 21:1102022. View Article : Google Scholar : PubMed/NCBI

25 

Zhang H, Wang SQ, Wang L, Lin H, Zhu JB, Chen R, Li LF, Cheng YD, Duan CJ and Zhang CF: m6A methyltransferase METTL3-induced lncRNA SNHG17 promotes lung adenocarcinoma gefitinib resistance by epigenetically repressing LATS2 expression. Cell Death Dis. 13:6572022. View Article : Google Scholar : PubMed/NCBI

26 

Wang Y, Weng Q, Ge J, Zhang X, Guo J and Ye G: tRNA-derived small RNAs: Mechanisms and potential roles in cancers. Genes Dis. 9:1431–1442. 2022. View Article : Google Scholar : PubMed/NCBI

27 

Shen Y, Xie Y, Yu X, Zhang S, Wen Q, Ye G and Guo J: Clinical diagnostic values of transfer RNA-derived fragment tRF-19-3L7L73JD and its effects on the growth of gastric cancer cells. J Cancer. 12:3230–3238. 2021. View Article : Google Scholar : PubMed/NCBI

28 

Wu Y, Yang X, Jiang G, Zhang H, Ge L, Chen F, Li J, Liu H and Wang H: 5′-tRF-GlyGCC: A tRNA-derived small RNA as a novel biomarker for colorectal cancer diagnosis. Genome Med. 13:202021. View Article : Google Scholar : PubMed/NCBI

29 

Gu X, Ma S, Liang B and Ju S: Serum hsa_tsr016141 as a Kind of tRNA-Derived fragments is a novel biomarker in gastric cancer. Front Oncol. 11:6793662021. View Article : Google Scholar : PubMed/NCBI

30 

Zhang L, Hong J, Chen W, Zhang W, Liu X, Lu J, Tang H, Yang Z, Zhou K, Xie H, et al: DBF4 dependent kinase inhibition suppresses hepatocellular carcinoma progression and potentiates anti-programmed cell death-1 therapy. Int J Biol Sci. 19:3412–3427. 2023. View Article : Google Scholar : PubMed/NCBI

31 

Qi Y, Hou Y and Qi L: miR-30d-5p represses the proliferation, migration, and invasion of lung squamous cell carcinoma via targeting DBF4. J Environ Sci Health C Toxicol Carcinog. 39:251–268. 2021.PubMed/NCBI

32 

Yuan K, Lan J, Xu L, Feng X, Liao H, Xie K, Wu H and Zeng Y: Long noncoding RNA TLNC1 promotes the growth and metastasis of liver cancer via inhibition of p53 signaling. Mol Cancer. 21:1052022. View Article : Google Scholar : PubMed/NCBI

33 

Zhang L, Liao Y and Tang L: MicroRNA-34 family: a potential tumor suppressor and therapeutic candidate in cancer. J Exp Clin Cancer Res. 38:532019. View Article : Google Scholar : PubMed/NCBI

34 

Herschkowitz JI, Simin K, Weigman VJ, Mikaelian I, Usary J, Hu Z, Rasmussen KE, Jones LP, Assefnia S, Chandrasekharan S, et al: Identification of conserved gene expression features between murine mammary carcinoma models and human breast tumors. Genome Biol. 8:R762007. View Article : Google Scholar : PubMed/NCBI

35 

Feng J, Xie L, Lu W, Yu X, Dong H, Ma Y and Kong R: Hyperactivation of p53 contributes to mitotic catastrophe in podocytes through regulation of the Wee1/CDK1/cyclin B1 axis. Ren Fail. 46:23654082024. View Article : Google Scholar : PubMed/NCBI

36 

Hernández Borrero LJ and El-Deiry WS: Tumor suppressor p53: Biology, signaling pathways, and therapeutic targeting. Biochim Biophys Acta Rev Cancer. 1876:1885562021. View Article : Google Scholar : PubMed/NCBI

37 

Pritchard A, Tousif S, Wang Y, Hough K, Khan S, Strenkowski J, Chacko BK, Darley-Usmar VM and Deshane JS: Lung tumor cell-derived exosomes promote M2 macrophage polarization. Cells. 9:13032020. View Article : Google Scholar : PubMed/NCBI

38 

Qin Z, Yue M, Tang S, Wu F, Sun H, Li Y, Zhang Y, Izumi H, Huang H, Wang W, et al: EML4-ALK fusions drive lung adeno-to-squamous transition through JAK-STAT activation. J Exp Med. 221:e202320282024. View Article : Google Scholar : PubMed/NCBI

39 

Li N, Zuo R, He Y, Gong W, Wang Y, Chen L, Luo Y, Zhang C, Liu Z, Chen P and Guo H: PD-L1 induces autophagy and primary resistance to EGFR-TKIs in EGFR-mutant lung adenocarcinoma via the MAPK signaling pathway. Cell Death Dis. 15:5552024. View Article : Google Scholar : PubMed/NCBI

40 

Gu W, Liu P, Tang J, Lai J, Wang S, Zhang J, Xu J, Deng J, Yu F, Shi C and Qiu F: The prognosis of TP53 and EGFR co-mutation in patients with advanced lung adenocarcinoma and intracranial metastasis treated with EGFR-TKIs. Front Oncol. 13:12884682024. View Article : Google Scholar : PubMed/NCBI

Related Articles

  • Abstract
  • View
  • Download
  • Twitter
Copy and paste a formatted citation
Spandidos Publications style
Zhao P, Zhu K, Xie C, Liu S and Chen X: Role and clinical value of serum hsa_tsr011468 in lung adenocarcinoma. Mol Med Rep 30: 226, 2024.
APA
Zhao, P., Zhu, K., Xie, C., Liu, S., & Chen, X. (2024). Role and clinical value of serum hsa_tsr011468 in lung adenocarcinoma. Molecular Medicine Reports, 30, 226. https://doi.org/10.3892/mmr.2024.13350
MLA
Zhao, P., Zhu, K., Xie, C., Liu, S., Chen, X."Role and clinical value of serum hsa_tsr011468 in lung adenocarcinoma". Molecular Medicine Reports 30.6 (2024): 226.
Chicago
Zhao, P., Zhu, K., Xie, C., Liu, S., Chen, X."Role and clinical value of serum hsa_tsr011468 in lung adenocarcinoma". Molecular Medicine Reports 30, no. 6 (2024): 226. https://doi.org/10.3892/mmr.2024.13350
Copy and paste a formatted citation
x
Spandidos Publications style
Zhao P, Zhu K, Xie C, Liu S and Chen X: Role and clinical value of serum hsa_tsr011468 in lung adenocarcinoma. Mol Med Rep 30: 226, 2024.
APA
Zhao, P., Zhu, K., Xie, C., Liu, S., & Chen, X. (2024). Role and clinical value of serum hsa_tsr011468 in lung adenocarcinoma. Molecular Medicine Reports, 30, 226. https://doi.org/10.3892/mmr.2024.13350
MLA
Zhao, P., Zhu, K., Xie, C., Liu, S., Chen, X."Role and clinical value of serum hsa_tsr011468 in lung adenocarcinoma". Molecular Medicine Reports 30.6 (2024): 226.
Chicago
Zhao, P., Zhu, K., Xie, C., Liu, S., Chen, X."Role and clinical value of serum hsa_tsr011468 in lung adenocarcinoma". Molecular Medicine Reports 30, no. 6 (2024): 226. https://doi.org/10.3892/mmr.2024.13350
Follow us
  • Twitter
  • LinkedIn
  • Facebook
About
  • Spandidos Publications
  • Careers
  • Cookie Policy
  • Privacy Policy
How can we help?
  • Help
  • Live Chat
  • Contact
  • Email to our Support Team